Signature: ……………………………. Date:
……………………….

Фамилия |
Митяева |
|
Имя |
Елена |
|
Номер студента |
|
|
Предмет |
Маркетинг-менеджмент |
|
Номер курсовой работы |
|
|
Тьютор |
|
|
Дата сдачи |
|
|
Почтовый адрес |
Новосибирск, ул. Республиканская ,д. 37 кв.2 |
|
|
Lisa0073@yandex.ru |
|
Контактные телефоны |
(383) 2106-290 (Рабочий) |
|
(383) 276-82-90 (Домашний) |
|
|
8319-777-48-66 (Мобильный) |
|
Курс/набор |
MBA первый год обучения - октябрь 2005 |
Декларация : Данным я заявляю, что представленная курсовая работа является оригинальной работой и выполнена мной.
Подпись : _______________________ Дата : ____/_______/________
Содержание
1. Резюме для руководителя. 4
2. Формулировка проблемы.. 7
3. Цели исследования. 8
4. Обзор литературы.. 8
5. Важность исследования. 18
6. План исследования. 19
7. Анализ данных. 19
8. Представление результатов и рекомендаций. 24
Список литературы.. 26
Приложения…………………………………………………………………………27
1. Резюме для руководителя
Как известно, к настоящему времени область применения маркетинговых технологий существенно расширилась и включает теперь не только производственную сферу. Всё чаще внимание специалистов обращается к некоммерческому маркетингу и маркетингу услуг. А проникновение рыночных отношений в сферу образования, обострение конкуренции между образовательными учреждениями за привлечение потенциальных абитуриентов обусловливает чрезвычайную актуальность адаптации маркетингового инструментария к сфере образовательных услуг.
Данное исследование проведено для компании Mancosa (Колледжа Менеджмента Южной Африки). Такое образование можно получить как за рубежом, так и в России. НГУЭУ в партнерстве с Международной Академией Менеджмента (Великобритания) и Колледжем Менеджмента МАНКОСА (ЮАР) реализует данное бизнес-образование в рамках наиболее оптимальной формы обучения.
Обучение по международной образовательной программе с присвоением степени Магистра делового администрирования (МВА) в г. Новосибирске реализуется в НГУЭУ. В зарубежных странах большинство менеджеров крупных компаний получают степень МВА и признают её показателем качественного образования.[12]
Качество образования гарантируется выдачей диплома совместно с Международной Академией Менеджмента (Великобритания) и Колледжем Менеджмента МАНКОСА (ЮАР), соответствующего международным стандартам образования. Выдаваемый диплом признается во всех странах мира.
Данное образование, как уже указывалось, реализуется пока только в НГУЭУ. Условия обучения в НГУЭУ по образовательной программе можно представить в табл. 1.
Таблица 1 – Условия обучения по образовательной программе MBA
|
Продолжительность обучения |
2 года |
|
Форма обучения |
Очно-дистанционная (очные занятия проводятся по субботам; периодически проводятся дополнительные семинары с практикующими менеджерами по актуальным проблемам менеджмента) |
|
Стоимость обучения |
180 000 рублей. Схемы оплаты гибкие |
|
Набор слушателей |
2 раза в год (октябрь/март) |
|
Язык обучения |
Русский/английский |
|
Система обучения |
|
|
Требования к поступающим |
Высшее образование Опыт работы в области менеджмента |
|
Документы для поступления |
Диплом о высшем образовании Рекомендательное письмо |
|
Дипломы |
Свидетельство о повышении квалификации (НГУЭУ) – по окончании 1-го года обучения Сертификат членства в Международной Академии Менеджмента (Великобритания) – по окончании 1-го года обучения Диплом о профессиональной переподготовке (НГУЭУ) – по окончании 2-го года обучения Диплом МВА MANCOSA – по окончании 2-го года обучения |
|
Участники программы |
Новосибирский государственный университет экономики и управления — «НИНХ» Колледж Менеджмента MANCOSA Международная Академия Менеджмента |
|
Конкурентные преимущества программы |
Обучение ведется зарубежными и ведущими новосибирскими преподавателями Обучение проходит на русском языке Программа адаптирована к условиям российского бизнеса Фиксированный срок обучения (2 года) Конкурентоспособная стоимость обучения Очные занятия по цене дистанционной программы Комфортные условия обучения Возможность просмотра занятий на видео |
В данной работе предлагается построить модель оценки качества образовательных услуг.
Суть маркетинга как философии рынка выражается, прежде всего, в том, что во главу угла ставятся запросы потребителей. Маркетологи ряда успешных американских компаний подчёркивают важность предельно точного знания своего потребителя с использованием методов обратной связи, соответствующих требованиям компании. Здесь необходимо подчеркнуть возрастание роли маркетинга, основанного на так называемых CRM (Customer Relationship Marketing/Management)-технологиях. CRM – это направленная на построение устойчивого бизнеса концепция и бизнес-стратегия, ядром которой является «клиенто-ориентированный» подход, направленный на обеспечение участия потребителя в деятельности компании, его влияния на процесс создания, производства и сервисного обслуживания продукта [1, с.7].
Такое внимание к потребителю для сферы образования ново и непривычно. Кроме того, остро стоит проблема оценки качества образовательных услуг с позиции соответствия или несоответствия образовательным стандартам, а именно с точки зрения потребителей.
Необходимо пояснить, что любое учебное заведение, фактически, действует на двух взаимосвязанных рынках: на рынке образовательных услуг, предоставляя свой продукт (образовательные программы) студентам, и на рынке труда - опосредованно, через своих выпускников (молодых специалистов). Последние, в том числе и в результате потребления образовательных программ вуза, приобрели знания, умения и навыки, характеризующие качество их рабочей силы, которую они продают предприятиям-работодателям. Соответственно, для построения эффективного процесса управления качеством оказания образовательных услуг представляется необходимым установление обратной связи вуза со следующими группами потребителей (рисунок 1):
- со студентами, непосредственно в настоящий момент времени получающими высшее образование и способными оценить сам «процесс» его получения;
- с молодыми специалистами - выпускниками вуза, которые могут дать оценку качества образования с учётом уже приобретённого опыта работы и оценить возможность трудоустройства по полученной специальности;
- с работодателями - непосредственными руководителями выпускников вуза, способными оценить качество профессиональной подготовки подчинённых им молодых специалистов.

