Введение

Методы оценки эффективности инвестиций и обоснование их экономической целесообразности по проекту

Курсовая работа содержит:

  • 12 страниц машинописного текста;
  • 1 таблицу.

Использовано 2 литературных источника.

Приведены следующие методы расчета экономической эффективности капитальных вложений.

  • метод чистой теперешней стоимости;
  • метод внутренней ставки дохода;
  • метод периода окупаемости;
  • метод индекса прибыльности;
  • метод коэффициента эффективности.

Ключевые слова: инвестиция (капитальное вложение) , денежный поток, дисконтирование, коэффициент дисконтирования, чистая теперешняя стоимость, внутренняя ставка дохода, период окупаемости, индекс прибыльности, коэффициент эффективности инвестиции, экономическая эффективность.

Содержание.

Введение.

1. Методы оценки эффективности инвестиций.

1.1. Метод чистой теперешней стоимости.

1.2. Метод внутренней ставки дохода.

1.3. Метод периода окупаемости.

1.4. Метод индекса прибыльности.

1.5. Метод расчета коэффициента эффективности инвестиции.

2. Обоснование экономической целесообразности инвестиций по проекту.

2.1. Исходные данные.

2.2. Определение теперешней чистой стоимости.

2.3. Определение внутренней ставки дохода.

2.4. Определение периода окупаемости (по данным о денежных потоках) .

2.5. Определение периода окупаемости (по данным о теперешней стоимости денежных потоков) .

2.6. Определение индексов прибыльности.

2.7. Определение коэффициента прибыльности.

3. Заключение. Выводы об экономической целесообразности осуществления проекта.

Литература.

Введение.

Инвестиционная деятельность в той или иной степени присуща любому предприятию. Принятие инвестиционного решения невозможно без учета следующих факторов: вид инвестиции, стоимость инвестиционного проекта, множественность доступных проектов, ограниченность финансовых ресурсов, доступных для инвестирования, риск, связанный с принятием того или иного решения и др.

Причины, обусловливающие необходимость инвестиций, могут быть различны, однако в целом их можно подразделить на три вида: обновление имеющейся материально-технической базы, наращивание объемов производственной деятельности, освоение новых видов деятельности. Степень ответственности за принятие инвестиционного проекта в рамках того или иного направления различна. Так, если речь идет о замещении имеющихся производственных мощностей, решение может быть принято достаточно безболезненно, поскольку руководство предприятия ясно представляет себе, в каком объеме и с какими характеристиками необходимы новые основные средства. Задача осложняется, если речь идет об инвестициях, связанных с расширением основной деятельности, поскольку в этом случае необходимо учесть целый ряд новых факторов: возможность изменения положения фирмы на рынке товаров, доступность дополнительных объемов материальных, трудовых и финансовых ресурсов, возможность освоения новых рынков и др.

Очевидно, что важным является вопрос о размере предполагаемых инвестиций. Так, уровень ответственности, связанной с принятием проектов стоимостью 1 млн. руб. и 100 млн. руб., различен. Поэтому должна быть различна и глубина аналитической проработки экономической стороны проекта, которая предшествует принятию решения. Кроме того, во многих фирмах становится обыденной практика дифференциации права принятия решений инвестиционного характера, т.е. ограничивается максимальная величина инвестиций, в рамках которой тот или иной руководитель может принимать самостоятельные решения.

Нередко решения должны приниматься в условиях, когда имеется ряд альтернативных или взаимно независимых проектов. В этом случае необходимо сделать выбор одного или нескольких проектов, основываясь на каких-то критериях. Очевидно, что таких критериев может быть несколько, а вероятность того, что какой-то один проект будет предпочтительнее других по всем критериям, как правило, значительно меньше единицы.

В условиях рыночной экономики возможностей для инвестирования довольно много. Вместе с тем любое предприятие имеет ограниченные свободные финансовые ресурсы, доступные для инвестирования. Поэтому встает задача оптимизации инвестиционного портфеля.

Весьма существен фактор риска. Инвестиционная деятельность всегда осуществляется в условиях неопределенности, степень которой может значительно варьировать. Так, в момент приобретения новых основных средств никогда нельзя точно предсказать экономический эффект этой операции. Поэтому нередко решения принимаются на интуитивной основе.

