Содержание
Аннотация. 2
Введение. 3
1. Характеристика предприятия как источника загрязнения атмосферы.. 4
2. Карта-схема расположения объектов предприятия. 4
3. Расчеты массовых выбросов. 6
4. Бланки инвентаризации. 28
5. Определение категории опасности предприятия. 31
6. Определение платы за выбросы.. 31
Заключение. 33
Список литературы.. 34
Аннотация
В работе проведен анализ выброса загрязняющих веществ по предприятию ЗАО «Галлоп»: предприятие г. Новосибирска производящее сельскохозяйственное оборудование.
В работе проведен расчет выбросов, составлен бланк инвентаризации выбросов, определена категория опасности предприятия, проведен расчет платы за выбросы.
Введение
Развитие научно-технической революции связанные с ней грандиозные масштабы производственной деятельности человека привели к большим позитивным преобразованиям в мире – созданию мощного промышленного и сельскохозяйственного потенциала.
Но вместе с тем резко ухудшилось состояние окружающей среды. Загрязнение атмосферы, как части экосферы, достигает угрожающих размеров.
В связи с этим приобретает актуальность определение валовых выбросов на предприятиях, расчет платы за выбросы.
Цель данной работы – проведение расчета по определению выбросов загрязняющих веществ на конкретном предприятии.
В работе поставлены следующие задачи:
1. Привести характеристику предприятия как источника загрязнения атмосферы;
2. Показать карту-схему расположения объектов предприятия;
3. Провести расчеты массовых выбросов;
4. Составить бланки инвентаризации;
5. Провести определение категории опасности предприятия;
6. Провести определение платы за выбросы.
1. Характеристика предприятия как источника загрязнения атмосферы
В этом разделе рассматриваются все производственные участки предприятия, как потенциальные объекты загрязнения атмосферного воздуха.
Анализируются источники выделения и источники выбросов. Приводится кратко режим работы участка, перечень и количество используемых материалов, наличие газоочистки, способ удаления загрязняющих веществ. В качестве объекта исследования выбрано торгово-производственное предприятие г. Новосибирска ЗАО «Галлоп». Основными видами деятельности ЗАО «Галлоп» являются производство и продажа сельскохозяйственного машинного оборудования.
Предприятие занимает производственную площадку размером 200 х 300 м, на территории предприятия располагаются
· Административный корпус
· Механический участок
· Сварочный участок
· Участок окраски
· Склад готовой продукции
· Котельная
· Склад топлива
Численность предприятия составляет по состоянию на 1.12.2005 года 98 человек.
2. Карта-схема расположения объектов предприятия
В данном разделе приводится схема расположения объектов предприятия на производственной площадке в масштабе 1:1000. Показываются места источников выбросов, указывается направление на север. Приводится экспликация объектов предприятия. Карта - схема расположения объектов предприятия представлена на рис. 1

1 – административный корпус
направление ветра 2 – производственный участок (механический)
3 - сварочный участок
4 -- участок окраски
5 – склад готовой продукции
6 – котельная
7 – склад топлива
Экспликация
|
Номер на генеральном плане |
Объект |
|
1 |
Административный корпус |
|
2 |
Механический участок |
|
3 |
Сварочный участок |
|
4 |
Участок окраски |
|
5 |
Склад готовой продукции |
|
6 |
Котельная |
|
7 |
Склад топлива |
3. Расчеты массовых выбросов
В данном разделе приводятся расчеты массовых выбросов загрязняющих веществ по всем производственным участкам.
Определим массовые выбросы загрязняющих веществ от котлоагрегатов котельной и сопутствующего склада топлива. Исходные данные представлены ниже в таблице 1. Характеристика топлива приведена в таблице 2. Котельная работает в отопительном режиме.
Для котельной проанализировать режим ее работы, нагрузку оборудования, обосновать выбор максимального расхода топлива. При оформлении расчетной части привести расчетные формулы со всеми пояснениями. Параметры оборудования выбираются из справочной литературы и материалов курса. Недостающие параметры принимаются самостоятельно, выбор параметров обосновывается. Результаты расчетов выбросов по каждому участку желательно оформить в табличном виде.
Таблица 1
Исходные данные
|
№ варианта |
Тип котлоагрегата |
Кол-во котлов |
Вид топлива |
Степень очистки, % |
Расход топлива, т/год |
|
9 |
ДКВР-4/13 |
2 |
1 |
82 |
3000 |
Характеристика топлива приведена в табл. 2
Таблица 2
|
№ |
Тип топлива |
Q`, Ккал/кг |
Зольность, % |
Содержание серы, % |
|
9 |
Мазут сернистый |
9500 |
0,1 |
1,4 |
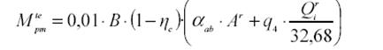
Валовый выброс твердых частиц в воздух с дымовыми газами, рассчитывается по формулам при сжигании твердых топлив определяется по формуле:

где В – расход топлива на работу котлоагрегата за отчетный период на номинальной (максимальной) нагрузке, т/год;
– доля твердых частиц, улавливаемых в
золоуловителях (в расчете не учитывается влияние сероулавливающих установок);
– доля золы, уносимой газами из котла (доля
золы топлива в уносе), принимается равной 20 для топок с пневмомеханическими забрасывателями
и решеткой с поворотными колосниками
– зольность топлива на рабочую массу, %;
– потери тепла от механической неполноты
сгорания топлива, %, принимаются равными 6,5 % для топок с пневмомеханическими забрасывателями
и решеткой с поворотными колосниками
– низшая рабочая теплота сгорания топлива,
МДж/кг.
