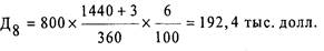
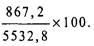
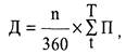
http://decanat.ru/books/book_10/index.html
Банки и банковское дело
Предисловие Глава 1. Коммерческие банки Введение 1.1. Происхождение и сущность банков 1.2. Принципы деятельности коммерческого банка 1.3. Банковские операции и услуги 1.4. Коммерческие банки в Российской Федерации 1.5. Организационное устройство коммерческого банка Глава 2. Банковская система 2.1. Понятие банковской системы 2.2. Ассоциации коммерческих банков 2.3. Развитие банковской системы 2.4. Проблемы и перспективы развития банковской системы РФ Глава 3. Центральный Банк Российской Федерации 3.1. Центральный банк и его функции 3.2. Центральный банк Российской Федерации 3.3. Роль центрального банка РФ в реструктуризации банковской системы Глава 4. Расчетно-кассовые операции 4.1. Расчетно-кассовые операции как одна из важнейших операций коммерческого банка 4.2. Порядок открытия, переоформления и закрытия счета. Виды счетов 4.3. Организация безналичных расчетов: Общие положения 4.4. Организация межбанковских расчетов 4.5. Кассовые операции Глава 5. Банковское кредитование 5.1. Сущность и функции кредита 5.2. Виды кредита 5.3. Принципы кредитования 5.4. Финансовый кредит 5.5. Коммерческий кредит Глава 6. Операции с драгоценными металлами и природными драгоценными камнями 6.1. Драгоценные металлы и камни как объект банковских сделок 6.2. Операции банка с драгоценными металлами 6.3. Металлический счет 6.4. Операции с природными драгоценными камнями Глава 7. Лизинговые и ипотечные операции 7.1. Лизинговые операции 7.2. Ипотечные операции Глава 8. Банковское регулирование валютных операций 8.1. Валютные операции и порядок их осуществления 8.2. Контроль за покупкой валюты и поступлением валютной экспортной выручки 8.3. Порядок выдачи разрешений на проведение инвестиционных операций Глава 9. Банковские инновации 9.1. Сущность и содержание банковской инновации 9.2. Жизненный цикл банковской инновации 9.3. Характеристика некоторых видов банковских инноваций Глава 10. Банковский маркетинг 10.1. Банковский маркетинг — составная часть финансового маркетинга 10.2. Функции банковского маркетинга 10.3. План банковского маркетинга Глава 11. Электронные новации в банковском бизнесе 11.1. Электронные сети в экономике 11.2. Системы «виртуальных» платежей 11.3. Банки в интерактивном бизнесе 11.4. Безопасность банковских систем Литература
Предисловие
Банк (фр. banque) — это финансовый институт, созданный для управления денежным потоком в стране. Любая экономика держится на объективных экономических законах, одним из которых является закон денежного обращения. Оборот денег происходит под влиянием финансовых институтов, и прежде всего банков, которые создают основу для денежного оборота и связаны со всеми отраслями и секторами экономики. Банки обеспечивают финансирование всех сфер предпринимательства, производственной и непроизводственной сфер, сферы управления и наполняют бюджет (как федеральный, так и территориальный) необходимыми денежными средствами.Через банки осуществляется также и двустороннее движение денег, взятых взаймы (кредит). Сегодня коммерческие банки способны предоставить клиентам до 200 видов банковских продуктов и операций.Такая обширная деятельность банков требует системного подхода к изучению банковского дела. Учебная дисциплина «Банковское дело» преследует три цели: 1. Сформировать у студентов целостную систему знаний о банковской деятельности и банке как финансовом институте. 2. Дать понятийно-терминологический аппарат, характеризующий сущность и содержание банковских операций. 3. Раскрыть взаимосвязь всех понятий, их внутреннюю логику и -модель денежных потоков через банковскую систему. Задачами учебной дисциплины «Банковское дело» являются: ♦ дать студентам определенный минимум необходимых теоретических знаний по теории банковских операций и самой банковской деятельности; ♦ привить им практические навыки для работы в банковской сфере, современной российской экономики; ♦ наметить для будущих профессионалов банковской деятельности основные направления работы банков в XXI в. с учетом возможных банковских инноваций, банковского бизнес-интернета и т. п. При изучении данной учебной дисциплины следует применять активные методы обучения, к которым относятся: семинары, практические занятия, выездные занятия, деловые игры, круглые столы, встречи со специалистами банковской системы, самостоятельная работа, инди- видуальная работа, подготовка и обсуждение проблемных докладов, научно-практические конференции, аттрактивные формы учебы, сочетаемые с отдыхом, культурно-развлекательной программой (туры, круизы, стажировки и т. п.). При обучении большое значение имеет применение различных педагогических программоносителей и новых технологий обучения, например интерактивное обучение. Педагогические программоносители бывают персонализированные й визуальные. Персонализированные программоносители развивают творческое мышление и память у конкретного студента. К персонализированным программоносителям относятся игры, кроссворды, криптограммы, чайнворды, тесты и др. Педагогическая ценность визуальных программоносителей заключается в том, что хорошая модель более красноречива, чем самый умный доклад. К визуальным программоносителям относятся схемы, графики, рисунки, диаграммы и др. Интерактивное обучение представляет собой такую форму организации учебного процесса, при которой студент овладевает учебным материалом в тесном диалоговом контакте с преподавателем. Таким образом, между процессом обучения и самим учением возникает такая взаимосвязь, при которой учебный материал, сообщаемый с позиции преподавателя, становится понятным студенту и хорошо им усваивается. Учебное пособие подготовлено коллективом авторов в составе: И. Т. Балабанов, О. В. Гончарук, Н. А. Савинская, А. И. Балабанов, С.В.Афонина.
Глава 1.
КОММЕРЧЕСКИЕ БАНКИ
После изучения этой главы вы узнаете, что: 1. Современный коммерческий банк — это организация, созданная для привлечения денежных средств и размещения их от своего имени на условиях возвратности, платности и срочности. 2. Основополагающими принципами деятельности коммерческого банка являются: работа в пределах реально имеющихся ресурсов, экономическая самостоятельность, построение с клиентами взаимоотношений рыночного типа. 3. Современный коммерческий банк может предложить клиентам до 200 продуктов и услуг. 4. Пассивные операции — это совокупность операций, обеспечивающих формирование ресурсов коммерческого банка. 5. Активные операции — это совокупность операций по размещению собственных и привлеченных средств банка для получения прибыли. 6. Комиссионные операции — это операции, которые банк выполняет по поручению своих клиентов и взимает с них плату в виде комиссионных. 7. В Российской Федерации банк действует на основании специального разрешения — лицензии. Вы сможете: 1. Охарактеризовать основные этапы в становлении современного коммерческого банка. 2. Провести различия между банком и небанковским финансовым учреждением. 3. Перечислить принципы деятельности коммерческого банка. 4. Назвать основные виды банковских услуг. 5. Перечислить банковские операции и услуги, которые имеют право осуществлять российские кредитные организации. 6. Перечислить и охарактеризовать пассивные, активные и комиссионные операции коммерческих банков. 7. Охарактеризовать процедуру создания коммерческого банка, его реорганизации и ликвидации. 8. Охарактеризовать организационное устройство коммерческого банка.
ВВЕДЕНИЕ
Согласно действующему российскому законодательству установлено, что предприятия, организации, учреждения независимо от их организационно-правовой формы и, следовательно, собственности: ♦ обязаны хранить свои денежные средства в учреждениях банков; ♦ должны производить расчеты по своим обязательствам с другими предприятиями в безналичном порядке через учреждения банков; ♦ могут иметь в своей кассе наличные деньги в пределах лимитов, установленных учреждениями банков по согласованию с руководством предприятий. Таким образом, в рыночной экономике банки опосредуют движение денег, и никакой другой финансовый институт такими полномочиями не обладает. Однако возникает целый ряд вопросов: 1) Что есть банк в условиях рыночной экономики? 2) Какова его роль? 3) Что позволило банку стать ключевым звеном в финансовой системе? 4) Что представляет из себя банковская система РФ? 5) Каковы проблемы функционирования банковской системы РФ?
1.1. ПРОИСХОЖДЕНИЕ И СУЩНОСТЬ БАНКОВ
Слово «банк» происходит от старо-французского «banque» и означает «стол». Конкретной исторической даты возникновения банков нет. Элементы развития банковского дела можно найти в истории древних государств — Вавилона, Египта, Греции, Рима. В те времена банковские операции сводились к покупке, продаже, размену монет, учету обязательств до наступления сроков, приему вкладов, выдаче ссуд, ипотечным и ломбардным операциям. Но постепенное изменение социально-экономических условий (установление раннефеодальных порядков, преобладание натурального хозяйства, осуждение ранним христианством посреднических денежных отношений) привело к затиханию товарно-денежных операций и вместе с ними операций, которые сегодня трактуются как банковские. Разложение феодального строя, развитие городов, торговли и ремесел обусловило активизацию товарно-денежных операций и сформировало потребность в посредниках, которые могли минимизировать риски операций с деньгами. Средневековые меняльные конторы стали предшественниками банков, а менялы — предшественниками банкиров; они принимали денежные вклады у купцов на хранение и специализировались на обмене денег различных городов и стран. Со временем менялы стали использовать эти вклады, а также собственные денежные средства для выдачи ссуд и получения процентов, что означало превращение менял в банкиров. Одним из первых банков в современном понимании этого термина стал основанный в 1407 г. Банк Генуи. В Западной Европе переход к кредитным банкирским домам и коммерческим банкам произошел во второй половине XVII в., в США история банковского дела начинается со второй половины XVIII в. Самая первая попытка создания коммерческого банка в России была предпринята в г. Пскове воеводой Афанасием Ордин-Нащокиным, но эта идея не была одобрена центральным правительством. В 1729-1733 гг. первые банковские операции в России стала осуществлять Монетная контора, а первый коммерческий банк — Банк для поправления при Санкт-Петербургском порте коммерции и купечества — появился в 1754 г. Термин «коммерческий банк» возник на ранних этапах развития банковского дела, когда банки обслуживали преимущественно торговлю (commerce), товарообменные операции и платежи. Основной клиентурой были торговцы, купцы (отсюда и название «коммерческий банк»). Банки кредитовали транспортировку, хранение и другие операции, связанные с товарным обменом. С развитием промышленного производства возникли операции по краткосрочному кредитованию производственного цикла: ссуды на пополнение оборотного капитала, на создание запасов сырья и готовых изделий, на выплату зарплаты и т. д. Сроки кредитов постепенно удлинялись, часть банковских ресурсов начала использоваться для вложений в основной капитал, ценные бумаги и т. д. Таким образом, термин «коммерческий» в названии банка утратил первоначальный смысл. Сегодня он обозначает «деловой» характер банка, его ориентированность на обслуживание всех видов хозяйственных агентов независимо от их рода деятельности. Современный коммерческий банк — это организация, созданная для привлечения денежных средств и размещения их от своего имени на условиях возвратности, платности срочности. Основное назначение банка — посредничество в перемещении денежных средств от кредиторов к заемщикам и от продавцов к покупателям. Наряду с банками перемещение денежных средств на рынках осуществляют и другие финансовые учреждения: инвестиционные фонды, страховые компании, биржи, брокерские, дилерские фирмы и д. Но банки как субъекты финансовой системы имеют два существенных признака, отличающих их от всех других субъектов. Во-первых, для банков характерен двойной обмен долговыми обязательствами: они размещают свои собственные долговые обязательства (депозитные и сберегательные сертификаты, облигации, векселя), а мобилизованные таким образом средства размещают в долговые обязательства и ценные бумаги, выпущенные другими. Во-вторых, банки отличает принятие на себя безусловных обязательств с фиксированной суммой долга перед юридическими и физическими лицами. Этим банки отличаются от различных инвестиционных фондов, которые все риски, связанные с изменением стоимости их активов и пассивов, распределяют среди своих акционеров. По российскому законодательству, банк отличается от всех других финансовых посредников тем, что только он имеет исключительное право осуществлять в совокупности следующие банковские операции: ♦ привлечение во вклады денежных средств физических и юридических лиц; ♦ размещение привлеченных денежных средств юридических и физических лиц от своего имени и за свой счет на условиях возвратности, платности,срочности; ♦ открытие и ведение банковских счетов физических и юридических лиц. Кроме банков банковские операции могут осуществлять и организации, которые называются небанковскими кредитными организациями. Эти организации имеют право осуществлять отдельные банковские операции, предусмотренные законодательством. При этом допустимые сочетания банковских операций для небанковских кредитных организаций устанавливаются Банком России. Но не многообразие услуг, предоставляемых банками, объясняет их роль в современной экономике. Исключительное значение банков определяется прежде всего тем, что они могут: ♦ образовывать платежные средства; ♦ выпускать платежные средства в оборот; ♦ осуществлять изъятие платежных средств из оборота. Банки создают новые деньги в виде кредитов. Выпуск их в оборот осуществляется в виде записи на счет клиента суммы кредитных денег. Изъятие из оборота осуществляется в процессе погашения кредита заемщиком. Таким образом, банки могут влиять на развитие отраслей и сфер экономики, кредитуя это развитие. Во-вторых, возрастание роли банков в экономической жизни общества связано с изменением вещественной формы денег, а именно широким использованием безналичных средств и расчетов. Платежным агентом по безналичным расчетам является банк. Денежные расчеты в экономике осуществляются в форме движения наличных денег и денег в безналичной форме. Наличные деньги физические и юридические лица могут хранить в выбранном ими хранилище, а платежи могут осуществляться ими по мере необходимости. Безналичные деньги могут храниться только в банках на счетах юридических лиц. Банки зачисляют поступающие на эти счета суммы, выполняют распоряжения предприятий об их перечислении и выдаче со счетов, а также проводят другие банковские операции, предусмотренные банковскими правилами и договорами. Безналичные расчеты все шире вторгаются и в сферу денежных отношений физических лиц. Зачисление доходов на банковские счета, использование чеков, пластиковых карт для расчетов расширяет зависимость физических лиц от банков, делая банки кровеносной системой рыночной экономики. Основные формы безналичных расчетов, принятые в российской практике, это: ♦ платежные поручения; ♦ аккредитивы; ♦ чеки; ♦ инкассо; ♦ пластиковые карты.
