СОДЕРЖАНИЕ
ВВЕДЕНИЕ 3
ГЛАВА 1. ТЕОРЕТИЧЕСКИЕ АСПЕКТЫ ФУНКЦИОНИРОВАНИЯ
ГОСУДАРСТВЕННЫХ ЦЕННЫХ БУМАГ 5
1.1. Развитие рынка государственных ценных бумаг 5
1.2. Роль и значение рынка государственных ценных бумаг в
финансировании государства 12
1.3. Функции и классификация рынка государственных ценных
бумаг 14
1.4. Виды российских государственных ценных бумаг 19
1.5. Законодательное регулирование государственных ценных
бумаг в Российской Федерации 22
ГЛАВА 2. ЭФФЕКТИВНОСТЬ РЫНКА ГОСУДАРСТВЕННЫХ
ЦЕННЫХ БУМАГ 27
2.1. Определение доходности государственных ценных бумаг 27
2.2. Факторы, снижающие доходность операций с ценными
бумагами 36
2.3. Кривая эффективной доходности 47
2.4. Оценка состояния доходности российского рынка
государственных ценных бумаг за период с 2002-2005 гг. 50
ГЛАВА 3. ПУТИ ПОВЫШЕНИЯ ЭФФЕКТИВНОСТИ РЫНКА
ГОСУДАРСТВЕННЫХ ЦЕННЫХ БУМАГ В РФ 58
3.1. Рынок облигаций государственного сберегательного займа
и облигаций федерального займа 58
3.2. Свойства государственных сберегательных облигаций 62
3.3. Перспективы долговой политики на 2006-2008 гг. 67
3.4. Пути повышения доходности на рынке государственных
ценных бумаг 70
ЗАКЛЮЧЕНИЕ 73
СПИСОК ЛИТЕРАТУРЫ 77
ВВЕДЕНИЕ
Организация процесса финансирования государственных целевых программ развития экономики страны, формирование действующего кредитно-финансового механизма требуют создания рынка государственных ценных бумаг. В настоящее время в странах с развитой экономикой от результативности функционирования рынков государственных ценных бумаг во многом зависит формирование государственных бюджетов; обеспечение эффективности денежно-кредитной политики; поддержание активности работы всех сфер экономики. Эти тенденции требуют анализа, позволяющего определить собственные российские подходы в понимании работы рынка ценных бумаг при формировании, организации и развитии фондовых бирж, фондовых рынков для привлечения денежных накоплений предприятий и населения в экономику.
Рынок государственных ценных бумаг занимает ведущее место (до 50%) в общем объеме рынка ценных бумаг.
Рынок государственных ценных бумаг является
исключительно важным элементом экономической структуры страны с рыночной
экономикой. Для государства он представляет собой механизм привлечения
инвестиционных ресурсов, а для инвесторов является выгодным и надежным
направлением вложения денежных средств. Поэтому объем операций со всеми видами
государственных ценных бумаг на российском фондовом рынке до августа
Актуальной является задача повышения эффективности рынка. Решение данной задачи основано на применение методов статистической проверки, лежащей в основе понятия «эффективный рынок» по реальным статистическим данным. Основной характеристикой эффективности операций на рынке государственных ценных бумаг является доходность. В практической деятельности возникает потребность установить финансовую эффективность, что сводится к определению доходности государственных ценных бумаг. В общем виде доходность является относительным показателем и представляет собой доход, приходящийся на единицу затрат. Под доходностью понимают величину дохода от вложения финансовых средств, соотнесенную с затратами на получение данной суммы дохода. В качестве дохода, как, впрочем, и в качестве первоначальных активов, могут выступать не только деньги, но и векселя, товары, ценные бумаги и т.д. Все виды государственных ценных бумаг используются участниками рынка для получения дохода от переданных в займы денежных средств.
Целью данной дипломной работы является изучение рынка государственных ценных бумаг, рассмотрение развития рынка государственных ценных бумаг и основных направлений получения доходности от операций на рынке государственных ценных бумаг РФ. Это является довольно актуальной темой на сегодняшний день, потому что для рыночной экономики государственные ценные бумаги и их рынок играют огромную роль в мобилизации свободных денежных средств для нужд государства путем использования для финансирования дефицита государственного бюджета и целевых государственных программ, а так же для регулирования экономической активности в стране.
Основными задачами данной дипломной работы являются:
- рассмотрение основ построения рынка ценных бумаг;
- изучение функционирования российского рынка в современных условиях. Важной задачей данной дипломной работы является проведение анализа развития рынка государственных ценных бумаг, оценка кредитоспособности органов власти, определение доходности государственных ценных бумаг.
ГЛАВА 1. ТЕОРИТИЧЕСКИЕ АСПЕКТЫ ФУНКЦИОНИРОВАНИЯ РЫНКА ГОСУДАРСТВЕННЫХ ЦЕННЫХ БУМАГ
1.1. Развитие рынка государственных ценных бумаг
Период 1993 – 1997 гг. отличался динамичным и качественным развитием рынка государственных ценных бумаг. Они стали играть ведущую роль на фондовом рынке страны, так как были самыми надежными среди прочих инструментов. Кроме того, государство остро нуждалось в дополнительных ресурсах для выравнивания хронически дефицитного бюджета, а налоговую политику, проводимую им в то время, нельзя было признать эффективной. Долгосрочные займы не пользовались популярностью. Поэтому важное значение приобрела диверсификация деятельности в сфере ценных бумаг, где отношения государства и инвесторов начали складываться на добровольной основе. Эти отношения регламентировались как нормами общегражданского, так и законодательства страны.
Главным документом, призванным регулировать отношения
государства с инвесторами, стал закон «О государственном внутреннем долге
Российской Федерации», принятый в ноябре
Закон закрепил в роли эмитента ценных бумаг Правительство РФ, которое наделялось полномочиями определять условия и порядок эмиссий государственных долговых обязательств, а также несло ответственность по ним. Эта ответственность не распространялась на ценные бумаги, эмитированные субъектами Федерации и местными органами власти.
Первая часть Гражданского кодекса РФ, введенная в
действие в конце
Большим событием для упорядочения на российском фондовом
рынке, в частности на рынке государственных облигаций, следует считать появление
в
Важное значение в Законе было придано информационному обеспечению рынка ценных бумаг, в частности, раскрытию информации эмитентами, ответственности за неправомерное использование служебной информации, рекламе на фондовом рынке. Кроме того, большое значение имел раздел, посвященный регулированию фондового рынка, в том числе организации деятельности Федеральной комиссии по рынку ценных бумаг.
Следует отметить, что в соответствии с Законом полномочия комиссии не распространялись на процедуру эмиссии долговых обязательств правительства и ценных бумаг субъектов Федерации. Была установлена также ответственность за нарушение этого и других законодательных актов Российской Федерации в отношении ценных бумаг и порядок возмещения ущерба.
В этом же году Указом Президента была утверждена Концепция развития рынка ценных бумаг в Российской Федерации. Она констатировала факт наиболее высоких темпов мобилизации финансовых ресурсов в стране за счет рынка государственных ценных бумаг. Его развитие способствовало усилению концентрации ресурсов в Москве и некоторых других крупных центрах. Основным инструментом этого рынка стали государственные ценные бумаги, предназначенные для финансирования бюджетного дефицита (государственные краткосрочные облигации (ГКО), облигации федерального займа (ОФЗ), облигации государственного сберегательного займа (ОГСЗ)); реструктуризации внутреннего валютного долга; сглаживание дефицита финансовых ресурсов в обращении (налоговые освобождения, векселя); аккумуляции финансовых ресурсов посредством денежной приватизации (инвестиционные торги и конкурсы, залоговые аукционы и т.д.) [11].
Прогнозировалось, что поступление ресурсов в недалекой перспективе приобретет плановый характер в общем контексте бюджетной политики, а стоимость заимствований на рынке государственных ценных бумаг будет целенаправленно снижаться. Измениться структура государственных ценных бумаг, и прежде всего увеличиться эмиссия инструментов рынка капиталов (т.е. среднесрочные и долгосрочные облигаций), а также расшириться спектр их видов (дисконтные и с купоном, купонные с фиксированной и «плавающей» ставкой и т. д.). Постепенно будет увеличиваться доступ нерезидентов на отечественный рынок государственных ценных бумаг, усилиться координация действий на нем органов федеральной и региональных властей.
Концепция, помимо прочего, предусматривала упорядочение и совершенствование средств и методов регулирования рынка государственных ценных бумаг. На основе новейших компьютерных технологий предполагалось создание государственной долговой книги, что позволило бы осуществлять прямое владение ценными бумагами всем инвесторам и не принимать на себя риски третьих лиц, связанные с хранением и обслуживанием этих инструментов. Кроме того, Правительство РФ намеревалось стимулирование максимально широкий доступ всех групп инвесторов на рынок государственных ценных бумаг, а также активно способствовать развитию расчетных, депозитарных и клиринговых систем.
Концепция развития рынка ценных бумаг стала основой начального этапа осуществления единого государственного подхода к управлению отечественным стендовым рынком, обеспечению сочетания интересов государства и всех групп интересов, привлечению инвестиций в промышленность, а также усилению защиты прав интересов.
Как отмечалось выше, государственные долгосрочные
займы не имели успеха, хотя отдельные из них продолжали оставаться в обращении.
Примером являются Государственные долгосрочные облигации (ГДО), выпущенные на
30 лет в
Наиболее популярным видом государственных ценных бумаг
в 90 – е годы, бесспорно, считались ГКО. В
удачная попытка выпуска облигаций в безбумажной форме, предназначенных для юридических и физических лиц.
Срок обращения разных серий ГКО составлял 3,6 и 12 месяцев, а номинал 1 млн. р. (неденоминированных). Они выпускались в виде записей на специальных счетах депо, не имели купонов и продавались на аукционах со скидкой к номиналу, что при погашении определяло доход инвестора. За весь период существования этого рынка в стране доходность ГКО изменялась от 30 до 200%.
Взаимоотношения Центрального банка и Министерства финансов на фондовом рынке, помимо вышеотмеченных, регулировались также договором о размещении и обслуживании выпусков ГКО. Согласно этому договору, Центральный банк был уполномочен заключать договоры с дилерами, т.е. осуществлять допуск профессиональных участников фондового рынка на рынок ГКО, поскольку его обязанностями являлись также организация и обеспечение проведения операций и расчетов по сделкам ГКО, Центральный банк имел право заключать договоры с организациями, которым поручалось осуществление функций депозитария, расчетной и торговой систем. По результатам конкурса, проведенного им на кануне размещения первого выпуска ГКО, осуществление этих функций было возложено на Московскую межбанковскую валютную биржу. При этом ММВБ не имела права выступать в качестве инвестора на рынке ГКО, т.е. совершать сделки от своего имени и за свой счет.
Облигации номинировались в долларах США, их
нарицательная стоимость равнялась 1, 10 и 100 тыс. долл. Первоначальный объем
эмиссии составил около 8 млрд. долл., разбитых на пять траншей со сроками погашения
от 1 до 15 лет. В
Накануне размещения займа Центральным банком РФ был установлен Порядок осуществления на территории Российской Федерации операций с облигациями ВВЗ. Облигации ВВЗ являлись ценными бумагами на предъявителя и относились к категории валютных ценностей, поэтому был введен запрет на их вывоз за пределы Федерации.
В этот же период постановлением Правительства были утверждены
Основные условия продажи золота путем выпуска Министерством финансов золотых
сертификатов
Высокая номинальная стоимость сертификата значительно ограничивала его обращаемость. Поэтому коммерческие банки практиковали дробление золотых сертификатов путем эмиссии производных от них ценных бумаг. Однако эти бумаги не являлись государственными и во многом теряли свою привлекательность. В связи с этим первый опыт выпуска золотых сертификатов оказался не вполне удачным – Министерству финансов реализовать не более 30% их эмиссии.
В
В конце
В этом же году соответствующими нормативными
документами было положено начало размещению выпусков среднесрочных облигаций
Федерального займа с переменным купонным доходом (ОФЗ-ПК) и серий облигаций
Государственного сберегательного займа (ОГСЗ), а в
Период обращения среднесрочных ОФЗ изменялся в пределах от немногим более одного года до пяти лет. Они выпускались по безбумажной технологии аналогично ГКО и имели нарицательную стоимость 1 млн. неденоминированных р. Купонный доход ОФЗ-ПД имел неизменный размер за все время обращения облигаций и выплачивался ежеквартально.
Срок обращения ОГСЗ составлял один год, а размер эмиссии – 10 трлн. Неденоминированных рублей, разбитых на 10 траншей. Нарицательная стоимость облигаций равнялась 100 и 500 р. Они выпускались в бумажной форме, являлись предъявительскими облигациями и имели четыре купона для ежеквартальных выплат дохода. Размер дохода определялся последней официальной ставкой дохода по ОФЗ-ПД с выплатой дополнительной премии от Министерства финансов РФ.
В
Еще одним видом ценных бумаг, выпускавшихся Правительством в это время, были Государственные жилищные сертификаты. Они также не имели хождения на рынке, предназначались для граждан страны, лишившихся жилья в результате стихийных бедствий и других форс-мажорных обстоятельств, и номинировались в квадратных метрах жилой площади. Сертификаты выпускались в бумажной форме, являлись именными ценными бумагами с годовым периодом обращения.
Помимо эмиссии ценных бумаг Правительство практиковало также предоставление государственных гарантий по отдельным выпускам корпоративных облигаций. Министерство финансов стало гарантом этих ценных бумаг, а Банк России – генеральным агентом по размещению займа.