Рисунок 1 – Потребители образовательных услуг
В ходе реализации настоящего проекта были выявлены основные «болевые» точки деятельности вуза: недостаточное соответствие материальной базы потребностям студентов и подготовка недостаточно инициативных молодых специалистов. Усилия администрации вуза должны быть в первую очередь направлены на устранение указанных проблемных аспектов.
Реализация мероприятий, разработанных в ходе проведения SWOT-анализа, позволит ещё в большей степени «приблизить» содержание и качество образовательных услуг к запросам потребителей и, в дальнейшем, повысив степень их удовлетворённости, сформировать положительный имидж вуза.
2. Формулировка проблемы
Проблемой на современном рынке образовательных услуг является низкий уровень образования выпускников, отсутствие практических навыков, несоответствие ожиданий работодателя уровню квалификации выпускников, проблема повышения уровня образования для лиц, уже имеющих высшее образование. Также можно добавить, что существует структурный дисбаланс между потребностями рынка и выпуском специалистов.
Оценка качества предоставляемых услуг позволяет разработать стратегию повышения качества образовательных услуг, а также повысить конкурентоспособность высшего учебного заведения на рынке. Кроме того, грамотные специалисты становятся не только востребованными на рынке труда, но и вносят неоценимый вклад в развитие экономики страны.
3. Цели исследования
Целью представленного проекта является оценка соответствия качества образовательных услуг, предоставляемых НГУЭУ и программе MBA запросам их потребителей: студентов, молодых специалистов и их работодателей, а также выдача рекомендаций по совершенствованию содержания и качества образования в соответствии их с мнениями и пожеланиями.
Для достижения поставленной цели были решены следующие задачи:
- проведён сравнительный критический анализ методик оценки качества образовательных услуг с позиции потребителей с целью выбора и обоснования базовой методики;
- выявлены преимущества и недостатки базовой методики и разработаны направления её модернизации, направленной на проведение в рамках данной методики оценки качества образовательных услуг с позиции трёх групп потребителей и комплексной, интегральной оценки качества образования.
4. Обзор литературы
Одним из инструментов оценки качества образовательных услуг является методика SERVQUAL («service quality» - «качество услуги») [5]. В основу данной методики легло предположение, что качество в сфере услуг вовлекает в себя сравнение потребителем своих ожиданий качества перед потреблением услуг с восприятием качества в момент непосредственного её потребления.
Практически эта методика заключается в том, что потребителям предлагается заполнить анкету, состоящую из трёх частей. Первая часть, используя пятибалльную шкалу Лайкерта («полностью согласен» (5 баллов). полностью не согласен» (1 балл)) регистрирует ожидания потребителей относительно критериев качества услуги. Вторая часть при помощи аналогичной шкалы фиксирует потребительские восприятия качества. В третьей части анкеты потребители высказывают мнения относительно важности, значимости выделенных критериев качества услуги (при этом также используется пятибалльная шкала).
Обработка анкет сводится к расчёту средних баллов по выделенным критериям и исчислению коэффициентов качества как разности средних баллов восприятия и ожидания [2].
Презентация результатов исследования производится графически (рис. 2): на оси абсцисс откладываются фактически полученные значения коэффициентов качества, на оси ординат - фактическая важность критериев качества услуги. Две оси делят результаты опроса на четыре равных квадранта, которые дают информацию для принятия стратегических решений по совершенствованию качества: квадранты I и II указывают на положительное состояние дел, а квадрант III - на наличие серьёзных проблем [2].
![]()

Рисунок 2 – Матрица оценки качества услуг
Апробация методики SERVQUAL применительно к сфере образовательных услуг подтвердила её эффективность для выявления наиболее проблемных точек деятельности вуза. Опрос проводился между работодателями и выпускниками вузов [2, 6]. Однако графическая презентация результатов исследования позволяет представить лишь относительную картину качества, выявив «болевые» точки, и сформулировать рекомендации по их устранению. В то же время проведение сравнительной оценки качества образовательных услуг, предоставляемых вузом в рамках различных специальностей (или предоставляемых различными вузами), не представляется возможным. Это обусловливает необходимость расчёта некоторого обобщающего, интегрального показателя, позволяющего сопоставить вузы и образовательные программы.
Кроме того, оценка ряда выделенных в рамках данной методики критериев качества образовательных услуг [2] вызвала затруднения у достаточно большого процента респондентов. Например, оценить своё восприятие «точности и своевременности выполнения приказов ректора» не смогли 18% опрошенных; затруднения у 13% респондентов возникли также при оценке критерия «поддержка преподавателей со стороны руководства для эффективной работы со студентами» и так далее. По этой причине параметры оценки качества были приведены в соответствие с Методикой определения рейтинга вуза, утверждённой Приказом Министерства образования РФ №593 от 19.02.2003 года.
С другой стороны, на современном этапе развития экономической мысли многие учёные обращаются к системному подходу, в рамках которого сложная проблема рассматривается с точки зрения неразрывной взаимосвязи с её составляющими. В данном контексте заслуживает внимания методика, получившая название «куба для сбора данных» [3], или «куба бизнеса» [4]. Её основу составляет построение куба в трёхмерной системе координат, оси которой соответствуют трём составляющим изучаемого явления или процесса. Каждая ось подразделяется на три или более уровней, отражающих определённое состояние системы.
Пересечение же этих уровней и определяет искомый куб (рис. 3).

Рисунок 3 – Комплексные кубы, характеризующие идеальное (а) и неудовлетворительное (б) качество образовательных услуг
Методика «куба» вполне может применяться при оценке соответствия запросам потребителей качества образования (оси системы координат соответствуют трём группам потребителей).
Данная методика исследования потребительской оценки качества и престижности образовательных услуг. Процедура исследования потребительских мнений включает три укрупнённых этапа:
I - графическая оценка образовательных услуг;
II - выработка стратегии повышения потребительской оценки качества образования и престижности обучения на основе построения матрицы SWOT-анализа;
III - сопоставление оцениваемых вузов и образовательных программ на основе расчётных значений интегральных индексов ССКОУЗП; комплексная оценка образовательных услуг, выполняемая при помощи трёхуровневого куба оценки качества образовательных услуг.
Первичную информацию для проведения оценки соответствия качества образования запросам потребителей согласно методике составляют данные опросной статистики трёх потребительских групп: студентов, выпускников вуза и их работодателей. Опросные анкеты составляются в соответствии с описанными выше принципами методики SERVQUAL (приложения).