= 0,01*3000*(1-0,18)
(20*0,1+ 6,5 *2,27/32,68 ) = 60,3 кг/год
1 калория = 4,18 Дж
Q` = 9500/4,18 = 2272,72кДж/кг = 2,27МДж/кг
В расчете на два котла количество выбросов твердых частиц удваивается и составляет 120,6т/год
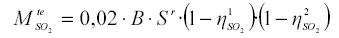
Количество серы диоксида SO2 M , г/с, выбрасываемой в атмосферный воздух с дымовыми газами, рассчитывается по формуле:
![]()
В – расход топлива на работу котлоагрегата при номинальной (максимальной) нагрузке, кг/с;
– содержание серы в рабочей массе топлива, %;
. – доля
серы оксидов, связываемых летучей золой в котле, для каменных углей марки Г
равны 0,08
– доля серы оксидов, улавливаемых в мокром
золоуловителе попутно с улавливанием твердых частиц. Доля серы оксидов,
улавливаемых в сухих золоуловителях, принимается равной нулю.
= 0,02*3000
* 0,5 (1 – 0,08) (1-0)*103 = 27,600 г/с
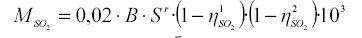
Валовый выброс серы диоксида, поступающего в атмосферный
воздух с дымовыми газами
дымовыми
газами т/год, рассчитывается по формуле:
![]()
= 0,02*3000*0,5 (1-0,08) (1-0) = 27,6 т/год
или в расчете на два котла валовый выброс серы диоксида составляет 55,2т/год
На следующем этапе необходимо выполнить расчет рассеивания примесей в приземном слое атмосферы. Объект обследования - котельная, расчеты выбросов выполнены выше. Определяются приземные концентрации веществ на территории предприятия (2-3 точки), на границе санитарно-защитной зоны и в жилой зоне. Площадка предприятия размером 200x300 м, месторасположение дымовой трубы выбирается самостоятельно. Размер санитарно-защитной зоны 100 м, расстояние до ближайшей жилой зоны от границы предприятия - 300 м. Проводится анализ уровня загрязнения воздуха, при необходимости предлагаются мероприятия по снижению выбросов.
Параметры дымовой трубы приведены в таблице № 3.
Таблица 3
|
№ варианта |
Высота трубы, м |
Диаметр устья, м |
Температура газов, град С |
|
1 |
41 |
0,95 |
260 |
Решение:
Высота выброса и скорость газового потока. С увеличением высоты трубы и скорости выбрасываемого газового потока эффективность рассеивания загрязнений увеличивается, т.е. рассевание выбросов происходит в большем объеме атмосферного воздуха, над большей площадью поверхности земли.
![]() |
|||
Схема рассеивания и распределения концентраций вредных веществ в приземном слое атмосферы под факелом высокого и мощного источника выбросов.
Методика расчета рассеивания в атмосфере вредных веществ, содержащихся в выбросах, основана на определении концентраций этих веществ (мг/м3) в приземном слое воздуха. Степень опасности загрязнения приземного слоя атмосферного воздуха выбросами вредных веществ определяется по наибольшему рассчитанному значению концентрации вредных веществ, которое может установиться на некотором расстоянии от источника выброса при наиболее неблагоприятных метеоусловиях (скорость ветра достигает опасного значения, наблюдается интенсивный турбулентный вертикальный обмен и др.).Расчет рассеивания выбросов проводится по ОНД-86 «Методика расчета концентраций в атмосферном воздухе вредных веществ содержащихся в выбросах предприятий»
Методика расчета приземных концентраций:
Максимальная приземная
концентрация вредного вещества (
,
мг/м3) при выбросе газовоздушной смеси из точечного источника с
круглым устьем достигается при неблагоприятных метеоусловиях на расстоянии
(м) от источника:
для горячих источников (
>>
0)
Н - высота трубы, м;
-
масса выбрасываемого в атмосферу в единицу времени вещества, г/с;
- разность температур выбрасываемых газов и атмосферного воздуха
-
полный расход выбрасываемых газов на срезе трубы, м3 /с определяется
по формуле
, где
(4)
(м)
- диаметр устья источника;
(м/с) - средняя скорость выхода газов из
источника выбросов;
- безмерный коэффициент, учитывающий влияние
рельефа. Для равнинного ландшафта
;
- коэффициенты, определение которых дано ниже.
