МИНИСТЕРСТВО ОБРАЗОВАНИЯ И НАУКИ РФ
ФЕДЕРАЛЬНОЕ АГЕНТСТВО ПО ОБРАЗОВАНИЮ
ГОСУДАРСТВЕННОЕ ОБРАЗОВАТЕЛЬНОЕ УЧРЕЖДЕНИЕ
ВЫСШЕГО ПРОФЕССИОНАЛЬНОГО ОБРАЗОВАНИЯ
ВСЕРОССИЙСКИЙ ЗАОЧНЫЙ ФИНАНСОВО-ЭКОНОМИЧЕСКИЙ ИНСТИТУТ
Кафедра Статистики
КУРСОВАЯ РАБОТА
по дисциплине «Статистика»
На тему
«Статистические методы изучения уровня и качества жизни населения».
Вариант №5
Исполнитель: Специальность: ФиК
Группа:
№ зачетной книжки
Руководитель:
Челябинск
2009
СОДЕРЖАНИЕ.
ВВЕДЕНИЕ………………………………………………………………… …….3
1. Статистические методы изучения уровня и качества жизни населения……………………….………………………………………………….4
1.1. Уровень жизни населения и субъекты его изучения……...…………….4
1.2. Социальные индикаторы качества жизни населения ………………....13
2. РАСЧЕТНАЯ ЧАСТЬ…………………………….…………………….........15
3. АНАЛИТИЧЕСКАЯ ЧАСТЬ…………………………………………………27
ЗАКЛЮЧЕНИЕ…………………………………………………………..……...30
СПИСОК ЛИТЕРАТУРЫ……………………………………………………….31
ПРИЛОЖЕНИЯ………………………………………………………………….32
ВВЕДЕНИЕ.
Уровень жизни — сложная категория, которая подразумевает множество аспектов. Это и степень удовлетворения потребностей людей в материальных благах, бытовых и культурных условиях, и возможности людей в их удовлетворении; это производная состояния здоровья, уровня образования, культуры; это размеры свободного времени и характер его использования и др.
Для характеристики уровня жизни статистика использует систему показателей, группируя их по аспектам изучаемой категории. При изучении уровня жизни население выступает в роли субъекта. В условиях рынка этот акцент становится особенно значимый. Статистика обязана предоставить информацию о демографической ситуации в стране, с тем чтобы ею управлять; методику расчета показателей по определению характеристик населения по разным параметрам; по расчетам перспективной численности населения для установления демографических тенденций и возможностей использования в будущем.
Такой базой данных являются все характеристики населения в статистике и динамике, что позволяет производителям товаров и услуг отыскивать столько клиентов, сколько нужно для реализации всего объема производимой продукции. Это способствует не только созданию и расширению спроса, но и изменению, а иногда и сокращению его исходя из демографической ситуации.
При изучении уровня жизни населения необходимо учитывать только первичные доходы, полученные ее резидентами, сумма которых за определенный период в рыночных ценах представляет национальный доход.
Для выполнения расчетно-аналитической части используются программные средства Microsoft World и Microsoft Excel.
1. Статистические методы изучения уровня и качества жизни населения.
1.1 Уровень жизни населения и субъекты его изучения.
Уровень жизни населения — это доходно-имущественные возможности населения, обеспечивающие удовлетворение его материальных и духовных потребностей при ограничениях, задаваемых стоимостью жизни.
Для характеристики уровня жизни населения статистические органы используют ряд показателей:
• интегральные индикаторы социального развития и уровня жизни населения;
• показатели личных доходов населения:
• показатели расходов и потребления населения;
• показатели дифференциации населения по уровню доходов.
К интегральным показателям Социального развития и уровня жизни населения относятся макроэкономические показатели доходов и расходов населения, демографические показатели и показатели экономической активности населения.
В отечественно статистику вводятся макроэкономические индикаторы уровня жизни населения, для расчета которых служит СИС:
• располагаемый доход домашних хозяйств;
• скорректированный располагаемый доход домашних хозяйств:
• реальный располагаемый доход домашних хозяйств:
• фактическое конечное потребление домашних хозяйств;
• индекс потребительских цен.
Под располагаемым доходом домашних хозяйств понимается сумма текущих доходов, которая может быть использована домашними хозяйствами для финансирования конечного потребления товаров и услуг или сбережения. В эту сумму включаются доходы от производственной деятельности, от собственности и текущие доходы, полученные
домашними хозяйствами в результате перераспределительных операций (текущие трансферты).
Назначение данного индикатора — показать, какой объем экономических ресурсов поступает в распоряжение населения и может быть использован им для удовлетворения своих потребностей.
Скорректированный располагаемый доход домашних хозяйств превышает располагаемый доход на величину социальных трансфертов в натуральной форме, которыми являются бесплатные или предоставляемые по льготным ценам услуги в области образования, культуры, здравоохранения, социального обеспечения, жилищно-коммунального хозяйства.
Реальный располагаемый доход домашних хозяйств равен располагаемому доходу текущего периода, скорректированному на индекс потребительских цен. Он отражает максимальную стоимость товаров и услуг. которые могли быть приобретены домашними хозяйствами на свои текущие доходы исходя из цен базисного периода, не прибегая к использованию своих накопленных финансовых или нефинансовых активов и не увеличивая свои финансовые обязательства.