В зависимости от целей оценки и имеющихся временных и финансовых возможностей исследователь может самостоятельно определить масштаб исследования как по вертикали (сколько именно этапов алгоритма ему необходимо выполнить), так и по горизонтали (нужно ли проводить анализ мнений всех трёх групп потребителей или же можно ограничиться какой-либо одной группой).
Для проведения SWOT-анализа и выработки на его основе стратегии повышения потребительской оценки качества образования и престижности обучения выделенные критерии должны характеризовать:
- внутреннюю среду вуза - критерии, входящие в разделы «Квалификация и стиль поведения профессорско-преподавательского состава», «Материальная, информационная и социально-культурная база вуза» анкет студентов и молодых специалистов, а также критерии блока «Образовательный потенциал молодого специалиста» анкеты работодателей;
- внешнюю по отношению к вузу среду - критерии блока «Престижность специальности и вуза в целом» анкеты студентов и молодых специалистов, разделов «Мотивация профессионального роста молодого специалиста», «Личные качества молодого специалиста» опросной анкеты работодателей.
Кроме того, для дальнейшего построения частных «кубов» оценки качества образовательных услуг, разработанные для каждой группы потребителей критерии оценки должны легко подразделяться на три части. В данном случае:
- опросники, предназначенные для студентов и молодых специалистов, содержат такие части, как «Квалификация и стиль поведения профессорско-преподавательского состава», «Материальная, информационная и социально-культурная база вуза» анкет студентов и молодых специалистов, а также критерии блока «Образовательный потенциал молодого специалиста» анкеты работодателей.


![]()

Рисунок 3 – Алгоритм – схема методики исследования потребительской оценки качества и престижности образовательных услуг
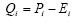
Обработка данных анкетного опроса заключается в исчислении по каждому критерию оценки показателя (среднего балла) ожидания, восприятия и важности, а также коэффициента качества как разницы показателей восприятия и ожидания [2, с.57]:
![]()
где Qi - коэффициент качества (quality) услуги по i-му критерию;
Pi - потребительское восприятие (perception) качества по критерию i;
Ei - потребительское ожидание (expectation) качества по i-му критерию.
В литературе подчёркивается, что удовлетворительным результатом считаются негативные коэффициенты качества, максимально приближающиеся к нулевому значению. Положительные значения коэффициентов указывают на «суперкачество» и, как правило, в исследованиях встречаются редко.
Выработку стратегии повышения потребительской оценки качества образования и престижности обучения предлагается производить на основе построения матрицы SWOT-анализа. Разграничение критериев оценки по блокам матрицы SWOT-анализа (сильные и слабые стороны, возможности и угрозы) рекомендуется производить по итогам ранжирования выделенных параметров легенды:
- по уровню качества: первый ранг присуждается критерию, получившему максимальный коэффициент качества, а последний . критерию, состояние дел по которому менее всего соответствует ожиданиям потребителей;
- по степени важности с позиций обеспечения высокого качества образования: первый ранг присваивается критерию, который по результатам опроса получил максимальную оценку важности, а последний - наименее значимому параметру;
- по уровню проблемности: в основе предлагаемого подхода к проведению ранжирования лежит предположение, что необходимо стремиться в первую очередь удовлетворить потребности потребителей услуг по наиболее значимым для них критериям. Другими словами, следует в отношении критерия, имеющего первый ранг важности, обеспечить и первый ранг качества, критерий, стоящий в рейтинге важности на втором месте, необходимо «довести» до второго места и в рейтинге соответствия ожиданиям потребителей и т.д.
То есть, показатель проблемности легко определить как разность ранга важности и ранга качества. Отрицательный результат говорит о наличии проблем в отношении данного параметра качества, положительный - о том, что действительность оказалась лучше ожиданий потребителя, нулевой - ожидания потребителя в отношении данного критерия полностью оправданы. Очевидно, что «в идеале» показатель проблемности по всем критериям качества услуги должен быть равен нулю.
Таким образом распределение выделенных критериев качества образовательных услуг по блокам комплексной матрицы SWOT-анализа происходит следующим образом:
- в блок «Сильные стороны» входят критерии «Квалификации и стиля поведения профессорско-преподавательского состава», «Материальной, информационной и социально-культурной базы вуза» (опрос студентов и молодых специалистов) и «Образовательного потенциала молодых специалистов» (опрос работодателей) с положительным или нулевым уровнем проблемности;
- в блок «Слабые стороны» относятся критерии «Квалификации и стиля поведения профессорско-преподавательского состава», «Материальной, информационной и социально-культурной базы вуза» (опрос студентов и молодых специалистов) и «Образовательного потенциала молодых специалистов» (опрос работодателей), уровень проблемности которых отрицателен;
- блок «Возможности» содержит критерии «Престижности образовательной программы» (опрос студентов и молодых специалистов), «Мотивации профессионального роста» и «Личных качеств» молодых специалистов (опрос работодателей), получившие положительное или нулевое значение уровня проблемности;
- блок «Угрозы» составляют критерии «Престижности образовательной программы» (опрос студентов и молодых специалистов), «Мотивации профессионального роста» и «Личных качеств» молодых специалистов (опрос работодателей) с негативными значениями уровня проблемности.
Частные SWOT-матрицы строятся по результатам опроса одной из групп потребителей аналогично комплексной матрице.
Выработка стратегии повышения потребительской оценки качества образования и престижности обучения происходит в соответствии с широко известными принципами методики проведения SWOT-анализа [7], подробно останавливаться на которых представляется нецелесообразным.
Алгоритм расчёта интегральных (характеризующих соответствие качества образовательных услуг с позиции одной из потребительских групп) и обобщающего (отражающего комплексный уровень качества образования) индексов ССКОУЗП представлен в таблице 2. Очевидно, что ближе к единице величина интегрального (обобщающего) индекса, тем выше уровень качества услуг, и наоборот.
На основе расчётных значений интегральных и обобщающего индексов ССКОУЗП предлагается сравнивать и сопоставлять оцениваемые вузы и образовательные программы, то есть производить относительную оценку качества образовательных услуг, а также определять уровень удовлетворённости потребителей образовательных услуг для дальнейшего построения куба оценки качества образования (таблица 2). На рисунке 4 представлены идеальный (а) и неудовлетворительный (б) кубы оценки качества образовательных услуг, позволяющие наглядно представить комплексную картину соответствия качества образования запросам потребителей.
