Содержание
Введение. 3
1 .Ценовая политика в финансовой системе. 8
1.1 .Организационные принципы ценообразования. 8
1.2.Способы решения проблем формирования цен. 14
1.3.Влияние ценовой политики на налогообложение. 35
2. Особенности ценообразования в налогообложении. 47
2.1. Структура предприятия. 47
2.2.Налоговая политика и ценообразование. 65
2.3. Анализ финансовых показателей. 77
2.4. Влияние цены на финансовые результаты предприятия. 83
3.Перспективы ценовой и налоговой политики. 89
3.1. Способы снижения налоговой нагрузки в ценообразовании. 89
3.2. Основные направления совершенствования ценообразования. 98
Заключение. 103
Список литературы.. 107
Введение
Ценовая политика торговой фирмы определяется в первую очередь ее собственным потенциалом, наличием достаточного капитала, квалифицированных кадров, организацией дела, а не только состоянием спроса и предложения на рынке. Даже имеющийся спрос нужно быть способным удовлетворить, причем в нужное время, в нужном объеме, в нужном месте и при обеспечении нужного рынку качества товаров или услуг. Поэтому как первый шаг предстоит определиться в стратегии фирмы, ее реальных возможностях и лишь после этого формировать рыночное предложение, определять ценовую политику.
Весь процесс работы в области цен и ценовой стратегии своей отправной точкой имеет определение миссии и перспективной линии развития фирмы, и в ходе ее практической реализации любые действия в формировании и применении цен прежде всего согласуются со стратегической линией компании, со всеми изменениями, которым она подвергается в рамках жизнедеятельности на рынке. Вместе с тем, политика цен, управление ценообразованием играют такую важную роль в жизни фирмы, что это является одним из основополагающих моментов в плане ее стратегического развития.
Цена – важнейший элемент комплекса рыночных исследований. Она относится к группе контролируемых факторов и выступает основным показателем, определяющим доход. Традиционно плохое развитие ценовой стратегии в бизнесе России во многом обусловлено практикой установления цен без адекватного учета структуры затрат. Кроме того, ценовые стратегии, разрабатываемые торговыми фирмами, редко увязываются с их общей стратегией, что также является причиной недостаточного использования такого мощного фактора воздействия на рынок, как цена.
В целях разработки качественной стратегии торговой фирме необходимы налаженный сбор информации о рынке, его исследования, подготовка и предложение новых товаров, а также оптимальная организация их сбыта. На основе анализа собранной информации о рынке предприятие разрабатывает свою стратегию. В ее рамках может осуществляться продажа освоенных товаров имеющимся потребителям, предоставление прежних услуг новым покупателям на прежнем рынке (стратегия проникновения), стратегия развития (продажа уже используемых в практике товаров на новом рынке), стратегия сбыта новых товаров (реализация новых продуктов на уже освоенном рынке), стратегия диверсификации (предоставление новых товаров на новом сегменте рынка). При выборе фирмой любой конкретной стратегии развития ей приходится разрабатывать специальную ценовую политику, адекватную выбранной стратегической программе. Требования рынка ориентируют фирму на постоянное изучение условий сбыта продукции и лежат в основе работы всех ее подразделений.
Поскольку стратегия цен вытекает из общей стратегической концепции фирмы, отраженной в ее плане перспективного развития, с самого начала нужно определиться в вопросах стратегического порядка. Стратегическое планирование — процесс формирования миссии и целей фирмы, выбора специфических стратегий для определения и приобретения необходимых ресурсов и их распределения с целью обеспечения эффективной работы предприятия в будущем. Процесс стратегического планирования выступает инструментом, существенно помогающим в принятии всех управленческих решений. Его задача заключается в обеспечении нововведений в достаточном объеме и необходимого качества для адекватной реакции на изменения во внешней среде. Стратегическое планирование заканчивается определением общих направлений, следование которым обеспечивает рост и укрепление позиций фирмы. Таким образом, исходя из вышеизложенного, представляется, что исследование данной тематики представляется достаточно актуальным.
Россия, вставшая на путь трудных реформ, сталкивается с множеством проблем. В настоящее время отчетливо прослеживается стремление многих торговых фирм к упрочнению своего положения на рынке, придание своему бизнесу стабильного положения. Это требование времени, продиктованное здравым смыслом и стремление выжить в условиях обостряющейся конкуренции и отягощения налогового бремени, побуждает к поиску адекватных ответов на животрепещущие вопросы экономической действительности, такие как:
· изменение функционирования хозяйственных механизмов;
· разработка и реализация ценовой стратегии и тактики в новых условиях;
· активное использование новых возможностей управления;
· применение всех легальных методов хозяйственного маневрирования.
Очевидно, что торговое предприятие должно выработать индивидуальную экономическую стратегию, которая позволила бы экономически эффективно добиться поставленных целей.
Несмотря на то, что за последнее время широкое распространение получили неценовые факторы конкуренции, цена была и остается важнейшим критерием принятия потребительских решений. Она сохраняет свои позиции как традиционный элемент конкурентной политики и оказывает очень большое влияние на рыночное положение и прибыль предприятия.
В развитых странах вопрос ценообразования серьезно проработаны экономистами, определены основные подходы к определению цен для различных типов рынков, выработаны конкретные рекомендации производителям, оказавшимся в тех или иных рыночных ситуациях.
Особенность положения российских производителей заключается в том, что они не могут напрямую использовать в своей деятельности методы ценообразования, разработанные в условиях развитого рынка. На сегодняшний день существует ряд причин, не позволяющих быстро перейти от нормативного ценообразования к гибкой ценовой политике. Среди таких причин можно назвать:
· высокую степень монополизации рынка и часто встречающееся практическое отсутствие конкурентной среды;
· неразвитость информационной среды, позволяющей производителю отслеживать изменения конъюнктуры рынка;
· слабая адаптация работников предприятий к жестким требованиям рынка;
· недостаток специалистов в области маркетинга и менеджмента, способных заниматься разработкой и реализацией стратегии, и целый ряд других причин, обусловленных переходным этапом в экономике.
В связи с этим существует проблема адаптации рыночных механизмов ценообразования к условиям российской экономики.
В дипломной работе рассмотрены основные принципы ценовой стратегии и их влияние на налогообложение на примере торгового предприятия ООО "Незабудка-Некст".
Объектом исследования настоящей работы является ценовая политика предприятия.
Предмет исследования настоящей работы является ценовая политика торгового предприятия ООО "Незабудка-Некст".
Цель работы заключается в рассмотрении ценовой политики для ООО "Незабудка-Некст" и ее влияние на налогообложение на основе теоретически обоснованной методики.
Поставленная цель предполагает решение ряда задач, основными из которых являются следующие:
В процессе данной работы были использованы следующие научно-исследовательские методы:
· Анализа и синтеза;
· Статистический;
· Метод сравнений;
· Экономико-математические;
· Индуктивный;
· Дедуктивный;
· Применения передового опыта
· Другие.
Работа выполнена на основе документов бухгалтерской (финансовой) отчетности по торговому предприятию ООО "Незабудка-Некст", научно- и учебно-экономической литературы, а также изданий периодической печати, таких как «Экономист», «Российский экономический журнал», «Вопросы экономики» и др.
1 .Ценовая политика в финансовой системе
1.1 .Организационные принципы ценообразования
Рынок и цена представляют собой категории, обусловленные товарным производством, причём первичным является рынок. Это объясняется тем, что при товарном производстве экономические отношения проявляются главным образом не в самом процессе производства, а через рынок. Именно рынок выступает основной формой проявления товарно-денежных отношений и стоимостных категорий.
В рыночном хозяйстве важную роль играет закон стоимости, который реализуется через механизмы ценообразования, сбалансированности спроса и предложения. Он служит одним из регуляторов общественного производства, способствуя переливу ресурсов из одного сектора экономики в другой и внутри отдельных секторов. В связи с этим возникает функция цены как критерия рационального размещения производства.
По мере перехода к рыночной экономике центральной фигурой становится предприятие-собственник, которое самостоятельно на свой страх и риск, с полной экономической ответственностью за свои действия принимает производственно-экономические и другие решения. Только предприятие решает: что, сколько, когда, где, какого качества изготовлять, кому и на каких условиях продавать свою продукцию. Иными словами, в условиях рыночных отношений трудовые, материальные и финансовые ресурсы предприятия, будучи частью совокупных ресурсов общества, включаются в общий процесс воспроизводства самим предприятием как хозяйствующим субъектом. Естественно, что и экономические последствия решений, принимаемых им, отражаются на конечных результатах его деятельности. [14]
В условиях рыночных отношений регулирование воспроизводства осуществляется, в частности, законом стоимости, который действует через механизм цен и ценообразования.
Известно, что при командных методах организации экономики цены определяются на предприятии, то есть в производстве, и нередко до начала выпуска продукции. Такой подход неизбежно приводит к тому, что за базу цен принимаются затраты на производство; отсюда — затратный метод ценообразования. При таком подходе к построению цен рынок оказывает очень слабое воздействие на уровень и динамику цен. В лучшем случае он фиксирует степень спроса на товар при уже установленной цене.
Главная черта рыночного ценообразования состоит в том, что реальный процесс формирования цен здесь происходит не в сфере производства, не на предприятии, а в сфере реализации продукции, то есть на рынке, под воздействием спроса и предложения, товарно-денежных отношений. Цена товара и его полезность проходят проверку рынком и окончательно формируются на рынке. Поскольку только на рынке происходит общественное признание продуктов как товаров, постольку и стоимость их получает общественное признание через механизм цен также на рынке.
Принципиальное отличие рыночного ценообразования от планового заключается в том, что цены на товары должны определяться (устанавливаться) их собственниками, субъектами хозяйствования. Только тогда можно преодолеть отчуждение товаропроизводителей от результатов их труда.
Государственные органы в зависимости от сложившейся хозяйственной ситуации могут регулировать цены только на ограниченный круг товаров. Государство может определять только общие правила и принципы ценообразования, иногда устанавливать предельные уровни рентабельности или цен на отдельные товары и таким путем осуществлять свои управленческие функции. Однако государственные органы не должны определять конкретные цены на товары, изготовляемые различными собственниками.
Предприятия реализуют свою продукцию, работы, услуги, как правило, по ценам и тарифам, установленным самостоятельно или на договорной основе, и только в отдельных случаях, предусмотренных законодательными актами, по государственным ценам. На продукцию предприятий, занимающих монопольное положение на рынке товаров, а также на товары и услуги, определяющие масштаб цен в экономике и социальную защищенность отдельных групп населения, допускается государственное регулирование цен. В переходный период к рынку в условиях смешанной (многоукладной) экономики рыночный механизм ценообразования должен гибко сочетаться с механизмом государственного регулирования цен на отдельные товары. Такое сочетание позволяет государству с помощью цен определять и реализовать цели и приоритеты экономического развития и формировать соответствующие пропорции.
Механизм ценообразования проявляется через цены, их динамику. Динамика цен формируется под воздействием двух важнейших факторов [14]:
· стратегический фактор заключается в том, что цены образуются на основе стоимости товаров. Постоянно происходят колебания цен вокруг стоимости.
· тактический выражается в том, что цены на конкретные товары формируются под влиянием конъюнктуры рынка.
Первый фактор — фактор долговременного перспективного действия, второй — может часто меняться (в течении дней, часов), так как динамика конъюнктурных изменений очень высока и здесь требуется всестороннее изучение этих изменений. Как первый, так и второй факторы весьма важны в условиях рыночной экономики. Их следует обязательно учитывать, иначе предприятие или фирма окажутся в очень затруднительном положении.
Первый фактор ставит в наиболее благоприятные условия те предприятия, которые имеют современную технику, технологию, пользуются передовыми методами организации труда и т.д. Наибольший выигрыш получает тот, у кого индивидуальные затраты на производство ниже. Второй фактор помогает тем предприятиям, которые оперативно умеют пользоваться конъюнктурой. Однако наибольшую уверенность в успехе и выигрыш получают на рынке те предприятия, которые имеют возможность использовать и тот, и другой факторы.
Следовательно, в условиях рынка динамика цен будет формироваться совершенно по-иному и в какой-то мере непредсказуемо. Надо иметь в виду, и это подтверждает опыт зарубежных стран, что государство может экономически воздействовать на рыночную конъюнктуру и динамику цен.
При переходе к рынку требуется продуманная система мер, которая апробирована в странах с рыночной экономикой. К таким мерам относятся:
· установление предельного уровня цен государственными органами; меры, принимаемые органами управления, направленные на развитие конкуренции;
· соответствующая налоговая политика и др.,
Большая роль здесь должна отводиться местным органам управления. При этом все мероприятия в данной области должны быть закреплены законодательными актами.
Неотъемлемым и важным элементом рынка является конкуренция. Нормальными конкурентами могут быть только собственники. Многообразие структур при одном собственнике создает монополию, которая порождает застой в производстве. Главным условием выживаемости на рынке является высокий уровень производства и высокий профессионализм в его управлении. Многие предприниматели и предприятия, не выдержав конкуренции, разоряются. Однако мощности этих предприятий переходят к другим собственникам. Они совершенствуются, обновляются и включаются в производство на новой, более эффективной основе. Поэтому крах конкретного собственника или предпринимателя зачастую оборачивается для общества ростом эффективности экономики.
Конкуренция служит мощным двигателем рыночной экономики. Основы успеха при конкуренции коренятся в состоянии производства. Мировая рыночная экономика базируется на гибком производстве, которое обладает свойствами быстро, в меру возникновения новых потребностей, перестраиваться практически без повышенных затрат периода освоения новых товаров. Если нет гибкого производства, то время освоения будет длительным. Без этой способности производства невозможно соперничать с конкурентами на рынке. Поэтому переход к рынку, помимо собственно рыночных преобразований, требует перестройки производства (технической, технологической, организационной и т.д.).
Рыночный механизм ценообразования должен создавать условия конкуренции и ликвидации монополизма в промышленности и торговле и способствовать оптимизации их структуры, а также структуры потребления. Эффективность методов ценообразования состоит прежде всего в Том, насколько полно учитывается ими спрос, который определяет текущую рыночную конъюнктуру и формирует структуру инвестиций и самой экономики.
Цены, которые устанавливаются по соглашению сторон, участвующих в обмене товаров, называются договорными (свободными). Идея договорного рыночного ценообразования заключается в том, чтобы нацелить предприятия-изготовители на выпуск товаров, пользующихся спросом. Гибкость и оперативность в установлении рыночных цен приводит к тому, что экономика оказывается более динамичной и ориентируется на удовлетворение общественных потребностей. Договорные (свободные) цены являются важнейшим элементом согласования экономических интересов. Воздействие системы свободного ценообразования на экономику можно проследить только в динамике, во времени. Если при этом на какой-то момент достигнут временный баланс спроса и предложения, то в будущем он может нарушиться. В этой связи особую роль играет системный подход к свободному ценообразованию, анализ рыночных цен как одного из компонентов социально-экономической системы.
Следует заметить, что свободные цены сами по себе еще не обеспечивают экономический рост, а во многих случаях, особенно в условиях дефицита, приводят к стремительному повышению уровня цен. Рост цен в условиях разбалансированной экономики может иметь негативные последствия, усугубляющие и без того непростую ситуацию в экономике. Быстрый рост цен в условиях ненасыщенного и в значительной степени монополизированного рынка товаров и услуг вызывает дезорганизацию производства. При этом падает надежность планирования на уровне отдельного предприятия и нарушаются пропорции внутриотраслевых и межотраслевых связей. Из-за того, что появляется возможность получить дополнительную прибыль, не обусловленную ростом производства, падают стимулы к увеличению выпуска продукции в натуральном выражении. Инфляция способствует спаду производства, препятствует выходу экономики из кризиса.