Фактическое конечное потребление домашних хозяйств - это стоимость товаров и услуг, фактически приобретенных домашними хозяйствами-резидентами за счет текущих доходов для индивидуального потребления или полученных ими от государственных учреждений или некоммерческих организаций бесплатно или по льготным ценам в виде социальных трансфертов.
Индекс потребительских цен (ИПЧ) предназначен для характеристики изменения во времени общего уровня цен на товары и услуги, приобретаемые населением для непроизводственного потребления. Изменение общего уровня потребительских цен оценивается на основе сопоставления стоимости фиксированного набора товаров и услуг, называемого потребительской корзиной. Индексы потребительских цен исчисляются как для всего населения, так и по отдельным группам с учетом специфики их потребительских расходов (по группам пенсионеры, «домохозяйства с доходами ниже прожиточного минимума» и пр.).
Показателе демографической ситуации в стране также относятся к группе интегральных индикаторов социального развития и уровня жизни населения — это уровень и динамика численности постоянного населения, общие коэффициент рождаемости и смертности, коэффициенты детской смертности, ожидаемая продолжительность жизни, показатели миграции населения.
Показатели экономической активности населения характеризуют численность и состав экономически активного населения, численность и состав занятого населения, соотношение численность занятых в экономике и общей численности населения, численность и состав безработных, уровень безработицы.
Показатели личных доходов населения. Существует два подхода к исследованию личных доходов населения: баланс денежных доходов и расходов населения я выборочное обследование бюджетов домашних хозяйств.
Источниками информации для составления баланса денежных доходов и расходов населения служат статистическая и финансовая отчетности субъектов экономической деятельности являющихся единицами статистического наблюдения, а также специальные обследования. данные налоговых служб и экспертные оценки.
Руководствуясь данными баланса денежных доходов и расходов населения, определяют общую сумму денежных доходов всего населения, а на ее основе — среднедушевой денежный доход.
В доходной части баланса денежных доходов и расходов населения отражаются следующие виды денежных доходов населения:
• оплата труда наемных работников в денежной и натуральной форме со всеми надбавками, относящимися к фонду заработной платы:
• доходы наемных работников, не относящиеся к фонду заработной платы;
• дивиденды;
• поступления от продажи продуктов сельского хозяйства предприятиями и организациями;
• пенсии, пособия, стипендии и другие поступления из финансовой системы:
• доходы населения от продажи валюты:
• доходы от предпринимательской деятельности некорпорированных предприятий, принадлежащих домашним хозяйствам;
• другие поступления.
Среднедушевые денежные доходы рассчитываются как отношение общей суммы денежных доходов населения за текущий период к среднегодовой численности населения за тот же период.
На основе величины совокупных денежных доходов населения проводится расчет располагаемых денежных доходов путем вычитания обязательных платежей и взносов.
Индексы реальных денежных доходов и реальных располагаемых доходов определяются путем деления соответствующих индексов денежных доходов населения в номинальном выражении на индекс потребительских цен:
![]()
где
— индекс реальных доходов;
— индекс номинальных доходов;
—
индекс потребительских цен.
Обследование бюджетов домашних хозяйств (второй метод определения доходов населения) представляет собой специально организованное выборочное наблюдение путем непосредственного опроса членов домашних хозяйств, вошедших в выборочную совокупность.
Один из недостатков данного обследования практически полное отсутствие в выборочной совокупности домашних хозяйств с наиболее высокими доходами, что приводит к наличию систематических ошибок показателей.
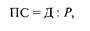
При изучении уровня жизни большое значение имеют не только размер денежных доходов, но и потенциальная возможность их использования на приобретение товаров и услуг, т. е. покупательная способность денежных доходов. Уровень покупательной способности денежных доходов может быть измерен либо количеством определенного вида товара (услуги), либо количеством фиксированного набора товаров и услуг, которые можно приобрести на сумму среднедушевого денежного дохода:
![]()
где ПС — покупательная способность среднедушевого денежного дохода населения в целом или отдельной группы, исчисленная в виде товарного эквивалента по конкретному товару услуге или количества определенного набора товаров и услуг;
Д — величина среднедушевого денежного дохода населения в целом или отдельной его группы;
Р – средняя пена товара, услуги или стоимость определенного набора товаров и услуг
Показатели расходов и потребления населения. Объем потребления населением материальных благ и услуг определяемый по балансу денежных доходов и расходов населения, является наиболее обобщающим показателем потребления, поскольку баланс позволяет проанализировать структуру потребления населения.
Денежные расходы населения сгруппированы следующим образом:
• покупка товаров и оплата услуг;
• обязательные платежи и добровольные взносы:
• прирост сбережений во вкладах и ценных бумагах;
• покупка недвижимости:
• расходы населения на приобретение иностранной валюты;
• деньги, отосланные по переводам (за вычетом отосланных сумм).
Потребительскими расходами населения называется только та часть денежных расходов, которая направляется домашними хозяйствами непосредственно на приобретение потребительских товаров и личных слуг для текущего потребления.
Состав потребительских расходов домашних хозяйств складывается из расходов на:
• покупку продуктов для питания дома;
• питание вне дома;
• покупку непродовольственных товаров;
• покупку алкогольных напитков;
• оплату услуг (жилья, коммунальных, бытовых, медицинских услуг, образования, услуг учреждений культуры и др.).