Таблица 2 – Механизм расчета интегральных и обобщающего индексов соответствия содержания и качества образования запросам потребителей
|
где Qj . интегральный индекс качества образования, рассчитанный по результатам опроса j- й группы потребителей; qi . частный индекс качества услуги по i-му критерию; KIi . индекс важности i-го критерия качества. |
|
|
где Pi, Ei . потребительское восприятие (perception) и ожидание (expection) качества по i-му критерию. |
где Ii . потребительская оценка важности (importance) i-го критерия качества услуги. |
|
где Q - обобщающий индекс ССКОУЗП; Qстудент, Qм.спец., Qработ-ль - соответственно, интегральные индексы ССКОУЗП, рассчитанные по результатам опроса студентов, молодых специалистов и их работодателей. |
Построение частных кубов оценки качества образовательных услуг производится в системе координат, оси которой соответствуют трём блокам критериев качества, выделенных в опросной анкете. По каждому блоку рассчитывается индекс качества блока критериев (формула (2)), алгоритм расчёта которого аналогичен механизму определения интегрального индекса качества образования, рассчитанного по результатам опроса группы потребите-
лей:
![]()
где Qк - индекс качества k-того блока опросной анкеты;
qi - частный индекс качества услуги по i-му критерию, входящему в k-тый блок анкеты;
KIi - индекс важности i-го критерия качества k-того блока опросной анкеты.
Определение уровня удовлетворённости потребителей по трём составляющим образовательных услуг, выделенным в опросной анкете, для построения частного куба качества и относительная оценка качества образования по результатам опроса одной потребительской группы производится также в соответствии с табл. 3.
Таблица 3 –Абсолютная и относительная оценка соответствия требованиям работодателей профессиональной подготовки молодых специалистов
|
Абсолютная оценка (в соответствии с расчетным значением) |
Относительная оценка (в сравнении с «внешней» средой) |
||
|
Диапазон индекса качества |
Градации абсолютной оценки качества образовательных услуг |
Значение индекса ССКОУЗП в сравнении с «внешней» средой |
Рейтинг вуза и его выпускников на рынке труда |
|
От 0,80 до 1,00 |
Нормальная (уровень 3) |
Больше, чем на 0,100 |
«лидер» |
|
От 0,60 до 0,79 |
Удовлетворительная (уровень 2) |
Равен (± 0,100) |
«середняк» |
|
Менее 0,59 |
Критическая (уровень 1) |
Меньше, чем на 0,100 |
«аутсайдер» |
5. Важность исследования
Вуз является производителем образовательных услуг в виде образовательных программ, которые он предлагает на рынке. Результатом потребления образовательных программ является выпуск учебным заведением «готового продукта» - специалиста с определенным набором знаний, качеством подготовки, умений и навыков.
Особенностью деятельности высшего учебного заведения как субъекта рыночных отношений является то, что вузу приходится работать одновременно на двух рынках: рынке образовательных услуг и рынке труда.
Образовательные услуги обеспечивают: реализацию потребности человека в получении определенного вида знаний, умений, навыков; в приобретении определенной профессии или получении образования: удовлетворение спроса на специалистов на рынке труда.
Выпускник вуза вступает в рыночные отношения на другом рынке - рынке труда. Оттого, какую специальность он получил, и какого качества оказались полученные им знания и приобретенные навыки, зависит, насколько востребованным он окажется на рынке труда. Степень востребованности специалиста и качество полученных им знаний в свою очередь влияют на формирование имиджа учебною заведения, что в значительной мере определяет предпочтения будущих абитуриентов при выборе ими учебного заведения. Следовательно, вуз напрямую заинтересован в том, чтобы его образовательные программы и качество подготовки в максимальной степени соответствовали требованиям рынка труда.
6. План исследования
План исследования состоит из следующих этапов:
1. Обзор рынка образовательных услуг г. Новосибирска
2. Сбор первичной информации (анкетирование потребителей образовательных услуг)
Исследование проводилось среди студентов, обучающихся в НГУЭУ, обучающихся по программе MBA, среди выпускников НГУЭУ, закончивших обучение по специальности MBA, а также среди работодателей.
Анкеты для проведения исследования представлены в Приложении.
3. Анализ и обработка данных, полученных в ходе маркетингового исследования.
4. Разработка выводов и рекомендаций.
7. Анализ данных
Рассмотрим рынок образовательных услуг г. Новосибирска.
На начало 2005/2006 учебного года в области функционировало 16 самостоятельных и 11 филиалов государственных высших учебных заведений, в том числе 6 академий и 9 университетов.
В 2005 году в государственные высшие учебные заведения было принято 38,6 тыс. студентов, что на 0,2 тыс. (0,5%) студентов больше, чем в 2004 году. На дневные отделения было принято 18,9 тыс. человек (49%), на вечерние – 1,6 тыс. (4%), на заочные – 18,1 тыс. студентов (47%).
В высших учебных заведениях обучаются 157,2 тыс. студентов (на 0,8 тыс. или на 0,5% больше, чем на начало 2004/2005 учебного года), из них 80,4 тыс. студентов (51%) - на дневных отделениях, 5,8 тыс. (4%) - на вечерних, 71 тыс. (45%) - на заочных.
Из общего количества студентов 95 тыс. (60%) – женщины.
С полным возмещением затрат на обучение на всех отделениях государственных высших учебных заведений обучаются 97,6 тыс. человек или 62,1%. По сравнению с 2004/2005 учебным годом численность обучающихся с полным возмещением затрат на обучение увеличилась на 1,6 тыс. студентов. Более36% студентов дневного отделения (29,2 тыс.) получали стипендии или другие выплаты за счет стипендиального фонда.
В 2005 году было выпущено 29,5 тыс. специалистов. По сравнению с 2004 годом число выпускников увеличилось на 2,6 тыс. человек (на 9,7%). Из общего выпуска специалистов государственных вузов диплом бакалавра получили 2,5 тыс. (9%), диплом специалиста с высшим образованием – 26,3 тыс. (89%), диплом магистра – 0,6 тыс. (2%).
Нуждались в общежитиях 24 тыс. студентов, 19,7 тыс. (82%) проживали в них.
Численность преподавателей в государственных вузах составила 7,1 тыс. человек. Кроме того, 3,2 тыс. преподавателей работали на условиях штатного совместительства. Из общей численности штатных преподавателей 11% - доктора наук, 43% - кандидаты наук.
Вузы на карте г. Новосибирска представлены на рис. 4.
Из рис. 1. видно, что НГУ находится далеко от центра города, однако это нисколько не умаляет его конкурентных преимуществ перед другими Вузами. Так, по данным Новосибирского облкомстата, в 15-ти самостоятельных и семи филиалах государственных высших учебных заведений области обучаются 132,7 тысячи студентов.
