Оглавление
Введение……………………………………………………………………….3
Глава 1 Роль финансов предприятий и финансового менеджера
в современной рыночной экономике (теоретический аспект)……5
1.1. Сущность и функции финансов предприятия…………………...5
1.2. Принципы организации финансов предприятия……………….18
1.3. Структура системы управления финансами предприятия…….26
1.4. Функции, задачи и цели финансового менеджера…………….32
Глава 2 Практическая часть………………………………………………..38
Заключение………………………………………………………………….40
Список литературы…………………………………………………………41
Введение
В последние годы в связи с переходом к рыночным отношениям происходят глубокие изменения в экономике России. В значительной степени эти изменения обусловлены уточнением, а иногда и сменой приоритетов, стимулов и факторов развития общества и страны. На смену политической и псевдосоциальной подоплеке принятия решений экономического характера, имевшей место в нашей стране в годы централизованного планирования и управления, пришел здоровый прагматизм, выражающийся в оценке прежде всего экономической целесообразности подобных решений. Иными словами, имевший место в системе {политика <=> экономика} очевидный перекос в сторону первого элемента, подразумевавший его неоспоримую доминанту, постепенно нивелируется.
Происходит реструктуризация экономики, все большее число предприятий становятся реально самостоятельными, финансовые результаты и экономическая оправданность и эффективность все чаще выступают основными критериями при принятии управленческих решений в системах любого уровня. Этим обусловливается стремительный рост значимости прикладных экономических наук - бухгалтерского учета, финансов предприятий, менеджмента, маркетинга и др. Одновременно происходит и определенная переоценка ценностей в фундаментальных экономических науках, проявляющаяся прежде всего в принятии и адаптации ключевых положений микро- и макроэкономики, неоклассической теории финансов, теории современного институционализма.
Развитие экономики в немалой степени зависит от рационального построения финансовой системы, понимаемой в широком смысле и не сводящейся лишь к финансам государства.
ОБЪЕКТ исследования – финансовый менеджмент.
ПРЕДМЕТ исследования – роль финансов предприятий и финансового менеджера в современной рыночной экономике.
ЦЕЛЬ исследования – изучить и представить характеристику роли финансов предприятий и финансового менеджера в современной рыночной экономике.
ЗАДАЧИ исследования:
1. Рассмотреть сущность и функции финансов предприятия.
2. Проанализировать принципы организации финансов предприятия.
3. Рассмотреть структуру системы управления финансами предприятия.
4. Определить функции, задачи и цели финансового менеджера.
Глава 1 Роль финансов предприятий и финансового менеджера в современной рыночной экономике (теоретический аспект)
1.1. Сущность и функции финансов предприятия
Финансовая система страны может быть представлена в виде блочной структуры, а ее системообразующими элементами (блоками) являются: финансы субъектов хозяйствования (включая коммерческие банки), государственные финансы, финансы системы страхования, финансы в системе финансовых рынков и посредников и финансы домашних хозяйств. Роль этих элементов не равнозначна несмотря на то, что каждый из выделенных блоков играет собственную немаловажную роль в нормальном функционировании финансовой системы, в рыночной экономике финансы хозяйствующих субъектов все же имеют вполне очевидную доминанту. Логика здесь достаточно прозрачна [8; 9].
В организационном плане базовой ячейкой экономической системы в любой стране является хозяйствующий субъект (юридическое лицо). Гражданским кодексом Российской Федерации [1] дается понятие юридического лица, приводятся его типы, классификация, отличительные особенности каждого типа. В зависимости от государственной политики и принципов организации экономики доминирующую роль в ее функционировании и развитии может играть тот или иной тип хозяйствующих субъектов. Как показывает мировой опыт, в реальной рыночной экономике особую роль играют коммерческие организации, т. е. организации, основной целью деятельности которых является извлечение прибыли. Именно эти организации, образно говоря, создают «пирог», т. е. формируют добавочную стоимость, которая в дальнейшем делится между государством, физическими и юридическими лицами. Рассмотрим общие принципы построения организационно-правовых форм в сфере бизнеса.
Субъектами гражданских правоотношений выступают физические лица (граждане) и юридические лица. Согласно Гражданскому кодексу юридическим лицом признается организация, которая имеет в собственности, хозяйственном ведении или оперативном управлении обособленное имущество, отвечает этим имуществом по своим обязательствам, может от своего имени приобретать и осуществлять имущественные и личные неимущественные права, нести обязанности, быть истцом и ответчиком в суде. Помимо перечисленных признаков юридическое лицо обязано иметь самостоятельный баланс или смету. Юридическое лицо подлежит обязательной государственной регистрации и действует на основании учредительных документов, в качестве которых могут выступать устав (для унитарных предприятий и некоммерческих организаций), либо учредительный договор (для хозяйственных товариществ), либо устав и учредительный договор (для других типов юридических лиц) [1].
В зависимости от цели их создания и деятельности юридические лица подразделяются на две большие группы: коммерческие и некоммерческие организации. Основная цель коммерческой организации — извлечение прибыли с последующим распределением ее среди участников. Целью некоммерческой организации является, как правило, решение социальных задач; при этом если организация все же ведет предпринимательскую деятельность, то полученная прибыль не распределяется между участниками, а также используется для достижения социальных и иных общественно полезных целей. Поскольку в дальнейшем при изложении материалов мы будем в основном ориентироваться на потребности и особенности функционирования коммерческих организаций, причем, как правило, крупных, приведем краткую характеристику их возможных организационно-правовых форм (Рис. 1) [10].
Хозяйственное товарищество представляет собой коммерческую организацию с разделенным на вклады участников складочным капиталом и может создаваться в форме полного товарищества и товарищества на вере (коммандитного).
Учредителями и одновременно участниками полного товарищества могут быть индивидуальные предприниматели и (или) коммерческие организации, причем количество участников (полных товарищей) должно быть не менее двух. Главный признак этой формы организации предпринимательской
деятельности - неограниченная солидарная ответственность участников по обязательствам товарищества; иными словами, при недостаточности имущества товарищества для погашения требований кредиторов взыскание может быть обращено на личное имущество полных товарищей.
Товарищество но вере отличается от полного товарищества тем, что в нем наряду с полными товарищами имеются один или несколько участников-вкладчиков (коммандитистов), которые несут риск убытков, связанных с деятельностью товарищества, в пределах сумм внесенных ими вкладов и не принимают участия в предпринимательской деятельности. Вкладчиками могут выступать как физические, так и любые юридические лица.
Общество с ограниченной ответственностью (ООО) - это учрежденное одним или несколькими лицами общество, уставный капитал которого разделен на доли определенных учредительными документами размеров. Участники общества не отвечают по его обязательствам и несут риск убытков, связанных с его деятельностью, лишь в пределах стоимости внесенных ими вкладов. Участники, сделавшие вклад не в полном объеме, несут солидарную ответственность по обязательствам общества также и в пределах стоимости неоплаченной части вклада каждого из участников. Число участников общества не может превышать предела, установленного Законом об обществах с ограниченной ответственностью; в противном случае оно должно быть преобразовано в течение года в акционерное общество либо ликвидировано в судебном порядке. Размер уставного капитала не может быть меньше 100-кратного минимального размера оплаты труда (МРОТ) на дату регистрации [7].