Для того чтобы процесс перехода к свободным ценам происходил нормально, то есть рост свободных цен находился в допустимых пределах и не приводил к сокращению производства, необходимы следующие условия [14]:
· реальная хозяйственная самостоятельность предприятий, обладающих правом участвовать в заключении договоров о ценах;
· отсутствие дефицита товаров, переводимых на реализацию по договорным ценам;
· отсутствие монополии товаропроизводителей;
· структурная перестройка экономики, прежде всего конверсия оборонного комплекса и базовых отраслей хозяйства;
· обеспечение единого экономического пространства в рамках государств СНГ;
· юридически закрепленное право на свободный выбор поставщиков и потребителей.
1.2.Способы решения проблем формирования цен
Функции цены являются внешним проявлением ее внутреннего содержания. Причем к функциям цены может быть отнесено только то, что характерно для каждой конкретной цены без исключения. Таких функций пять:
Учетная функция
Иначе называемая как функция учета и измерения затрат общественного труда предопределена самой сущностью цены, т.е. будучи денежным выражением стоимости, цена показывает, во что обходится обществу удовлетворение конкретной потребности в той или иной продукции. Цена определяет, сколько затрачено труда, сырья, материалов, комплектующих изделий на изготовление товара, характеризует эффективность используемого труда. В конечном счете цена отражает не только величину совокупных издержек производства и обращения товаров, но и размер прибыли.
Однако эту функцию в условиях рыночных отношений нельзя сводить только к измерению затрат или цены, которая предлагается изготовителем товара при выходе на рынок. Дело в том, что рыночная цена может значительно отклоняться от издержек. Признание правильности произведенных затрат, их общественной значимости происходит только на рынке при непосредственном контакте изготовителя и покупателя товара.
Интерес изготовителя обусловливается величиной выручка от продажи товара, а покупатель заинтересован в минимальной цене покупки. Поэтому окончательная цена может существенно отличаться от той, которую хотел бы получить изготовитель товара. Чтобы выдержать конкуренцию, изготовитель товара постоянно контролирует свои издержки, сопоставляет их с затратами конкурентов и за счет снижения своих затрат, а также улучшения качества товара стремится обогнать конкурентов.
В данной функции цена служит средством исчисления стоимостных показателей [44]:
· количественных (валовой внутренний продукт (ВВП), национальный доход, объем капитальных вложений, объем товарооборота, объем продукции фирм, предприятий и отраслей и др.);
· качественных (рентабельность, производительность труда, фондоотдача и т.д.).
В этом качестве цена выступает одним из главных показателей эффективности производства, служит ориентиром для принятия хозяйственных решений, особенно в условиях рыночных отношений, важнейшим инструментом внутрифирменного планирования.
Стимулирующая функция цены.
Сущность ее выражается в поощрительном или сдерживающем воздействии цены на производство и потребление различных видов товаров. Цена стимулирует производителя через величину заключенной в ней прибыли. В хозяйстве цены могут способствовать или препятствовать увеличению выпуска и потребления тех или иных товаров. Для производителей особенно важны цены, по которым они непосредственно сами продают свою продукцию.
С помощью цены в этой функции можно воздействовать на: научно-технический процесс; экономию затрат ресурсов; повышение качества продукции; изменение структуры производства и потребления. Стимулирование осуществляется путем повышения уровня прибыли в цене, установления надбавок и скидок в основной цене.
Распределительная функция цены
Данная функция связана с возможностью отклонения цены от стоимости под воздействием рыночных факторов. Эта функция состоит в том, что цены участвуют в распределении и перераспределении национального (чистого) дохода между [44]:
· отраслями экономики;
· государственным и другими секторами экономики (например, между промышленностью и сельским хозяйством);
· различными формами собственности;
· регионами страны;
· фондом накопления и фондом потребления;
· различными социальными группами населения.
Так, высокие розничные цены на предметы роскоши и престижные товары (ювелирные изделия, легковые автомобили и др.) обеспечивают перераспределение денежных средств определенной части населения с помощью бюджета для формирования социальных фондов.
Функция сбалансирования спроса и предложения.
Данная функция выражается в том, что через цены осуществляется связь между производством и потреблением, предложением и спросом. Цена сигнализирует о появлении диспропорций в сферах производства и обращения и требует принятия необходимых мер по их преодолению. Она служит гибким инструментом для достижения соответствия спроса и предложения. При появлении диспропорций в хозяйстве, несоответствия между предложением и спросом равновесие достигается с помощью цены либо путем ее роста, либо снижения. По мере развития рыночных отношений, свободного предпринимательства и конкуренции эта функция цены будет усиливаться и играть доминирующую роль при формировании цен на товары.
Функция цены как критерия рационального размещения производства
Считается, что данная функция цены по мере перехода к рыночной экономике будет получать дальнейшее развитие. Данная функция проявляется в том, что с помощью механизма цен осуществляется перелив капиталов из одного сектора экономики в другой и внутри отдельных секторов, туда, где норма прибыли более высокая.
При отсутствии условий для нормального свободного ценообразования следует либо жестко ограничить сферу действия свободных цен, либо, допуская их свободное движение, осуществлять их государственное регулирование. Поэтому представляется необходимым проводить контроль за свободными ценами. По-видимому это наиболее приемлемый способ реализации политики в области свободного ценообразования при переходе к рынку. Так, в Российской Федерации объектом регулирования являются; тарифы на железнодорожные перевозки, услуги некоторых видов связи, цены на нефть и нефтепродукты, газ, отдельные социально значимые товары (медикаменты), коммунальные услуги.
Основная цель такого контроля (регулирования) — добиться прекращения падения производства, ограничить темпы инфляции, создать стимулы для товаропроизводителей, добиваться увеличения доходов за счет роста производства, а не цен.
Есть несколько ранее апробированных методов контроля цен, основанных на проверке правильности их установления [14]:
· регламентация величины свободных цен нормативами рентабельности и распределения экономического эффекта использования продукции между производителем и потребителем;
· расчет цен верхнего предела, за превышение которого налагается штраф;
· установление верхнего предела рентабельности производства и некоторые другие.
Названные методы контроля, как показала практика, оказались малоэффективными и не смогли обеспечить соблюдения правил установления свободных цен. Они имеют один общий недостаток — регулируют лишь величины свободных цен, в то время как с точки зрения изготовителей продукции важен не сам по себе уровень цен, а величина дохода, который с их помощью можно получить. Отсюда возникает потребность в таком методе контроля, при котором возможность получения дохода при росте цен ограничивается строго определенными рамками.
В законодательных документах сформулированы виды нарушений в области цен, которые не могут допускаться изготовителями товаров, занимающими монопольное положение на рынке. Дело в том, что главной и определяющей чертой монополизма изготовителей является возможность искусственно поддерживать на рынке определенный уровень цен. Поэтому необоснованное повышение (снижение) цен считается злоупотреблением хозяйствующего субъекта своим доминирующим положением. Запрещается заключение и осуществление в любой форме соглашений (согласованных действий) между конкурирующими предприятиями и организациями, в которых предусматривается установление цен (тарифов), скидок (надбавок), размеров выплат и других условий, направленных на ограничение конкуренции.
С переходом к свободному ценообразованию весьма остро встает проблема приближения цен к стоимости, учитывающей объективные различия в региональных затратах и формирующегося на разных рынках спроса. Отсюда глубокой теоретической разработки требует вопрос территориальной (региональной) дифференциации стоимости и цен в рыночном хозяйстве. В этих условиях необходимо исходить из того, что по отдельным товарам имеются объективные особенности формирования связей производителей и потребителей, определяющие характер и ареал рынков сбыта, их деление на единый и на систему региональных (местных) рынков со своим уровнем цен. Формируемая на одном региональном рынке система цен должна через прямые и обратные связи воздействовать на системы цен, действующие на других региональных рынках. Таким образом должны последовательно и постепенно формироваться единый рынок и система цен, адекватная этому рынку. Процесс этот, вероятно, будет довольно болезненным и длительным, так как предстоит преодолеть ценовое противостояние и попытки отдельных регионов решить свои экономические проблемы с помощью цен за счет других регионов.
Система внутренних цен должна по возможности отражать движение и тенденции мировых цен. Это крайне важно, если мы действительно хотим построить рыночную экономику и максимально реализовать преимущества экономического сотрудничества с мировым сообществом.
Развитие рыночных отношений в стране неизбежно ведет к становлению свободного ценообразования и расширению прав автономий, местных органов управления и предприятий по определению цен, и соответственно к существенному сокращению сферы централизованно устанавливаемых цен. Однако этот процесс должен быть управляемым и осуществляться продуманно и постепенно.
Государственные органы ценообразования исходя из сложившейся экономической ситуации могут взять на себя деятельность по регулированию цен на отдельные товары, которые определяют жизненный уровень особенно социально не защищенных слоев населения.
На некоторые товары могут устанавливаться верхние пределы цен, ограничивающие их рост, на другие, имеющие большую социальную значимость, органы власти и управления в отдельные периоды вправе назначать розничные цены даже ниже их стоимости, выплачивая изготовителям соответствующие дотации и устанавливая налоговые льготы.
Однако подобную практику следует рассматривать не как принцип ценообразования, а как отступление от главного правила — изменение цен должно производиться в соответствии с действием экономических законов и, в первую очередь, законом стоимости. Государству для соблюдения равенства экономических интересов всех регионов и предприятий в процессе ценообразования необходимо сохранить за собой роль ценового арбитра и в интересах обеспечения единства политики цен на территории страны сосредоточить в своих руках контрольные функции за соблюдением правил ценообразования.
Поэтому комитет (департамент) цен по содержанию и характеру своей работы должен стать научным центром, который разрабатывает общие правила и принципы ценообразования. Комитет цен обязан изучать конъюнктуру рынка, осуществлять наблюдение за динамикой цен, анализ структур цен, выявлять и принимать меры по устранению причин значительного отклонения цен .на основе всестороннего экономического исследования с участием самих предприятий, финансовых, статистических и других органов.
Все действующие в экономике цены взаимосвязаны и образуют систему, которая находится в постоянной динамике под влиянием множества рыночных факторов. Эта система состоит из отдельных блоков цен, взаимозависимых и взаимодействующих. Наиболее важными, основными блоками являются [16]:
· оптовые цены;
· цены на строительную продукцию;
· закупочные цены;
· розничные цены;
· тарифы транспорта и связи.
Блоки цен в свою очередь состоят из более мелких блоков или подблоков. Так, блок оптовых цен делится на два подблока — оптовых цен предприятия и оптовых (отпускных) цен промышленности. Блок тарифов транспорта и связи состоит из нескольких подблоков: тарифы железнодорожного транспорта, тарифы морского транспорта, тарифы речного транспорта, тарифы автотранспорта и т.д.
В основе взаимосвязи всех цен лежит принцип сообщающихся сосудов. Изменение цен в одном из основных блоков данной системы довольно быстро передается по цепочке во все другие блоки. Так, изменение цен на энергоносители находит быстрое отражение в уровне цен всех остальных блоков. Взаимосвязь и взаимозависимость цен, входящих в единую систему, обусловлена в основном двумя важными обстоятельствами:
· все цены формируются на единой методологической основе — на законах стоимости, предложения и спроса;
· все предприятия, производства и отрасли, хозяйственная деятельность которых обслуживается ценами, взаимосвязаны.
Вместе с тем взаимосвязь и взаимозависимость цен в единой системе не исключает самостоятельного движения отдельных блоков цен и цен на конкретные товары внутри этих блоков.
Необходимо отметить тесную связь между системой цен и экономической средой, включающей: товарное производство, различные формы собственности, конкуренцию и т.д., которые составляют основу рыночной экономики.
В зависимости от ряда экономических признаков все цены классифицируются по видам и подвидам.
Прежде всего цены классифицируются в зависимости от обслуживаемых ими отраслей и сфер экономики следующим образом [12]:
· оптовые цены;
· цены на строительную продукцию;
· закупочные цены;
· тарифы грузового и пассажирского транспорта;
· розничные цены;
· тарифы на платные услуги, оказываемые населению;
· цены, обслуживающие внешнеторговый оборот;
· надбавки, скидки, наценки в сфере обращения.
Оптовые цены — цены, по которым реализуется и закупается продукция предприятий, фирм и организаций независимо от форм собственности в порядке оптового оборота. В свою очередь оптовые цены подразделяются на два подвида:
· оптовые цены предприятия;
· оптовые (отпускные) цены промышленности.
Оптовые цены предприятия — цены изготовителей продукции, по которым они реализуют произведенную продукцию потребителям — другим предприятиям и организациям, а также сбытовым и оптовым органам. Эти цены призваны обеспечить дальнейшую хозяйственную деятельность предприятий или организаций, иными словами, реализуя свою продукцию, предприятия должны возместить свои издержки производства и реализации и получить такой размер прибыли, который позволил бы им выжить в условиях рынка. Однако полной гарантии в этом предприятию никто дать не может, так как коммерческий успех его деятельности зависит от множества рыночных факторов, предугадать действие которых оказывается весьма сложным делом. Поэтому конечный экономический результат деятельности предприятия может быть как положительным (прибыль), так и отрицательным (убыток).
На основе оптовых цен предприятия производятся анализ и расчеты стоимостных показателей работы предприятия (фирмы). Оптовая цена предприятия обращена к производству, тесно связана с ним.

Рис. 1.1 Состав оптовой цены предприятия
Трансфертная цена является разновидностью оптовой цены предприятия. Она применяется при совершении коммерческих операций между подразделениями одной и той же фирмы или предприятия и может использоваться как в отношении готовых изделий, полуфабрикатов, сырья, так и по услугам, в том числе управленческим платежам и процентам за кредит. За последние годы трансфертные цены получают все большее распространение, поскольку внутрифирменная торговля становится важным элементом международной торговли. Использование трансфертных цен может существенно влиять на конкурентоспособность фирмы на рынке. Так, путем занижения цен на сырье и материалы, поставляемые дочерними предприятиями, можно заметно повысить конкурентоспособность данного предприятия по сравнению с другими фирмами. Пониженные цены иногда применяются также для уменьшения таможенных пошлин, однако это противоречит антимонопольному законодательству.
Оптовые (отпускные) цены промышленности — цены, по которым предприятия и организации — потребители оплачивают продукцию сбытовым (оптовым) организациям. Они применяются во многих отраслях экономики.

Рис. 1.2 Состав оптовой (отпускной) цены промышленности
Если оптовые цены предприятия более тяготеют к производству, то оптовые (отпускные) цены промышленности теснее связаны с оптовой торговлей.
Цена биржевого товара (или биржевых сделок) является разновидностью оптовой (отпускной) цены промышленности. Она формируется на базе биржевой котировки и надбавок или скидок с нее в зависимости от качества товаров, расстояния от места поставки, предусмотренного биржевым контрактом.
Закупочные цены — это цены (оптовые), по которым реализуется сельскохозяйственная продукция сельскохозяйственными предприятиями, фермерами и населением. На практике закупочные цены для хозяйств трансформируются в средние цены фактической реализации, в которых учтены цены и количество продукции, проданной по различным каналам реализации (заготовительным организациям, на рынке и др.).
Цены на строительную продукцию. Продукция строительства оценивается по трем видам цен [14]:
· сметная стоимость — предельный размер затрат на строительство каждого отдельного объекта;
· прейскурантная цена — усредненная сметная стоимость единицы конечной продукции типового строительного объекта (за 1 м2 жилой площади, 1 м2 полезной площади, 1 м2 малярных работ и др.);
· договорная цена, устанавливаемая по договоренности между заказчиками и подрядчиками. Сфера действия этой цены будет расширяться с развитием рыночных отношений.
Тарифы грузового и пассажирского транспорта — плата за перемещение грузов и пассажиров, взимаемая транспортными организациями с отправителей грузов и населения.
Розничные цены — цены, по которым товары реализуются в розничной торговой сети населению, предприятиям и организациям. Разновидностями розничной цены являются: коммерческая и аукционная цены.
Коммерческая цена — свободная (рыночная) цена, которая применяется по товарам, свободно продаваемым в коммерческих магазинах при наличии государственной цены на такие же изделия, распределяемые централизованно.