А -коэффициент стратификации атмосферы, для Западной Сибири равен 200
- коэффициент, учитывающий скорость оседания
вредных веществ в атмосфере
Для газовых выбросов,мелкодисперсных аэрозолей (пыли, золы и т. п.), скорость упорядоченного оседания которых практически равна 0
Коэффициенты
и
,
учитывающие подъем факела под трубой
Значение этих коэффициентов определяются по вспомогательным величинам, вычисляемым в свою очередь по конструктивным параметрам:
![]()
![]()
Коэффициент
определяется
по формуле:
при
при
В случаях, когда
коэффициент
вычисляется при ![]()
Коэффициент
при
определяется в зависимости от
:
а)
= 1
при
;
б)
при
Для горячих источников расстояние
(м) от
источника выбросов до точки, в которой приземная концентрация
(мг/м3) при неблагоприятных метеоусловиях
достигает максимального значения
,
определяется по формуле
, где
безразмерный коэффициент
при
< 100 находится по формулам:
при
;
при
;
при
;
Расчет:
Н -высота трубы, м;
-
масса выбрасываемого в атмосферу в единицу времени вещества, г/с;
- разность температур выбрасываемых газов и атмосферного воздуха
- полный расход выбрасываемых газов на
срезе трубы, м3 /с определяется по формуле
Принимаем температуру атмосферы равной 20 С
= 3,14*0,952/4
* 0,5 = 0,3542м3 /с
= 1000 *
0,52 * 0,95/ 412 (260-20) = 0,0058
= 1/(0,67+0,1*√0,0058 + 0,34*3√0,0058)
= 1,35
= 0,65 * 3√0,5*240/41 = 3,01
= 0,532*3,012 – 2,13*3,01+ 3,13
=1,53
= 200*60,3* 1*1,53*1,44*1/412
√0,5*240 = 1,35мг/м3
= 800*(3,013) = 21816,7
![]()
= 2,48 (1+0,283√21816,7 ) = 21,88
= 5-1/4 * 41*21,88 = 897,08 м
Площадка предприятия размером 200x300 м, месторасположение дымовой трубы выбирается самостоятельно. Размер санитарно-защитной зоны 100 м, расстояние до ближайшей жилой зоны от границы предприятия - 300 м.
Найдем значения приземных концентраций на расстоянии 100 м и 300 м от источника:
- 100м – Х / Хм = 100/897,08= 0,111
- 300м – Х / Хм = 300/897,08= 0,33
S = 3 (Xi / Хм)4 - 8 (Xi / Хм)3 + 6(Xi / Хм)2 при Xi / Хм ≤1
S (100 м)= 3 (Xi / Хм)4 - 8 (Xi / Хм)3 + 6(Xi / Хм)2 = 3*0,114 – 8*0,113 + 6*0,11 2 = 0,06179
S = 1.13 / (0.13 (Xi / Хм)2 + 1) при 1< Xi / Хм ≤ 8;
S (300 м)= 1.13 / (0.13 (Xi / Хм)2 + 1) = 1,13/0,13*0,332 + 1 = 0,11
Тогда найдем значения приземной концентрации вредного вещества:
Сi = S * Cм
С (100м) =0,006179 * 1,35 = 0,008314мг/м3
С (300м) =0,11* 1,35 =0,0385мг/м3
График рассеивания примесей в приземном слое атмосферы представлен на рис.

Рисунок. График рассеивания примесей в приземном слое атмосферы
Далее проведем расчет выбросов загрязняющих веществ по производственным участкам.
Исходные данные
|
№ вари анта |
Сварочный участок |
Механический участок |
Участок окраски |
|||||
|
Тип электродов |
Режим работы, час/день |
Тип и кол-во единиц |
Режим работы, час/день |
Вид материала |
Тип ЛКМ |
Способ окраски |
Режим работы, час/день |
|
|
9 |
МР-3 УОНИ 13/55 |
3 |
Шлифовальный станок - 3 Сверлильный станок - 1 Заточной станок - 1 |
3 4 4 |
Медь |
МЛ-152 НЦ-223 Уайт-спирит № 646 |
кистью |
3 |
Таблица 2
Сварочный участок
|
№ |
Тип электрода |
Расход электродов, кг/год |
|
1 |
МР-3 |
300 |
|
2 |
УОНИ 13/55 |
450 |
Тип электрода:
|
Тип электрода |
Твердые |
Газообразные |
|||||
|
Feo |
MnO |
SiO2 |
фторид |
HF |
NO2 |
CO |
|
|
МР-3 |
9.04 |
1.56 |
- |
- |
0.4 |
- |
- |
|
УОНИ 13/55 |
14.9 |
1.09 |
1 |
- |
0.93 |
2.7 |
13.3 |
Таблица 3
Механический участок
|
№ |
Тип станка |
Использование СОЖ |
|
1 |
Шлифовальный |
Эмульсол |
|
2 |
Сверлильный |
- |
|
3 |
Заточной |
- |
Таблица 4
Участок окраски
|
№ |
Тип ЛКМ |
Расход ЛКМ, кг/год |
|
1 |
МЛ-152 |
500 |
|
5 |
НЦ-223 |
700 |
|
7 |
Уайт-спирит |
200 |
|
8 |
№646 |
300 |
Участок сварки металла
При ручной дуговой сварке используются штучные электроды марки МР-4, годовой расход которых составляет 1500 кг. Режим работы поста – 6 часов в день и 240 дней в году.