1.2. ПРИНЦИПЫ ДЕЯТЕЛЬНОСТИ КОММЕРЧЕСКОГО БАНКА
Совокупность оснований, которыми субъекты хозяйствования руководствуются в процессе деятельности, называется принципами. Первым и основополагающим принципом деятельности коммерческого банка является работа в пределах реально имеющихся ресурсов. Работа в пределах реально имеющихся ресурсов означает, что коммерческий банк должен обеспечивать не только количественное соответствие между своими ресурсами, кредитными вложениями и другими активами, но и добиваться соответствия характера банковских активов специфике мобилизованных им ресурсов. Прежде всего это относится к срокам. Так, если банк привлекает ' средства главным образом на короткие сроки, а вкладывает их преимущественно в долгосрочные ссуды, то его способность отвечать по обязательствам (ликвидность) оказывается под угрозой. Вторым важнейшим принципом, на котором базируется деятельность коммерческих банков, является экономическая самостоятельность, подразумевающая и экономическую ответственность банка за результаты своей деятельности. Экономическая самостоятельность предполагает: ♦ свободу распоряжения собственными средствами банка и привлеченными ресурсами; ♦ свободный выбор клиентов и вкладчиков; ♦ свободное распоряжение доходами банка. Действующее законодательство предоставляет всем коммерческим банкам экономическую свободу в распоряжении своими фондами и доходами. Прибыль банка, остающаяся в его распоряжении после уплаты налогов, распределяется в соответствии с решением Общего собрания акционеров. Оно устанавливает нормы и размеры отчислений в различные фонды банка, а также размеры дивидендов по акциям. По своим обязательствам коммерческий банк отвечает всеми принадлежащими ему средствами и имуществом, на которое может быть наложено взыскание. Весь риск от своих операций коммерческий банк берет на себя. Третий принцип заключается в том, что взаимоотношения коммерческого банка со своими клиентами строятся как обычные рыночные отношения. Предоставляя ссуды, коммерческий банк исходит прежде всего из рыночных критериев прибыльности, риска, ликвидности. Четвертый принцип работы коммерческого банка заключается в том, что государство может осуществлять регулирование его деятельности только косвенными экономическими методами, а не прямыми приказами, т. е. без вмешательства в оперативную деятельность.
1.3. БАНКОВСКИЕ ОПЕРАЦИИ И УСАУГИ
К концу XX в. коммерческий банк способен предложить клиенту до 200 видов разнообразных банковских продуктов и услуг. Широкая диверсификация операций позволяет банкам сохранять клиентов и оставаться рентабельными даже при весьма неблагоприятной рыночной конъюнктуре. Но далеко не все банковские операции повседневно используются в практике конкретного банковского учреждения (например, выполнение международных расчетов или трастовые операции). Перечислим основные банковские услуги. Валютный обмен. История свидетельствует, что одной из первых услуг, предложенных банками, стали валютнообменные операции. В современной банковской деятельности эти операции имеют огромное значение, поскольку экономические связи субъектов хозяйствования постоянно расширяются и глобализируются. Учет коммерческих векселей и предоставление кредитов предприятиям. Уже в древние времена банкиры начали учитывать коммерческие векселя. Этим они предоставляли займы местным торговцам, которые продавали банку долговые обязательства своих покупателей с целью быстрейшей мобилизации средств. От учета коммерческих векселей лежал недолгий путь к прямому кредитованию деловых предприятий. Посредничество в кредите стало одной из важных функций коммерческого банка. Это посредничество осуществляется путем перераспределения денежных средств, временно высвобождающихся в процессе кругооборота денежных фондов юридических лиц и денежных доходов физических лиц. Главным критерием перераспределения ресурсов выступает прибыльность их использования заемщиком. Перераспределение ресурсов осуществляется по горизонтали хозяйственных связей — от кредитора к заемщику. Плата за отданные и полученные средства формируется под влиянием спроса и предложения заемных средств. В результате достигается свободное перемещение финансовых ресурсов в хозяйстве, соответствующее рыночному типу отношений. Денежные средства могут перемещаться от кредиторов к заемщикам и без посредничества банков, однако при этом резко возрастают риски потери денежных средств, отдаваемых в ссуду, поскольку кредиторы и заемщики не осведомлены о платежеспособности друг друга, а размер и сроки предложения денежных средств не совпадают с размерами и сроками потребности в них. Коммерческие банки привлекают средства, которые могут быть отданы в ссуду в соответствии с потребностями заемщиков, и на основе широкой диверсификации своих активов снижают совокупные риски владельцев денег, размещенных в банке. Стимулы к накоплению и сбережению денежных средств формируются на основе гибкой депозитной политики коммерческих банков. Помимо высоких процентов, выплачиваемых по вкладам, кредиторам банка необходимы гарантии надежности помещения накопленных ресурсов в банк. Значение посреднической функции коммерческих банков для успешного развития экономики состоит в том, что они своей деятельностью уменьшают степень риска и неопределенности в экономической системе, аккумулируя свободные денежные средства и превращая их в мощный инвестиционный ресурс. Сберегательные вклады. Предоставление займов оказалось настолько выгодным делом, что банки принялись изыскивать способы мобилизации (привлечения) дополнительных средств. Одним из первых таких способов стали сберегательные вклады, которые банки принимают под процент. Этим банк выполняет и общественно важную функцию — стимулирует посредничество в кредит, которое он осуществляет путем перераспределения денежных фондов юридических лиц и денежных доходов физических лиц. Хранение ценностей. В эпоху средневековья банки начали практиковать хранение золота, ценных бумаг и других ценностей своих клиентов в собственных надежных хранилищах. Сегодня в банках безопасным хранением ценностей занимаются отделы аренды сейфов, где под замком находятся ценности клиентов, пока последним не понадобится доступ к своей собственности. Расчетно-кассовое обслуживание. Банк принимает на себя инкассацию платежей и осуществление выплат по операциям клиента, а также осуществляет инвестирование избытков наличности в краткосрочные ценные бумаги и кредиты. Финансовое консультирование. Банки, где работают опытные финансисты, могут дать квалифицированный совет, особенно когда вопрос стоит об оптимальном использовании кредита, сбережений, инвестировании средств. Лизинг оборудования. Банк может предложить своему клиенту приобрести оборудование с помощью лизингового соглашения, по которо- му банк покупает оборудование и сдает его в аренду клиенту. В соответствии с заключенным договором клиент должен вносить лизинговые • платежи, которые в конечном счете полностью покрывают стоимость купленного банком и сданного в аренду оборудования. Операции с ценными бумагами. В связи с формированием рынка ценных бумаг получает развитие и такая функция банков, как посредничество в операциях с ценными бумагами. Банки имеют право выступать в качестве: ♦ инвестиционных институтов, которые могут осуществлять деятельность на рынке ценных бумаг в качестве посредника; ♦ инвестиционного консультанта; ♦ инвестиционной компании; ♦ инвестиционного фонда. Выступая в качестве финансового брокера, банки выполняют посреднические функции при купле-продаже ценных бумаг за счет и по поручению клиента на основании договора комиссии или поручения. Как инвестиционный консультант банк оказывает консультационные услуги своим клиентам по поводу выпуска и обращения ценных бумаг. Если банк берет на себя роль инвестиционной компании, то он занимается: ♦ организацией выпуска ценных бумаг и выдачей гарантий по их размещению в пользу третьего лица; ♦ куплей-продажей ценных бумаг от своего имени и за свой счет, в том числе путем котировки ценных бумаг, т. е. объявляя на определенные бумаги «цены продавца» и «цены покупателя», по которым он обязуется их продавать и покупать. Банк выступает в качестве инвестиционного фонда, когда размещает свои ресурсы в ценные бумаги от своего имени. В этом случае все риски, связанные с таким размещением, все доходы и убытки от изменения рыночной стоимости приобретенных ценных бумаг относятся на финансовый результат банка. Необходимым условием выполнения роли инвестиционного фонда является наличие в штате банка специалистов по работе с ценными бумагами, имеющих квалификационный аттестат, дающий право на совершение операций с привлечением средств граждан. Трастовые (доверительные) услуги. Банк может управлять финансовыми делами и собственностью фирм и частных лиц за определенную плату. Функция управления собственностью известна под названием операции доверительного управления, или трастовой услуги. Через трастовые отделы банки управляют портфелями ценных бумаг своих клиентов, предоставляют агентские услуги корпорациям, вьшускающим акции и облигации, выступают в качестве попечителей по завещанию. Наряду с экономическим понятием «банковские операции и услуги» в юридический оборот введено понятие «банковские операции и сделки». При этом действующее российское законодательство не дает прямого определения банковских операций и сделок, хотя пользуется этой терминологией. В ст. 5 Закона «О банках и банковской деятельности» говорится о банковских операциях и других сделках, но эти понятия не разграничиваются. Общими особенностями банковских операций и услуг являются: их длящийся характер, доверительные свойства, осуществление по стандартным правилам в соответствии с законодательством или банковскими правилами и обычаями. По российскому законодательству к банковским операциям относятся: 1. Привлечение во вклады денежных средств физических и юридических лиц. 2. Размещение указанных средств от своего имени и за свой счет. 3. Открытие и ведение банковских счетов физических и юридических лиц. 4. Осуществление расчетов по поручению физических и юридических лиц, в том числе банков-корреспондентов, по их банковским счетам. 5. Инкассация денежных средств, векселей, платежных и расчетных документов и кассовое обслуживание физических и юридических лиц. 6. Купля-продажа иностранной валюты в наличной и безналичной формах. 7. Привлечение во вклады и размещение драгоценных металлов. 8. Выдача банковских гарантий. 9. Выдача поручительства за третьих лиц, предусматривающего исполнение обязательств в денежной форме. 10. Приобретение права требования от третьих лиц исполнения обязательств в денежной форме. 11. Доверительное управление денежными средствами и иным имуществом по договору с физическими и юридическими лицами. 12. Осуществление операций с драгоценными металлами и драгоценными камнями в соответствии с законодательством Российской Федерации. 13. Предоставление в аренду физическим и юридическим лицам специальных помещений и находящихся в них сейфов для хранения документов и ценностей. 14. Лизинговые операции. 15. Оказание консультационных и информационных услуг. Кроме того, в соответствии с Бюджетным Кодексом РФ кредитные организации могут привлекаться для осуществления операций по предоставлению средств бюджета на возвратной основе. В целом классификация операций и услуг коммерческого банка является достаточно сложной, и в современной теории банковского дела существует следующая схема (см. рис. 1.1).

