Оглавление
1. Финансовая отчетность, пользователи финансовой отчетности
в системе финансового менеджмента………………………………….3
2. Операционный рычаг: понятие, оценка уровня,
эффект операционного рычага, запас финансовой
прочности предприятия, организации………………………………….6
Задачи……………………………………………………………………...13
Список использованной литературы…………………………………….18
1. Финансовая отчетность, пользователи финансовой отчетности в системе финансового менеджмента
В сегодняшних условиях для большинства предприятий характерна «реактивная» форма управления деятельностью, т.е. принятие управленческих решений как реакция на текущие проблемы. Такая форма управления порождает ряд противоречий между: интересами предприятия и фискальными интересами государства; ценой денег и рентабельностью производства; рентабельностью собственного капитала и рентабельностью финансовых рынков; интересами производства и финансовой службы и т. д.
Анализ финансовой отчетности выступает как инструмент для выявления проблем управления финансово-хозяйственной деятельностью, для выбора направлений инвестирования капитала и прогнозирования отдельных показателей.
Пользователь финансовой отчетности - юридическое или физическое лицо, заинтересованное в информации об организации [3].
Работа по анализу финансовой отчетности должна удовлетворять многим требованиям. Круг пользователей содержащейся в финансовых документах информации включает различные категории - от серьезных аналитиков до случайных «любителей». Все они пользуются информацией о вашей организации, но с разной степенью понимания и компетенции. В ПБУ 4/99 пользователь финансовой отчетности определен как юридическое или физическое лицо, заинтересованное в информации об организации.
Финансовая отчетность в России представляет интерес для двух групп внешних и одной группы внутренних пользователей.
Внешние пользователи:
1. Пользователи, непосредственно заинтересованные в деятельности организации;
2. Пользователи, опосредованно заинтересованные в ней.
К первой группе внешних пользователей относятся следующие пользователи:
1) государство, прежде всего, в лице налоговых органов, которые проверяют правильность составления отчетных документов, расчета налогов, определяют налоговую политику;
2) существующие и потенциальные кредиторы, использующие отчетность для оценки целесообразности предоставления или продления кредита, определения условий кредитования, усиления гарантий возврата кредита, оценки доверия к организации как к клиенту;
3) поставщики и покупатели, определяющие надежность деловых связей с данным клиентом;
4) существующие и потенциальные собственники средств организации, которым необходимо определить увеличение или уменьшение доли собственных средств и оценить эффективность использования ресурсов руководством организации;
5) внешние служащие, интересующиеся данными отчетности с точки зрения уровня заработной платы и перспектив работы в данной организации [3; 5].
Вторая группа внешних пользователей финансовой отчетности - это те, кто непосредственно не заинтересован в деятельности организации, однако изучение отчетности им необходимо для того, чтобы защитить интересы первой группы пользователей отчетности [3]. К этой группе относятся:
1) аудиторские службы, проверяющие соответствие данных отчетности установленным правилам с целью защиты интересов инвесторов;
2) консультанты по финансовым вопросам, использующие отчетность в целях выработки рекомендаций своим клиентам относительно помещения их капиталов в ту или иную компанию;
3) биржи ценных бумаг, оценивающие информацию, представленную в отчетности, при регистрации соответствующих организаций, принимающие решения о приостановке деятельности какой-либо компании, оценивающие необходимость изменения методов учета и составления отчетности;
4) законодательные органы;
5) юристы, нуждающиеся в отчетной информации для оценки выполнения условий контрактов, соблюдения законодательных норм при распределении прибыли и выплате дивидендов, а также для определения условий пенсионного обеспечения;
6) пресса и информационные агентства, использующие отчетность для подготовки обзоров, оценки тенденций развития и анализа деятельности отдельных компаний и отраслей, расчета обобщающих показателей финансовой деятельности;
7) государственные организации по статистике, использующие отчетность для статистических обобщений по отраслям, а также сравнительного анализа и оценки результатов деятельности на отраслевом уровне;
8) профсоюзы, заинтересованные в отчетной информации для определения своих требований в отношении заработной платы и условий трудовых соглашений, а также для оценки тенденций развития отрасли, к которой относится данная организация [3; 5].