Принятие решений инвестиционного характера, как и любой другой вид управленческой деятельности, основывается на использовании различных формализованных и неформализованных методов. Степень их сочетания определяется разными обстоятельствами, в том числе и тем из них, насколько менеджер знаком с имеющимся аппаратом, применимым в том или ином конкретном случае. В отечественной и зарубежной практике известен целый ряд формализованных методов, расчеты с помощью которых могут служить основой для принятия решений в области инвестиционной политики. Какого-то универсального метода, пригодного для всех случаев жизни, не существует. Вероятно, управление все же в большей степени является искусством, чем наукой. Тем не менее, имея некоторые оценки, полученные формализованными методами, пусть даже в известной степени условные, легче принимать окончательные решения.

1. Методы оценки эффективности инвестиций.

В основе процесса принятия управленческих решений инвестиционного характера лежат оценка и сравнение объема предполагаемых инвестиций и будущих денежных поступлений. Поскольку сравниваемые показатели относятся к различным моментам времени, ключевой проблемой здесь является проблема их сопоставимости. Относиться к ней можно по-разному в зависимости от существующих объективных и субъективных условий: темпа инфляции, размера инвестиций и генерируемых поступлений, горизонта прогнозирования, уровня квалификации аналитика и т.п.

Методы, используемые в анализе инвестиционной деятельности, можно подразделить на две группы: а) основанные на дисконтированных оценках; б) основанные на учетных оценках. Рассмотрим ключевые идеи, лежащие в основе этих методов.

1.1. Метод чистой теперешней стоимости.

Этот метод основан на сопоставлении величины исходной инвестиции (IC) с общей суммой дисконтированных чистых денежных поступлений, генерируемых ею в течение прогнозируемого срока. Поскольку приток денежных средств распределен во времени, он дисконтируется с помощью коэффициента r, устанавливаемого аналитиком (инвестором) самостоятельно исходя из ежегодного процента возврата, который он хочет или может иметь на инвестируемый им капитал.

Допустим, делается прогноз, что инвестиция (IC) будет генерировать в течение n лет, годовые доходы в размере P 1 , P 2 ,..., Р n . Общая накопленная величина дисконтированных доходов (PV) и чистый приведенный эффект (NPV) соответственно рассчитываются по формулам: , .

Очевидно, что если: NPV > 0, то проект следует принять;   NPV < 0, то проект следует отвергнуть;       NPV = 0, то проект ни прибыльный, ни убыточный.

При прогнозировании доходов по годам необходимо по возможности учитывать все виды поступлений как производственного, так и непроизводственного характера, которые могут быть ассоциированы с данным проектом. Так, если по окончании периода реализации проекта планируется поступление средств в виде ликвидационной стоимости оборудования или высвобождения части оборотных средств, они должны быть учтены как доходы соответствующих периодов.

Если проект предполагает не разовую инвестицию, а последовательное инвестирование финансовых ресурсов в течение m лет, то формула для расчета NPV модифицируется следующим образом: , где i — прогнозируемый средний уровень инфляции.

Расчет с помощью приведенных формул вручную достаточно трудоемок, поэтому для удобства применения этого и других методов, основанных на дисконтированных оценках, разработаны специальные статистические таблицы, в которых табулированы значения сложных процентов, дисконтирующих множителей, дисконтированного значения денежной единицы и т.п. в зависимости от временного интервала и значения коэффициента дисконтирования.

Необходимо отметить, что показатель NPV отражает прогнозную оценку изменения экономического потенциала предприятия в случае принятия рассматриваемого проекта. Этот показатель аддитивен во временном аспекте, т.е. NPV различных проектов можно суммировать. Это очень важное свойство, выделяющее этот критерий из всех остальных и позволяющее использовать его в качестве основного при анализе оптимальности инвестиционного портфеля.

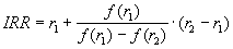
1.2. Метод внутренней ставки дохода.

Под нормой рентабельности инвестиции (IRR) понимают значение коэффициента дисконтирования, при котором NPV проекта равен нулю: IRR = r, при котором NPV = f (r) = 0.

Смысл расчета этого коэффициента при анализе эффективности планируемых инвестиций заключается в следующем: IRR показывает максимально допустимый относительный уровень расходов, которые могут быть ассоциированы с данным проектом. Например, если проект полностью финансируется за счет ссуды коммерческого банка, то значение IRR показывает верхнюю границу допустимого уровня банковской процентной ставки, превышение которого делает проект убыточным.

На практике любое предприятие финансирует свою деятельность, в том числе и инвестиционную, из различных источников. В качестве платы за пользование авансированными в деятельность предприятия финансовыми ресурсами оно уплачивает проценты, дивиденды, вознаграждения и т.п., т.е. несет некоторые обоснованные расходы па поддержание своего экономического потенциала. Показатель, характеризующий относительный уровень этих расходов, можно назвать "ценой" авансированного капитала (CC) . Этот показатель отражает сложившийся на предприятии минимум возврата на вложенный в его деятельность капитал, его рентабельность и рассчитывается по формуле средней арифметической взвешенной.