В конце
1.2. Роль и значение рынка государственных ценных бумаг в
финансировании государства
Важным элементом российского рынка ценных бумаг является его финансовое наполнение, т.е. совокупность финансовых инструментов, допущенных к обращению. Всю совокупность российских ценных бумаг можно разделить на две большие группы: государственные и корпоративные ценные бумаги. Государственные ценные бумаги являются финансовым инструментом, обслуживающим государственный внутренний долг, и представляют собой облигации и векселя Министерства финансов РФ. Корпоративные ценные бумаги на российском рынке представлены в основном акциями.
Рынок государственных ценных бумаг является
исключительно важным элементом экономической структуры страны с рыночной
экономикой. Для государства он представляет собой механизм привлечения
инвестиционных ресурсов, а для инвесторов является выгодным и надежным
направлением вложения денежных средств. Поэтому объем операций со всеми видами
государственных ценных бумаг на российском фондовом рынке до августа
Однако привлекавшиеся таким образом инвестиционные
ресурсы направлялись на ликвидацию бюджетного дефицита. В результате в ходе
следующего выпуска государственных ценных бумаг приходилось привлекать денежные
средства для покрытия бюджетного дефицита и для выплаты процентов по
предыдущему выпуску. Возводимая таким образом финансовая пирамида должна была
рухнуть, что и произошло в августе
В основе рынка государственных ценных бумаг экономически развитых стран лежит следующие функциональные составляющие:
- мобилизация временно свободных денежных средств коммерческих банков, различных организаций, предприятий, небанковских кредитно-финансовых учреждений и населения (сосредоточение посредством государственных ценных бумаг на уровне государства денежных ресурсов главным образом способствует снижению дефицита бюджета);
- использование государственных ценных бумаг в качестве активного регулятора кредитно-денежных отношений (в частности, центральные банки на их основе формируют кредитно-денежную политику, координируют денежное обращение);
- обеспечение ликвидности балансов кредитно-финансовых институтов за счет эффективной реализации потенциала, заложенного в государственные ценные бумаги.
Рациональное функционирование рынка государственных ценных бумаг требует разработки соответствующей документации, охватывающей правовые основы и юридические отношения его участников, технологию применения и обращения государственных ценных бумаг, формирование информационной базы для осуществления необходимых расчетов, ведения депозитария [16].
1.3. Функции и классификация рынка государственных ценных бумаг
Рынок государственных ценных бумаг является сектором рынка ценных бумаг и финансовой подсистемой, выполняющей специфические функции в экономике.
Особенности функционирования рынка государственных ценных бумаг определяются спецификой эмитента и ролью этого рынка в экономике как инструмента регулирования величины и структуры государственного долга. В свою очередь, это предопределяет наличие особых правовых норм регулирования рынка государственных заимствований.
Функции рынка государственных ценных бумаг в экономике:
- финансирование дефицита государственного бюджета на внеэмиссионной основе;
- предоставление механизма и инструментов кредитно-денежной политики;
- обслуживание и покрытие госдолга;
- привлечение средств для реализации целевых государственных долговых программ.
В сравнении с заимствованиями для финансирования дефицита бюджета средств в Центральном Банке и привлечением доходов от денежной эмиссии выпуск государственных ценных бумаг имеет ряд достоинств. Наличие и рост дефицита требуют наличия его финансирования, и рынок государственных ценных бумаг является его основным элементом.
Покрытие дефицита бюджета посредством эмиссии денег усиливает инфляционные тенденции в экономике. Размещение же государственных ценных бумаг на первичном рынке означает аккумуляцию временно свободных денежных средств частных инвесторов в экономике (юридических и физических лиц), а также привлечение средств внешних инвесторов-нерезидентов. Таким образом, происходит перераспределение денежных средств в пользу финансирования бюджетного дефицита, что, в отличие от эмиссии денег, является неинфляционным его источником. Вместе с тем, приобретение Центральным Банком государственных ценных бумаг при их первичном размещении и высокая стоимость обслуживания госдолга способны усиливать инфляционные процессы в экономике.
Другое преимущество выпуска государственных ценных бумаг лежит в области кредитно-денежного регулирования. Поскольку использование кредитных ресурсов Центрального Банка в целях покрытия дефицита бюджета сужает его возможности регулирования кредитного рынка, во всех странах устанавливаются ограничения на доступ правительства к этим ресурсам.
Рынок государственных ценных бумаг, сохраняя указанные возможности, дополнительно предоставляет механизм и инструменты для проведения Центральным Банком операций на открытом рынке, а также для установления процентных ставок по государственным заимствованиям на рынке ценных бумаг как инструмента его кредитно-денежной политики.
Рынок государственных ценных бумаг выполняет функцию обслуживания и покрытия госдолга, в структуру которого входят обязательства, как на рынке ценных бумаг, так и на кредитном рынке, а также обязательства третьих лиц, гарантированные государством. Таким образом, эта функция также носит макроэкономический характер, выходя за рамки собственно рынка ценных бумаг.
Привлечение средств для погашения и обслуживания госдолга посредством выпуска государственных ценных бумаг сопряжено со сравнительно меньшими издержками, чем его финансирование с помощью банковских кредитов. Высокая ликвидность государственных ценных бумаг, обеспечивающая инвесторам возможность продавать их на вторичном рынке и вернуть свои средства, приводит к снижению процентных ставок по ним из-за снижения риска ликвидности. Этим свойством не обладают банковские ссуды, предоставленные государству. Кроме того, государственные ценные бумаги являются наиболее надежным финансовым активом на рынке развитой экономике.
Поэтому в рыночной экономике заимствования на рынке государственных ценных бумаг, как правило, являются одним из основных источников финансирования внутреннего долга. Крупный дефицит бюджета федерального правительства ведет к повышению процентных ставок, поскольку государство вынуждено конкурировать с другими эмитентами за средства инвесторов. Высокие процентные ставки, особенно по краткосрочным государственным ценным бумагам, отвлекают средства инвесторов с рынка корпоративных ценных бумаг, сдерживают рост его капитализации и экономический рост в целом.
Поступление доходов в бюджет, как правило, неравномерно, в то время как бюджетные расходы распределены более равномерно, поэтому для покрытия кассовых разрывов государство выпускает краткосрочные ценные бумаги, в том числе бумаги, которые могут быть использованы при уплате налогов [22].
Цели выпуска государственных ценных бумаг:
- финансирование текущего бюджетного дефицита;
- сглаживание неравномерности поступления налоговых платежей;
- погашение и рефинансирование ранее размещенных займов;
- обеспечение коммерческих банков ликвидными активами;
- финансирование конкретных проектов и целевых программ, имеющих государственное значение.
По способу образования дохода в мировой практике выделяют следующие виды государственных ценных бумаг:
1. купонные (процентные):
- с фиксированной ставкой дохода;
- с плавающей ставкой дохода;
2. бескупонные (дисконтные);
3. выигрышные.
Выпуск купонных облигаций с фиксированной ставкой дохода исторически является первым типом государственных ценных бумаг и обладает тем достоинством, что в момент их выпуска эмитент точно знает стоимость обслуживания долга. Фиксированный процентный доход инвестора, с позиции эмитента, предстает как расходы на обслуживание долга. Однако в условиях инфляции и нестабильности рыночной конъюнктуры инвестиционная привлекательность таких ценных бумаг снижается, особенно средне- и долгосрочных финансовых инструментов.
Поэтому государство наряду с ними выпускает ценные бумаги с плавающей ставкой дохода. Изменение процентной ставки по госбумагам может быть поставлено в соответствии с динамикой различных показателей:
- макроэкономических (темп инфляции, динамика учетной ставки Центрального Банка и другие);
- рыночных (уровень доходности других видов госбумаг, динамика фондового индекса государственных ценных бумаг и другие).
Плавающая ставка обычно изменяется на каждый купонный период.
Плавающая ставка может быть ступенчатой, изменятся от одного временного периода к другому и объявляться эмитентом на каждый купонный период или их ряд. Причем в этом случае нет увязки процентной ставки с конкретным показателем. Эмитент устанавливает ставки либо по периодам, либо в момент эмиссии, либо на кануне выплат по предыдущему купону на следующий временной период.
По бескупонным облигациям доход инвестора образуется в виде дисконта – разницы между ценой погашения облигации по номинальной стоимости и ценой приобретения ценных бумаг ниже номинальной стоимости. По ним не осуществляются промежуточные выплаты. Дисконтные облигации являются ценными бумагами с фиксированной ставкой дохода, поскольку в момент их размещения доход, полученный за весь срок погашения, известен: он равен величине дисконта. Таким образом, отношение величины дисконта к номинальной стоимости облигации (т.е. процентная ставка) фиксировано.
В ряде стран доход по государственным ценным бумагам выплачивается в виде выигрышей по результатам регулярно проводимых тиражей. В этом случае доход получают отдельные владельцы, а остальные погашают облигации по номиналу по истечении срока их обращения.
По срокам обращения выделяют облигации:
- краткосрочные;
- среднесрочные;
- долгосрочные;
- бессрочные.
В мировой практике государственные краткосрочные ценные бумаги, как правило, дисконтные (казначейские векселя и другие облигации).
Среднесрочные ценные бумаги (ноты) и долгосрочные облигации (бонды) – традиционно ценные бумаги с купонной ставкой дохода (процентные), причем наиболее широко распространены ценные бумаги с плавающей ставкой.
К государственным ценным бумагам относят ценные бумаги различных эмитентов, что определяется особенностями законодательства. Общая классификация по эмитентам включает:
- ценные бумаги центрального правительства и правительств административно-территориальных образований;
- муниципальные ценные бумаги;
- ценные бумаги третьих лиц, гарантированные государством.
По кругу обращения ценные бумаги государства подразделяются на:
- рыночные: могут свободно обращаться на вторичном рынке;
- рыночные с ограниченным кругом обращения: обращаются на вторичном рынке, но с ограничениями по другим видам рынков. Например, обращаются только на биржевом рынке или размещаются и обращаются только среди юридических лиц или кредитных организаций и т.п.;
- нерыночные: не могут обращаться на вторичном рынке; держатся владельцами до погашения; могут досрочно отзываться эмитентом, если это предусмотрено условиями выпуска.
По способу передачи прав государственные ценные бумаги могут быть:
- именные;
- на предъявителя.
По возможности долгосрочного погашения:
- отзывные;
- безотзывные.
Способ возмещения основной суммы долга и выплат дохода по государственным ценным бумагам может быть:
- денежными средствами;
- другим имуществом, в том числе государственными ценными бумагами;
- имущественными правами.
Как правило, доходы по государственным ценным бумагам имеют льготный режим налогообложения [30].
1.4. Виды российских государственных ценных бумаг
Динамичное развитие рынка ценных бумаг в России ведет не только к увеличению его объема, но и к расширению перечня долговых обязательств. Это в полной мере относится к рынку государственных ценных бумаг, отличающихся высокой ликвидностью и налоговым льготам.
Федеральными государственными ценными бумагами признаются ценные бумаги, выпущенные от имени Российской Федерации. Денежные средства, привлекаемые в результате размещения государственных ценных бумаг, и порядок их расходования определяются федеральными законами, законами субъектов Российской федерации в соответствии с законодательством Российской Федерации.
Решение об эмитенте ценных бумаг Российской Федерации принимается Правительством РФ. Эмитентом ценных бумаг Российской Федерации выступает федеральный орган исполнительной власти, являющийся юридическим лицом, к функциям которого отнесены составление и исполнение федерального бюджета.
Министерство финансов РФ от лица Российской Федерации выступает заемщиком, а генеральным агентом по обслуживанию выпусков государственных ценных бумаг является Центральный банк Российской Федерации (Банк России). Эмиссия государственных ценных бумаг осуществляется в соответствии с Законом РФ «О государственном внутреннем долге Российской Федерации» в пределах лимита государственного внутреннего долга, установленного федеральным законом о федеральном бюджете на соответствующий финансовый год. Все выпуски облигационных займов заносятся в Долговую книгу Российской Федерации.
Заемщик берет на себя ответственность своевременно и в полном объеме переводить сумму, необходимую для выполнения платежных обязательств. Исполнение обязательств эмитента по федеральным государственным ценным бумагам осуществляется согласно условиям выпуска этих ценных бумаг за счет средств Российской Федерации.
Таким образом, эмитентом на рынке государственных ценных бумаг выступает государство в лице Министерства финансов РФ. Первичное размещение облигаций, впрочем, так же как и погашение, осуществляется Центральным банком РФ по поручению Министерства финансов РФ.
Инвестором на рынке государственных ценных бумаг может быть любое юридическое или физическое лицо, приобретающее облигации и имеющее право на владение ими, резиденты и нерезиденты РФ.
Контролирующим органом на рынке государственных ценных бумаг выступает Банк России.
Особенность рынка государственных ценных бумаг состоит в том, что он является только биржевым фондовым рынком.
Функции, которые участники рынка государственных ценных бумаг могут выполнять на рынке государственных ценных бумаг, отражены в табл.1.1.
Таблица 1.1. Функции участников рынка государственных ценных бумаг
|
Функции |
ЦБ РФ |
Дилер |
Инвестор |
|
Заключать с организациями договоры на выполнение функций участников рынка |
Х |
- |
- |
|
Осуществлять контроль за размещением и обращением облигаций |
Х |
- |
- |
|
Проводить аукцион по продаже облигаций на первичном рынке |
Х |
- |
- |
|
Осуществлять торговлю облигациями на вторичном рынке |
Х |
Х |
- |
|
Исполнять заявки инвесторов на покупку или продажу на первичном или вторичном рынке |
Х |
Х |
- |
|
Приобретать облигации на праве собственности или полного хозяйственного ведения |
Х |
Х |
Х |
Инфраструктура рынка может быть представлена депозитарной, расчетной и торговой системами.
