Министерство образования РФ
Всероссийский заочный финансово-экономический институт
Кафедра статистики
Курсовая работа
по дисциплине «Статистика»
на тему
«Статистические методы изучения цен и инфляции»
Исполнитель: __________________
Специальность: ___________________
Группа: ___________________
№ зачетной книжки: ___________________
Руководитель: ___________________
Уфа
2007 Содержание:
Введение. 3
1. Теоретическая часть. 4
2. Расчетная часть. 13
3. Аналитическая часть. 25
Заключение. 31
Литература…………………………………………………………………………..32
Введение
Статистика цен входит составной частью в социально-экономическую статистику, она изучает всю систему цен, действующую в сфере экономических отношений.
Цена является важнейшим стоимостным измерителем. Цену как объект изучения статистики цен следует рассматривать с позиций макро- и микроэкономики. С позиций макроэкономики на цену воздействуют отраслевые пропорции, системы распределения национального дохода, налогообложения и кредитования, порядок формирования затрат и т.д. С микроэкономических позиций цена рассматривается как механизм, функционирующий на уровне конкретного предприятия, фирмы, с помощью которого можно обеспечить прибыль.
Объектом данной курсовой работы является статистика цен и инфляции. Ее предмет – методы статистического изучения цен и инфляции .
Цель исследования – рассмотреть статистические методы изучения цен и инфляции. Задачи:
- Изучить имеющийся монографический и учебный материал по данной проблеме;
- Дать характеристику понятиям «цены» и «инфляция»;
- Проанализировать статистические методы изучения цен и инфляции;
- Сделать необходимые для решения экономической задачи расчеты;
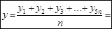
- По данным расчетного задания построить различные графики и таблицы;
- Провести статистическое исследование с применением компьютерной техники и методов, освоенных при выполнении расчетной задачи.
1. Теоретическая часть
1.1. Статистическое изучение цен
Ключевыми направлениями при построении системы индексов цен (тарифов), отражающих инфляционные процессы в секторах экономики, были определены такие, как создание единых методологических подходов при расчете средних цен и индексов цен.
Такие методологические подходы были сформулированы следующим образом:
• отбор базовых организаций для наблюдения за ценами (тарифа ми) на товары (услуги);
• формирование наборов товаров (услуг)-представителей с учетом максимального сближения номенклатурных позиций (формирование сквозной номенклатуры для всех секторов экономики);
• организация наблюдения за ценами (тарифами) по выборочной совокупности базовых организаций;
единые временные параметры регистрации цен (тарифов) на то вары и услуги (в конце отчетного месяца);
• единые принципы формирования базисных весов с их ежегодным пересмотром;
• расчет индивидуальных, групповых, отраслевых, региональных индексов цен и тарифов;
• общая для всей системы индексов цен (тарифов) формула расчета сводных индексов [2, 146].
Сводные индексы определяются по следующей модифицированной формуле Ласпейреса с рекурсивной системой расчетов:
[3, 112]
В расчетах сводных индексов отечественной статистикой используются следующие стоимостные объемы базисного периода:
• цен производителей промышленной продукции — годовой объем произведенной продукции за предшествующий предыдущему году, т. е. с временным лагом в два года от текущего года;
• цен производителей на реализованную сельскохозяйственную продукцию в качестве весов берутся данные о количестве реализованной продукции из отчетности формы № 21-СХ «Сведения о реализации сельскохозяйственной продукции»;
цен на все виды строительных материалов (деталей, конструкций), в строительстве в качестве базисных весов выступают данные за предыдущий год о среднемесячных объемах применяемых ресурсов, характеризующие удельный вес каждого вида строительного материала (детали, конструкции) в общих расходах на строительство «условного» объекта. Объемы применяемых ресурсов разрабатываются специалистами в области строительства, действуют на протяжении ряда лет и периодически пересматриваются и представляются в виде технологических моделей, название которых соответствуют отраслям экономики, по которым они составлены;
• цен на грузовые перевозки, используются данные текущей отчетности транспортных организаций в доходах за 9 месяцев предыдущего года;
• потребительских цен (ИПЦ), используются данные обследования бюджетов семей о величине потребительских расходов населения за 9 месяцев предыдущего года и IV квартал предбазового года.
Определение сводных индексов по формуле с рекурсивной системой расчета идентично расчетам по агрегатной форме с постоянными весами. Например, если стоимостной объем брать за декабрь предыдущего года, то в нем можно выделять цену и количество q0, имея временной ряд базисных индексов, можно получить временной ряд цепных индексов.
При этом в программном обеспечении расчетов сводных индексов цен в основном используется не абсолютная величина стоимостных объемов товарных групп, а их удельный вес. Пример расчета с условными данными приведен в табл.1.
Таблица 11 [6, 123]
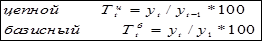
Динамика потребительских цен по группам товаров