Основная задача при изучении объемов потребления — сравнение фактического потребления с существующими нормативами, одним из основных нормативов является величина прожиточного минимума (минимального потребительского бюджета)
Прожиточный минимум исчисляется по различным социально-демографическим группам населения (трудоспособное население с разбивкой по полу и возрасту), пенсионеры, дети двух возрастных групп (0—6 лет и 7—15 лет), а также по регионам России и определяется как сумма стоимостной оценки установленного набора продуктов питания, расходов на непродовольственные товары в услуги, налогов и обязательных платежей:
![]()
где А — величина прожиточного минимума;
В—стоимость минимальной
продовольственной корзины:
(где
- норматив потребления i—го продукта питания,
а
-
средняя цена i-го продукта питания);
С— стоимостная оценка потребления непродовольственных товаров;
D – стоимостная оценка расходов на платные услуги;
Е— расходы на налоги и обязательные платежи.
Расчет последних трех компонентов производится на основе структуры прожиточного минимума, устанавливаемой в соответствии с данными о фактической структуре расходов в бюджетах наименее обеспеченного населения, которое составляет 10%.
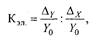
На основе информации о доходах и расходах населения рассчитывается коэффициент эластичности потребительских расходов населения по доходам, характеризующий, на сколько процентов изменяются расходы населения при изменении их доходов на 1%:
![]()
где
—
абсолютный прирост расходов населения по сравнению с базисным периодом;
— абсолютное изменение доходов
населения по сравнению с базисным периодом;
— величина расходов в базисном
периоде;
— величина доходов в базисном
периоде.
Показатели дифференциации населения по уровню доходов. Основу измерения экономической дифференциации населения составляет анализ неравенства распределения доходов между отдельными группами населения. для оценки дифференциации населения по уровню жизни используются следующие показатели:
• распределение населения по уровню среднедушевых доходов;
• коэффициенты дифференциации доходов населения;
• распределение общего объема денежных доходов по различным группам населения;
• коэффициент концентрации доходов (индекс Джини);
• численность населения с доходами ниже черты бедности, коэффициент бедности.
Для изучения особенностей дифференциации населения по уровню доходов используются структурные характеристики рядов распределения: мода, медиана, квартили, децили и другие, — а также показателей вариации (среднего квадратического отклонения σ среднего квадратического отклонения Q, коэффициента вариации Кv, и др.).
Степень дифференциации населения по размеру среднедушевого дохода оценивается с помощью коэффициентов дифференциации доходов. Различают два показателя дифференциации:
• коэффициент фондовой дифференциации (Кф) это соотношение между средними значениями доходов сравниваемых групп населения (обычно это полученные средние доходы из 10% населения с самыми высокими и самыми низкими доходами):
![]()
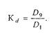
• децильный коэффициент дифференциации доходов (Кd), который показывает, во сколько раз минимальный доход среди 10% самого обеспеченного населения превышает максимальный доход среди 10% наименее обеспеченного населения: он исчисляется сопоставлением девятого и первого децилей:
![]()
Коэффициентом бедности называют относительный показатель, исчисляемый как процентное отношение численности населения, имеющего уровень доходов ниже прожиточного минимума, к общей численности населения страны (региона).
1.2. Социальные индикаторы качества жизни населения.
Социальные индикаторы качества жизни населения. Для качественной характеристики условий жизни населения необходимо использовать показатели социальной статистики, дающие представление о качестве жизни.
Разработка подходов к построению обобщающих показателей, позволяющих дать количественную оценку уровня и качества жизни, является задачей статистики социальной сферы. В настоящее время ООН разработана концепция уровня жизни, в которую включены следующие основные составляющие:
1. Здоровье:
• качество системы здравоохранения;
• обеспечение здоровой жизни человека.
2. Обеспечение получения знаний:
• обучение детей;
• возможность обучения личности;
• возможность поддержания знаний;
• удовлетворенность человека от уровня своего развития.
3. Сохранение и обогащение культурного уровня.
4. Занятость и качество трудовой жизни.
5. Возможность приобретения товаров и пользования услугами:
• уровень личного дохода и владение собственностью;
• степень равенства в распределении доходов и собственности;
• качество, разнообразие и доступность услуг для личного и общественного потребления.
б. Состояние окружающей среды.
7. Личная безопасность и правосудие.
8. Участие в общественной жизни.
Для изучения такой составляющей уровня жизни, как здоровье населения, необходимо иметь информацию о продолжительности жизни, уровне смертности, распространенности юности и частоте возникновения заболеваний по населению в целом и его демографическим группам, уровне развития лечебно-профилактической помощи населению. Показателями уровня развития лечебно-профилактической помощи населению являются число медицинских учреждений, число больничных коек, а также численность медицинского персонала на 10 тыс., человек и ряд других показателей.
Для характеристики состояния образования в стране используются такие показатели, как численность и состав образовательных учреждений, численность контингента обучающихся, численность и качественный состав преподавательского состава, обеспеченность техническими средствами обучения, библиотечными фондами и др. Уровень образования населения измеряется следующими показателями:
• число грамотных на 100 человек в возрасте от 9 до 49 лет;
• число лиц, имеющих определенный уровень образования (высшее, незаконченное высшее, среднее специальное, среднее общее, неполное среднее, начальное) на 1000 человек в возрасте от 15 лет и старше. Уровень образования определяется для всего населения, для мужчин и женщин и для различных возрастных групп населения.