Общество с дополнительной ответственностью (ОДО) по сути является разновидностью ООО. Различие между ними в том, что участники ОДО принимают на себя ответственность по обязательствам общества не только в размере вкладов, внесенных в уставный капитал, но и другим своим имуществом в одинаковом для всех кратном размере к стоимости их вкладов, что фиксируется в учредительных документах. Очевидно, что в этом случае интересы кредиторов защищены в большей степени.
Акционерным признается общество, уставный капитал которого разделен на определенное число акций, при этом акционеры не отвечают по обязательствам общества и несут риск убытков, связанных с его деятельностью, лишь в пределах стоимости принадлежащих им акций. Участники общества, не полностью оплатившие акции, несут солидарную ответственность по обязательствам общества в пределах неоплаченной части стоимости принадлежащих им акций. Акционерное общество, участники которого могут отчуждать принадлежащие им акции без согласия других акционеров, признается открытым акционерным обществом (ОАО); в том случае, если акции распределяются только среди участников общества или иного заранее определенного круга лиц, общество признается закрытым акционерным обществом (ЗАО). Если ОАО вправе проводить открытую подписку на выпускаемые им акции, то ЗАО такого права не имеет.
Акционерное общество может быть создано одним лицом или состоять из одного лица в случае приобретения им всех акций общества, однако в качестве такого единственного участника не может выступать другое хозяйственное общество, состоящее из одного лица. Число учредителей ОАО не ограничено; число учредителей ЗАО согласно Закону «Об акционерных обществах» не может превышать пятидесяти; если этот лимит превышен, закрытое общество должно быть преобразовано в течение года в открытое [5; 7].
Минимальный размер уставного капитала открытого общества должен составлять не менее тысячекратной суммы МРОТ, установленной федеральным законодательством на дату регистрации общества, а закрытого общества - не менее стократной суммы; эти нормативы имеют существенное значение не только при учреждении предприятия, но и при осуществлении дивидендной политики, а также при оценке возможности реструктурирования источников средств предприятия в случае неудовлетворительного финансового состояния. Открытость ОАО также проявляется и в том, что оно обязано ежегодно публиковать свою бухгалтерскую отчетность; состав публикуемой отчетности, а также порядок этой процедуры регулируются законодательством. В отличие от других видов коммерческих организаций акционерное общество имеет более широкие возможности Привлечения средств; в частности, оно обладает правом на выпуск облигаций.
Производственный кооператив (артель) - это добровольное объединение граждан для совместной производственной пли иной хозяйственной деятельности, основанной на их личном трудовом и ином участии и объединении его членами (участниками) имущественных паевых взносов. В отличие от вышеописанных форм организации бизнеса членство в кооперативе предполагает личное трудовое участие в его деятельности. По своим обязательствам кооператив отвечает всем своим имуществом; при недостатке средств члены кооператива несут дополнительную ответственность в размерах и порядке, предусмотренных законодательством и уставом кооператива.
Унитарным предприятием (УП) признается коммерческая организация, не наделенная правом собственности на закрепленное за ней собственником имущество, которое является неделимым и не может быть распределено по вкладам (долям, паям). Имущество, выделяемое унитарному предприятию при его создании, находится в государственной или муниципальной собственности и принадлежит предприятию на праве хозяйственного ведения или оперативного управления. Унитарное предприятие, основанное на праве хозяйственного ведения, создается по решению уполномоченного на то государственного органа или органа местного самоуправления; собственник имущества такого предприятия не отвечает по его обязательствам, за исключением случаев, когда банкротство вызвано действиями собственника. Унитарное предприятие, основанное на праве оперативного управления (федеральное казенное предприятие), создается по решению Правительства России на базе федеральной собственности. Такое предприятие несет ответственность по своим обязательствам только находящимися в его распоряжении денежными средствами; при недостатке средств государство несет субсидиарную ответственность по обязательствам предприятия [7].
Все коммерческие организации могут быть обобщенно поименованы термином «предприятие». Дело в том, что согласно ст. 132 Гражданского кодекса РФ предприятие трактуется как имущественный комплекс, используемый для осуществления предпринимательской деятельности. В свою очередь, предпринимательской называется самостоятельная, осуществляемая на свой риск деятельность, направленная на систематическое получение прибыли от пользования имуществом, продажи товаров, выполнения работ или оказания услуг лицами, зарегистрированными в этом качестве в установленном законом порядке (ст. 2 ГК РФ) [1].
Как видно из приведенного краткого описания, в зависимости от выбранной организационно-правовой формы предприятия могут создаваться различными способами, использовать различную минимальную величину уставного капитала, неодинаковые способы мобилизации дополнительных ресурсов и гарантии интересов кредиторов. Все эти и другие основные аспекты правового характера следует знать управленческому персоналу, и в том числе финансовым менеджерам; эти аспекты должны учитываться ими в отношении как своего предприятия, так и имеющихся и потенциальных контрагентов. Последнее представляется особенно важным, поскольку любая сделка с контрагентами содержит в себе потенциальный риск утери ресурсов; виды сделок и способы снижения такого риска могут варьировать в зависимости от организационно-правовой формы контрагента.
Среди различных видов предприятий все же наиболее значимую роль в рыночной экономике играют крупные акционерные общества (АО); удельный вес их в общем числе предприятий различных форм собственности может быть сравнительно небольшим, однако значимость с позиции вклада в создание национального богатства страны исключительно высока.
Иными словами, если не делается оговорки, то подразумевается, что речь идет об акционерных обществах, причем чаще всего открытого типа. Именно этим компаниям характерен наиболее широкий спектр функций и методов управления финансами, для них могут быть разработаны некоторые унифицированные подходы к принятию решений финансового характера. Многие из рассмотренных методик носят стандартизованный характер, хотя бы с позиции логики их осуществления, и потому применимы к любым предприятиям. В то же время отдельные решения, например, в области дивидендной политики и привлечения капитала путем эмиссии долговых ценных бумаг, с очевидностью ориентированы на акционерные общества.
Одним из основных компонентов финансово-хозяйственной деятельности предприятия являются денежные отношения, сопутствующие практически всем другим аспектам этой деятельности: поставка сырья сопровождается необходимостью его оплаты (авансовой, немедленной или отсроченной), продажа продукции - получением денег в обмен на поставленную продукцию, уплата налогов - платежами в бюджет, получение (погашение) банковского кредита - движением денежных средств по счетам предприятия и т.п. Все подобные денежные отношения как раз и реализуются в рамках финансовой системы предприятия. Таким образом, финансы предприятий представляют собой совокупность денежных отношений, возникающих у субъектов хозяйствования но поводу формирования фактических и (или) потенциальных фондов денежных средств, их распределения и использования на нужды производства и потребления.
Финансы как общеэкономическая категория выполняют множество функций, т. е. динамических проявлений своих свойств и предназначений. В этих функциях, по сути, и проявляется сущность финансов как одного из важнейших компонентов организационной структуры и процесса регулирования социально-экономической системы того или иного уровня. Применительно к предприятию основными из них являются: инвестиционно-распределительная, фондообразующая (или источниковая), доходораспределительная, обеспечивающая и контрольная [4].