Годовой выброс:
Сi = β * gi * 10-6, т/год
Расход материалов:
Βср = ∑ В/Т , кг/год
Максимальный выброс: Мi = Вmax gi /3600 г/сек
Рассчитаем годовой выброс:
МР – 3 (FeO, MnO, НF)
gi (FeO) = 9.04 г/кг
В = 300 кг/год
Сi = 300*9,04*10-6 = 2712*10-6 т/год
Воб = ∑В
Βср = ∑ В/Т
gi (НF) =0,4 кг/год
Сi = 300*0,4*10-6 = 120*10-6 т/год
Вср = 300+450/750 = 1
Вmax = 1
gi (MnO) = 1,56 г/кг
В = 300 кг/год
Сi = 1,56*300*10-6 = 468*10-6 т/год
Рассчитаем годовой выброс сварочного участка (УОНИ 13/55 : FeO, MnO, SO, HF, NO2, CO)
УОНИ – 13/55 = 450 кг/год
gi (FeO) = 14,9 г/кг
В = 450 кг/год
Сi =14,9*450*10-6 = 6705*10-6 т/год
gi (MnO) = 1.09 кг/год
В = 450 кг/год
Сi = 1,09*450*10-6 = 490,5 * 10-6 т/год
gi (SiO) = 1 г/кг
В = 450 кг/год
Сi = 1*450*10-6 = 450*10-6 т/год
gi (HF) =0,93 г/кг
В = 450 кг/год
Сi = 450*0.93*10-6 = 418.5 * 10-6 т/год
gi (NO2) = 2.7 г/кг
В = 450 кг/год
Сi = 450*2,7*10-6 = 1215* 10-6 т/год
gi (СO) = 13,3 г/кг
В = 450 кг/год
Сi = 450*13,3*10-6 = 5985* 10-6 т/год
Рассчитаем максимально-разовый выброс:
Мi = Bmax * gi / 3600, г/сек
МР-3 = 300кг/год
Mi (FeO) = 1*9.04/3600 = 0.0025 г/сек
Mi (HF) = 1*0,4/3600 = 0,0001 г/сек
Mi (MnO) = 1*1.56/3600 = 0.0004 г/сек
УОНИ 13/55 = 450 кг/год
Mi (FeO) = 1*14,09/3600 = 0,0041г/сек
Mi (MnO) = 1*1.0,9/3600 = 0.0003 г/сек
Mi (SiO) = 1*1/3600 = 0,0002 г/сек
Mi (HF) = 1*0,4/3600 = 0,0001 г/сек
Mi (NO2) = 1*2.7/3600 = 0,0007 г/сек
Mi (CO) = 1*13.3/3600 = 0,0036 г/сек
Механический участок
Расчет выбросов при деревообработке металлов:
Выбросы по сварочному участку приведены в табл.
|
Загрязняющие вещества |
М, г/сек |
Сi т/год |
|
FeO |
0,0041 |
6705*10-6 |
|
MnO |
0,0004 |
490,5*10-6 |
|
HF |
0,0002 |
418,5*10-6 |
|
SiO |
0,0002 |
450*10-6 |
|
NO2 |
0,0007 |
1215*10-6 |
|
CO |
0,0036 |
5985*10-6 |
Сi = ∑g Kэмо T * 10-3 (1-η), м/г
М = ∑g Kэмо /3,6, кг/ч
Где Кэмо – коэффициент эффективности местного отсоса
К = 0,9 – прямой отсос
К = 0,2 – общеобменный
3,6 – коэффициент перевода
g – удельное выделение пыли от станка, кг/ч
|
Марка станка |
g |
|
Шлифовальный ШлПС 5 |
2,8 |
|
Шлифовальный ШлДб |
3,1 |
|
Сверлильный СВПА |
1,5 |
|
Заточной Ф-250 |
0,011 |
|
СОЖ |
10-5, г/чек, кВт |
|
Шлифовальные – масло, эмульсол до 3%, до 10% |
8 0,104 1,035 |
|
Остальные – масло, Эмульсол – 3% Эмульсол, 10 % |
5,6 0,05 0,045 |
Расчет максимального выброса:
Шлифовальный станок (три станка, d = 350)
Mi = 0.020 (1-0) (1-0.9)*0.2 = 0.0004 г/сек (абразивная пыль)
Mi = 0.030 (1-0) (1-0.9)*0.2 = 0.0006 г/сек (металлическая пыль)
Так как имеется три шлифовальных станка, следовательно:
Mi (абр) = 0,0004*3 = 0,0012
Mi (мет) = 0,0006*3 = 0,0018
Сверлильный станок 1
Mi = 2,2 *10-3 (1-0) (1-0)*0,2 = 0,00044 (металлическая пыль)
СОЖ не используется, значит η = 0
(1-0) (1-0.9)*0.2 = 0.0006 г/сек (металлическая пыль)
Заточной станок 1
Mi = 0.016 (1-0) (1-0) * 0.2 = 0.0032 (абразивная пыль)
Mi = 0.024 (1-0) (1-0) * 0.2 = 0.0048 (металлическая пыль)
Выбираем три станка, от которых наибольшее количество пыли.
Механическая пыль:
0,006
0,00044
0,0048
0,0006
0,0006
Как видно из представленных данных наибольшее количество пыли выявлено при работе трех станков – сверлильный, заточной, шлифовальный.
∑мет. пыль = 0,0006+0,00044+0,0048 = 0,00904
∑абраз. пыль = 0,0004+0,0032= 0,0036+0,0004 = 0,004
Расчет аэрозолей при СОЖ:
M сож = ∑K*N, г/сек
К – удельное выделение паров СОЖ
N – мощность станка, кВт
Значение K и N выбирают по табличным данным.