Рис. 1.1. Классификация операций коммерческого банка
Пассивные операции — это совокупность операций, обеспечивающих формирование ресурсов коммерческого банка. Ресурсы коммерческого банка могут быть сформированы за счет собственных и привлеченных средств. К собственным ресурсам коммерческого банка относятся: а) уставной капитал; б) фонды: резервный и специальные; в) обязательные резервы для покрытия возможных потерь по ссудам и от операций с ценными бумагами; г) нераспределенная прибыль. Уставной капитал банка формируется за счет собственных средств участников и служит обеспечением его ликвидности. Размер минимального уставного капитала и порядок его исчисления определяется Центральным банком РФ. Резервный фонд формируется за счет отчислений от прибыли и служит для покрытия убытков, возникающих при основной деятельности банка. Минимальная величина этого фонда — до 15 % от величины уставного капитала. Коммерческие банки могут формировать специальные фонды: экономического стимулирования, износа основных фондов, производственного назначения. Формирование обязательных резервов носит обязательный характер и включается в себестоимость оказываемых банковских услуг. В отдельных случаях средства обязательных резервов формируются за счет прибыли. Страховые резервы создаются под возможные обесценение вложений в ценные бумаги и потери по выданным кредитам. Нераспределенная прибыль — часть прибыли, остающаяся после платежей в бюджет, отчислений в резервный капитал, специальные фонды и выплаты дивидендов. Собственные ресурсы банка имеют огромное значение в поддержании его устойчивости и ликвидности. Немаловажную роль играют и привлеченные средства. Мобилизуя временно свободные средства юридических и физических лиц на рынке финансовых ресурсов, коммерческие банки удовлетворяют потребности экономики в дополнительных оборотных и инвестиционных средствах. Привлеченные средства формируются посредством следующих банковских операций: ♦ привлечение кредитов и займов, полученных от других юридических лиц; ♦ депозитные операции.
Депозитные операции — это операции банков по привлечению денежных средств юридических и физических лиц во вклады на определенный срок либо до востребования. Объектами депозитных операций являются депозиты— суммы денежных средств, которые субъекты депозитных операций вносят в банк и которые на определенное время оседают на счетах в банке в силу действующего порядка осуществления банковских операций. По экономическому содержанию депозиты принято подразделять на 3 группы: ♦ срочные депозиты (с их разновидностью — депозитным сертификатом); ♦ депозиты до востребования; ♦ сберегательные вклады населения. Каждая из этих групп классифицируется по разным признакам. Срочные депозиты классифицируются в зависимости от их срока, например: ♦ депозиты со сроком до 3 месяцев; ♦ депозиты со сроком от 3 до 6 месяцев; ♦ депозиты со сроком от 6 до 9 месяцев; ♦ депозиты со сроком от 9 до 12 месяцев; ♦ депозиты со сроком свыше 12 месяцев и т. д. Депозиты до востребования классифицируются в зависимости от характера и принадлежности средств, хранящихся на счетах. Это могут быть: ♦ средства на расчетных, текущих, бюджетных счетах предприятий, организаций и учреждений разных форм собственности; ♦ средства на специальных счетах по хранению различных (по целевому экономическому назначению) фондов; ♦ собственные средства предприятий, предназначенные для капитальных вложений; ♦ средства предприятий и организаций в расчетах; ♦ средства на корреспондентских счетах по расчетам с другими банками; ♦ средства местных бюджетов и др. Сберегательные вклады в зависимости от особенностей их хранения подразделяются на: а) срочные, срочные с дополнительными взносами; б) выигрышные, денежно-вещевые выигрышные, молодежно-премиальные; в) условные, на предъявителя, текущие счета, до востребования, сберегательные сертификаты, пластиковые карточки (кредитные и пр.). Одной из центральных проблем депозитной политики банка является определение оптимального периода хранения срочных вкладов юридических и физических лиц. Сроки должны быть увязаны со сроками оборачиваемости кредитов, на выдачу которых могут быть направлены срочные депозиты. Корреспондентские счета — это депозиты до востребования банков-корреспондентов, т. е. банков, имеющих договорные отношения друг с другом. Среди недепозитных источников формирования привлекаемых банками средств особое место отводится межбанковским кредитам и кредитам, предоставляемым Центральным банком России. Межбанковский кредит — это вид кредитов, предоставляемых одним коммерческим банком другому. Их купля-продажа осуществляется на межбанковском рынке. Межбанковский рынок — это часть рынка ссудных капиталов, где временно свободные денежные ресурсы кредитных учреждений привлекаются и размещаются банками преимущественно в форме межбанковских депозитов на определенные сроки. В международной практике наиболее распространены депозиты сроком от полутора до шести месяцев, предельные сроки — от одного дня до нескольких лет. Средства межбанковского рынка используются банками-заемщиками не только для покрытия своих активных операций, но и для покрытия ликвидности балансов банков. Купля-продажа межбанковских кредитов возможна в форме сделок на свободном рынке, а также в форме сделок на «закрытом» рынке, где кредиты предоставляются друг другу тесно сотрудничающими банками на условиях, вытекающих из взаимных интересов. Активные операции — операции по размещению собственных и привлеченных средств банка для получения прибыли. От качественного осуществления активных операций банка зависят ликвидность, доходность, а следовательно, финансовая надежность и устойчивость банка в Целом. Активные операции банка в зависимости от их экономического содержания делятся на:
♦ кредитные (ссудные); ♦ инвестиционные; ♦ гарантийные; ♦ операции с ценными бумагами. Основу активных операций составляют кредитные операции. Они являются наиболее рискованными и вследствие этого наиболее доходными. При выдаче кредита банк требует от потенциального заемщика комплект документов, характеризующих материальную обеспеченность кредита и юридическую правомочность заемщика. Это: 1. Учредительные документы. 2. Бизнес-план (технико-экономическое обоснование), на основе которого определяются возможность возврата ссуды и срок окупаемости затрат. 3. Контракт или его копия, фиксирующие цель получения кредита; 4. Бухгалтерский баланс и некоторые приложения к нему. 5. Кредитные договоры с другими банками. 6. Договор залога или поручительства. 7. Срочное обязательство-поручение на возврат ссуды согласно срокам, установленным в кредитном договоре. 8. Заявление на получение ссуды с указанием суммы, срока и цели кредита. Кредиты, предоставляемые банком, могут быть классифицированы по различным признакам: а) По типам заемщиков — ссуды предприятиям, органам власти, населению, банкам. б) По срокам пользования — краткосрочные, среднесрочные, долгосрочные. в) По сфере функционирования заемщика — ссуды предприятиям сферы производства и ссуды предприятиям сферы обращения. г) По отраслям принадлежности заемщика — ссуды в промышленность, транспорт, строительство, сельское хозяйство, торговлю. д) По характеру обеспечения — залоговые, гарантированные, застрахованные, необеспеченные (бланковые). е) По методам погашения — погашаемые единовременно и частями. Инвестиционные операции банка — операции по инвестированию банком своих средств в ценные бумаги и паи небанковских структур в целях совместной хозяйственно-финансовой и коммерческой деятельности, а также размещения в виде срочных вкладов в других кредитных организациях. Операции с ценными бумагами включают операции с ценными бумагами, котирующимися на фондовых биржах, а также операции с векселями (учетные и переучетные операции, операции по протесту векселей, по инкассированию, домицилированию, акцепту, индоссированию векселей, по выдаче вексельных поручений, хранению векселей, продаже их на аукционе). Гарантийные операции — операции по выдаче банком гарантии (поручительства) уплаты долга клиента третьему лицу при наступлении определенных условий. Комиссионные операции — это такие операции, которые банк выполняет по поручению своих клиентов и взимает с них плату в виде комиссионных. Число этих операций постоянно растет, а на их осуществление банком не отвлекаются собственные или привлеченные средства. К числу основных комиссионных операций относятся: 1) Расчетно-кассовые операции, которые связаны с ведением счетов в рублях и иностранной валюте, осуществлением расчетов и платежей клиента, а также получением и зачислением перечисленных ему средств на счет в безналичной форме, с выдачей наличных денег со счета, внесением их на счет, хранением и перевозкой. Они оформляются соответствующим договором о кассовом обслуживании. 2) Трастовые операции, которые могут быть представлены следующими услугами: ♦ передача в доверительное управление отдельных ценных бумаг и их портфелей; ♦ платежные функции, связанные с обслуживанием ценных бумаг; ♦ управление активами пенсионных и инвестиционных фондов и др. 3) Операции с иностранной валютой, которые помимо традиционных операций купли-продажи иностранной валюты включают оплату и выставление денежных аккредитивов, покупку и оплату дорожных чеков иностранных банков, выпуск и обслуживание пластиковых карт, осуществление международных расчетов. 4) Информационные услуги, когда банки за определенную плату предоставляют клиентам информацию как коммерческого, так и некоммерческого характера.
1.4. КОММЕРЧЕСКИЕ БАНКИ В РОССИЙСКОЙ ФЕДЕРАЦИИ
В Российской Федерации создание и функционирование коммерческих банков основывается на Законе РФ «О банках и банковской деятельности». В соответствии с этим законом: ♦ банк является коммерческим юридическим лицом, т. е. таким организационным образованием, деятельность которого направлена на извлечение прибыли; ♦ банк создается в форме хозяйственного общества, т. е. акционерного общества или общества с ограниченной ответственностью; ♦ банк является кредитной организацией, т. е. организацией, созданной для осуществления банковских операций; ♦ банк действует на основе лицензии, выдаваемой Центральным банком РФ; ♦ банк обладает специальной компетенцией, т. е. извлекает прибыль путем совершения специальных операций; ♦ банк рассматривается законодателем как один из элементов банковской системы. Таким образом, российские коммерческие банки действуют как универсальные кредитные учреждения, совершающие широкий круг операций на финансовом рынке. Эти операции: ♦ предоставление различных по видам и срокам кредитов; ♦ покупка-продажа и хранение валюты, ценных бумаг; ♦ привлечение средств во вклады; ♦ осуществление расчетов; ♦ выдача гарантий, поручительств и иных обязательств; ♦ посреднические и доверительные операции и др. В России банки могут создаваться как акционерные общества и общества с ограниченной ответственностью. Исключается возможность формирования уставных фондов за счет средств, находящихся в ведении федеральных органов государственной власти, за исключением случаев, предусмотренных федеральными законами. Создание коммерческого банка представляет собой сложный процесс, в течение которого: 1. Формируются взаимоотношения будущих учредителей банка. 2. В территориальные учреждения Центрального банка РФ на предмет получения его заключения представляются необходимые документы: — заявление с ходатайством о государственной регистрации и выдаче лицензии на осуществление банковских операций; — устав банка; — учредительный договор; — протокол общего собрания учредителей; — свидетельство об уплате государственной пошлины за регистрацию кредитной организации; — список учредителей; — заключение аудиторской организации; — экономическое обоснование; — сведения о составе руководителей банка. 3. Территориальным управлением пакет документов направляется в Центральный банк РФ для принятия решения о возможности регистрации, выдачи свидетельства о регистрации. 4. После подтверждения банком оплаты уставного капитала Центральным банком РФ выдается лицензия на осуществление банковских операций. В Российской Федерации кредитная организация действует на основании специального разрешения — лицензии. В лицензии указываются банковские операции, на осуществление которых данная кредитная организация имеет право, а также валюта, в которой эти банковские операции могут осуществляться. Вновь созданной кредитной организации могут быть выданы следующие лицензии:
1) лицензия на осуществление банковских операций со средствами в рублях (без права привлечения во вклады средств физических лиц); 2) лицензия на осуществление банковских операций со средствами в рублях и иностранной валюте (без права привлечения во вклады средств физических лиц); 3) лицензия на привлечение во вклады и размещение драгоценных металлов. Возможность выдачи такой лицензии рассматривается Центральным банком России одновременно с документами на предоставление валютной лицензии. Разрешение на право совершения сделок с драгоценными металлами выдается Центральным банком РФ по согласованию с Министерством финансов РФ. Кредитная организация может расширить круг выполняемых операций путем получения следующих видов банковских лицензий; 4) лицензия на привлечение во вклады средств физических лиц в рублях, которая может быть выдана по истечении двух лет с даты государственной регистрации кредитной организации; 5) лицензия на привлечение во вклады средств физических лиц в рублях и в иностранной валюте, которая может быть выдана по истечении двух лет с даты государственной регистрации кредитной организации; 6) Генеральноя лицензия, которая может быть выдана банку, имеющему лицензии на выполнение всех банковских операций со средствами в рублях и иностранной валюте. Банк, имеющий Генеральную лицензию, может открывать в установленном порядке филиалы за рубежом и/или приобретать доли в уставном капитале банков-нерезидентов. Для формирования уставных капиталов российских банков допускается привлечение иностранных инвестиций. Под банками с иностранными инвестициями в соответствии с условиями открытия банков с участием иностранного капитала на территории Российской Федерации, утвержденными Центральным банком РФ 08.04.93 г., понимаются: ♦ банки, уставный капитал которых формируется за счет резидентов и нерезидентов; ♦ иностранные банки — банки, уставный капитал которых формируется за счет нерезидентов; ♦ филиалы банков-нерезидентов. Решение об открытии банка с участием иностранных инвестиций принимается Центральным аппаратом Банка России. Банк России устанавливает лимит участия иностранного капитала в банковской системе страны. Ограничения на участие иностранного капитала преследуют цель создать наиболее благоприятные условия для становления отечественных коммерческих банков и защиты от экспансии зарубежных банков. Если на начальном этапе формирования банковской системы коммерческие банки создавались главным образом на паевой основе, то для нынешнего этапа характерно преобразование паевых банков в акционерные и создание новых банков преимущественно в акционерной форме. Увеличение уставного фонда может осуществляться как за счет внесения участниками дополнительных взносов, так и за счет вступления в банк новых участников. Вопрос о вступлении новых участников и размерах их вклада в уставный фонд банка решается на общем собрании участников. Акционерные банки могут быть закрытого и открытого типов. Акции банков закрытого типа могут переходить из рук в руки только при согласии большинства акционеров. Акции банков открытого типа могут переходить из рук в руки без согласия других акционеров и распространяться в порядке открытой подписки. Подписка на ценные бумаги банка считается открытой, если список покупателей ценных бумаг не утверждается заранее учредителями или руководящими органами банка-эмитента и в результате эти бумаги может приобрести любое лицо. Открытая подписка требует от банка широкой информации о своей деятельности. Прекращение деятельности банка происходит путем его реорганизации или ликвидации. Реорганизация — достаточно широкое понятие, которое может означать: слияние, присоединение, разделение, выделение, преобразование. При реорганизации банка права и обязанности переходят к правопреемникам. В этом случае в Устав банка и Книгу государственной регистрации кредитных организаций вносятся необходимые уточнения. Все документы, сроки которых не истекли, передаются в установленном порядке правопреемнику. Ликвидация коммерческого банка может происходить как в добровольном, так и в принудительном порядке.