К внутренним пользователям отчетности относятся:
1) высшее руководство организации;
2) управляющие соответствующих уровней, которые по данным отчетности определяют правильность принятых инвестиционных решений и эффективность структуры капитала, определяют основные направления дивидендной политики, составляют прогнозные формы отчетности и осуществляют предварительные расчеты финансовых показателей предстоящих отчетных периодов, оценивают возможности слияния с другой организацией или ее приобретения, структурной реорганизации [3; 5].
2. Операционный рычаг: понятие, оценка уровня, эффект операционного рычага, запас финансовой прочности предприятия, организации
Разделение всей совокупности операционных затрат предприятия на постоянные и переменные их виды позволяет использовать также механизм управления операционной прибылью, известный как «операционный рычаг» (или «операционный леверидж»). Действие этого механизма основано на том, что наличие в составе операционных затрат любой суммы постоянных их видов приводит к тому, что при изменении объема реализации продукции, сумма операционной прибыли всегда изменяется еще более высокими темпами. Иными словами, постоянные операционные затраты (издержки) самим фактом своего существования вызывают непропорционально более высокое изменение суммы операционной прибыли предприятия при любом изменении объема реализации продукции вне зависимости от размера предприятия, отраслевых особенностей его операционной деятельности и других факторов (причины такого изменения подробно рассмотрены при определении влияния объема реализации продукции на сумму и уровень совокупных операционных затрат) [1; 2].
Однако степень такой чувствительности операционной прибыли к изменению объема реализации продукции неоднозначна на предприятиях, имеющих различное соотношение постоянных и переменных операционных затрат. Чем выше удельный вес постоянных издержек в общей сумме операционных затрат предприятия, тем в большей степени изменяется сумма операционной прибыли по отношению к темпам изменения объема реализации продукции.
Соотношение постоянных и переменных операционных затрат предприятия, позволяющее «включать» механизм операционного левериджа с различной интенсивностью воздействия на операционную прибыль предприятия, характеризуется «коэффициентом операционного левериджа», который рассчитывается по следующей формуле [2]:
Ипост
Кол = ----------, (1)
Ио
где: Кол - коэффициент операционного левериджа;
Ипост - сумма постоянных операционных издержек;
Ио - общая сумма операционных издержек.
Чем выше значение коэффициента операционного левериджа на предприятии, тем в большей степени оно способно ускорять темпы прироста операционной прибыли по отношению к темпам прироста объема реализации продукции. Иными словами, при одинаковых темпах прироста объема реализации продукции предприятие, имеющее больший коэффициент операционного левериджа, при прочих равных условиях всегда будет в большей степени приращивать сумму своей операционной прибыли в сравнении с предприятием с меньшим значением этого коэффициента.
Конкретное соотношение прироста суммы операционной прибыли и суммы объема реализации, достигаемое при определенном коэффициенте операционного левериджа, характеризуется показателем «эффект операционного левериджа». Принципиальная формула расчета этого показателя имеет вид [2]:
ΔВОП
Эол = ---------, (2)
ΔОР
где: Эол - эффект операционного левериджа, достигаемый при конкретном значении его коэффициента на предприятии;
ΔВОП - темп прироста валовой операционной прибыли, в %;
ΔОР - темп прироста объема реализации продукции, в %.
Задавая тот или иной темп прироста объема реализации продукции, мы всегда можем, используя указанную формулу, определить, в каких размерах возрастет сумма операционной прибыли при сложившемся на предприятии коэффициенте операционного левериджа. Различия в достигаемом эффекте на разных предприятиях будут определяться при этом различиями в соотношении их постоянных и переменных операционных затрат, отражаемыми коэффициентом операционного левериджа.
Приведенная выше принципиальная формула расчета эффекта операционного левериджа имеет ряд модификаций.