Мсож = 0,104*10-5 = 1,456*10-5
Для сверлильного станка СОЖ – нет
Расчет годового выброса:
Ci = ∑gi * 3.6 *T (1-η) * 10-3 (1-ηсож) * Кэмо
Для шлифовального станка (3 шт)
Ci = 0,03 * 3.6 *750 (1-0) * 10-3 (1-0,9) *0,2 = 0,00162 (металл. пыль)
Ci = 0,020 * 3.6 *750 (1-0) * 10-3 (1-0,9) *0,2 = 0,00108 (металл. пыль)
Для сверлильного станка (1 шт)
Ci = 2,2* 3.6 * 4 * 20 (1-0) * 10-3 (1-0,9) *0,2 = 0,001584 (металл. пыль)
Для заточного станка (1 шт)
Ci = 2,2* 3.6 * 4 * 20 (1-0) * 10-3 (1-0,9) *0,2 = 0,001584 (металл. пыль)
Ci = 2,2* 3.6 * 4 * 20 (1-0) * 10-3 (1-0,9) *0,2 = 0,001584 (металл. пыль)
Ci общ мет = 0,00162+0,00162+0,00162+0,001584+0,01728 = 0,02373
Ci общ абр=0,00108+0,01152 = 0,01476
Расчет максимального выброса для всех станков
1. Механическая пыль: 0,006+0,00044+0,0048 = 0,00904
2. Абразивная пыль: 0,0012+0,0032=0,0044
3. Эмульсол = 0,104*10-5*14*3 = 4,368*10-5
Для шлифовального
Сож = 0,104*10-5*14*3,6*750*10-3 = 3931,2*10-8
Результаты представлены в табл.
|
Участок |
Наименование загрязняющих веществ |
Мi, г/сек |
С, т/год |
|
Плоскошлифовальный |
Металлическая пыль Абразивная пыль Эмульсол |
0,0018 0,0012 4,368*10-5 |
0,0048 0,0032 0,0001179 |
|
Сверлильный |
Металлическая пыль |
0,00044 |
0,001584 |
|
Заточной |
Металлическая пыль Абразивная пыль |
0,0048 0,0032 |
0,01728 0,01152 |
|
Загрязняющее вещество |
М, г/сек |
С, т/год |
|
Металлическая пыль |
0,0048 |
0,01728 |
|
Абразивная пыль |
0,0032 |
0,01152 |
|
Эмульсол |
4,368*10-5 = 0,0000436 |
0,0001179 |
Участок окраски
Ci = B*φл * φi * (1-η)*10-3 [B] = кг
Mi = Bmax* φл * φi * (1-η)/3.6 [Bmax] = кг/час
л - доля летучей золы
Т = 3*250 = 750
Вср = (500+650+200+300) / 750 = 1650/750 = 2,2
принимаем В max = 3
Составляем соотношение:
МЛ – 152 и Уайт-спирит
5 2
НЦ-218 № 646
2 1
Расчет годового выброса МЛ - 152:
С (бутанол) = 500*0,52*20,85 (1-0) * 10-3 = 5421*10-3
С (изобутанол) = 500*0,52*9,59 (1-0) * 10-3 = 24934*10-3 = 0,249
С (Уайт-спирит) = 500*0,52*13 (1-0) * 10-3 = 3380*10-3 = 0,0338
С (ксилол) = 500*0,52*39,76 (1-0) * 10-3 = 10337,6*10-3 = 0,1033
С (бензин) = 500*0,52*2,73 (1-0) * 10-3 =709,8*10-3 0,007098
С (сольвент) = 500*0,52*14,07 (1-0) * 10-3 =3658,2*10-3 0,003658
НЦ - 218
С (бутанол) = 650*0,70*9 (1-0) * 10-3 =4095*10-3 = 0,04095 т/год
С (бутилацетат) = 650*0,70*9 (1-0) * 10-3 =4095*10-3 = 0,04095 т/год
С (этанол) = 650*0,70*16 (1-0) * 10-3 =7280*10-3 = 0,07280 т/год
С (этилацетат) = 650*0,70*16 (1-0) * 10-3 =7280*10-3 = 0,07280 т/год
С (ксилол) = 650*0,70*16 (1-0) * 10-3 =7280*10-3 = 0,07280 т/год
С (толуол) = 650*0,70*23,5 (1-0) * 10-3 =10692,5*10-3 = 0,106 т/год
С (этилцеллюлозолин) = 650*0,70*3 (1-0) * 10-3 =1365*10-3 = 0,01365т/год
Рассчитаем максимально разовый выброс
Mi= Bmax φл φ (1 - η)/3,6
М (бутанол) = 0,8*0,70*0,09 (1-0) /3,6 =0,014 г/с
