Оглавление
Задача № 1. 2
Задача № 3. 5
Задача №4. 6
Задача №5. 8
Задача №6. 10
Задача №7. 11
Задача №8. 13
Задача №9. 15
Задача №10. 17
Задача №11. 19
Задача 12. 20
Задача №13. 22
Задача №14. 23
Задача №15. 24
Задача №16. 25
Задача №17. 26
Задача №18. 30
Задание №19. 31
Задание №20. 33
Задача № 23. 35
Задача № 25. 38
Задача № 1
Имеются следующие данные о товарообороте по 20 магазинам продовольственных товаров (тыс. руб.): 2200, 3000, 1000, 2000, 4000, 3300, 2500, 2320, 1500, 2100, 2700, 1900, 2300, 3200, 3800, 2900, 2400, 3500, 2380, 2600. Постройте интервальный ряд распределения торговых предприятий по товарообороту, образовав, 5 групп с равными интервалами. Рассчитайте характеристики ряда распределения. Сделайте выводы.
Решение:
|
№ магазина |
Товарооборот тыс.р. |
№ магазина |
Товарооборот тыс.р. |
|
1 |
2200 |
11 |
2700 |
|
2 |
3000 |
12 |
1900 |
|
3 |
1000 |
13 |
2300 |
|
4 |
2000 |
14 |
3200 |
|
5 |
4000 |
15 |
3800 |
|
6 |
3300 |
16 |
2900 |
|
7 |
2500 |
17 |
2400 |
|
8 |
2320 |
18 |
3500 |
|
9 |
1500 |
19 |
2380 |
|
10 |
2100 |
20 |
2600 |
Для построения интервального вариационного ряда, характеризующего распределение банков по объему кредитных вложений, необходимо вычислить величину и границы интервалов ряда.
При построении ряда с равными интервалами величина интервала h определяется по формуле
,
где
– наибольшее и наименьшее значения
признака в исследуемой совокупности, k- число групп интервального ряда.
Определим величину интервала по формуле при заданных k = 5, xmax=4000 тыс. руб., xmin = 1000 тыс. руб.
тыс.р.
При h = 600 тыс. руб. границы интервалов ряда распределения имеют следующий вид
|
Номер группы |
Нижняя граница, Тыс. руб. |
Верхняя граница, Тыс. руб. |
|
1 |
1000 |
1600 |
|
2 |
1600 |
2200 |
|
3 |
2200 |
2800 |
|
4 |
2800 |
3400 |
|
5 |
3400 |
4000 |
Построим разработочную таблицу. Отнесение единиц к одной из двух смежных групп осуществляем по принципу полуоткрытого интервала [ ). Т.к. при этом верхние границы интервалов не принадлежат данным интервалам, то соответствующие им единицы совокупности включаются не в данную группу, а в следующую. В последний интервал включаются и нижняя, и верхняя границы.
|
Группы магазинов по товарообороту |
№ магазина |
Товарооборот тыс.р. |
|
1000-1600 |
3 |
1000 |
|
9 |
1500 |
|
|
Всего |
2 |
2500 |
|
1600-2200 |
4 |
2000 |
|
10 |
2100 |
|
|
12 |
1900 |
|
|
Всего |
3 |
6000 |
|
2200-2800 |
1 |
2200 |
|
7 |
2500 |
|
|
8 |
2320 |
|
|
11 |
2700 |
|
|
13 |
2300 |
|
|
17 |
2400 |
|
|
19 |
2380 |
|
|
20 |
2600 |
|
|
Всего |
8 |
19400 |
|
2800-3400 |
2 |
3000 |
|
4 |
2000 |
|
|
14 |
3200 |
|
|
16 |
2900 |
|
|
Всего |
4 |
11100 |
|
3400-4000 |
5 |
4000 |
|
15 |
3800 |
|
|
18 |
3500 |
|
|
Всего |
3 |
11300 |
|
Итого |
20 |
50300 |
На основе групповых итоговых строк «Всего» формируется итоговая таблица, представляющая интервальный ряд распределения магазинов по товарообороту.
|
Номер группы |
Группы магазинов по товарообороту |
Число магазинов, f |
|
1 |
1000-1600 |
2 |
|
2 |
1600-2200 |
3 |
|
3 |
2200-2800 |
8 |
|
4 |
2800-3400 |
4 |
|
5 |
3400-4000 |
3 |
|
Итого |
20 |
Помимо частот групп в абсолютном выражении в анализе
интервальных рядов используются ещё три характеристики ряда. Это частоты групп в относительном выражении,
накопленные (кумулятивные) частоты Sj, получаемые путем
последовательного суммирования частот всех предшествующих (j-1)
интервалов, и накопленные частости, рассчитываемые по формуле
.
|
№ группы |
Группы магазинов по товарообороту |
Число магазинов, fj |
Накопленная частота, Sj |
Накопленная частоcть, % |
|
|
в абсолютном выражении |
в % к итогу |
||||
|
1 |
1000-1600 |
2 |
10,0 |
2 |
10,0 |
|
2 |
1600-2200 |
3 |
15,0 |
5 |
25,0 |
|
3 |
2200-2800 |
8 |
40,0 |
13 |
65,0 |
|
4 |
2800-3400 |
4 |
20,0 |
17 |
85,0 |
|
5 |
3400-4000 |
3 |
15 |
20 |
100 |
|
Итого |
20 |
100,0 |
Вывод. Анализ интервального ряда распределения изучаемой совокупности магазинов показывает, что распределение банков по товарообороту не является равномерным: преобладают магазины с товарооборотом от 2200 тыс. руб. до 2800 тыс. руб. (это 8 магазинов, доля которых составляет 40%); 25% магазинов имеют товарооборот менее 2200 тыс руб., а 65% – менее 2800 тыс руб.
Задача № 3
Имеются следующие условные данные о ценах и реализации товара "А" двумя торговыми предприятиями:
|
Предпр. |
Базисный период |
Отчетный период |
||
|
цена за единицу товара p0 |
Количество проданного товара q0 |
цена за единицу товара p1 |
Количество проданного товара q1 |
|
|
№1 |
4,5 |
750 |
5 |
200 |
|
№2 |
3,5 |
450 |
4 |
300 |
Определите: 1. Индексы цен переменного, постоянного состава, структурные сдвигов. 2. Абсолютное изменение средней цены товара под влиянием отдельных факторов. Сделайте выводы.
Решение:
|
Предпр. |
Базисный период |
Отчетный период |
||
|
цена за единицу товара p0 |
Количество проданного товара q0 |
цена за единицу товара p1 |
Количество проданного товара q1 |
|
|
№1 |
4,5 |
750 |
5 |
200 |
|
№2 |
3,5 |
450 |
4 |
300 |
|
Итого |
1200 |
500 |
1. Индексы цен
а) Переменного состава:

