Вариант 4
Содержание
4. Порядок и последовательность разработки прогнозов. 3
14. Корреляционно-регрессионный анализ в прогнозировании. 6
24. Зарубежный опыт планирования на примере США.. 9
Задача №4. 12
Список литературы.. 15
4. Порядок и последовательность разработки прогнозов
На стадии подготовки к разработке прогноза должны быть решены следующие задачи:
· подготовлено организационное обеспечение разработки прогноза,
· сформулировано задание на прогноз,
· сформированы рабочая и аналитическая группы сопровождения,
· сформирована экспертная комиссия,
· подготовлено методическое обеспечение разработки прогноза,
· подготовлена информационная база для проведения прогноза,
· подготовлено компьютерное сопровождение разработки прогноза.
После того, как принято решение о разработке прогноза, необходимо определить исполнителей, которым разработка будет поручена.
С одной стороны, это группа работников, которой поручается организационное обеспечение разработки прогноза, с другой стороны, - это группа специалистов, которая должна обеспечить методическое и информационное его сопровождение.
От хорошей подготовки и профессионального уровня разработчиков прогноза зависит его качество.
Действительно, поскольку качественный экспертный прогноз может быть разработан лишь в том случае, если он хорошо подготовлен, если в его разработке задействованы компетентные специалисты, если использована достоверная информация, если оценки получены корректно и корректно обработаны.[1]
Разработка прогноза проходит следующие этапы:
1. Установление объекта прогнозирования;
2. Анализ развития спроса;
3. Выбор метода прогнозирования;
4. Процесс разработки прогноза;
5. Оценка прогноза.
Для разработки качественного прогноза необходимо использование современных технологий, сопровождающих и поддерживающих процесс разработки. Современные технологии такого типа в значительной степени базируются на использовании современных возможностей вычислительной техники.
Задание на разработку прогноза должно быть четким, однозначно понимаемым как экспертами, так и сопровождающими разработку прогноза специалистами.
В состав экспертной комиссии приглашаются специалисты, профессионально знакомые с объектом экспертизы.
Методическую подготовку процесса прогнозирования должна осуществлять аналитическая группа, в состав которой входят специалисты, обладающие профессиональными знаниями и опытом проведения прогнозных разработок.
Разработка прогноза должна быть четко регламентирована. Рабочая группа должна подготовить необходимую документацию, в состав которой входят официально оформленное решение о проведении прогноза, состав экспертной комиссии (комиссий), график разработки прогноза, контракты (трудовые соглашения) со специалистами, привлекаемыми для его разработки и т.д.
Специалисты, работающие над прогнозом, должны быть обеспечены всей необходимой информацией об объекте прогнозирования. Естественно, что при разработке прогноза ее всегда недостаточно (идеальная, но, к сожалению, нереальная ситуация, когда точно известно, что будет происходить в будущем) и чем полнее информация об объекте прогнозирования, тем более качественным может быть подготовленный прогноз.
Нередко полезным может оказаться специально подготовленный аналитической группой аналитический обзор по прогнозируемой проблеме. При работе над прогнозом, особенно, если это многовариантный прогноз, приходится иметь дело с большими объемами информации, которая, к тому же, должна анализироваться и обрабатываться в соответствии с используемой технологией разработки прогноза.
Поэтому без использования современной вычислительной техники и, прежде всего, персональных компьютеров, со специально подготовленными базами данных, модулями ввода, анализа и обработки информации, нередко работающими в режиме автоматизированного рабочего места (АРМа), автоматической распечатки отчетов о проделанной работе, промежуточных и конечных результатах, содержащих и сам прогноз, эффективная работа над прогнозом, удовлетворяющим современным требованиям, как правило, невозможна.[2]
Для прогнозирования применяют следующие методы:[3]
1. Метод эктраполяции – перенос тенденций прошлого на будущее. Для определения уравнения связи строят график, где по оси Х откладывается порядковый номер года, а по оси У – среднедушевая продажа.
Прогноз рассчитывается несколькими способами:
ü Если изменение продаж было равномерно по годам;
ü Если динамический ряд продажи имеет четкую тенденцию к росту или снижению, но в середине периода происходили какие – либо изменения, то используют способ аналитического выравнивания.