М (этанол) = 0,8*0,70*0,16 (1-0) /3,6 =0,024 г/с
М (бутилацетат) = 0,8*0,70*0,09 (1-0) /3,6 =0,014 г/с
М (этилацетат) = 0,8*0,70*0,16 (1-0) /3,6 =0,024 г/с
М (ксилол) = 0,8*0,70*0,23 (1-0) /3,6 =0,035 г/с
М (толуол) = 0,8*0,70*0,23 (1-0) /3,6 =0,035 г/с
М (этилцеллюлозолин) = 0,8*0,70*0,03 (1-0) /3,6 =0,004 г/с
МЛ-152
М (бутанол) = 2,1*0,52*0,20 (1-0) /3,6 =0,06 г/с
М (изобутанол) = 2,1*0,52*0,095 (1-0) /3,6 =0,02 г/с
М (Уайт-спирит) = 2,1*0,52*0,13 (1-0) /3,6 =0,03 г/с
М (ксилол) = 2,1*0,52*0,39 (1-0) /3,6 =0,118 г/с
М (бензин) = 2,1*0,52*0,027 (1-0) /3,6 =0,008 г/с
М (сольвент) = 2,1*0,52*0,14 (1-0) /3,6 =0,04 г/с
№ 646
М (бутанол) = 1*1*0,15 (1-0) /3,6 =0,04 г/с
М (этанол) = 1*1*0,1 (1-0) /3,6 =0,02 г/с
М (бутилацетат) = 1*0,52*0,13 (1-0) /3,6 =0,03 г/с
М (толуол) = 1*1*0,5 (1-0) /3,6 =0,13 г/с
М (этицеллюлозит) = 1*1*0,08 (1-0) /3,6 =0,022 г/с
М (ацетон) = 1*0,07 *0,07 (1-0) /3,6 =0,019 г/с
|
Загрязняющее вещество |
I смесь |
М1, г/с |
II смесь |
M2, г/с |
г/с |
||
|
МЛ-152 |
Уайт-спирит |
НЦ-218 |
N-646 |
||||
|
Бутанол |
0,06 |
0,014 |
0,04 |
0,054 |
0,06 |
||
|
Изобутанол |
0,02 |
- |
- |
- |
0,02 |
||
|
Уайт-спирит |
0,03 |
0,833 |
0,836 |
- |
- |
- |
0,836 |
|
Ксилол |
0,118 |
0,035 |
- |
0,035 |
0,118 |
||
|
Бензин |
0,008 |
- |
- |
- |
0,008 |
||
|
Сольвент |
0,04 |
- |
- |
- |
0,04 |
||
|
Этанол |
|||||||
|
Бутилацетат |
0,014 |
0,02 |
0,034 |
0,034 |
|||
|
Этанол |
0,023 |
0,02 |
0,043 |
0,043 |
|||
|
Этилацетат |
0,024 |
- |
0,024 |
0,024 |
|||
|
Толуол |
0,035 |
0,13 |
0,165 |
0,165 |
|||
|
Этилцеллюлозит |
0,004 |
0,022 |
0,026 |
0,026 |
|||
|
Ацетон |
- |
0,019 |
0,019 |
0,019 |
Рассчитаем
Саэр МЛ-152 = 500*0,48 = 240
Снц = 650*0,32 = 208
М (бутилацетат) = 0,8*0,70*0,09 (1-0) /3,6 =0,014 г/с
М (этилацетат) = 0,8*0,70*0,16 (1-0) /3,6 =0,024 г/с
М (ксилол) = 0,8*0,70*0,23 (1-0) /3,6 =0,035 г/с
М (толуол) = 0,8*0,70*0,23 (1-0) /3,6 =0,035 г/с
М (этилцеллюлозолин) = 0,8*0,70*0,03 (1-0) /3,6 =0,004 г/с
М(бутилацетат) = 650*0,70*9 (1-0) * 10-3 =4095*10-3 = 0,04095 т/год
М(этанол) = 650*0,70*16 (1-0) * 10-3 =7280*10-3 = 0,07280 т/год
М(этилацетат) = 650*0,70*16 (1-0) * 10-3 =7280*10-3 = 0,07280 т/год
М(ксилол) = 650*0,70*16 (1-0) * 10-3 =7280*10-3 = 0,07280 т/год
М(толуол) = 650*0,70*23,5 (1-0) * 10-3 =10692,5*10-3 = 0,106 т/год
М(этилцеллюлозолин) = 650*0,70*3 (1-0) * 10-3 =1365*10-3 = 0,01365т/год
№ 646
С (бутанол) = 300*1*15 (1-0) * 10-3 =4500*10-3 = 0,045 т/год
С (этанол) = 300*1*10 (1-0) * 10-3 =3000*10-3 = 0,03 т/год
С (бутилацетат) = 300*1*16 (1-0) * 10-3 =3000*10-3 = 0,03 т/год
С (толуол) = 300*1*50 (1-0) * 10-3 =15000*10-3 = 0,15 т/год
С (этилцеллюлозолин) = 300*1*8 (1-0) * 10-3 =2400*10-3 = 0,024т/год
С (ацетон) = 300*1*7 (1-0) * 10-3 =2100*10-3 = 0,021т/год
Результаты расчета выбросов предприятию представлены в табл.