Рис. 1.3. Состав розничной цены
Аукционная цена — цена товара, проданного на аукционе. Она может существенно отличаться от рыночной цены (быть многократно выше ее), поскольку отражает уникальные и редкие свойства и признаки товаров и в значительной степени зависит от мастерства лица, проводящего аукцион.
Цены классифицируются в зависимости от территории действия. При этом различают [14]:
· цены, единые по стране, или поясные;
· цены региональные (зональные, местные).
Единые, или поясные, цены могут устанавливаться только на базовые виды продукции, на которые цены регулируются (фиксируются) государственными органами. Речь идет о таких видах продукции и услуг, как энергоносители, электроэнергия, квартплата и некоторые другие.
Региональные (местные) цены могут быть оптовыми, закупочными, розничными. Они устанавливаются предприятиями-изготовителями, органами ценообразования региональных органов власти и управления. Эти цены ориентируются на издержки производства и реализации, складывающиеся в данном регионе. Региональными являются цены и тарифы на подавляющее большинство жилищно-коммунальных и бытовых услуг, оказываемых населению.
Рассмотрим классификацию цен в зависимости от порядка возмещения потребителем транспортных расходов по доставке грузов. Цена, кроме издержек производства, включает также издержки обращения и, в частности, расходы по транспортировке товаров до покупателя. Географический фактор играет значительную роль в формировании цены.
В зависимости от этого экономического признака различают:
Цены ФОБ в месте производства продукции. При установлении этой цены товар передается покупателю в месте его производства со всеми правами на него и ответственностью. Покупатель оплачивает все расходы по транспортировке продукции до места назначения. Иначе эта цена называется ценой франко-станция отправления;
Единые цены с включением расходов по доставке. Этот метод установления предполагает формирование общей, единой цены с включением в нее одинаковой суммы транспортных расходов, которая рассчитывается как средняя стоимость всех перевозок. Другими словами, эта цена называется ценой франко-станция назначения;
Зональные цены. При этом методе определения цен выделяется несколько географических зон и устанавливается единая цена для клиентов, расположенных в границах одной зоны;
Базисные цены, определённые на основе базисного пункта. При этом методе некоторые предприятия и фирмы выбирают в качестве базисных несколько городов (пунктов). В этом случае фактические цены продажи рассчитываются прибавлением к цене ближайшего от заказчика базисного пункта транспортных расходов по доставке ему товара.
При переходе к рынку появляется такой классификационный признак, как степень свободы цен от воздействия государства при их определении. При этом различаются следующие виды цен.
Свободные цены. Это цены, свободно складывающиеся на рынке под влиянием конъюнктуры независимо от какого-либо влияния государственных органов. Государство может воздействовать на них (их уровень) только путем влияния на конъюнктуру рынка;
Регулируемые цены — складываются под влиянием спроса и предложения, но испытывают определенное воздействие государственных органов, пользующихся методами либо прямого ограничения их роста или снижения, либо путем регламентации рентабельности, либо каким-либо другим методом;
Фиксируемые цены — прямо устанавливаются государством в лице органов власти и управления.
В переходный период к рыночной экономике преимущественно действуют два вида цен: свободные (рыночные) и регулируемые. При этом их удельный вес в общей массе цен на производимые и реализуемые товары меняется.
Наиболее соответствующими рыночной экономике, естественно, являются свободные (рыночные) цены, но полностью перейти только к ним нельзя. Да и нигде в мире этого нет. Полностью свободное ценообразование идеально может происходить лишь на товарных рынках, где протекают экономические процессы, наиболее полно отвечающие интересам экономики, общества в целом. Однако и в этом случае государство сохраняет за 'собой право при необходимости вмешиваться в процессы ценообразования и в зависимости от изменяющихся экономических условий перейти к регулируемым или даже фиксированным ценам.
При формировании свободных цен начальную цену в любом случае определяет изготовитель продукции, а не продавец. Размер торговой (сбытовой) надбавки (скидки, наценки) регламентирован. Так, по большинству товаров размер торговой надбавки составляет 25%, причем местные органы власти и управления могут ее регулировать. Регламентация размера торговых (сбытовых) надбавок (скидок) направлена на сдерживание необоснованного роста цен.
Решениями Правительства РФ предусмотрено, что круг товаров, продаваемых по свободным ценам, может расширяться или, наоборот, сужаться и по ним могут вводиться регулируемые цены. Такое право предоставлено региональным органам власти и управления. Регулирование цен в отдельных регионах во многом зависит от наличия на местах товарных ресурсов и финансовых возможностей.
В то же время нельзя обойтись без цен, регулируемых государством. Дело в том, что контролировать систему, не «привязанную» к каким-либо ценам на базовые виды продукции, необычайно трудно, особенно на первых этапах перехода к рынку. Цены будут постоянно стремиться «уходить» от намеченных уровней в какую-либо сторону (чаще в сторону повышения). Поэтому цены важнейших базовых видов продукции должны регулироваться (и даже фиксироваться на определенный период времени) государством. К подобным видам продукции следует отнести уголь, нефть, электроэнергию; зерно, хлеб и некоторые другие.
Политика социальной защиты населения на определенных этапах развития требует прямого государственного регулирования розничных цен на отдельные предметы потребления, которые определяют прожиточный минимум населения (хлеб и хлебобулочные изделия, молоко и молочные продукты, сахар, растительное масло и др.). В переходный период к рыночной экономике проблема социальной защищенности отдельных групп населения от роста розничных цен и инфляции приобретает особую остроту и должна являться объектом пристального внимания государства.
Классификация цен в зависимости от степени новизны товара предусматривает методы установления цен на новые товары и товары, реализуемые на рынке относительно продолжительное время.
По новым товарам практика рыночного ценообразования многих стран выработала следующие виды и методы образования цен.
При выпуске на рынок нового товара предприятие или фирма выбирает, как правило, одну из следующих стратегий.
Цена «снятия сливок». С самого начала изготовления и появления нового товара на рынке на него устанавливается максимально высокая цена в расчете на потребителя, готового купить этот товар по такой цене. Цены снижаются лишь после того, как спадет первая волна спроса. Это позволяет расширить зону продажи — привлечь новых покупателей. Такая цена имеет ряд преимуществ:
· позволяет легко исправить ошибку в цене, так как покупатели более благосклонно относятся к снижению цены, нежели к ее повышению;
· высокая цена обеспечивает достаточно большой размер прибыли при относительно высоких издержках в первый период выпуска товара;
· позволяет сдерживать покупательский спрос; это имеет определенный смысл, так как при более низкой цене предприятие (фирма) не смогло бы полностью удовлетворить потребности рынка в связи с ограниченностью своих производственных возможностей;
· высокая первоначальная цена способствует созданию имиджа качественного товара у покупателей, что может облегчить его реализацию в дальнейшем при снижении цены;
· повышенная цена способствует увеличению спроса в случае престижного товара.
Основным недостатком подобной стратегии ценообразования является то, что высокая цена привлекает конкурентов. Поэтому цену «снятия сливок» можно с успехом использовать при некотором ограничении конкуренции. Условием успеха будет также достаточный спрос.
Цена проникновения (внедрения) на рынок. Предприятие (фирма) устанавливает значительно более низкую цену, чем цены на рынке на аналогичные товары конкурентов. Это способствует привлечению максимального числа покупателей и завоеванию рынка. Такая стратегия возможна при больших объемах производства, которые дают возможность возмещать общей массой прибыли потери ее на отдельном изделии. Это в свою очередь требует значительных финансовых затрат, что делает цену проникновения на рынок почти неприемлемой для мелких и средних предприятий (фирм), не располагающих такими финансовыми возможностями. Изложенная ценовая стратегия дает эффект при эластичном спросе, а также в том случае, если рост объемов производства обеспечивает снижение издержек.
«Психологическая» цена. Устанавливая цену, продавец должен учитывать психологию ценовосприятия. Эта цена определяется в размере чуть ниже круглой суммы. Многие специалисты уверены, что цена должна обязательно выражаться некруглым числом. Например 99, а не 100 руб., 599, а не 600 руб. и т.д. В результате у покупателя создается впечатление: очень точного определения затрат на производство и недопустимости обмана; более низкой цены, уступки покупателю и выигрыша для него. Учитывается также и тот психологический момент, что покупатели любят получать сдачу. В действительности в конечном счете в выигрыше остается продавец за счет увеличения количества проданной продукции и соответственно суммы полученной прибыли.
Цена следования за лидером в отрасли или на рынке. При этой стратегии ценообразования цена на товар устанавливается исходя из цены, предлагаемой главным конкурентом, как правило, ведущей фирмы отрасли, доминирующей на рынке.
Цена с возмещением издержек производства. В данном случае определение цен на новую продукцию осуществляется с учетом фактических издержек ее производства и средней нормы прибыли на рынке или в отрасли. Цена устанавливается по формуле:
Ц - С + А + fi(C + А) (1.1)
где С — издержки производства;
А — административные расходы и расходы по реализации;
Р — средняя норма прибыли на рынке или в отрасли.
Престижная цена устанавливается на изделия очень высокого качества известной фирмы (например, духи фирмы «Кристиан Диор»), обладающие уникальными свойствами.
Выбор одного из перечисленных методов определения цены осуществляет руководство фирмы. Он зависит от множества факторов, основными из которых являются:
· скорость внедрения на рынок нового товара;
· доля рынка сбыта, контролируемая данной фирмой;
· характер реализуемого товара (степень новизны, взаимозаменяемость с другими товарами, уровень патентной защиты и др.);
· период окупаемости капитальных вложений;
· конкретные условия рынка (степень монополизации, ценовая эластичность спроса, круг потребителей и др.);
· положение фирмы в соответствующей отрасли (финансовое положение, связи с другими производителями и др.).
На товары, реализуемые на рынке относительно продолжительное время, устанавливаются следующие виды цен.
Скользящая цена. Эта цена устанавливается почти в прямой зависимости от соотношения спроса и. предложения и постепенно снижается по мере насыщения рынка (особенно оптовая цена, а розничная цена может быть относительно стабильной). Такой подход к установлению цены применяется чаще всего по изделиям массового спроса. Здесь тесно взаимодействуют цены и объемы выпуска товара. Чем больше объем производства, тем больше у предприятия (фирмы) возможностей снизить издержки производства и в конечном счете цены. Однако при данном методе ценообразования необходимо:
· помешать появлению на рынке конкурента;
· постоянно заботиться о повышении качества товаров;
· снижать издержки производства.
Долговременная цена устанавливается на товары массового спроса. Она не подвержена изменениям на протяжении длительного времени. Однако в зависимости от хозяйственной конъюнктуры могут вноситься изменения в изделия (уменьшаться их размер, незначительно ухудшаться качество) при сохранении цены.
Цены потребительского сегмента рынка устанавливаются на примерно одни и те же виды товаров и услуг, реализуемых различным социальным группам населения с неодинаковым уровнем доходов. Такие цены могут, например, устанавливаться на различные модификации легковых автомобилей, на авиабилеты и т.д. Проблема здесь заключается в том, чтобы установить правильное соотношение цен на различные изделия и услуги.
Гибкая цена — цена, которая быстро реагирует на изменение соотношения спроса и предложения на рынке. Применение ее оправдано, если возможны сильные колебания спроса и предложения в относительно короткие сроки: снижение цен к концу дня при продаже некоторых продуктов питания (свежая рыба, цветы и т.д.). Использование такой цены эффективно при небольшом числе уровней управленческой иерархии, когда права по принятию решения по ценам делегированы самому нижнему уровню управления. Чем больше уровней иерархии в аппарате управления фирмы, чем длиннее путь принятия решений, тем меньше шансов у фирмы добиться успеха при этом методе ценообразования.
Преимущественная цена. Данный метод ценообразования предусматривает определенное понижение цен на товары предприятием (фирмой), которое занимает доминирующее положение (доля рынка 70—80%) на рынке и может обеспечить значительное снижение издержек производства за счет увеличения объемов выпуска и экономии на расходах по реализации товаров. Главные цели предприятия — воспрепятствовать внедрению на рынок новых конкурентов, заставить их платить слишком большую цену за право внедрения на рынок, что «по карману» далеко не каждому конкуренту.
Цены на изделия, снятые с производства, выпуск которых прекращен. Это не распродажа по сниженным ценам, а ориентация на строго ограниченный круг потребителей, нуждающихся именно в этих товарах. В таком случае цены выше, чем на обычные товары. Например, производство запасных частей к легковым автомобилям и грузовикам самых разных марок и моделей (включая снятые с производства).
Цена, устанавливаемая ниже, чем у большинства предприятий. Такие цены используются на товары, дополняющие другой товар, реализуемый по обычной цене. Данные цены применяются как реклама, например, игрушка — детская железная дорога, а паровозик с вагончиками продается по пониженной цене.
Договорная цена. В отличие от нашей сегодняшней практики, эти цены выгодны, а не разорительны для покупателей. По ним покупателям предлагаются какие-либо скидки по сравнению с обычной ценой. Например, при покупке двух видеокассет третью покупатель может получить бесплатно. У покупателя создается иллюзия получения значительной выгоды для себя в случае приобретения данного товара в большем количестве, чем ему необходимо. На самом деле основную выгоду получает продавец, так как у него увеличивается товарооборот и повышается прибыль.
Цены, обслуживающие внешнеторговый оборот, — следующий классификационный признак. Эти цены обладают специфическими чертами: они отражают растущие внешнеэкономические связи с другими государствами. Значительное влияние на уровень таких цен оказывают цены мировых рынков, отражающие условия производства и реализации мирового хозяйства. Внешнеторговые цены используются при экспорте и импорте товаров. Внешнеторговые цены определяются, как правило, на базе цен основных мировых товарных рынков.
На экспортируемые товары внутри страны устанавливаются специальные цены для поставки на экспорт. Например, для продукции машиностроения, поставляемой на экспорт, до последнего времени применялись надбавки к оптовым ценам за экспортное и тропическое исполнение. По некоторым видам дефицитной продукции при поставке на экспорт к ценам добавляется таможенная пошлина. На импортные потребительские товары во многих случаях устанавливаются свободные розничные цены исходя из соотношения спроса и предложения.
Уровень мировых цен учитывается и в розничных ценах, и в тарифах на услуги, например, гостиниц для иностранцев, при продаже потребительских товаров на иностранную валюту в специальных валютных магазинах.
Цены, используемые в учете и статистике. К ним относятся индексы цен, текущие, средние цены, сопоставимые и неизменные цены. Эти виды цен позволяют выявить и анализировать тенденции в динамике цен, измерять динамику физических объемов производства и реализации товаров и услуг, абстрагируясь от изменений цен, осуществлять контроль и анализ выполнения стоимостных показателей. Цены статистического учета являются агрегированными, обобщенными.
Лимитные (предельно допустимые) цены устанавливаются на стадии проектирования новых изделий. Они являются исходной базой для определения в дальнейшем оптовых цен на эти изделия.
Проектные и ориентировочные цены используются в период разработки изделий, когда еще нет утвержденной (согласованной) цены.
Прогнозные цены определяются научно-исследовательскими организациями, разрабатывающими прогнозы развития отдельных отраслей и производств. Роль всех этих видов цен в условиях рыночных отношений значительно возрастает.
1.3.Влияние ценовой политики на налогообложение
Цена – это одно из главных звеньев принятой предприятием системы маркетинга. Поэтому она обусловлена этой системой, начиная от принятой концепции маркетинга, целей и задач предприятия, кончая системой сбыта и реализации товара, а также получения прибыли. Естественно, что методика установления цен на товары также зависит от принятой системы маркетинга. К этому следует добавить, что возможности и проблемы политики цен зависят от типа рынка, на котором предприятие осуществляет свою предпринимательскую деятельность. За исключением случаев работы на рынках чистой конкуренции, в остальных – предприятиям необходимо иметь методику установление цен на свои товары.
Определение цен на товары, работы, услуги для целей налогообложения - процессуальное действие, совершаемое налоговыми органами, с целью определения обоснованности применения тех или иных цен на товары, работы, услуги налогоплательщиками с целью корректировки проверяемых цен до уровня рыночной цены и доначисления соответствующих налогов и пени.