Функции депозитарной системы заключается в:
- обеспечении учета прав владельцев на облигации (ведение реестра);
- переводе облигаций по счетам депо и сделкам купли-продажи;
Расчетная система обеспечивает расчеты по денежным средствам по заключенным сделкам с облигациями.
Торговая система реализует процедуру заключения сделок купли-продажи облигаций [14].
1.4.1. Виды федеральных государственных ценных бумаг
Российские государственные ценные бумаги включают следующие виды ценных бумаг:
- векселя Министерства финансов РФ;
- облигации внутреннего займа РСФСР
- облигации российского внутреннего выигрышного займа
- государственные жилищные сертификаты;
- валютные облигации Министерства финансов РФ;
- государственные краткосрочные бескупонные облигации;
- облигации федерального займа с переменным купонным доходом;
- облигации федерального займа с фиксированным купонным доходом (ОФЗ - ФД);
- облигации федерального займа с амортизацией долга (ОФ – АД);
- облигации государственного сберегательного займа РФ;
- облигации Золотого займа ОФЗ – 9999;
- облигации государственного нерыночного займа;
- восстанавливаемые ценные бумаги;
- золотые сертификаты.
1.5. Законодательное регулирование государственных ценных бумаг в Российской Федерации
Существуют несколько уровней правового регулирования внутренних заимствований Российской Федерации.
Первый уровень – Конституция РФ, в которой (ст. 75, п.4) оговаривается порядок выпуска и размещения государственных займов (выпускаются в порядке, определяемом федеральными законами, и размещаются на добровольной основе).
Второй уровень – федеральное законодательство (гражданское, налоговое и законы о бюджете на соответствующий финансовый год). К данному уровню прежде всего относятся:
- Закон «О рынке ценных бумаг»
- Закон «О государственном внутреннем долге» (13
ноября
Третий уровень – постановления Правительства РФ и указы Президента РФ, регулирующие рынок государственных ценных бумаг.
Четвертый уровень – инструкции и положения Министерства финансов РФ, Банка России и Федеральная Служба по Финансовым рынкам (ФСФР), детализирующие договорные отношения, а также порядок выпуска и обращения облигаций, определенный документами высшей юридической силы.
Важнейшим событием в области регулирования рынка государственных ценных бумаг стало принятие Федерального Закона от 29.07.98 №136-ФЗ «Об особенностях эмиссии и обращения государственных и муниципальных ценных бумаг».
Законом устанавливаются:
- порядок возникновения и исполнения обязательств Российской Федерации, субъектов РФ и муниципальных образований в результате эмиссии их ценных бумаг;
- процедура эмиссии государственных и муниципальных ценных бумаг и особенности их обращения;
- порядок раскрытия информации эмитентами в части, не регламентированной ранее.
Статус государственных ценных бумаг имеют:
- ценные бумаги, выпущенные от имени Российской Федерации (федеральные государственные ценные бумаги);
- ценные бумаги, выпущенные от имени субъектов РФ (государственные ценные бумаги субъектов РФ).
Ценные бумаги, выпущенные от имени муниципального образования, признаются муниципальными ценными бумагами и не являются государственными.
Обязательства государства исполняются за счет государственной казны РФ, казны субъектов РФ в соответствии с законом о бюджете соответствующего уровня.
При этом направления и порядок использования денежных средств, привлекаемых в результате размещения государственных ценных бумаг, устанавливаются федеральными законами и законами субъектов Федерации. Это положение закона призвано упорядочить расходование привлеченных средств.
Определены виды государственных ценных бумаг: они могут быть выпущены в виде облигаций или иных ценных бумаг, относящихся к эмиссионным ценным бумагам, понятие которых введено федеральным законом «О рынке ценных бумаг».
Возмещение по ним может осуществляться:
- денежными средствами;
- иным имуществом (имущественными правами).
Законом определены формы государственных ценных бумаг. Как эмиссионные ценные бумаги, государственные ценные бумаги могут быть:
- именные в документарной и бездокументарной форме;
- на предъявителя в документарной форме.
Специфика форм выпуска государственных ценных бумаг заключается в том, что выпуск государственных ценных бумаг в документарной форме может быть:
- с обязательным централизованным хранением;
- без обязательного централизованного хранения.
Кроме того, по именным федеральным государственным бумагам реестр владельцев именных ценных бумаг не ведется.
Законом вводится различие понятий «выпуск» ценных бумаг и «транш». Эмиссия государственных ценных бумаг может осуществляться выпусками, в рамках которых могут устанавливаться серии, разряды, номера.
Транш – часть ценных бумаг данного выпуска, размещаемая в рамах объема данного выпуска в любую дату в течение периода обращения ценных бумаг данного выпуска.
Законом упорядочено установление валюты обязательств.
Обязательства по государственным ценным бумагам, составляющие внутренний долг, должны быть выражены в валюте РФ.
В качестве оговорки в Генеральных условиях эмиссии и обращения государственных бумаг, а также реквизитах их сертификатов могут быть указаны:
- иностранная валюта;
- условные денежные единицы;
- драгоценные металлы.
На основании этой оговорки определяется величина платежа по ценной бумаге.
Обязательства по ценным бумагам РФ и субъекта РФ, составляющие внешний долг РФ и внешний долг субъекта РФ должны быть выражены в иностранной валюте.
Круг возможных оговорок для этих государственных ценных бумаг более узкий, это могут быть:
- условные денежные единицы;
- драгоценные металлы.
Оплата дохода и погашение в денежной форме обязательств по государственным ценным бумагам, составляющий внешний долг, осуществляются в иностранной валюте.
Особенности исполнения обязательств по государственным ценным бумагам, способы, порядок и источники финансирования расходов по обслуживанию государственных обязательств регулируются бюджетным законодательством РФ. Эмитент имеет право осуществить страхование ответственности за исполнение обязательств по государственным ценным бумагам. Порядок предоставления гарантий Российской Федерации или субъекту РФ обязательств третьих лиц предусматривает, что обязательства гаранта ограничиваются уплатой суммы, на которую выдана гарантия. Гарантия может предусматривать исполнение обязательств полностью или в части их, причем гарантия должна быть в письменной форме с соблюдением особых требований.
Ценные бумаги, эмитированные третьими лицами, обязательства по которым гарантированы Российской Федерацией и субъектом РФ, не являются государственными ценными бумагами [8].
ГЛАВА 2. ЭФФЕКТИВНОСТЬ РЫНКА ГОСУДАРСТВЕННЫХ ЦЕННЫХ БУМАГ
2.1. Определение доходности государственных ценных бумаг
Основной характеристикой эффективности операций на рынке государственных ценных бумаг является доходность. В практической деятельности возникает потребность установить финансовую эффективность, что сводится к определению доходности государственных ценных бумаг. В общем виде доходность является относительным показателем и представляет собой доход, приходящийся на единицу затрат.
Работа на финансовом рынке сопряжена с проблемой учета эффективности данного вида деятельности. Иногда бывает довольно трудно оценить, насколько эффективна работа финансового директора, потому что он не производит реальной продукции, а лишь пытается управлять финансовыми активами так, чтобы они давали максимальную отдачу. Еще чаще возникает проблема выбора объекта инвестиций из всего множества, существующего на финансовом рынке.
Любое решение об инвестировании средств должно пройти экспертизу с точки зрения эффективности вложений, которую можно определить путем изучения доходности предыдущих операций [24].
Под доходностью в общем смысле понимают величину дохода от вложения финансовых средств, соотнесенную с затратами на получение данной суммы дохода. В качестве дохода, как, впрочем, и в качестве первоначальных активов, могут выступать не только деньги, но и векселя, товары, ценные бумаги и т.д.
Основным показателем доходности является ставка процента, или процент.
Важнейшим показателем при расчете процентов является база начисления – это первоначальная сумма активов, на которую производится начисление процентов или, соответственно, с которой сопоставляется полученная прибыль при вычислении доходности.
Метод начисления – это способ, по которому рассчитывается конечная сумма активов. По методу начисления проценты можно разделить на:
- простые;
- сложные;
- смешанные;
- непрерывные.
Другим важным показателем, используемым при расчете процентов, является временной интервал, или период начисления процентов – промежуток времени, на протяжении которого происходит начисление процентов.
Существуют три основные системы расчета временного интервала:
- немецкая;
-англо-американская;
- французская.
Между собой они различаются по правилам расчета срока вложений и количеству дней в году. Самая точная – англо-американская система не позволяет делать никаких округлений при расчете процентов. В результате по этой системе количество дней в году соответствует его реальному значению: 365 или 366, а период начисления рассчитывается исходя из календарного количества дней в каждом месяце: 28, 29, 30, 31.
В менее строгой французской системе учета временного интервала количество дней в году принимается равным 360, а расчет периода начисления производится исходя из календарного количества, как и в американской системе.
Немецкая же система расчета временного интервала может рассчитываться самой терпимой к округлениям, так как она предполагает, что в году 360 дней, а в каждом месяце их по 30.
Любые сложные финансовые вычисления базируются на двух концептуальных методах расчета:
- метод наращения;
- метод дисконтирования.
Метод наращения используется для вычисления суммы активов, которая будет получена через определенное время, если на нее будут начисляться проценты по действующей ставке, которая, в свою очередь, называется ставкой наращения.
Метод дисконтирования по своей сути противоположен методу наращения и используется для определения суммы, которую необходимо уплатить сейчас при заданном уровне доходности операций, для того чтобы получить доход в будущем. Ставка процента называется ставкой дисконтирования. [21]
2.1.1. Вычисление доходности по ГКО
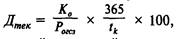
Доход по ГКО образуется за счет дисконта, с которым они размещаются на первичном аукционе. Стоимость ГКО измеряется (котируется) в процентах от номинала, который составляет 1000 р. Соответственно в момент погашения ГКО стоит 100% номинала. В предыдущей главе указывалось, что существует несколько показателей доходности ГКО. Рассмотрим методику их расчета.
Основной характеристикой доходности ГКО являются показатели доходности к погашению, которые имеют различные модификации и используются для различных целей.
Показатели доходности к погашению на первичном аукционе по размещению ГКО:
1. Доходность по цене отсечения (Д отс) определяется по формуле:
(2.1)
где Ротс - цена отсечения, установленная Минфином при проведении аукциона по размещению ГКО;
t - число дней от даты аукциона до даты погашения.
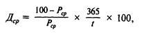
2. Доходность по средневзвешенной цене (Дср) рассчитывается по формуле:
(2.2)
где Рср - средневзвешенная цена удовлетворения неконкурентных предложений исходя из результатов первичного аукциона по размещению ГКО.
После проведения очередного аукциона Минфин РФ публикует официальное сообщение о его результатах, в котором среди прочих показателей указываются доходность по цене отсечения и доходность по средневзвешенной цене.
Показатели текущей доходности после первичного аукциона по размещению ГКО они попадают на вторичный рынок, где котируются под влиянием рыночных факторов. По результатам вторичных торгов определяется текущая доходность, которая может быть рассчитана различными методами.
3. Текущая доходность к погашению по цене закрытия (Дтз) определяется по формуле:
(2.3)
где Рз - цена закрытия, т. е. цена последней сделки, прошедшей на ММВБ по конкретной серии ГКО;
t - число дней от даты вторичных торгов до даты погашения.
4. Текущая доходность к погашению по средневзвешенной цене (Дт.ср) определяется по формуле:
(2.4)
где Рср - средневзвешенная цена по конкретной серии ГКО за прошедшую торговую сессию.
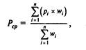
Средневзвешенная цена рассчитывается после окончания торгов на основе всех сделок, проведенных на бирже в текущий торговый день, по формуле:
(2.5)
где рj - цена j-той сделки;
wj - объем j-той сделки.
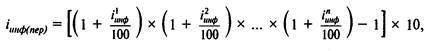
Доходность к погашению рассчитывается еще и по методу сложных процентов, показывая потенциальную доходность от реинвестирования средств на аналогичных условиях в течение всего года. Тогда она называется эффективной доходностью (Дэ):
(2.6)
В расчетах для упрощения принято в году 360 дней.
Данный показатель имеет лишь аналитическое значение и используется при сравнительном анализе различных сегментов финансового рынка.
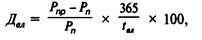
5. Для инвестора важно знать не просто доходность к сроку погашения по результатам первичного аукциона или вторичных торгов, но и доходность своей собственной покупки. С этой целью рассчитывается показатель доходности покупка ГКО к сроку погашения (Дп) по следующей формуле:
(2.7)
где Рп - цена приобретения ГКО на первичном аукционе или на вторичных торгах;
tп - число дней от даты покупки до даты погашения.
Многие инвесторы не держат облигации до конца периода обращения и в силу разнообразных причин продают их досрочно. С этой целью рассчитываются показатели доходности продаж и доходности вложений.
6. Показатель доходности продаж (Дпр) рассчитывается исходя из того предположения, что инвестор купил ГКО на аукционе и хочет в настоящий момент ее продать по текущей котировке. Тогда формула расчета будет выглядеть следующим образом:
(2.8)
где Рп - цена покупки ГКО;
tвл - количество дней, прошедших с момента покупки ГКО до текущего дня;
Р - текущая котировка ГКО.
7. Расчет доходности продажи является частным случаем вычисления доходности вложений в ГКО, который с большой долей уверенности можно назвать основным показателем доходности операции с ГКО. В конечном счете, инвестора, если, разумеется, это не институциональный инвестор, интересует не столько ставка доходности к погашению на рынке ГКО, сколько заработанная прибыль и соответственно доходность вложений. Формула расчета доходности вложений имеет следующий вид:
(2.9)
где: Рпр - цена продажи ГКО;
tвл - количество дней с даты покупки до дня продажи.