Так, в целях управления маржинальной прибылью предприятия эффект операционного левериджа может быть выражен следующими формулами [2]:
ΔМП ΔМП
Эол = ---------; (3) Эол = ---------; (4)
ΔОР ΔОР
где: Эол - эффект операционного левериджа;
ΔМП - темп прироста маржинальной операционной прибыли, в %;
ΔВОП - темп прироста валовой операционной прибыли, в %;
ΔОР - темп прироста объема реализации продукции, в %.
В целях исключения влияния налоговых платежей, включаемых в цену продукции и уплачиваемых за счет валового дохода, расчет эффекта операционного левериджа может быть произведен по следующей формуле [2]:
ΔВОП
Эол = ----------, (5)
ΔЧОД
где: Эол - эффект операционного левериджа;
ΔВОП - темп прироста валовой операционной прибыли, в %;
ΔЧОД - темп прироста чистого операционного дохода.
В целях раздельного изучения влияния на операционную прибыль прироста объема реализации продукции в натуральном выражении и изменения уровня цен на нее для определения эффекта операционного левериджа используется следующая формула [2]:
ΔВОП
Эол = ----------------------, (6)
ΔОРн * ΔЦе
где: Эол - эффект операционного левериджа;
ΔВОП - темп прироста валовой операционной прибыли, в %;
ΔОРН - темп прироста объема реализации продукции в натуральном выражении (количество единиц продукции), в %;
ΔЦе - темп изменения уровня средней цены за единицу продукции, в %.
Эта формула позволяет комплексно учесть влияние на изменение суммы операционной прибыли как коэффициента операционного левериджа, так и изменения ценовой политики.
Имеются и другие более сложные модификации формулы расчета эффекта операционного левериджа. Однако, несмотря на различия алгоритмов определения эффекта операционного левериджа, содержание механизма управления операционной прибылью путем воздействия на соотношение постоянных и переменных издержек предприятия остается неизменным.
Выше был рассмотрен общий принцип действия механизма операционного левериджа. Вместе с тем, в конкретных ситуациях операционной деятельности предприятия проявление механизма операционного левериджа имеет ряд особенностей, которые необходимо учитывать в процессе его использования для управления прибылью. Сформулируем основные из этих особенностей [4; 6]:
1. Положительное воздействие операционного левериджа начинает проявляться лишь после того, как предприятие преодолело точку безубыточности своей операционной деятельности.
2. После преодоления точки безубыточности, чем выше коэффициент операционного левериджа, тем большей силой воздействия на прирост прибыли будет обладать предприятие, наращивая объем реализации продукции.
3. Наибольшее положительное воздействие операционного левериджа достигается в поле, максимально приближенном к точке безубыточности (после ее преодоления).
4. Механизм операционного левериджа имеет и обратную направленность - при любом снижении объема реализации продукции в еще большей степени будет уменьшаться размер валовой операционной прибыли.
5. Эффект операционного левериджа стабилен только в коротком периоде. Это определяется тем, что операционные затраты, относимые к составу постоянных, остаются неизменными лишь на протяжении короткого отрезка времени. Как только в процессе наращения объема реализации продукции происходит очередной скачок суммы постоянных операционных затрат, предприятию необходимо преодолевать новую точку безубыточности или приспосабливать к ней свою операционную деятельность. Иными словами, после такого скачка, обусловливающего изменение коэффициента операционного левериджа, его эффект по-новому проявляется в новых условиях хозяйствования.
Понимание механизма проявления операционного левериджа позволяет целенаправленно управлять соотношением постоянных и переменных издержек в целях повышения эффективности операционной деятельности. Это управление сводится к изменению значения коэффициента операционного левериджа при различных тенденциях конъюнктуры товарного рынка и стадиях жизненного цикла предприятия.