2. Экономико–математическое моделирование – описание процессов с помощью математических формул, уравнений, неравенств. Построение экономико–математической модели основывается на отборе факторов, влияющих на формирование спроса населения, с помощью корреляционного анализа.
3. Нормированный метод, для прогнозирования спроса применяют установленные нормы. По продуктам питания – физиологические нормы потребления, по товарам культурно – бытового назначения применяют перспективные нормативы обеспеченности населения отдельными изделиями культурно – бытового назначения и т. д.
4. Экспертные оценки – устанавливают специалисты прогнозируемый спрос, когда отсутствует нормативная база.
5. Аналогия – перенос знаний о развитии спроса из одного места в другое.
В прогнозировании может быть использован один метод – этот прогноз называется симплексным, два метода – дуплексный и более двух называют комплексным методом.
14. Корреляционно-регрессионный анализ в прогнозировании
Одним из наиболее динамично развивающихся методов перспективного анализа (прогнозирования) на предприятиях выступает корреляционно – регрессионный анализ.
Корреляционный и регрессионный анализ позволяет решать такие задачи, которые пока другими методами выполнить нельзя, как, например, определение совместного и раздельного влияния многих взаимно связанных и одновременно действующих факторов на результативный признак.
С помощью корреляционно-регрессионного анализа мы можем рассчитать коэффициенты корреляции, которые оценивают силу связи между отдельными признаками (показателями), подобрать уравнения регрессии, которая определяет форму этой связи, и установить достоверность (реальность) существующей связи.
Процесс корреляционно-регрессионного анализа экономических явлений состоит из следующих этапов:
- предварительная обработка статистических данных и выбор факторных
признаков;
- оценка тесноты связи между признаками и выявление форм связи;
- разработка много факторной модели изучаемого явления и ее анализ;
- использование результатов анализа для совершенствования планирования и управления данным явлением.[4]
Рассмотрим возможности этого метода применительно к прогнозированию объема продаж.
Может быть построена регрессионная модель, в которой в качестве факторных признаков могут быть выбраны такие переменные, как уровень доходов потребителей, цены на продукты конкурентов, расходы на рекламу и др. Уравнение множественной регрессии имеет вид
Y (X1; X2; ...; Xn) = b0 + b1 x X1 + b2 x X2 + ... + bn x Xn,
где Y — прогнозируемый (результативный) показатель; в данном случае — объем продаж;
X1; X2; ...; Xn — факторы (независимые переменные); в данном случае — уровень доходов потребителей, цены на продукты конку- рентов и т.д.;
n — количество независимых переменных;
b0 — свободный член уравнения регрессии;
b1; b2; ...; bn — коэффициенты регрессии, измеряющие отклонение результативного признака от его средней величины при отклонении факторного признака на единицу его измерения.
Последовательность разработки регрессионной модели для прогнозирования объема продаж включает следующие этапы:[5]
1. предварительный отбор независимых факторов, которые по убеждению исследователя определяют объем продаж. Эти факторы должны быть либо известны (например, при прогнозировании объема продаж цветных телевизоров (результативный показатель) в качестве факторного признака может выступать число цветных телевизоров, находящихся в эксплуатации в настоящее время); либо легко определяемы (например, соотношение цены на исследуемый продукт фирмы с ценами конкурентов);
2. сбор данных по независимым переменным. При этом строится временной ряд по каждому фактору либо собираются данные по некоторой совокупности (например, совокупности предприятий). Другими словами, необходимо, чтобы каждая независимая переменная была представлена 20 и более наблюдениями;
3. определение связи между каждой независимой переменной и результативным признаком. В принципе, связь между признаками должна быть линейной, в противном случае производят линеаризацию уравнения путем замены или преобразования величины факторного признака;
4. проведение регрессионного анализа, т.е. расчет уравнения и коэффициентов регрессии, и проверка их значимости;
5. повтор этапов 1—4 до тех пор, пока не будет получена удовлетворительная модель. В качестве критерия удовлетворительности модели может служить ее способность воспроизводить фактические данные с заданной степенью точности;
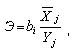
6. сравнение роли различных факторов в формировании моделируемого показателя. Для сравнения можно рассчитать частные коэффициенты эластичности, которые показывают, на сколько процентов в среднем изменится объем продаж при изменении фактора Xj на один процент при фиксированном положении других факторов. Коэффициент эластичности определяется по формуле

где bj — коэффициент регрессии при j-м факторе.