В случае установления необоснованности применения налогоплательщиками тех или иных цен на товары, работы, услуги налоговый орган на основании части 3 статьи 40 части первой НК РФ вправе вынести мотивированное решение, оформляемое постановлением налогового органа, о доначислении по проверяемым сделкам "налога и пени, рассчитанных таким образом, как если бы результаты этой сделки были оценены исходя из применения рыночных цен на соответствующие товары, работы или услуги". Как правило, указанное постановление подкрепляется расчетами рыночной цены, сумм налогов и пеней со ссылками на соответствующие первичные документы.
В соответствии с Методическими рекомендациями по формированию и применению свободных цен и тарифов на продукцию, товары и услуги, утвержденными Инструктивным письмом Минэкономики России от 6 декабря 1995 г. N СИ-484/7-982, свободные (рыночные) цены устанавливаются исходя из себестоимости товара с учетом торговой надбавки. Размер торговой надбавки определяется самим предприятием в зависимости от конъюнктуры рынка, то есть соотношения спроса и предложения на товар, качества и потребительских свойств товара. Вместе с тем, вышеуказанный документ носит рекомендательный характер, поэтому, в основном, принципы ценообразования преследуют две цели: максимизация текущей прибыли и минимизация убытков.
Согласно пункту 1 статьи 40 части первой НК РФ: "Если иное не предусмотрено настоящей статьей, для целей налогообложения принимается цена товаров, работ или услуг, указанная сторонами сделки. Пока не доказано обратное, предполагается, что эта цена соответствует уровню рыночных цен".
Вышеуказанная норма налогового права носит важный практический характер, поскольку обязывает налоговые органы самостоятельно доказывать неправомерность применения цен на товары, работы, услуги, то есть налогоплательщик не должен доказывать правильность применения тех или иных цен на товары, работы, услуги, а ждет их документальное опровержение от налоговых органов.
На основании пункта 2 статьи 40 НК РФ налоговые органы вправе проверять правильность применения цен на товары, работы, услуги лишь в следующих случаях:
1) между взаимозависимыми лицами;
2) по товарообменным (бартерным) операциям;
3) при совершении внешнеторговых сделок;
4) при отклонении более чем на 20 процентов в сторону повышения или в сторону понижения от уровня цен, применяемых налогоплательщиком по идентичным (однородным) товарам (работам, услугам) в пределах непродолжительного периода времени".
Во всех иных случаях налоговые органы не имеют права проводить контроль правильности применения цен на товары, работы, услуги, что подтверждается и пунктом 13 постановления Пленума Верховного Суда РФ и Высшего Арбитражного Суда РФ от II июня 1999 г. N 41/9 "О некоторых вопросах, связанных с введением в действие части первой Налогового кодекса Российской Федерации":
"При разрешении споров, связанных с определением цены товаров, работ, услуг для целей налогообложения, суду следует исходить из того, что указанная сторонами сделки цена может быть оспорена налоговым органом в этих целях только в случаях, перечисленных в пункте 2 статьи 40 Кодекса, а именно: по сделкам между взаимозависимыми лицами; по товарообменным (бартерным) операциям; при значительном колебании уровня цен, применяемых налогоплательщиком по идентичным (однородным) товарам в пределах непродолжительного периода времени
Следовательно, в иных случаях налоговый орган не вправе оспаривать для целей налогообложения цену товаров, работ, услуг, указанную сторонами в сделке".
Рассмотрим подробнее каждый из указанных случаев.
Наиболее интересным является критерий взаимозависимости лиц.
Согласно пункту 1 статьи 20 части первой НК РФ взаимозависимыми признаются следующие лица:
1) одна организация непосредственно и (или) косвенно участвует в другой организации, и суммарная доля такого участия составляет более 20 процентов. Доля косвенного участия одной организации в другой через последовательность иных организаций определяется в виде произведения долей непосредственного участия организаций этой последовательности одна в другой;
2) одно физическое лицо подчиняется другому физическому лицу по должностному положению;
3) лица состоят в соответствии с семейным законодательством Российской Федерации в брачных отношениях, отношениях родства или свойства, усыновителя и усыновленного, а также попечителя и опекаемого".
Кроме того, на основании пункта 2 статьи 20 НК РФ суд может признать лица взаимозависимыми по иным основаниям, "если отношения между этими лицами могут повлиять на результаты сделок по реализации товаров (работ, услуг)".
Товарообменные (бартерные) операции - операции по обмену некоторого количества одних товаров, работ, услуг на другие товары, работы, услуги. Указанная операция признается реализацией для обеих сторон сделки.
Внешнеторговые сделки - сделки, по которым одна сторона является резидентом РФ, а другая сторона - нет.
Резидент для целей налогообложения - это юридическое или физическое лицо, зарегистрированное в качестве налогоплательщика на территории Российской Федерации.
Наиболее сложным с точки зрения практического применения для контроля за правильностью применения цен является критерий отклонения цен на товары, работы, услуги более, чем на 20 процентов от уровня цен на идентичные или однородные товары, работы, услуги.
Необходимо обратить внимание на следующие моменты:
1) размер отклонения от уровня цен (20%);
2) расчет уровня цен на товары, работы, услуги;
3) определение идентичности и однородности товаров, работ, услуг;
4) определение периода времени, за который производится расчет уровня цен на товары, работы, услуги.
На основании пункта 2 статьи 40 НК РФ размер отклонения от уровня цен на товары, работы, услуги составляет 20 процентов. Однако, необходимо помнить, что согласно предыдущей редакции статьи 40 НК РФ, действовавшей до 18 апреля 1999 г., контроль применения цен производился только в том случае, если цена проверяемой сделки отклонялась от рыночной более чем на 30 процентов. Изменение размера отклонения от уровня цен с 30 до 20 процентов произошло на основании Федерального закона от 9 июля 1999 г. N 154-ФЗ "О внесении изменений и дополнений в часть первую Налогового кодекса Российской Федерации" с 18 апреля 1999 г. Это значит, что по сделкам, результаты которых учтены для целей налогообложения до вышеуказанной даты, доначисление налога производится лишь в том случае, если размер отклонений превышает 30 процентов рыночной цены.
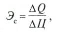
Для анализа состояния рынка того или иного товара немаловажное значение имеет знание реакции спроса на повышение или понижение цены. Причем в данном случае речь идет не просто об общем принципе взаимодействия спроса и цены, а о количественном измерении чувствительности спроса к изменению цен. Таким показателем является эластичность спроса по цене, показывающая, на сколько процентов изменится величина спроса при изменении цены на 1% и при неизменности прочих факторов, влияющих на объем спроса. Данный показатель для краткости довольно часто называют просто эластичностью спроса

где Э — эластичность спроса по цене; ∆Q — изменение спроса, %;
∆Ц— изменение цены, %.
Для определения соответственно числителя и знаменателя вышеуказанной формулы используют следующие формулы:

где Qб — первоначальный, или базовый объем спроса; Qн — новый объем спроса; Цб — первоначальная, или базовая цена; Цн — новая цена спроса.
∆Q =(58981 - 40405) /40405 * 100% = 45,97%
∆Ц = (5,34 - 5,77) / 5,77 * 100% = -7,45%
Коэффициент эластичности составляет:
Э = 45,97% / (-7,45%) = -6,17
Так как в данном случае значение величины эластичности меньше единицы, следовательно спрос не эластичен. В этом случае изменение цены повлечет за собой меньшее изменение спроса.
Построим график зависимости объема продаж от цены
(получим рис.1).
Рис.1 График зависимость объема продаж от цены предприятия А
Допустим, что зависимость объема продаж у(х) от цены является линейной, тогда можно составить следующую функцию:
y(x)=kx+b (1)
где у(х) - объем продаж товара, шт.;
х - цена товара, тыс. руб. за единицу товара;
k и b - коэффициенты уравнения которые требуется установить.
Для определения коэффициентов k и b составим систему из двух линейных уравнений с данными по годам 2002 и 2003, подставив значения х и у из табл.1.
Составим систему линейных уравнений:
40405 = k*5,77 + b
58981 = k*5,34 + b
Найдем значение коэффициентов k и b.
40405 - k*5,77 = 58981 - k*5,34
-0,43*k = 18576
k = -42746
b = 40405 - (-42746)* 5,77 = 287239
Определив значения коэффициентов k и b, подставим значения в формулу (1) и получим искомую зависимость (формула (2)). Графически данная зависимость представлена на рис. 1.
Следовательно функция зависимости объема продаж от цены товара для предприятия А будет иметь вид:
У = (-42746)*х + 287239 (2)
Проанализируем по табл. 1 зависимость изменения себестоимости единицы товара от изменения объема продаж.
Согласно теории финансового менеджмента зависимость себестоимости единицы товара от объема продаж формируется как функция переменных затрат (VC) и постоянных затрат (FC):
(3)
(4)
где z(y) - себестоимость единицы товара, тыс. руб. на единицу товара;
FC - постоянные затраты, тыс. руб.;
VC - переменные затраты, тыс. руб.;
vc - удельные переменные затраты, тыс. руб. на единицу товара.
Составим систему двух уравнений для 2002 и 2003 гг. на основе формулы (4), подставив значения z и у из прил. 1, и найдем значения FC и vc.
Составим систему уравнений:
2,45 = vc + FC / 40405
2,43 = vc + FC / 58981
Решим полученные уравнения:
2,45 - FC/40405 = 2,43 - FC / 58981
0,02 = FC (1/40405 - 1/ 58981)
FC = 2560,22 тыс.руб
vc = 2,45 - 2560,22 / 40405 = 2,39 тыс.руб./шт
Точка безубыточности определяется на основе постоянных затрат, удельных переменных затрат и цены товара.
Для условий
(5)
Ymin = 2560,22 / (5,77 - 2,39) = 756 шт
Сопоставьте объем продаж в
58981 / 756 = 78раз
Таким образом, объем продаж в 2003 году в 78 раз превышает критический объем продаж предприятия.
Необходимо составить функцию зависимости себестоимости единицы товара z(y) от объема продаж у(х) на основе формулы (4), подставив значения vc и FC, найденные в п.1.3. В результате получится формула (6).
Функция зависимости себестоимости единицы товара от объема продаж имеет следующий вид:
z(y) = 2,39 + 2560,22 / y(x) (6)
Начертите график найденной функции (получите рис. 2).
Построим график.
Для этого в выражение (6) подставим вместо у(х) выражение (2). Получим формулу (7).
z(y) = 2,39 + 2560,22 / ((-42746)*х + 287239) (7)
Построим график найденной зависимости (рис. 3).
Рис.3. График зависимости себестоимости единицы продукции от цены.
Проанализируем зависимость изменения себестоимости единицы товара от изменения его цены и покажите связь со степенью эластичности спроса на данном рынке.
Таким, образом график зависимости себестоимости единицы продукции от цены показывает, что изменение цены практически не влияет на изменение себестоимости единицы продукции, что является следствие неэластичности спроса на данную продукци.
Функция зависимости валовой прибыли Р(х) от цены товара х выводится на основе данных об объеме продаж у(х), цены товара х и себестоимости единицы товара z(x):
P(x)=y(x).[x-z(x)] (8)
Подставив вместо значений у(х) и z(x) формулы (2) и (7) получим искомую зависимость (9).
P(x)= ((-42746)*х + 287239) *.[x - (2,39 + 2560,22 / (-42746*х + 287239))]
Постройте график найденной зависимости (рис. 4), проводя расчет координат точек по табл. 2.
Таблица 2.
Исходные данные для построения графика зависимости Р(х)
|
Х |
У(х) |
z(x) |
Р(х) |
|
2,5 |
180374 |
2,40 |
17,28 |
|
3 |
159001 |
2,41 |
94,43 |
|
3,5 |
137628 |
2,41 |
150,21 |
|
4 |
116255 |
2,41 |
184,61 |
|
4,5 |
94882 |
2,42 |
197,64 |
|
5 |
73509 |
2,42 |
189,30 |
|
5,5 |
52136 |
2,44 |
159,58 |
|
6 |
30763 |
2,47 |
108,49 |
|
6,5 |
9390 |
2,66 |
36,03 |
График функции Р(х) (рис. 4) примет следующий вид:
Наличие точки максимума свидетельствует о том, что существует пороговое значение цены после которого прибыль начинает уменьшаться. Функция Р(х) достигает максимума при значении х= 4,5 тыс.руб..
Определим перечисленные в табл. 2 основные экономические
показатели производства для случая, когда значение функции Р(х) достигает
максимума, и сравним их с аналогичными показателями, достигнутыми в
Таблица 3
Сравнение основных
экономических показателей предприятия, достигнутых в
|
Показатель |
|
При условии достижения максимальной валовой прибыли |
Изменение показателя,±% |
|
1. Цена, тыс. руб. |
5,34 |
4,5 |
-0,84 |
|
2. Объем продаж, тыс. шт. |
58981 |
94882 |
+35901 |
|
3. Себестоимость единицы товара, тыс. руб. |
2,43 |
2,42 |
-0,01 |
|
4. Прибыль на единицу товара, тыс. руб. |
2,91 |
2,08 |
-0,83 |
|
5. Выручка от продаж, млн.руб. |
314,96 |
426,97 |
+ 112,01 |
|
6. Валовая прибыль, млн.руб. |
171,63 |
197,35 |
+ 25,72 |
|
7. Рентабельность продаж (п.6/ п.5), % |
0,54 |
0,46 |
- 0,08 |
2. Особенности ценообразования в налогообложении
2.1. Структура предприятия
Торговое предприятие ООО «Незабудка Некст» основано в 1993 г., начинало свою деятельность с сети оптовых киосков на двух рынках города Челябинска. В дальнейшем была сформирована целая сеть оптовых складов и авторизованных магазинов в г. Челябинске, г. Магнитогорске, г. Екатеринбурге и г. Тюмени.
В настоящее время компания имеет в г. Челябинске
· два оптовых склада, с которых ведется оптовая торговля,
· отдел прямой доставки (девять торговых представителей, два вэнселера, восемь машин в прямой доставке, семь машин в оптовой доставке).
Отдел обслуживает 610 розничных торговых точек.
В г. Магнитогорске:
· один оптовый склад,
· один оптовый магазин,
· отдел прямой доставки (несколько торговых представителя, три грузовых автомобиля)
В г. Екатеринбурге (филиал"Бизнес Регион"):
· один оптовый склад,
· один оптовый магазин,
· сеть розничных табачных магазинов, две машины в доставке.
В г. Тюмени (филиал ООО "Макс")
· один склад,
· отдел доставки - девять человек, девятнадцать в доставке и в опте.
В г. Сургуте (филиал ООО "Макс")
· один склад,
· отдел доставки два человека, две машины -одна машина в опте.
В г. Ноябрьск (филиал ООО "Макс")
· склад,
· доставка три человека, две машины.
В г. Нижневартовске (филиал ООО "Макс")
· склад.
Помимо собственных складов и филиалов имеетпостоягнные связии с клиентами из следующих городов Челябинской области:
· г. Озерск - оптовый склад + розничная сеть,
· г. Кыштым - оптовый склад + доставка,
· г. Миасс - сеть розничныз точек,
· г. Коркино - оптово-розничный склад,
· г. Сатка - сеть магазинов комбината "Зюраткуль",
· г. Варна - ЧП Брыков, оптово-розничный склад,
· г. Златоуст - розничная сеть,
· г. Южноуральск - оптовый склад + розничные точки,
· г. Троицк - розничная сеть.
· г. Курган - четыре магазина.
Только в г. Челябинске компания имеет штат из 40 человек во всех подразделениях. Все склады, которые были перечислены, лицензированы по стандартам, предъявленным государственными органами для получения оптовой табачной лицензии.
По своей сути, торговое предприятие представляет собой систематизированное сознательное объединение действий людей, преследующее достижение определённых целей. Основными составляющими являются задачи, люди, и управление, поэтому для успешного существования торгового предприятия необходимо поддерживать определённый баланс между этими процессами. Ключевая роль в поддержании этого баланса принадлежит менеджменту.