2.1.2. Вычисление доходностей по ОФЗ и ОГСЗ
Облигации федерального и облигации государственного сберегательного займов являются среднесрочными купонными ценными бумагами. Сроки погашения у ОФЗ и ОГСЗ больше, чем у ГКО, и составляют 1-3 года. Купон по этим облигациям раньше выплачивался каждые З месяца. На сегодняшний день ОФЗ выпускаются с выплатой купона раз в полгода. Различаются эти государственные облигации между собой методом учета накопленного купонного дохода, номинальной стоимостью и методом котировки.
Для ОФЗ организован отдельный учет купонного дохода от стоимости самой облигации, в то время как по ОГСЗ купон учитывается в стоимости самой облигации. В связи с такой особенностью ОГСЗ для них при каждом новом объявлении купона создаются специальные таблицы, указывающие величину накопленного купонного дохода на каждый день обращения до его выплаты.
Следующим важным отличием данных ценных бумаг является способ торговли. ОФЗ торгуются на ММВБ, их цена измеряется в процентах от номинала без учета купонного дохода и определяется в результате баланса спроса и предложения по каждому выпуску облигаций. Торговля ОГСЗ ведется на внебиржевом рынке уполномоченными банками-дилерами путем установки котировок покупки и продажи.
Расчет доходностей для ценных бумаг с переменным купоном затрудняется тем, что инвестор не может заранее знать, какой суммарный купонный доход он получит по облигации за период ее обращения. Он знает лишь ставку купонного дохода по текущему купону. Поэтому для ОФЗ и ОГСЗ рассчитываются следующие виды доходностей:
- купонная доходность;
- текущая доходность;
- полная доходность;
- доходность вложения.
Купонная доходность устанавливается и объявляется Минфином. Рассчитывается она как средняя доходность на рынке ГКО. На основе рассчитанной таким образом доходности определяется новый купонный доход, который будет выплачен по данному выпуску облигации. Формула вычисления купонного дохода (Ко) достаточно проста:
(2.10)
где Н - номинальная стоимость облигации;
j - ставка купонного дохода по купону;
Ткуп - купонный период.
Купонный период - это период между датами выплаты предыдущего и текущего купона.
Текущая доходность (Дтек) рассчитывается на основе известного купонного дохода относительно даты его очередной выплаты по формуле:
(2.11.)
где Кд.н. - сумма накопленного купонного дохода на текущую дату;
Ко - сумма выплачиваемого купонного дохода;
tk - количество дней до выплаты текущего купона;
Р - котировка ОФЗ на текущую дату (берется в долях от номинальной стоимости облигации);
Н - номинальная стоимость.
Текущая доходность не является эффективным показателем доходности ОФЗ, так как этот показатель можно рассчитать только на ближайший купонный период. Поэтому данная формула используется только при краткосрочной оценке доходности по ОФЗ.
Текущая доходность ОГСЗ определяется так же, как и по ОФЗ, с той лишь разницей, что накопленный купонный доход включается в котировку ОГСЗ. В этом случае текущая доходность по ОГСЗ рассчитывается по формуле:
(2.12)
где Ко - выплачиваемый купонный доход;
Рогсз - котировка ОГСЗ с учетом накопленного купонного дохода.
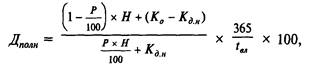
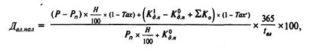
Полная доходность по купонным облигациям рассчитывается с учетом двух составляющих: купонного дохода и прироста стоимости самой ОФЗ (курсовой разницы). На основе формулы полной доходности рассчитывается официальная доходность ОФЗ:
(2.13)
где Р текущая котировка облигации в процентах от номинала;
Ко - сумма выплачиваемого купонного дохода;
Кд.н.- сумма накопленного кулонного дохода на текущий момент.
Необходимо заметить, что в официальной формуле расчета доходности по ОФЗ есть значительный недостаток: при расчете считается, что в момент выплаты купона стоимость ОФЗ составит 100% и инвестор получит, таким образом, дополнительную прибыль за счет курсовой разницы, если, конечно, он покупал облигацию менее чем за 100% от номинала. В действительности этого может не произойти, так как к моменту выплаты купонного дохода цена ОФЗ может упасть ниже того уровня, по которому она была приобретена.
Показатель полной доходности отражает реальную ситуацию только в последний купонный период перед погашением ОФЗ, когда держатель облигации действительно получает при ее погашении не только купонный доход, но и номинал самой ОФЗ. В остальные же периоды расчеты по данной формуле могут дать искаженные результаты.
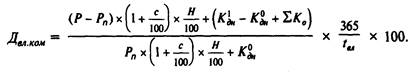
Как и в случае с текущей доходностью, полная доходность, по ОГСЗ рассчитывается по аналогичной формуле с той лишь разницей, что накопленный купон включается в котировку ОГСЗ:
(2.14)
где Рn - котировка ОГСЗ при выплате купона;
Рnok- котировка ОГСЗ при покупке.
Так как прогнозировать доходность по купонным ценным бумагам более чем на срок до даты выплаты купона очень сложно, то более объективным показателем доходности ОФЗ является доходность вложения, рассчитанная по формуле:
(2.15)
где Р - текущая котировка облигации без учета купонного дохода в процентах от номинала;
Рп- цена покупки облигации;
Кд.н. - сумма накопленного купонного дохода по текущему купону;
К°д.н.- сумма уплаченного накопленного купонного дохода при покупке облигации;
∑Ко - общая сумма всех купонных доходов, выплаченных по данной облигации с момента ее покупки;
tвл- количество дней, прошедших с момента покупки.
Логика данной формулы достаточно проста. Текущая стоимость ОФЗ с учетом текущего накопленного купонного дохода и суммы всех купонных доходов, уже полученных по данной облигации, соотносится с полной суммой средств, затраченных на покупку облигации (в том числе купонный доход).
Для ОГСЗ формула расчета доходности вложений будет похожа на формулу расчета полной доходности, но в ней учитываются и суммы, выплаченные по купонам:
(2.16)
где Рm - текущая котировка ОГСЗ [24].
2.2. Факторы, снижающие доходность операций с ценными бумагами
При анализе доходности фондовых операций необходимо учитывать не только номинальную доходность, но и ее реальное значение. Реальная доходность отличается от номинальной тем, что при ее расчете учитываются все издержки, понесенные инвестором при проведении данной операции. Издержки, в свою очередь, можно разделить на прямые и косвенные. К прямым издержкам относятся комиссионные вознаграждения брокеру и другие денежные выплаты. К косвенным издержкам можно отнести упущенную выгоду от неиспользования средств в течение того времени, когда они перечисляются на расчетный счет или с расчетного счета. Соответственно, чем меньший срок до погашения у фондового инструмента, тем сильнее сказывается негативное влияние издержек на реальную доходность вложения.
2.2.1. Влияние комиссионного вознаграждения
Для рассмотрения влияния комиссионных необходимо сделать некоторые утверждения, соответствующие реальным условиям:
- комиссионные устанавливаются в виде процента от суммы операций за один торговый день;
- единовременные расходы на установку необходимого оборудования и подключения к торговой сети не учитываются, как несущественные.
Выплата комиссионных брокеру приводит к тому, что фондовый инструмент, или, проще говоря, объект вложений, обходится инвестору дороже, чем он реально стоит на настоящий момент. Кроме того, при продаже своих активов инвестор также должен уплатить своему брокеру комиссионные, причем на этот раз их сумма будет больше, чем при покупке, в силу увеличения стоимости актива. В результате может получиться, что, казалось бы, большая прибыль, полученная за несколько дней, вся без остатка пойдет на уплату комиссионных. Именно поэтому не только полезно, но и необходимо рассчитывать реальные показатели доходности - такие, как доходность вложений, с учетом корректировок на комиссионные издержки.
На рис. 2.1 приведен график зависимости потерь доходности (т. е. разница между номинальной доходностью и ее реальным значением, рассчитанным с учетом комиссионных) при продаже ГКО от периода вложения в данную ценную бумагу. В качестве примера взята 3-месячная ГКО.

Рис. 2.1. Потери доходности при продаже ГКО
На графике можно выделить три части кривой потери доходности. К первой относятся потери доходности на период вложения от 92 до 16 дней. Данный участок характеризуется минимальными потерями доходности в начале кривой и их постепенным нарастанием от 2 до 10% годовых. Издержки в данном периоде незначительны и не могут влиять на принятие решения о продаже ценной бумаги.
На втором участке в период от 16 до 4 дней до погашения издержки на комиссионные резко возрастают по экспоненте до 30% годовых. Продажа ГКО в этот период сопряжена со значительными потерями, которые могут привести к тому, что доходность примет отрицательные значения. Инвестор должен реально оценить необходимость продажи облигации.
Вертикальный участок графика характеризуется стремительным нарастанием потерь доходности, что делает продажу ГКО в промежуток от 1 до З дней практически невозможной, так как подобная операция сведет на нуль всю заработанную прибыль, если таковая вообще останется после уплаты комиссионных.
Потери доходности при покупке ГКО описываются подобным графиком с той лишь разницей, что предельные издержки на комиссионные расходы составляют значительно меньшую сумму. Это можно объяснить двумя причинами. Во-первых, при погашении ГКО по ней не берутся комиссионные. Следует напомнить, что доходность покупки определяется исходя из того предположения, что инвестор, купив ГКО на вторичных торгах, будет ждать погашения облигации. Во-вторых, при покупке ГКО инвестор платит меньшие комиссионные вследствие низкой цены ГКО и соответственно малой суммы сделки. В результате потери доходности при покупке ГКО малозначимы при условии, что до погашения облигации осталось более 15 дней. На рис. 2.2 представлен график потерь при покупке ГКО.

Рис. 2.2. Потери доходности при покупке ГКО
2.2.2. Временные лаги
Вторым значительным фактором снижения реальной доходности при вложении в финансовые активы являются временные лаги. Их можно разделить на две основные группы:
- внешние лаги;
- внутренние лаги.
К внешним лагам можно отнести временные задержки по переводу средств на данный сегмент фондового рынка и задержки по снятию средств. Все эти издержки времени существуют как бы вне рынка и влияют только на операции, связанные с движением средств из одного сегмента фондового рынка в другой.
К внутренним лагам относятся временные издержки по перераспределению средств внутри одного сегмента фондового рынка. Сюда могут быть включены различные виды задержек платежей, а также задержки с оформлением прав собственности.
В реальной работе внутренними издержками можно пренебречь ввиду их незначительности, поэтому весь дальнейший анализ построен на основе учета только внешних лагов.
На рынке ГКО временной лаг можно определить как 3 дня. Именно такое количество времени обычно необходимо инвестору на то, чтобы перечислить на ММВБ деньги или их снять со своего счета. Необходимо заметить, что в последнее время появляется все больше банков, производящих зачисление средств «день в день» с их перечислением.
График потери доходности при покупке ГКО с учетом временных издержек изображен на рис. 2.3. Можно заметить, что данный график значительно отличается от подобного, учитывающего уменьшение доходности вследствие комиссионных затрат. Прежде всего, уменьшение доходности не превышает 10%, оставаясь практически постоянной в течение 35 дней до даты погашения. Это, конечно, несколько выше, чем уровень потерь от комиссионного вознаграждения, но зато в данном случае мы имеем дело с уменьшением доходности без уменьшения суммы прибыли от операции, так как, получая деньги через несколько дней, мы тем не менее получаем их в полной сумме. На следующем этапе происходит резкое возрастание значения временных издержек до 20%. Предельный уровень деструктивного влияния временных лагов ограничивается 60% годовых даже при небольшом сроке до погашения.

Рис. 2.3. Потери доходности при покупке ГКО вследствие временных лагов

Рис. 2.4. Потери доходности при продаже ГКО вследствие временных лагов
При продаже ГКО влияние потерь времени наиболее сильно сказывается на начальном этапе от 1 до З дней со дня покупки (рис. 2.4). В этом случае разница между номинальной и реальной ставками может доходить до 110% годовых, а в первые 10 дней значительно превышать 30%. Однако эта разница не имеет такого пагубного значения, как при учете комиссионных: ведь под влиянием временных лагов доходность от продажи никогда не уйдет в отрицательную область, сколь бы малой она ни была [22].
2.2.3. Совместное влияние временных лагов и комиссионных
На рис. 2.5 и 2.6 приведены графики потерь при продаже и покупке ценных бумаг с учетом двух основных видов издержек: комиссионных и временных лагов. Анализируя данные графики, приходим к следующим выводам:
- при продаже ГКО в первые 2-З дня после их приобретения реальная доходность вложений может оказаться на 60-70% меньше номинального значения и уйти в область отрицательных значений. При увеличении срока, в течение которого данная бумага находится в портфеле инвестора, более 30 дней влияние издержек времени и комиссионных постепенно снижается до 10-15% годовых;
- реальная доходность покупки ценной бумаги остается практически постоянно на 9-12% годовых меньше декларируемых значений при сроке до погашения 92-40 дней. При сокращении срока до погашения происходит резкое возрастание значения издержек в общей доходности инструмента, в результате чего реальная доходность покупки ценной бумаги может выйти в отрицательные значения. Необходимо заметить, что предельный уровень потерь доходности при покупке ценной бумаги остается значительно ниже, чем при ее продаже.