Регрессионные модели могут использоваться при прогнозировании спроса на потребительские товары и средства производства. В результате проведения корреляционно-регрессионного анализа объема продаж напитка «Тархун» была получена модель
Yt+1 = 2,021 + 0,743At + 0,856Yt,
где Yt+1 — прогнозируемый объем продаж в месяце t + 1;
At — затраты на рекламу в текущем месяце t;
Yt — объем продаж в текущем месяце t.
Возможна следующая интерпретация уравнения многофакторной регрессии: величина объема продаж напитка в среднем увеличивалась на 2,021 тыс. дал, при увеличении затрат на рекламу на 1 руб. объем продаж в среднем увеличивался на 0,743 тыс. дал., при увеличении объема продаж предыдущего месяца на 1 тыс. дал объем продаж в последующем месяце увеличивался на 0,856 тыс. дал.
24. Зарубежный опыт планирования на примере США
Организационно процесс централизованного планирования у большинства крупнейших фирм США осуществляется "сверху вниз". Это означает, что плановые директивы разрабатываются на высшем уровне управления. Здесь определяются цели, основные направления и главные хозяйственные задачи развития фирмы и предпринимаются попытки взаимоувязать все звенья производственного механизма. Затем на более низких ступенях управления эти цели и задачи конкретизируются применительно к деятельности каждого подразделения, вплоть до дочерней компании и отдельного завода. Это уже чисто технологическое планирование, устанавливающее пропорции и объемы производства по всем видам выпускаемой продукции. После соответствующего согласования плановых заданий с конкретными исполнителями планы окончательно утверждаются высшим руководством. Такая организация процесса планирования свидетельствует о централизации важнейших решений в области планирования в высшем звене управления материнской компании и, вместе с тем, предоставляет определенную самостоятельность производственным отделениям и дочерним компаниям в разработке календарных планов на базе показателей, единых для всей фирмы.
Чтобы иметь возможность правильно определить цели и задачи для каждого подразделения высшее руководство транснациональных корпораций (ТНК) Америки должно располагать данными о состоянии и развитии каждого конкретного рынка и каждого отдельного продукта на рынке. Эти данные обычно содержатся в программах маркетинга, которые кладутся в основу разработки плана во всех подразделениях.
Аппарат, осуществляющий внутрифирменное планирование, включает функциональные подразделения на разных уровнях управления. Высшее звено системы планирования составляют комитеты при Совете директоров.
В них, как правило, входят представители высшего руководства фирмы, которые подготавливают решения по наиболее важным проблемам стратегии и политики фирмы, выполняют координационные и аналитические функции, участвуют в формулировании основных целей и задач фирмы на длительную перспективу. Подготавливаемые ими рекомендации выносятся на рассмотрение Совета директоров и после одобрения включаются в форме конкретных мероприятий в перспективный план развития фирмы. Можно сказать, что на этом уровне управления формируются исходные положения для оптимального распределения внутрифирменных ресурсов в течение определенного планового периода.
Следующим звеном аппарата планирования в США является центральная служба планирования, в функции которой входит разработка перспективных и текущих планов, согласование их с производственными отделениями или дочерними компаниями, корректировка и уточнение плановых показателей и контроль за их выполнением. Она составляет формы плановой документации, консультирует высшее руководство по вопросам планирования. Центральная служба планирования осуществляет свою деятельность в тесном контакте с другими подразделениями, а также со службами планирования в производственных отделениях, получая от них всю информацию, необходимую для разработки планов.[6]
Практика показывает, что в американских компаниях текущие планы составляются, как правило, в производственных отделениях.