Действительно, выделенные функции играют принципиально важную роль в плане функционирования предприятия, поскольку их надлежащая интерпретация позволяет сформировать логику плана действий, направленного на решение следующих основных вопросов:
- куда вложить имеющиеся финансовые ресурсы?
- как сформировать источники финансирования?
- как удовлетворить требования собственников предприятия?
- как обеспечить ритмичность текущей финансово-хозяйственной деятельности?
- как обеспечить конгруэнтность целевых установок собственников (принципалов) и управленческого персонала (агентов)?
- насколько успешно выполняют свои функции все агенты и технический персонал? [6; 9]
На первый взгляд кажется, что инвестиционно-распределительная функция финансов в большей степени свойственна государственным финансам, когда аккумулированные денежные средства распределяются в основном на нужды потребления всех членов общества и финансирование стратегически важных, в том числе и социальных, программ. Тем не менее эта функция имеет место и в Приложении к хозяйствующему субъекту и заключается в распределении финансовых ресурсов внутри предприятия, способствующем наиболее эффективному их использованию.
Безусловно, сущность распределительной функции коренным образом меняется в зависимости от уровня социально-экономической системы - не требует особой расшифровки очевидный тезис о том, что реализация данной функции в системе государственных финансов и в системе финансов предприятий весьма различаются по многим критериям, параметрам, способам реализации и др. В частности, если на уровне государства распределительная функция имеет императивный, т. е. нормативный, предписательный, характер и не всегда исходит из приоритета экономической эффективности, то в приложении к предприятию ее характер - рекомендательный, а мотивировка и реализация принципиально иные - исходя из требований экономической целесообразности. В рамках системы управления предприятием рассматриваемая функция проявляется в распределении его ресурсов исходя из различных классификационных группировок, основными из которых являются: (а) структурные подразделения предприятия и (или) виды деятельности и (б) виды активов.
Распределение совокупного ресурсного потенциала предприятия среди подразделений (видов деятельности) в наиболее синтезированном виде выражается в рамках инвестиционной политики, когда относительно большее или меньшее внимание уделяется тому или иному подразделению, дивизиону, технологической линии и др. Основным критерием в этом случае является, как правило, прогнозируемая рентабельность инвестиций. Если некоторое структурное подразделение «обещает» доход относительно больший по сравнению со средним уровнем, оно получает дополнительные финансовые ресурсы в рамках инвестиционной программы. (Отметим, что в любом случае, исходя из принципа осторожности, при планировании и реализации инвестиционных программ необходимо следовать логике диверсификации финансово-хозяйственной деятельности, согласно которой не рекомендуется «складывать все яйца в одну корзину».)
Распределительная функция финансов предприятия с позиции структуры его активов проявляется в стремлении оптимизировать активную сторону баланса. Наиболее яркий пример такой оптимизации - решение вопроса о величине денежных средств, которыми должно располагать предприятие для нормальной работы. Очевидно, что невыгодно держать на счете чрезмерно большие денежные средства, поскольку в этом случае они по сути «омертвляются», «не работают»; вместе с тем неоправданно низкий остаток денежных средств может привести к нарушениям платежной дисциплины и, как следствие, к убыткам, осложнению отношений с поставщиками, потере репутации и др. [3].
Фондообразующая, или источниковая, функция финансов предприятия реализуется в ходе оптимизации правой (т. е. источниковой, пассивной) стороны баланса. Любое предприятие финансируется из нескольких источников: взносы собственников, кредиты, займы, кредиторская задолженность, реинвестированная прибыль, пожертвования, целевые взносы и др. Как правило, источники небесплатны, т. е. привлечение любого из них предполагает расходы как плату за возможность пользования средствами. Поскольку источников много, причем стоимость каждого из них различна, возникает естественное желание выбрать наиболее оптимальную их комбинацию. Особенно значим этот аспект при необходимости мобилизации дополнительных финансовых ресурсов в крупных объемах, что имеет место при реализации стратегических инвестиционных программ. Что выгоднее - масштабное реинвестирование прибыли с отказом от выплаты дивидендов, дополнительная эмиссия акций, выпуск долговых ценных бумаг, получение долгосрочного кредита, разработка схемы финансирования за счет пролонгируемых кратко- и среднесрочных кредитов и др. - как раз и оценивается в терминах финансов и в известном смысле представляет собой реализацию распределительной функции финансов.
Суть доходораспределительной функции финансов предприятия заключается в следующем. Решающую роль в создании и функционировании предприятия несут его собственники; они могут ликвидировать компанию, поддерживать величину вложенного (т. е. принадлежащего им) капитала на уровне, не предусматривающем расширение ее деятельности, изымая избыточную прибыль в виде дивидендов, или могут, напротив, воздержаться от получения дивидендов в надежде, что реинвестированная прибыль принесет большую отдачу в будущем, и т. п. Иными словами, собственники должны иметь определенные количественно выражаемые аргументы в обоснование своего отношения к текущему положению и будущему своей компании. Эти аргументы формируются в рамках дивидендной политики, когда определенная часть ресурсов предприятия изымается из него и выплачивается в виде дивидендов (обычно в денежной форме) [8].
Смысл обеспечивающей функции финансов достаточно очевиден и определяется, во-первых, целевым предназначением предприятия и, во-вторых, системой сложившихся расчетных отношений. Целевое предназначение предприятия состоит в регулярном генерировании прибыли в среднем, благодаря чему капитал собственников возрастает, что при необходимости проявляется в получении ими дополнительных денежных средств по сравнению с исходными инвестициями. Иными словами, финансы предприятия в данном случае как бы обеспечивают удовлетворение интересов собственников, количественно выражая эти интересы в виде прибыли (косвенное выражение дохода) и (или) дивидендов (прямое выражение дохода).
В чисто процедурном плане гораздо значимее второй аспект - система расчетных отношений, поскольку в современной экономике любые отношения в системах «предприятие - предприятие», «предприятие - государство», «предприятие - работники», «предприятие - собственник» и т. п. чаще всего выражаются в форме денежных отношений. Даже если имеет место движение нефинансовых ресурсов (продукция, услуги, бартер, мена и др.), оно в подавляющем большинстве случаев оформляется соответствующими денежными отношениями, т. е. выражением величины вовлеченных в операцию ресурсов в стоимостной оценке. Финансы предприятий поэтому как раз и предназначены для обеспечения этой текущей, рутинной деятельности. Нормальная финансово-расчетная (платежная) дисциплина, когда предприятие в срок рассчитывается со своим кредиторами, имеет репутацию первоклассного заемщика, в полном объеме выполняет свои обязательства, является, вероятно, одним из наиболее важных индикаторов успешности его работы.
Суть контрольной функции финансов предприятия состоит в том, что именно с помощью финансовых показателей и (или) индикаторов, построенных на их основе, может быть осуществлен наиболее действенный контроль за эффективным использованием ресурсного потенциала предприятия. Контрольная функция реализуется как собственно предприятием, так и его собственниками, контрагентами и государственными органами. В частности, со стороны государства контрольная функция финансов предприятия проявляется в отслеживании ритмичности и своевременности платежей в бюджет; с позиции собственников эта функция реализуется путем регулярно проводимого внешнего аудита; с позиции менеджмента предприятия - организацией системы внутреннего аудита и т. п.