Рис. 2.5. Потери доходности при покупке ГКО с учетом всех факторов

Рис.2.6. Потери доходности при продаже ГКО
В соответствии с выявленными факторами, снижающими реальную доходность от работы с ценными бумагами, необходимо скорректировать формулы для вычисления доходностей по ГКО и ОФЗ. Прежде всего, нас будут интересовать два основных показателя доходности на рынке ГКО-ОФЗ:
- доходность к погашению;
- доходность вложений.
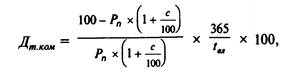
Вычисление реальной доходности к погашению наиболее актуально для инвестора, который собирается вложить свои средства в ценные бумаги и ждать их погашения. Тогда формула расчета текущей доходности с учетом комиссионных примет вид:
(2.17)
где Р п- цена покупки ГКО;
tвл- количество дней с момента вложения до даты погашения выпуска;
с - ставка выплачиваемого комиссионного вознаграждения.
Если же инвестор после погашения ГКО будет изымать деньги с рынка, тогда необходимо рассчитывать реальную доходность с учетом временных лагов:
(2.18)
где Тлаг - время, необходимое инвестору на вывод средств из ММ ВВ.
Второй показатель доходности, подлежащий корректировке, - доходность вложений. Предполагается, что инвестор работает постоянно на данном рынке и не собирается в ближайшее время забирать свои средства. Этот факт исключает из рассмотрения временные лаги, но зато инвестор должен учитывать затраты на комиссионные не только при покупке, но и при продаже ценных бумаг. Комиссионные при продаже рассчитываются относительно текущей цены:
(2.19)
где Рп - цена продажи ГКО на вторичных торгах.
При расчете полной доходности по ОФЗ формула примет вид:
(2.20)
Соответственно изменится и расчет показателя доходности вложений:
(2.21)
2.2.4. Влияние инфляции
Все приведенные выше расчеты выполнены на основании принятого утверждения, что не существует фактора инфляции. Такое допущение было сделано исходя из желания упростить финансовые расчеты. Тем не менее, с инфляцией приходится считаться при проведении расчетов по реальному приросту средств в условиях инфляционной экономики. Всегда полезно знать, насколько реально увеличился капитал в результате управления, и какая доля этого прироста является инфляционной составляющей.
Вряд ли кто-то будет рассчитывать показатели инфляции самостоятельно, ведь они официально публикуются, но, тем не менее, приведем несколько основных формул расчета показателей инфляции. По определению инфляция - это уменьшение покупательной способности денег с течением времени. Основными числовыми показателями инфляции являются темп прироста цен и показатель инфляции.
Темп прироста цен вычисляется по формуле:
(2.22)
где С1 - уровень цен в конце измеряемого периода;
Со - уровень цен в начале измеряемого периода.
Темп прироста цен является безразмерной величиной и показывает, во сколько раз возросли цены за наблюдаемый промежуток времени.
На основе темпа прироста цен можно вычислить показатель инфляции:
(2.23)
Показатель инфляции измеряется в процентах годовых и характеризует относительный прирост цен в экономике.
Из данного утверждения следует, что покупательная способность суммы денег, не равна покупательной способности данной суммы в момент покупки актива, для приведения покупательной способности полученной суммы необходимо произвести дисконтирование вырученных средств в соответствии с показателем инфляции. Тогда формула расчета реальной доходности с учетом показателя инфляции примет следующий вид:
(2.24)
где
-
дисконтный множитель, приводящий цену продажи к размерности
начального периода. Проще говоря, дисконтный множитель измеряет цену продажи
актива в ценах, действовавших на момент покупки;
jинф - показатель инфляции за период с момента покупки до момента продажи актива.
Показатель инфляции за время обращения актива приходится рассчитывать отдельно на основе данных о месячных или годовых показателях инфляции, и при этом необходимо учитывать следующую особенность инфляционного процесса: инфляция является непрерывным процессом, т. е. расчет показателя инфляции производится по методу сложного процента. В момент времени t + 1 расчет делается с учетом результатов процесса в момент t.
Таким образом, если нам известен месячный показатель инфляции, то для расчета годового показателя инфляции необходимо применить формулу:
(2.25)
где jинф(год) - расчетное значение годового показателя инфляции;
jинф(мес) - месячный показатель инфляции.
При известном годовом показателе инфляции можно рассчитать его среднемесячное значение:
(2.26)
Если же нам даны показатели инфляции за каждый месяц, то можно рассчитать общий показатель, используя формулу для расчета цепных индексов:
(2.27)
где j¹инф, j²инф, jинф - соответственно показатели инфляции в периодах 1, 2, ..., n.[23]
2.2.5. Доходность с учетом налогообложения
Следующим фактором значительного снижения реальной доходности вложений является налогообложение полученной прибыли. При размещении государственных ценных бумаг Российской Федерации, государственных ценных бумаг субъектов Российской Федерации процентным доходом признается доход, заявленный (установленный) эмитентом, в виде процентной ставки к номинальной стоимости указанных ценных бумаг, а по ценным бумагам, по которым не установлена процентная ставка, - доход в виде разницы между номинальной стоимостью ценной бумаги и стоимостью ее первичного размещения, исчисленной как средневзвешенная цена на дату, когда выпуск ценных бумаг в соответствии с установленным порядком признан размещенным [6].
Налогообложение процентов, начисленных за время нахождения государственной ценной бумаги на балансе налогоплательщика, осуществляется в порядке и на условиях, которые установлены ст. 282 настоящего Кодекса. По государственным ценным бумагам, при обращении которых в цену сделки включается часть накопленного купонного дохода, выручка уменьшается на доход в размере накопленного купонного дохода, причитающегося за время владения налогоплательщиком ценной бумагой.
К налоговой базе, определяемой по операциям с ценными бумагами, применяются следующие налоговые ставки:
- 15% - по доходу в виде процентов по государственным ценным бумагам (за исключением процентного дохода, полученного первичными владельцами государственных ценных бумаг Российской Федерации, которые были получены ими в обмен на ГКО в порядке, установленном Правительством Российской Федерации), условиями выпуска и обращения которых предусмотрено получение дохода в виде процентов, а также по доходам в виде процентов по облигациям с ипотечным покрытием, эмитированным после 1 января 2007 г., и доходам учредителей доверительного управления ипотечным покрытием, полученным на основании потребления ипотечных сертификатов участия, выданных управляющим ипотечным покрытием после 1 января 2007 г.;
- 0% - по доходу в виде процентов по государственным облигациям, эмитированным до 20 января 1997 г. включительно, а также по доходу в виде процентов по облигациям государственного валютного облигационного займа 1999 г., эмитированным при осуществлении новации облигаций внутреннего государственного валютного займа 3 серии, эмитированных в целях обеспечения условий, необходимых для урегулирования внутреннего валютного долга бывшего СССР и внутреннего и внешнего валютного долга Российской Федерации.
По доходам, выплаченным налогоплательщиком в виде дивидендов, а также процентов по государственным ценным бумагам, налог, удержанный при выплате дохода, перечисляется в бюджет налоговым агентом, осуществившим выплату, в течении 10 дней со дня выплаты дохода.
Налог с доходов по государственным ценным бумагам, при обращении которых предусмотрено признание доходом, полученным продавцом в виде процентов, сумм накопленного процентного дохода (накопленного купонного дохода), подлежащих налогообложению в соответствии со ст. 284 настоящего Кодекса у получателя доходов, уплачивается в бюджет налогоплательщиком - получателем дохода в течение 10 дней по окончании соответствующего месяца отчетного (налогового) периода, в котором получен доход, исходя из дат, признаваемых датами получения дохода в соответствии со ст. 271 и ст. 273 настоящего Кодекса [4].
Таким образом, необходимость поделиться с государством частью заработанного приводит к уменьшению прибыли. Предположим, что ставка налогообложения равна Тах, тогда после уплаты налогов прибыль уменьшится в соответствии с множителем (1 - Тах). Следовательно, формула расчета доходности по ОФЗ изменится следующим образом:
(2.28)
где Тах - ставка налога на дисконт по ОФЗ, равная 0,35;
Тах’ - ставка налога на купонный доход, равная 0,15.
В связи с введением налога на доход по ГКО полученный дисконт как разницу между ценой продажи и покупки также необходимо уменьшить на сумму налога [23].
2.3. Кривая эффективной доходности
На каждом сегменте финансового рынка существует зависимость между доходностью финансового инструмента и сроком до его погашения, причем такая зависимость стабильна только на одном сегменте и может иметь совершенно иные значения на другом. Эта зависимость получила название кривой эффективной доходности. В данном случае время до погашения является мерой риска вложения в актив: чем дольше срок вложений, тем меньше уверенности, что должник вовремя и в полном объеме погасит долг, а соответственно больший риск инвестиций.
На рис. 2.7 приведена кривая эффективной доходности нормального вида.
Существуют две основные теории, объясняющие существование и форму кривой эффективной доходности: теория ликвидности и теория рациональных ожиданий. Наиболее распространенная теория ликвидности утверждает, что ликвидность актива определяется сроком до его погашения и, соответственно, активы с большими сроками до погашения должны давать большую доходность по сравнению с краткосрочными активами. Такая премия является компенсацией за низкую ликвидность и больший риск долгосрочного актива.

Рис. 2.7. Кривая эффективной доходности
В соответствии с теорией рациональных ожиданий кривая эффективной доходности отражает ожидания инвесторов относительно будущей доходности финансовых инструментов. Так, отрицательный наклон кривой эффективной доходности может означать ожидания инвесторов снижения доходностей на финансовом рынке. Из наблюдения за изменением кривой эффективной доходности можно сделать следующие выводы:
1. Существует минимальная доходность финансового инструмента, от значения которой начинается кривая и ниже которой доходность обычно не опускается. Это значение доходности соответствует наименьшему риску вложения в актив. Такой риск называется системным или недиверсифицируемым. Его величина меняется со временем и определяется общеэкономическим и политическим положением в стране, а также привлекательностью данного финансового актива. На рынке ГКО-ОФЗ данная величина может также зависеть от потребности государства в заимствованиях с рынка ГКО-ОФЗ, а минимальное значение риска соответствует выпуску ГКО, у которого наименьший срок до погашения.
2. Кривая эффективной доходности выпукла вверх. Такой вид кривой эффективной доходности можно объяснить достаточно просто. Кредитор каждый раз требует дополнительной премии за предоставление средств в кредит на более длительный срок. Действительно, при увеличении сроков заимствования возрастает неопределенность, а соответственно и риск невыплаты долга. Следовательно, должна возрасти премия за риск.
Однако далеко не всегда на финансовом рынке наблюдается нормальный вид кривой эффективной доходности, так как бывают аномалии, и, чем менее стабилен развитой рынок, тем причудливее и невероятнее бывает ее вид
3. Функция эффективной доходности является монотонно возрастающей. Однако бывают ситуации, когда кривая эффективной доходности искривляется и имеет один или несколько «горбов», что объясняется случайными отклонениями от нормальной формы или ажиотажным спросом на актив со сроком погашения, привязанным к какому-либо значительному политическому или экономическому событию, которое оказывает сильное влияние на данный сегмент финансового рынка.
4. Функция кривой эффективной доходности возрастает и стремится к своему предельному значению доходности, которое является максимальным для данного сегмента финансового рынка. Естественно, такое значение не остается постоянным и также меняется со временем. Это свойство кривой эффективной доходности тесно связано с другим, не менее важным: при увеличении срока заимствования премия за каждую дополнительную единицу времени инвестирования постоянно уменьшается, постепенно приближаясь к нулю. Эта особенность объясняется слабой чувствительностью инвесторов к изменению срока инвестиций при достаточно значительном сроке и полной нечувствительностью после того, как этот срок перешагнул за границу «разумного» инвестирования tорт. Кривая эффективной доходности, ее значения и форма активно используются в основном для принятия решения о межвременном инвестировании и является задачей о временной структуре процентной ставки. Суть данной задачи состоит в определении оптимальной структуры инвестирования с учетом возможности промежуточного вложения на более короткий срок, чем необходимо инвестору [23].
2.4. Оценка состояния доходности российского рынка
государственных ценных бумаг за период с 2002-2005 гг.
Из рис. 2.8 следует, что в июне 2002 г. на вторичном рынке ГКО-ОФЗ на 0,3-0,5 % пункта снизилась доходность облигаций со сроками обращения до 2,5 лет, а доходность облигаций с более длительными сроками до погашения не изменилась. В конце июня доходность полугодового выпуска ОФЗ составляла 13,55% (13,79% в конце мая), доходность облигаций со сроком до погашения 1 год была равна 14,26% (14,63% в конце мая). Доходность ОФЗ 27018 со сроком до погашения 3 года в конце июня была равна 16,43% (16,53% в мае).
В реальном выражении доходность облигаций со сроком погашения до1 года убывала начиная с марта, что отражало снижение номинальной доходности. В конце июня реальная доходность составила –1,1% годовых при прогнозируемой инфляции в 2002 г. 13,6%, в 2003 г. 12,0% (рис.2.9.) На графике пунктиром обозначены значения, полученные с использованием прогноза инфляции, сплошной линией – фактические значения.

Рис. 2.8. Доходность
ГКО-ОФЗ

Рис. 2.9. Реальная доходность ГКО-ОФЗ со сроком до погашения 1 год (2000-2002 гг.)
Как и в мае, в июне снижению номинального уровня процентных ставок способствовал рост рублевой ликвидности, обусловленный накоплением валютных резервов. За апрель и май денежная база в широком определении выросла на 6,3% и 6,5% соответственно, что соответствует более чем 100-процентному темпу роста в годовом выражении. В июне Банк России продолжал накапливать валютные резервы, хотя темп роста резервов замедлился.