При неблагоприятной конъюнктуре товарного рынка, определяющей возможное снижение объема реализации продукции, а также ранних стадиях жизненного цикла предприятия, когда им еще преодолена точка безубыточности, необходимо принимать меры к снижению значения коэффициента операционного левериджа. И наоборот при благоприятной конъюнктуре товарного рынка и наличии определенного предела безопасности (запаса прочности) требования к осуществлению режима экономии постоянных затрат могут быть существенно ослаблены - в такие периоды предприятие может значительно расширять объем реальных инвестиций, проводя реконструкцию и модернизацию производственных основных фондов.
Управление операционным левериджем может осуществляться путем воздействия как на постоянные, так и на переменные операционные затраты.
При управлении постоянными затратами следует иметь в виду, что высокий их уровень в значительной мере определяется отраслевыми особенностями осуществления операционной деятельности, определяющими различный уровень фондоемкости производимой продукции, дифференциацию уровня механизации и автоматизации труда. Кроме того следует отметить, что постоянные затраты в меньшей степени поддаются быстрому изменению, поэтому предприятия, имеющие высокий коэффициент операционного левериджа, теряют гибкость в управлении своими издержками [1].
Однако, несмотря на эти объективные ограничители, на каждом предприятии имеется достаточно возможностей снижения при необходимости суммы и удельного веса постоянных операционных затрат. К числу таких резервов можно отнести существенное сокращение накладных расходов (расходов по управлению) при неблагоприятной конъюнктуре товарного рынка; продажу части неиспользуемого оборудования и нематериальных активов с целью снижения потока амортизационных отчислений; широкое использование краткосрочных форм лизинга машин и оборудования вместо их приобретения в собственность; сокращение объема ряда потребляемых коммунальных услуг и некоторые другие.
При управлении переменными затратами основным ориентиром должно быть обеспечение постоянной их экономии, т.к. между суммой этих затрат и объемом производства и реализации продукции существует прямая зависимость. Обеспечение этой экономии до преодоления предприятием точки безубыточности ведет к росту суммы маржинальной прибыли, что позволяет быстрее преодолеть эту точку. После преодоления точки безубыточности сумма экономии переменных затрат будет обеспечивать прямой прирост валовой операционной прибыли. К числу основных резервов экономии переменных затрат можно отнести снижение численности работников основного и вспомогательных производств за счет обеспечения роста производительности их труда; сокращение размера запасов сырья, материалов, готовой продукции в периоды неблагоприятной конъюнктуры товарного рынка; обеспечение выгодных для предприятия условий поставки сырья и материалов и другие [1; 2].
Целенаправленное управление постоянными и переменными затратами, оперативное изменение их соотношения при меняющихся условиях хозяйствования позволяют увеличить потенциал формирования операционной прибыли предприятия.
Операционный левередж — это показатель, отвечающий на вопрос, во сколько раз темпы изменения прибыли от продаж превышают темпы изменения выручки от продаж. Иными словами, при планировании прироста или снижения выручки от продаж использование показателя операционного левереджа позволяет одновременно определить прирост или уменьшение прибыли. И наоборот, если в плановом периоде предприятию необходима определенная величина прибыли от продаж, с помощью операционного левереджа можно установить, какая выручка от продаж обеспечит нужную прибыль [7].
Механизм применения операционного левереджа зависит от того, какие факторы воздействуют на изменение выручки от продаж в плановом периоде по сравнению с базисным: динамика цен, либо динамика натурального объема продаж, либо оба фактора вместе. Как правило, на практике выручка растет или снижается под влиянием одновременного действия обоих факторов. Но при планировании прибыли важнейшее значение имеют степень и направление воздействия на выручку каждого фактора. Динамика выручки от продаж в результате снижения или роста цен на продаваемую продукцию сказывается на величине прибыли иначе, чем динамика выручки в результате увеличения или уменьшения натурального объема продаж.
Если изменение спроса на продукцию выражается только через изменение цен, а натуральный объем продаж остается на базисном уровне, то вся сумма прироста или уменьшения выручки от продаж одновременно становится суммой прироста или снижения прибыли. Если сохраняются базисные цены, но изменяется натуральный объем продаж, то рост или снижение прибыли — это по сумме рост или снижение выручки, уменьшенный на соответствующее изменение величины переменных затрат.