Важным аспектом изучения уровня благосостояния населения является характеристика его обеспеченности информацией, степени развития сети учреждений отдыха и туризма, сети спортивных сооружений, учреждений культуры и искусства.
Огромное влияние на качество жизни оказывает состояние окружающей среды. В связи с этим необходима информация о качестве среды обитания: воды, почвы, воздуха, о соответствии фактических уровней их загрязнения нормативным показателям.
В последние годы ХХ в. стала широко обсуждаться концепция человеческого развития, в которой подчеркивалась необходимость создания условий, в которых жизнь людей была бы долгой, здоровой и наполненной творчеством.
Основная проблема при изучении человеческого развития — построение наиболее полной системы показателей опенки, поскольку понятие «человеческое развитие» является чрезвычайно разносторонним.
В качестве обобщающей характеристики используется индекс человеческого развития ИЧР, который, однако, не может отразить все аспекты жизнедеятельности человека и является альтернативным показателем ВНП на душу населения, который служит измерителем благосостояния, экономического благополучия.
Индекс человеческого развития рассчитывается на основе базовых показателей, определяемых для всех стран по сопоставимой методике, каждый из которых характеризует одно из направлений человеческого развития — долголетие, достигнутый уровень образования и уровень жизни; ИЧР позволяет не только сравнивать страны и регионы, но и обосновывать приоритеты их развития.
РАСЧЕТНАЯ ЧАСТЬ.
Имеются следующие данные по домашним хозяйствам населения района (выборка 1%-ная механическая), тыс. руб.:
|
№ домохозяйства п/п |
В среднем на одного члена домохозяйства в год |
|
|
Валовой доход |
Расходы на продукты питания |
|
|
1 |
35,8 |
14,9 |
|
2 |
65,1 |
22,2 |
|
3 |
22,1 |
10,2 |
|
4 |
26,3 |
12,4 |
|
5 |
39,0 |
16,1 |
|
6 |
40,0 |
16,6 |
|
7 |
46,2 |
18,4 |
|
8 |
42,0 |
17,4 |
|
9 |
82,1 |
25,2 |
|
10 |
75,0 |
24,3 |
|
11 |
68,8 |
22,2 |
|
12 |
67,0 |
23,0 |
|
13 |
41,0 |
17,1 |
|
14 |
57,0 |
20,5 |
|
15 |
46,7 |
18,6 |
|
16 |
53,8 |
20,5 |
|
17 |
67,8 |
23,2 |
|
18 |
54,5 |
19,9 |
|
19 |
37,9 |
17,7 |
|
20 |
48,3 |
19,3 |
|
21 |
29,9 |
13,4 |
|
22 |
56,0 |
20,0 |
|
23 |
50,6 |
20,3 |
|
24 |
48,0 |
18,6 |
|
25 |
34,5 |
14,8 |
|
26 |
45,0 |
18,0 |
|
27 |
58,4 |
21,0 |
|
28 |
48,6 |
17,8 |
|
29 |
46,8 |
18,4 |
|
30 |
26,5 |
11,6 |
Задание 1
Признак – валовой доход в среднем на одного члена домохозяйства в год.
Число групп – пять.
Задание 2
Связь между признаками – валовой доход и расходы на продукты питания в среднем на одного члена домохозяйства в год..
Задание 3.
По результатам выполнения задания 1 с вероятностью 0,954 определите:
1. Ошибку выборки среднего валового дохода на одного члена домохозяйства в год и границы, в которых он будет находиться в генеральной совокупности.
2. Как изменится объем выборки при той же вероятности, если предельная ошибка выборки составит 3,5 тыс. руб.
Задание 4.
Имеются следующие данные по региону о площади жилого фонда по формам собственности (млн. кв. м.) и численности населения (тыс. чел.):
|
Показатели |
На конец года |
|
|
Базисного |
Отчетного |
|
|
Городской жилой фонд – всего |
16,2 |
19,5 |
|
В том числе: Частный |
3,2 |
9,8 |
|
Государственный |
6,9 |
1,3 |
|
Муниципальный |
5,4 |
7,9 |
|
Общественный |
0,6 |
0,3 |
|
Смешанной формы собственности |
0,1 |
0,2 |
|
Сельский жилой фонд – всего |
10,8 |
9,5 |
|
В том числе: Частный |
6,0 |
7,2 |
|
Государственный |
3,8 |
1,0 |
|
Муниципальный |
0,7 |
0,9 |
|
Общественный |
0,2 |
0,1 |
|
Смешанной формы собственности |
0,1 |
0,3 |
|
Численность населения |
||
|
Городского |
1003 |
1022 |
|
Сельского |
472 |
378 |
Определите:
1. Индексы динамики жилого фонда в городской и сельской местностях и в целом по региону.
2. Изменение общей площади жилого фонда в отчетном году по сравнению с базисным в относительных и абсолютных величинах за счет отдельных факторов:
- Обеспеченности жильем;
- Влияния структурных изменений в размещении населения по территории региона;
- Изменения численности населения.