Планы, разрабатываемые оперативными подразделениями, рассматриваются центральной плановой службой, Главным администратором. После утверждения Советом директоров план принимает директивный характер.
Американские фирмы обычно используют два вида планирования: долгосрочное или стратегическое планирование и годовое финансовое планирование.
Стратегическое планирование осуществляется, как правило, небольшой группой специалистов при высшем руководстве фирмы и концентрирует свое внимание на разработке долгосрочных решений, принимаемых фирмой на основе экономического анализа рыночной ситуации. Ввиду сложности этого процесса в нем используются такие инструменты планирования, как эконометрические прогнозы или модели, разработанные соответствующими специалистами.
Стратегическое планирование имеет целью дать обоснованную оценку будущей рентабельности различных отделений, а на этой основе принимаются решения по поводу прекращения того или иного вида предпринимательской деятельности фирмы (закрытия или продажи отдельных предприятий) или внедрения в новые сферы деловой активности.
Текущее или годовое планирование основывается в американских фирмах на показателях стратегического плана. Годовой план (бюджет) - это оперативный документ, согласно которому отделение определяет планируемый на текущий год объем производства, составляет планы по использованию рабочей силы, капиталовложений, выпуска новых видов продукции.
В годовом плане детализируются планы производства и сбыт поквартально и помесячно, а также устанавливаются задания для низовых уровней управления.
Процесс разработки годового плана начинается с прогноза объема продаж товаров и услуг. Затем рассчитываются издержки производства и намечаемая прибыль.
Задача №4
На основе данных межотраслевого баланса составить прогноз объема валовой продукции по каждой отрасли при условии, что объем конечного спроса по каждой отрасли в прогнозном периоде увеличится на 10%.
Межотраслевой баланс за отчетный период
|
1отрасль |
2отрасль |
3 отрасль |
Yi |
Xi |
|
|
1отрасль |
24,6 |
10 |
5,4 |
35 |
75 |
|
2отрасль |
0 |
30,4 |
11,6 |
38 |
80 |
|
3отрасль |
10,4 |
16,6 |
14 |
8 |
49 |
|
Zj |
40 |
23 |
18 |
||
|
Xj |
75 |
80 |
49 |
где, Xi, Xj – объем валовой продукции по отрасли; Zj – объем добавленной стоимости; Yi – объем конечного спроса.
Матрица
коэффициентов полных материальных затрат
1,46
0,58 0,33
В= 0,08 2,13 0,54
0,29 0,83 1,04
Решение:
![]()
Х = В*Y
35
Y = 38
8
Из условия задачи следует, что Y1 = 35 * (1 + 0,1) = 38,5
Y2 = 38 * (1 + 0,1) = 41,8
Y3 = 8 * (1 + 0,1) = 8,8
Тогда новая матрица Y будет выглядеть следующим образом:
![]()
38,5
Y = 41,8
8,8
![]()
![]()
![]()
![]()
![]()
Отсюда
легко найдем новые значения X:
1,46 0,58 0,33 38,5 83,358
Х= В * Y = 0,08 2,13 0,54 * 41,8 = 96,866
0,29 0,83 1,04 8,8 55,011
В новой матрице Х1 = 1,46*38,5 + 0,58*41,8 + 0,33*8,8 = 83,358
Х2 = 0,08*38,5 + 2,13*41,8 + 0,54*8,8 = 96,866
Х3 = 0,29*38,5 + 0,83*41,8 + 1,04*8,8 = 55,011
Перейдем к таблице межотраслевого баланса за прогнозируемый период:
|
1 отрасль |
2 отрасль |
3 отрасль |
Yi |
Xi |
|
|
1 отрасль |
38,5 |
83,358 |
|||
|
2 отрасль |
41,8 |
96,866 |
|||
|
3 отрасль |
8,8 |
55,011 |
|||
|
Zj |
|||||
|
Xj |
83,36 |
96,87 |
55,01 |
Найдем новые значения валовой продукции:
1) 83,358 / 75 = 1,11. Следовательно:
X11 = 24,6*1,11 = 27,34
X12 = 10*1,11 = 11,11
X13 = 5,4*1,11 = 6
Xi = ![]()
Xij + åYi , (при i = 1,2…,n)
27,34 + 11,11 + 6 + 38,5 = 83,36 – выполняется.