Сводные индексы цен текущего месяца к предыдущему (цепные) определяются делением каждого текущего индекса на предыдущий базисный индекс. В приведенном примере цепные индексы цен равны:
![]()
Суммарные стоимостные или удельные веса, используемые в расчетах сводных индексов в производственном и потребительском секторах, в отечественной статистике ежегодно обновляются, поскольку на данном этапе для российской экономики характерны существенные структурные изменения в производстве и потреблении товаров.
Месячные индексы цен, рассчитанные к декабрю предыдущего года, используются при определении месячных, квартальных, полугодовых и годовых индексов цен к соответствующему периоду предыдущего года, пример расчета приведен в табл. 2.
Таблица 2 (в процентах) [1, 98]

Расчет квартальных индексов цен отчетного года к кварталам предыдущего года производится исходя из месячных индексов за эти два года, рассчитанных к единому базисному периоду — декабрю предшествовав
1.2. Статистическое изучение инфляции
Инфляция — это сложное многофакторное явление, характеризующее нарушение воспроизводственного процесса, присущее экономике, использующей бумажно-денежное обращение. Инфляционный процесс связан с обесцениванием денег, проявляющимся в росте цен на товары и услуги и нарушении денежного обращения.
Природа инфляции многогранна, и в экономике при ее рассмотрении выделяют открытую и подавленную инфляцию. Открытая инфляция проявляется в различных формах: инфляция спроса, инфляция издержек производства, структурная инфляция.
Инфляция спроса порождается избытком совокупного спроса, за которым по тем или иным причинам не успевает производство, что приводит к резкому росту цен на потребительском рынке. Инфляция такого рода постепенно распространяется и на производство. Одной из причин инфляции издержек производства может быть рост цен на любые I промежуточные товары, чаще на сырьевые ресурсы и энергоносители, I а другой — рост заработной платы. Теоретическое обоснование возможности проявления на определенном этапе инфляции издержек впервые дал Дж. М. Кейнс.
В реальной действительности разделить эти формы инфляции сложно. Важно определить, какая из них является генератором инфляционных процессов. Теоретическое различие состоит в следующем: инфляция спроса продолжается до тех пор, пока существует дефицит бюджета или другие формы товарно-денежных диспропорций, а инфляция издержек не может существовать продолжительное время.
Структурная инфляция характеризуется макроэкономической межотраслевой несбалансированностью. Это наиболее труднопреодолимая форма инфляции, она сопровождает периоды кардинального перехода страны на новые условия хозяйствования, конверсии военного производства и т. д.
Подавленная инфляция выражается в увеличении денежной наличности.
В нашей стране подавленная инфляция
наблюдалась накануне либерализации цен, проведенной в январе
Таблица 3 [9, 114]
Индексы потребительских цен на конец периода (в разах к предыдущему году)

Источник: Цены в России. М.: Госкомстат России, 2002.
Для оценки и анализа инфляции в отечественной и зарубежной практике широко используется система показателей, разрабатываемая статистикой цен, банковской статистикой, макроэкономической и другими отраслями статистики. В системе показателей особое место занимают ценовые индексы, в частности:
• дефлятор валового внутреннего продукта (ВВП), в зарубежной практике этот показатель называется дефлятором национального продукта;
• индекс цен производителей;
• индекс потребительских цен.
Дефлятор ВВП оценивает степень инфляции по всей совокупности товаров и услуг, производимых и потребляемых в государстве.
Он исчисляется как отношение номинального ВВП (ВВПм) к реальному ВВП (ВВПК):