Сделайте выводы.
Решение:
Задание 1
Признак – валовой доход в среднем на одного члена домохозяйства в год.
Число групп – пять.
Таблица №1
Данные о домохозяйствах.
|
№ домохозяйства п/п |
В среднем на одного члена домохозяйства в год |
||
|
Валовой доход х |
Расходы на продукты питания у |
y2 |
|
|
1 |
35,8 |
14,9 |
222,01 |
|
2 |
65,1 |
22,2 |
492,84 |
|
3 |
22,1 |
10,2 |
104,04 |
|
4 |
26,3 |
12,4 |
153,76 |
|
5 |
39,0 |
16,1 |
259,21 |
|
6 |
40,0 |
16,6 |
275,56 |
|
7 |
46,2 |
18,4 |
338,56 |
|
8 |
42,0 |
17,4 |
302,76 |
|
9 |
82,1 |
25,2 |
635,04 |
|
10 |
75,0 |
24,3 |
590,49 |
|
11 |
68,8 |
22,2 |
492,84 |
|
12 |
67,0 |
23,0 |
529,00 |
|
13 |
41,0 |
17,1 |
292,41 |
|
14 |
57,0 |
20,5 |
420,25 |
|
15 |
46,7 |
18,6 |
345,96 |
|
16 |
53,8 |
20,5 |
420,25 |
|
17 |
67,8 |
23,2 |
538,24 |
|
18 |
54,5 |
19,9 |
396,01 |
|
19 |
37,9 |
17,7 |
313,29 |
|
20 |
48,3 |
19,3 |
372,49 |
|
21 |
29,9 |
13,4 |
179,56 |
|
22 |
56,0 |
20,0 |
400,00 |
|
23 |
50,6 |
20,3 |
412,09 |
|
24 |
48,0 |
18,6 |
345,96 |
|
25 |
34,5 |
14,8 |
219,04 |
|
26 |
45,0 |
18,0 |
324,00 |
|
27 |
58,4 |
21,0 |
441,00 |
|
28 |
48,6 |
17,8 |
316,84 |
|
29 |
46,8 |
18,4 |
338,56 |
|
30 |
26,5 |
11,6 |
134,56 |
|
Итого |
1460,7 |
553,6 |
10606,62 |
Строим статистический ряд распределения по признаку – валовой доход в среднем на одного члена домохозяйства в год, образовав заданное число групп с равными интервалами.
Находим шаг интервала:
,
где n – количество групп (n=5)
xmax=82,1
xmin=22,1
тыс. руб.
Ι 22,1 – 34,1
ΙΙ 34,1 – 46,1
ΙΙΙ 46,1 – 58,1
ΙV 58,1 – 70,1
V 70,1 – 82,1
Таблица №2
Рабочая таблица.
|
№ п/п |
Группы домохозяйства |
№ домохозяйства |
В среднем на одного члена домохозяйства в год |
|
|
Валовой доход |
Расходы на продукты питания |
|||
|
Ι |
22,1 – 34,1 |
№3 №4 №21 №30 |
22,1 26,3 29,9 26,5 |
10,2 12,4 13,4 11,6 |
|
Итого по Ι |
4 |
104,8 |
47,6 |
|
|
ΙΙ |
34,1 – 46,1 |
№1 №5 №6 №8 №13 №25 №26 №19 |
35,8 39,0 40,0 42,0 41,0 34,5 45,0 37,9 |
14,9 16,1 16,6 17,4 17,1 14,8 18,0 17,7 |
|
Итого по ΙΙ |
8 |
315,2 |
132,6 |
|
|
ΙΙΙ |
46,1 – 58,1 |
№7 №14 №15 №16 №18 №20 №22 №23 №24 №28 №29 |
46,2 57,0 46,7 53,8 54,5 48,3 56,0 50,6 48,0 48,6 46,8 |
18,4 20,5 18,6 20,5 19,9 19,3 20,0 20,3 18,6 17,8 18,4 |
|
Итого по ΙΙΙ |
11 |
556,5 |
212,3 |
|
|
ΙV |
58,1 – 70,1 |
№2 №11 №12 №17 №27 |
65,1 68,8 67,0 67,8 58,4 |
22,2 22,2 23,0 23,2 21,0 |
|
Итого по ΙV |
5 |
327,1 |
111,6 |
|
|
V |
70,1 – 82,1 |
№9 №10 |
82,1 75,0 |
25,2 24,3 |
|
Итого по V |
2 |
157,1 |
49,5 |
|
|
Всего |
30 |
1460,7 |
553,6 |
Таким образом, имеем следующее распределение банков по группам.
Таблица №3
Ряд распределения.
|
№ банка по п/п |
Группа банков |
Число банков |
Накопленные частоты |
||
|
абс. |
в % к итогу |
||||
|
Ι |
22,1-34,1 |
4 |
13,3 |
4 |
|
|
ΙΙ |
34,1-46,1 |
8 |
26,6 |
12 |
|
|
ΙΙΙ |
46,1-58,1 |
11 |
36,7 |
23 |
|
|
ΙV |
58,1-70,1 |
5 |
16,7 |
28 |
|
|
V |
70,1-82,1 |
2 |
6,7 |
30 |
|
|
Итого |
30 |
100 |
- |
||
Графически определим значение моды и медианы.
