Исследования остатков е, предполагают проверку наличия следующих пяти предпосылок МНК[1]:
- случайный характер остатков;
- нулевая средняя величина остатков, не зависящая от х,-;
- гомоскедастичность — дисперсия каждого отклонения Е, одинакова для всех значений х;
- отсутствие автокорреляции остатков. Значения остатков е7 распределены независимо друг от друга;
- остатки подчиняются нормальному распределению.
В тех случаях, когда все пять предпосылок выполняются, оценки, полученные по МНК и по методу максимального правдоподобия, совпадают между собой. Если распределение случайных остатков е, не соответствует некоторым предпосылкам МНК, то следует корректировать модель.
При нарушении гомоскедастичности и наличии автокорреляции ошибок рекомендуется традиционный метод наименьших квадратов (известный в английской терминологии как метод OLS — Ordinary Least Squares) заменять обобщенным методом, млн. е. методом GLS (Generalized Least Squares).
Обобщенный метод наименьших квадратов применяется к преобразованным данным и позволяет получать оценки, которые обладают не только свойством несмещенности, но и имеют меньшие выборочные дисперсии.
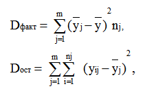
Статистическая надежность регрессионного уравнения в целом оценивается на основе F-критерия Фишера: проверяется нулевая гипотеза о несоответствии представленных регрессионным уравнением связей реально существующим (H0: a0= a1=a2=…=am=0, R=0). Для проверки H0 следует рассчитать значение F-критерия (Fр) и сравнить его с табличным значением (Fт), определяемым с использованием таблиц по заданным уровню значимости (a= 05) и числу степеней свободы (d.f.1 = m-1 и d.f.2 = n-m). Fр определяется из соотношения факторной и остаточной дисперсий, рассчитанных на одну степень свободы по формуле:
,
где Dфакт, Dост – суммы квадратов отклонений, характеризующие факторную и остаточную вариации результативного признака. В случае однофакторного дисперсионного комплекса Dфакт и Dост выражаются в соответствии с (2.11),
d.f.1 = m-1 – число степеней свободы факторной дисперсии,
d.f.2 = n-m – число степеней свободы остаточной дисперсии.

где yij, – значения результативного признака у i–й единицы в j–й группе,
i – номер единицы совокупности,
j – номер группы,
nj – численность j–й группы,
– средняя величина результативного признака в j–й группе,
– общая средняя результативного признака.
Если Fр > Fт, то гипотеза H0 отвергается. При этом с вероятностью 1-a = 0,95, или 95%, принимается альтернативная гипотеза о неслучайной природе оцениваемых характеристик, т.е. признается статистическая значимость регрессионного уравнения и его параметров.
[1] Статистическое моделирование и прогнозирование: Учеб. пособие / Под ред. А. Г. Гранберга. — М.: Финансы и статистика, . 1990.-С. 158.