Дефлятор валового внутреннего продукта в отечественной статистике исчисляется по всей совокупности товаров и услуг с выделением производства товаров и производства услуг.
Реальный ВВП представляет собой физический объем производства конечных товаров и услуг, рассчитанный в ценах предыдущего года. А это означает, что если в текущем периоде по отношению к предыдущему (базисному) произошло повышение общего уровня цен, то результатом исчисления ВВП в текущем периоде с использованием цен предыдущего (базисного) периода будет снижение (дефлирование) объема ВВПк. Если же за изучаемый период наблюдалось снижение общего уровня цен, то при расчете BBnR будет наблюдаться повышение (инфлирование) объема ВВПм,
Кроме обобщающего показателя инфляции (дефлятора ВВП), в статистике исчисляются индексы цен, характеризующие уровень инфляции в отдельных секторах экономики, в частности, индексы цен производителей и индекс потребительских цен.
Индекс цен производителя измеряет инфляцию в отношении товаров потребительского (предметы потребления) и производственного (средства производства) назначения. Будучи рассчитанным на раннем, оптовом, этапе, этот индекс является хорошим показателем будущего изменения цен на более позднем, розничном, этапе движения продукции.
Индекс потребительских цен измеряет инфляцию исключительно потребительских товаров и услуг, приобретаемых конечными покупателями.
При изучении инфляции следует учитывать и особенности измерения рассматриваемых ценовых индексов. Так, дефлятор ВВП является ценовым индексом произведенных товаров и услуг, а индекс потребительских цен измеряет динамику цен товаров и услуг, которые покупают домашние хозяйства в качестве потребителей.
По мнению ряда экономистов, индекс потребительских цен может служить измерителем инфляции в случае постоянной конъюнктуры хозяйственной деятельности, поэтому выдвигаются предложения о расчете агрегированных показателей инфляции. Агрегированную инфляцию предлагается исчислять как среднюю величину из индексов цен, определяемых в различных секторах экономики. Но в этом случае требуется методически и практически решить проблему определения весов.
При изучении инфляции широко используются и показатели денежно-кредитной системы, в частности агрегаты денежной массы:
МО — наличные деньги в обращении (вне банков);
Ml = МО + средства до востребования в банках;
М2 = Ml + срочные депозиты населения в сберегательных банках;
МЗ = М2 + депозитные сертификаты и облигации государственного займа.
При анализе инфляции используются и такие денежные индикаторы, как денежная база (Н) и денежный мультипликатор (М2/Н). Денежная база — это наличные деньги, выпущенные Центральным банком РФ (без учета наличности в хранилище ЦБ РФ), и обязательные резервы кредитных организаций в ЦБ РФ. Основные денежные индикаторы России за 1999—2001 гг. приведены в табл. 4.
Таблица 4. (млрд руб.) [7, 133]