,
Где xMo – нижняя граница модального интервала;
IMo – модальный интервал; fMo – частота модального интервала;
fMo-1 – частота интервала, стоящего перед модальной частотой;
fMo+1 – частота интервала, стоящего после модальной частоты.
(тыс. руб.) - значение
случайной величины, встречающееся с наибольшей вероятностью.
Графическое нахождение моды:
Рисунок №1

Для интервальных вариационных рядов медиана рассчитывается по формуле:
![]()
где Me – медиана;
xMe- нижняя граница медианного интервала;
IMe – величина медианного интервала;
- сумма частот ряда;
SMe-1 – сумма накопленных частот ряда, предшествующих медианному интервалу;
fMe – частота медианного интервала.
Me=46,1+12,0
48,9 (тыс. руб.)
![]()
,
где NMe – номер медианы;
Σf – сумма частот ряда.
Графическое нахождение медианы.
Рисунок №2

Таблица №4
Расчетная таблица для характеристик ряда распределения.
|
№ п/п |
Группа банков |
Кол-во банков f |
Середина интервала xi |
xifi |
xi- |
(xi- |
(xi- |
|
Ι ΙΙ ΙΙΙ ΙV V |
22,1-34,1 34,1-46,1 46,1-58,1 58,1-70,1 70,1-82,1 |
4 8 11 5 2 |
28,1 40,1 52,1 64,1 76,1 |
112,4 320,8 573,1 320,5 152,2 |
-21,2 -9,2 2,8 14,8 26,8 |
449,44 84,64 7,84 219,04 718,24 |
1797,76 677,12 86,24 1095,2 1436,48 |
|
Итого |
30 |
- |
1479,0 |
- |
- |
5092,8 |
Средняя равна:

(тыс. руб.)
Находим значение дисперсии по формуле:

Вычисляем среднее квадратическое отклонение по формуле:

![]()
Находим коэффициент вариации по формуле:
![]()
![]()
Средняя арифметическая простая:
![]()
![]()
Задание 2
Связь между признаками – валовой доход и расходы на продукты питания в среднем на одного члена домохозяйства в год..
Таблица №5
Группировка домохозяйств по валовому доходу и расходами на продукты питания в среднем на одного человека.
|
№ п/п |
Группа домохозяйств |
Число домохозяйств |
В среднем на одного члена домохозяйства в год |
|||
|
Валовой доход |
Расходы на продукты питания |
|||||
|
Всего |
В среднем на 1 домохозяйство |
Всего |
В среднем на 1 домохозяйство |
|||
|
А |
Б |
1 |
2 |
3 |
4 |
5 |
|
Ι ΙΙ ΙΙΙ ΙV V |
22,1-34,1 34,1-46,1 46,1-58,1 58,1-70,1 70,1-82,1 |
4 8 11 5 2 |
104,8 315,2 556,5 327,1 157,1 |
26,2 39,4 50,6 65,4 78,6 |
47,6 132,6 212,3 111,6 49,5 |
11,9 16,6 19,3 22,3 24,6 |
|
Итого |
30 |
1460,7 |
48,7 |
553,6 |
18,5 |
От группы к группе увеличивался валовой доход.
Для установления связи между факторным и результативным признаками строим аналитическую таблицу.
Таблица №6
Аналитическая таблица.
|
№ п/п |
Группа домохозяйств |
Число домохозяйств |
Расходы на продукты питания |
|
|
|
|
|
Всего |
В среднем на 1 домохозяйство |
||||||
|
А |
Б |
1 |
2 |
3 |
4 |
5 |
6 |
|
Ι ΙΙ ΙΙΙ ΙV V |
22,1-34,1 34,1-46,1 46,1-58,1 58,1-70,1 70,1-82,1 |
4 8 11 5 2 |
47,6 132,6 212,3 111,6 49,5 |
11,9 16,6 19,3 22,3 24,6 |
-6,6 -1,9 0,8 3,8 6,1 |
43,56 3,61 0,64 14,44 37,21 |
174,24 28,88 7,04 72,20 74,42 |
|
Итого |
30 |
553,6 |
18,5 |
- |
- |
356,78 |
- межгрупповая дисперсия.
![]()
- общая дисперсия.
![]()
![]()
или 91% - вариация расходов
на продукты питания от валового дохода составляет 91%, а остальное – 9% это
прочие факторы – коэффициент детерминации.

![]()
Построим корреляционную таблицу, образовав 5 групп по факторному и результативному признакам.
Таблица №7
Распределение домохозяйств по валовому доходу и расходами на продукты питания.
|
Валовой доход |
Расходы на продукты питания |
Итого |
||||
|
10,2-13,2 |
13,2-16,2 |
16,2-19,2 |
19,2-22,2 |
22,2-25,2 |
||
|
22,1-34,1 34,1-46,1 46,1-58,1 58,1-70,1 70,1-82,1 |
3 |
1 3 |
5 5 |
6 3 |
2 2 |
4 8 11 5 2 |
|
Итого |
3 |
4 |
10 |
9 |
4 |
30 |
Задание 3.
По результатам выполнения задания 1 с вероятностью 0,954 определите:
1. Ошибку выборки среднего валового дохода на одного члена домохозяйства в год и границы, в которых он будет находиться в генеральной совокупности.