В рамках контрольной функции находит свое отражение и задача по гармонизации интересов собственников и топ-менеджеров предприятия. Так, например, модель взаимоотношений «принципал - агент», суть которой состоит в том, что принципал (например, собственники предприятия) поручает нанятому им за определенное вознаграждение агенту (управленческий персонал) действовать от его имени в интересах максимизации благосостояния принципала, рассматривается в рамках так называемой агентской теории. Эта теория объясняет, почему в данном случае возникает конфликт интересов между принципалами и агентами, состоящий в том, что последние отклоняются от сформулированной задачи и руководствуются в своей работе прежде всего принципом приоритета собственных целей, заключающихся, в частности, в максимизации полезности для себя, а не для принципала. Среди основных причин: информационная асимметрия, принципиальная невозможность составления полного контракта и необходимость учета допустимых затрат на создание и поддержание системы контроля за действиями агентов. Если конфликт интересов не носит критического характера, говорят о конкурентности целевых установок всех заинтересованных лиц. В хорошо организованной и структурированной компании, как правило, нет серьезных противоречий между целями, стоящими перед самой компанией, ее владельцами и управленческим персоналом. Роль финансовых индикаторов и финансовых рычагов в формулировании данной проблемы и ее решении исключительно высока [2].
Следует подчеркнуть, что в условиях рынка контрольная функция имеет не столько «карательно-негативный» оттенок (выявить неисполнение финансовых обязательств и применить соответствующие санкции), сколько «поощрительно-позитивный» (своевременность исполнения финансовых обязательств нередко поощряется всевозможными скидками с уплачиваемой цены и относительным снижением расходов). Иными словами, контроль рублем дополняется возможностями снижения расходов и получения прямых и (или) косвенных доходов.
Большинство охарактеризованных функций финансов реализуются на предприятии в рамках финансового менеджмента.
1.2. Принципы организации финансов предприятия
Предприятие как социально-экономическая система, имеющая основной целью генерирование прибыли, целесообразность любых своих действий рассматривает в основном с позиции их экономической выгодности. Безусловно, в отдельных ситуациях могут срабатывать и другие критерии, однако критерий экономической эффективности в приложении к бизнесу с очевидностью является доминирующим.
В терминах финансов предприятие может быть представлено как совокупность притоков и оттоков денежных средств, имеющих место в результате ранее сделанных инвестиций [11]. Для того чтобы совокупность этих потоков была оптимальной, в любом предприятии формируется некая организационная структура управления финансами. Эта структура призвана не только оптимизировать ресурсный поток, но и обеспечить реализацию описанных выше основных функций финансов.
Любая социально-экономическая система в момент ее создания формирует некую систему управления, организующую технологические и финансово-хозяйственные процессы и способствующую их нормальному течению. В основе системы управления - так называемая организационная структура, т.е. совокупность взаимосвязанных и взаимодействующих структурных и функциональных подразделений. Без сомнения, важнейшим компонентом общей системы управления деятельностью предприятия является его система управления финансами. В зависимости от величины предприятия и масштабов его деятельности оргструктура управления финансами может существенно варьировать.
В малом предприятии эта структура может вообще отсутствовать, а все финансовые вопросы могут решаться руководителем предприятия совместно с главным бухгалтером. Более того, напомним, что согласно Федеральному закону «О бухгалтерском учете» руководители предприятий могут в зависимости от объема учетной работы:
- учредить бухгалтерскую службу как структурное подразделение, возглавляемое главным бухгалтером;
- ввести в штат должность бухгалтера;
- передать на договорных началах ведение бухгалтерского учета централизованной бухгалтерии, специализированной организации или бухгалтеру-специалисту;
- вести бухгалтерский учет лично [5].
Таким образом, не исключена ситуация, когда какая-либо самостоятельная финансовая служба отсутствует вообще, а все решения финансового характера руководителем принимаются самостоятельно.
Что касается крупного предприятия, то подобная служба в организационном плане обязательно обособляется и, в наиболее общем виде, имеет схему, представленную на рис. 2.
В приведенной схеме структурно выделены два крупных подразделения финансовой службы предприятия: планово-аналитическое и учетно-контрольное. Первое подразделение отвечает за вопросы прогнозирования, планирования и организации финансовых потоков; второе организует учет, финансовый контроль и информационное обеспечение различных лиц, заинтересованных в деятельности предприятия. Очевидно, что оба подразделения просто обязаны тесно взаимодействовать - по крайней мере, их связывает общность информационной базы, в основе которой лежат данные системы бухгалтерского учета, и общность главных целевых установок (в частности, обеспечение эффективной работы предприятия и генерирования им прибыли).
Поскольку никакая оргструктура не может быть создана раз и навсегда в неизменной форме, процесс ее формирования и оптимизации протяжен во времени. При этом пытаются соблюдать ряд принципов. Приведем их краткую характеристику.
Принцип экономической эффективности. Его смысловая нагрузка определяется тем обстоятельством, что, поскольку создание и функционирование некоторой системы управления финансами предприятия с

. . . . . .

Рис. 2. Финансовая компонента в организационной структуре управление деятельностью предприятия
неизбежностью предполагает расходы, эта система должна быть экономически целесообразной в том смысле, что прямые расходы оправданы прямыми или косвенными доходами. Поскольку далеко не всегда можно дать однозначные количественные оценки, аргументирующие или подтверждающие эту целесообразность, оптимизация оргструктуры осуществляется на основе экспертных оценок в динамике - иными словами, она формируется постепенно и всегда субъективна.
Принцип финансового контроля. Деятельность предприятия в целом, его подразделений и отдельных работников должна периодически контролироваться. Системы контроля могут быть построены по-разному, однако практика показывает, что финансовый контроль является наиболее эффективным и действенным. В частности, одним из важнейших способов контроля за конгруэнтностью целевых установок собственников компании и ее управленческого персонала является проведение аудиторских проверок. Аудиторская деятельность представляет собой предпринимательскую деятельность аудиторов (аудиторских фирм) по осуществлению независимых вневедомственных проверок бухгалтерской (финансовой) отчетности, платежно-расчетной документации, налоговых деклараций и других финансовых обязательств и требований экономических субъектов, а также оказанию иных аудиторских услуг (бухгалтерский учет, оценка, налоговое планирование, управление корпоративными финансами и др.). Внутренний финансовый контроль осуществляется путем организации системы внутреннего аудита [11].
В крупных компаниях всегда имеется служба внутреннего аудита; более того, в экономически развитых странах созданы так называемые институты внутренних аудиторов. В качестве примера можно упомянуть об американском Институте внутренних аудиторов (The Institute of Internal Auditors), членами которого становятся его выпускники - сертифицированные внутренние аудиторы (certified internal auditors), являющиеся специалистами по внутрифирменному финансовому анализу и контролю.
Принцип финансового стимулирования (поощрение/наказание). Этот принцип по сути тесно корреспондирует с предыдущим, а смысл его заключается в том, что именно в рамках системы управления финансами разрабатывается механизм повышения эффективности работы отдельных подразделений и оргструктуры управления предприятием в целом. Достигается это путем установления мер поощрения и наказания (речь, естественно, идет о мерах финансового характера). Наиболее эффективно данный принцип реализуется путем организации так называемых центров ответственности.