Методы оценки эффективности инвестиций и обоснование их экономической целесообразности по проекту

Экономический смысл этого показателя заключается в следующем: предприятие может принимать любые решения инвестиционного характера, уровень рентабельности которых не ниже текущего значения показателя CC (или цены источника средств для данного проекта, если он имеет целевой источник) . Именно с ним сравнивается показатель IRR, рассчитанный для конкретного проекта, при этом связь между ними такова.

Если:        IRR > CC. то проект следует принять; IRR < CC, то проект следует отвергнуть;       IRR = CC, то проект ни прибыльный, ни убыточный.

Практическое применение данного метода осложнено, если в распоряжении аналитика нет специализированного финансового калькулятора. В этом случае применяется метод последовательных итераций с использованием табулированных значений дисконтирующих множителей. Для этого с помощью таблиц выбираются два значения коэффициента дисконтирования r 1 <r 2 таким образом, чтобы в интервале (r 1 , r 2 ) функция NPV=f (r) меняла свое значение с "+" на "-" или с "-" на "+". Далее применяют формулу , где       r 1 —значение табулированного коэффициента дисконтирования, при котором f (r 1 ) >0 (f (r 1 ) <0) ;     r 2 —значение табулированного коэффициента дисконтирования, при котором f (r 2 ) <О (f (r 2 ) >0) .

Точность вычислений обратно пропорциональна длине интервала (r 1 , r 2 ) , а наилучшая аппроксимация с использованием табулированных значений достигается в случае, когда длина интервала минимальна (равна 1%) , т.е. r 1 и r 2 - ближайшие друг к другу значения коэффициента дисконтирования, удовлетворяющие условиям (в случае изменения знака функции с "+" на "-") : r 1 —   значение табулированного коэффициента дисконтирования, минимизирующее положительное значение показателя NPV, т.е. f (r 1 ) =min r {f (r) >0}; r 2 —       значение табулированного коэффициента дисконтирования, максимизирующее отрицательное значение показателя NPV, т.е. f (r 2 ) =max r {f (r) <0}.

Путем взаимной замены коэффициентов r 1 и r 2 аналогичные условия выписываются для ситуации, когда функция меняет знак с "-" на "+".

  1.3. Метод периода окупаемости.

Этот метод - один из самых простых и широко распространен в мировой учетно-аналитической практике, не предполагает временной упорядоченности денежных поступлений. Алгоритм расчета срока окупаемости (PP) зависит от равномерности распределения прогнозируемых доходов от инвестиции. Если доход распределен по годам равномерно, то срок окупаемости рассчитывается делением единовременных затрат на величину годового дохода, обусловленного ими. При получении дробного числа оно округляется в сторону увеличения до ближайшего целого. Если прибыль распределена неравномерно, то срок окупаемости рассчитывается прямым подсчетом числа лет, в течение которых инвестиция будет погашена кумулятивным доходом. Общая формула расчета показателя PP имеет вид: PP=n, при котором .

Некоторые специалисты при расчете показателя PP все же рекомендуют учитывать временной аспект. В этом случае в расчет принимаются денежные потоки, дисконтированные по показателю "цена" авансированного капитала. Очевидно, что срок окупаемости увеличивается.

Показатель срока окупаемости инвестиции очень прост в расчетах, вместе с тем он имеет ряд недостатков, которые необходимо учитывать в анализе.

Во-первых, он не учитывает влияние доходов последних периодов. В качестве примера рассмотрим два проекта с одинаковыми капитальными затратами (10 млн. руб.) , но различными прогнозируемыми годовыми доходами: по проекту А - 4,2 млн. руб. в течение трех лет; по проекту Б - 3,8 млн. руб. в течение десяти лет. Оба эти проекта в течение первых трех лет обеспечивают окупаемость капитальных вложений, поэтому с позиции данного критерия они равноправны. Однако очевидно, что проект Б гораздо более выгоден.

Во-вторых, поскольку этот метод основан на недисконтированных оценках, он не делает различия между проектами с одинаковой суммой кумулятивных доходов, по различным распределением ее по годам. Так, с позиции этого критерия проект А с годовыми доходами 4000,6000.2000 тыс. руб. и проект Б с годовыми доходами 2000,4000.6000 тыс. руб. равноправны, хотя очевидно, что первый проект является более предпочтительным, поскольку обеспечивает большую сумму доходов в первые два года.