При бесповторном случайном отборе предельная ошибка выборки определяется по формуле:
,
где
- дисперсия выборочной
совокупности;
- численность выборки;
- коэффициент доверия,
который определяется по таблице значений интегральной функции Лапласа при
заданной вероятности (Р);
- численность
генеральной совокупности.
P=0,954 → t=2
![]()
Средняя величина кредитов будет находиться в границах:
![]()
![]()
![]()
2. Как изменится объем выборки при той же вероятности, если предельная ошибка выборки составит 3,5 тыс. руб.
АНАЛИТИЧЕСКАЯ ЧАСТЬ.
Имеются данные по двум конкурирующим фирмам, на основании которых требуется установить:
1 Фонд заработной платы, которым может располагать каждая фирма в соответствии с предполагаемыми результатами ее производственной деятельности;
2. Суммы экономии или перерасхода фонда зарплаты по каждой фирме.
Решение:
1. Фонд заработной платы, которым может располагать каждая фирма в соответствии с предполагаемыми результатами ее производственной деятельности:
Таблица №1

Определяем фонд зарплаты, который фирма предполагает израсходовать в отчетный период, исходя из предполагаемого объема производства. Для этого, прежде всего, следует определить индексы физического объема выпуска продукции в отчетном периоде по сравнению с базисным, по формуле:

Таблица №2
В первой фирме:

Во второй фирме:


Таким образом, фирма 1 предполагает наращивать объемы производства на 5,77%, а фирма 2, напротив, сворачивать их на 3,1%.
2. Суммы экономии или перерасхода фонда зарплаты по каждой фирме.
на 3,1%.
Исходя из ситуации с предполагаемой производственной программой, устанавливаем фонд зарплаты, которым фирмы могут располагать. Фонд этот увеличивается или уменьшается по сравнению с фондом, фактически достигнутым в базисном периоде на каждый процент роста (уменьшения) предполагаемого к выполнению объема производства.
Фирма 1: 1,4 - 1,0577 = 1,479 млн. ден. ед.
Фирма 2: 1,38 - 0,969 = 1,337 млн. ден. ед.
Таким образом, фонд зарплаты для фирмы 1 возрастает до 1,479 млн. ден. ед., а для фирмы 2 снизится до 1,337 млн. ден. ед., исходя из предполагаемого изменения объемов производства.
ЗАКЛЮЧЕНИЕ.
Объем потребления населением материальных благ и услуг определяемый по балансу денежных доходов и расходов населения, является наиболее обобщающим показателем потребления, поскольку баланс позволяет проанализировать структуру потребления населения.
Основу измерения экономической дифференциации населения составляет анализ неравенства распределения доходов между отдельными группами населения.
Для качественной характеристики условий жизни населения необходимо использовать показатели социальной статистики, дающие представление о качестве жизни.
Разработка подходов к построению обобщающих показателей, позволяющих дать количественную оценку уровня и качества жизни, является задачей статистики социальной сферы.
Для характеристики состояния образования в стране используются такие показатели, как численность и состав образовательных учреждений, численность контингента обучающихся, численность и качественный состав преподавательского состава, обеспеченность техническими средствами обучения, библиотечными фондами и др.
Для изучения такой составляющей уровня жизни, как здоровье населения, необходимо иметь информацию о продолжительности жизни, уровне смертности, распространенности юности и частоте возникновения заболеваний по населению в целом и его демографическим группам, уровне развития лечебно-профилактической помощи населению.
СПИСОК ЛИТЕРАТУРЫ
1. Ряузов Н.Н. Общая теория статистики: Учебник для студ. экон. спец. вузов. – 3-е изд., перераб. и доп. – М.: Статистика, 1979.