Источник: Цены в России. М.: Госкомстат России, 2001. С. 12.
Анализ динамики и структуры агрегатов денежной массы позволяет выявить основные факторы, определяющие динамику инфляции. Динамика денежных агрегатов сопоставляется с динамикой взаимосвязанных показателей, например с динамикой потребительских цен. Однако при сопоставлении этих показателей необходимо учитывать определенный временной лаг между изменением денежной массы и потребительскими ценами. Временные лаги, т. е. промежутки времени, в течение которых изменения объемов денежной массы вызывают соответствующие изменения в темпах прироста цен, не являются величиной постоянной; в определенной мере они зависят от состояния финансовой системы. По мере развития финансовой системы временные лаги между рассматриваемыми показателями имеют тенденцию к увеличению. Этот фактор необходимо учитывать и при территориальных (межстрановых) сопоставлениях. При статистическом изучении инфляции важно установить ее источники, о которых можно судить, например, анализируя структуру и динамику активов Центробанка, а именно выделяя в них: кредиты внутрироссийские, межгосударственные расчеты, другие виды активов.
Девальвация национальной валюты стимулирует инфляционные процессы.
Обвальное обесценивание национальной валюты началось в
2. Расчетная часть
Задание 1
По исходным данным таблицы 1:
1. Построить статистический ряд распределения магазинов по признаку цена товара образовав четыре группы с равными интервалами.
2. Рассчитать характеристики интервального ряда распределения: среднюю арифметическую, среднее квадратическое отклонение, коэффициент вариации, моды и медианы.
Сделать выводы по результатам выполнения задания.
Задание 2
По исходным данным таблицы 1:
1. Установить наличие и характер связи между признаками цена товара и количество товара методом аналитической группировки, образовав четыре группы с равными интервалами по факторному признаку.
2. Измерить тесноту корреляционной связи между названными признаками с использованием коэффициента детерминации и эмпирического корреляционного отношения.
Сделать выводы по результатам выполнения задания.
Таблица 1
|
№ п/п |
Цена товара тыс.руб.(У) |
Количество товара (Х) |
|
1 |
25,0 |
31,0 |
|
2 |
28,0 |
24,0 |
|
3 |
16,0 |
45,0 |
|
4 |
24,0 |
26,0 |
|
5 |
32,0 |
28,0 |
|
6 |
20,0 |
33,0 |
|
7 |
22,0 |
44,0 |
|
8 |
26,0 |
29,0 |
|
9 |
23,0 |
25,0 |
|
10 |
16,0 |
48,0 |
|
11 |
23,0 |
31,0 |
|
12 |
28,0 |
27,0 |
|
13 |
17,0 |
23,0 |
|
14 |
19,0 |
44,0 |
|
15 |
25,0 |
29,0 |
|
16 |
28,0 |
21,0 |
|
17 |
21,0 |
28,0 |
|
18 |
18,0 |
38,0 |
|
19 |
27,0 |
20,0 |
|
20 |
26,0 |
22,0 |
|
21 |
25,0 |
38,0 |
|
22 |
17,0 |
35,0 |
|
23 |
19,0 |
28,0 |
|
24 |
20,0 |
39,0 |
|
25 |
22,0 |
26,0 |
|
26 |
26,0 |
33,0 |
|
27 |
18,0 |
43,0 |
|
28 |
21,0 |
22,0 |
|
29 |
24,0 |
26,0 |
|
30 |
27,0 |
26,0 |
Задание 3
По результатам выполнения задания 1 с вероятностью 0,954 определите:
1. Ошибку выборки средней цены и границы, в которых он будет находиться в генеральной совокупности.
2. Ошибку выборки доли магазинов со средней ценой до 20 руб. и границы, в которых будет находиться генеральная доля
Задание 4
Данные о продаже товара А на рынках города
Определите:
1. Индексы цен переменного и постоянного состава, индекс структурных сдвигов.
2. Абсолютное изменение средней цены за счет отдельных факторов.
Сделайте выводы.
Задание 1.
Для построения ряда распределения необходимо определить признак - цена товара (таблица 2).
Таблица 2: Отсортированные данные
|
№ п/п |
Цена товара, тыс.руб.(У) |
|
1 |
16,0 |
|
2 |
16,0 |
|
3 |
17,0 |
|
4 |
17,0 |
|
5 |
18,0 |
|
6 |
18,0 |
|
7 |
19,0 |
|
8 |
19,0 |
|
9 |
20,0 |
|
10 |
20,0 |
|
11 |
21,0 |
|
12 |
21,0 |
|
13 |
22,0 |
|
14 |
22,0 |
|
15 |
23,0 |
|
16 |
23,0 |
|
17 |
24,0 |
|
18 |
24,0 |
|
19 |
25,0 |
|
20 |
25,0 |
|
21 |
25,0 |
|
22 |
26,0 |
|
23 |
26,0 |
|
24 |
26,0 |
|
25 |
27,0 |
|
26 |
27,0 |
|
27 |
28,0 |
|
28 |
28,0 |
|
29 |
28,0 |
|
30 |
32,0 |
По условию задачи необходимо образовать четыре группы (n=4). Величина равного интервала рассчитывается по формуле:
,
где ymax и ymin – максимальное и минимальное значения признака.
тыс. руб.
Величина интервала равна 4,0. Отсюда путем прибавления величины интервала к минимальному уровню признака в группе получим следующие группы магазинов по цене товара (таблица 2.3.).
Таблица 2.3.
|
№ интервала |
Группа магазинов |
Кол-во |
|
1 |
16 - 20 |
8 |
|
2 |
20 - 24 |
8 |
|
3 |
24 - 28 |
10 |
|
4 |
28 - 32 |
4 |
|
Итого |
30 |
В интервальном вариационном ряду мода вычисляется по формуле:
,
где y0 – нижняя граница модального интервала;
h – размер модального интервала;
fMo – частота модального интервала;
fMo-1 – частота интервала, стоящего перед модальной частотой;
fMo+1 – частота интервала, стоящего после модальной частоты.
Отсюда:
тыс. руб.
Графическое нахождение моды:

Медиана (Ме) – это величина признака, который находится в середине ранжированного ряда, то есть расположенного в порядке возрастания или убывания.
Для интервального вариационного ряда Ме рассчитывается по формуле:
тыс.руб., где
y0 – нижняя граница медианного интервала;
h – размер медианного интервала;
- половина от
общего числа наблюдений;
SMe-1 – сумма наблюдений, накопленная до начала медианного интервала;
fMe – частота медианного интервала.
Графическое нахождение медианы:

Рассчитаем характеристики ряда распределения.
Для расчета необходимо определить середины интервалов распределения цене товара (таблица 2.4.).
Таблица 2.4.
|
Группа магазинов |
Середина интервала, Yi |
Число п/п fi |
Yi * fi |
Yi - Ycp |
(Yi - Ycp)2 * fi |
|
16 - 20 |
18,0 |
8 |
144,000 |
-5,333 |
227,556 |
|
20 - 24 |
22,0 |
8 |
176,000 |
-1,333 |
14,222 |
|
24 - 28 |
26,0 |
10 |
260,000 |
2,667 |
71,111 |
|
28 - 32 |
30,0 |
4 |
120,000 |
6,667 |
177,778 |
|
Итого |
|
30 |
700,000 |
|
490,667 |
Средняя арифметическая взвешенная определяется по формуле:
тыс. руб. где
y – варианты или середины интервалов вариационного ряда;
f – соответствующая частота;
Среднеквадратическое отклонение равно:
тыс. руб.
То есть в среднем цена товара по магазинам колеблется в пределах ± 4,041 тыс. руб. от ее среднего значения 23,333 тыс. руб.
Коэффициент вариации представляет собой процентное отношение среднего квадратического отклонения к средней арифметической:
![]()
На основании полученного коэффициента вариации можно сделать вывод, что по уровню цене товара магазины являются однородными, так как коэффициент не превышает 33 %.
Задание 2
Факторным признаком считаем фактор Х – количество.
Группировка по этому фактору делаем аналогично тому, как сделано в задании 1 – по фактору У.
По условию задачи необходимо образовать четыре группы (n=4). Величина равного интервала рассчитывается по формуле:
,
где хmax и хmin – максимальное и минимальное значения признака Х (см. таблицу 2.1).
![]()
Таблица 2.4.: Группировка по фактору Х
|
№ |
Начало |
Конец |
Группировка |
Число наблюдений в группе, fi |
|
интервала, Хн(i) |
интервала, Хk(i) |
|||
|
1 |
20,000 |
27,000 |
20 - 27 |
23,500 |
|
2 |
27,000 |
34,000 |
27 - 34 |
30,500 |
|
3 |
34,000 |
41,000 |
34 - 41 |
37,500 |
|
4 |
41,000 |
48,000 |
41 - 48 |
44,500 |
|
|
|
Итого |
|
Аналитическая группировка позволяет изучать взаимосвязь факторного и результативного признаков. Установим наличие и характер связи между ценой товара и количеством товара методом аналитической группировки (таблица 2.5.).
Таблица 2.5.
|
Интервал |
Число магазинов |
Цена товара |
Кол-во товара |
||
|
Всего по группе |
В среднем |
Всего по группе |
В среднем |
||
|
20 - 27 |
11 |
261,0 |
23,7 |
267,0 |
24,3 |
|
27 - 34 |
10 |
297,0 |
29,7 |
245,0 |
24,5 |
|
34 - 41 |
4 |
150,0 |
37,5 |
80,0 |
20,0 |
|
41 - 48 |
5 |
224,0 |
44,8 |
91,0 |
18,2 |
|
Итого |
30 |
932,0 |
31,1 |
683,0 |
22,8 |