Добровольная ликвидация может быть осуществлена только по решению общего собрания учредителей. При этом на момент принятия решения о добровольной ликвидации банк должен выполнить все обязательства перед кредиторами. Следовательно, решение о добровольной ликвидации не может быть принято, если банк является неплатежеспособным. Принудительная ликвидация коммерческого банка может осуществляться по решению ЦБ РФ об отзыве у банка лицензии: а) за нарушения коммерческим банком банковского законодательства; б) в связи с неплатежеспособностью коммерческого банка и решением арбитражного суда о признании его банкротом. Правовой основой прекращения деятельности банка в связи с его неплатежеспособностью являются Федеральные законы «О Центральном банке РФ (Банке России)» и «О банкротстве (несостоятельности) кредитных организаций».

Глава 2
БАНКОВСКАЯ СИСТЕМА
В этой главе вы узнаете, что: 1. Согласно Федеральному закону «О Центральном банке Российской Федерации (Банке России)» банковская система включает в себя Центральный банк, кредитные организации и их ассоциации. 2. Российская банковская система является двухуровневой. 3. Банковская ассоциация — это общественная некоммерческая организация, членами которой являются коммерческие банки, создаваемая с целью представления их интересов в органах законодательной, исполнительной, судебной власти, а также координации и совершенствования деятельности. Вы сможете: 1. Охарактеризовать системные свойства банковской системы. 2. Назвать отличия двухуровневой банковской системы от трехуровневой. 3. Охарактеризовать основные направления деятельности банковских ассоциаций. 4. Перечислить основные возможные направления деятельности региональных банковских ассоциаций. 5. Назвать проблемы и перспективы развития банковской системы РФ.
2.1. ПОНЯТИЕ БАНКОВСКОЙ СИСТЕМЫ
Понятие «банковская система» является одним из ключевых в изучении как банковского дела, так и экономической системы в целом. Это обусловлено тем, что коммерческие банки функционируют в рыночной экономике не изолированно, а во взаимосвязи и взаимозависимости друг с другом. Эта взаимосвязь проявляется в осуществлении межбанковских расчетов, когда банк по поручению клиентов осуществляет платежи и расчеты через: а) расчетную сеть Банка России; б) банки-корреспонденты, расчеты через которые осуществляются на основании заключенных между ними договоров; в) банки, уполномоченные на ведение определенного вида счетов и осуществление платежей;
г) клиринговые центры — небанковские кредитные организации, осуществляющие расчетные операции. Взаимозависимость банков проявляется в заимствованиях на рынке межбанковских кредитов. В обоих случаях невыполнение обязательств одним из банков приводит к трудностям функционирования связанных с ним прямо и опосредованно других банков, т. е. к возникновению так называемого «эффекта домино». Таким образом, в современных условиях банки представляют не просто случайный набор, а действительно банковскую систему, т. е. множество элементов с отношениями и связями, образующими единое целое. Основными свойствами банковской системы, как и систем в целом, являются: ♦ иерархичность построения; ♦ наличие отношений и связей, которые являются системообразующими, т. е. обеспечивают свойство целостности; ♦ упорядоченность ее элементов, отношений и связей; ♦ взаимодействие со средой, в процессе которого система проявляет и создает свои свойства; ♦ наличие процессов управления. Учитывая относительную непродолжительность процесса становления банковской системы рыночного типа в России, отдельные признаки банковской системы могут не проявляться отчетливо, но прослеживаться при функционировании банковской системы в целом. Исходя из этих основных свойств рассмотрим особенности российской банковской системы.
Иерархичность построения
В Федеральном законе «О Центральном банке Российской Федерации (Банке России)» (1995 г.) отмечается, что банковская система включает Центральный банк, кредитные организации и их ассоциации. В действительности банковская система России характеризуется большим разнообразием элементов, что отражено в табл. 2.1. Банки подразделяются на универсальные и специализированные. Универсальные банки осуществляют широкий круг банковских операций. Специализированные банки ограничивают свою деятельность
Таблица 2.1.
Количество и структура кредитных организаций
|
|
1998 год |
1999 год |
||||
|
1.01 |
1.04 |
1.07 |
1.10 |
1.01 |
1.04 |
|
|
1. Зарегистрировано кредитных организаций Банком России — всего в том числе: - банков - небанковских кредитных организаций |
2552
2526 26 |
2545
2519 26 |
2525
2498 27 |
2501
2473 28 |
2481
2451 30 |
2462
2430 32 |
|
1.1. Зарегистрировано кредитных организаций со 100% иностранным участием в капитале |
16 |
16 |
18 |
18 |
19 |
21 |
|
2. Небанковские кредитные организации, зарегистрированные другими органами |
3 |
2 |
2 |
2 |
2 |
2 |
|
3. Кредитные организации, имеющие право на осуществление банковских операций — всего в том числе: - банки; - небанковские кредитные организации |
1697
1675 22 |
1641
1616 25 |
1598
1572 26 |
1531
1503 28 |
1476
1447 29 |
1433
1401 32 |
|
3.1. Кредитные организации, имеющие лицензии (разрешения), предоставляющие право на: - привлечение вкладов населения - осуществление операций в иностранной валюте - генеральные лицензии - проведение операций с драгметаллами - разрешения - лицензии |
1589 687 262 35 76 |
1531 669 264 32 90 |
1485 657 262 25 102 |
1418 641 261 24 104 |
1372 634 263 24 112 |
1330 650 255 22 118 |
|
3.2. Кредитные организации с иностранным участием в уставном капитале, имеющие право на осуществление банковских операций в том числе: - со 100% иностранным участием - с иностранным участием от 50 до 100% |
145
16 10 |
146
16 11 |
146
17 11 |
143
18 11 |
142
18 12 |
140
19 13 |
|
4. Филиалы действующих кредитных организаций на территории Российской Федерации — всего С участием в уставном капитале |
6353 0 |
6142 3 |
4987 4 |
4661 4 |
4453 4 |
4275 4 |
|
5. Филиалы действующих кредитных организаций за рубежом — всего |
10 |
7 |
7 |
7 |
6 |
5 |
|
6. Филиалы банков-нерезидентов на территории Российской Федерации |
0 |
0 |
1 |
1 |
1 |
1 |
|
7. Представительства действующих российских кредитных организаций — всего в том числе: - на территории Российской Федерации - в дальнем зарубежье - в ближнем зарубежье |
170
100 31 |
169
58 16 |
147
56 19 |
144
52 18 |
135
46 18 |
116
47 18 |
одной или несколькими банковскими операциями. Банковская система РФ представлена как универсальными банками, так и специализированными. Большинство созданных в Российской Федерации в 1992—1999 гг. банков сформировалось как специализированные коммерческие отраслевые банки. Это сохранилось в их названиях: например БИН-банк (Банк инвестиций и новаций), Инкомбанк (Инновационный коммерческий банк), Внешторгбанк (Банк для внешней торговли) и др. Для того чтобы привлечь новых клиентов и расширить свою ресурсную базу, специализированные банки стали осуществлять практически все виды банковских операций для организации предприятий всех отраслей экономики. Они стали универсальными. Банковская система РФ представлена на рис. 2.1 Такой же подход просматривается и в немецком законодательстве, которое определяет, что банковская система состоит из универсальных и специализированных банков, а также эмиссионного банка. В странах - развитой рыночной экономикой банковская система сложнее и организационно более многообразна и состоит из трех звеньев (см. рис. 2.2). Системообразующие связи и отношения определяются прежде всего через специфические банковские операции, на осуществление которых имеют право только кредитные организации в целом и банки в частности. В российской практике они определены в Федеральном законе «О банках и банковской деятельности». Это, как уже отмечалось:


♦ привлечение вкладов; ♦ предоставление кредитов; « ведение счетов клиентов; ♦ осуществление расчетов по поручению клиентов и банков-корреспондентов; ♦ финансирование капитальных вложений по поручению владельцев или распорядителей инвестируемых средств, а также за счет ■ собственных средств; ♦ выпуск платежных документов (чеков, аккредитивов, пластиковых карт и др.); ♦ покупка у организаций и граждан и продажа им иностранной валюты; ♦ покупка и продажа в России и за границей драгоценных металлов, природных драгоценных камней, а также изделий из драгоценных металлов и драгоценных камней; ♦ привлечение и размещение драгоценных металлов на счета и во вклады и иные операции с этими ценностями; ♦ трастовые операции (привлечение и размещение средств, управление ценными бумагами и др.) по поручению клиентрв; ♦ кассовое исполнение бюджетов всех уровней. Систематизирующий характер банковских операций и услуг для банковской системы косвенно определяется статьей 178 Уголовного Кодекса РФ, согласно которой уголовно преследуются те, кто занимается банковскими операциями незаконно, тем самым фиксируется исключительный характер отношений и связей, в которые банки могут вступать. Упорядоченность элементов и связей проявляется в возможности выделения подсистем, для которых в целом характерны основные системные свойства. Основания для выделения таких подсистем могут быть различны. Это может быть региональный аспект, когда рассматриваются региональные банковские системы. В качестве признака выделения подсистемы могут выступать: ♦ организационно-правовая форма банка (частный, государственный, муниципальный и т. д.); ♦ отдельные виды осуществляемых банком банковских операций (инвестиционные, экспортно-импортные и др.); ♦ отрасли и сферы, на которые ориентированы банки; ♦ размеры банков (крупные, средние, мелкие); ♦ социально-экономическая роль банков (Сберегательный банк РФ, Агропромбанк и др.); ♦ рейтинг банков и т. д. Взаимодействие со средой банковской системы страны проявляется в том, что на современном этапе она уже способна реагировать на общее состояние российской экономики. Трудности в социально-экономи-
Таблица 2.2.