2. Шмайлов Р.А. Практикум по теории статистики. Учеб. пособие. – М.: Финансы и статистика, 2000
3. Елисеева И.И. Статистика. – М.: ТК Велби. Проспект, 2002
4. Харченко Л.П., Долженков В.Г., Ионин В.Г. и др. Статистика: курс лекций / Под ред. НГАЭ и У. М.: ИНФРА – М, 1997
5. Харламов А.И., Башина О.Э., Бабурин В.Т., и др. Общая теория статистики. Статистическая методология в изучении коммерческой деятельности: Учебник/Под ред. А.А. Спирина, О.Э. Башиной – м.: Финансы и Статистика, 1996
ПРИЛОЖЕНИЕ
ОСНОВНЫЕ СОЦИАЛЬНО-ЭКОНОМИЧЕСКИЕ ИНДИКАТОРЫ УРОВНЯ ЖИЗНИ НАСЕЛЕНИЯ
|
|
1992 |
1995 |
2000 |
2001 |
2002 |
2003 |
2004 |
2005 |
2006 |
|
Фактическое конечное потребление домашних хозяйств (в текущих ценах), млрд. руб. (до 2000 г. - трлн. руб.) |
7,9 |
871,6 |
3813,5 |
5013,8 |
6390,0 |
7709,6 |
9814,4 |
12419,3 |
15212,8 |
|
в процентах к ВВП |
42,8 |
61,1 |
52,3 |
55,8 |
59,3 |
58,0 |
57,6 |
57,4 |
57,3 |
|
в процентах к предыдущему году 1) |
97,3 |
97,4 |
105,9 |
108,2 |
107,7 |
106,7 |
110,2 |
111,4 |
109,9 |
|
на душу населения, руб. (до 2000 г. - тыс. руб.) |
53 |
5874 |
26014 |
34637 |
43976 |
53330 |
68240 |
86779 |
106766 |
|
Среднедушевые денежные доходы населения (в месяц), руб.(до 2000 г. - тыс. руб.) |
4,0 |
515,9 |
2281 |
3062 |
3947 |
5170 |
6410 |
8023 |
9947 |
|
Реальные располагаемые денежные доходы, в процентах к предыдущему году |
52 |
85 |
112 |
109 |
111 |
115 |
110 |
111 |
110 |
|
Среднемесячная номинальная на- численная заработная плата работников организаций, руб. (до 2000 г. - тыс. руб.) |
6,0 |
472,4 |
2223,4 |
3240,4 |
4360,3 |
5498,5 |
6739,5 |
8554,9 |
10727,7 |
|
Реальная начисленная заработная плата, в процентах к предыдущему году |
67 |
72 |
121 |
120 |
116 |
111 |
111 |
113 |
113 |
|
Средний размер назначенных месячных пенсий 2), руб. (до 2000 г. - тыс. руб.) |
1,6 |
188,1 |
694,3 |
1024 |
1379 |
1637 |
1915 |
2364 |
2726 |
|
Реальный размер назначенных месячных пенсий 2) , в процентах к предыдущему году |
52 |
81 |
128 |
121 |
116 |
105 |
106 |
110 |
105 |
|
Величина прожиточного минимума3) (в среднем на душу населения): |
|
|
|
|
|
|
|
|
|
|
руб. в месяц (до 2000 г. - тыс. руб.) |
1,9 |
264 |
1210 |
1500 |
1808 |
2112 |
2376 |
... |
... |
|
в процентах к предыдущему году |
... |
305 |
1204) |
124 |
121 |
117 |
113 |
... |
... |
|
Соотношение с величиной прожиточного минимума5), процентов: |
|
|
|
|
|
|
|
|
|
|
среднедушевых денежных доходов |
211 |
195 |
189 |
205 |
218 |
245 |
240 |
... |
... |
|
среднемесячной номинальной начисленной заработной платы |
281 |
159 |
168 |
199 |
222 |
239 |
263 |
... |
... |
|
среднего размера назначенных месячных пенсий2) |
119 |
101 |
76 |
90 |
100 |
102 |
106 |
... |
... |
|
Численность населения с денежными доходами ниже величины прожиточного минимума: |
|
|
|
|
|
|
|
|
|
|
млн. человек |
49,3 |
36,5 |
42,3 |
40,0 |
35,6 |
29,3 |
25,2 |
... |
... |
|
в процентах от общей численности населения |
33,5 |
24,8 |
29,0 |
27,5 |
24,6 |
20,3 |
17,6 |
... |
... |
|
в процентах к предыдущему году |
... |
110,9 |
84,94) |
94,6 |
89,0 |
82,3 |
86,0 |
... |
... |
|
Дефицит денежного дохода малоимущего населения: |
|
|
|
|
|
|
|
|
|
|
млрд. руб. (до 2000 г. - трлн. руб.) |
0,4 |
34,9 |
199,2 |
238,6 |
250,5 |
235,4 |
225,6 |
... |
... |
|
в процентах от общего объема денежных доходов населения |
6,2 |
3,9 |
5,0 |
4,5 |
3,7 |
2,6 |
2,1 |
... |
... |
|
Коэффициент фондов (коэффициент дифференциации доходов), в разах |
8,0 |
13,5 |
13,9 |
13,9 |
14,0 |
14,5 |
15,2 |
14,9 |
15,3 |
|
Минимальный размер оплаты труда (в среднем за год), руб. (до 2000 г. - тыс. руб.) |
0,7 |
42,5 |
107,8 |
250,0 |
400,0 |
487,5 |
600,0 |
746,7 |
1000,0 |
|
Реальный размер минимальной оплаты труда, в процентах к предыдущему году |
41,5 |
81,4 |
106,9 |
190,9 |
138,2 |
107,2 |
111,0 |
110,4 |
122,1 |
|
Тарифная ставка (оклад) 1 разряда ЕТС по оплате труда работников бюджетной сферы (с учетом доплаты; в среднем за год), руб. (до 2000 г. - тыс. руб.) |
1,8 |
58,5 |
126,5 |
262,5 |
450,0 |
487,5 |
600,0 |
746,7 |
1000,0 |
|
Реальный размер тарифной ставки (оклада) 1 разряда ЕТС, в процентах к предыдущему году |
- |
71,5 |
99,8 |
170,8 |
148,1 |
95,3 |
111,0 |
110,4 |
122,1 |
1) В сопоставимых ценах. 2) 1995, 2000 г. - с учетом компенсации. 3) С 2000 г. в связи с изменением нормативной правовой базы и методологии расчета величины прожиточного минимума (см. методологические пояснения на стр. 99) публикуется оценка на основе данных, установленных Правительством Российской Федерации за I-IV кварталы соответствующего года. 4) В сопоставимой методологии исчисления величины прожиточного минимума. 5) Соответствующей социально-демографической группы