Это почти на 24 процента больше, чем в 2003 году. Половина студентов - очники, чуть более 46 процентов учатся на заочном отделении. На вечерние приходится всего три процента. Что касается восьми негосударственных вузов, то в них учатся 6,9 тысячи студентов.
С одной стороны, проникновение рыночных отношений в сферу образовательных услуг вызвало значительный исследовательский интерес к разработке и применению маркетингового инструментария для оценки качества образования с позиции его потребителей.

Рисунок 4 - Карта Вузов г. Новосибирска
Проведение маркетингового исследования, в котором участвовало 60 респондентов (20 выпускников НГУЭУ, обучавшихся по программе MBA, 20 студентов НГУЭУ, обучающихся по программе MBA и 20 работодателей выпускников).
Опрос проводился в письменной форме с помощью анкет, представленных в Приложении. Анкеты для работодателей были разосланы по электронной почте менеджерам по персоналу таких фирм как «Авиакомпания «Сибирь», «Вектор-Бэст», «Эльдорадо», «Группа компаний F1», «Сибирское молоко» и др.
Проведённое исследование выявило, что как непосредственные потребители образовательной услуги в настоящее время - студенты, так и выпускники НГУЭУ, обучавшиеся по программе MBA отмечают высокий уровень увлеченности профессией профессорско-преподавательского состава вуза, высокий интеллектуальный потенциал преподавателей, их коммуникабельность и этика поведения.
Следует отметить, что выпускники оценили качество некоторых параметров оценки (качество проведения лекционных, практических занятий и лабораторных работ, практическую значимость учебного материала, а также обеспеченность компьютерной базой) ниже, чем студенты. Различия в оценке могут быть объяснены как субъективными причинами, так и тем, что выпускники, как независимые эксперты, отвечали на вопросы анкеты более искренне и непредвзято оценивали выделенные критерии качества образовательной услуги (студенты, несмотря на анонимность, всё-таки опасались участвовать в исследовании). В то же время материальная база вуза ежегодно пополняется, а выпускники давали оценку той базе, которая была во время их обучения, поэтому, заниженная оценка с их стороны вполне обоснованна.
Тем не менее, очевидно, что критерии блока «Квалификация и стиль поведения профессорско-преподавательского состава вуза» в большей степени соответствуют потребностям студентов и выпускников, чем критерии блока «Материальная, информационная и социально-культурная база вуза», что свидетельствует о доминировании «проблемности» материальной базы над «проблемностью» профессионализма кадров.
Соответственно, приоритетной задачей руководства вуза является наращивание материальной базы, создание условий для реализации интеллектуального потенциала профессорско-преподавательского состава.
Следует также отметить, что в отношении ряда параметров качества образования студентами и выпускниками была дана различная оценка значимости, важности.
Так, например, (и это вполне объяснимо) студенты придают большее значение удобству расписания, в то время как для выпускников этот параметр уже потерял свою значимость. В то же время, выпускники высоко оценивают важность требовательности преподавателей, тогда как для студентов этот параметр малозначим.
В отношении престижности образования мнения студентов и молодых специалистов практически совпали. Отмечена высокая престижность диплома вуза в городе, а также престижность получения данного образования в городе Новосибирске и за его пределами. Однозначно отмечено недостаточное содействие вуза трудоустройству выпускников, однако возможность трудоустройства по полученной специальности соответствует требованиям выпускников, в то время как студенты совсем не уверены в такой в возможности.
В результате опроса непосредственных руководителей выпускников было выявлено, что большинство выделенных критериев качества профессиональной подготовки молодых специалистов соответствуют их требованиям. Неудовлетворительным признано качество практической подготовки выпускников и юридическая грамотность выпускнивов; однако и значимость указанных параметров для успешной трудовой деятельности оценена работодателями достаточно низко.
Приведём комплексную матрицу SWOT-анализа (таблица 4).
В результате исследования соответствия содержания и качества образовательных услуг, предоставляемых НГУЭУ в рамках программы MBA, запросам потребителей были получены следующие значения интегральных индексов ССКОУЗП:
- по итогам опроса студентов: Qстудент = 0,741 (в соответствии с таблицей 2, данное значение индекса соответствует 2-му, удовлетворительному уровню качества);
- по итогам опроса молодых специалистов: Qм.спец. = 0,763 (также . 2-ой, удовлетворительный уровень качества);
- по итогам опроса работодателей . непосредственных руководителей выпускников специальности ЭУП: Qработ-ль = 0,927 (3-ий, нормальный уровень качества).
Таблица 4 – Определение основных направлений работы по повышению потребительской оценки качества образовательных услуг
|
Возможности: высокая престижность образования, высокая оценка работодателями готовности выпускников к служебным командировкам и овладения смежными профессиями, лидерских качеств и коммуникабельных выпускников |
Угрозы: низкая престижность за пределами г. Новосибирска, низкий уровень возможности трудоустройства по полученной специальности, низкая оценка работодателями инициативности выпускников, их способности работать и принимать решения самостоятельности, восприимчивости к инновациям |
|
|
Сильные стороны НГУЭУ (по программе MBA): высокий уровень профессиональных и личных качество преподавателей, интерьеры помещений соответствуют требованиям студентов, выпускники владеют навыками работы на компьютере, делового общения, культуры речи и этики поведения. Конкурентоспособная стоимость услуг |
Использование сильных сторон для получения отдачи от возможностей внешней среды: работа с потенциальными абитуриентами: ежегодное проведение Дня открытых дверей, проведение профмероприятий, разработка рекламных и информационных материалов, тиражирование и размещение в СМИ результатов оценки качества образования, организация Дней карьеры, встреч выпускников с потенциальными работодателями |
Использование сильных сторон для устранения угроз внешней среды: проведение совместно со службами занятости ярмарок вакансий и других мероприятий, направленных на содействие трудоустройству выпускников, оценка престижности, изучение опыта престижных учебных заведений, поддержка (в том числе и материальная) творческой активности студентов |
|
Слабые стороны НГУЭУ (по программе MBA): низкая практическая значимость учебной литературы, слабый уровень чтения лекций, проведения практических занятий |
Использование возможностей внешней среды для преодоления слабых сторон заключение договоров с предприятиями об организации стажировок для преподавателей |
Ограничения, обусловленные угрозами со стороны внешней среды и наличием слабых сторон: в условиях растущей конкуренции на рынке образовательных услуг возможно пониженное внимание к вузу |
Величина обобщающего индекса ССКОУЗП характеризует, в соответствии с таблицей 2, качество образовательных услуг, предоставляемых
НГУЭУ в рамках программы MBA, как нормальное.