Количество кредитных учреждений в Российской Федерации
|
Год |
Количество отозванных лицензий на совершение банковских операций у кредитных организаций |
Количество кредитных организаций, по которым внесена запись о ликвидации в Книгу государственной регистрации кредитных организаций |
|
1991 |
2 |
2 |
|
1992 |
7 |
7 |
|
1993 |
25 |
10 |
|
1994 |
65 |
4 |
|
1995 |
225 |
0 |
|
1996 |
281 |
10 |
|
1997 |
334 |
52 |
|
1998 |
229 |
73 |
|
Итого |
1160 |
158 |
ческом развитии страны, как следует из табл. 2.2, стали ощущаться банками уже в 1995 г. Однако наибольшие трудности в функционировании банковской системы возникли после финансового кризиса августа 1998 г. Так, за август—декабрь 1998 г. капиталы банков сократились на 31 млрд руб., или на 30 %. От девальвации рубля пострадали практически все банки, от переноса сроков платежей по Государственным краткосрочным облигациям (ГКО) — больше половины. У 1/3 банков, в том числе крупных, образовался значительный дефицит капитала. Прекратила свою деятельность группа крупных банков, на которые приходилась половина всех расчетных и кредитных операций страны. В результате кризиса существенно сократились масштабы банковской деятельности. Суммарные активы банков в реальной оценке с учетом изменения курса рубля снизились в период с 1 августа до конца 1998 г. на 123 млрд руб., или на 16,3 %. Кредиты, предоставленные банками предприятиям и организациям, в рублях сократились на 13,6 млрд руб., или на 12 %, в валюте — на 4,3 млрд долл., или на 31,4 %. Из 18 российских банков, относимых к числу крупнейших, лишь 3 имели по состоянию на 1 октября 1998 г. положительный капитал, в то время как по состоянию на 1 января 1998 г. капитал был положительным у всех 18 банков. За август —декабрь 1998 г. рублевые вклады населения сократились на 25 млрд руб., или на 17 %, валютные — на 3,5 млрд руб., или на 55 %. Общая сумма вкладов в рублевом выражении сократилась на 40 %. В целом убытки банковской системы, без учета Сбербанка РФ, на 1 января 1999 г. составили 33,2 млрд руб. по сравнению с 13 млрд руб. прибыли на 1 января 1998 г. по итогам работы в 1997 г. Удельный вес убыточных в общем количестве действующих банков вырос на 1 января 1999 г. с 16 до 24 %. Банковская система взаимодействует не только с экономикой общества, но и влияет на его социальную подсистему, что проявляется в престижности профессии банковского работника, в формировании банковского делового стиля, в сложившихся ожиданиях, когда учреждения социальной сферы просят помощи у банков, отодвигая органы власти на второй план. Наличие процессов управления в банковской системе проявляется особенно наглядно. С одной стороны, это процессы управления, связанные с законодательно закрепленной ролью Центрального банка в регулировании деятельности коммерческих банков. С другой — все существеннее управленческая роль банковских ассоциаций — Ассоциации российских банков и региональных ассоциаций, которые все в большей степени координируют деятельность коммерческих банков, их филиалов и представительств в интересах банковской системы в целом. В целом российская банковская система может рассматриваться как определенная целостность. При этом процесс формирования банковской системы далеко не закончен, и как он будет протекать, зависит от многих факторов, и в первую очередь от характера экономической и социальной политики, проводимой правительством.
2.2. АССОЦИАЦИИ КОММЕРЧЕСКИХ БАНКОВ
Одним из важнейших атрибутов национальной банковской системы России в современных экономических системах рыночного типа является усиление позиций и роли ассоциаций как саморегулирующих организаций, представляющих интересы субъектов хозяйствования того или иного сектора экономики, поскольку ассоциации позволяют освободить разнообразные институты государственной власти от разработки и введения в действие норм регулирования и контроля отдельных элементов деятельности субъектов хозяйствования, в первую очередь таких, как качество оказываемых услуг, соблюдение принципов этики бизнеса, стандартизация, подготовка высококвалифицированного персонала и т. п. Банковская ассоциация — общественная некоммерческая организация, членами которой являются коммерческие банки, создаваемая с целью представления их интересов в органах законодательной, исполнительной, судебной власти, а также в целях координации и совершенствования их деятельности. Банковские ассоциации имеют достаточно длительную историю развития. Так, например, банковские ассоциации в США и Великобритании были созданы еще в прошлом столетии. Анализ деятельности ассоциаций банков показывает, что можно выделить следующие основные (стратегические) направления их деятельности. 1. Представление интересов банков в органах законодательной власти в целях влияния на принятие законодательных актов, которые могут оказать потенциальное воздействие на интересы банков и их клиентов, в том числе и на основе формирования коалиций с аналогичными ассоциациями и союзами в случае совпадения стратегических интересов. 2. Взаимодействие и представление интересов банков в различных институтах государственной власти, позволяющие оказывать влияние на принятие решений по вопросам регулирования различных сторон деятельности банков. 3. Защита интересов банков в судах, если затрагиваются вопросы судебной и арбитражной практики, имеющие общенациональное значение для банковского сектора. 4. Тесное взаимодействие и регулярные рабочие контакты с Центральным банком и другими государственными ведомствами, чьи нормативные акты существенным образом влияют на деятельность коммерческих банков, с целью объективного учета реального положения в банковском секторе и конкурентных возможностей банков. 5. Сотрудничество со средствами массовой информации с целью доведения взглядов представителей банковского сектора до деловых кругов и граждан, публикации сведений о принципах работы банков и их взаимоотношениях с клиентами, формирова- ния в обществе обстановки доверия к деятельности финансовых институтов. 6. Активное участие в процессе профессиональной подготовки специалистов банковского дела, организация и проведение конфе- - ренций и семинаров для обмена идеями и опытом работы между ведущими работниками банков по различным направлениям деятельности банков. 7. Оказание на коммерческой основе социализированных услуг банкам — членам Ассоциации (по различным направлениям их деятельности, например: снабжение, проектные работы, информационное обслуживание, консалтинг и т. п.), позволяющих повысить качество и снизить стоимость оказываемых услуг. Анализ практической деятельности ряда ассоциаций зарубежных стран показывает, что в зависимости от национальных и исторических особенностей построения банковской системы и самих ассоциаций могут существенно отличаться и направления деятельности их руководящих и исполнительных органов. Диапазон этих отличий достаточно широк: от преимущественной ориентации на направления, относящиеся к верхнему уровню «пирамиды целей» (например, ассоциации банков Германии и Франции), до организации комплексной деятельности по всему набору стратегических целей, включая и организацию предоставления востребованных членами ассоциации услуг на коммерческой основе (это в первую очередь относится к национальной Ассоциации банкиров Америки и ряду региональных ассоциаций банков в США). В ряде случаев ассоциации создают дочерние организации, специализирующиеся на издательской и информационной деятельности, а также на реализации программ по подготовке и повышению квалификации банковского персонала. Таковы, например, институты банковского дела, созданные АБА и рядом ассоциаций банков стран Европы (Бельгия, Люксембург). Особое место в деятельности ассоциаций занимают усилия, предпринимаемые для создания организаций, оказывающих существенное влияние на стабильность и эффективность национальных (региональных) банковских систем, решающих вопросы обеспечения безопасности деятельности банков. К таким организациям могут относиться: ♦ клиринговые расчетные центры, ♦ фонды страхования средств клиентов в банках,
♦ процессинговые центры коллективного пользования, ♦ кредитные бюро и т. п. Как правило, наиболее важна роль ассоциаций на первом этапе создания организаций такого рода, позднее они становятся юридически и экономически независимыми от ассоциаций, сохраняя при этом отношения стратегических партнеров. Одна из характерных черт в организации деятельности банковских ассоциаций — это ориентация на вовлечение в текущую работу большого числа сотрудников банков — членов ассоциации в качестве экспертов. Использование института добровольных экспертов позволяет: ♦ повысить качество подготавливаемых ассоциацией проектов руководящих и нормативных документов, предложений и замечаний по проектам законодательных актов и правил, принимаемых органами государственной власти и Центральным банком; ♦ существенно снизить затраты на содержание исполнительных органов ассоциаций и при этом учитывать коллективное мнение практически всех ее членов по вопросам, затрагивающим интересы финансово-кредитных организаций в целом. Ассоциация российских банков (АРБ) является одним из важнейших атрибутов национальной банковской системы России. АРБ представляет и защищает интересы банков в законодательных и представительных органах государственной власти и решает целый ряд других задач, актуальных для банковского сообщества страны в целом. Наряду с Ассоциацией российских банков во многих регионах России действуют региональные ассоциации, причем ряд из них были созданы ранее, чем была учреждена Ассоциация российских банков. В настоящее время в различных регионах России действуют следующие ассоциации банков: ♦ Азово-Черноморский банковский союз, : ♦ Алтайский банковский союз, ♦ Ассоциация коммерческих банков Башкортостана, ♦ Банковская ассоциация Азиатско-Тихоокеанского региона,
♦ Банковский союз «Большая Волга», ♦ Ассоциация банков Республики Бурятия, ♦ Воронежский банковский союз, ♦ Банковский союз «Банкирский Дом» (Калуга), ♦ Московский банковский союз, ♦ Ассоциация коммерческих банков Республики Мордовия, ♦ Рязанская банковская ассоциация, ♦ Ассоциация коммерческих банков Санкт-Петербурга, ♦ Ассоциация банков Свердловской области, ♦ Ставропольская краевая ассоциация «БАНК», ♦ Банковская ассоциация Татарстана, ♦ Ассоциация коммерческих банков, ♦ Ассоциация коммерческих банков по Тверской области, ♦ Ассоциация банков Республики Саха. Все перечисленные ассоциации созданы на добровольных началах региональными банками (в ряде регионов их членами являются и иногородние банки, имеющие в них свои филиалы) в виде некоммерче- j ских организаций. В соответствии с уставами они являются независимыми организациями, в том числе и от АРБ. Учитывая наличие объективной заинтересованности АРБ и региональных ассоциаций в координации усилий по представлению и защите интересов банков в органах государственной власти различного уровня, между ними постоянно осуществляются взаимодействие и обмен информацией. Представители АРБ принимают участие в работе конференций региональных ассоциаций. Наличие региональных банковских ассоциаций является одной из особенностей банковской системы России. Только в США имеется подобная структура банковского сообщества, в которой присутствует значительное число региональных банковских ассоциаций одновременно с активно действующей авторитетной Национальной ассоциацией банкиров Америки (ЛБА). Это обусловливается федеральными принципами государственного устройства как России, так и США, что предусматривает значительную роль местных органов власти всех уровней в обеспечении функционирования региональной экономики и финансов и участие в решении связанных с этим задач региональных коммерческих банков или филиалов иногородних банков. Способствует процессу формирования региональных ассоциаций наличие в регионах главных управлений ЦБ РФ, как правило, тесно взаимодействующих с местными органами власти и принимающих на местах решения, в значительной мере влияющие на деятельность местных банков.
