Федеральное агентство по образованию
ГОУ ВПО
Всероссийский заочный финансово-экономический институт
Кафедра бухгалтерского учета анализа хозяйственной деятельности
КОНТРОЛЬНАЯ РАБОТА
по дисциплине
«Теория экономического анализа»
Вариант № 3
Преподаватель
Студент
Факультет Учетно-статистический
№ группы
№ зачетной книжки:
ПЕНЗА
2009
Вариант 3
Задача 1.
Постройте факторную модель зависимости результативного показателя от ряда факторов на основе приведенной в таблице информации. Укажите тип модели. Расчеты влияния факторов выполните способом цепных подстановок.
Таблица 3.1
Исходная информация для проведения факторного анализа
|
Показатель |
Идентификатор |
Предыдущий год |
Отчетный год |
|
Выручка от продаж, тыс. руб. |
N |
1020 |
1000 |
|
Материальные затраты, тыс. руб. |
М |
510 |
460 |
|
Материалоемкость продукции |
Г |
0,50 |
0,46 |
Решение:
Исходная базисная факторная система: Г0 = М0 / N0;
При фактических значениях показателей: Г1 = М1 / N1;
Общее отклонение результативного показателя:
,
В том числе за счет изменения факторных показателей: ![]()
![]()
Баланс факторов: ![]()
1. Находим влияние изменения объёма выручки от продаж:
= 510 / 1000 – 0,5 = 0,51
– 0,5 = 0,01, в результате снижения
выручки от продаж, материалоемкость продукции увеличилась на 0,01.
2. Находим влияние изменения материальных затрат:
= 0,46 – 510/1000 = 0,46 - 0,51 = – 0,05 , в результате снижения материальных затрат,
материалоемкость продукции снизилась на 0,05.
Баланс факторов: 0,46 - 0,50 = 0,01 + (-0,05)
- 0,04 = - 0,04
Задача 2.
Способом долевого участия определите раздельное влияние изменения среднегодовой стоимости внеоборотных и оборотных активов на изменение рентабельности всех активов,
Таблица 3.2
Исходная информация для проведения факторного анализа
|
Показатель |
Идентификатор |
Предыдущий год |
Отчетный год |
Изменение (+;-) |
|
Чистая прибыль, тыс. руб. |
П |
8500 |
7300 |
-1200 |
|
Среднегодовая стоимость внеоборотных активов, тыс. руб. |
ВА |
55600 |
56300 |
+700 |
|
Среднегодовая стоимость оборотных активов, тыс. руб. |
ОА |
46400 |
41 800 |
-4600 |
Определите при расчетах способом долевого участия долю прироста (снижения) каждого вида активов (в долях единицы) в общей сумме прироста всех активов. Затем величину влияния изменения стоимости активов на их рентабельность распределите пропорционально доле участия в этом каждого из видов активов.
Решение:
1. Rа = П / А; А = ( ВА + ОА)
Найдем удельный вес каждой составляющей в знаменателе.
|
Общая стоимость активов, тыс. руб. |
А |
102000 |
98100 |
-3900 |
|
Рентабельность всех активов, % |
Ra |
8,33 |
7,44 |
-0,89 |
2. Рассчитаем долю снижения внеоборотных и оборотных активов в общей сумме снижения всех активов:
ВА = 700 / -3900 = -0,18; ОА = -4600 / -3900 = 1,18
3. За счет уменьшения прибыли на 1200, влияние её изменения составило:
-1200 / 102000 = -1,18%, т.е.,
за счет уменьшения прибыли, рентабельность активов уменьшилась на 1,18%
4. За счет изменения стоимости всех активов (доли всех активов)
7300* ( 1 / 98100 – 1 / 102000 ) * 100% = 0,28
За счет снижения стоимости активов рентабельность активов увеличилась на 0,28%
5. Оценим влияние на этот результат отдельно внеоборотных и оборотных активов: ВА: 0,28% * -0,18 = -0,05;
ОА: 0,28% * 1,18 = 0,33
Общий вывод: Снижение рентабельности активов на предприятии на 0,89% в значительно большей степени связано с уменьшением на 1200 чистой прибыли (снижение рентабельности на 1,18%). За счет же снижения стоимости активов, рентабельность выросла на 0,28%. В последнем факторе наибольший вес имеет снижение стоимости оборотных активов.