Погашение основного долга по ОФЗ 27003 составило 9,5 млрд. р., выплаты купонов по ОФЗ 27003, 27009 и 27014 – еще около 1 млрд. р. В этот же день были проведены два аукциона по размещению дополнительных траншей амортизационных облигаций ОФЗ-АД 45001 (погашение в 2006 году) и ОФЗ-ФД 27013 (погашение в 2004 году). Амортизационные облигации были размещены на сумму 2,7 млрд. р. по номинальной стоимости (выручка 2,4 млрд. р.) при доходности 17,32% по средневзвешенной цене. ОФЗ 27013 были размещены под доходность 16,03%, на общую сумму 4,0 млрд. р. по номинальной стоимости, выручка составила 3,8 млрд. р. Премия к доходности вторичного рынка по итогам обоих аукционов была незначительной (0,1 п.п.). Реинвестирование части средств от погашения и купонных выплат привело к росту цен и снижению доходности облигаций на вторичном рынке ГКО-ОФЗ в последующие дни.
В 2004-2005 гг. на рынке внутреннего госдолга Минфин России за счет размещения государственных ценных бумаг привлек 308,6 млрд. р. (без учета операций переоформления) и погасил государственных облигаций на сумму 186,5 млрд. р. Таким образом, за два года чистое привлечение за счет операций с государственными ценными бумагами на внутреннем рынке составило 122,1 млрд. р., в том числе в 2005 г. - 96,2 млрд. р.
При этом в 2004 г. Минфином России проведено 28 первичных аукционов, на которых привлечено 108,31 млрд. р., что составило 81,84% от общего объема привлечения за 2004 г. Остальное привлечение в объеме 24,04 млрд. р. (18,16% от общего объема привлечения за год) было осуществлено на вторичном рынке путем выставления анонимных котировок.
В 2005 г. Минфином России была впервые введена в практику и начала активно использоваться такая форма заимствований как аукцион по доразмещению гособлигаций, не размещенных на первичных аукционах.
В течение 2005 г. было проведено 27 первичных аукционов по размещению государственных ценных бумаг, на которых было привлечено 87,87 млрд. р., и 34 аукциона по доразмещению гособлигаций, не размещенных на первичных аукционах.
В результате в 2005 г.
привлечение на аукционной основе составило 123,55 млрд. р., или 70,12% от
общего объема привлечения за год, а на вторичных торгах путем выставления анонимных
заявок привлечение составило 45,64 млрд. р., или 25,90% от общего объема
привлечения за год. За 7 меся вен
При этом необходимо
отметить, что в соответствии с Программой государственных внутренних
заимствований на
В результате этих
операций государственный внутренний долг, выраженный в государственных ценных
бумагах, возрос за
В
Все прошедшие за 7
месяцев
Для обеспечения
ликвидности новых выпусков государственных облигаций и рынка в целом, выпуски
облигаций федерального займа с постоянным купонным доходом размещаются в течение
одного года в объеме 42 млрд. р. каждый (то есть в
В условиях повышенного спроса на рублевые инструменты, в том числе государственные ценные бумаги, Минфин России проводит дополнительное размещение ценных бумаг путем проведения аукционов по доразмещению облигаций, неразмещенных при проведении первичных аукционов. Размещение государственных облигаций на вторичном рынке без проведения аукционов минимальны по объемам.
Без проведения аукциона
Минфин России осуществлял в
Следствием проводимой
Минфином России в
В
В течение 2003-2005 гг. уровень доходности по государственным облигациям (индекс портфеля ГКО-ОФЗ) был значительно ниже текущих показателей, характеризующих инфляцию [28].
Существуют причины, разнонаправлено влияющие на уровень процентных ставок на рынке ГКО-ОФЗ.
Основными причинами, препятствующими росту доходности на рынке государственных ценных бумаг, являются следующие:
1) консервативная политика Минфина России на рынке государственных внутренних заимствований;
2) сохранение высокого
внутреннего спроса на российские долговые инструменты вследствие значительного
роста объема рублевой ликвидности в условиях роста золотовалютных резервов в
3) неготовность российских инвесторов фиксировать значительные убытки в условиях резкого роста доходности по государственным ценным бумагам.
Среди причин, способствующих повышению доходности, можно выделить две:
1) сохранение высокой стоимости пассивов для российских кредитных организаций (основных инвесторов на рынке государственных ценных бумаг);
2) высокий уровень
показателей инфляции, так значение индекса потребительских цен в январе-июне
При определении цен отнесения на аукционах Минфин России учитывает влияние вышеуказанных причин.
Такая политика Минфина России, учитывающая рыночные изменения, позволила значительно снизить спрэды между федеральными облигациями и корпоративными и субфедеральными облигациями (рис. 2.10) и, соответственно, повысилась привлекательность государственных федеральных ценных бумаг за счет повышения интереса к ним со стороны все более широкого круга участников.
Вместе с тем, необходимо отметить, что в настоящее время сохраняется значительное превышение дюрации федеральных облигаций над дюрацией корпоративных и субфедеральных облигаций (рис. 2.11.).

Рис.2.10. Доходность ГКО-ОФЗ, корпоративных и субфедеральных ценных бумаг, % годовых

Рис. 2.11. Превышение дюрации федеральных облигаций над дюрацией
корпоративных и субфедеральных облигаций
ГЛАВА 3. ПУТИ ПОВЫШЕНИЯ ЭФФЕКТИВНОСТИ РЫНКА ГОСУДАРСТВЕННЫХ ЦЕННЫХ БУМАГ В РФ
3.1. Рынок облигаций государственного сберегательного займа
и облигаций федерального займа
На период с 1995-1998 гг. Минфин ежемесячно размещал очередные серии ОГСЗ. ОГСЗ остаются единственными рыночными ценными бумагами, выпущенными государством для привлечения свободных средств населения. Популярность облигаций на рынке была столь велика, что вместо запланированного объема в 10 млрд. р. ОГСЗ было выпущено на сумму 31 млрд. р.
Привлечение средств через ОГСЗ было выгодно государству, так как процентные ставки на рынке сбероблигаций всегда были ниже доходности ГКО – ОФЗ. Готовность инвесторов покупать ОГСЗ по ценам, удобным Минфину, была продемонстрирована и в июле этого года, когда эмитент разместил остатки ОГСЗ на сумму 2 млрд. р. под 30% годовых. Доходность ОФЗ в это время была в 2-2,5 раза выше. Однако последняя серия ОГСЗ была выпущена в июне прошлого года [24].
Другой купонной бумагой федерального уровня являются ОФЗ. Перед ними ОГСЗ, с точки зрения инвесторов, имеют одно неоспоримое преимущество: они выпущены в документарной форме. Это значит, что облигации не требуют обязательного депозитарного учета. Значит, у инвесторов не возникают риски банкротства депозитария (банка или компании). Одним из важных достоинств ОГСЗ как документарной бумаги является возможность эффективного использования облигаций в качестве залога
Надежность облигаций обеспечивается тем, что после прекращения выплат по ГКО-ОФЗ в августе прошлого года государство объявило о приоритете интересов частного вкладчика. Поэтому выплаты по ОГСЗ заморожены не были. Это сделало облигации сверхпопулярными на рынке. Ряд банковских и небанковских структур использует ОГСЗ как доходный инструмент поддержания ликвидности.
Так же как и векселя, ОГСЗ используют в схемах обналичивания средств. Но и в этом случае их более высокие надежность и ликвидность обеспечивают большую популярность ОГСЗ. В итоге сложившейся конъюнктуры цены на ОГСЗ поднялись до такого уровня, что облигации потеряли всякую привлекательность для простого инвестора. Снижение доходности ОГСЗ до уровня 6-10% годовых сделало их непривлекательными для частных инвесторов, то есть для тех, на кого были рассчитаны облигации.
Другим ограничением по приобретению сбероблигаций мелкими инвесторами стала политика назначения операторами рынка существенно отличающихся цен на покупку и продажу при операциях с небольшими пакетами облигаций.
Наиболее подготовленные частные инвесторы, ранее вкладывавшие средства в ОГСЗ, давно перевели деньги в акции, операции с которыми хотя и более рискованны, но могут обеспечить высокую доходность. Консервативные инвесторы предпочли вложения в доллар. Оставшаяся же в рублевом сегменте финансового рынка часть мелких вкладчиков предпочитает размещать средства в банковские депозиты, обеспечивающие доходность, близкую к ОГСЗ, но с меньшими хлопотами.
Из-за высоких процентных ставок на рынке ОФЗ эмиссия ОГСЗ невыгодна Минфину. Дело в том, что купонный доход по ОГСЗ в соответствии с положением о выпуске этих ценных бумаг привязан к доходности ОФЗ с постоянным купоном. Высокая доходность на рынке ОФЗ определяет высокие процентные ставки при размещении новых серий ОГСЗ [24].
Правда, с целью сокращения количества бланков можно увеличить номинал ОГСЗ, как это уже было сделано ранее (Минфин отказался выпускать ОГСЗ номиналом 100 р., и использует в обращении облигации номиналом 500 р.). Также можно изменить условия расчета купонного дохода ОГСЗ, не привязывая его к доходности ОФЗ. Но в этом случае Минфину проще разместить новую бумагу – государственных федеральных облигаций (ГФО). Вместо ОГСЗ вполне могли прийти так называемые документарные ГКО, сочетающие свойства биржевой и внебиржевой бумаг.
Идея привлечения частного вкладчика на рынок ГКО, путем выпуска документарных государственных краткосрочных облигаций, с возможностью их обращения в системе электронных торгов вынашивалась, начиная с 1995 г. Предполагалось, что после депонирования облигаций на бирже инвесторы смогут участвовать в биржевых торгах. В то же время инвесторы могли вывести облигации с биржи, получив сертификат на руки. Такие возможности делали бы новые ГКО исключительно ликвидными и обеспечивали бы максимальное доверие к ним.
Однако финансовый кризис 1998 г. помешал осуществлению проекта, а сама идея трансформировалась в выпуск нового рублевого инструмента – ГФО. Минфин планировал начать их размещение в четвертом квартале 1999г. Об этом ещё в начале июля заявлял замминистра финансов РФ. По некоторым данным, сертификаты этих бумаг даже были напечатаны.
Высокие процентные ставки по госбумагам, не соответствующие снижающейся инфляции и проводимой правительством политике отказа от финансирования дефицита бюджета за счет рыночных заимствований, сделали нереализованным и данный проект. Аналогичная неудача, уже на этапе размещения облигаций банка России, постигла проект ЦБ РФ, связанный с проведением рыночных заимствований по низким ставкам.
По предоставленной департаментом ценных бумаг Минфина информации, там не планируют выпускать новые серии ОГСЗ вовсе, а размещение ГФО если и состоится, не ранее второго квартала нового года. Так что в следующем году 15 июля будет погашена последняя, 29-я серия ОГСЗ.
В сентябре 1995 г. на российском финансовом рынке появились облигации государственного сберегательного займа (ОГСЗ), выпуск которых был осуществлен в соответствии с указом Президента РФ. На сегодняшний день первый выпуск десяти серий облигаций сберегательного займа в размере 11 трлн. р. закончен [28].
Первый выпуск облигаций ОГСЗ, или облигаций для населения, был вполне благополучным и успешным как для Минфина РФ, так и для населения и финансовых структур. На протяжении всего периода спрос превышал предложение. Особенно это было заметно в последние месяцы 1996 г., что вполне объяснимо, учитывая падение доходности практически всех инструментов финансового рынка. Доходность же по ОГСЗ оставалась вполне привлекательной даже на этом фоне.
Выпуск этих бумаг был рассчитан на мелких частных инвесторов, так как, с одной стороны, такие инвесторы уже имели возможность разочароваться от попыток участия в операциях лжефинансовых компаний и ряда банков, с другой стороны, набор финансовых инструментов был ограничен, а доходность по привычным для населения направлениям вложений средств, например в валюту, стала резко снижаться. В этой ситуации спрос на новые финансовые инструменты, имеющие государственное обеспечение, был в значительной степени гарантирован.
3.1.1. Отличия облигаций государственного сберегательного займа от облигаций федерального займа
Принципиальных отличий ОГСЗ от ценных бумаг типа ГКО-ОФЗ было три:
• документарный (бумажный) выпуск;
• относительно низкий номинал (100 тыс. и 500 тыс. р.);
• предъявительский характер этих ценных бумаг.
В соответствии с условиями выпусков отдельных серий ОГСЗ процентный доход по купону приравнивается к последней официально объявленной купонной ставке по облигациям федеральных займов с переменным купонным доходом (ОФЗ-ПК) за аналогичный по продолжительности купонный период.
Колебательное состояние рынка и повышенный спрос на облигации со стороны населения потребовали от операторов, особенно в первое время, дополнительных усилий по работе с частными лицами, что увеличило расходы на обслуживание. В результате со временем проявилась структура рынка, произошло его деление на крупных операторов и на финансовые учреждения, для которых ОГСЗ являются частью инвестиционного портфеля.
Эмиссия облигаций повлекла за собой формирование многих специфических услуг, в частности, активно стало развиваться депозитарное обслуживание - во многих банках были открыты депозитарии, в которых предусмотрена возможность хранения облигаций, организованы услуги по выплате купонных доходов. Вместе с тем работа с ОГСЗ достаточно трудоемка для финансово-кредитных учреждений, учитывая большое количество ручных операций и сравнительно небольшие номиналы.
Отметим еще три особенности организации обращения ОГСЗ:
первая - наличие нескольких форм обращения (биржевая, внебиржевая - через финансовые структуры и “уличная”);
вторая - облигации эффективно используются и на кредитном рынке, где они постепенно становятся одним из главных средств обеспечения залогов;
третья - облигации начинают выполнять функции денег и в этом качестве, в ряде случаев заменяют не только рубли, но и валюту, поскольку имеют более высокую доходность. В настоящее время ряд обменных валютных пунктов начал работать с облигациями сберегательного займа [16].