Более подробно особенности организации и основные направления деятельности региональных банковских ассоциаций России можно рассмотреть на примере Ассоциации коммерческих банков Санкт-Петербурга (АКБ СПб). АКБ была создана вскоре после появления в городе первых коммерческих банков и является одной из первых региональных банковских ассоциаций России (в декабре 1999 г. года АКБ Санкт-Петербурга исполнилось 10 лет). В настоящее время она объединяет 39 кредитных организаций Санкт-Петербурга и Ленинградской области, в том числе иногородние банки, имеющие действующие филиалы в регионе, и банки с иностранным капиталом. Активы банков-членов Ассоциации составляют более 90 % от суммарных активов всех кредитных организаций города и области. Ассоциация коммерческих банков Санкт-Петербурга активно взаимодействуете администрацией Санкт-Петербурга. Это направление деятельности АКБ реализуется на основе участия представителей АКБ в ряде общественных советов и комиссий, образованных при губернаторе Санкт-Петербурга, а также постоянных контактов и обмене информацией с рядом комитетов администрации (Совет банкиров и промышленников, Совет по содействию инвестициям, Рабочая группа по приоритетным проектам, Генеральный совет по разработке стратегического плана и др.). В результате осуществлена подготовка и принят пакет инвестиционных законов Санкт-Петербурга, способствующих созданию благоприятного инвестиционного климата в городе, обсужден и принят ряд нормативных актов Санкт-Петербурга, регламентирующих порядок участия коммерческих банков в обслуживании бюджетных счетов и программах кредитования. Работа АКБ позволяет более полно и оперативно доводить до банков информацию о городских инвестиционных программах и условия участия в их реализации коммерческих банков. На этапе рассмотрения и обсуждения проектов законов, затрагивающих условия функционирования региональной финансовой системы и экономические интересы банков, эксперты Ассоциации консультируют депутатов Законодательного Собрания Санкт-Петербурга, что позволяет законодателям более взвешенно подходить к принятию такого рода законодательных актов. Важнейшими из законов, в обсуждении которых принимали участие эксперты АКБ Санкт-Петербурга, были законы «Об инвестиционной деятельности в Санкт-Петербурге» и «Закон о бюджете Санкт-Петербурга». Ассоциация уделяет большое внимание сотрудничеству с региональными подразделениями федеральных органов власти, в том числе с Северо-Западным таможенным управлением, Региональным управлением Министерства налогов и сборов РФ по Санкт-Петербургу, Федеральной службой налоговой полиции по Санкт-Петербургу, Главным управлением внутренних дел по Санкт-Петербургу и Ленинградской области, Федеральной комиссией по ценным бумагам и др. Приоритетная область деятельности АКБ (как и любой региональной ассоциации) — это сотрудничество с Главными управлениями Центрального банка РФ по Санкт-Петербургу и Ленинградской области. Значительные полномочия Главных управлений ЦБ РФ по надзору и регулированию деятельности региональных банков приводят к тому, что важное значение приобретает и такая сфера деятельности Ассоциации, как защита интересов банков практически по всему кругу вопросов их деятельности. Большое число проблем, возникающих в процессе функционирования и развития региональной экономики, объективно требует объединения усилий профессиональных союзов и ассоциаций, представляющих интересы различных ее секторов. Так, АКБ заключены соглашения о сотрудничестве с Союзом промышленников и предпринимателей Санкт-Петербурга, с ассоциациями турагентств РФ и Санкт-Петербурга, с ассоциациями и союзами организаций градостроительного комплекса и рынка недвижимости (АКБ является членом общественного совета, объединяющего эти организации). Наиболее важным стратегическим направлением деятельности АКБ на данном этапе является реализация проектов, которые должны решить ряд системных задач, направленных на повышение стабильности, эффективности и надежности функционирования банковской системы, восстановления доверия граждан к коммерческим банкам. Важнейшими из таких проектов являются: ♦ согласование с банками и введение в действие Кодекса банковской деятельности, основная задача которого — повышение степени доверия к банкам и уровня информированности клиентов; ♦ создание при АКБ Кредитного бюро, деятельность которого будет направлена на формирование кредитных историй заемщиков, что позволит снизить кредитные риски коммерческих банков; ♦ активное участие в проекте развития Санкт-Петербургского фонда гарантирования вкладов граждан в коммерческих банках.
Учредителями и участниками этого фонда наряду с АКБ являются администрация Санкт-Петербурга и 7 коммерческих банков-членов Ассоциации. На данный момент вступили в силу гарантии Фонда для пенсионеров — клиентов банков, являющихся участниками Фонда гарантирования вкладов. Этот «пилотный» для России проект активно поддерживается администрацией города и Главным управлением Центрального банка РФ по Санкт-Петербургу. Его успешная реализация может существенно повысить уровень доверия вкладчиков к коммерческим банкам.
2.3. РАЗВИТИЕ БАНКОВСКОЙ СИСТЕМЫ
На процесс развития банковской системы и таким образом на ее роль в социально-экономическом развитии страны влияет совокупность факторов как внешних по отношению к банковской системе, так и внутренних. К внешним факторам следует отнести макрофакторы, или факторы среды. Эта группа факторов представляет собой вероятностную совокупность взаимоувязанных и взаимообусловленных факторов, которые с определенной степенью условности можно разделить на пять основных групп: экономические, политические, правовые, социальные и форс-мажорные. Совокупность экономических факторов отражает состояние экономики, выраженное в интенсивности и способах установления экономических отношений с участием банков. К экономическим факторам следует отнести принципы исполнения федерального бюджета, характер реализуемой денежно-кредитной политики, сложившуюся систему налогообложения, результаты проведения экономических реформ, формирующие общие условия функционирования банковской системы. Так, при экономическом росте, как правило, увеличивается число субъектов хозяйствования, растут эко-. номические связи, что влечет за собой соответствующий рост спроса на банковские услуги как со стороны предприятий и организаций, так и со стороны населения. В случае кризисного развития наблюдаются противоположные процессы, угнетающие банковскую систему в целом, усложняющие деятельность отдельных банков, снижая их надежность и ликвидность. Развитие банковской системы может сдерживаться под влиянием таких факторов, как чрезмерный налоговый пресс на прибыль банков, отсутствие достаточных ресурсов для осуществления банковских операций, убыточность значительного числа крупных и средних предприятий, общее снижение уровня доходов населения. К политическим факторам относятся те решения органов власти и управления на федеральном, региональном и местном уровнях, которые влияют на характер решений, принимаемых субъектами банковской системы: Центральным банком, банками, кредитными организациями, банковскими ассоциациями. Это в первую очередь: ♦ заявленные принципы формирования бюджета и его пропорций; ♦ принципы денежно-кредитной политики; ♦ основные направления совершенствования налогообложения; ♦ реализуемые на практике принципы развитияНационального хозяйства и его отдельных отраслей, отношение к предпринимательству, к банковской деятельности, к ответственности государства и бизнеса перед обществом. В мировой практике страны ранжируются по критерию политического риска. Чем выше этот показатель, тем менее стабильна социально-экономическая ситуация в стране. Странам с высоким рейтингом политического риска сокращается либо полностью прекращается кредитная поддержка со стороны международных банковских институтов, а также со стороны отдельных стран, располагающих свободными денежными средствами. Формы и методы правового регулирования хозяйственной деятельности в целом и банковской в частности оказывают существенное влияние на функционирование банковской системы. Устойчивость законодательства, его относительная консервативность создает предпосылки правового регулирования возникающих проблем. При этом законодательство оказывает влияние на развитие банковской системы особыми правилами регулирования тех или иных банковских операций или сделок, разрешая их или запрещая. Так, например, в некоторых странах банкам запрещается выполнять определенные операции с ценными бумагами, вкладывать свои средства в капиталы других предприятий. В ряде стран банкам не разрешено заниматься страхованием и торгово-посреднической деятельностью. В ряде стран центральные банки могут заниматься обслуживанием хозяйства, в других их основная функция — эмиссионная.
Экономические, правовые и политические факторы во многом определяют комплекс социально-психологических факторов. К социально-психологическим факторам относятся: уверенность большинства населения в правильности проводимых экономических преобразований, в стабильности налогового, таможенного, валютного законодательства, в хороших перспективах для экономики в целом и ее отдельных отраслей. Все вышеперечисленное в совокупности формирует уровень доверия к банковской системе, готовность осуществлять банковские операции и ч пользоваться банковскими услугами. В этом случае доверие к банковской системе определяет и более эффективное выполнение ею функций обеспечения финансирования потребностей экономического развития за счет привлечения финансовых ресурсов населения и иностранных инвесторов. Форс-мажорные обстоятельства, являющиеся следствием стихийных бедствий и непредсказуемых событий, которые приводят к сбоям в платежных системах, могут быть разделены на: ♦ природные (наводнения, землетрясения, ураганы), которые технически затрудняют функционирование банковской системы; ♦ политические (закрытие границ, введение международных запретов на экономические отношения с другими государствами, военные конфликты), которые приводят к необходимости существенного пересмотра условий взаимодействия банков и их клиентов; ♦ экономические (отказ государства от выполнения своих финансовых обязательств, изменение правил расчетов, изменение системы налогообложения, введение ограничений на экспортно-импортную деятельность, кризисы на финансовых рынках), которые приводят к затруднениям банков и клиентов, вызванным общей неопределенностью хозяйственной деятельности. При этом как бы долго ни готовились реформы: налоговая, бюджетная, расчетов и т. п., форс-мажорный характер их влияния на банковскую систему не меняется. Поскольку предугадать или зарегламентировать все нюансы экономических отношений не представляется возможным. Переход банков на новый план счетов (1998 г.), введение в действие в 1999 г. Налогового Кодекса (ч. 1) вызвали множество трудностей в работе специалистов, в функционировании банков и банковской системы в целом. Под внутренними факторами, влияющими на результаты функционирования банковской системы как единого целого, следует понимать совокупность факторов, которые формируются субъектами банковской системы: Центральным банком, коммерческими банками, банковскими ассоциациями. Внутренние факторы поддаются влиянию со стороны субъектов банковской системы и определяются следующими основными моментами: ♦ ролью и авторитетом Центрального банка в банковской системе; ♦ компетенцией руководителей банков и квалификацией банковских работников; ♦ уровнем межбанковской конкуренции и ее характером; ♦ степенью осознания банковским сообществом своей роли в экономике и целей развития банковской системы; ♦ сложившимися банковскими правилами и обычаями.
2.4. ПРОБЛЕМЫ И ПЕРСПЕКТИВЫ РАЗВИТИЯ БАНКОВСКОЙ СИСТЕМЫ РФ
В 1998 г. произошли события, приведшие страну к кризису банковской системы. Непосредственным толчком к обострению кризисных явлений послужили решения 17 августа, повлекшие масштабную девальвацию национальной валюты, всплеск инфляции, остановку операций на рынке государственных ценных бумаг. Однако на глубину банковского кризиса повлияли и проблемы, имевшие место внутри самой банковской системы. Это: ♦ недостаточно квалифицированное управление банковскими рисками; ♦ недокапитализация банковской системы; ♦ увлечение спекулятивными операциями на финансовом рынке в ущерб зачастую менее прибыльной работе с реальным сектором. В период с 1.08.98 г. по 1.10.99 г. число действующих кредитных организаций сократилось с 1573 до 1389, или на 12 %. Отличительной особенностью этого процесса стал отзыв лицензий на осуществление банковских операций у ряда крупнейших банков (Инкомбанк, Промстройбанк России, Менатеп, Мосбизнесбанк и др.). В кредитных организациях, у которых к настоящему времени отозваны лицензии на совершение банковских операций, до кризиса была сосредоточена почти четверть активов банковской системы и вкладов населения (без учета Сбербанка России), пятая часть остатков средств на расчетных, текущих счетах клиентов. В некоторых регионах вообще не осталось действующих кредитных учреждений, кроме подразделений Сбербанка РФ. Вместе с тем кризис подтвердил необходимость и целесообразность функционирования средних и даже мелких банков, которые оказались более устойчивыми в . условиях финансовой нестабильности. В целом региональные банки выдержали удары кризиса, выстояли без особых потерь для местной экономики. Так, например, за указанный период в Санкт-Петербурге были отозваны лицензии только у двух кредитных организаций. При этом следует отметить, что негативные процессы в данных банках начались задолго до кризиса. По состоянию на 01.10.99 г. банковская система Санкт-Петербурга представлена 41 действующей кредитной организацией, в том числе 2 небанковскими кредитными организациями. Кроме того, на территории Санкт-Петербурга зарегистрировано 56 филиалов иногородних банков (без Сбербанка РФ). Банки Санкт-Петербурга имеют 146 филиалов, в том числе 34 в городе и 112 в других регионах России. Из действующих банков два — ЗАО «БНП-Дрезднер Банк» и ЗАО «Креди Лионе Рус-банк» — являются 100 % дочерними кредитными организациями банков-нерезидентов. Зарегистрировано также 5 представительств иностранных банков. Из действующих банков почти все (37) имеют право привлекать вклады населения, а 16 имеют Генеральную лицензию. Анализ финансового состояния банковской системы показывает, что, хотя к концу 1999 г. наиболее острая фаза банковского кризиса преодолена, говорить о нормализации деятельности банковской системы преждевременно. В 1999 г. в целом по России наблюдался процесс увеличения масштабов банковской деятельности. Активы банковской системы страны увеличились за 8 месяцев текущего года на 342 млрд рублей, или на 33 %. Рублевые активы банков возросли на 254 млрд рублей, или на 55 %, превысив предкризисный уровень в номинальном исчислении на 36 %. Валютные активы с 01.01.99 г. по 01.09.99 г. в долларовом эквиваленте сократились на 1,2 млрд долл. США, или на 4 %, составив 74 % от предкризисного уровня. В формировании ресурсной базы кредитных организаций в первой половине 1999 г. наметились положительные тенденции. Так, за 8 меся- цев 1999 г. депозиты физических лиц, размещенные в банковской системе, увеличились в рублях на 26 %, в иностранной валюте (в долларовом эквиваленте) — на 6 %. Однако доля депозитов физических лиц в совокупных пассивах банковской системы еще не достигла предкризисного уровня, составив 18 % (на 01.08.98 - 25 %). В связи с некоторым оживлением промышленного производства в 1999 г. возрос объем средств, привлеченных банками от предприятий и организаций. В целом с августа 1998 г. по август 1999 г. указанные средства в рублях увеличились в 2,5 раза, а в иностранной валюте (в долларовом эквиваленте) сократились на 12 %. В итоге доля средств на расчетных, текущих и прочих счетах предприятий и организаций в совокупных • пассивах банковской системы увеличилась с 13 % на 1.08.98 г. до 20 %. Одновременно произошло сокращение доли фондов и прибыли в совокупных пассивах банковской системы с 18 % на01.