2) 96,866 / 80 = 1,21. Следовательно:
X21 = 0*1,21 = 0
X22 = 30,4*1,21 = 36,81
X23 = 11,6*1,21 = 14,05
Xi = ![]()
Xij + åYi , (при i = 1,2…,n)
0 + 36,81 + 14,05 + 41,8 = 96,87 – выполняется.
3) 55,011 / 49 = 1,12. Следовательно:
X31 = 10,4*1,12 = 11,68
X32 = 16,6*1,12 = 18,64
X33 = 14*1,12 = 15,72
Xi = ![]()
Xij + åYi , (при i = 1,2…,n)
11,68 + 18,64 + 15,72 + 8,8 = 55,011 – выполняется.
Теперь найдем значения Zj:
Xj =
Xij +
Zj
Zj =
Xj -
Xij.
Z1 = 83,358 – 27,34 – 0 – 11,68 = 44,338
Z2 = 96,866 – 11,11 – 36,81 – 18,64 = 30,306
Z3 = 55,011 – 6 – 14,05 – 15,72 = 19,241
Теперь осталось проверить выполнение последнего условия:
Yi =
Zj,
И действительно, 44,338 + 30,306 + 19,241 = 38,5 + 41,8 + 8,8 = 89,1
На основе вычислений дополним предыдущую таблицу и получим искомую:
|
1 отрасль |
2 отрасль |
3 отрасль |
Yi |
Xi |
|
|
1 отрасль |
27,34 |
11,11 |
6 |
38,5 |
83,36 |
|
2 отрасль |
0 |
36,81 |
14,05 |
41,8 |
96,87 |
|
3 отрасль |
11,68 |
18,64 |
15,72 |
8,8 |
55,01 |
|
Zj |
44,34 |
30,31 |
19,24 |
||
|
Xj |
83,36 |
96,87 |
55,01 |
Список литературы
1. Бестужев-Лады И.В. Рабочая книга по прогнозированию. – М.: «ЮНИТИ», 2002. 477 с.
2. Котяев В.И. Прогнозирование продолжительности жизни // Комсомольская правда. № 36, 2004. с. 15-16
3. Прогнозирование и планирование в условиях рынка: Учебное пособие для вузов / Морозова Т.Г., Пикулькин А.В. / Под ред. Морозовой А.В. – М.: ЮНИТИ, 2000. 318 с.
4. Прогнозирование: цели, формы, методы/ Под ред. М.И. Хлебникова. М,: Издательства «Приор», 2002. 502с.
5. Савицкая Г. В. Анализ хозяйственной деятельности предприятия. – Мн.: «Новое знание», 2002. 269 с.
6. Стратегическое планирование в российских муниципалитетах. – М.: Финансы и статистика, 2005. 163 с.
7. Финансы предприятий: Учебник / Н.В. Колчина, Г.Б. Поляк, Л.П. Павлова и др. – М.: ЮНИТИ, 2000. 413 с.
[1] Котяев В.И. Прогнозирование продолжительности жизни // Комсомольская правда. № 36, 2004. с. 15-16
[2] Бестужев-Лады И.В. Рабочая книга по прогнозированию. – М.: «ЮНИТИ», 2002. с. 264
[3] Прогнозирование: цели, формы, методы/ Под ред. М.И. Хлебникова. М,: Издательства «Приор», 2002. с. 187
[4] Савицкая Г. В. Анализ хозяйственной деятельности предприятия. – Мн.: «Новое знание», 2002. с. 85
[5] Финансы предприятий: Учебник / Н.В. Колчина, Г.Б. Поляк, Л.П. Павлова и др. – М.: ЮНИТИ, 2000. с. 245
[6] Прогнозирование и планирование в условиях рынка: Учебное пособие для вузов / Морозова Т.Г., Пикулькин А.В. / Под ред. Морозовой А.В. – М.: ЮНИТИ, 2000. с. 267