Под центром ответственности понимается подразделение хозяйствующего субъекта, руководство которого наделено определенными ресурсами и полномочиями, достаточными для выполнения установленных плановых заданий. При этом:
- вышестоящим руководством определяются один или несколько базовых (системообразующих) критериев и устанавливаются плановые их значения;
- суждение об эффективности работы центра ответственности делается на основании выполнения плановых заданий по системообразующим критериям;
- руководство подразделения наделяется ресурсами в согласованных объемах, достаточных для выполнения плановых заданий;
- ограничения по ресурсам носят достаточно общий характер т. е. руководство центра ответственности обладает полной свободой действий в отношении структуры ресурсов, организации производственно-технологического процесса, систем снабжения и сбыта и т. п. [3; 11].
Смысл выделения центров ответственности - в поощрении инициативы у руководителей среднего звена, повышении эффективности работы подразделений, получении относительной экономии издержек производства и обращения.
В зависимости от того, какой критерий - затраты, доходы, прибыль, инвестиции - определяется как системообразующий, принято выделять четыре типа центров ответственности.
Затратообразующий центр (cost center) - подразделение, работающее по утвержденной смете расходов. Для подразделения подобного типа трудно оцепить доходы, поэтому внимание концентрируется на затратах. В качестве примера можно привести университетскую кафедру; ее руководство имеет полное право определять направления использования централизованно выделяемых средств (покупка компьютера, приглашение известного профессора для чтения краткосрочного курса, направление сотрудников на научные конференции и т. и.). Еще один пример - бухгалтерия предприятия; трудно оценить, какая часть прибыли предприятия обусловлена работой бухгалтеров, однако можно установить плановые ориентиры по затратам.
Доходообразующий центр (revenue center) - подразделение, руководство которого несет ответственность за генерирование доходов; примеры - отдел сбыта крупного предприятия, региональный центр продаж. В данном случае руководитель такого подразделения не несет ответственность за основные затраты хозяйствующего субъекта. Например, при продаже продукции завода руководитель коммерческой службы не несет ответственность за ее себестоимость; главная его задача - организация торговли, работа с клиентами, варьирование скидками в рамках установленной ценовой политики и т. п. Безусловно, в этом случае возникают затраты, но не они являются объектом пристального контроля со стороны вышестоящего руководства. Прибылеобразующий центр (profit center) - подразделение, в котором в качестве основного критерия выступает прибыль или рентабельность продаж. Чаще всего в их роли выступают самостоятельные подразделения крупной фирмы: дочерние и зависимые компании, дивизиональные подразделения с замкнутым производственным циклом, технологически самостоятельные производства, обособляемые в рамках диверсификации производственной деятельности, и т.п. В принципе, к прибылеобразующим могут относиться и внутренние подразделения компании в том случае, если ею используется политика трансфертных цен, когда продукция, находящаяся на различных стадиях обработки, не передается от одного подразделения другому, а «продается» по внутренним ценам [11].
Инвестиционно-развивающий центр (investment center) - подразделение, руководство которого не только ответственно за организацию рентабельной работы, но и наделено полномочиями осуществлять инвестиции в соответствии с установленными критериями; например, если ожидаемая норма прибыли не ниже установленной границы. В качестве системообразующего критерия здесь чаще всего выступает показатель рентабельности инвестиций; кроме того, могут налагаться ограничения сверху на объем допустимых капиталовложений (имеется в виду, что решение по инвестиции, не превышающей заданную величину, является исключительной компетенцией руководителя этого центра ответственности; превышение границы требует обоснования и согласования с вышестоящим руководством). Центр ответственности данного типа - наиболее общее по функциональным возможностям подразделение; здесь больше и число субкритериев - затраты, доходы, прибыль, объем разрешенных инвестиций, показатели рентабельности и др.
В числе ключевых элементов системы организации управления на базе выделения прибылеобразующих и иивестициошю-развивающих центров ответственности находится политика трансфертных цен. Трансфертной называется цена, используемая для определения стоимости продукции (товаров, услуг), передаваемой прибылеобразующим или инвестиционно-развивающим центром ответственности другому центру ответственности внутри компании. Она, как правило, меньше рыночной цены, используемой при продаже продукции внешним контрагентам.
Трансфертное ценообразование осуществляется при участии трех сторон: высших топ-менеджеров и руководства поставляющего и приобретающего продукцию центров ответственности. Топ-менеджеры определяют основные параметры трансфертной политики, выступают в роли арбитров между руководством центров ответственности и принимают окончательное волевое решение в отношении ценообразования в случае, если конфликт между центрами ответственности не решается полюбовно.
Существуют три основных типа трансфертных цен: рыночно-ориентированные, затратно-ориентированные и компромиссные. В первом случае за ориентир берется рыночная цена. При этом покупающий продукцию центр ответственности внутри компании не должен платить больше, чем внешнему продавцу, а продающий центр не должен получать за нее больше дохода, чем при продаже внешнему покупателю. Во втором случае ориентиром выступают полные или переменные затраты; такой подход достаточно эффективен в системе стандарт-костинга. В третьем случае за основу берется либо рыночная цена, либо себестоимость продукции, а окончательный вариант цены определяется итеративно в ходе переговоров между руководством центров и при активном участии высшего руководства [4].
Принцип материальной ответственности. В любом предприятии складывается система мер поощрения и критериев оценки деятельности структурных единиц и отдельных работников. Составным элементом такой системы является идея материальной ответственности, суть которой состоит в том. что отдельные лица, имеющие отношение к управлению материальными ценностями, отвечают рублем за неоправданные результаты своей деятельности. Формы организации материальной ответственности могут быть различными, однако основные из них две: индивидуальная и коллективная материальная ответственность.
Индивидуальная материальная ответственность означает, что конкретное материально-ответственное лицо (кладовщик, руководитель подразделения, продавец, кассир и др.) заключает договор с руководством предприятия, согласно которому любая недостача товарно-материальных ценностей, т. е. их выбытие, не сопровождающееся оправдательными документами, должна быть возмещена этим лицом. В некоторых ситуациях устанавливаются нормативы, в пределах которых может иметь место отклонение учетных оценок от фактических; в этом случае материально-ответственное лицо должно возместить лишь сверхнормативные потери (в частности, в торговле за счет прибыли до налогообложения делаются резервы на забывчивость покупателей, на усушку и утруску товаров и др.). Перечень материально-ответственных лиц определяется предприятием.
В случае коллективной материальной ответственности за возможные недостачи отвечает уже не конкретное материально-ответственное лицо, а коллектив (например, бригада продавцов, сменяющих друг друга в отделе магазина, когда рабочая смена меньше общей продолжительности рабочего дня магазина в целом). Эта форма ответственности помогает избежать неоправданно частых инвентаризаций.
1.3. Структура системы управления финансами предприятия
С позиции практического управления финансами субъекта хозяйствования ключевым является умение более или менее обоснованно отвечать на следующие вопросы:
- удовлетворены ли стратегические инвесторы деятельностью предприятия, направлением и динамикой ее развития, положением в конкурентной среде?
- каковы должны быть величина и оптимальный состав активов предприятия, позволяющие достичь поставленные перед предприятием цели и задачи?