б) Постоянного состава:

в) Структурных сдвигов:

2. Абсолютное изменение средней цены товара
а) В целом
∆в целом=
б) От изменения уровня цен
∆от цен ![]()
в) От изменения проданного количества товара:
∆от кол. товара= 
Вывод: Цена на товар в отчетном периоде по сравнению с базисным увеличилась на 0,275 тыс. руб. Ее изменение было вызвано изменениями в объемах продаж товара(средняя цена уменьшилась на 0,225 тыс. руб.) и за счет непосредственного изменения уровня цен (увеличилась на 0,5 тыс. руб.). Таким образом, на изменение цен может оказывать влияние несколько факторов. В данном случае изменение за счет изменения уровня цен оказалось решающим.
Задача №4
Имеются следующие условные данные по торговому предприятию за два квартала (тыс. руб.):
|
Товар |
Базисный квартал |
Отчетный квартал |
||
|
Товаро-оборот |
Средние товарные запасы |
Товаро-оборот |
Средние товарные запасы |
|
|
А |
1900 |
520 |
2460 |
560 |
|
Б |
830 |
170 |
1072 |
170 |
|
В |
500 |
340 |
602 |
240 |
Определите по каждому товару и по трем товарам вместе: 1. скорость товарооборота 2. время обращения товаров 3. индексы динамики средней скорости товарооборота. Сделайте выводы.
Решение:
1. Скорость товарооборота V исчисляется как отношение товарооборота к среднему за период товарному запасу.
Базисный квартал:
Va=
раз/г.
Vб=
раз/г.
Vв=
раз/г.
Отчетный
квартал:
Va=
раз/г.
Vб=
раз/г.
Vв=
раз/г.
2.Период в течение, которого товары находятся в сфере обращения и представляют собой время товарного обращения. Рассчитывается по формуле:
![]()
Количество дней в квартале равно 90. Найдем время обращения товаров, выраженного в днях.
Базисный квартал:
Тa=
дней
Тб=
дней
Тв=
дней
Отчетный квартал:
Тa=
дней
Тб=
дней
Тв=
дней
3. Индексы динамики средней скорости товарооборота будем рассчитывать по формуле:
![]()
,
, 
Вывод: Исходя из полученных индексов можно утверждать что скорость товарооборота по товару «А» увеличилась на 20%, по товару «Б» на 29% , по товару «в» на 70 % по отношению отчетного периоду к базисному.
Задача №5
Имеются следующие условные данные:
|
Квартал |
Плановый объем розничного товарооборота, млн.р. |
Товарные запасы на начало каждого квартала |
Норматив товарных запасов, дней |
|
I |
160 |
140 |
77 |
|
II |
180 |
160 |
79 |
|
III |
200 |
150 |
80 |
|
IV |
230 |
200 |
75 |
определите: 1. фактическую обеспеченность запасами в каждом квартале. 2. отклонение фактической обеспеченности товарными запасами (в днях) от плановой в каждом квартале и в целом за год (в днях и в стоимостном выражении).
Решение: 1. Фактическую обеспеченность запасами за квартал будем искать по формуле.