Следовательно, изменение цен в большей степени отражается на динамике прибыли от продаж, чем изменение натурального объема продаж. Выше было сказано, что операционный левередж — это измеритель превышения темпов динамики прибыли над темпами динамики выручки. Поэтому, не делая никаких расчетов, можно утверждать следующее: показатель операционного левереджа при изменении выручки только за счет цен всегда будет выше, чем при изменении выручки только за счет натурального объема продаж.
Это означает, что операционный левередж выражается не одним, а, как минимум, двумя показателями, из которых один рассчитывается для случая, когда в плановом периоде меняются только цены на реализуемую продукцию, второй — для случая изменения только натурального объема продаж. При условии, что плановая выручка от продаж изменяется за счет обоих факторов, в расчетах применяются оба названных показателя операционного левереджа.
Назовем условно первый из указанных видов операционного левереджа ценовым, второй — натуральным. Формализация расчета каждого вида базируется на методе прямого счета прироста выручки от продаж и прибыли (или их снижения) в плановом периоде.
Введем условные обозначения:
Вб — базисная выручка от продаж;
Пр — базисные переменные затраты;
Иц — изменение цен на реализуемую продукцию в плановом периоде по сравнению с базисным (в долях единицы и соответственно со знаками «+» или «–»);
Ин — изменение натурального объема продаж (аналогично величине «Иц»);
В —
прирост (уменьшение) выручки от продаж;
П —
прирост (уменьшение) прибыли от продаж;
Пб — базисная прибыль от продаж;
Лц — ценовой операционный левередж;
Лн — натуральный операционный левередж.
При изменении в плановом периоде только цен реализации:
В = Вб
• Иц ;
П = Вб
• Иц
Темп прироста
(снижения) выручки от продаж равен
В /
Вб (в долях единицы), или
В /
Вб • 100 (в процентах).
Темп прироста
(снижения) прибыли от продаж соответственно равен
В /
Пб , или
В /
Пб • 100.
|

Итак, ценовой операционный левередж в конечном счете равен отношению базисной выручки к базисной прибыли от продаж. Это подтверждается логикой предыдущего изложения: поскольку в данном случае прирост (уменьшение) выручки равен приросту (уменьшению) прибыли, темп изменения первой показывает, во сколько раз базисная величина выручки больше базисной величины прибыли. Механизм ценового операционного левереджа работает и в случаях убыточности продаж в базисном или плановом периоде.
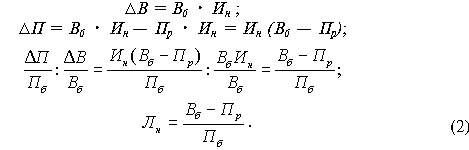
Пользуясь введенными выше условными обозначениями, выведем формулу натурального операционного левереджа:
|
Следовательно, натуральный операционный левередж — это отношение выручки от продаж базисного периода, уменьшенной на переменные затраты того же периода, к базисной прибыли от продаж, или отношение маржинальной прибыли к прибыли от продаж в базисном периоде.
С помощью показателя натурального операционного левереджа рассчитывается плановая прибыль от продаж при условии изменения в плановом периоде только натурального объема продаж [7].
Таким образом, сравнивая результаты расчетов на основе ценового и натурального операционного левереджа, можно сделать следующие выводы:
1. Чем выше показатели операционного левереджа обоих видов, тем большим колебаниям подвержена прибыль при одинаковом изменении выручки от продаж. Поэтому при высоком операционном левередже снижение выручки от продаж чаще может привести к убыточности продаж, чем при низком его уровне.
2. Большая разница уровней ценового и натурального операционного левереджа отражает относительно сильное влияние динамики переменных затрат на динамику прибыли от продаж. При росте выручки за счет натурального объема продаж в этом случае увеличение прибыли значительно меньше, чем при увеличении цен. И наоборот, снижение выручки в форме уменьшения натурального объема продаж приводит к лучшему финансовому результату, чем снижение цен.