Задача 3
Рассчитайте индексным методом влияние факторов (среднегодового дохода, приходящегося на одну акцию или облигацию торгового портфеля коммерческого банка, и количества ценных бумаг) на динамику среднего уровня годового дохода портфеля в целом.
Таблица 3.3
Исходная информация для проведения факторного анализа
|
Торговый портфель |
Предыдущий период |
Отчетный период |
||
|
Среднегодовой доход на одну ценную бумагу, руб. |
Количество ценных бумаг в портфеле, шт. |
Среднегодовой доход на одну ценную бумагу, руб. |
Количество ценных бумаг в портфеле, шт. |
|
|
Акции |
15 |
1000 |
18 |
950 |
|
Облигации |
200 |
100 |
220 |
90 |
Решение:
Дополним исходную таблицу недостающими столбцами:
|
Торговый портфель |
Предыдущий период |
Отчетный период |
Стоимость портфеля |
||||
|
Среднегодовой доход на одну ценную бумагу, руб. p0 |
Количество ценных бумаг в портфеле, шт. q0 |
Среднегодовой доход на одну ценную бумагу, руб. p1 |
Количество ценных бумаг в портфеле, шт. q1 |
Предыдущий период p0*q0 |
Отчетный период p1*q1 |
Отчетного периода по ценам базисного p0*q1 |
|
|
Акции |
15 |
1000 |
18 |
950 |
15000 |
17100 |
14250 |
|
Облигации |
200 |
100 |
220 |
90 |
20000 |
19800 |
18000 |
|
ИТОГО |
35000 |
36900 |
32250 |
1. Индекс цены в форме Пааше:
=
= 36900 / 32250 =
1,144
Под влиянием увеличения среднегодового дохода на одну ценную бумагу, стоимость портфеля выросла на 14,4%, что в абсолютном выражении составляет 4650 руб. (36900 – 32250).
2 . Индекс объёма в форме Ласпейреса имеет вид:
=
= 32250 / 35000
= 0,921
Под влиянием уменьшения количества ценных бумаг, стоимость портфеля упала на 7,9%, что в абсолютном выражении составляет -2750 руб. (32250 – 35000).
3.
= 36900 / 35000 = 1,054
Несмотря на сокращение количества ценных бумаг, за счет увеличения их стоимости, стоимость портфеля в целом выросла на 5,4%, что в абсолютном выражении составило 1900 руб. (36900 – 35000).
Баланс факторов:
1,144 + 0,921 =
1,054
4650 – 2750 = 1950
Задача 4
Рассчитайте современное (приведенное к сегодняшнему дню) значение долга, если его полная сумма через 2 года составит 18 млн.руб. Коэффициент дисконтирования равен 34%.
Решение:
Современное (приведенное к сегодняшнему дню) значение долга рассчитывается по формуле:
S0 = St / (1 + i )t , где
St – будущее значение суммы денег; ,
S0 – современное значение суммы денег;
i – годовая процентная ставка;
t – срок, по истечении которого современное значение денег изменится.
S0 = 18 млн.руб./( 1 + 0,34 )2 = 18 млн.руб. / 1,7956 = 10,025 млн.руб.
Задача 5.
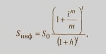
На депозит внесена сумма 600 тыс. руб. под 36% годовых. Начисление производится каждый месяц по схеме сложных процентов, т.е. годовая номинальная ставка применяется 12 раз в году. Ожидаемый месячный темп инфляции равен 4%. Определите наращенную сумму с учетом инфляции через 4 месяца. Рассчитайте эрозию капитала, т.е. уменьшение реальной стоимости суммы, вложенной на депозит.
Решение:

где Sинф - наращенная сумма с учетом инфляции;
S0 - базовая сумма;
im - годовая номинальная банковская ставка, применяемая т раз в году;
h - ожидаемый темп инфляции за период начисления процентов;
t - длительность хранения денежных средств (в период начисления процентов по депозиту).
Эрозия капитала рассчитывается: Эк = Sинф – Sо
Sинф = 600000 * (1 + 0.36/12)4 / ( 1+ 0.04 )4 = 600000*1.1255 / 1.1699 =
= 675300 /1.1699 = 577229 руб.;
Эк = 600000 – 577229 = 22771 руб.
Вследствие того, что месячный процент инфляции составляет 4%, а месячный процент начислений - 3%, эрозия капитала через 4 месяца составит 22771 руб.
Задача 6.