Во внутригрупповой жизни управление призвано создавать и управлять функциональными процессами, протекающими в организации. Это создание структуры организации, осуществление управления внутриорганизационными процессами, управление кадровой работой, формирование и развитие организационной культуры, управление маркетингом, а также осуществление анализа и учёта проведённой работы.
Для оптимизации управления процессом взаимодействия организации с внешней средой направлено на поддержание необходимых отношений с общим внешним окружением и непосредственным деловым окружением, торговое предприятие имеет органический тип управления (приложение 1).
Ключевую позицию в управлении организацией занимают менеджеры. Они выполняют три роли: осуществляют принятые решения; собирают и распространяют информацию о внутренней и внешней среде; формируют отношения внутри и вне организации, мотивируют людей, координируют их усилия и выступают в качестве представителей организации.
Структура предприятия – это система взаимоотношений между должностями и людьми в организации. Назначение структуры заключается в распределения работ между членами организации. Структура определяет задачи и ответственность работников, рабочие роли и взаимоотношения, а также коммуникации между ними.
Структура позволяет осуществлять управление и служит основой порядка и дисциплины, благодаря чему действия организации могут планироваться, организовываться, направляться и контролироваться.
|
Генеральный директор |
![]()
|
Юридический отдел |
Главный инженер |
Исполнительный директор |
Главный бухгалтер |
Коммерческий директор |
![]()
![]()
|
Отдел реализации продукции |
Отдел продвижения продукции |
Отдел маркетинга |
![]()
![]()
![]()
Рабочее ядро торговой компании |
Схема 2.1 Организационная структура торгового предприятия
Таким образом, организационная структура торгового предприятия, с одной стороны – это продуманная система связей, обеспечивающая достижения целей. С другой стороны, организационная структура – это внешняя данность, ограничитель и источник давления.
Структурная схема торгового предприятия является средством наглядной демонстрации официальной структуры организации и может быть использована для того, чтобы проиллюстрировать связи между отдельными командами, отделами и подразделениями.
Организации, имеющие много уровней управления, называют вертикальными. Организации с малым количеством слоёв управления называют горизонтальными.
Структура организации может принимать одну из двух форм: она может быть либо традиционной иерархической структурой, группирующей персонал по функциям, товарам (услугам) или географическому положению, либо структурой, имеющей множественность линий подотчётности, каковыми являются проектные команды или матричные структуры.
Как уже отмечалось, структура управления торговым предприятием является функциональной. Наличие большого количества уровней управления говорит о том, что данная организация обладает вертикальной, традиционно иерархической структурой, характерной для многих торговых предприятий.
Рассматриваемая структурная схема имеет свои «плюсы» и «минусы». Достаточное количество уровней позволяет, за счет ограничения управления добиться специализации менеджеров. Основанная на знаниях специализация, в свою очередь, позволяет сотрудникам аккумулировать навыки для решения проблем в узких областях.
Обеспеченность торгового предприятия кадрами, степень их квалификации в значительной мере определяет успехи экономического развития. Поэтому в работе с кадрами намечается переход от учета и документирования к их тщательному подбору, расстановке и воспитанию. Следовательно, одним из основных моментов являются мероприятия по повышению квалификации кадров, подготовка и переподготовка. Появление в производстве новых линий, автоматов, механизмов предполагает повышение квалификации рабочих кадров, их обучение непосредственно на производстве путем индивидуального и курсового обучения в пределах рабочего времени с последующим присвоением квалификации на основе заключения квалификационной комиссии. Все это необходимо для того, чтобы иметь резерв рабочих основных ведущих профессий.
Многие работники были направлены на курсы повышения квалификации в гг. Москва, Екатеринбург с получением удостоверения и сертификатов на выполнение определенных работ. Деятельность предприятия в этом направлении будет развиваться для того, чтобы потенциал, которым обладают специалисты предприятия, был использован полнее и эффективнее в интересах предприятия.
Следующий важный момент в работе с кадрами в торговом предприятии – это создание кадрового резерва и работа с ним, то есть текущее и перспективное планирование потребности предприятия в кадрах, систематический анализ профессионального, образовательного, возрастного состава кадров, индивидуальное изучение профессиональных, деловых качеств работников, а также организация обучения руководителей структурных подразделений и работников среднего звена прогрессивным формам управления.
В связи с этим руководители всех подразделений будут направляться на учебу на курсы повышения квалификации, проходить аттестацию, которая должна подтвердить соответствие специалистов требованиям профессиональной компетентности, потому что всякий специалист – это не только носитель рабочей силы, но, прежде всего – человек, обладающий потенциалом, который необходимо эффективно использовать в интересах предприятия.
2.2.Налоговая политика и ценообразование
Как известно, покупатели в значительной степени оказывают влияние на цены. Любой предприниматель должен видеть глубокую связь между ценой, покупками потребителей и их представлениями. Связь цен и количества сделанных покупок по этим ценам объясняется двумя причинами: воздействием законов спроса, предложения, ценовой эластичности и неодинаковой реакцией покупателей различных сегментов рынка на цену. Именно эти причины легли в основу деления всех покупателей по их восприятию цен и ориентации в покупках на четыре группы: группа экономных покупателей, персонифицированных, «этичных» и «апатичных» покупателей.
Однако в случае разработки ценовой стратегии цель состоит не только в том, чтобы уяснить, какие категории покупателей можно заинтересовать товаром предприятия, но и понять, почему он будет им интересен. Это означает необходимость найти ответы на следующие вопросы.
· Какова экономическая ценность данного товара или услуги для покупателей?
· Какие факторы, кроме экономической ценности товара, могут повлиять на чувствительность покупателей к уровню цены: трудность сопоставления с аналогами; престижность обладания данным товаром; бюджетные ограничения; возможность разделения затрат на покупку; затраты на приобретение?
· Каким образом воспринимаемая ценность и не ценностные факторы формирования ценовой чувствительности разделят общую массу покупателей на различные сегменты?
· Можно ли методами маркетинга и позиционирования товара повлиять на готовность покупателей платить за товар предпочитаемую фирмой цену, и каким образом это можно сделать наиболее эффективно?
Для нужд собственного ценообразования и определения конкурентоспособности выпускаемых товаров торговое предприятие должно иметь следующую информацию:
· цены на товары конкурентов и их показатели по конкурентоспособности (технические, эргономические, нормативные, эстетические, экономические, организационные);
· направления ценовой политики и доли сегментов рынка, контролируемые конкурентами.
Трансфертные цены помогают обеспечивать реализацию плановых показателей по прибыли, снижению издержек производства на всех этапах производственного цикла, служат инструментом контроля за выполнением финансового плана, используются для распределения ресурсов и прибылей в пределах компании.
Трансфертные цены обеспечивают:
— распределение и перераспределение прибыли в рамках материнской и дочерних компаний с учетом организационной структуры, степени децентрализации управления, политики в
определении рентабельности;
— перевод прибыли, получаемой дочерними компаниями из стран, где имеются запреты или ограничения на такие операции;
— уменьшение сумм подоходных налогов (минимизация налогообложения);
— снижение размеров уплачиваемых за границей таможенных пошлин, других налогов и сборов;
— раздел рынков сбыта между зарубежными дочерними компаниями;
— приобретение позиций на новых рынках;
— проведение единой политики в обмене новыми технологиями и предоставлении технических услуг дочерним предприятиям.
Все это осуществляется в основном посредством изменения уровня и структуры трансфертных цен в зависимости от поставленных целей в результате проведения гибкой политики в этой области.
В рамках данной политики учитываются: законодательство стран-партнеров о структуре капитала дочерних компаний и обязательной доли участия в них местного капитала; порядке перевода прибылей и выплаты дивидендов; особенности налогового законодательства, определяющего размер и порядок подоходного налогообложения с прибылей; уровень таможенных пошлин, импортных квот и требования антидемпингового законодательства; ограничения в отношении лицензирования в странах-партнерах, характер инфляции и возможности девальвации валюты; уровень цен на внутреннем рынке страны-партнера, степень монополизации рынка, уровень конкуренции и ее формы и т. д.
Политика трансфертных цен приспосабливается к различиям в национальном законодательстве, требованиям налогового регулирования, условиям конкретных рынков, управленческой политике заграничных дочерних компаний. Задачи, решаемые с помощью трансфертных цен, реализуются на базе единой политики в рамках всей фирмы. Скажем, посредством применения завышенных цен на экспортируемую материнской компанией продукцию прибыль импортирующей дочерней компании соответственно снижается и она пополняет бюджет материнской компании. Для перераспределения прибылей применяется не только механизм цен на товарные поставки, но и повышенные денежные требования за предоставляемые материнской компанией различные услуги (патенты и лицензии, техническое обслуживание, ноу-хау и т. д.). Немалую роль трансфертные цены играют и в распределении прибыли между дочерними компаниями, обеспечивающими единый технологический процесс.
Политика оптимизации прибыли реализуется путем использования трансфертных цен таким образом, чтобы снизить сумму налогов, уплачиваемых в целом посредством перераспределения прибылей между странами с высоким и низким уровнями налогообложения в размерах, допускаемых налоговым регулированием этих стран. Путем завышенных трансфертных цен на различные платежи выкачивается прибыль из дочерней компании в стране с высоким уровнем налогообложения и применяются заниженные цены на товары и услуги, оказываемые дочерним компаниям в странах с низким уровнем налогообложения. Достигается изменение прибылей, подлежащих налогообложению, в целях снижения общего уровня налогов [12; 76].
Немалую роль в манипуляциях с уплатой налогов в рамках перераспределения прибылей играют налоговые убежища. Так называют страны, имеющие низкий уровень налогообложения и гарантирующие свободный перевод финансовых средств (Люксембург, Лихтенштейн, Монако, Суринам, Панама, Бермудские острова, Барбадос, Багамские острова, Гаити и др.). В этих странах создаются дочерние компании, в которые посредством использования трансфертных цен на фиктивные поставки переправляются прибыли материнской и других родственных компаний. Скажем, материнская компания выставляет счета на дочернюю компанию в налоговом убежище, по заниженным ценам. Далее, не получая товара, как бы реэкспортирует его по высокой цене другой дочерней компании, которой данный товар реально поставляется. Потери дочерней компании, импортирующей товар, покрываются прибылью, получаемой другой компанией, расположенной в стране с низкими налоговыми ставками.
С помощью трансфертных цен обеспечивается и раздел рынков между дочерними компаниями для ограничения внутрифирменной конкуренции и приобретения позиций на новых рынках. Использование филиалом или дочерней компанией заниженных цен обеспечивает экспорт вне конкуренции на данном рынке. Покрываются потери за счет средств материнской компании или занижается доля постоянных затрат.
Различные методы чаще всего используются не отдельно, а в сочетании в целях получения наиболее рентабельной для фирмы и приемлемой для потребителя эффективной цены.
Чтобы получить максимально объективную информацию, сбор информации каждого типа надо поручить отдельному сотруднику, однако в настоящее время на торговом предприятии подобное не практикуется.
Суммарный объём продаж торгового предприятия за анализируемый период 2004…2005 гг. показан графически на рис. 2.1.

Рис. 2.1 Суммарный объём продаж торгового предприятия за период 2004…2005 гг., тыс.руб.
Распределение объёмов продаж торгового предприятия за анализируемый период 2004…2005 гг. по товарным группам приведено на рис. 2.2…2.3
Рис. 2.2
Распределение объёмов продаж торгового предприятия по товарным группам
за 2004 г.
Рис. 2.3
Распределение объёмов продаж торгового предприятия по товарным группам
за 2005 г.
Основными покупателями предлагаемых торговым предприятием товаров как в 2004 г., так и в 2005 г., являются мелкооптовые и розничные продавцы табачной продукции города Челябинска, их доля в общем объёме продаж
составляет около 67% в 2004 г. и 71% в 2005 г.
Крупнооптовые продавцы табачной продукции города Челябинска и Челябинской области не являются основными потребителями продукции торгового предприятия и занимают лишь 10% от сбыта, но сотрудничество с этой перспективной отраслью остается важным фактором для компании.
Весьма остро стоит вопрос с конкуренцией на рынке сбыта табачной продукции. Например, челябинская компания ООО «Табак сервис», является главным конкурентом по отношению к рассматриваемому торговому предприятию. Эта компания активно наступает на рынки сбыта табачной продукции. В частности, это относится к сигаретам отечественного производства, особенно к марке «Балканская звезда».
Анализ объёма продаж торгового предприятия
В настоящее время наблюдается некоторое увеличение спроса на табачную продукцию торгового предприятия. Анализ объёмов реализации продукции торгового предприятия показывает, что проблемы со сбытом существуют, поскольку темпы роста объёмов продаж главного конкурента выше, однако данные проблемы можно решить с помощью продуманного комплекса менеджмента и маркетинга, поэтому они не являются серьёзным препятствием на пути фирмы.
Компания ООО «Табак сервис» предлагает качественную табачную продукцию, как правило, по более низким ценам. Они установили тесный контакт с производителями на Украине и в Российской Федерации, с которыми ранее сотрудничало торговое предприятие. Кроме того, торговая компания ООО «Табак сервис» возвели хорошие многофункциональные склады для хранения табачной продукции на территории Центрального и Курчатовского районов города Челябинска.
Для торгового предприятия все это привело в 2005 году к сокращению объёма сбыта табачной продукции по товарной группе «Балканская звезда» на 26%.
При разработке стратегических планов по установлению уровня цены используется SWOT-анализ. SWOT-анализ является одним из первых этапов стратегического планирования. Идея SWOT-анализа заключается в следующем:
· принятие усилий для превращения слабостей в силу и угроз в возможности;
· развитие сильных сторон фирмы в соответствии с ее ограниченными возможностями.
Схема применения SWOT-анализа приведена на рис.2.4.

Рис. 2.4 Схема применения SWOT-анализа
SWOT-анализ разбивается на несколько этапов:
Первый этап
Глубоко изучаются силы - конкурентные преимущества фирмы в следующих областях:
· патентоспособность выпускаемых товаров;
· цена товаров;
· прогрессивность технологии;
· квалификация кадров;
· стоимость ресурсов, применяемых фирмой;
· возраст основных производственных фондов;
· географическое расположение фирмы;
· инфраструктура;
· система менеджмента (в т. ч. маркетинга);
· сила конкуренции на "входе" и "выходе" системы менеджмента фирмы и др.
Второй этап
Изучаются слабости фирмы. Он начинается с анализа конкурентоспособности выпускаемых товаров по всем рынкам. Строится дерево показателей конкурентоспособности: на 0-м уровне - комплексный показатель конкурентоспособности конкретного товара; на 1-м уровне - полезный эффект (интегральный показатель качества), совокупные затраты, условия применения товара; на 2-м уровне - конкретные показатели и т. д. Рассчитываются показатели в соответствии с построенным деревом. Собираются или прогнозируются аналогичные показатели по конкурирующим товарам. Определяются слабости по изученным на первом этапе конкурентным преимуществам фирмы.
Третий этап
Изучаются факторы макросреды фирмы (политические, экономические, технологические, рыночные и др.) с целью прогнозирования стратегических и тактических угроз фирме и своевременного предотвращения убытков от них.
Четвертый этап
Изучаются стратегические и тактические возможности фирмы (капитал, активы и т. п.), необходимые для предотвращения угроз, уменьшения слабостей и роста силы.
Пятый этап
Согласуются силы с возможностями для формирования проекта отдельных разделов стратегии фирмы (этот вопрос рассматривается в курсе "Стратегический менеджмент").
В результате проведения SWOT-анализа торгового предприятия по вышеприведённой схеме было выявлено следующее:
Сильные стороны торгового предприятия:
· фирма на рынке уже 6 лет. За это время она выработала свой имидж и достаточно известна в городе Челябинске и Челябинской области.
· фирма имеет прямые контакты с поставщиками либо с их официальными дистрибьюторами, занимающимися поставками табачной продукции на всю Россию.