3. Применение показателей операционного левереджа при планировании выручки и прибыли от продаж позволяет без специальных расчетов определять максимально возможное снижение выручки для сохранения безубыточности продаж или минимально необходимый рост выручки для ликвидации убытка от продаж.
Однако все, что было изложено выше, — это лишь инструмент планирования финансового результата от продаж при идеальных условиях. Он пригоден только для случаев, когда динамика прибыли определяется одним фактором при неизменном другом: либо меняются цены, но не меняется натуральный объем продаж, либо наоборот.
В реальных условиях, как правило, происходит одновременное изменение и цен, и натурального объема продаж, причем оба фактора могут действовать и в одном направлении, и в противоположных направлениях. Необходимо использовать оба вида операционного левереджа для планирования финансового результата от продаж именно при таких условиях.
Таким образом, применение операционного левереджа для планирования финансового результата от продаж позволяет не только определить изменение прибыли в плановом периоде по сравнению с ее величиной в базисном периоде, но и оценить факторы, влияющие на это изменение. Определенное сочетание динамики цен и натурального объема продаж обеспечивает размер прибыли от продаж, необходимый предприятию. Зная это сочетание, предприятие в пределах имеющихся возможностей способно маневрировать индексами цен и натурального объема продаж, приближая условия спроса на продукцию к желаемым [7].
Операционный левередж — инструмент, позволяющий оперативно реагировать на динамику спроса и принимать решения, связанные с изменениями финансового результата от продаж.
Задачи
1. Определите простую ставку ссудных процентов при следующих условиях: организация получила ссуду в банке - 8 млн. р., срок ссуды -2 года, наращенная сумма ссуды -10 млн. р.
Решение:
Что бы определить простую ставку ссудных процентов необходимо воспользоваться формулой (7):
S = P (1 + n * i), (7)
где: Р – величина первоначальной денежной суммы (первоначального долга), тыс.р.;
n – продолжительность периода начисления, г.;
i – относительная величина годовой ставки процентов, доли ед.
В нашем случае необходимо найти показатель «i».
Трансформируем формулу (7).
1 + n * i = S / P
1 + 2 i = 10000000 / 8000000
1 + 2 i = 1,25
2 i = 0,25
i = 0,125
Таким образом, процентная ставка составила 12,5%.
2. Платежное обязательство выдано на 3 месяца под 180 % годовых, наращенная сумма долга - 20 тыс. р. Определить сумму дохода по данному платежному обязательству.
Решение:
Чтобы определить сумму дохода по данному платежному обязательству воспользуемся формулой (7), преобразовав ее:
Р = S / (1+n*i)
P = 20000 / (1 + 0,4 * 1,8) = 20000 / 1,72 = 11627,9 руб.
3. Рассчитайте коэффициенты абсолютном, быстрой, текущей ликвидности, дайте оценку платежеспособности организации на отчетную дату по следующим данным: краткосрочные обязательства - 900 тыс. р., запасы - 1000 тыс. р., дебиторская задолженность - 650 тыс. р., денежные средства и краткосрочные финансовые вложения - 50 тыс. р.
Решение:
Коэффициент абсолютной ликвидности найдем путем деления денежных средств предприятия на сумму его краткосрочных обязательств.
К аб.л. = 50000 / 900000 = 0,06
Нормативное значение Каб.л ≥ 0,2
Коэффициент быстрой ликвидности найдем по формуле (8):
Д + ДЗ *0,8
Кбл = ------------------------- , доли ед., (8)
КО
где: Д – денежные средства предприятия, тыс.р.;
ДЗ – дебиторская задолженность, тыс.р.;
0,8 – поправочный коэффициент, приводящий дебиторскую задолженность в нормальный вид;
КО – сумма краткосрочных обязательств, тыс.р.