*08.98г. до 11 %. При этом число прибыльных банков в период с 01.01.99 г. практически не изменилось, составив соответственно 1113 и 1120. Объем ресурсов банковской системы Санкт-Петербурга на 01.10.99 г. составил 118 млрд рублей, увеличившись с начала года более чем в полтора раза. При этом средства на расчетных, текущих и депозитных счетах предприятий и организаций увеличились на 75 %. Удельный вес средств клиентов в общем объеме ресурсов кредитных организаций составил 25%против21 % на 01.01.99 г. Несмотря на рост объема привлеченных межбанковских кредитов на 17 %, их удельный вес в структуре ресурсов кредитных организаций снизился с 17 до 14%. В составе ресурсов кредитных организаций Санкт-Петербурга на 01.10.99 г. собственные средства занимают 8% против 13 % на 01.08.98 г. Вклады населения в банках и филиалах (включая Сбербанк) составляют 15 млрд рублей (71 % — в Сбербанке). С начала года объем вкладов населения вырос на 38 %. Рост объема рублевых ресурсов российских коммерческих банков (в 1,7 раза) способствовал снижению стоимости кредита в рублях (в среднем с 46 % годовых в январе 1999 г. до 39 % годовых в августе 1999 г.). Этот фактор в сочетании с некоторым оживлением отечественного производства в определенной степени стимулировал спрос на кредиты в национальной валюте со стороны реального сектора экономики. Сократившись за период с 01.08.98 г. по 01.01.99 г. на 13 %, рублевые кредитные вложения коммерческих банков в реальный сектор экономики за 8 месяцев 1999 г. номинально выросли на 66 %. При этом их доля в совокупных активах банковской системы выросла с 9 % на 01.01.99 г. до 12 %. Одновременно произошло сокращение с 23 % на 01.01.99 г. до 14 % доли валютных кредитов в совокупных активах кредитных организаций. Кризис фондового рынка обусловил сокращение объема операций банков с ценными бумагами. Удельный вес ценных бумаг в совокупных активах кредитных организаций снизился с 30 % на 01.08.98 г. до 21 %. В первую очередь это обусловлено новацией ГКО—ОФЗ и снижением интереса банков к операциям с государственными ценными бумагами. Доля вложений банков в корпоративные ценные бумаги и векселя в общем объеме активов также сократилась с 8 % на 01.08.98 г. до 6 %. ' Удельный вес вложений в ценные бумаги кредитными организациями Санкт-Петербурга в активах составил на 01.10.99 г. 11 % против 19 % на 1.08.98 г. Кредитные вложения возросли за девять месяцев текущего года на 12 млрд руб., или 47 %, и составили на 01.10.99 г. 37 млрд руб. Их доля в активах составила 32 % против 28 % на 1.08.98. Одной из целей денежно-кредитной политики на 1999 и 2000 гг. является стимулирование кредитования реального сектора экономики. При этом расчеты Банка России показывают, что средний уровень капитализации региональных банков составляет порядка 50 млн руб., что при действующих нормативах ограничения риска определяет порог кредитования одного заемщика на уровне 12,5 млн руб.. Этого объема кредитных ресурсов может быть достаточно для небольших предприятий, но эти объемы не соответствуют финансовым потребностям крупных предприятий топливно-энергетического комплекса, машиностроения, золотодобывающей, химической отраслей промышленности и т. д. В послекризисный период декапитализация банковской системы продолжает оставаться наиболее существенной проблемой. Совокупный капитал российских банков (без учета Сбербанка России) уменьшился со 102 млрд руб. на 1.08.98 г. до 41 млрд руб. на 1.03.99 г., или на 60 %. Начиная с марта 1999 г. начался процесс роста капитала: за период с 01.03.99 г. по 01.10.99 г. совокупный капитал банков вырос на 42 млрд руб. (или более чем в два раза) и составил 84 млрд руб. (82 % от предкризисного уровня). Причинами роста капитала являлись рекапитализация действующих банков и отзыв лицензий у неплатежеспособных банков, имевших отрицательный капитал, обеспечившие соответственно 76 и 24 % прироста капитала банковской системы. Несмотря на то что Банк России пересмотрел свое отношение к перспективам функционирования средних и малых банков и существенно смягчил требования к минимальному размеру собственных средств (капитала), необходимость существования крупных и многофилиальных банков никоим образом не ставится под сомнение. При этом «крупный банк» не означает «непотопляемый». Кризис 1998 г. продемонстрировал, что именно крупные структурообразующие банки испытали все негативные последствия недооценки важности работы с реальным сектором, увлечения спекулятивными операциями на финансовых рынках, масштабных заимствований на западных рынках капитала и массовых изъятий вкладов населением. С августа 1998 г. совершенствование регулирования деятельности коммерческих банков проводится по двум направлениям. Первое направление — это разработка мер оперативно-тактического характера по преодолению влияния острых последствий финансового кризиса на банковскую систему. Второе направление связано q комплексным совершенствованием нормативной базы банковского регулирования в целях повышения надежности и стабильности банковской системы, укрепления доверия к ней кредиторов и вкладчиков. Центральным банком РФ в первые же месяцы кризиса был принят целый ряд оперативно-тактических документов, позволивший смягчить последствия кризисных явлений в банковской системе. Важнейшие из них, которые действовали в период до 01.07.99 г.: Указание № 393-У «О порядке определения в абсолютной величине предельных значений обязательных нормативов», позволившее рассчитывать нормативы, исходя из размера капитала на 01.08.98 г.; Указание № 394-У «О временном порядке определения предельных значений величины открытых валютных позиций», позволившее при составлении отчетов о величине открытой валютной позиции брать валютный эквивалент капитала на 01.08.98 г., Указание №396-У «О расчете влияния изменения курса иностранной валюты на выполнение обязательных нормативов и особенности применения мер воздействия к кредитным организациям за нарушения обязательных нормативов в результате роста курса иностранных валют к рублю РФ», позволившее при нарушении обязательных нормативов, установленных Инструкцией № 1 и Указанием №393-У, частично нивелировать резкое падение курса рубля. К кредитным организациям, производившим перерасчет обязательных нормативов в соответствии с этими Указаниями, не применялись штрафные санкции в случае, если полученные в результате перерасчета значения обязательных нормативов соответствовали их значениям, установленным Инструкцией Банка России № 1 и Инструкцией № 41. Параллельно с тактическими шагами Банк России предпринял ряд мер, направленных на совершенствование нормативной базы, регулирующей банковскую деятельность: ♦ изменен в сторону ужесточения порядок расчета нормативов достаточности собственных средств HI, мгновенной ликвидности Н2, текущей ликвидности НЗ, общей ликвидности Н5, максимального размера риска на одного заемщика Н6, норматив использования собственных средств банка для приобретения акций (долей) одного юридического лица Н12.1; ♦ введен новый порядок расчета собственных средств (капитала), который максимально приближен к международным стандартам и соответствует рекомендациям Базельского комитета по банковскому надзору. Теперь капитал банка делится на основной и дополнительный, причем в основной капитал входят только действительно стержневые составляющие; ♦ с апреля 2000 г. вводится в действие Положение Банка России № 89-П «О порядке расчета кредитными организациями размера рыночных рисков», в соответствии с которым в расчет норматива достаточности собственных средств будет включаться величина принимаемых банком рисков по инструментам, чувствительным к изменениям процентных ставок, рыночных цен и курсов иностранных валют; ♦ введено обязательное создание резервов под операции банков с резидентами оффшорных зон; ♦ лимиты открытой валютной позиции рассчитываются по балансовым, внебалансовым счетам и срочным сделкам раздельно. В 2000 г. в целях установления характера влияния на финансовое состояние кредитных организаций их вложений в капиталы других юридических лиц, операций и сделок с этими юридическими лицами, их возможности управлять деятельностью этих юридических лиц, а также для определения совокупной величины рисков и собственных средств консолидированной банковской группы кредитные организации должны представлять Банку России отчетность о состоянии требований и обязательств, собственных средств, а также финансовых результатов деятельности указанной группы. Анализ консолидированной отчетности позволит реально оценивать финансовое состояние кредитных организаций как надзорными органами, так и руководством коммерческих банков. Неизбежным следствием финансового кризиса стало ухудшение качества активов банков. Объем просроченной задолженности по предоставленным кредитам возрос за период с начала года на 7 %. В настоящее время действует требование о создании резерва на возможные потери по ссудам в размере не менее 75 % от величины расчетного резерва. При этом принудительные меры воздействия к банкам применяются только в случае создания резерва в размере менее 50 % от расчетного по ссудам, отнесенным ко 2-4-й группам риска. С 01.02.2000 г. кредитные организации будут обязаны формировать резерв для компенсации возможных потерь по всей ссудной и приравненной к ней задолженности, классифицируемой в зависимости от уровня кредитного риска, в полном объеме. Размер отчислений по 1-й группе «стандартные ссуды» составляет 2 %, по 2-й группе «нестандартные ссуды» - 20 %, по 3-й группе «сомнительные ссуды» — 50 %, по 4-й группе «безнадежные ссуды» — 100 %. Наряду со снижением доходности от традиционных банковских операций (кредитных операций и вложений в ценные бумаги), необходимость доначисления резервов является основной причиной убытков, понесенных кредитными организациями в текущем году. Убыточная и низкорентабельная деятельность кредитных организаций приводит к уменьшению размера собственных средств (капитала). С 01.07.99 г. изменена методика расчета собственных средств (капитала) банка, она стала более приближенной к международным стандартам. Величина собственных средств определяется как сумма основного и дополнительного капитала, при этом прибыль отчетного года, а также часть фондов, сформированных за счет прибыли текущего года, включаются в состав основного или дополнительного капитала в зависимости от наличия подтверждения аудиторской фирмы. Показатель величины собственных средств (капитала) используется в целях определения значений экономических нормативов, лимитов открытой валютной позиции. Снижение значения указанного показателя по сравнению с его максимальной величиной, достигнутой за последние 10 месяцев, более чем на 20 % при одновременном нарушении одного из обязательных экономических нормативов является одним из оснований для осуществления мер по предупреждению банкротства кредитной организации в соответствии с Федеральным законом «О несостоятель-
Глава 3. ЦЕНТРАЛЬНЫЙ БАНК РОССИЙСКОЙ ФЕДЕРАЦИИ
После изучения этой главы вы узнаете, что: 1. Первые центральные банки возникли более 300 лет назад. Первым эмиссионным банком считается созданный в 1694 г. Банк Англии. 2. Центральные банки могут быть: государственными, акционерными, иметь смешанную форму собственности на капитал. 3. Центральный банк — это: ♦ эмиссионный банк, за которым закреплена монополия денежной эмиссии; ♦ банк правительства, обслуживающий исполнение бюджета и управляющий государственным долгом; ♦ банк банков: т. е. расчетный центр; ♦ кредитор последней инстанции; ♦ проводник денежно-кредитной и валютной политики; ♦ орган надзора за банками и финансовыми рынками. 4. Государственный банк России был учрежден в 1860 г. на базе учрежденных еще при Екатерине II ассигнационного и заемного государственных банков. 5. В систему Центрального банка РФ входят: центральный аппарат, территориальные учреждения, расчетно-кассовые центры (РКЦ), вычислительные центры, полевые учреждения, учебные заведения, хранилища, а также другие предприятия, организации и учреждения, в том числе подразделения безопасности, необходимые для успешной деятельности банков. 6. Высший орган Банка России — Совет Директоров. Это коллегиальный орган, определяющий основные направления деятельности Банка России и управляющий ею. 7. В число основных мер денежно-кредитного регулирования, осуществляемого Центральным банком РФ, входят: операции на открытом рынке; рефинансирование банков; валютное регулирование; управление наличной денежной массой; резервирование денег коммерческих банков путем депонирования в ЦБ РФ. 8. АРКО — это Агентство по реструктуризации кредитных организаций, созданное с целью осуществления мероприятий по реструктуризации кредитных организаций, обеспечения их стабильного функционирования и восстановления доверия кредиторов, в т. ч. вкладчиков, к кредитным организациям.