В-третьих, данный метод не обладает свойством аддитивности.

Существует ряд ситуаций, при которых применение метода, основанного на расчете срока окупаемости затрат, может быть целесообразным. В частности, это ситуация, когда руководство предприятия в большей степени озабочено решением проблемы ликвидности, а не прибыльности проекта — главное, чтобы инвестиции окупились и как можно скорее. Метод также хорош в ситуации, когда инвестиции сопряжены с высокой степенью риска, поэтому чем короче срок окупаемости, тем менее рискованным является проект. Такая ситуация характерна для отраслей или видов деятельности, которым присуща большая вероятность достаточно быстрых технологических изменений.

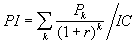
1.4. Метод индекса прибыльности.

Этот метод является по сути следствием метода чистой теперешней стоимости. Индекс рентабельности (PI) рассчитывается по формуле .

Очевидно, что если:

Р1 > 1, то проект следует принять;

Р1 < 1, то проект следует отвергнуть;

Р1 = 1, то проект ни прибыльный, ни убыточный.

В отличие от чистого приведенного эффекта индекс рентабельности является относительным показателем. Благодаря этому он очень удобен при выборе одного проекта из ряда альтернативных, имеющих примерно одинаковые значения NPV. либо при комплектовании портфеля инвестиций с максимальным суммарным значением NPV.

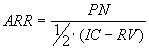
1.5. Метод расчета коэффициента эффективности инвестиции.

Этот метод имеет две характерные черты: во-первых, он не предполагает дисконтирования показателей дохода; во-вторых, доход характеризуется показателем чистой прибыли PN (балансовая прибыль за минусом отчислений в бюджет) . Алгоритм расчета исключительно прост, что и предопределяет широкое использование этого показателя на практике: коэффициент эффективности инвестиции (ARR) рассчитывается делением среднегодовой прибыли PN на среднюю величину инвестиции (коэффициент берется в процентах) . Средняя величина инвестиции находится делением исходной суммы капитальных вложений на два, если предполагается, что по истечении срока реализации анализируемого проекта все капитальные затраты будут списаны; если допускается наличие остаточной или ликвидационной стоимости (RV) , то ее оценка должна быть исключена.

.

Данный показатель сравнивается с коэффициентом рентабельности авансированного капитала, рассчитываемого делением общей чистой прибыли предприятия на общую сумму средств, авансированных в его деятельность (итог среднего баланса-нетто) .

Метод, основанный на коэффициенте эффективности инвестиции, также имеет ряд существенных недостатков, обусловленных в основном тем, что он не учитывает временной составляющей денежных потоков. В частности, метод не делает различия между проектами с одинаковой суммой среднегодовой прибыли, но варьирующей суммой прибыли по годам, а также между проектами, имеющими одинаковую среднегодовую прибыль, но генерируемую в течение различного количества лет. и т.п.

2. Обоснование экономической целесообразности инвестиций по проекту.

2.1. Исходные данные.

На основании изучения рынка продукции, которая производится на предприятии, установлена возможность увеличения платежеспособного спроса на неё. В связи с этим предприятие рассматривает целесообразность приобретения новой технологической линии для увеличения производства продукции с целью увеличения объема продаж. Оценка возможного увеличения объёма продаж установлена на основании анализа данных о потенциальных возможностях конкурентов. Стоимость линии (капитальные вложения по проекту) составляет $18530; срок эксплуатации - 5 лет; прибыль за вычетом налога на нее от реализации основных фондов по истечении срока их службы составит $926.5;. денежные потоки (прибыль за вычетом налога на нее и амортизационных отчислений от стоимости введенных в действие основных фондов за счет капитальных вложений) прогнозируется по годам в следующих объемах: $5406, $6006, $5706, $5506, $5406. Ставка дисконта для определения теперешней стоимости денежных потоков принята в размере 12% и 15%. Граничная ставка для оценки расчетного уровня внутренней ставки дохода установлена в размере 16%. Приемлемый для предприятия период окупаемости капитальных вложений, исчисленный по данным о денежных потоках и теперешней стоимости денежных потоков принят 5 лет. Целесообразен ли данный проект к реализации?

2.2. Определение теперешней чистой стоимости а) При ставке дисконта 12%.

б) При ставке дисконта 15%.

2.3. Определение внутренней ставки дохода

Таблица 2.1.

Исходные данные для расчёта показателя IRR.