· удачное географическое расположение (недалеко от центра города Челябинска)
Слабые стороны торгового предприятия:
· медленное реагирование на изменение потребностей клиентов;
· слабое привлечение и удержание клиентов в категории «постоянный»;
· работа по системе «полной оплаты товара»;
· планирование бюджета.
Возможности улучшения положения и торговой деятельности фирмы:
· внедрение системы обслуживания клиентов по карточкам;
· внедрение дисконтной системы;
· повышение квалификации сотрудников;
· расширенные маркетинговые исследования, проведение регулярных рекламных кампаний;
· заинтересованность продавца в более успешной реализации товара.
Опасности и угрозы для торгового предприятия:
· конкуренты на данном сегменте рынка (как филиалы отечественных производителей табачной продукции, так и официальные дилеры и реселлеры иностранных табачных компаний);
· политический аспект нестабильности рынка табачной продукции, особенно в области федерального законодательства;
· возможное увеличение ставок налогообложения торговых фирм, занимающихся сбытом табачной продукции
· девальвация рубля, и, как следствие, установление высоких цен на импортируемые табачные изделия.
Предпринимательскую активность и готовность идти на риск часто рассматривают почти как синонимы. На первый взгляд причина этого кажется весьма очевидна: поскольку предпринимательство предлагает использование новых идей и новых технологий, никто в конечном итоге не уверен в степени эффективности этих новшеств. Могут возникнуть неожиданные технические проблемы, покупателям может не понравится новый товар, условия функционирования рынка могут изменится по причинам, увы, не под контролем предпринимателя.
Если использовать новые идеи и разработки, то рисковать надо. Некоторые люди становятся предпринимателями, потому что они в самом деле рискованные натуры. Однако, экономисты склонны считать, что огромное большинство людей испытывают антипатию к риску. Многие прекрасные идеи никогда не были бы использованы, если бы им пришлось ждать долгие годы какого-нибудь бесшабашного сорви - голову. Необходимо задаться вопросом: когда и при каких условиях люди, испытывающие к риску антипатию, можно убедить попробовать свои силы на ниве предпринимательства.
На торговом предприятии принята малоэффективная ценовая политика, заключающаяся в установлении оттпускных цен на табачную продукцию на основе закупочных цен. Схема стратегии установления цен приведена на рис. 2.5.
К положительным факторам развития грамотной ценовой политики можно отнести только тот факт, что руководство торгового предприятия признает, что практика установления цены на основе лишь её себестоимости является порочной и бесперспективной.
![]()
Рис. 2.5 Существующая стратегия ценообразования на торговом предприятии
Таким образом, в настоящее время в торговом предприятии ценообразование зависит от достаточно формалистического подхода и не основывается на стратегической концепции позиционирования продукции.
Система скидок, предлагаемая торговым предприятием в настоящее время, низкоэффективна в силу следующих причин:
· не практикуются скидки для значительных партий товара, которые служат для привлечения крупных заказов, что препятствует масштабному развитию экономической деятельности;
· не предоставляются скидки, которые могли бы стимулировать торговлю за наличный расчет.
Торговое предприятие в настоящее время не проводит анализа безубыточности по каждому виду продукции, в то время как данный анализ в принципе мог бы решить многие проблемы данного торгового предприятия, поскольку:
· анализ безубыточности показывает, какая продукция является рентабельной при текущих объемах продаж, ценах и затрат;
анализ помогает определить возможности снижения цены либо выявить изделия, реализацию которых следует прекратить
2.3. Анализ финансовых показателей
Сумма прибыли, остающейся в распоряжении торгового предприятия (чистой прибыли) составляет 56% от балансовой, то есть с начала года ее величина равна 179 400 тыс.руб.
Проведем факторный анализ прироста прибыли от реализации продукции, работ, услуг. Исходные данные для анализа приведены в приложении 2
Для оценки влияния отдельных факторов рассчитаем темп роста выручки от реализации продукции в отчетном году по сравнению с предыдущим.
Рассмотрим на примере фирмы ООО «Незабудка-Некст» элементы действия налогового планирования в условиях Российской экономики. Организация ООО ТД «Незабудка-Некст» реализует сигареты оптом и в розницу. Часть помещений, принадлежащих организации, сдается в аренду.
Проведем расчет налогов для ООО ТД «Незабудка-Некст» за первый квартал 2005 года, в соответствии с общеустановленным порядком:
Торговая деятельность:
выручка от реализации товаров оптом (с учетом налогов) - 70 000 000 руб., в том числе НДС (18%) - 11 666 667 руб.;
выручка от реализации товаров в розницу (с учетом налогов) - 8 000 000 руб.,НДС (18 %) - 1 269 841 руб.;
Покупная стоимость товаров - 60 000 000 руб., в том числе НДС (18 %) - 10 000 000 руб.; товары, предназначенные для реализации оптом, - 54 000 000 руб., в том числе НДС (18 %) - 9 000 000 руб.; товары, предназначенные для реализации в розницу, - 6 000 000 руб., в том числе НДС (18 %) - 1 000 000 руб.;
Налог на пользователей автодорог (1% торговой наценки без НДС) - 146 825 руб.;
Заработная плата - 500 000 руб.;
Ставка ЕСН - 26%, сумма ЕСН к уплате - 178 000 руб.;
Прибыль от реализации товаров - 13 857 715 руб.
Сдача в аренду:
выручка от сдачи в аренду - 5 000 000 руб., в том числе НДС (18%) - 833333 руб.;
Налог на пользователей автодорог (1%) - 41 667 руб.;
Прибыль от сдачи в аренду - 4 125 000 руб.
В таблице 2.2. приведены соответствующие расчеты налоговых платежей.
Таблица 2.2.
Расчеты налоговых платежей
|
Организация |
Налог |
Расчёт |
Сумма , руб. |
|
Без использования схемы налогового планирования |
|||
|
Незабудка-некст |
НДС |
11666667+1269841+833333 -10000000 |
3769841 |
|
Налог на использователей автодорог |
146825+41667 |
188492 |
|
|
ЕСН |
0,356 х 500000 |
178000 |
|
|
Налог на прибыль |
0,24 х (13857715+4125000) |
4315852 |
|
|
Всего налогов к уплате |
8452185 |
Таким образом, на данном этапе развития, на предприятии ООО ТД "Незабудка-Некст" системы налогового планирования как таковой, не существует и налоговые платежи осуществляются по стандартной схеме.
Уплата суммы налогов составляет 8452185 руб.
Таблица 2.3
Исходные данные для факторного анализа прибыли от реализации товаров торговым предприятием, тыс.руб.
|
Показатель |
2004 г. |
Реализация 2005 г. по ценам и затратам 2004 г. |
2005 г. |
|
1. Выручка от реализации продукции в договорных ценах |
279210 |
279768 |
282004 |
|
2. Себестоимость реализации товаров (работ, услуг) |
184500 |
184270 |
185040 |
|
3. Коммерческие расходы |
14360 |
14600 |
15390 |
|
4. Управленческие расходы |
51600 |
51600 |
51170 |
|
5. Прибыль от реализации продукции, работ, услуг |
28750 |
29298 |
30400 |
Выручка от реализации торгового предприятия составила в отчетном году 100,10% от показателя предыдущего года (282004 / 279210 * 100). Влияние отдельных факторов рассчитано следующим образом:
1) объема реализованных товаров:
28750 * 100,10 / 100 – 28750 = +28,75 тыс.руб.
2) структурных сдвигов:
29298 – 28750 * 100,10 / 100 = +519,25 тыс.руб.
3) затрат на производство и реализацию продукции:
· себестоимости продукции:
185040 – 184270 = +770 тыс.руб.
то есть себестоимость уменьшает прибыль на 770 тыс.руб.
· коммерческих расходов:
15390 – 14600 = +790 тыс. руб.
то есть коммерческие расходы уменьшают прибыль на 790 тыс.руб.
· управленческих расходов:
51170 – 51600 = – 430 тыс.руб.
то есть влияние на прибыль +430 тыс.руб.
· цен на продукцию: 282004 – 279768 = + 2232 тыс.руб.
Структура прироста налогооблагаемой прибыли торгового предприятия приведена на рисунке 2.6.

Рис. 2.6. Структура прироста налогооблагаемой прибыли от реализации торгового предприятия
Таким образом, общее изменение прибыли торгового предприятия от реализации составило 1650 тыс.руб. (30400 – 28750 = 1650), в том числе за счет изменения объема продукции прибыль возросла на 28,75 тыс.руб., за счет структурных сдвигов она возросла на 519,25 тыс.руб., за счет изменения себестоимости она понизилась на 770 тыс.руб., за счет изменения коммерческих расходов она понизилась на 790 тыс.руб., за счет уменьшения управленческих расходов она возросла на 430 тыс.руб., за счет изменения цен на продукцию прирост прибыли составил 2232 тыс.руб.
Таблица 2.4
Расчет маржинального дохода и упущенной выгоды торгового предприятия в 2005 году
|
Показатель |
I кв. |
II кв. |
III кв. |
IV кв. |
|
Выручка от реализации продукции, тыс.руб. |
72004 |
60000 |
65000 |
85000 |
|
Переменные расходы, тыс.руб. |
50400 |
42004 |
44716 |
63314 |
|
Маржинальный доход, тыс.руб.(стр1–стр2) |
21600 |
18000 |
20284 |
21686 |
|
Уровень маржинального дохода, тыс.руб. (стр3/стр1) |
0,300 |
0,300 |
0,312 |
0,255 |
|
Прибыль от реализации продукции, тыс.руб. |
8460 |
5040 |
7864 |
8856 |
|
Постоянные расходы, тыс.руб. (стр3-стр5)/стр6 |
12960 |
12960 |
12420 |
12830 |
|
Среднесметная величина постоянных расходов, тыс.руб. |
12900 |
12900 |
12900 |
12900 |
|
Отклонение (+ перерасход, – экономия) от средне-сметного размера постоянных расходов, тыс.руб.(стр6-стр7) |
+60 |
+60 |
- 480 |
- 70 |
В настоящее время в торговом предприятии работает 39 человек. В таблице 2.5 представлено распределение численности работников по группам персонала.
Таблица 2.5
Распределение численности работников торгового предприятия
по группам персонала
|
Группы персонала |
2004 г. |
2005 г. |
|||
|
количество, чел. |
уд. вес, % к итогу |
количество, чел. |
уд. вес, % к итогу |
||
|
Административно-управленческий персонал, в том числе: |
16 |
40,00 |
15 |
38,46 |
Продолжение таблицы
|
руководители |
4 |
10,00 |
4 |
10,26 |
|
служащие |
12 |
30,00 |
11 |
28,20 |
|
Торгово-оперативный персонал, в том числе: |
4 |
10,00 |
3 |
7,69 |
|
продавцы |
2 |
5,00 |
2 |
5,13 |
|
товароведы |
2 |
5,00 |
1 |
2,56 |
|
Вспомогательный персонал, в том числе: |
3 |
7,50 |
3 |
7,69 |
|
Водители |
2 |
5,00 |
1 |
2,56 |
|
Рабочие |
15 |
37,50 |
17 |
43,60 |
|
Всего |
40 |
100,00 |
39 |
100,00 |
В таблице 2.6 приведены данные, характеризующие уровень и динамику средней заработной платы торгового предприятия по группам персонала за анализируемый период 2004…2005 гг.
Таблица 2.6
Анализ уровня и динамики средней заработной платы работников
торгового предприятия
|
Группа персонала |
Средняя заработная плата в месяц, руб. |
Абсолютное изменение (+/–), руб. |
Темп роста в 2005 г. по сравнению с 2004 г. |
|
|
2004 г. |
2005 г. |
|||
|
1 |
2 |
3 |
4 |
5 |
|
Весь персонал |
1510,4 |
1581,2 |
+70,8 |
104,7 |
|
Административно-управленческий персонал, в том числе: |
1699,2 |
1726,7 |
+27,5 |
101,6 |
|
руководители |
1888,0 |
2004,2 |
+116,2 |
106,2 |
|
служащие |
1636,3 |
1625,8 |
–10,5 |
99,4 |
|
Торгово-оперативный персонал, в том числе |
1359,4 |
1233,3 |
–126,1 |
90,7 |
|
продавцы |
1238,5 |
1171,7 |
–66,8 |
94,6 |
|
товароведы |
1480,2 |
1356,7 |
–123,5 |
91,7 |
|
Вспомогательный персонал |
906,3 |
966,1 |
–59,8 |
106,6 |
|
водители |
1661,5 |
1603,3 |
–58,2 |
96,5 |
|
грузчики и чернорабочие |
1450,0 |
1621,5 |
+ 171,5 |
111,8 |
Данные таблицы 2.5 свидетельствуют о росте средней заработной платы в месяц по всем категориям персонала на 70,8 руб. или 4,7%. В целом можно сделать вывод об опережении темпов роста средней заработной платы над темпами роста производительности труда, что свидетельствует об отсутствии эффективной трудовой деятельности на предприятии.
2.4. Влияние цены на финансовые результаты предприятия
Руководству торгового предприятия можно прежде всего рекомендовать разработку плана по прибыли. Разработка плана по прибыли представляет собой сложный процесс, основанный на глубоком знании конъюнктуры рынка, возможностей предприятия, условий и факторов, определяющих конкурентоспособность предприятия, умении предвидеть реальные пути получения высоких доходов.
Должны быть разработаны плановые показатели прибыли и рентабельности для торгового предприятия.
Процесс планирования прибыли состоит из нескольких этапов:
· анализа прибыли и рентабельности за прошедший исследуемый период, расчета ее прогнозной величины;
· оценки достоверности произведенных расчетов;
· разработки плана мероприятий по обеспечению получения запланированного размера прибыли и рентабельности.
Далее в ходе анализа прибыли и рентабельности необходимо изучить динамику изменения объема балансовой, чистой прибыли, уровня рентабельности, факторы, их определяющие (величину валового дохода, уровень издержек обращения, доходы от других видов деятельности, включая сальдо внереализационных доходов, размер налогов и др.).
Также необходимо осуществить выявление факторов, непосредственно связанных с результатами деятельности торгового предприятия, с его предпринимательской активностью:
· результаты коммерческой деятельности,
· эффективность заключенных сделок на поставку товаров,
· объем и структура товарооборота,
· форма и системы оплаты труда,
· эффективность основных и оборотных средств,
· уровень валовых доходов и издержек обращения,
· размер прочей прибыли и др.
Оценка прибыльности торгового предприятия должна проводиться в сравнении с планом и предшествующим периодом. При этом, как и по другим количественным показателям, необходимо обеспечить сопоставимость показателей и исключить ценовое влияние, особенно в условиях происходящих инфляционных процессов.
Анализ прибыли производится в несколько этапов.
На первом этапе производится анализ динамики прибыли и рентабельности в целом путем выявления тенденции изменения массы прибыли и рентабельности за исследуемый период. В этих целях исчисляются темпы (базисные и цепные) роста (снижения) анализируемых показателей и сравниваются с динамикой аналогичных показателей конкурентов и со среднегодовой нормой прибыли на вложенный капитал.
На втором этапе оценивается влияние факторов на прибыль и рентабельность:
а) изменение объема товарооборота в текущих ценах;
б) влияния цен реализуемых товаров на прибыль.
Общее влияние факторов физической массы товаров и изменения цены должно дать результат изменения прибыли за счет изменения объема реализации в текущих ценах;
в) влияние изменения уровня валового дохода на прибыль определяется следующим образом:
г) оценка влияния издержек обращения на прибыль;
д) влияние на размер балансовой прибыли изменения прочих доходов и затрат;
е) изменение эффективности использования ресурсов и капитала предприятия;
Выявление резервов увеличения прибыли торгового предприятия и возможности их использования в перспективе также необходимо.
Как известно, на прибыль и рентабельность большое влияние оказывают ценовые факторы. С ростом цен на товары увеличивается сумма валового дохода и, наоборот, снижение цен приводит к ее уменьшению (прямая зависимость). Изменение тарифов на услуги других отраслей изменяет сумму издержек обращения. С их увеличением растут издержки, а тем самым уменьшается прибыль (обратная зависимость).