50 + 650 * 0,8
Кбл = ----------------------------- = 0,63
900
Нормативное значение Кбл ≥ 0,8
Коэффициент текущей ликвидности найдем путем деления оборотный активов предприятия на сумму его краткосрочных пассивов.
Ктл = 1000 / 900 = 1,1
Нормативное значение Ктл ≥ Кбл
Таким образом, предприятие испытывает большие проблемы по абсолютной и быстрой ликвидности. Однако, коэффициент текущей ликвидности в норме.
4. Оцените эффект, плечо, дифференциал финансового рычага, рентабельность собственных средств двух организаций. Сделайте выводы о величине рентабельности собственных средств организаций.
Таблица 1
Исходные данные для расчета
|
Показатели |
Организация «А» |
Организация «Б» |
|
1 |
2 |
3 |
|
1. Валюта баланса, тыс. р. |
1000 |
1000 |
|
2. Капитал и резервы, тыс. р. |
900 |
500 |
продолжение табл. 1
|
1 |
2 |
3 |
|
3. Краткосрочные и долгосрочные обязательства, тыс. р. |
100 |
500 |
|
4. Экономическая рентабельность, % |
15 |
16 |
|
5. Процентная ставка по кредиту, % |
12 |
15 |
Решение:
Найдем эффект финансового рычага. Воспользуемся формулой (9):
Эфр = (1 - СНП) * (ЭР - СРСП) * ЗС / СС , % (9)
где: СНП – действующая ставка налогообложения прибыли, доли ед.;
СРСП – средняя расчетная ставка процента по заемным средствам, %;
ЗС – сумма долговых заемных средств, тыс. р.;
СС – сумма собственных средств организации (капитал и резервы), тыс. р.
По первой организации:
Эфр = (1 – 0,23) * (15 - 12) * 100 / 900 = 0,77 * 0,3 * 0,11 = 0,025 или 2,5%.
По второй организации:
Эфр = (1 – 0,23) * (16 - 15) * 500 / 500 = 0,77 * 0,1 * 1 = 0,077 или 7,7%.
Найдем дифференциал финансового рычага по формуле (10):
Д = ЭР – СРСП, % (10)
По первой организации
Д = 15 – 12 = 3%
По второй организации
Д = 16 -15 = 1%
Найдем плечо финансового рычага по формуле (11):
ПФР = ЗС / СС, доли ед. (11)
По первой организации
ПФР = 100 / 900 = 0,11 или 11 %
По второй организации
ПФР = 500 / 500 = 1 или 100 %
Найдем рентабельность собственных средств по формуле (12):
РСС = (1-СНП)* ЭР + Эфр, % (12)
По первой организации:
РСС = (1 – 0,23)* 0,15 + 0,025 = 0,14 или 14%
По второй организации:
РСС = (1 – 0,23)* 0,16 + 0,077 = 0,20 или 20%
Таким образом, организация «Б» опережает организацию «А» по величине рентабельности собственных средств.
Список использованной литературы
1. Балабанов И.Т. Основы финансового менеджмента: учеб. пособие. – М.: Финансы и статистика, 1997. – 358с.
2. Бланк И.А. Финансовый менеджмент: Учебный курс. – К.: Ника-Центр, 1999. – 528с.
3. Донцова Л.В., Никифорова Н.А. Анализ финансовой отчетности: Учебное пособие. – М.: Издательство «Дело и Сервис», 2004. – 336с.
4. Лялин В.А. Финансовый менеджмент (управление финансами фирмы) / В.А. Лялин, П.В. Воробьев. – СПб.: Юность, Петрополь, 1994. – 417с.
5. Селезнева Н.Н. Финансовый анализ. Управление финансами: учеб. пособие для вузов / Н.Н. Селезнева, А.Ф. Ионова. – М.: ЮНИТИ-ДАНА, 2003. – 470с.
6. Холт Р.Н. Основы финансового менеджмента. – М.: Дело, 1993. – 358с.
7. Крейнина М.Н. Операционный левередж как инструмент планирования прибыли от продаж // Финансовый менеджмент. – 2002. – №1.