3.2. Свойства государственных сберегательных облигаций
Из всех внутренних секторов экономики только у домохозяйств доходы всегда превышают расходы. Государство в корпорации как чистые заемщиков на внутреннем рынке могут рассчитывать только на собственное население. На Западе всегда считали, что население должно иметь самые широкие возможности для надежных инвестиций, в много делали для продвижения государственных ценных бумаг (ГЦБ) в массы. Население может инвестировать через любые институты, но правительства сохраняют для него прямой эксклюзивный доступ к ГЦБ.
Кредит, полученный правительством непосредственно от населения, часто облекается в форму сберегательных облигаций. Сберегательные облигации адаптированы к потребностям населения. К основным свойствам, делающим сберегательные облигации популярными среди населения в позволяющим считать их особым классом ГЦБ, относится следующее:
- привилегия граждан. Покупать облигации и могут только физические лица и некоторые некоммерческие организации, например, благотворительные фонды в церковные организации. Продажа и нерезидентам запрещена;
- надежность. Облигации эмитируются государство с его уникальной способностью взимать налоги и печатать деньги. Номинал облигаций и накопленный доход не могут быть утеряны из-за колебаний рынка, так как облигации не обращаются на рынке. Облигации регистрируются на имя держателя в отношении номинала и процентов и потому могут быть легко и бесплатно восстановлены в случае потери, кражи или порчи. А если облигации эмитируются в электронной форме, то проблема восстановления практически снимается;
- ликвидность за государственный счет. Облигации погашаются полностью или частично по требованию держателя за счет государственного бюджета по прошествии некоторого мертвого сезона (принцип банковского вклада до востребования). Схемы возврата денег удобны для населения;
- непереводимость. Облигации лишены механизма перевода собственности и, следовательно, не могут обращаться на рынке. Отсюда нулевые или почти нулевые трансакционные расходы;
- привлекательная доходность. Доходность облигаций обычно «привязана» (с небольшим дисконтом) к доходности среднесрочных ГЦБ. По доходности они соперничают с банковскими сберегательными вкладами;
- «процент на проценты». Держатель может выбирать между регулярным получением процентов и их автоматической капитализацией. В последнем случае проценты выплачиваются при погашении облигаций вместе с основной суммой долга;
- индексация. Зашита средств, вложенных в облигации от инфляции достигается регулярной индексацией номинала в процентов по какому-нибудь широкому показателю динамики цен вроде индекса потребительских цен. Граждане могут выбирать между индексированием и обычными (номинальными) облигациями;
- льготное налогообложение. Проценты не облагаются субфедеральными подоходными налогами. Уплата федерального подоходного налога откладывается до даты погашения или досрочного обналичивания облигаций. В случае оплаты облигациями некоторых крупных расходов, например, на высшее образование, доход держателя выводится из-под налогообложения;
- удобства при покупке. С целью широкого распространения облигаций среди населения они номинируются мелкими суммами. Облигации распространяются многочисленными агентами, через Интернет, с оплатой в рассрочку по месту работы. При покупке, погашении и восстановлении не надо платить комиссионные;
- форма долгосрочных сбережений. Облигации выпускаются на несколько лет, и раннее погашение поощряется. Автоматическая капитализация процентов по фиксированной ставке и выпуск облигаций с дисконтом избавляют от необходимости реинвестировать доход;
- лимит на отпуск в один руки. Во избежание чрезмерной концентрации облигаций в собственности немногих крупных инвесторов и массового сброса отпуск облигаций в одни руки ограничивается сравнительно небольшой суммой. Регистрация на имя держателя позволяет следить за тем, чтобы этот лимит не нарушался.
Первая
серия облигаций государственного сберегательного займа (ОГСЗ) Российской
Федерации была выпущена в сентябре
Минфин не погашал ОГСЗ по требованию держателей а отсылал их за деньгами на рынок. Но рынок ОГСЗ 1 не сложился, и продать облигации было очень сложно. ОГСЗ был предъявительскими, т.е. имели идеальный механизм перевода собственности и потому могли обращаться на рынке; их нельзя было восстановить (вернуть деньги) в случае кражи, потери и порчи. ОГСЗ выпускались в сертификатной форме, и поэтому операции с ними требовали больших затрат времени и денег; российские системы (банковская, почтовая. транспортная), не поддерживали обращение таких бумаг.
По доходности ОГСЗ чуть опережали ГКО, но ставка купона менялась от квартала к кварталу, что не способствовало включению ОГСЗ в финансовые планы граждан. ОГСЗ не индексировались, и инфляция быстро «съедала» проценты.
Не были предусмотрены «проценты на проценты»: держатель не мог распорядиться об автоматической капитализации процентов. ОГСЗ могли покупать не только физические, но и юридические лица; в том числе и нерезиденты, так как они были в предъявительском. Не была предусмотрена покупка в рассрочку и с удержанием стоимости покупки из заработной платы.
ОГСЗ выпускались годовыми сериями, и каждая серия имела четыре купона: необходимость реинвестировать проценты и основную сумму долга «представляла» держателей под рыночный риск.
Из-за
этих недостатков ОГСЗ не смогли пробудить интереса у населения. Львиная их доля
оседала до погашения на балансе Сбербанка и других андеррайтеров. В начале
Выпуская сберегательные облигации, правительство напрямую обращается ко всей нации с предложением использовать созданные им формы личных сбережений, исключая любые географические, этнические, культурные и иные ограничения. На Западе для преодоления барьеров разрабатываются специальные информационные программы, а реклама облигаций принимает национальный размах. Только тогда можно ожидать от облигаций положительного влияния на инвестиционный тонус страны. Чтобы облигации были привлекательными с точки зрения ликвидности, необходимо гарантировать их досрочное погашение по требованию держателя. Такой гарантией служит фонд досрочного погашения, являющийся аналогом банковских резервов. Чем лучше идут дела банка, чем больше у него клиентов, тем меньше вероятность массового изъятия вкладов и тем меньше резервы по отношению к обязательствам банка перед клиентами. Чем стабильнее государственные финансы и чем больше держателей облигаций, тем меньше вероятность массового сброса облигаций и тем меньше фонд досрочного погашения по отношению к объему эмиссии.
Но даже в богатых США и Канаде, где сберегательные облигации очень популярны, правительство не гарантирует их абсолютную ликвидность. Во-первых, защищаясь от массового сброса облигаций, правительство лимитирует отпуск облигаций в одни руки. Во-вторых, облигации нельзя обналичить в первые месяцы покупки. В-третьих, облигации подаются населению как форма долгосрочных сбережений, и попытки обналичить их в короткий срок караются штрафами [10].
Лимит на отпуск в одни руки должен быть достаточно высоким чтобы привлечь к облигациям состоятельных граждан, но не настолько высоким, чтобы вызвать перебои в обналичивания облигации, если группа крупных держателей потребует досрочно вернуть деньги. Этот лимит рассчитывается с учетом объема эмиссии и фонда досрочного погашения облигаций.
А чтобы облигации были привлекательными с точки зрения защиты сбережений от инфляции, самые длинные выпуски следует индексировать. Индексированные облигации обеспечивают держателям постоянный реальный доход, а инфляционный риск берет на себя правительство. Зато индексация удешевляет стоимость заимствований, так как инвесторы платят правительству премию за защиту от инфляции.
Второй вариант - самостоятельное правительственное агентство, специализирующееся на управление розничным государственным долгом. И здесь деньги для досрочного погашения берутся из бюджета.
Третий вариант - государственная корпорация, обслуживающая государственный розничный долг.
Российский Сбербанк сегодня остается единственным банком, обслуживающим на наименее обеспеченные группы физических лиц. И если бы правительство России решило доверить управление своим розничным долгом какому-нибудь банку, то Сбербанк с его гигантской розничной сетью был бы идеальным кандидатом на эту роль [22].
3.3. Перспективы долговой политики на 2006-2008 гг.
В
апреле
В результате начинает складываться система качественного среднесрочного планирования долговых операций Минфина России, что позволяет повысить эффективность управления государственным долгом Российской Федерации и обеспечить прозрачность проводимых операций. [28]
Правительство РФ одобрило выпуск государственных ценных бумаг в 2006г. в объеме до 251 млрд. р. В связи с этим Минфину и Центробанку РФ было поручено до 21 июля 2007 г. представить в правительство доклад о выполнении решения кабинета министров об объемах выпуска государственных ценных бумаг.
Согласно программе на 2006 г., эмиссия облигаций федеральных займов (ОФЗ) составит до 186 млрд. р., государственных сберегательных облигаций (ГСО) - до 65 млрд. р.
Ожидаемое погашение ОФЗ в 2006 г. составит 61 млрд. 471 млн. 263,1 тыс. р., ГСО - 8 млрд. 500 млн. р. Таким образом, ожидаемое погашение в 2006 г. по государственным ценным бумагам составит 69 млрд. 971 млн. 263,1 тыс. р.
Средневзвешенная доходность по долгосрочным обязательствам на рынке ГКО-ОФЗ, как ожидается, в 2006 г. будет составлять 8,5% годовых. В 2005 г. этот показатель составлял 6,8-7,3% годовых. По среднесрочным обязательствам ожидаемая доходность в течение 2006 г. составит 7% годовых (в 2005 г. - 6-6,5%). Что касается краткосрочных обязательств, то доходность по ним прогнозируется в 6% годовых против 4,8-5,3% в 2005 г.
Расходы на обслуживание государственного внутреннего долга в части ГКО/ОФЗ/ОГНЗ/ГСО в 2006 г. составят 66 млрд. 64 млн. 368,1 тыс. р. В частности, на выплату процентов по облигациям федеральных займов придется 59 млрд. 849 млн. 582,8 тыс. р., в том числе по ОФЗ-ПД - 11 млрд. 529 млн. 98,5 тыс. р., по ОФЗ-ФК - 10 млрд. 415 млн. 285,1 тыс. р., по ОФЗ-АД - 37 млрд. 905 млн. 199,2 тыс. р.
На выплаты процентов по государственным сберегательным облигациям будет направлено 6 млрд. 214 млн. 785,3 тыс. р. Расходы на выплаты процентов по ГКО и ОГНЗ в 2006 г. не запланированы.
По расчетам Минфина, государственный внутренний долг России на 1 января 2007 г. составит 1 трлн. 032 млрд. 150 млн. 339,8 тыс. р.
Размещение ГСО будет осуществляться путем проведения организатором выпуска торгов (аукцион или закрытая подписка). Это связано с тем, что в настоящее время возможности инвестирования пенсионных накоплений в гособлигации из портфеля Банка России практически исчерпаны. К покупке государственных сберегательных облигаций будут допущены такие юридические лица, как Пенсионный фонд РФ, негосударственные пенсионные и страховые фонды, управляющие компании пенсионных фондов.
В 2006 г. Минфин намерен проводить заемную политику, направленную на замещение в среднесрочной перспективе государственного внешнего долга внутренними заимствованиями, развитие национального рынка государственных ценных бумаг.
Программой государственных внутренних заимствований РФ на 2006 г., утвержденной законом "О федеральном бюджете на 2006 г.", предусмотрено привлечение за счет размещения ГЦБ на внутреннем рынке 238,198 млрд. р. при погашении ГЦБ на сумму 68,431 млрд. р.
Таким образом, чистое привлечение по государственным ценным бумагам в 2006 году составит 169,767 млрд. р.
Минфин для выполнения программы государственных внутренних заимствований РФ на 2006 г. предлагает осуществить выпуск государственных облигаций в следующих объемах: облигации федеральных займов - до 186 млрд. р.; государственные сберегательные облигации - до 65 млрд. р.
Таким образом, Минфин планирует одновременно развивать два сегмента рынка ГЦБ - рынок ГКО-ОФЗ и рынок ГСО, обеспечивая инвестирование части пенсионных накоплений в государственные сберегательные облигации.
В 2006 г. выпуск государственных краткосрочных бескупонных облигаций осуществляться не будет.
С целью снижения рисков, связанных со структурой государственного долга, и увеличением сроков обращения рыночного долга, Минфин планирует, что заимствования на внутреннем рынке в 2006 г. будут в основном носить средне- и долгосрочный характер.
При планируемой доходности по краткосрочным инструментам (до 1 года) до 6% и по среднесрочным и долгосрочным инструментам - 7% и 8,5% соответственно, Минфин планирует в 2006 разместить по номиналу ОФЗ на сумму 186 млрд. р. и ГСО - 65 млрд. р. (в том числе 10 млрд. р. - со сроками погашения до 1 года).
Таким образом, на средне- и долгосрочные заимствования в 2006 г. будет приходиться около 96% от запланированного объема внутренних заимствований. Для повышения ликвидности рынка ГЦБ Минфин продолжит в 2006 г. размещать гособлигации со стандартными сроками обращения (3,5, 10 и 15 лет). При этом трех- и пятилетние ОФЗ будут иметь постоянный купонный доход, и их объем к концу 2006 г. достигнет 40 млрд. р. каждый.
Долгосрочные десяти- и пятнадцатилетние ОФЗ с амортизацией долга, выпуск которых Минфин впервые осуществил в 2005 г., будут размещаться и в 2006-2007 гг. Объем их выпуска планируется довести до 80-100 млрд. р. каждый [29].