Для расчета влияния ценовых факторов необходимо пересчитывать сумму валового дохода и издержек обращения в сопоставимые цены. Наряду с этими факторами (изменение цен и тарифов) в процессе анализа устанавливается влияние на прибыль изменения объема реализации товаров в сопоставимых ценах и структуры товарооборота.
Выявление неиспользованных резервов торгового предприятия заключается в ускорении оборачиваемости оборотных средств, повышении эффективности затрат живого труда, сокращении издержек обращения, роста производительности труда, коэффициентов эффективности использования торговых площадей, рост продажи товаров в натуральных единицах измерения.
Расчётная формула имеет следующий вид:
Постоянные затраты * Количество товара =
= Объем продаж - Переменные затраты
Точку безубыточности можно отобразить на графике. Кривая спроса наклонена вниз. Торговое предприятие стремится максимизировать прибыль. Предположим, что предлагаемый этой фирмой товар отличается от соперничающих по каким-то характеристикам, тогда фирма может поднять цену без падения уровня продаж, т.к. найдутся покупатели, готовые платить повышенную цену за этот продукт.(остальное зависит от эластичности спроса на этот товар, т.е. покроет ли прибыль от увеличения цены потери от сокращения продаж или нет).
Спрос и предельный доход зависят также от цен, установленных конкурирующими фирмами, т.к. если бы они снизили свои цены, то торговое предприятие получило бы меньшую прибыль от понижения или повышения цены, как это показано на рис 3.1.
Цена и себестоимость
![]()
![]()
P1 A
![]()
![]()
АС
|
Р2 В
D
MR
Q
Кол-во.
Рисунок 3.1 Точка безубыточности
Максимизирующее прибыль количество товара равно Q. Этот выпуск соответствует точке безубыточности, в которой MR = MC. Чтобы продать это количество фирма установит цену, равную Р1, при этой цене количество товара, на которое есть спрос, соответствует т. А на кривой предложения и составляет максимизирующий прибыль выпуск. При установлении цены, равной Р1 фирма получает прибыль с единицы товара равную отрезку АВ, а со всего выпуска - равную площади заштрихованного прямоугольника.
Графически анализ безубыточности по товарной группе «Балканская звезда» имеет следующий вид:
|
|
|||||||||
|
|
|||||||||
|
|
|||||||||
Рис. 3.2 График безубыточности по товарной группе «Балканская звезда»
Где:
А-100 Вторичный прибор
постоянные
затраты
полные затраты
доход
Текущие объемы продаж в апреле: 3613
Точка безубыточности: 2136
Уровень точки безубыточности по объему продаж = +69%
Также торговому предприятию необходимо выявить преимущество в издержках и усилить его, кроме того необходимо спланировать рациональное ведение дел на основе накопленного опыта.
Можно предложить для торгового предприятия следующую ценовую стратегию в отношении табачной продукции:
· Поставка на рынок новых видов табачной продукции, отвечающих как потребностям клиентов, так и целям торгового предприятия
· Подготовку анализов безубыточности по каждому виду продукции
· Оценку будущего спроса, диапазона цен, состояние коньюнктуры, затрат.
· Снятие с реализации изделий, не способных достичь точки безубыточности в долгосрочной перспективе
· Выдвижение на первое место тех изделий, которые точно соответствуют стратегическим планам торгового предприятия
· Акцент на качестве, обслуживании и сроках поставки
Также можно предложить внедрить систему ценообразования, которая отражала бы стратегию торгового предприятия в отношении табачной продукции. Для этого следует ввести систему гибких скидок для:
· Крупных заказов
· Заказов с оплатой наличными
3.Перспективы ценовой и налоговой политики
3.1. Способы снижения налоговой нагрузки в ценообразовании
Руководителю организации, финансовому директору и главному бухгалтеру часто приходится принимать управленческие решения в сфере налогообложения. В то же время эти решения не всегда оправданны и оптимальны, так как они требуют не только знания налогового законодательства, но и взвешенного подхода к соотнесению экономического эффекта и затрат, связанных с реализацией решения.
Введение нового Налогового кодекса Российской Федерации предусматривает коренное реформирование налоговой системы, направленное на сокращение количества налогов и сборов и оптимизацию налогооблагаемых баз и ставок. Оптимизация ставок предполагает их некоторое снижение в зависимости от размеров доходов и других показателей, отражающих налогооблагаемую базу. Это в значительной мере предопределяет возможность сократить налоговую нагрузку на налогоплательщиков, в частности, на юридических лиц, а значит, повлиять на их заинтересованность в развитии легального бизнеса.
В экономической литературе в последние годы часто говорится о налоговой нагрузке, но нет конкретных исследований ее показателей. В этой связи представляются актуальными вопросы разработки методики расчета показателей налоговой нагрузки и их практическое исследование при оценке деятельности предприятий, оценки эффективности налоговой системы в целом и ее воздействия на экономику и заинтересованность предприятия соблюдать налоговое законодательство. Необходимость этих направлений исследования обусловлена ролью налоговой системы как рычага проведения фискальной политики государства, которая отражается в налоговой нагрузке.
Налоговая нагрузка как экономическая категория отражает соотношение общей массы налогов и сборов, уплачиваемых предприятием в фискальные органы, с показателями его деятельности. При этом могут использоваться как обобщающие, так и частные показатели налоговой нагрузки. Для их расчета необходимо правильно определить налоговые издержки, которые представляют собой общую сумму всех видов изъятия доходов предприятия в казну государства. Следовательно, они должны включать не только сумму непосредственно налогов и сборов, но и штрафных санкций и пени, дополняющих платежи в казну. Но при этом важно разделить их и использовать в расчетах налоговой нагрузки в соответствии с поставленными целями и задачами исследования. Для оценки степени жесткости и эффективности налоговой системы должны применяться чистые налоговые издержки без штрафов и пени. Последние могут включаться в расчеты, если определяется эффективность работы предприятия по исполнению налогового законодательства.
Обобщающие показатели налоговой нагрузки отражают уровень налогов и сборов всех видов независимо от структуры налоговой системы, характера и содержания самих налогов, используемых финансовых ресурсов и т.д.
В таблице 3.1. показана оценка действующей налоговой нагрузки на предприятие по итогам работы за 2004-2005 гг.
Таблица 3.1.
Структура налоговых издержек
|
Показатель |
2004 год |
2005 год |
||
|
Сумма, млн. руб. |
Удельный вес, % |
Сумма, млн. руб. |
Удельный вес, % |
|
|
Налоги, возмещаемые через цену продукции (НДС) |
0,200 |
78,740 |
0,270 |
62,645 |
|
Налоги, возмещаемые через себестоимость (транспортный налог, ЕСН) |
0,008 |
3,150 |
0,100 |
23,202 |
|
Налог на имущество |
0,001 |
0,394 |
0,001 |
0,232 |
|
Налог на прибыль |
0,045 |
17,717 |
0,060 |
13,921 |
|
Налоговые издержки, всего |
0,254 |
100,000 |
0,431 |
100,000 |
Анализ данных таблицы 3.1. показывает, что большая часть налогов (более 60%) приходится на косвенные, а в их составе - на НДС. Второе место в составе налоговых издержек за 2005 год занимают налоги, относимые на затраты производства (23,2%), хотя за 2004 год – лишь 3,1%.
Роль различных групп налоговых издержек зависит от специфики производства, отрасли деятельности и других факторов, но общая картина их структуры характерна для большинства из них.
Обобщающие показатели налоговой нагрузки отражают уровень налогов и сборов всех видов независимо от структуры налоговой системы, характера и содержания самих налогов, используемых финансовых ресурсов и т.д.
Примеры алгоритмов их расчета представлены ниже:
1) Налоговая нагрузка на доходы предприятия:
Налоговая нагрузка Налоговые издержки
на доходы = ——————————— (3.1)
предприятия Выручка от продаж


2) Налоговая нагрузка на финансовые предприятия:
Налоговая нагрузка Налоговые издержки
на финансовые = ——————————————— (3.2)
ресурсы Среднегодовая сумма валюты баланса


3) Налоговая нагрузка на собственный капитал предприятия:
Налоговая нагрузка Налоговые издержки
на собственный = —————————————————— (3.3)
капитал Среднегодовая сумма собственного капитала
по балансу


5) Налоговая нагрузка к себестоимости:
Налоговая нагрузка Налоговые издержки
к = ——————————————— (3.4)
себестоимости Себестоимость


Приведем расчет указанных показателей (таблица 3.2.).
Таблица 3.2.
Налоговая нагрузка на предприятие
|
Показатель |
2004 год |
2005 год |
|
Реализация, млн. руб. |
1,5 |
1,7 |
|
Себестоимость, млн. руб. |
0,8 |
1,4 |
|
Валовая прибыль, млн. руб. |
0,7 |
0,3 |
|
Чистая прибыль (убыток), млн. руб. |
-0,1 |
0,08 |
|
Сумма валюты баланса, млн. руб. |
1,9 |
2,6 |
|
Собственный капитал, млн. руб. |
1,9 |
1,8 |
|
Налоговые издержки, |
|
|
|
Всего, млн. руб. |
0,254 |
0,431 |
|
в том числе возмещаемые за счет: |
|
|
Продолжение таблицы 3.2.
|
цены |
0,200 |
0,270 |
|
себестоимости |
0,008 |
0,100 |
|
финансовых результатов |
0,001 |
0,001 |
|
чистой прибыли |
0,045 |
0,060 |
|
Показатели общей налоговой нагрузки на предприятие в % по отношению к: |
|
|
|
реализации |
16,9 |
25,4 |
|
финансовым ресурсам |
13,4 |
16,6 |
|
собственному капиталу |
13,4 |
23,9 |
|
себестоимости |
31,8 |
30,8 |
Отметим, что налоговая нагрузка имеет значительный вес по отношению к себестоимости. Производство материалоемкое, поэтому необходимо обратить внимание на способы списания материалов в производство и на методы начисления амортизации.
В первые годы эксплуатации основных средств при использовании нелинейного метода начисления амортизации наблюдается экономия по налогу на прибыль, что увеличивает рентабельность продукции.
Прибыль
Рентабельность
продукции = =
![]()
Себестоимость
На основании выше изложенных учетных методик по налоговой оптимизации, направленных на совершенствование финансово-хозяйственной деятельности ООО «НЕЗАБУДКА НЕКС», можно дать следующие рекомендации руководству исследуемого предприятия.
С учетом данных анализа эффективности применения линейного и нелинейного метода начисления амортизации для целей налогообложения, можно обозначить границы применения нелинейного метода следующим образом:
Данный метод должен применяться в отношении основных средств с высокой степенью морального износа. К подобной категории можно отнести компьютерную технику. Как правило, в течение 3-5 лет она устаревает морально и проще ее списать и приобрести новую более современную;
Метод эффективен для основных средств со сравнительно коротким жизненным циклом 5-7 лет. Лучше получить налоговый эффект в течение 2-3 лет и продать их;
Нелинейный метод неэффективен по основным средствам с продолжительным сроком полезного использования 12-15 лет. Экономический эффект "растянутый" на несколько лет может быть съеден инфляцией;
При выборе нелинейного метода следует иметь в виду, что возможность применения повышающих коэффициентов не распространяется на основные средства, относящиеся к первой, второй и третьей амортизационным группам, в случае, если амортизация по данным основным средствам начисляется нелинейным методом.
Главному бухгалтеру при составлении учетной политики, необходимо установить срок полезного использования на верхней или нижней границе, поскольку очевидно, что перенос стоимости амортизируемого имущества на расходы в течение 3 лет вместо 5 позволяет "быстрее" учитывать данные суммы в целях налогообложения.
В соответствии с пунктом 2 статьи 256 Налогового кодекса РФ к амортизируемому имуществу не относится имущество, первоначальная стоимость которого составляет до десяти тысяч рублей включительно. Стоимость такого имущества включается в состав материальных расходов в полной сумме по мере ввода его в эксплуатацию. В связи с этим рекомендуется в некоторых случаях при приобретении основных средств разукрупнить их на составляющие конструктивно обособленные объекты. То есть следует приобретать не комплекс, а отдельные составные части. При подобном подходе и если стоимость отдельных частей составляет величину до 10 тыс. руб. включительно стоимость данного имущества возможно учесть сразу по мере ввода в эксплуатацию, а не в течение ряда лет через амортизацию. В некоторых случаях подобные действия могут принести существенную экономию по налоговым платежам по налогу на прибыль.
В учетной политике ООО «НЕЗАБУДКА НЕКС»отражен метод оценки материалов – ФИФО. Этот метод не самый наилучший в плане сокращения налоговых платежей в бюджет. Рекомендуется использовать метод ЛИФО, который занижает налогооблагаемую базу и сумму налога на прибыль.
Следующей рекомендацией является организация специальной работы в ООО «НЕЗАБУДКА НЕКС»с дебиторской задолженностью. При этом следует учитывать два самостоятельных аспекта:
1) по налогу на прибыль
Согласно пункта 2 статьи 265 Налогового кодекса РФ к расходам, учитываемым в целях налогообложения, приравниваются убытки от списания дебиторской задолженности, по которой истек срок исковой давности. Для списания на убыток дебиторской задолженности, по которой срок исковой давности истек необходимо наличие трех условий в совокупности:
– истечение срока исковой давности. При этом необходимо учитывать, что в соответствии со статьей 196 Гражданского Кодекса РФ общий срок исковой давности устанавливается в три года. Однако законодательством могут предусматриваться и специальные сроки исковой давности как сокращенные, так и более длинные по сравнению с общим сроком. Кроме того, существуют требования, на которые срок исковой давности не распространяется (например, требования вкладчиков к банку о выдаче вкладов (статьей 208 Гражданского Кодекса РФ)). Течение срока исковой давности будет начинаться не с момента возникновения дебиторской задолженности, как считают многие (момент реальной отгрузки товаров или реальной проплаты аванса), а только с момента, когда задолженность перейдет в разряд просроченной, т.е. с момента просрочки долга, который можно установить только исходя из условий договора.
Поэтому в случае, если срок исполнения обязательств должником сторонами в договоре не оговорен, то необходимо руководствоваться общими правилами, установленными гражданским законодательством. Так в соответствии со статьей 314 Гражданского кодекса РФ в случаях, когда обязательство не предусматривает срок его исполнения и не содержит условий, позволяющих определить этот срок, оно должно быть исполнено в разумный срок после возникновения обязательства. Обязательство, не исполненное в разумный срок, а равно обязательство, срок исполнения которого определен моментом востребования, должник обязан исполнить в семидневный срок со дня предъявления кредитором требования о его исполнении, если обязанность исполнения в другой срок не вытекает из закона, иных правовых актов, условий обязательства, обычаев делового оборота или существа обязательства. Поэтому в том случае, когда срок поставки договором определен не был, то срок исковой давности начинает исчисляться после семи дней с момента предъявления претензии должнику.
Из этого следует, что при заключении договора необходимо специально оговорить сроки расчета, так как именно от этого срока начнется отсчет срока исковой давности.
В случае отсутствия в договоре условий по срокам оплаты фиксация достигается через предъявление претензии должнику. Через семь дней начинается течение срока исковой давности;
решение руководителя предприятия о списании определенной суммы дебиторской задолженности на убытки. Данное решение должно быть оформлено документально (приказ, распоряжение) и должно быть принято только руководителем предприятия, а не его заместителем или иным должностным лицом (если им данные полномочия не делегированы). Решение может быть основано на докладной записке главного бухгалтера или юрисконсульта предприятия, например, с обоснованием истечения срока исковой давности;
просроченная задолженность не была зарезервирована предприятием (т.е. отсутствует резерв по сомнительным долгам). Как было указано выше, данный резерв создается в соответствии с пунктом 1 статьи 266 Налогового кодекса РФ и предусмотрено только для предприятий, использующих метод начислений при учете доходов.