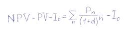
Определите, будет ли эффективным инвестиционный проект, если первоначальная инвестиция составила 600 млн.руб., срок проекта 4 года; поступление доходов по годам: 250, 250, 110, 110 млн.руб., коэффициент дисконтирования — 19%
Решение:
Дисконтированный чистый приведенный эффект рассчитывается как разность между суммой дисконтированных денежных поступлений (PV) за n лет и суммой исходных инвестиций (I0 ).
Алгоритм расчета:

Где Pn – общая накопленная величина дохода за n лет;
- общая накопленная величина дисконтированных
доходов;
d – величина дисконта или безрисковая норма дисконта.
Pn = 250 + 250 + 110 + 110 = 720 млн.руб.
PV = 720 /2,0053 = 359,049 млн.руб.
NPV = 359 – 600 = - 241 млн.руб.
Результат расчета показал, что данный инвестиционный проект принесет убыток в 241 млн.руб.
Список литературы
1. |
Экономический анализ: Учебник для вузов/ Под ред. Л.Т. Гиляровской. – М.: ЮНИТИ-ДАНА, 2004. – 615с. |
2. |
Теория экономического анализа: Учебник для вузов / М.И.Баканов, А.Д.Шеремет. – М.: Финансы и статистика, 1997. |
3. |
Финансовый анализ. Методы и процедуры: Учебник для вузов / В.В. Ковалев. – М.: Финансы и статистика, 2006. |
Задание
Вариант 3
1. Постройте факторную модель зависимости результативного показателя от ряда факторов на основе приведенной в таблице информации. Укажите тип модели. Расчеты влияния факторов выполните способом цепных подстановок.
Таблица 3.1
Исходная информация для проведения факторного анализа
|
Показатель |
Идентификатор |
Предыдущий год |
Отчетный год |
|
Выручка от продаж, тыс. руб. |
N |
1020 |
1000 |
|
Материальные затраты, тыс. руб. |
М |
510 |
460 |
|
Материалоемкость продукции |
Г |
0,50 |
0,46 |
2. Способом долевого участия определите раздельное влияние изменения среднегодовой стоимости внеоборотных и оборотных активов на изменение рентабельности всех активов,
Таблица 3.2
Исходная информация для проведения факторного анализа
|
Показатель |
Идентификатор |
Предыдущий год |
Отчетный год |
Изменение (+;-) |
|
Чистая прибыль, тыс. руб. |
П |
8500 |
7300 |
|
|
Среднегодовая стоимость внеоборотных активов, тыс. руб. |
ВА |
55600 |
56300 |
|
|
Среднегодовая стоимость оборотных активов, тыс. руб. |
ОА |
46400 |
41 800 |
Определите при расчетах способом долевого участия долю прироста (снижения) каждого вида активов (в долях единицы) в общей сумме прироста всех активов. Затем величину влияния изменения стоимости активов на их рентабельность распределите пропорционально доле участия в этом каждого из видов активов.
3. Рассчитайте индексным методом влияние факторов (среднегодового дохода, приходящегося на одну акцию или облигацию торгового портфеля коммерческого банка, и количества ценных бумаг) на динамику среднего уровня годового дохода портфеля в целом.
Таблица 3.3
Исходная информация для проведения факторного анализа
|
Торговый портфель |
Предыдущий период |
Отчетный период |
||
|
Среднегодовой доход на одну ценную бумагу, руб. |
Количество ценных бумаг в портфеле, шт. |
Среднегодовой доход на одну ценную бумагу, руб. |
Количество ценных бумаг в портфеле, шт. |
|
|
Акции |
15 |
1000 |
18 |
950 |
|
Облигации |
200 |
100 |
220 |
90 |
4. Рассчитайте современное (приведенное к сегодняшнему дню) значение долга, если его полная сумма через 2 года составит 18 млн руб. Коэффициент дисконтирования равен 34%.
5. На депозит внесена сумма 600 тыс. руб. под 36% годовых. Начисление производится каждый месяц по схеме сложных процентов, т.е. годовая номинальная ставка применяется 12 раз в году. Ожидаемый месячный темп инфляции равен 4%. Определите наращенную сумму с учетом инфляции через 4 месяца. Рассчитайте эрозию капитала, т.е. уменьшение реальной стоимости суммы, вложенной на депозит.
6. Определите, будет ли эффективным инвестиционный проект, если первоначальная инвестиция составила 600 млн.руб., срок проекта 4 года; поступление доходов по годам: 250, 250, 110, 110 млн.руб., коэффициент дисконтирования — 19%