2. Для полной оценки обеспеченности розничного товарооборота товарными запасами надо фактические показатели обеспеченности сопоставить с плановыми нормативами. Сопоставление ведется по формуле
O
(Зн : —— ) — N
Д
товарные запасы в днях или
O
Зн — ( N * —— )
Д
товарные запасы в сумме,
где О—розничный товарооборот за период; Д—число дней в периоде; N—норматив товарных запасов в днях.
В первом квартале:
а) товарные запасы в днях
дней
б) товарные запасы в сумме
млн.р.
Во втором квартале:
а) товарные запасы в днях
дней
б) товарные запасы в сумме
млн.р.
В третьем квартале:
а) товарные запасы в днях
дней
б) товарные запасы в сумме
млн.р.
В четвертом квартале:
а) товарные запасы в днях
дней
б) товарные запасы в сумме
млн.р.
Задача №6
Товарооборот торговых предприятий, млн.р.
|
Своей системы |
Других отраслей |
|
|
Оптовые предприятия |
1800 |
80 |
|
Розничные предприятия |
250 |
- |
1. Оптовый товарооборот представляет собой сумму товарооборота оптовых предприятий как за, так и в пределах данной системы
1800+80=1880 млн.р.
Розничный товарооборот представляет собой сумму товарооборота розничных предприятий как за, так и в пределах данной системы
250 млн.р.
Чистый товарооборот представляет собой сумму товарооборота оптовых и розничных предприятий за пределами данной системы
80 млн.р.
Валовой товарооборот - финансовый показатель всех продаж в сфере товарного обращения, равный сумме оптового и розничного товарооборота. 250+1880=2130 млн. р.
2. коэффициент звенности товародвижения Т рассчитывается как отношение валового товарооборота предприятия или торговой системы (Ов) к чистому товарообороту (Оч) за определенный период.
млн. р.
Задача №7
Имеются данные о товарообороте по 3 товарным группам:
|
Группа товаров |
Розничный товарооборот в фактических ценах, тыс.р. |
Изменение цен в отчетном периоде по сравнению с базисным, % |
|
|
Базисный период |
Отчетный период |
||
|
1 |
2500 |
3000 |
+6 |
|
2 |
2000 |
2200 |
+12 |
|
3 |
3000 |
3180 |
-4 |
Определите по 3 группам товаров вместе: 1. Индексы товарооборота в фактических и сопоставимых ценах, индекс цен. 2. Абсолютное изменение товарооборота, в том числе вследствие изменения физического объема товарооборота и цен. сделайте выводы.
Решение:
Для проведения необходимых расчетов построим дополнительную таблицу:
|
Группа товаров |
Розничный товарооборот в фактических ценах, тыс.р. |
Изменение цен в отчетном периоде по сравнению с базисным, % |
Цены базисного периода,
усл.ед., |
Цены отчетного периода,
усл.ед., |
|
|
Базисный период |
Отчетный период |
||||
|
1 |
2500 |
3000 |
+6 |
1 |
1,06 |
|
2 |
2000 |
2200 |
+12 |
1 |
1,12 |
|
3 |
3000 |
3180 |
-4 |
1 |
0,96 |
|
Итого |
7500 |
8380 |
1. Общий индекс товарооборота в фактических ценах равен:

Определим Индекс товарооборота в сопоставимых ценах:

Общий индекс цен:

Итак, общий индекс цен составил 1,03, то есть в отчетном периоде по сравнению с базисным общий уровень цен всей реализованной продукции увеличился на 3%.
2) Абсолютное изменение товарооборота, в том числе вследствие изменения физического объема товарооборота и цен.
Из таблицы видно, что товарооборот всех трех видов продукции в отчетном периоде по сравнению с базисным увеличилась на880 тыс. руб. (8380-7500)
Изменение товарооборота вследствие изменения физического объема товарооборота и цен рассчитаем по формулам
а) Изменение цен
тыс.руб.
б) Изменение физического объема товарооборота
тыс.р.
Вывод. Товарооборот в отчетном периоде по сравнению с базисным увеличилась на 880 тыс.р. Его изменение было вызвано изменениями в объемах товарооборота(+607тыс.р.) и за счет непосредственного изменения уровня цен(+273тыс.р.). Таким образом, на изменение товарооборота может оказывать влияние несколько факторов.
Задача №8
Имеются данные о товарообороте по 3 товарным группам:
|
Группа товаров |
Розничный товарооборот в фактических ценах, тыс.р. |
Изменение количества проданного товара в отчетном периоде по сравнению с базисным, % |
|
|
Базисный период |
Отчетный период |
||
|
1 |
2100 |
2600 |
+10 |
|
2 |
1600 |
1800 |
-5 |
|
3 |
2800 |
3100 |
+4 |
Определите по 3 группам товаров вместе: 1. Индексы товарооборота в фактических и сопоставимых ценах, индекс цен. покажите их взаимосвязь. 2. абсолютное изменение товарооборота в том числе вследствии изменения физического объема товарооборота и цен. сделайте выводы.
Решение:
Для проведения необходимых расчетов построим дополнительную таблицу:
|
Группа товаров |
Розничный товарооборот в фактических ценах, тыс.р. |
Изменение количества проданного товара в отчетном периоде по сравнению с базисным, % |
Количество проданного товара базисного периода, усл.ед., q0 |
Количество проданного товара отчетного периода, усл.ед., q1 |
|
|
Базисный период |
Отчетный период |
||||
|
1 |
2100 |
2600 |
+10 |
1 |
1,1 |
|
2 |
1600 |
1800 |
-5 |
1 |
0,95 |
|
3 |
2800 |
3100 |
+4 |
1 |
1,04 |
|
Итого |
6500 |
7500 |
1. Общий индекс товарооборота в фактических ценах равен:

Определим Индекс товарооборота в сопоставимых ценах:

Общий индекс цен:

Итак, общий индекс цен составил 1,153, то есть в отчетном периоде по сравнению с базисным общий уровень цен всей реализованной продукции увеличился на 15,3%.
Взаимосвязь между индексами:
![]()
2) Абсолютное изменение товарооборота, в том числе вследствие изменения физического объема товарооборота и цен.
Из таблицы видно, что товарооборот всех трех видов продукции в отчетном периоде по сравнению с базисным увеличилась на 1000 тыс. руб. 7500-6500)
Изменение товарооборота вследствие изменения физического объема товарооборота и цен рассчитаем по формулам
а) Изменение цен
тыс.руб.
б) Изменение физического объема товарооборота
тыс.р.
Вывод. Товарооборот в отчетном периоде по сравнению с базисным увеличилась на 1000 тыс.р. Его изменение было вызвано изменениями в объемах товарооборота(+242тыс.р.) и за счет непосредственного изменения уровня цен(+758 тыс.р.). Таким образом, на изменение товарооборота может оказывать влияние несколько факторов.
Задача №9
Имеются данные о реализации фруктовых соков в городе в течение 3-х лет по кварталам (млн. руб.)
|
Квартал |
1-ый год |
2-ой год |
3-ий год |
|
I |
30 |
34 |
40 |
|
II |
45 |
48 |
52 |
|
III |
64 |
70 |
68 |
|
IV |
36 |
34 |
38 |
1.Охарактеризуйте сезонность продажи фруктовых соков, рассчитав индексы сезонности методом простой средней. 2. Осуществите прогноз продажи на следующий (4-й) год по кварталам, используя индексы сезонности, при условии, что годовой товарооборот планируется в объеме 230 млн. руб. 3. Постойте график сезонной волны. Сделайте выводы.
Решение:
1. Для расчета используем расчетную таблицу:
|
Квартал |
1-ый год |
2-ой год |
3-ий год |
среднемесячная |
Is |
|
I |
30 |
34 |
40 |
34,6666667 |
74,4186047 |
|
II |
45 |
48 |
52 |
48,3333333 |
103,756708 |
|
III |
64 |
70 |
68 |
67,3333333 |
144,543828 |
|
IV |
36 |
34 |
38 |
36 |
77,2808587 |
|
Итого |
175 |
186 |
198 |
186,333333 |
400 |
|
В среднем |
43,75 |
46,5 |
49,5 |
46,5833333 |
100 |
Индекс
сезонности считаем по формуле:
,
Где
- средняя для каждого месяца за три года
-среднемесячный уровень для всего ряда.
2. Используя индексы сезонности, при условии, что годовой товарооборот планируется в объеме 230 млн. руб. спрогнозируем объем продаж на 4 год поквартально.
Найдем среднее значения объема продаж сока по 4 кварталам : 230/4=57,5млн.р.
Спрогнозируем оббьем продаж путем умножения средней величины на сезонный индекс.
|
Is |
прогноз |
|
0,74418605 |
42,60465 |
|
1,03756708 |
59,40072 |
|
1,44543828 |
82,75134 |
|
0,77280859 |
44,24329 |
|
Итого |
229 |
|
В среднем |
57,25 |
3. Построим сезонную волну.

Задача №10
Имеются данные о динамике производства и себестоимости продукции предприятия:
|
Вид продукции |
Выпуск продукции, тыс.р. |
Себестоимость единицы продукции, руб |
||
|
III квартал q0 p0 |
IV квартал q1 p1 |
III квартал p0 |
IV квартал p1 |
|
|
КС |
6 |
4 |
80 |
91 |
|
МК |
10 |
6 |
20 |
30 |
Определите: 1. Индивидуальные индексы себестоимости и физического объема произведенной продукции. 2.Индексы на общие затраты: а) затрат на выпуск продукции; б) себестоимости продукции; в) физического объема продукции. Покажите взаимосвязь исчисленных индексов и сделайте выводы.
Решение: 1. Найдем индивидуальные индексы себестоимости и физического объема произведенной продукции по формулам.
Индекс динамики себестоимости единицы продукции: ![]()
Индекс динамики физического
объема продукции: ![]()
Занесем полученные данные в таблицу
|
Вид продукции |
Выпуск продукции, тыс.р. |
Себестоимость единицы продукции, руб. |
||||
|
III квартал q0 p0 |
IV квартал q1 p1 |
|
III квартал p0 |
IV квартал p1 |
|
|
|
КС |
6 |
4 |
0,66666667 |
80 |
91 |
1,1375 |
|
МК |
10 |
6 |
0,6 |
20 |
30 |
1,5 |
|
Итого |
16 |
10 |
100 |
121 |
2.
а) Индекс общих затраты на выпуск продукции рассчитывается по формуле:

б) Индекс общих затрат на себестоимости продукции рассчитаем по формуле Пааше:
в) Индекс физического обьема

Взаимосвязь между индексами:
![]()
Вывод. Затраты на выпуск продукции в отчетном периоде по сравнению с базисным уменьшились они составили 62,5% по отношению к базисному. Их изменение было вызвано изменениями в Физическом обьеме(физический оббьем составил 46,97% в отчетном периоде по сравнению с базисным.) и за счет непосредственного изменения уровня себестоимости продукции (она увеличилась на 33% в отчетном периоде по сравнению с базисным тыс.р.). Таким образом, на изменение товарооборота может оказывать влияние несколько факторов.
Задача №11
Имеются данные АО за год, тыс. руб. Полная стоимость основных производственных фондов на начало года - 7000 Введено в действие новых основынх фондов - 2150 Выбыло по полной стоимости - 820 Сумма износа основных фондов: на начало года - 2100 на конец года - 1990 выпуск продукции за год - 7500 Определите: 1. коэффициенты износа и годности основных фондов на начало и конец года. 2. коэффициенты обновления и выбытия за год, показатель фондоотдачи.
Решение:
1). Коэффициент годности определяется по формуле:

Коэффициент износа определяется по формуле:

На начало года:
или 70%
или 30%
На конец года:
или 76,1%
или 23,9%
2). Коэффициент обновления определяется по формуле:
или 25,8%%
Коэффициент выбытия определяется по формуле:
или 9,8%
Фондоотдача рассчитывается по формуле:
где q – объем валовой продукции, млн. руб.
s - стоимость основных производственных фондов, млн. руб.
![]()
Задача 12
Имеются данные об использовании основных фондов АО, млн. руб.:
|
Показатели |
Базисный год |
Отчетный год |
|
Объем продукции в сопоставимых ценах |
280 |
330 |
|
Среднегодовая стоимость основных производственных фондов |
200 |
220 |
определите: 1. Показатели фондоотдачи за каждый период; 2. Абсолютный прирост продукции вследствие изменения: а) объема основных фондов; б) фондоотдачи.
Решение:
Показатель фондоотдачи
рассчитывается по формуле:
, где
q – объем валовой продукции, млн. руб.
s - стоимость основных производственных фондов, млн. руб.
Занесем полученные данные в таблицу
|
Показатели |
Базисный год |
Отчетный год |
|
Объем продукции в сопоставимых ценах, q |
280 |
330 |
|
Среднегодовая стоимость основных производственных фондов, s |
200 |
220 |
|
Показатель фондоотдачи
|
1,4 |
1,5 |
2) Абсолютное изменение объема продукции, в том числе вследствие изменения фондоотдачи и среднегодовой стоимости основных фондов.
Найдем изменение объема продукции вследствие изменения
а) среднегодовой стоимости основных фондов по формуле
млн.руб.
б) фондоотдачи
млн.р.
Задача №13
Розничный товарооборот торговой организации характеризуется следующими данными:
|
Дни месяца |
Млн. р. |
|
1 |
2 |
|
2 |
2,2 |
|
3 |
2,3 |
|
4 |
2,2 |
|
5 |
2,4 |
|
6 |
2,5 |
|
7 |
2,3 |
|
8 |
2,4 |
|
9 |
2,6 |
|
10 |
2,7 |
|
11 |
2,6 |
|
12 |
2,4 |
|
13 |
2,5 |
|
14 |
2,8 |
|
15 |
3 |
Определите основную тенденцию динамики товарооборота трехчленной скользящей средней. постройте графики по исходным и рассчитанным данным. сделайте вывод.
Решение: Сущность этого метода заключается в том, что исчисляется средний уровень из определенного нечетного числа (в нашем случае 3), первых по счету уровней ряда, затем из такого же числа уровней, но начиная со второго по счету, далее - начиная с третьего и т.д. Таким образом, средняя как бы скользит по ряду динамики, передвигаясь на один срок.
Рассчитаем скользящую среднюю
|
Дни месяца |
Млн. р. |
Скользящая средняя |
|
1 |
2 |
- |
|
2 |
2,2 |
(2+2,2+2,3)/3=2,16 |
|
3 |
2,3 |
(2,2+2,3+2,2)/3=2,23 |
|
4 |
2,2 |
(2,3+2,2+2,4)/3=2,3 |
|
5 |
2,4 |
2,36 |
|
6 |
2,5 |
2,4 |
|
7 |
2,3 |
2,4 |
|
8 |
2,4 |
2,43 |
|
9 |
2,6 |
2,56 |
|
10 |
2,7 |
2,63 |
|
11 |
2,6 |
2,56 |
|
12 |
2,4 |
2,5 |
|
13 |
2,5 |
2,56 |
|
14 |
2,8 |
2,76 |
|
15 |
3 |
- |
Построим график кривой по исходным
данным(эмпирическая) и по рассчитанной скользящей средней:

Вывод: Исходя из полученых графиков можно утверждать что товарооборот предприятия имеет положительную тенденцию.
Задача №14
Эффективность работы акционерного ощества в 1 полугодии характеризуется показателями:
|
Предприятие АО |
Получено прибыли, тыс. руб. |
Рентабельность акционерного капитала, % |
Удельный вес акционерного капитала, % |
|
А |
1 |
2 |
3 |
|
№1 |
700 |
30 |
45 |
|
№2 |
320 |
40 |
20 |
|
№3 |
400 |
20 |
35 |
Определите среднюю рентабельность АО, используя показатели: 1) гр.1 и гр.2 2) гр.2 и гр.3
Решение: 1) определим среднюю рентабельность АО, основываясь на показателе прибыли гр.1:


или 27%
2) определим среднюю рентабельность, основываясь на гр. 3, удельный вес
или 28,5%
Задача №15
Имеются следующие данные о поставки товара разной сортности:
|
Сорт |
Цена по договору, тыс.р./т. |
Поставка товара тыс.т. |
|
|
По контракту |
фактически |
||
|
1 |
200 |
500 |
500 |
|
2 |
150 |
400 |
300 |
|
3 |
120 |
100 |
200 |
Определите, в какой мере структура поставки по сортности соответствует условиям контракта (рассчитайте индекс сортности).
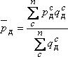
Решение: Формула индекса сортности, рассчитанного по средним ценам:

где
-
установленная в контракте цена данного сорта;
-
фактически поставленное количество товаров данного сорта;
- средняя
договорная цена для каждого сорта товара, исчисленная по следующей формуле:

где
- договорное количество товаров данного сорта;
n - число сортов


Структура поставки соответствует условиям контракта на 98%
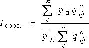
Задача №16
Для установления среднего объема реализации в организациях розничной торговли города была проведена 2%-ная типичная выборка с пропорциональным отбором внутри типических групп. в результате выборки получены следующие данные:
|
Тип торговой организации |
Количество организаций |
Средний объем реализации, млн.р. |
Среднее квадратической отклонение, млн.р. |
|
Продовольственные |
20 |
60 |
5 |
|
Непродовольственные |
10 |
100 |
9 |
С вероятностью 0, 954 определите пределы, в которых находится средний объем реализации в организациях розничной торговли города.
Решение:
Средний объем реализации находится по формуле:
![]()
Средний объем реализации в выборочной совокупности определим по формуле:

Выборочная дисперсия определяется по формуле:

Придельную выборку посчитаем по формуле:
млн.р.
С вероятностью 0, 954 можно утверждать, что средний объем реализации в организациях розничной торговли города, будет находиться в приделах
млн. р. или ![]()
Задача №17
Имеются следующие данные по 16 магазинам о количестве проданного товара и ценах на него:
№ магазина Цена товара, руб./ед. Количество проданного товара, тыс. ед. 1 100 34 2 121 23 3 80 50 4 98 32 5 112 25 6 95 37 7 84 42 8 108 27 9 93 36 10 85 45 11 82 48 12 104 30 13 118 24 14 80 52 15 93 36 16 140 10
Сгруппируйте магазины по уровню цен, образовав 4 группы с равными интервалами. По каждой группе определите число магазинов и количество проданного товара (всего и в среднем одним магазином). сделайте выводы о наличии (или отсутствии) связи между ценой и количеством проданного товара.
Решение: Для построения интервального ряда распределения определяем величину интервала h по формуле:
,
где
–наибольшее
и наименьшее значения признака в исследуемой совокупности, k - число групп интервального ряда.
При заданных k = 4, xmax = 140 р. и xmin = 80 р.
h =
.р.
При h =15р. границы интервалов ряда распределения имеют следующий вид (табл. 2):
Таблица 2
|
Номер группы |
Нижняя граница, тыс.р. |
Верхняя граница, тыс.р. |
|
1 |
80 |
95 |
|
2 |
95 |
110 |
|
3 |
110 |
125 |
|
4 |
125 |
140 |
Определяем число фирм, входящих в каждую группу, используя принцип полуоткрытого интервала [ ), согласно которому фирмы со значениями признаков, которые служат одновременно верхними и нижними границами смежных интервалов, будем относить ко второму из смежных интервалов.
Для определения числа фирм в каждой группе строим разработочную таблицу
Таблица 3
Разработочная таблица для построения интервального ряда распределения и аналитической группировки
|
Группы магазинов по цене товара, руб./ед. |
Номер Магазина |
Цена товара, р. |
Количество проданного товара, тыс. ед. |
|
1 |
2 |
3 |
4 |
|
80-95 |
3 |
80 |
50 |
|
7 |
84 |
42 |
|
|
9 |
93 |
36 |
|
|
10 |
85 |
45 |
|
|
11 |
82 |
48 |
|
|
14 |
80 |
52 |
|
|
15 |
93 |
36 |
|
|
Всего |
7 |
600 |
313 |
|
В среднем |
85,7 |
44,7 |
|
|
95-110 |
1 |
100 |
34 |
|
4 |
98 |
32 |
|
|
6 |
95 |
37 |
|
|
8 |
108 |
27 |
|
|
12 |
104 |
30 |
|
|
Всего |
5 |
505 |
160 |
|
В среднем |
101 |
32 |
|
|
110-125 |
2 |
121 |
23 |
|
5 |
112 |
25 |
|
|
13 |
118 |
24 |
|
|
Всего |
3 |
351 |
72 |
|
В среднем |
117 |
24 |
|
|
125-140 |
16 |
140 |
10 |
|
Всего |
1 |
140 |
10 |
|
В среднем |
140 |
10 |
|
|
Итого |
16 |
1596 |
555 |
На основе групповых итоговых строк «Всего» табл. 3 формируем итоговую таблицу, представляющую интервальный ряд распределения магазинов по цене продукции.
|
Номер группы |
Группы магазинов по цене товара, р. /ед. |
Число магазинов, fj |
|
1 |
80-95 |
7 |
|
2 |
95-110 |
5 |
|
3 |
110-125 |
3 |
|
4 |
125-140 |
1 |
|
Итого |
16 |
Произведем группировку магазинов по количеству проданного товара:
При заданных k = 4, xmax = 52 тыс. ед. и xmin = 10 тыс. ед.
h =
тыс. ед
|
Номер группы |
Группы магазинов по цене товара, р./ед. |
Число магазинов, fj |
|
1 |
10-20,5 |
1 |
|
2 |
20,5-31 |
5 |
|
3 |
31-41,5 |
5 |
|
4 |
41,5-52 |
5 |
|
Итого |
16 |
Используя группировки по факторному и результативному признакам, строим корреляционную таблицу
Корреляционная таблица зависимости суммы прибыли банков
от объема кредитных вложений
|
Группы магазинов по цене товара, р./ед. |
Группы банков по сумме прибыли, млн руб. |
|
|||
|
10-20,5 |
20,5-31 |
31-41,5 |
41,5-52 |
Итого |
|
|
80-95 |
1 |
5 |
1 |
7 |
|
|
95-110 |
4 |
1 |
5 |
||
|
110-125 |
3 |
3 |
|||
|
125-140 |
1 |
1 |
|||
|
Итого |
1 |
5 |
5 |
5 |
16 |
Вывод. Анализ таблицы показывает, что распределение частот групп произошло вдоль нечеткой диагонали, идущей из левого верхнего угла в правый нижний угол таблицы. Это свидетельствует о наличии слабой обратной корреляционной связи
Задача №18
имеются следующие условные данные:
|
Группы предприятий по форме собственности |
Численность предприятий |
Средний выпуск продукции, млн.р. |
Среднее квадратическое отклонение |
|
Государственные |
10 |
500 |
100 |
|
Коммерческие |
20 |
800 |
120 |
Измерьте тесноту корреляционной связи между выпуском продукции и формой собственности предприятия эмпирическим корреляционным отношением. Решение:
Рассчитаем общую дисперсию:
=
Рассчитаем межгрупповую дисперсию:


Коэффициент детерминации:
или 8,33%
Эмпирическое корреляционное отношение
оценивает тесноту
связи и вычисляется по формуле

Рассчитаем показатель
:

Вывод: согласно шкале Чэддока:
0,1-0,3 – связь слабая 0,3-0,5 – умеренная 05,-0,7 – заметная 0,7-0,9 – тесная 0,9-0,99 – весьма тесная
Связь является слабой.
Задание №19
Имеются следующие данные, млн. руб.
|
Вид продукции |
Затраты на производство и реализацию |
Прибыль от реализации |
||
|
Базисный период |
Отчетный период |
Базисный период |
Отчетный период |
|
|
А |
480 |
620 |
140 |
210 |
|
Б |
220 |
160 |
60 |
40 |
Определите: 1. рентабельность по каждому виду и в целом по двум видам продукции за каждый период; 2. общие индексы рентабельности продукции (переменного, постоянного состава и структурных сдвигов); 3. абсолютное изменение средней рентабельности продукции за счет факторов: а) рентабельности; б) структурных сдвигов.
Решение
1. Рентабельность продукции ( r ) исчисляют как отношение прибыли от реализации продукции. К затратам ( С ) на ее производство:
![]()
|
Вид продукции |
Затраты на производство и реализацию |
Прибыль от реализации |
r отчетного периода |
r баз. периода |
Рентабельность по 2м видам продукции |
|||
|
Базисный период |
Отчетный период |
Базисный период |
Отчетный период |
отчетный |
базисный |
|||
|
А |
480 |
620 |
140 |
210 |
0,33871 |
0,291667 |
0,320513 |
0,285714 |
|
Б |
220 |
160 |
60 |
40 |
0,25 |
0,272727 |
||
|
Итого |
700 |
780 |
200 |
250 |
2. Общие индексы рентабельности
а) Переменного состава:

б) Постоянного состава:

в) Структурных сдвигов:

3.Абсолютное изменение средней рентабельности продукции
В целом
∆в целом=
б) От изменения уровня рентабельности
∆от рентабельности 
в) От изменения структурных сдвигов:
∆от
изменения структурных сдвигов =
Задание №20
имеются следующие условные данные о динамике производительности труда: предприятие изменение производительности Численность рабочих в отчетном периоде, чел труда в отчетном периоде по сревнению с базисным, % (+,-) № 1 +5 240 № 2 -1 200 № 3 не изменилась 210
Решение:
Определите как изменилась производительность труда в отчетном периоде по
сравнению с базисным в целом по трем предприятиям.
Задача № 21
имеются следующие данные по предприятию:
|
Показатели |
Базисный период |
Отчетный период |
Отклонения |
|
|
абсолютные |
Относительные |
|||
|
Произведено изделий (тыс. шт.) |
40 |
48 |
||
|
Затрачено рабочего времени на производство изделий(тыс. чел.-ч.) |
100 |
96 |
||
|
Средняя часовая выработка (шт./чел.-ч.) |
||||
|
трудоемкость изготовления одного изделия (чел.-ч./шт.) |
Определите все недостающие показатели таблицы (заполните пустые строки и графы). сделайте выводы.
Решение:
Средняя часовая выработка рассчитывается как отношение количества произведенных изделий к времени, затраченного рабочими на производство изделий.
Трудоемкость изготовления одного изделия рассчитывается как отношение времени затраченного рабочими на производство изделий к количеству произведенных изделий.
Абсолютные показатели это показатели характеризующие фактическое отклонение отчетного периода по сравнению с базисным.
Относительные показатели это такие показатели которые характеризуют соотношение фактическое отношение отчетного периода по отношению к базисному, измеряется в долях или процентах.
|
Показатели |
Базисный период |
Отчетный период |
Отклонения |
|
|
абсолютные |
Относительные |
|||
|
Произведено изделий (тыс. шт.) |
40 |
48 |
48-40=8 |
48/40=1,2 или 120% |
|
Затрачено рабочего времени на производство изделий(тыс. чел.-ч.) |
100 |
96 |
96-100= -4 |
96/100=0,96 или 96% |
|
Средняя часовая выработка (шт./чел.-ч.) |
40/100=0,4 |
48/96=0,5 |
0,5-0,4=0,1 |
0,5/0,4=1,25 или 125% |
|
трудоемкость изготовления одного изделия (чел.-ч./шт.) |
100/40=2,5 |
96/48=2 |
2-2,5= -0,5 |
2/2,5=0,8 или 80% |
Вывод: Исходя из полученных расчетов можно утверждать что количество произведенных изделий в отчетном году увеличилось на 20% (+8 тыс.шт.) А общее время на изготовление продукции снизилось на 4%(-4 тыс. чел.-ч.). Это повлекло к увеличений средней часовой выработки(+25%) и уменьшению трудоемкости изготовления продукции(-20%) Задача № 22 Имеются следующие условные данные об экономической деятельности региона (в фактически действующих ценах): № п/п Показатели млрд. руб. 1 валовой выпуск в основных ценах: - в сфере производства товаров 17800 - в сфере производства услуг 12800 2 промежуточное потребление: - в сфере производства товаров 9500 - в сфере производства услуг 4600 3 косвенно измеряемые услуги финансового посредничества 540 4 Налоги на продукцы и импорт 2580 5 субсидии на продукты и импорт 990 6 оплата труда наемных работников 6700 7 валовая прибыль и валовые смешанные доходы 9130 8 налоги на производство и импорт 2900 9 субсидии на производство и импорт 1180 Определите валовой внутренний продукт производственным и распределительным методами.
Решение:
Объем ВВП, определенный производственным методом в рыночных ценах равен (с1+с4-с5-с2-с3)
ВВП=(17800+12800)+2580-990-(9500+4600)-540=17550
Объем ВВП, определенный распределительным методом в рыночных ценах равен (с6+с7+с8-с9)
ВВП=6700+9130+2900-1180=17550
Задача № 23 Имеются следующие данные по двум предприятиям о затратах времени на выработку изделия А:
|
Предприятие |
Затраты времени на производство одного изделия, час |
Общие затраты времени на производство всех изделий, час. |
|
№1 |
0,3 |
30 |
|
№2 |
0,2 |
40 |
Определите средние затраты времени на производство одного изделия по двум предприятиям в целом.
Решение:
Задача № 24
имеются следующие условные данные по двум предприятиям отрасли:
|
Предприятие |
Выпуск продукции, тыс.р. |
Среднесписочная численность рабочих, чел |
||
|
Базисный период |
Отчетный период |
Базисный период |
Отчетный период |
|
|
№1 |
6400 |
6000 |
100 |
80 |
|
№2 |
4800 |
6000 |
60 |
60 |
определите: 1. для каждого предприятия уровни и динамику производительности труда; 2. для двух предприятий вместе: - индексы производительности труда (переменного, постоянного состава, структурных сдвигов); - абсолютные изменения средней производительности труда за счет отдельных факторов.
Решение:
1. Производительность труда рассчитаем по формуле:

Рассчитаем производительность труда по каждому предприятию, по базисному и отчетному периоду, занесем полученные данные в таблицу.
|
Предприятие |
Выпуск продукции, тыс.р.,V |
Среднесписочная численность рабочих, чел.,S |
производительность труда, W |
|||
|
Базисный период |
Отчетный период |
Базисный период |
Отчетный период |
базисный период |
Отчетный период |
|
|
№1 |
6400 |
6000 |
100 |
80 |
64 |
75 |
|
№2 |
4800 |
6000 |
60 |
60 |
80 |
100 |
|
итого |
11200 |
12000 |
160 |
140 |
144 |
175 |
Рассчитаем динамику производительности труда(абсолютные, относительные индексы.
|
производительность труда, W |
относительные индексы |
абсолютные индексы |
|
|
базисный период |
Отчетный период |
||
|
64 |
75 |
1,171875 |
11 |
|
80 |
100 |
1,25 |
20 |
|
144 |
175 |
1,215278 |
31 |
2. Определим индексы производительности труда
а) Переменного состава:

б) Постоянного состава:

в) Структурных сдвигов:

4. Абсолютное изменение средней производительности труда
а) В целом
∆в целом=
б) От изменения уровня производительности труда
∆от цен =![]()
в) От изменения численности рабочих:
∆от кол. Товара = 
Задача № 25
Имеются следующие данные о производстве работ и трудовых затрат до и после внедрения новой техники по строительно-монтажным управлениям (СМУ):
|
СМУ |
Объем выполняемых работ, т |
Затраты рабочего времени на 1 т., чел.-ч. |
||
|
До внедрения новой техники |
После внедрения новой техники |
До внедрения новой техники |
После внедрения новой техники |
|
|
№1 |
20000 |
25000 |
0,3 |
0,2 |
|
№2 |
24000 |
28000 |
0,35 |
0,18 |
Определите: 1. динамику производительности труда, вызванную внедрением новой техники. 2. экономию затрат рабочего времени, полученную в результате применения новой техники.
Решение:
1. Производительность труда является обратное величиной трудоемкости(затрат рабочего времени на 1т.) Определяем по формуле:
![]()
Занесем полученные данные в таблицу:
|
СМУ |
Объем выполняемых работ, т |
Затраты рабочего времени на 1 т., чел.-ч. |
производительность труда |
|||
|
До внедрения новой техники |
После внедрения новой техники |
До внедрения новой техники |
После внедрения новой техники |
До внедрения новой техники |
После внедрения новой техники |
|
|
№1 |
20000 |
25000 |
0,3 |
0,2 |
3,33333333 |
5 |
|
№2 |
24000 |
28000 |
0,35 |
0,18 |
2,85714286 |
5,555555556 |
|
итого |
44000 |
53000 |
0,65 |
0,38 |
6,19047619 |
10,55555556 |
Рассчитаем динамику производительности труда(абсолютные, относительные индексы.
|
СМУ |
производительность труда, W |
относительные индексы |
абсолютные индексы |
|
|
базисный период |
Отчетный период |
|||
|
№1 |
3,333333 |
5 |
1,5 |
1,666667 |
|
№2 |
2,857143 |
5,555556 |
1,944444 |
2,698413 |
|
итого |
6,190476 |
10,55556 |
1,705128 |
4,365079 |
Рассчитаем экономию затрат рабочего времени на 1т. по тем же самым индексам
|
СМУ |
Затраты рабочего времени на 1 т., чел.-ч. |
относительные индексы |
абсолютные индексы |
|
|
До внедрения новой техники |
После внедрения новой техники |
|||
|
№1 |
0,3 |
0,2 |
0,666667 |
-0,1 |
|
№2 |
0,35 |
0,18 |
0,514286 |
-0,17 |
|
итого |
0,65 |
0,38 |
0,584615 |
-0,27 |
Из рассчитанных индексов видно что затраты рабочего времени на 1т по 1 сму снизились на 0,33(1-0,66) или на 33% по 2 сму на 0,49 (1-0.51) или 49% по обоим сму на 0,42 (1-0,58) или 42%