Необходимо также наличие проверки о том, была ли зарезервирована списываемая задолженность. Поскольку при создании резерва по сомнительным долгам в целях налогообложения имеется ограничения на сумму резерва - не более 10 процентов от налогооблагаемой выручки в отчетном (налоговом) периоде.
2) по налогу на добавленную стоимость.
Согласно пунктом 1 статьи 167 Налогового Кодекса РФ для целей исчисления НДС дата реализации товаров (работ, услуг) в зависимости от принятой ООО «НЕЗАБУДКА НЕКС»учетной политики для целей налогообложения определяется:
для налогоплательщиков, утвердивших в учетной политике для целей налогообложения дату возникновения обязанности по уплате налога по мере отгрузки и предъявлению покупателю расчетных документов, как наиболее ранняя из следующих дат: день отгрузки (передачи) товара (работ, услуг) и день оплаты товаров (работ, услуг);
для налогоплательщиков, утвердивших в учетной политике для целей налогообложения дату возникновения обязанности по уплате налога по мере поступления денежных средств, как день оплаты товаров (работ, услуг).
В случае неисполнения покупателем до истечения срока исковой давности по праву требования исполнения встречного обязательства, связанного с поставкой товара (выполнением работ, оказанием услуг), датой оплаты товаров (работ, услуг) признается наиболее ранняя из следующих дат: день истечения указанного срока исковой давности и день списания дебиторской задолженности.
При учете дебиторской задолженности имеется два самостоятельных срока. При этом день списания и день истечения срока исковой давности могут не совпадать. Кроме того, нельзя порядок списания задолженности "привязывать" лишь к налогу на прибыль как традиционно привыкли это делать. Дело в том, что по налогу на добавленную стоимость налоговый период составляет месяц, а по налогу на прибыль- квартал. Поэтому не исключена ситуация когда по НДС налоговые обязательства уже имеются, а по налогу на прибыль еще нет. Кроме того, и последствия диаметрально противоположные по прибыли платежи в бюджет уменьшаются, а по налогу на добавленную стоимость увеличиваются.
Таким образом, руководству предприятия необходимо тщательно проанализировать налоговые последствия различных методов бухгалтерского и налогового учета и принять взвешенное решение по элементам учетной политики для целей налогообложения.
3.2. Основные направления совершенствования ценообразования
Определим оценку мероприятий по совершенствованию налогового планирования на ООО «Незабудка Некст». Теперь проведем оценку их совокупной эффективности с учетом дополнительных расходов на реализацию данных мероприятий, только за один квартал
Предложены 4 основных схемы налогового планирования:
- схема налогового планирования при реализации стройпроекта, налоговая экономия – 2370 тыс. руб. за 6 месяцев (см. рис. 3.1);
- мероприятие по включению в состав затрат сверхнормативных рекламных расходов – налоговая экономия – 480 тыс. руб. за 12 месяцев (см. рис. 3.2.);
- экономия по налогу на прибыль за счет включения в состав затрат платежей по займу, налоговая экономия - 197,5 тыс. руб. за 3 месяца (см. рис. 3.3.);
- выплата части заработной платы из нераспределенной прибыли – налоговая экономия – 63 тыс. руб. за 6 месяцев.
Отметим, что реализация указанных мероприятий потребуют определенных затрат, в частности, регистрация фирмы «CHELSUPERSTROI» потребует расходов, связанных с внесением уставного капитала, оплаты государственной пошлины в республике Кипр, проезд в туда и обратно, оплата гражданам Кипра оказывающих содействие в регистрации предприятия, получение строительной лицензии и т.п.. Таким образом, примерная сумма расходов составит 200 тысяч рублей.
Для реализации второй схемы, связанной с включением в состав затрат сверхнормативных рекламных расходов, необходимо номинальное привлечение в качестве учредителя гражданина Германии или юридического лица зарегистрированного в Германии. Этот вопрос, не вызывает затруднений, т.к. у руководства ООО «Незабудка Некст», есть родственники проживающие в Германии. Понадобятся затраты связанные с проездом туда и обратно и оформлением соответствующих документов. Примерные затраты составят 70 000 рублей.
Для реализации третьей схемы - экономия по налогу на прибыль за счет включения в состав затрат платежей по займу, необходимая фирма на Кипре у нас уже зарегистрирована, нужно только оформить документы займа следовательно необходима поездка туда и обратно, и оплата бухгалтеру на Кипре за своевременную сдачу отчетных документов. Итак, дополнительные затраты составят ориентировочно 90 тыс. рублей.
Для реализации третьей схемы - выплаты части заработной платы из нераспределенной прибыли, никаких дополнительных затрат не потребуется.
Учитывая, что во второй главе мы анализировали существующую налоговую схему за 1 квартал 2003 года, следовательно, расчет налоговой экономии за счет разработанных мероприятий также проведем за 1 квартал.
По первой схеме - схема налогового планирования при реализации стройпроекта, налоговая экономия – 2370 тыс. руб. за 6 месяцев, следовательно, за 3 месяца 2370 тыс. руб./2=1185 тыс. руб.
По второй схеме - мероприятие по включению в состав затрат сверхнормативных рекламных расходов – налоговая экономия – 480 тыс. руб. за 12 месяцев, следовательно, за 3 месяца 480 тыс. руб./4 = 120 тыс.руб.
По третьей схеме - экономия по налогу на прибыль за счет включения в состав затрат платежей по займу, налоговая экономия - 197,5 тыс. руб. за 3 месяца
По четвертой схеме - выплата части заработной платы из нераспределенной прибыли – налоговая экономия – 63 тыс. руб. за 6 месяцев, следовательно за 3 месяца 31 тыс. руб.
Полученные результаты прогноза налоговой экономии за 1 квартал представим в сводной таблице 3.1.
Таблица 3.1.
Сводная таблица налоговой экономии и чистой прибыли от предлагаемых мероприятий
|
Название схемы |
Налоговая экономия (тыс. руб) |
Затраты на реализацию схемы (тыс. руб.) |
Чистая прибыль от мероприятия Столбец 2 –столбец 3 |
|
1.Мероприятия по снижению налогооблагаемой прибыли при реализации Стройпроекта |
1185 |
200 |
985 |
|
2. Включение в состав затрат сверхнормативных рекламных расходов |
120 |
70 |
50 |
|
3.Вовлечение в состав затрат платежей по займу |
197,5 |
90 |
107,5 |
|
4. Выплата части зарплаты из нераспределенной прибыли |
31 |
- |
31 |
|
Итого: |
1533,5 |
360 |
1173,5 |
Из таблицы 3.1. видно, что даже учитывая единовременные вложения для реализации указанных мероприятий по совершенствованию налогового планирования, чистая прибыль от указанных мероприятий только за один квартал составила 1173 тыс. рублей.
Таким образом, налоговая экономия от применения схемы налогового планирования, за один квартал составляет 1173 тыс. рублей, следовательно налоговая экономия за год составит:
1173 тыс. руб. *4 = 4692 тыс. руб
Налоговая экономия за год составит 4692 тыс. руб.
В заключении проанализируем изменение рентабельности, на основе данных табл. 2.5. деятельности предприятия за счет предлагаемой схемы налогового планирования.
Рентабельность без использования схемы налогового планирования(R1):
R1 = Прибыль за 2003 г./выручка за 2003 г. =
= 8856 тыс. руб/85000 тыс. руб = 0,1
Рентабельность (R2) с использованием схемы налогового планирования:
R2 = (8826 тыс. руб+4692тыс. руб.) /85000 тыс. руб = 0,16
Рис. 3.4. Рост рентабельности деятельности
ООО «Незабудка Некст»
Таким образом, применение указанной схемы налогового планирования весьма целесообразно и выгодно для предприятия так как гарантирует получение дополнительной прибыли и при этом практически не требует дополнительных вложений.
Заключение
В результате проведённого исследования можно сделать вывод о том, что ценовая политика заключается в установлении на товары оптимальных цен, варьировании ими в зависимости от ситуации на рынке, чтобы овладеть его максимально возможной долей, добиться запланированного объема прибыли и успешно решать все стратегические и тактические задачи.
Согласно данным проведенных исследований ценовая политика торгового предприятия заключается в том, чтобы покрыть издержки и получить удовлетворительную прибыль и своевременно перечислить в бюджет налоги. Бесспорно, что в области ценовой политики для руководителей торгового предприятия. Имеет важное значение изучения различных подходов к налогообложению в ценовой политике фирмы, особенностей, условий и преимуществ их практического применения.
Торговое предприятие должно поставить перед собой следующие цели:
· обеспечение выживаемости;
· максимизация текущей прибыли;
· завоевание лидерства по показателям доли рынка или по показателям качества товара;
В зависимости от сферы деятельности, от доли занимаемого рынка торговое предприятие должно выбрать один из следующих методов ценообразования:
· планирование налогообложения;
· «средние издержки плюс прибыль»;
· анализ безубыточности и обеспечение целевой прибыли;
· установление цены на основе ощущаемой ценности товара,
· установление цены на основе уровня текущих цен,
Торговое предприятие также должно учитывать, что установление окончательной цены на товар зависит от: психологического восприятия с обязательной проверкой; от того, что цена эта должна соответствовать установкам практикуемой фирмой политики цен и, что она будет благоприятно воспринята дистрибъютерами и дилерами, собственным торговым персоналом фабрики, конкурентами, поставщиками и государственными органами.
При расчете исходной цены торговое предприятие может пользоваться различными подходами к проблеме ценообразования. Один из таких подходов - установление цены по географическому принципу, когда торговое предприятие решает, как именно рассчитывать цену для удаленных потребителей, и выбирает либо метод установления цены в месте происхождения товара, либо метод установления единой цены с включенными в нее расходами по доставке, либо метод установления зональных цен, либо метод установления цен применительно к базисному пункту, либо метод установления цен с принятием на себя расходов по доставке.
Второй подход - установление цен со скидками и зачетами, когда торговое предприятие предоставляет скидки и производит соответствующие зачеты.
Третий подход - установление цен для стимулирования сбыта, когда торговое предприятие решает, прибегнуть ли к использованию «убыточных лидеров» или к ценам для особых случаев или предлагать скидки наличными.
Четвертый подход - установление дискриминационных цен, когда торговое предприятие назначает разные цены для разных клиентов, для разных мест и разного времени.
Пятый подход - установление цен на новый товар, когда фабрика предлагает новинку табачного рынка либо в рамках стратегии «снятия сливок», либо в рамках стратегии прочного внедрения на рынок.
Шестой подход - ценообразование в рамках товарной номенклатуры, когда торговое предприятие устанавливает ценовые ориентиры для ряда изделий в рамках товарного ассортимента.
Решая вопрос об инициативном изменении цен, торговое предприятие должно тщательно изучить вероятные реакции потребителей и конкурентов. Реакция потребителей зависит от того, какой смысл усматривают они в изменении цен. Реакции конкурентов являются либо следствием четких установок политики реагирования, либо результатом конкретной оценки каждой вновь возникающей ситуации. Торговое предприятие, планирующее инициативное изменение цен, должна также предвидеть наиболее вероятные реакции поставщиков, дистрибьютеров и государственных учреждений. В случае изменения цен, предпринятого кем-то из конкурентов, фабрика должна попытаться понять его намерения и вероятную длительность действия нововведения. Если фабрика желает быстро реагировать на происходящее, ей следует заранее запланировать свои ответные меры на возможные ценовые маневры конкурентов.
Учитывая сложность данной проблемы, необходимым является приобретение знаний в этой области для выбора правильного подхода в установлении цен при выходе на рынок. В целях достижения хороших результатов в производственной и коммерческой деятельности необходимо дальнейшее углубление такого рода знаний на основе изучения мирового опыта, специфики экономики Беларусь и других стран.
В ходе проведенной дипломной работы были выявлены меры по взаимоотношениям ценовой политики и налогообложения. Для этих целей был проведен SWOT–анализ. Проведенный ряд работ позволил оценить табачную продукцию торгового предприятия как конкурентоспособную. Однако торговое предприятие не пользуется в должной мере конкурентными преимуществами. Также было установлено, что рекламные кампании фабрики мало способствуют привлечению покупателей для чего был предложен ряд мер:
1) выбор стратегии охвата рынка на основе сегметирования.
2) проведение рекламы методом «паблик рилейшнз».
3) улучшение каналов товародвижения путем создания оптовых баз на въезде и выезде в город.
4) Минимизация налогообложения.
Для эффективной деятельности торговой компании также необходимо совершенствовать маркетинговую службу, разработать стратегии в отношении:
· видов изделий
· цен
· размещение товара на рынке
· продвижение товара на рынке
Увеличение цены способствует росту налога на прибыль и НДС. Региональные налоги уменьшают налогооблагаемую прибыль (транспортный налог, налог на имущество, земельный налог). От величины ФОТ зависит изменение показателей налоговых платежей по ЕСН и НДФЛ. В конечном итоге предприятие находится в жестких рамках влияния ценообразования на налогообложение и наоборот налогообложение на ценообразование. Решающим моментом во взаимоотношениях цены и налогов является соотношение планирования как ценообразования так и налогообложения.
Список литературы
1. Ансофф И. Стратегическое управление. М.: Экономика, 2002.
2. Антикризисное управление: Учебное пособие / Под ред. Э.С. Минаева и В.П. Панагушкина. - М.: "Издательство ПРИОР", 2005. - 432 с.
3. Астахов В.П. Анализ финансовой устойчивости фирмы. М.: «Экономическое образование», 2005.
4. Ван Хорн Дж. К. Основы управления финансами. М.: Финансы и статистика, 2005.
5. Виханский О.С. “Стратегическое управление”, Издательство Московского Университета, 2004.-431с.
6. Виханский О.С., Наумов А.И. Менеджмент; Учебник, 3-е изд. - М.: Гардарика,2004.-528с.
7. Казанцев А.К., Подлесных В.И., Серова Л.С. Практический менеджмент: В деловых играх, хозяйственных ситуациях, задачах и тестах: Учебное пособие. -М.: ИНФРА-М, 2004. - 367 с.
8. Кравченко В.Ф., Кравченко Е.Ф., Забелин П.В. Организационный инжиниринг: Учебное пособие. - М.: "Изд-во ПРИОР", 2002. - 256 с.
9. Лафта Дж. К. Эффективность менеджмента организации. Учебное пособие. - М.: Русская деловая литература, 2003. - 320 с.
10. Менар К. Экономика организации. - М.: ИНФРА-М, 2006. - 160 с.
11. Менеджмент организации. Учебное пособие. Румянцева З.П. и др. - М.:ИНФРА-М, 2006.-430 с.
12. Мескон М.Х., Альберт М., Хедоури Ф. Основы менеджмента. Пер. с англ. -М.:Дело, 2002.-702 с.
13. Мильнер Б.З. Теория организаций. - М.: ИНФРА-М, 2003. - 336 с.
14. Ньюстром Дж. В., Дэвис К. Организационное поведение. Пер. с англ./ Под ред. Ю.Н. Каптуревского-СПб:Издательство "Питер",2004. - 448 с.
15. Обер-Крие Дж. Управление предприятием: Пер. с фр. - М.: Сирии, 2005. -257с.
16. Паркинсон С., Рустомджи М.К. Искусство управления: Пер. с англ.. Спб.: Лениздат, 2002.- 143 с.
17. Портер М. Международная конкуренция. / Пер. с англ. Под ред. Щетинина В.Д. - М.: Международные отношения, 2003.
18. О.В. Памбухчиянц Организация и технология коммерческой деятельности. М., 2004.
19. Семенов В.М., Баев И.А., Терехова С.А. и др. Экономика предприятия / Под ред. Семенова В.М.. - М.: Центр экономики и маркетинга, 2006. - 3 12 с.
20. Смирнов Э.А. Основы теории организации; Учебное пособие для вузов. -М.: Аудит, ЮНИТИ, 2006. - 375 с.
21. Уткин Э.А. Управление фирмой.-М.: "Акалис", 2006.-516 с.
22. Экономическая стратегия фирмы: Учебное пособие./ Под ред. А. П. Градова. - СПб.: СпецЛит., 2005. - 285 с.