8. Представление результатов и рекомендаций
Таким образом, в ходе реализации настоящего проекта были выявлены основные «болевые» точки деятельности вуза: недостаточное соответствие материальной базы потребностям студентов и подготовка недостаточно инициативных молодых специалистов. Усилия администрации вуза должны быть в первую очередь направлены на устранение указанных проблемных аспектов.
В ходе проведения SWOT-анализа были разработаны следующие мероприятия:
1. Работа с потенциальными абитуриентами: ежегодное проведение Дня открытых дверей, проведение профмероприятий, разработка рекламных и информационных материалов, тиражирование и размещение в СМИ результатов оценки качества образования, организация Дней карьеры, встреч выпускников с потенциальными работодателями
2. Проведение совместно со службами занятости ярмарок вакансий и других мероприятий, направленных на содействие трудоустройству выпускников, оценка престижности, изучение опыта престижных учебных заведений, поддержка (в том числе и материальная) творческой активности студентов
3. Организация стажировок для преподавателей
Реализация данных мероприятий позволит ещё в большей степени «приблизить» содержание и качество образовательных услуг к запросам потребителей и, в дальнейшем, повысив степень их удовлетворённости, сформировать положительный имидж вуза.
Таким образом, методика исследования потребительской оценки качества образования может быть позиционирована как стратегически важный инструмент CRM.
Список литературы
1. Голубков Е.П. Современные тенденции развития маркетинга // Маркетинг в России и за рубежом. - 2004. - №1. - С.3 . 18.
2. Новаторов Э.В. КАЧОБРУС: маркетинговый инструмент для измерения качества образовательных услуг // Маркетинг. - 2001. - № 6. - С. 54 . 67.
3. Мейби К., Пью Д. Стратегии управления сложным изменением / Кн. 10. - Изд-во МИМ ЛИНК, 1998. - 72 с.
4. Сибиряков В.Г., Семёнова Л.Н. Технологии управления делом. Методические материалы. - Новосибирск: Изд-во СО РАН, 2001. - 47 с.
5. Миляева Л.Г., Волкова Н.В. Маркетинговый инструментарий для оценки соответствия содержания и качества образовательных услуг потребностям обучающихся // Маркетинг в России и за рубежом. - 2004. - №1. - С. 90 - 101.
7. Абалонин С. SWOT-анализ деятельности предприятия // Маркетинг. . 1999. - №6. - С.47- 49.
8. Миляева Л.Г., Волкова Н.В. Методологические подходы к оценке качества образовательных услуг // Управление качеством образования, продукции и окружающей среды: Материалы межрегиональной научно-практической конференции 3 . 4 июля 2003 года / Под редакцией д.т.н., профессора А.Г. Овчаренко. - Бийск: Изд-во Алт. гос. техн. ун-та, 2003. - С. 167 - 171.
9. Миляева Л.Г., Волкова Н.В. Применение системного подхода к оценке качества образовательных услуг // Совершенствование качества подготовки специалистов: Материалы Всероссийской научно-методической конференции / Под ред. С.А. Подлесного. - Красноярск: ИПЦ КГТУ, 2004. - С. 16 - 17.
10. Волкова Н.В. Оценка качества образования: методика «куба», учёт мнения работодателей // Реформирование промышленности: проблемы и решения. Сборник научных докладов II Межрегиональной научно-практической конференции, г. Барнаул, 27 . 28 мая 2004 г. - Барнаул: Изд-во АлтГТУ, 2004. - С.53 - 58.
11. Волкова Н.В. Оценка качества образования: учёт мнения молодых специалистов, первые результаты // Управление качеством образования, продукции и окружающей среды: Материалы второй межрегиональной научно-практической конференции 6 - 7 июля 2004 года / Под ред. А.Г. Овчаренко. - Бийск: Изд-во Алт. гос. техн. ун-та, 2004. - С.85 - 87.
12. http://www.bonsk.ru/company.php?id=39
Приложения
АНКЕТА СТУДЕНТА
Компания Mancosa совместно с независимым консультантом по маркетингу проводит опрос студентов, обучающихся в НГУЭУ по программе MBA с целью оценки удовлетворенности потребителей качеством образования. С Вашей помощью мы надеемся максимально усовершенствовать образовательный процесс и приблизить его к требованиям студентов.
Часть 1. Сведения о респонденте
1. Группа и курс обучения ________________________________________
2. Ваш пол:
Мужской
Женский
Часть 2. Оценка качества образовательных услуг
Блок «Ожидания» предназначен для выявления Вашего мнения относительно критериев, которым должно соответствовать идеальное учебное заведение. Если Вы полностью согласны, что идеальное учебное заведение должно соответствовать анализируемому критерию, то обведите цифру 5, если же Вы полностью не согласны с данным утверждением – обведите цифру 1. Остальные значения (2, 3, 4) отражает степень Вашего приближения к той или иной крайней точке зрения.
Блок «Восприятие» предназначен для выявления Вашего мнения относительно соответствия НГУЭУ (обучение про программе MBA) перечисленным критериям. Если Вы полностью согласны, что обучение в НГУЭУ по программе MBA соответствует анализируемому критерию, то обведите цифру 5, если же Вы полностью не согласны с этим утверждением – обведите цифру 1. Остальные значения (2, 3 ,4) отражают степень Вашего приближения к той или иной крайней точке зрения.