Данные таблицы 2.5. показывают, что с ростом количества продаваемого товара цена товара уменьшается. Следовательно, между исследуемыми признаками существует обратная связь.
Вычислим коэффициент детерминации и эмпирическое корреляционное отношение, для чего выполним некоторые расчеты (таблица 2.6.).
Таблица 2.6: Расчет коэффициента корреляции
|
№ |
Х |
У |
(У - Уср)2 |
(Уicp - Уср)2 |
(X - Xср)2 |
(У - Уср)*(X - Xср) |
n |
|
|
1 |
20,0 |
27,0 |
17,921 |
|
122,471 |
-46,849 |
|
|
|
2 |
21,0 |
28,0 |
27,388 |
|
101,338 |
-52,682 |
|
|
|
3 |
22,0 |
26,0 |
10,454 |
|
82,204 |
-29,316 |
|
|
|
4 |
22,0 |
21,0 |
3,121 |
|
82,204 |
16,018 |
|
|
|
5 |
23,0 |
17,0 |
33,254 |
|
65,071 |
46,518 |
|
|
|
6 |
24,0 |
28,0 |
27,388 |
|
49,938 |
-36,982 |
|
|
|
7 |
25,0 |
23,0 |
0,054 |
|
36,804 |
-1,416 |
|
|
|
8 |
26,0 |
24,0 |
1,521 |
|
25,671 |
-6,249 |
|
|
|
9 |
26,0 |
22,0 |
0,588 |
|
25,671 |
3,884 |
|
|
|
10 |
26,0 |
24,0 |
1,521 |
|
25,671 |
-6,249 |
|
|
|
11 |
26,0 |
27,0 |
17,921 |
|
25,671 |
-21,449 |
|
|
|
1 группа |
261 |
267 |
|
|
|
|
11 |
|
|
23,7 |
24,3 |
|
2,268 |
|
|
|
||
|
12 |
27,0 |
28,0 |
27,388 |
|
16,538 |
-21,282 |
|
|
|
13 |
28,0 |
32,0 |
85,254 |
|
9,404 |
-28,316 |
|
|
|
14 |
28,0 |
21,0 |
3,121 |
|
9,404 |
5,418 |
|
|
|
15 |
28,0 |
19,0 |
14,188 |
|
9,404 |
11,551 |
|
|
|
16 |
29,0 |
26,0 |
10,454 |
|
4,271 |
-6,682 |
|
|
|
17 |
29,0 |
25,0 |
4,988 |
|
4,271 |
-4,616 |
|
|
|
18 |
31,0 |
25,0 |
4,988 |
|
0,004 |
-0,149 |
|
|
|
19 |
31,0 |
23,0 |
0,054 |
|
0,004 |
-0,016 |
|
|
|
20 |
33,0 |
20,0 |
7,654 |
|
3,738 |
-5,349 |
|
|
|
21 |
33,0 |
26,0 |
10,454 |
|
3,738 |
6,251 |
|
|
|
2 группа |
297 |
245 |
|
|
|
|
10 |
|
|
29,7 |
24,5 |
|
3,004 |
|
|
|
||
|
22 |
35,0 |
17,0 |
33,254 |
|
15,471 |
-22,682 |
|
|
|
23 |
38,0 |
18,0 |
22,721 |
|
48,071 |
-33,049 |
|
|
|
24 |
38,0 |
25,0 |
4,988 |
|
48,071 |
15,484 |
|
|
|
25 |
39,0 |
20,0 |
7,654 |
|
62,938 |
-21,949 |
|
|
|
3 группа |
150 |
80 |
|
|
|
|
4 |
|
|
37,5 |
20,0 |
|
7,654 |
|
|
|
||
|
26 |
43,0 |
18,0 |
22,721 |
|
142,404 |
-56,882 |
|
|
|
27 |
44,0 |
22,0 |
0,588 |
|
167,271 |
-9,916 |
|
|
|
28 |
44,0 |
19,0 |
14,188 |
|
167,271 |
-48,716 |
|
|
|
29 |
45,0 |
16,0 |
45,788 |
|
194,138 |
-94,282 |
|
|
|
30 |
48,0 |
16,0 |
45,788 |
|
286,738 |
-114,582 |
|
|
|
4 группа |
224 |
91 |
|
|
|
|
5 |
|
|
44,8 |
18,2 |
|
20,854 |
|
|
|
||
|
Все группы |
932 |
683 |
507,367 |
|
1835,867 |
-564,533 |
30 |
|
|
31,1 |
22,8 |
|
|
|
|
|
Коэффициент детерминации