|
Наименование участка |
Наименование выбрасываемого загрязняющего вещества |
Максимально разовый выброс, г/сек |
Валовый выброс, т/год |
|
Котельная |
Сажа, углеводороды |
27,6 |
0,0603 |
|
Сварочный участок |
FeO |
0,0041 |
6705*10-6 |
|
MnO |
0,0004 |
490,5*10-6 |
|
|
HF |
0,0002 |
418,5*10-6 |
|
|
SiO |
0,0002 |
450*10-6 |
|
|
NO2 |
0,0007 |
1215*10-6 |
|
|
CO |
0,0036 |
5985*10-6 |
|
|
0,0041 |
6705*10-6 |
||
|
Механический участок |
Металлическая пыль Абразивная пыль Эмульсол |
0,0018 0,0012 4,368*10-5 |
0,0048 0,0032 0,0001179 |
|
Металлическая пыль |
0,00044 |
0,001584 |
|
|
Металлическая пыль Абразивная пыль |
0,0048 0,0032 |
0,01728 0,01152 |
|
|
Участок окраски |
Бутанол |
0,054 |
0,06 |
|
Изобутанол |
- |
0,02 |
|
|
Уайт-спирит |
- |
0,836 |
|
|
Ксилол |
0,035 |
0,118 |
|
|
Бензин |
- |
0,008 |
|
|
Сольвент |
- |
0,04 |
|
|
Этанол |
|||
|
Бутилацетат |
0,034 |
0,034 |
|
|
Этанол |
0,043 |
0,043 |
|
|
Этилацетат |
0,024 |
0,024 |
|
|
Толуол |
0,165 |
0,165 |
|
|
Этилцеллюлозит |
0,026 |
0,026 |
|
|
Ацетон |
0,019 |
0,019 |
4. Бланки инвентаризации
Под выбросом понимается поступление вредного (загрязняющего) вещества из передвижных и стационарных источников в атмосферу, а вредным (загрязняющим) веществом признается химическое или биологическое вещество либо смесь таких веществ, которые содержатся в атмосферном воздухе и которые в определенных концентрациях, превышающих предельно допустимые нормативы, оказывают вредное воздействие на здоровье человека и окружающую среду.
Основными целями инвентаризации выбросов являются: получение исходных данных для оценки степени влияния выбросов загрязняющих веществ на атмосферный воздух и установления нормативов предельно допустимых выбросов вредных (загрязняющих) веществ в атмосферный воздух как в целом по предприятию, так и по отдельным источникам загрязнения атмосферного воздуха; определение количественных характеристик выбросов загрязняющих веществ; определение перечня вредных (загрязняющих) веществ, подлежащих государственному учету и нормированию для рассматриваемого объекта; оценка эффективности работы пылегазоочистного оборудования (сооружения, состоящего из одного или нескольких аппаратов по очистке вредных (загрязняющих) веществ, вспомогательного оборудования и коммуникаций), предназначенного для улавливания из выбросов или вентиляционного воздуха вредных (загрязняющих) веществ с целью предотвращения загрязнения атмосферного воздуха); оценка эффективности использования сырьевых ресурсов и утилизации отходов на предприятии; планирование работ по охране атмосферного воздуха. Инвентаризация выбросов, согласно Правилам, осуществляется посредством проведения инструментальных замеров и (или) составления расчетов выбросов вредных (загрязняющих) веществ. Она проводится периодически один раз в пять лет, а также в случае реконструкции или изменения технологии производства, появления новых стационарных источников выброса вредных (загрязняющих) веществ.
Бланк инвентаризации выбросов загрязняющих веществ в атмосферу на 2006 г.
Раздел 1. Источники выделения загрязняющих веществ
|
Наименование производства, цеха, участка |
Номер источника загрязнения атмосферы |
Номер источника выделения |
Наименование источника выделения загрязняющих веществ |
Наименование выпускаемой продукции |
Время работы источника выделения, часов |
Наименование загрязняющего вещества |
КодЗВ |
Количество ЗВ, отходящего от источника выделения, т/год * 10-6 |
|
|
В сутки |
За год |
||||||||
|
А |
1 |
2 |
3 |
4 |
5 |
6 |
7 |
8 |
9 |
|
Котельная |
1 |
1 |
Топка |
- |
8 |
2880 |
Сажа, углеводороды |
1 |
60,3 |
|
Котельная |
2 |
2 |
Топка |
- |
8 |
2880 |
Диоксид серы |
2 |
99,4 |
|
Сварочный участок |
2 |
3 |
МР-3 |
- |
8 |
2880 |
FeO MnO HF |
3 |
2712 |
|
120 |
|||||||||
|
468 |
|||||||||
|
Сварочный участок |
2 |
4 |
УОНИ-13/55 |
- |
8 |
2880 |
FeO MnO HF NO2 CO |
4 |
6705 450 418,5 1215 5985 |
|
Участок окраски |
3 |
5 6 |
МЛ-152 |
2880 |
бутанол |
5 |
5421 |
||
|
изобутанол |
0,249 |
||||||||
|
Уайт-спирит |
0,0338 |
||||||||
|
ксилол |
0.1033 |
||||||||
|
бензин |
0,007098 |
||||||||
|
сольвент |
0,003658 |
||||||||
|
НЦ-218 |
- |
8 |
2880 |
бутилацетат |
6 |
0,04095 |
|||
|
этанол |
0,07280 |
||||||||
|
этилацетат |
0,07280 |
||||||||
|
ксилол |
0,07280 |
||||||||
|
толуол |
0,106 |
||||||||
|
этилцеллюлозин |
0,01365 |
||||||||
|
№ 646 |
- |
8 |
2880 |
бутанол |
7 |
0,045 |
|||
|
этанол |
0,03 |
||||||||
|
бутилацетат |
0,03 |
||||||||
|
толуол |
0,15 |
||||||||
|
этилцеллюлозин |
0,024 |
||||||||
|
ацетон |
0,021 |
5. Определение категории опасности предприятия
Категория опасности предприятия (КОП) рассчитывается по формуле:

где G- масса выброса i-го ЗВ k-ым источником, (т/год);
ПДК - среднесуточная предельно-допустимая концентрация 1-го ЗВ, мг/м
а - степень вредности i-го ЗВ по отношению к вредности сернистого газа, зависит от класса опасности вещества.