3.4. Пути повышения доходности на рынке государственных
ценных бумаг
Основными причинами, препятствующими росту доходности на рынке государственных ценных бумаг, являются следующие:
1) консервативная политика Минфина России на рынке государственных внутренних заимствований;
2) сохранение высокого внутреннего спроса на российские долговые инструменты вследствие значительного роста объема рублевой ликвидности в условиях роста золотовалютных резервов;
3) неготовность российских инвесторов фиксировать значительные убытки в условиях резкого роста доходности по государственным ценным бумагам.
Среди причин, способствующих повышению доходности, можно выделить две:
1) сохранение высокой стоимости пассивов для российских кредитных организаций (основных инвесторов на рынке государственных ценных бумаг);
2) высокий уровень показателей инфляции.
В июне 2004 года постановлением Правительства Российской Федерации утверждены Генеральные условия эмиссии и обращения ГСО.
В качестве факторов, сдерживающих рост ликвидности рынка ГКО-ОФЗ, можно выделить следующие:
- доминирование банков с государственным участием;
- концентрация выпусков в портфелях «пассивных» инвесторов;
- отсутствие крупных выпусков с диверсифицированной структурой собственников [16].
Если вкладывать пенсионные деньги можно только в государственные ценные бумаги - отечественные корпоративные бумаги не соответствуют требованиям по надежности, а покупать зарубежные акции и облигации ПФР по закону не имеет права, - но при этом рыночная доходность ГКО-ОФЗ не соответствует требованиям реформы, остается устроить для пенсионных денег отдельный "рынок". Именно по этому пути и пошел Минфин и все правительство. В 2006 г. учреждаются государственные сберегательные облигации (ГСО), которые будут полностью выкупаться Пенсионным фондом. Известно, что объем эмиссии в этом году составит 65 млрд р. ГСО будут выпускаться со сроками обращения 3 года, 5 лет, 10 лет и 15 лет. Размещение этих бумаг будет осуществляться путем проведения организатором выпуска торгов (аукцион или закрытая подписка). К покупке государственных сберегательных облигаций будут допущены Пенсионный фонд, негосударственные пенсионные и страховые фонды, а также управляющие компании пенсионных фондов.
О доходности новых государственных бумаг, единственной задачей выпуска которых является прямая поддержка государством ПФР в условиях снижения по демографическим причинам числа работающих россиян и стабильно высокой инфляции, пока ничего не говорится. Правительство хочет до последнего сохранить видимость рыночного характера пенсионной реформы, хотя по факту с учреждением ГСО оно уже откатилось к старому "распределительному" принципу формирования пенсий. В своем резком выступлении глава Минэкономразвития Герман Греф заявил, что планируемая эмиссия ценных бумаг для определенных юридических лиц - читай, пенсионных фондов - не имеет отношения к финансовому рынку. То есть, ни в коем случае не является рыночной мерой.
В случае инвестирования пенсионных накоплений в значительных объемах на рынок ГКО-ОФЗ возможны следующие негативные последствия:
1) вложение этих средств только в ГКО и ОФЗ вызовет значительный рост доли «пассивных» инвесторов на рынке ГКО-ОФЗ и, фактически, потерю ликвидности рынка;
2) отсутствие ликвидности рынка ГКО-ОФЗ и преобладание на нем «пассивных» инвесторов приведет к уходу с этого рынка его активных участников - коммерческих банков и финансовых компаний. Фактически Банк России утратит один из действенных механизмов осуществления денежно-кредитной политики за счет масштабных операций на открытом рынке.
ЗАКЛЮЧЕНИЕ
В ходе проделанной работы был исследован рынок государственных ценных бумаг и основные направления повышения его эффективности в Российской Федерации.
На сегодняшний день рынок государственных ценных бумаг занимает ведущее место (до 50%) в общем объеме рынка ценных бумаг.
Рынок государственных ценных бумаг является исключительно важным элементом экономической структуры страны с рыночной экономикой. Для государства он представляет собой механизм привлечения инвестиционных ресурсов, а для инвесторов является выгодным и надежным направлением вложения денежных средств.Важным элементом российского рынка ценных бумаг является его финансовое наполнение, т.е. совокупность финансовых инструментов, допущенных к обращению. Всю совокупность российских ценных бумаг можно разделить на две большие группы: государственные и корпоративные ценные бумаги. Государственные ценные бумаги являются финансовым инструментом, обслуживающим государственный внутренний долг, и представляют собой облигации и векселя Министерства финансов РФ.
Рынок государственных ценных бумаг выполняет функции: финансирование дефицита государственного бюджета на внеэмиссионной основе; предоставление механизма и инструментов кредитно-денежной политики; обслуживание и покрытие госдолга; привлечение средств для реализации целевых государственных долговых программ.
Различают следующие виды государственных ценных бумаг:
векселя Министерства финансов РФ; облигации внутреннего займа РСФСР
федеральным законодательством, постановлениями Правительства РФ и указами Президента РФ, инструкциями и положениями Министерства финансов РФ, Банка России и Федеральной Службой по Финансовым рынкам (ФСФР).
Основной характеристикой эффективности операций на рынке государственных ценных бумаг является доходность. В общем виде доходность является относительным показателем и представляет собой доход, приходящийся на единицу затрат. Основным показателем доходности является ставка процента, или процент. Важнейшим показателем при расчете процентов является база начисления.
При анализе доходности фондовых операций необходимо учитывать не только номинальную доходность, но и ее реальное значение. Реальная доходность отличается от номинальной тем, что при ее расчете учитываются все издержки, понесенные инвестором при проведении данной операции. Существуют множество факторов влияющих на доходность операций с государственными ценными бумагами. Одним из факторов является влияние комиссионного вознаграждения. Выплата комиссионных приводит к тому, что фондовый инструмент, или, проще говоря, объект вложений, обходится инвестору дороже, чем он реально стоит на настоящий момент.
В результате может получиться, что, казалось бы, большая прибыль, полученная за несколько дней, вся без остатка пойдет на уплату комиссионных.
поэтому не только полезно, но и необходимо рассчитывать реальные показатели доходности - такие, как доходность вложений, с учетом корректировок на комиссионные издержки. Другим фактором является влияние инфляции. Следующим фактором значительного снижения реальной доходности вложений является налогообложение полученной прибыли. Необходимость поделиться с государством частью заработанного приводит к уменьшению прибыли.
В 2004-2005 гг. на рынке внутреннего госдолга Минфин России за счет размещения государственных ценных бумаг привлек 308,6 млрд. р. (без учета операций переоформления) и погасил государственных облигаций на сумму 186,5 млрд. р. Таким образом, за два года чистое привлечение за счет операций с государственными ценными бумагами на внутреннем рынке составило 122,1 млрд. р., в том числе в 2005 г. - 96,2 млрд. р.
В 2005 г. Минфином России была впервые введена в практику и начала активно использоваться такая форма заимствований как аукцион по доразмещению гособлигаций, не размещенных на первичных аукционах.
В течение 2005 г. было
проведено 27 первичных аукционов по размещению государственных ценных бумаг, на
которых было привлечено 87,87 млрд. р., и 34 аукциона по доразмещению
гособлигаций, не размещенных на первичных аукционах.В
Рассматривая пути повышения эффективности рынка государственных ценных бумаг, были сделаны следующие выводы:
- причинами, препятствующими росту доходности на рынке государственных ценных бумаг, являются следующие:
1) консервативная политика Минфина России на рынке государственных внутренних заимствований;
2) сохранение высокого внутреннего спроса на российские долговые инструменты вследствие значительного роста объема рублевой ликвидности в условиях роста золотовалютных резервов;
3) неготовность российских инвесторов фиксировать значительные убытки в условиях резкого роста доходности по государственным ценным бумагам.
- среди причин, способствующих повышению доходности, можно выделить две:
1) сохранение высокой стоимости пассивов для российских кредитных организаций (основных инвесторов на рынке государственных ценных бумаг);
2) высокий уровень показателей инфляции.
В случае инвестирования пенсионных накоплений в значительных объемах на рынок ГКО-ОФЗ возможны следующие негативные последствия:
1) вложение этих средств только в ГКО и ОФЗ вызовет значительный рост доли «пассивных» инвесторов на рынке ГКО-ОФЗ и, фактически, потерю ликвидности рынка;
2) отсутствие ликвидности рынка ГКО-ОФЗ и преобладание на нем «пассивных» инвесторов приведет к уходу с этого рынка его активных участников - коммерческих банков и финансовых компаний. Фактически Банк России утратит один из действенных механизмов осуществления денежно-кредитной политики за счет масштабных операций на открытом рынке.
В качестве факторов, сдерживающих рост ликвидности рынка ГКО-ОФЗ, можно выделить следующие:
- доминирование банков с государственным участием;
- концентрация выпусков в портфелях «пассивных» инвесторов;
- отсутствие крупных выпусков с диверсифицированной структурой собственников.
СПИСОК ЛИТЕРАТУРЫ
1. Конституция РФ. – М.: ТК Велби, 2004.
2. Бюджетный кодекс Российской Федерации. – М.: ТК Велби,2005.–208с.
3. Гражданский кодекс РФ. Ч.1, 2.// СПС Консультант Плюс
4. Налоговый кодекс. – М.: ТК Велби, 2004.
5. О налогообложении операций с государственными ценными бумагами: Федеральный Закон РФ от 06.08.2001г. № 110-ФЗ.
6. О государственном внутреннем долге Российской Федерации:
Федеральный Закон РФ от 13.11.1992г. № 3877-ФЗ.
7. О рынке ценных бумаг: Федеральный закон от 22.04.1996 №39-ФЗ.
8. Об особенностях эмиссии и обращения государственных и муниципальных ценных бумаг: Федеральный закон от 29 июля 1998 г. №136-ФЗ (с изменениями от 18 июля, 26 декабря 2005 г.).
9. Об утверждении Генеральных условий эмиссии и обращения государственных краткосрочных бескупонных облигаций: Постановление Правительства РФ от 16 октября 2000 г. №790.
10.Об утверждении положения о деятельности по организации торговли на рынке ценных бумаг: Постановление Правительства от 26 декабря 2003 г. N 03-54/пс.
11.Агапеева Е.В. Правовое регулирование рынка ценных бумаг в России и США: Учеб. пособ.- М.: ЮНИТИ-ДАНА, 2004.- 159 с.
12.Алехин Б.И. Государственный долг: Учеб. пособ.- М.: ЮНИТИ-ДАНА, 2004.- 335 с.
13.Алехин Б.И., Захаров А.В. Государственные сберегательные облигации для населения // Финансы. - № 12. – 2005. – С. 51-54.
14.Баринов Э.А. Рынки: Валютных и ценных бумаг: монография / З.А. Баринов, О.В. Хмыз. – М.: Экзамен. 2001. – 606 с.
15. Бердникова Т.Б. Рынок ценных бумаг.- М.: ИНФРА-М, 2002.- 278 с.
16. Буренин А.Н. Рынок ценных бумаг и производных финансовых инструментов.- М.: 1 Федеративная Книготорговая Компания, 1998.- 352 с.
17.Ивасенко А.Г., Никонова Я.И., Павленко В.А. Рынок ценных бумаг: Учеб. пособ.- М.: КНОРУС, 2005.- 272 с.
18.Карабанова К. Понятие ценной бумаги в современном российском праве // Хозяйство и право.- 2005.- №11.- С. 26-35.
19.Килячков А.А., Чалдаева Л.А. Рынок ценных бумаг и биржевой дело: Учеб. пособ.- Изд. 2-е, с изм.- М.: Экономистъ, 2005.- 678 с.
20.Колтынюк Б.А. Инвестиции: Учебник.- СПб.: Изд-во Михайлова В.А., 2003.- 848 с.
21.Лялин В.А., Воробъев П.В. Рынок ценных бумаг: Учебние.- М.: ТК Велби, 2006.- 384 с.
22.Пересецкий А.А., Ивантер А.Е. Анализ развития рынка ГКО // Российская программа экономических исследований.- 1999.- №6.
23.Решетина Е. Некоторые вопросы гражданско-правовой ответственности на рынке ценных бумаг // Хозяйство и право.- 2005.- №9.- С. 30-36.
24. Рынок ценных бумаг и биржевое дело: Учебник / Под ред. О.И. Дегтяревой, Н.М. Кршунова, Е.Ф.Жукова.- М.: ЮНИТИ-ДАНА, 2002.- 501 с.
25.Рынок ценных бумаг: Учебник / Под ред. В.А. Галанова, А.И. Басова. – 2-е изд., перераб. и доп. – М.: Финансы и статистика, 2001. – 448 с.
26.Финансы, деньги, кредит: Учебник / Под ред. О.В.Соколовой.- М.: Юристъ, 2000.- 784 с.
27.Фондовый рынок: Учеб. пособ. / Под ред. Н.И.Берзона.- М.: Вита-Пресс, 1998.- 400 с.
28.Ценные бумаги / Авт.-сост. М.Н.Симонова.- М.: Филинъ, 1997.- 144. с.
29.Ческидов Б.М. Развитие банковских операций с ценными бумагами.- М.: Финансы и статистика, 1997. - 336 с.
30.Шевченко Г.Н. Ценные бумаги. Проблемы понятия // Закон и право.- 2005.- №11.- С. 40-42.
31.Щербаков А.Г. Государственные заимствования Российской Федерации в 2006 г. // Финансы. – № 11. – 2005. – С. 21-22.
32.Щербаков А.Г. Рынок государственных ценных бумаг Российской Федерации и перспективы его развития на 2006-2008 гг. // Финансы.- 2005.- №8.- С. 3-7.
33.Экономика: Учебник / Под ред. А.С.Булатова.- М.: Экономистъ, 2005.- 896 с.
34.Экономическая теория: (микро- и макроэкономика): Учеб. пособ. / Под ред. М.И.Плотницкого.- Мн.: Мисанта, 2003.- 192 с.