- где найти источники финансирования и каков должен быть их оптимальный состав?
- как организовать текущее и перспективное управление финансовой деятельностью, обеспечивающее (а) платежеспособность, (б) финансовую устойчивость предприятия, (в) экономически эффективную, рентабельную работу и (г) ритмичность платежно-расчетных операций? [6].
Решаются эти вопросы в рамках финансового менеджмента как системы эффективного управления финансовой деятельностью предприятия. Одна из наиболее распространенных интерпретаций финансового менеджмента такова: он представляет собой систему отношений, возникающих на предприятии по поводу привлечения и использования финансовых ресурсов. Возможна и более широкая его трактовка, расширяющая предмет этого научного и практического направления, начиная с финансовых ресурсов и кончая всей совокупностью отношений, обязательств и результатов деятельности предприятия, поддающихся стоимостной оценке. Учитывая, что любые действия по реализации финансовых отношений, в частности, в приложении к коммерческой организации, немедленно сказываются на ее имущественном и финансовом положении, финансовый менеджмент можно также трактовать как систему действий по оптимизации ее баланса.
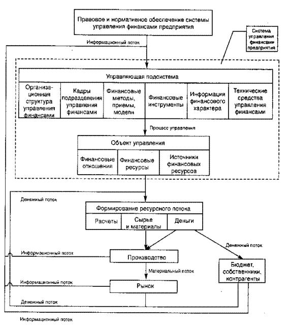
Логика функционирования системы управления финансами предприятия представлена на Рис. 3.

Рис. 3. Структура и процесс функционирования системы управления финансами хозяйствующего субъекта
Приведем краткую характеристику основных элементов данной системы.
Как известно из теории систем, любая система управления состоит из двух ключевых элементов - субъекта управления и объекта управления; субъект воздействует на объект с помощью так называемых общих функций управления (анализ, планирование, организация, учет, контроль, регулирование), руководствуясь при этом системой целей, стоящих перед хозяйствующим субъектом.
В приложении к управлению финансами предприятия субъект управления, или управляющая подсистема, может быть представлена как совокупность шести базовых элементов: оргструктуры управления финансами, кадров финансовой службы, финансовых методов, финансовых инструментов, информации финансового характера и технических средств управления финансами.
Организационная структура системы управления финансами хозяйствующего субъекта, а также ее кадровый состав могут быть построены различными способами в зависимости от размеров предприятия и вида его деятельности. Как отмечалось выше, для крупной компании наиболее характерно обособление специальной службы, руководимой вице-президентом по финансам (финансовым директором) и, как правило, включающей бухгалтерию и финансовый отдел.
Финансовые методы, приемы, модели представляют собой основу инструментария, практически используемого в управлении финансами. Все приемы и методы, находящиеся в арсенале финансового менеджера, с определенной долей условности можно разделить на три большие группы: общеэкономические, прогнозно-аналитические и специальные.
К первой группе относятся кредитование, ссудозаемные операции, система кассовых и расчетных операций, система страхования, система расчетов, система финансовых санкций, трастовые операции, залоговые операции, трансфертные операции, система производства амортизационных отчислений, система налогообложения и др. Общая логика подобных методов, их основные параметры, возможность или обязательность исполнения задаются централизованно в рамках системы государственного управления экономикой, а вариабельность в их применении достаточно ограниченна.
Во вторую группу входят финансовое и налоговое планирование, методы прогнозирования, факторный анализ, моделирование и др. Большинство из этих методов уже импровизационны по своей природе [2].
Промежуточное положение между этими двумя группами по степени централизованной регулируемости и обязательности применения занимают специальные методы управления финансами, многие из которых еще только начинают получать распространение в России; это дивидендная политика, финансовая аренда, факторинговые операции, франчайзинг, фьючерсы и т. п. В основе многих из этих методов лежат производные финансовые инструменты.
В финансовом менеджменте широко используются различные виды моделей. В широком смысле модель представляет собой любой образ, мысленный или условный аналог какого-либо объекта, процесса или явления, используемый в качестве его «заместителя» или «представителя». Известны различные классификации моделей в экономике; в частности, весьма распространены дескриптивные, нормативные и предикативные модели, жестко детерминированные и стохастические модели, балансовые модели и др. Модели применяются для описания имущественного и финансового положения предприятия, характеристики стратегии финансирования деятельности предприятия в целом или отдельных ее видов, управления конкретными видами активов и обязательств, прогнозирования основных финансовых показателей, факторного анализа и др. Достаточно подробную характеристику аналитических методов и моделей можно найти в специальной литературе.
Финансовые инструменты - относительно новое понятие в теории финансов, однако значимость его стремительно возрастает [3]. Финансовый инструмент есть любой договор между двумя контрагентами, в результате которого одновременно возникают финансовый актив у одного контрагента и финансовое обязательство долгового или долевого характера - у другого. Финансовые инструменты подразделяются на первичные и вторичные. К первичным относятся кредиты, займы, облигации, другие долговые ценные бумаги, кредиторская и дебиторская задолженность по текущим операциям, долевые ценные бумаги. Вторичные финансовые инструменты (синоним: производные инструменты, деривативы) - это финансовые опционы, фьючерсы, форвардные контракты, процентные свопы, валютные свопы. Финансовые инструменты являются основой любых операций компании на финансовых рынках, идет ли речь о привлечении капитала (в этом случае осуществляется эмиссия акций пли облигаций), операциях спекулятивного характера (приобретение ценных бумаг с целью получения текущего дохода, операции с опционами), финансовых инвестициях (вложения в акции), операциях хеджирования (эмиссия или приобретение фьючерсов или форвардов), формировании страхового запаса эквивалентов денежных средств (приобретение высоколиквидных ценных бумаг) и др.
Информация финансового характера, или информационная база, является основой информационного обеспечения системы управления финансами на любом уровне, поскольку всякое обоснованное, неспонтанное решение базируется на некоторых данных. Информационная база весьма обширна и включает обычно любые сведения финансового характера; в частности, сюда относятся бухгалтерская отчетность, сообщения финансовых органов, информация учреждений банковской системы, данные товарных, фондовых и валютных бирж, несистемные сведения.
Техническое средства управления финансами являются самостоятельным и весьма важным элементом финансового менеджмента. Многие современные системы, основанные на безбумажной технологии (межбанковские расчеты, взаимозачеты, расчеты с помощью кредитных карточек, клиринговые расчеты и др.), невозможны без применения сетей ЭВМ, персональных компьютеров, функциональных пакетов прикладных программ. Все крупные предприятия ведут свою бухгалтерию с использованием специализированных пакетов (например, 1С-бухгалтерия). Для выполнения текущих аналитических расчетов финансовый менеджер может воспользоваться также и стандартным программным обеспечением, в частности пакетами типа Excel, Lotus и др.
Как показано на рис. 3, объект системы управления финансами предприятия представляет собой совокупность трех взаимосвязанных элементов: финансовые отношения, финансовые ресурсы, обязательства - именно этими элементами и пытаются управлять менеджеры.