для классов опасности от 1 до 4 соответственно равна 17, 1.3, 1.0, 09; т - количество источников выбросов;
n - количество ЗВ.
КОП = 0,748 * 104
Предприятие относится ко второй категории опасности.
6. Определение платы за выбросы
Плату за годовой выброс, руб./год, рассчитаем по формулам
П1 = ∑ Сi mi τ / 106
где Сi – ставка платы, руб.; mi – фактический выброс данного загрязняющего компонента, г/с (если mi > ПДКi , то в формулу) подставляют значение ПДКi ); τ – время работы источника в течение года, с.
Сi = Нi * К
где Нi - базовый норматив платы за выброс 1 т загрязняющего вещества в пределах допустимых выбросов, руб.; К – коэффициент экологической ситуации данного региона по атмосферному воздуху, К=1,0
Плата за сверхлимитные выбросы П2, руб./год, рассчитывается по формуле:
П2 = 5 ∑ Сi` (mi - ПДВi) τ / 106
где Сi` - ставка платы при сверхлимитных выбросах, руб.
Сi` = Нi` * K
где Нi` - базовый норматив платы за выброс 1 т загрязняющего вещества при сверхлимитных выбросах, руб.; К = 0,8
Общая плата за выброс П рассчитывается по формуле
П= П1 + П2
П1 = (26,4 * 0,4947+ 0,8 *0,204) *8000 * 3600 / 106 = 380,82
П2 = 5 *(132 *0,8 (0,4947-0,15)+ (4,0* 0,8 (0,204 -5,0)* 8000* 3600) / 106 = 3031,64 руб
П = 380,82+3031,64= 3412,47 руб./год
Заключение
Таким образом, установлено, что рассматриваемое предприятие относится ко второй категории опасности.
Предприятие занимается продажей и производством сельскохозяйственного машинного оборудования.
Предприятие занимает производственную площадку размером 200 х 300 м, на территории предприятия располагаются
· Административный корпус
· Механический участок
· Сварочный участок
· Участок окраски
· Склад готовой продукции
· Котельная
· Склад топлива
Виды загрязняющих веществ, выбрасываемым предприятием в атмосферу: сажа, углеводороды, спирт н-бутиловый, диоксид серы, спирт изобутиловый, уайт-спирит, сольвент, ксилол, бензол, стирол, бутилацетат, этилацетат, спирт этиловый, толуол, ацетон, этилцеллюлоза, азот диоксид, углерода диоксид, железо оксид, марганец и его соединения
Плата за выбросы составляет 3412,47 руб./год
Список литературы
1. Букс И.И., Фомин С.А. Экологическая экспертиза и оценка воздействия на окружающую среду (ОВОС): Программа курса и учебные материалы. - М: Изд-во МНЭПУ, 1997. - 214 с.
2. Васильев С.А., Фомин С.А. Экологическая экспертиза и оценка воздействия на окружающую среду: Учебно-методическое пособие. - М.: МНЭПУ, 2003. - 344 с.
3. Дьяконов К.Н., Дончева А.В. Экологическое проектирование и экспертиза: Учебник. - М.: Аспект Пресс, 2002. - 322 с.
4 Максименко Ю.Л., Горкина И.Д. Оценка воздействия на окружающую среду: Пособие для практиков. - М.: РИФИА, 1996. - 346 с.
5. Берлянд М.Е. Прогнозирование и регулирование загрязнений атмосферы. - Л.: Гидрометиоиздат, 1985. - 272 с.
6. Муравьев А. Г. Оценка экологического состояния природно-антропогенного комплекса: Учебное пособие / Федерация экологического образования. —2-е изд., доп. и расш. — СПб.: Крисмас+, 2000. — 128 с.
7. ерп О.М., Виниченко В.Н., Хотулева М.В. Экологическая оценка и экологическая экспертиза. - М.: СэС, 2001. - 309 с.
8. Василенко В.А. Экологическое обоснование хозяйственных решений: Аналитический обзор / В.А. Василенко. - Новосибирск: ГПНТБ, 2001. -137 с. (Экология. - Вып. 60).
9. Ли Н. Экологическая экспертиза: Учебное руководство. - М.: Эко-прос, 1995.-234 с.
10. Порфирьев Б.Н. Экологическая экспертиза и риск технологий. - М.: ВИНИТИ, 1990.-124 с.
11. Рыбальский Н.Г., Жакетов О.Л., Ульянова А.Е. Экологические аспекты экспертизы проектов. - М.: ВНИИИПИ, 1989. - 98 с.
12. Сметанин В.И. Защита окружающей среды от отходов производства и потребления: Учебник. - М.: КолосС, 2003. - 230 с.
13. Инженерная защита поверхностных вод от промышленных стоков: Учебн. пос. / Д.А. Кривошеим, П.П. Кукин, В.Л. Лапин и др. - М.: Высшая школа, 2003.-344 с.
14. Бондалетова Л.И., Бондалетов В.Г., Новиков ВТ., Алексеев Н.А. Лакокрасочные материалы и покрытия на их основе: Методическое пособие по выполнению практических заданий. - Томск: Изд. ТПУ, 2002. - 41 с.
15. Бондалетова Л.И., Новиков В.Т., Алексеев Н.А. Расчет выбросов загрязняющих веществ при сжигании топлива в котлоагрегатах котельных: Методическое пособие по выполнению практических заданий. - Томск: Изд-во ТПУ, 2000. - 39 с.