В блоке «Важность» оцените, пожалуйста, по пятибалльной шкале насколько перечисленные критерии важны для получения качественного образования (очень важны – 5 баллов, совсем не важны – 1 балл). Остальные значения (2.3.4) отражают степень Вашего приближения к той или иной крайней точке зрения.
|
Анализируемые критерии |
Ожидания |
Восприятие |
Важность |
|
1. Квалификация и стиль поведения профессорско-преподавательского состава |
|||
|
1. Качество чтения лекций |
1 2 3 4 5 |
1 2 3 4 5 |
1 2 3 4 5 |
|
2. Качество проведения практических и семинарских занятий |
1 2 3 4 5 |
1 2 3 4 5 |
1 2 3 4 5 |
|
3. Качество проведения лабораторных работ |
1 2 3 4 5 |
1 2 3 4 5 |
1 2 3 4 5 |
|
4. Практическая значимость учебного материала |
1 2 3 4 5 |
1 2 3 4 5 |
1 2 3 4 5 |
|
5. Увлеченность профессией |
1 2 3 4 5 |
1 2 3 4 5 |
1 2 3 4 5 |
|
6. Интеллектуальный потенциал |
1 2 3 4 5 |
1 2 3 4 5 |
1 2 3 4 5 |
|
7. Коммуникабельность |
1 2 3 4 5 |
1 2 3 4 5 |
1 2 3 4 5 |
|
8. Требовательность |
1 2 3 4 5 |
1 2 3 4 5 |
1 2 3 4 5 |
|
9. Этика поведения |
1 2 3 4 5 |
1 2 3 4 5 |
1 2 3 4 5 |
|
10. Опрятный внешний вид |
1 2 3 4 5 |
1 2 3 4 5 |
1 2 3 4 5 |
|
2. Материальная, информационная и социально-культурная база ВУЗа |
|||
|
11. Обеспеченность учебно-лабораторной базой |
1 2 3 4 5 |
1 2 3 4 5 |
1 2 3 4 5 |
|
12. Обеспеченность компьютерной базой |
1 2 3 4 5 |
1 2 3 4 5 |
1 2 3 4 5 |
|
13. Обеспеченность учебной литературой |
1 2 3 4 5 |
1 2 3 4 5 |
1 2 3 4 5 |
|
14. Обеспеченность методической литературой |
1 2 3 4 5 |
1 2 3 4 5 |
1 2 3 4 5 |
|
15. Интерьеры помещений |
1 2 3 4 5 |
1 2 3 4 5 |
1 2 3 4 5 |
|
16. Удобство расписания |
1 2 3 4 5 |
1 2 3 4 5 |
1 2 3 4 5 |
|
17. Обеспеченность общественным питание |
1 2 3 4 5 |
1 2 3 4 5 |
1 2 3 4 5 |
|
3. Обобщенная оценка престижности ВУЗа и специальности |
|||
|
18. Престижность диплома ВУЗА в городе |
1 2 3 4 5 |
1 2 3 4 5 |
1 2 3 4 5 |
|
19. Престижность диплома ВУЗа за пределами города |
1 2 3 4 5 |
1 2 3 4 5 |
1 2 3 4 5 |
|
20. Престижность диплома ВУЗа по специальности в городе |
1 2 3 4 5 |
1 2 3 4 5 |
1 2 3 4 5 |
|
21. Престижность обучения по специальности в вузе |
1 2 3 4 5 |
1 2 3 4 5 |
1 2 3 4 5 |
|
22. Престижность специальности в городе |
1 2 3 4 5 |
1 2 3 4 5 |
1 2 3 4 5 |
|
23. Престижность специальности за пределами города |
1 2 3 4 5 |
1 2 3 4 5 |
1 2 3 4 5 |
|
24. Возможность трудоустройства по специальности |
1 2 3 4 5 |
1 2 3 4 5 |
1 2 3 4 5 |
АНКЕТА МОЛОДОГО СПЕЦИАЛИСТА
Компания Mancosa совместно с независимым консультантом по маркетингу проводит опрос выпускников, обучавшихся в НГУЭУ по программе MBA с целью оценки удовлетворенности потребителей качеством образования. С Вашей помощью мы надеемся максимально усовершенствовать образовательный процесс и приблизить его к требованиям студентов.
Часть 1. Сведения о респонденте
3. Группа и курс обучения ________________________________________
4. Ваш пол:
Мужской
Женский
Часть 2. Оценка качества образовательных услуг
Блок «Ожидания» предназначен для выявления Вашего мнения относительно критериев, которым должно соответствовать идеальное учебное заведение. Если Вы полностью согласны, что идеальное учебное заведение должно соответствовать анализируемому критерию, то обведите цифру 5, если же Вы полностью не согласны с данным утверждением – обведите цифру 1. Остальные значения (2, 3, 4) отражает степень Вашего приближения к той или иной крайней точке зрения.
Блок «Восприятие» предназначен для выявления Вашего мнения относительно соответствия НГУЭУ (обучение про программе MBA) перечисленным критериям. Если Вы полностью согласны, что обучение в НГУЭУ по программе MBA соответствует анализируемому критерию, то обведите цифру 5, если же Вы полностью не согласны с этим утверждением – обведите цифру 1. Остальные значения (2, 3 ,4) отражают степень Вашего приближения к той или иной крайней точке зрения.
В блоке «Важность» оцените, пожалуйста, по пятибалльной шкале насколько перечисленные критерии важны для получения качественного образования (очень важны – 5 баллов, совсем не важны – 1 балл). Остальные значения (2.3.4) отражают степень Вашего приближения к той или иной крайней точке зрения.