 

Денежные потоки, $

 

PV 12% , $

 

PV 15% , $

 

PV 16% , $

 

PV 17% , $

 

0 год

 

-18530

 

-18530

 

-18530

 

-18530

 

-18530

 

1 год

 

5406

 

4826,79

 

4700,87

 

4660,34

 

4620,51

 

2 год

 

6006

 

4787,95

 

4550,00

 

4448,89

 

4383,94

 

3 год

 

5706

 

4061,21

 

3753,95

 

3657,69

 

3566,25

 

4 год

 

5506

 

3507,01

 

3146,29

 

3041,99

 

2944,39

 

5 год

 

5406

 

3071,59

 

2689,55

 

2574,28

 

2469,86

 

Прибыль

 

926,5

 

526,42

 

460,94

 

441,19

 

423,06

 

NPV

 

 

1198,13

 

771,60

 

294,38

 

-121,99

 

Исходя из расчетов, приведённых в табл. 2.1, можно сделать вывод: что функция NPV=f (r) меняет свой знак на интервале (15%, 16%) .

.

2.4. Определение периода окупаемости (по данным о денежных потоках) Инвестиции составляют $18530 в 0-й год. Денежный потоки за пятилетний срок составляют: $5406, $6006, $5706, $5506, $5406. Доходы покроют инвестиции на 4 год. За первые 3 года доходы составляют: $5406 + $6006 + $5706 = $17118 За 4 год необходимо покрыть: $18530 - $17118 = $1412, $1412/ $5506 = 0,26    (примерно 4,1 месяца) .

Общий срок окупаемости составляет 3 года 4,1 месяца.

2.5. Определение периода окупаемости (по данным о теперешней стоимости денежных потоков)

а) При ставке дисконта 12%.

Доходы покроют инвестиции на 5 год. За первые 4 года доходы составляют (данные взяты из табл. 2.1) : $4826,79 + $4787,95 + $4061,21 + $3507,01 = $17182,96 За 5 год необходимо покрыть: $18530 - $17182,96 = $1347,04, $1347,04 / $3071,59 = 0,44  (примерно 5,4 месяца) .

Общий срок окупаемости составляет 4 года 5,4 месяца.

б) При ставке дисконта 15%.

Доходы покроют инвестиции на 5 год. За первые 4 года доходы составляют: $4700,87 + $4550 + $3753,95 + $3146,29 = $16151,11 За 5 год необходимо покрыть: $18530 - $16151,11= $2378,89, $2378,89 / $2689,55 = 0,88        (примерно 10,7 месяцев) .

Общий срок окупаемости составляет 4 года 10,7 месяцев.

2.6. Определение индексов прибыльности.

а) При ставке дисконта 12%. (данные взяты из табл. 2.1) :

PI 12% = ($4826,79 + $4787,95 + $4061,21 + $3507,01+3071,59) / $18530 = 1,09

б) При ставке дисконта 15%.

PI 15% = ($4700,87 + $4550 + $3753,95 + $3146,29+2689,55) / $18530 = 1,015 2.7. Определение коэффициента прибыльности.

Заключение.

В данной курсовой работе приведены формулы расчета экономической эффективности капитальных вложений с описанием их применения. Использованы следующие методы:

  • метод чистой теперешней стоимости;
  • метод внутренней ставки дохода;
  • метод периода окупаемости;
  • метод индекса прибыльности;
  • метод коэффициента эффективности.

На основе исходных данных 28 варианта задания (п. 2.1.) и описанных методов выполнен расчет экономической эффективности инвестиционного проекта.

Выводы об экономической целесообразности проекта.

Полученные результаты указывают на экономическую целесообразность данного проекта. Такой проект можно принять с полной уверенностью при ставке дисконта меньшей 16,6% (максимальная ставка дисконта, при которой чистая теперешняя стоимость неотрицательна) . Чем ниже ставка дисконта, тем раньше окупятся капитальные вложения и, следовательно, предприятие, осуществившее этот проект, получит больше прибыли. Расчеты показали, что при более низкой ставке дисконта чистая теперешняя стоимость и индекс прибыльности увеличиваются, а период окупаемости уменьшается. Так, при дисконте равном 15% инвестиция окупится через 4 года 10,7 месяцев (индекс прибыльности 1,5%) , а при 12% — раньше на 5,3 месяцев (индекс прибыльности 9%) . Коэффициент прибыльности инвестиционного проекта составляет 63,8%.

Литература.

1.     Ковалёв В. В. Финансовый анализ: Управление капиталом. Выбор инвестиций. Анализ отчетности. — М.: Финансы и статистика, 1995.

2.     Экономика предприятия: Под редакцией С. Ф. Покропивного. Учебник. В 2-х т. т. 1. — К.: "Хвиля-прес", 1995.

3.