Под финансовыми отношениями мы будем понимать отношения между различными субъектами (физическими и юридическими лицами), которые влекут за собой изменение в составе активов и (или) обязательств этих субъектов [8]. Эти отношения должны иметь документальное подтверждение (договор, накладная, акт, ведомость и др.) и, как правило, сопровождаться изменением имущественного и (или) финансового положения контрагентов. Слова «как правило» означают, что в принципе возможны финансовые отношения, которые при их возникновении не отражаются немедленно на финансовом поло-женин в силу принятой системы их реализации (например, заключение договора купли-продажи). Финансовые отношения многообразны; к ним относятся отношения с бюджетом, контрагентами, поставщиками, покупателями, финансовыми рынками и институтами, собственниками, работниками и др. Управление финансовыми отношениями основывается, как правило, на принципе экономической эффективности.
Вторым элементом объекта финансового менеджмента являются финансовые ресурсы, точнее, ресурсы, выражаемые в терминах финансов. По сути, эти ресурсы представлены в активе баланса; иными словами, они весьма разнообразны н могут быть классифицированы по различным признакам. В частности, это долгосрочные материальные, нематериальные и финансовые активы, производственные запасы, дебиторская задолженность и денежные средства и их эквиваленты. Естественно, речь идет не о материально-вещественном их представлении, а о целесообразности вложения денежных средств в те или иные активы и их соотношении. Задача финансового менеджмента - обосновать и поддерживать оптимальный состав активов, т. с. ресурсного потенциала предприятия, и по возможности не допускать неоправданного омертвления денежных средств в тех или иных активах.
Управление источниками финансовых ресурсов - одна из важнейших задач финансового менеджера. Источники представлены в балансе предприятия. Проблема заключается в том, что, как правило, не бывает бесплатных источников - поставщику финансовых ресурсов нужно платить. Поскольку каждый источник имеет свою стоимость, возникает задача оптимизации структуры источников финансирования как в долгосрочном, так и в краткосрочном аспекте.
Функционирование любой системы управления финансами осуществляется в рамках действующего правового и нормативного обеспечения. Сюда относятся: законы, указы президента, постановления правительства, приказы и распоряжения министерств и ведомств, лицензии, уставные документы, нормы, инструкции, методические указания и др.
1.4. Функции, задачи и цели финансового менеджера
Как практическая сфера деятельности финансовый менеджмент имеет несколько крупных областей:
- общий финансовый анализ и планирование, в рамках которых осуществляется формулирование общей финансовой стратегии, конкретизация приведенных в параграфе 1.3 вопросов, их формализация и определение способов решения (ключевой вопрос: «Благоприятно ли положение предприятия на рынках благ и факторов производства и какие меры способствуют его неухудшению?»;
- управление инвестиционной деятельностью, понимаемой в широком смысле как инвестиции в так называемые реальные активы и инвестиции в финансовые активы (ключевой вопрос: «Куда вложить финансовые ресурсы с наибольшей эффективностью?»);
- управление источниками финансовых ресурсов как область деятельности управленческого аппарата, имеющая целью обеспечение финансовой устойчивости предприятия (ключевой вопрос: «Откуда взять требуемые финансовые ресурсы?»);
- управление финансовой деятельностью, обеспечивающее рентабельную работу в среднем (ключевой вопрос: «Эффективно ли функционирует предприятие?» );
- текущее управление денежными средствами, в рамках которого осуществляются финансирование текущей деятельности и организация денежных потоков, имеющие целью обеспечение платежеспособности предприятия и ритмичности текущих платежей (ключевой вопрос: «Обеспечивают ли денежные потоки- ритмичность платежно-расчетной дисциплины?») [2; 5].
Несложно заметить, что организация финансовой службы предусматривает осуществление мониторинга за ходом действий в рамках обозначенных пяти областей. Действительно, в каждом предприятии регулярно составляются финансовый план и годовой отчет; актив баланса позволяет обосновывать решения инвестиционного характера; пассив баланса дает оценку состояния источников финансирования; отчет о прибылях и убытках, рассматриваемый в динамике, позволяет судить о прибыльности предприятия в среднем; бюджет денежных средств, данные учета и отчетности и отчет о движении денежных средств позволяют давать аналитическую оценку и осуществлять контроль за состоянием платежно-расчетной дисциплины.
Более детальное структурирование выполняемых финансовым менеджером функций несложно сделать, имея в виду следующие два обстоятельства:
1. Любое предприятие не является изолированным - оно вынуждено взаимодействовать с окружающей его экономической средой.
2. Все основные объекты внимания финансового менеджера в обобщенном представлении систематизированы в бухгалтерской (финансовой) отчетности, в особенности - в балансе, являющемся наилучшей финансовой моделью предприятия [7].
Первое из отмеченных обстоятельств предопределяет круг функций, связанных с анализом и планированием финансового положения предприятия, оценкой его текущего и перспективного положений на рынках капитала и продукции, оценкой его взаимоотношений с государством, собственниками, контрагентами, работниками. Кроме того, поскольку предприятие не может оказывать решающего влияния на окружающую среду (напротив, оно находится под ее влиянием), а динамика этой среды может характеризоваться периодическими «всплесками», когда наступившее состояние среды существенно отличается от предыдущего в кратковременном или долгосрочном аспектах (изменение законодательства, инфляция, форс-мажорные обстоятельства и др.), очевидно, что круг задач и функций финансового менеджера не ограничивается рутинными, регулярно выполняемыми действиями (управление дебиторами, инвестициями, денежными средствами и др.), но расширяется за счет специфических действий, таких, как управление финансами в кризисный период, в условиях инфляции, существенной реорганизации или ликвидации бизнеса и т. и.
Второе обстоятельство объясняет конкретизацию задач финансового менеджера по вопросам инвестирования и финансирования.
Действительно, рассмотрим статическое представление бухгалтерского баланса (Рис. 4).
БАЛАНС
|
Актив |
Пассив |
|
-------------------------------------------------- II. Оборотные активы |
III. Капитал и резервы ------------------------------------------------- IV. Долгосрочные обязательства ------------------------------------------------- V. Краткосрочные обязательства |
Рис. 4. Статическое представление баланса
Несложно заметить, что можно идентифицировать различные разрезы в балансе, как раз и позволяющие обособить отдельные функции и задачи финансового менеджера.
1. Вертикальный разрез по активу. Условно обособляются разделы I и II, т. е. это задачи по управлению активами (ресурсным потенциалом); сюда относятся следующие задачи: определение общего объема ресурсов, оптимизация их структуры, управление вложениями во внеоборотные активы (в том числе но видам: основные средства, нематериальные активы, долгосрочные финансовые вложения и др.), управление производственными запасами, управление дебиторской задолженностью, управление денежными средствами и др.
2. Вертикальный разрез по пассиву. Условно обособляются разделы III, IV и V, т. е. это задачи по управлению источниками финансирования; сюда относятся следующие задачи: управление собственным капиталом, управление заемным капиталом, управление краткосрочными обязательствами, оптимизация структуры источников финансирования, выбор способов мобилизации капитала, дивидендная политика и др.
3. Финансовые решения долгосрочного характера. Условно обособляются разделы I, III и IV, т. е. это задачи по управлению инвестиционными программами, понимаемыми в широком смысле: (а) каким образом развивать основной компонент ресурсного потенциала предприятия - его материально-техническую базу; (б) из каких источников (прибыль, дополнительные вложения собственников, привлечение долгосрочных заемных средств и т. п.) может быть профинансировано это развитие. Таким образом, сюда относятся две основные задачи: обоснование инвестиционных проектов и программ и управление капиталом (обеспечение финансовой устойчивости предприятия).