|
Анализируемые критерии |
Ожидания |
Восприятие |
Важность |
|
1. Квалификация и стиль поведения профессорско-преподавательского состава |
|||
|
1. Качество чтения лекций |
1 2 3 4 5 |
1 2 3 4 5 |
1 2 3 4 5 |
|
2. Качество проведения практических и семинарских занятий |
1 2 3 4 5 |
1 2 3 4 5 |
1 2 3 4 5 |
|
3. Качество проведения лабораторных работ |
1 2 3 4 5 |
1 2 3 4 5 |
1 2 3 4 5 |
|
4. Практическая значимость учебного материала |
1 2 3 4 5 |
1 2 3 4 5 |
1 2 3 4 5 |
|
5. Увлеченность профессией |
1 2 3 4 5 |
1 2 3 4 5 |
1 2 3 4 5 |
|
6. Интеллектуальный потенциал |
1 2 3 4 5 |
1 2 3 4 5 |
1 2 3 4 5 |
|
7. Коммуникабельность |
1 2 3 4 5 |
1 2 3 4 5 |
1 2 3 4 5 |
|
8. Требовательность |
1 2 3 4 5 |
1 2 3 4 5 |
1 2 3 4 5 |
|
9. Этика поведения |
1 2 3 4 5 |
1 2 3 4 5 |
1 2 3 4 5 |
|
10. Опрятный внешний вид |
1 2 3 4 5 |
1 2 3 4 5 |
1 2 3 4 5 |
|
2. Материальная, информационная и социально-культурная база ВУЗа |
|||
|
11. Обеспеченность учебно-лабораторной базой |
1 2 3 4 5 |
1 2 3 4 5 |
1 2 3 4 5 |
|
12. Обеспеченность компьютерной базой |
1 2 3 4 5 |
1 2 3 4 5 |
1 2 3 4 5 |
|
13. Обеспеченность учебной литературой |
1 2 3 4 5 |
1 2 3 4 5 |
1 2 3 4 5 |
|
14. Обеспеченность методической литературой |
1 2 3 4 5 |
1 2 3 4 5 |
1 2 3 4 5 |
|
15. Интерьеры помещений |
1 2 3 4 5 |
1 2 3 4 5 |
1 2 3 4 5 |
|
16. Удобство расписания |
1 2 3 4 5 |
1 2 3 4 5 |
1 2 3 4 5 |
|
17. Обеспеченность общественным питание |
1 2 3 4 5 |
1 2 3 4 5 |
1 2 3 4 5 |
|
3. Обобщенная оценка престижности ВУЗа и специальности |
|||
|
18. Престижность диплома ВУЗА в городе |
1 2 3 4 5 |
1 2 3 4 5 |
1 2 3 4 5 |
|
19. Престижность диплома ВУЗа за пределами города |
1 2 3 4 5 |
1 2 3 4 5 |
1 2 3 4 5 |
|
20. Престижность диплома ВУЗа по специальности в городе |
1 2 3 4 5 |
1 2 3 4 5 |
1 2 3 4 5 |
|
21. Престижность обучения по специальности в вузе |
1 2 3 4 5 |
1 2 3 4 5 |
1 2 3 4 5 |
|
22. Престижность специальности в городе |
1 2 3 4 5 |
1 2 3 4 5 |
1 2 3 4 5 |
|
23. Престижность специальности за пределами города |
1 2 3 4 5 |
1 2 3 4 5 |
1 2 3 4 5 |
|
24. Возможность трудоустройства по специальности |
1 2 3 4 5 |
1 2 3 4 5 |
1 2 3 4 5 |
АНКЕТА РАБОТОДАТЕЛЯ
Компания Mancosa совместно с независимым консультантом по маркетингу проводит опрос выпускников, обучавшихся в НГУЭУ по программе MBA с целью оценки удовлетворенности потребителей качеством образования. С Вашей помощью мы надеемся максимально усовершенствовать образовательный процесс и приблизить его к требованиям студентов.
Часть 1. Сведения о работодателе и оцениваемом молодом специалисте
1. Предприятие ________________________________________________
2. Сфера деятельности предприятия (нужное подчеркните): производственная сфера, научная (научно-производственная) сфера; банковское дело; торговая сфера; другое_________________________________
3. Должность и стаж работы респондента___________________________
4. ФИО оцениваемого молодого специалиста________________________
5. Должность и стаж работы на предприятии молодого специалиста__________________________________________________
6. Оконченный молодым специалистом ВУЗ
7. Год окончания ВУЗа
Часть 2. Оценка качества образовательных услуг
Блок «Ожидания» предназначен для выявления Вашего мнения относительно критериев, которым должно соответствовать идеальное учебное заведение. Если Вы полностью согласны, что идеальное учебное заведение должно соответствовать анализируемому критерию, то обведите цифру 5, если же Вы полностью не согласны с данным утверждением – обведите цифру 1. Остальные значения (2, 3, 4) отражает степень Вашего приближения к той или иной крайней точке зрения.
Блок «Восприятие» предназначен для выявления Вашего мнения относительно соответствия НГУЭУ (обучение про программе MBA) перечисленным критериям. Если Вы полностью согласны, что обучение в НГУЭУ по программе MBA соответствует анализируемому критерию, то обведите цифру 5, если же Вы полностью не согласны с этим утверждением – обведите цифру 1. Остальные значения (2, 3 ,4) отражают степень Вашего приближения к той или иной крайней точке зрения.
В блоке «Важность» оцените, пожалуйста, по пятибалльной шкале насколько перечисленные критерии важны для получения качественного образования (очень важны – 5 баллов, совсем не важны – 1 балл). Остальные значения (2.3.4) отражают степень Вашего приближения к той или иной крайней точке зрения.
|
Анализируемые критерии |
Ожидания |
Восприятие |
Важность |
|
1. Квалификация и стиль поведения профессорско-преподавательского состава |
|||
|
1. Теоретические знания по профилю полученной специальности |
1 2 3 4 5 |
1 2 3 4 5 |
1 2 3 4 5 |
|
2. Практическая подготовка по профилю полученной специальности |
1 2 3 4 5 |
1 2 3 4 5 |
1 2 3 4 5 |
|
3. Навыки работы на компьютере |
1 2 3 4 5 |
1 2 3 4 5 |
1 2 3 4 5 |
|
4. Юридическая грамотность |
1 2 3 4 5 |
1 2 3 4 5 |
1 2 3 4 5 |
|
5. Навыки делового общения, культура речи |
1 2 3 4 5 |
1 2 3 4 5 |
1 2 3 4 5 |
|
6. Этика поведения |
1 2 3 4 5 |
1 2 3 4 5 |
1 2 3 4 5 |
|
2. Мотивация профессорского состава |
|||
|
7. Готовность к повышению квалификации на краткосрочных курсах |
1 2 3 4 5 |
1 2 3 4 5 |
1 2 3 4 5 |
|
8. Готовность к повышению квалификации на долгосрочных курсах |
1 2 3 4 5 |
1 2 3 4 5 |
1 2 3 4 5 |
|
9. Готовность к служебным командировкам |
1 2 3 4 5 |
1 2 3 4 5 |
1 2 3 4 5 |
|
10. Готовность к овладению смежными и дополнительными профессиями и специальностями |
1 2 3 4 5 |
1 2 3 4 5 |
1 2 3 4 5 |
|
3. Личные качества выпускника |
|||
|
11. Инициативность к работе |
1 2 3 4 5 |
1 2 3 4 5 |
1 2 3 4 5 |
|
12. Способность работы в команде |
1 2 3 4 5 |
1 2 3 4 5 |
1 2 3 4 5 |
|
13. Способность работать самостоятельно |
1 2 3 4 5 |
1 2 3 4 5 |
1 2 3 4 5 |
|
14. Способность самостоятельно принимать решения |
1 2 3 4 5 |
1 2 3 4 5 |
1 2 3 4 5 |
|
15. Восприимчивость к инновациям и нововведениям |
1 2 3 4 5 |
1 2 3 4 5 |
1 2 3 4 5 |
|
16. Лидерские качества |
1 2 3 4 5 |
1 2 3 4 5 |
1 2 3 4 5 |
|
17. Коммуникабельность |
1 2 3 4 5 |
1 2 3 4 5 |
1 2 3 4 5 |