Межгрупповая дисперсия

Общая дисперсия

Эмпирическое корреляционное отношение

Коэффициент детерминации показывает, что на 34,2% фактор Х обусловлен фактором Y. Расчетное показывает слабую линейную связь между Х и Y. Эмпирическое корреляционное отношение показывает общую тесноту связи между Х и Y. Расчетное значение показывает слабую тесноту связи.
Задание 3
Известен процент выборки n/N = 0,15 (15%-ная выборка)
Средняя ошибка выборки
![]()
Известна вероятность Р = Ф(t) = 0,954; тогда t (из таблицы Лапласа) = 2,0
Предельная ошибка выборки
![]()
Тогда искомые границы для ср. значения
![]()
Искомая доля магазинов со средней ценой до 20 руб.
![]()
Тогда средняя ошибка выборки для доли
![]()
Предельная ошибка выборки для доли
![]()
Тогда искомые границы для доли
![]()
Задание 4
Имеются следующие данные:
|
Рынок |
Базисный период |
Отчетный период |
||
|
Цена, руб/кг |
Объем продаж, кг |
Цена, руб/кг |
Объем продаж, кг |
|
|
Z0 |
Хo |
Z1 |
Х1 |
|
|
1 |
31,90 |
32000 |
36,80 |
35000 |
|
2 |
34,80 |
24000 |
36,50 |
36000 |
|
3 |
28,30 |
61000 |
33,30 |
36000 |
|
|
|
117000 |
|
107000 |
Вычислите по городам:
3. Общие индексы цен переменного и постоянного состава, индекс структурных сдвигов.
4. Абсолютное изменение средней цены под влиянием отдельных факторов.
Сделайте выводы.
|
Рынок |
Базисный период |
Отчетный период |
Z* = Z0 * X1 |
||||
|
Цена, руб/кг |
Объем продаж, кг |
Выручка |
Цена, руб/кг |
Объем продаж, кг |
Выручка |
||
|
Z0 |
Хo |
V0 = Z0 * X0 |
Z1 |
Х1 |
V1 = Z1 * X1 |
||
|
1 |
31,90 |
32000 |
1020800 |
36,80 |
35000 |
1288000 |
1116500 |
|
2 |
34,80 |
24000 |
835200 |
36,50 |
36000 |
1314000 |
1252800 |
|
3 |
28,30 |
61000 |
1726300 |
33,30 |
36000 |
1198800 |
1018800 |
|
|
|
117000 |
3582300 |
|
107000 |
3800800 |
3388100 |
Средняя цена в базисном периоде: Х0 = 3582300 / 117000 = 30,62
Средняя цена в отчетном периоде: Х0 = 3800800 / 107000 = 35,52
Индексы цен переменного и постоянного состава, индекс структурных сдвигов

Абсолютное изменение цены
Общее: 35,52 - 30,62 = 4,90 руб
в т.ч. за счет средней цены: 35,52 - 31,66 = 3,86 руб
в т.ч. за счет структурных сдвигов: 31,66 - 30,62 = 1,05 руб
Итак, средняя цена выросла на 4,90 руб, или на 16,0%, причем не только за счет средней цены по рынкам - на 3,86 руб или на 12,2%, но и за счет
изменения структуры - на 1,05 руб или на 3,4%
3. Аналитическая часть
Потребление товаров и услуг населением Уфимского района («Уфимские нивы» от 21.02.2005г) характеризуется следующими данными:
|
Виды товаров и услуг |
Объем продаж товаров и услуг в 2003г., млн.руб. |
Объем продаж товаров и услуг в 2004г., млн.руб. |
Индекс цен |
|
p0*q0 |
p1*q1 |
Ip = p1 / p0 |
|
|
Товары 1 необходимости |
524,3 |
623,8 |
1,12 |
|
Платные услуги |
635,8 |
765,4 |
1,16 |
|
Предметы роскоши |
11,8 |
12,3 |
1,05 |
|
Итого |
1171,9 |
1401,5 |
Определите:
1. Общий индекс цен на товары и услуги.
2. Индекс покупательной способности рубля.
3. Общий индекс физического объема потребления товаров и услуг в сопоставимых ценах.
4. Общий индекс потребления товаров и услуг в фактических ценах.
5. Абсолютный прирост (снижение) стоимости товаров и услуг вследствие:
· изменения цен;
· объема продажи по каждому виду товаров и услуг.
Решение:
Для решения поставленной задачи используем методику факторного анализа.
Статистические расчеты факторного анализа и анализа динамики можно представить с использованием прикладных программ обработки электронных таблиц MS Excel.
Составим таблицу исходных и расчетных данных в формулах:

Получим следующую таблицу:

Изобразим графически результаты вычисления:

Сделаем выводы:
Итак, прирост потребления за год вырос на 229,6 млн.руб.(или на 19,6%), причем за счет роста цен (на 14,1%)
- вырос на 173,0 млн.руб., а за счет роста физического объема потребления (на 4,8%) – вырос на 56,6 млн.руб. Таким образом, основной фактор роста объема продаж - рост цен, а не физического потребления
Незначительный физический объем потребления населения может говорить о том, что рост экономики происходит не за счет реального роста потребления, что является признаком экономической стагнации.
Признаком экономического кризиса может являться снижение покупательной
способности рубля на 9,8%, а также сокращения потребления предметов роскоши.
Динамика средней цены на дизельное топливо по стране, согласно официальных источников приведенных на сайте www.gsm.ru) характеризуется следующими данными:
|
2001 |
2002 |
2003 |
2004 |
2005 |
||
|
t |
1 |
2 |
3 |
4 |
5 |
|
|
Цена на Дт, руб/литр |
8,14 |
9,41 |
11,2 |
14,2 |
15,74 |
Определим:
1. Значения цепных и базисных абсолютных приростов
2. Цепные и базисные темпы роста и прироста к 2001 г.
3. Результаты расчетов представьте в таблице.
4. Среднегодовой темп роста и прироста.
Решение:
Статистические расчеты анализа динамики можно представить с использованием прикладных программ обработки электронных таблиц MS Excel. Для этого сначала представим формулы, необходимые для внесения для обработки электронных таблиц.
|
|||||||
|
Среднегодовая цена |
|||||||
|
|
|||||||
|
Абсолютный прирост |
|||||||
|
Темп роста |
|
||||||
|
|
|||||||
|
Темп прироста |
|||||||
|
|
|||||||
|
Абсолютное значение 1% прироста |
|||||||
|
Среднегодовые значения: |
|
||||||
|
Абсолютного прироста |
|||||||
|
Темпа роста |
|
||||||
|
|
|||||||
|
Темпа прироста |
|||||||
Составим таблицу исходных и расчетных данных в формулах:

Получи следующую таблицу.

За указанные годы наблюдается рост цен на ДТ : ежегодный рост составляет 1,9 руб. или 17,92%. В итоге, за период с 2001г. по 2005г. рост цен на ДТ: составил 7,6 руб. или 93,4%. Прогнозная цена на ДТ в 2005г. составит 18,56 руб. с учетом среднегодовых значений абсолютного прироста.
Графически изобразим динамику цен на ДТ:

Графическое изображение фактического ряда и темпов роста демонстрирует, что положительная тенденция наблюдалась за весь период 2001г.- 2005г.
Заключение
. Статистика изучает всю систему цен. Общеэкономические условия и роль цен в условиях становления рыночного хозяйственного механизма предопределили роль статистики в общей информационной системе.
Для получения объективной информации о ценовых процессах потребовалось решить две проблемы:
•разработать принципиально новую систему сбора информации о ценах;
•совершенствовать систему показателей и методологию их расчета с учетом адаптации к международным стандартам.
Система показателей статистики цен представляет собой совокупность взаимосвязанных и взаимодополняющих показателей, характеризующих различные стороны формирования и движения цен. Она должна быть достаточно устойчива, но в период становления рыночных отношений необходимы ее динамичность и непрерывное совершенствование. В этот период расширяется предложение, действует большое количество цен, что затрудняет получение информации о ценах на конкретные виды товаров, поэтому в системе показателей особое место занимают индексы цен, которые отражают изменение цен по обобщенным потокам товаров и услуг. В связи с этим в системе показателей особое место занимают индексы цен на товары и услуги. В анализе движения цен наряду с индексами используются и динамические ряды средних цен, позволяющие изучить соотношения цен на разные виды товаров. Важную роль в анализе ценовой информации играют пространственные ряды цен, на основании которых проводятся межрегиональные сопоставления уровней цен на одни и те же группы товаров, сопоставление уровней цен по различным каналам реализации товаров и т.д.
Литература:
1. Балинова В.С. Статистика в вопросах и ответах.— М.: Велби: Проспект, 2005.
2. Демография и статистика населения / под ред. И.И. Елисеевой.— М.: Финансы и статистика, 2006.
3. Ефимова М.Р. Статистика / М.Р. Ефимова.— М. : ИНФРА-М, 2004.
4. Макарова Н.В. Статистика в Excel.— М.: Финансы и статистика, 2006.
5. Микроэкономическая статистика / под ред. С.Д. Ильенковой.— М.: Финансы и статистика, 2004.
6. Социально-экономическая статистика / под ред. В.Н. Салина, Е.П. Шпаковской.— М. : Финансы и статистика, 2006.
7. Статистика / Под ред. В.Г. Минашкина.— М.: Проспект, 2005.
8. Статистика / под ред. В.М. Симчеры.— М. : Финансы и статистика, 2006.
9. Статистика / Под ред. И.И. Елисеевой.— М.: Проспект, 2007.