4. Финансовые решения краткосрочного характера. Условно обособляются разделы II и V, т. е. это задачи но управлению текущей финансовой деятельностью, включая управление ликвидностью и платежеспособностью. С позиции кругооборота и трансформации денежных средств текущая деятельность означает поступление производственных запасов с одновременным возникновением (как правило) кредиторской задолженности и последующую трансформацию запасов в незавершенное производство, готовую продукцию, дебиторскую задолженность, денежные средства. Иными словами, сюда относятся задачи по управлению оборотными активами и источниками их финансирования [11].
Существует система экономических целей, достижение которых служит признаком успешного управления финансами предприятия: избежание банкротства и крупных финансовых неудач, лидерство в борьбе с конкурентами, рост объемов производства и реализации, максимизация прибыли, занятие определенной ниши и доли на рынке товаров и т. п. Тем не менее общепризнанным является приоритет целевой установки, предусматривающей максимизацию рыночной стоимости компании, а следовательно, и богатства ее владельцев.
Повышение рыночной стоимости компании достигается путем: (а) стабильного генерирования текущей прибыли в объеме, достаточном для выплаты дивидендов и реинвестирования с целью поддержания заданных объемов производства или их наращивания; (б) минимизации производственного и финансового рисков за счет выбора экономически обоснованного вида основной деятельности, диверсификации общей деятельности и оптимизации структуры источников средств; (в) привлечения опытного управленческого персонала.
Конкретизация и детализация путей достижения главной целевой установки осуществляется с помощью построения дерева целей. При этом могут выделяться: (а) рыночные, (б) финансово-экономические, (в) производственно-технологические и (г) социальные цели. К первым относятся обеспечение благоприятной динамики ключевых рыночных индикаторов: рыночной капитализации, дохода (прибыли) на акцию, рентабельности собственного капитала и др.; ко вторым - занятие ниши па рынке продукции, завоевание определенной доли на этом рынке, обеспечение заданного темпа роста имущественного потенциала и (или) прибыли и др.; к третьим - обеспечение рентабельности отдельных производств и подразделений, снижение себестоимости продукции, обеспечение достаточного уровня диверсификации производственной деятельности и др.; к четвертым - обеспечение требований экологического и природоохранного характера, вовлечение работников в процесс управления, разработка мероприятий по снижению текучести кадров и повышению привлекательности фирмы для новых сотрудников и др.
Глава 2 Практическая часть
Условие задачи:
Есть три объекта инвестирования с одинаковой прогнозной суммой требуемых капитальных вложений. Величина планируемого дохода (в тыс. руб.) в каждом случае неопределенна и приведена в виде распределения вероятностей.
|
Проект 1. |
Проект 2. |
Проект 3. |
|||
|
ДОХОД |
вероятность |
доход |
вероятность |
доход |
вероятность |
|
6000 7000 8000 9000 10000 |
0,20 0,40 0,80 0,40 0,20 |
5000 6500 8000 9500 13000 |
0,20 0,35 0,70 0,55 0,20 |
4000 6000 8000 10000 16000 |
0,20 0,30 0,60 0,70 0,20 |
Задание:
1. Определить математическое ожидание дохода для рассматриваемых проектов;
2. Определить: какой из проектов будет предпочтительнее в данном случае;
3. Определить: какой проект будет относительно более рисковым и почему?
4. Определить размах вариации дохода для каждого из предлагаемых проектов;
5. Что будет являться основным критерием отбора варианта в данном случае?
Решение:
Проект 1
Е (R1) = 6000 * 0,2 + 7000 * 0,4 + 8000 * 0,8 + 9000 * 0,4 + 10000 * 0,2 = = 16000 т. руб.
Е (R2) = 5000 * 0,2 + 6500 * 0,35 + 8000 * 0,7 + 9500 * 0,55 + 13000 * 0,2 = = 16700 т. руб.
Е (R3) = 4000 * 0,2 + 6000 * 0,3 + 8000 * 0,6 + 10000 * 0,7 + 16000 * 0,2 = = 17600 т. руб.
Таким образом, проект №3 наиболее предпочтителен.
Следует отметить, что этот проект является и относительно более рисковым, поскольку имеет большую вариацию дохода по сравнению с проектом №1 и №2.
П1 = 10000 – 6000 = 4000 т. руб.
П2 = 13000 – 5000 = 8000 т. руб.
П3 = 16000 – 4000 = 12000 т. руб.
В данном случае основным критерием отбора была максимизация математического ожидаемого дохода.
Заключение
По результатам работы можно сделать следующие выводы:
1. Финансовая система может быть представлена различными формами организации предприятий: хозяйственное товарищество; хозяйственное общество; производственный кооператив; унитарное предприятие, которые, в свою очередь, имеют еще более развернутую классификацию.
2. Финансы предприятия выполняют следующие функции: инвестиционно-распределительную; фондообразующую; доходо-распределительную; обеспечивающую и контрольную.
3. К основным принципам организации финансов предприятий, как правило, относят: принцип экономической эффективности; принцип финансового контроля; принцип финансового стимулирования; принцип материальной ответственности.
4. Приемы и методы, находящиеся в арсенале финансового менеджера, можно разделить на три группы:
- общеэкономические (кредитование, ссудозаемные операции, система страхования, трансфертные операции и др.);
- прогнозно-аналитические (финансовое и налоговое планирование, методы прогнозирования, факторный анализ, моделирование и др.);
- специальные (дивидендная политика, финансовая аренда, факторинговые операции, франчайзинг, фьючерсы и т.д.)
Список литературы
1. Гражданский кодекс Российской Федерации от 23.12.2003 № 182-ФЗ. – М.: Юрайт, 2004.
2. Балабанов И.Т. Основы финансового менеджмента. – М.: Финансы и статистика, 1998. – 233с.
3. Ковалев В.В. Управление финансами: Учебное пособие. – М.: ФБК-ПРЕСС, 1998. – 160с.
4. Крейнина М.Н. Финансовый менеджмент. – М.: Дело и сервис, 2001. – 345с.
5. Павлова Л.Н. Финансы предприятий: Учебник для вузов. – М.: Финансы, ЮНИТИ, 1998. – 639с.
6. Финансовый менеджмент: Учебник для вузов / Под ред. Г.Б. Поляка. – М.: Финансы, ЮНИТИ, 1997. – 518с.
7. Финансы: Учеб. для вузов / Под ред. М.В. Романовского и др. – М.: Юрайт, 2000. - 520с.
8. Финансы: Учебник для вузов / Под ред. проф. Л.А. Дробозиной. - М.: Финансы, ЮНИТИ, 2000. - 482с.
9. Финансы / Под ред. В.М. Родионовой. - М.: Финансы и статистика, 1995. - 382с.
10. Финансы: Учебное пособие / Под ред. проф. А.М. Ковалевой. - М.: Финансы и статистика, 1997. - 386с.
11. Шим Джей К., Сигел Джоэл Г. Финансовый менеджмент. – М.: Филинъ, 1998. – 248с.