Вы сможете: 1. Охарактеризовать этапы становления центральных банков, особенности статуса центральных банков ряда индустриально развитых стран (Франции, Швеции, Италии, Великобритании, Японии и др.). 2. Перечислить аргументы «за» и «против» целесообразности независимости центрального банка от правительства. 3. Охарактеризовать статус и основные функции Центрального банка Российской Федерации. 4. Назвать полномочия Совета Директоров Центрального банка РФ. 5. Раскрыть сущность мер денежно-кредитного регулирования, осуществляемых Центральным банком РФ. 6. Перечислить меры, предпринятые Центральным банком РФ по выводу банковской системы страны из кризиса.
3.1. ЦЕНТРАЛЬНЫЙ БАНК И ЕГО ФУНКЦИИ
Ключевым элементом финансовой системы любого развитого государства сегодня является центральный банк, выступающий официальным проводником денежно-кредитной политики. В свою очередь, денежно-кредитная политика, наряду с бюджетной, составляет основу всего государственного регулирования экономики. Поэтому эффективная деятельность центрального банка является одним из условий эффективного функционирования рыночной экономики. Первые центральные банки возникли более 300 лет назад. Первым эмиссионным банком считается созданный в 1694 г. Банк Англии, поскольку он первым начал выпускать банкноты и учитывать коммерческие векселя. Повсеместное распространение и современное значение центральные банки получили только в XX веке. На Международной финансовой конференции, проходившей в Брюсселе в 1920 г., отмечалось: «В странах, где не существует центрального эмиссионного банка, его следует создать». Более того: «Банки, особенно эмиссионный банк, нужно освободить от политического давления, они должны управляться на принципах разумных финансов».
Первоначально банки верхнего уровня назывались эмиссионными и образовывались как акционерные компании, наделенные особыми полномочиями. Термином «Центральный банк» назывался самый-крупный банк, находящийся в самом центре банковской системы. Затем подобные банки постепенно монополизировали некоторые специфические функции и на определенном этапе развития государства их национализировали. При этом акционерный статус центральных банков в ряде стран сохранился. Например, капитал Банка Италии принадлежит банкам и страховым компаниям, капитал Федеральной резервной системы (ФРС) США принадлежит банкам-членам ФРС. Центральные банки могут иметь смешанную форму собственности на капитал, когда часть капитала центрального банка принадлежит государству, а часть находится в руках юридических и/или физических лиц. Так, например, 55 % капитала Банка Японии принадлежит государству, а 45 % — частным лицам; в Австрии 50 % капитала принадлежит государству, а 50 % — собственность физических и юридических лиц-резидентов. В большинстве случаев капитал центрального банка полностью принадлежит государству (Банк Англии, Франции, Дании, России и др.). Выделившись из числа коммерческих банков значительными размерами капитала и большими объемами проводимых операций, центральные банки утратили свои позиции, уступив лидерство в этой сфере коммерческим банкам. Их функции и методы воздействия на финансовую систему модифицировались, а степень влияния на состояние денежно-кредитной системы страны неизмеримо возросла. При этом степень влияния центрального банка на формирование денежно-кредитной системы в различных странах неодинакова и зависит от степеней свободы, какими обладает центральный банк и его руководство. Чаще всего центральный банк подотчетен непосредственно законодательному органу власти страны или образованной последним специальной банковской комиссии. Управляющий центральным банком не входит в правительство, и его назначение на должность не совпадает по срокам с формированием нового кабинета министров. Назначение на пост управляющего центральным банком производится монархом, президентом, парламентом. Может провести свою кандидатуру и правительство, но в этом случае оно должно опираться на парламентское большинство. Это обычная практика, и во многих странах именно правительство официально предлагает парламенту кандидатуру главы центрального банка.
Время пребывания в должности высшего руководства центрального банка либо не ограничивается вовсе (Дания, Финляндия, Норвегия), либо ограничивается достаточно большим сроком: 7 лет — в Канаде, Нидерландах, Австралии, 8 лет — в ФРГ. Наиболее зависимыми от государственных органов являются центральные банки Франции и Италии, где законодательно закреплено право правительства на вмешательство в деятельность центральных банков. В законодательствах Великобритании, Японии, Швеции, Нидерландов четко установлено право государственных органов отменять решения центрального банка, а также инструктировать его. Наиболее независимы центральные банки Германии и Швеции. В законодательстве этих стран отсутствуют нормы, разрешающие правительству вмешиваться в денежно-кредитную политику, проводимую центральным банком. Таким образом, уровень относительной независимости центральных банков можно охарактеризовать следующим образом. Банк Англии занимает промежуточное место между Бундесбанком (ФРГ) как максимально влиятельным и независимым учреждением и Банком Франции, находящимся в полной зависимости от правительства. В Финляндии центральный банк традиционно замкнут на законодательную власть, играет влиятельную роль и выступает поставщиком высших государственных деятелей. В Италии роль центрального банка повышается за счет стабильности его руководства на фоне постоянной смены правительств. Поскольку правительство, как правило, озабочено прежде всего краткосрочными и среднесрочными целями — победой на очередных выборах, мнением избирателей и т. д., то деятельность правительства может вступать в противоречие с долгосрочными интересами государства. В этих условиях независимый центральный банк обеспечивает стабильность экономического развития. Вместе с тем независимость центрального банка имеет свои пределы. Это связано с тем, что между центральным банком и правительством не должно быть принципиальных противоречий, поскольку тогда экономическая политика была бы неэффективной. Принципиальное значение имеет четкое разграничение государственных финансов и банковской системы, т. е. ограничение возможностей правительства пользоваться средствами центрального банка. Во многих странах прямое кредитование правительства практически отсутствует (США, Канада, Япония, Великобритания, Швеция, Швейцария) или законодательно ограничено (ФРГ, Франция, Нидер- ланды). В Законе об Австрийском Национальном Банке (1984 г.) записано, что органы власти могут занимать средства у центрального банка только под стопроцентное обеспечение золотом и иностранной валютой. Единственное исключение — учет краткосрочных казначейских сертификатов для оказания помощи правительству в управлении наличными ресурсами, причем только по особой просьбе министра финансов в пределах 5 % дохода бюджета от налогов. Относительно высокий удельный вес государственных ценных бумаг в балансе центрального банка не означает первичное участие центрального банка в обслуживании государственного долга, так как облигации в основном покупаются и продаются в ходе проведения денежно-кредитной политики государства. К примеру, в Великобритании упор делается на использование в операциях Банка Англии коммерческих векселей, которые и являются основой обеспечения банкнотной эмиссии. Государственный долг может находиться в руках центрального банка, частного сектора (компаний и предприятий), населения. При этом центральный банк, как правило, решающей роли не играет, так как не имеет соответствующих средств. Правительство заинтересовано в размещении государственного долга в центральном банке, чтобы не воздействовать негативно на ликвидность банковской системы, не лишать частный сектор заемных ресурсов, не повышать процентных ставок. Однако с другой стороны, в случае достаточно большого государственного долга, ликвидность экономики опосредованно изменяется и чрезмерные заимствования могут вызывать структурные дисбалансы. При узости национальных рынков капиталов или в тактических целях заимствования могут производиться за границей. Функции центрального банка на протяжении многих десятилетий достаточно постоянны. Это: ♦ эмиссионный банк, за которым закреплена монополия денежной эмиссии; ♦ банк правительства: исполнение бюджета и управление государственным долгом; ♦ банк банков: расчетный центр, кредитор последней инстанции; ♦ проводник денежно-кредитной и валютной политики; ♦ орган надзора за банками и финансовыми рынками.
Вместе с тем значение функции эмиссионной монополии и расчетного центра снижается в связи с модификацией денежного обращения и внедрением электронных денежных систем. С другой стороны, и банковский надзор может быть возложен на специальные органы, а не на центральный банк. Поэтому ключевой остается функция проводника денежно-кредитной политики государства, причем новое понимание экономических процессов закономерно обусловливает ориентацию на стабилизацию во все более тесной увязке с общей экономической политикой.
3.2. ЦЕНТРАЛЬНЫЙ БАНК РОССИЙСКОЙ ФЕДЕРАЦИИ
Государственный банк России был учрежден в 1860 г. на базе основанных еще при Екатерине II ассигнационного и заемного государственных банков. В отличие от центральных банков западноевропейских стран и США Государственный банк России сочетал в своей деятельности выполнение эмиссионных и различных торговых операций, особенно по торговле хлебом, экспорт которого был главным источником иностранной валюты. Госбанк имел собственные крупные элеваторы и зернохранилища, расположенные в районах, где отсутствовали банковские учреждения. На принадлежащих банку зернохранилищах ссуды под залог выдавались зерном. Помимо хлебной торговли Госбанк посредством кредитов участвовал в торговле лесом, сахаром, текстилем и другими экспортными товарами. Государственный банк России являлся «банком банков». В нем имели счета и хранили свои резервы коммерческие банки. В 1914 г. сеть Госбанка включала 10 контор и 125 отделений. Банковские операции осуществляло 791 местное (уездное) казначейство. Наряду с этим Госбанк управлял деятельностью системы сберегательных касс. Их общее количество превышало 8 тыс. Свободные остатки денег в виде накоплений населения хранились в Госбанке. Госбанк использовал деньги сберкасс на поддержку правительства, инвестируя их в облигации государственных займов. Значение Госбанка как эмиссионного банка резко возросло в конце XIX в. в результате денежной реформы 1895-1897 гг., когда в обращение были выпущены золотые монеты достоинством 5, 7, 10 и 15 руб. Государственному банку разрешалось выпускать не обеспеченные золотом бумажные деньги лишь в пределах твердого лимита — 300 млн руб. Вся банковская эмиссия сверх этого лимита должна была производиться в пределах золотого запаса, составляющего 1528 млн руб., или почти 1200 т. Началом нового, «рыночного» этапа деятельности Центрального банка России можно считать 1990 г., когда в России была ликвидирована государственная монополия в банковском деле и банковская система законодательно стала двухуровневой. В 1992 г. в связи с распадом СССР функции Госбанка СССР на территории России принял на себя Центральный банк Российской Федерации (Банк России). Статус, задачи, функции, полномочия и принципы организации деятельности Банка России определяются Конституцией Российской Федерации, Федеральным законом «О Центральном банке Российской Федерации (Банке России)» (с изменениями и дополнениями) и другими федеральными законами. С помощью экономического и административного воздействия в процессе проведения денежно-кредитной политики Центральный банк способствует укреплению и развитию экономики России. В этом заключается его основная задача, которую он решает путем: ♦ защиты и обеспечения устойчивости российской валюты — рубля, повышения его покупательной способности и стабильности курса по отношению к валютам других стран; ♦ развития и укрепления банковской системы России; ♦ обеспечения эффективного функционирования системы денежных расчетов. Банк России подотчетен только Федеральному собранию. Председатель банка назначается Государственной Думой сроком на 4 года по представлению Президента. Банк России участвует в разработке экономической политики правительства. Председатель Банка России или один из его заместителей (по поручению Председателя) участвует в заседаниях Правительства России. Министры финансов и экономики Российской Федерации или по одному из их заместителей могут участвовать в заседаниях Совета Директоров — высшего органа управления Банком — с правом совещательного голоса. Банк России и Правительство Российской Федерации информируют друг друга о предполагаемых действиях, имеющих общегосударственное значение, и координируют свои действия. Центральный банк Российской Федерации представляет собой единую централизованную систему с вертикальной структурой управления. В систему входят: центральный аппарат, территориальные учреждения, расчетно-кассовые центры (РКЦ), вычислительные центры, полевые учреждения, учебные заведения, хранилища, а также другие предприятия, организации и учреждения, в том числе подразделения безопасности, необходимые для успешной деятельности банков. Национальные банки республик, входящих в состав Российской Федерации, являются территориальными учреждениями Банка России. Территориальные главные управления являются обособленными подразделениями, осуществляющими и часть его функций на определенной территории. Территориальные главные управления подчиняются Банку России и ему подотчетны. Задачи и функции территориальных учреждений Банка России определяются положением об этих учреждениях, утверждаемым Советом Директоров. Высший орган Банка России — Совет Директоров. Это коллегиальный орган, определяющий основные направления деятельности Банка России и управляющий ею. В Совет Директоров входят: Председатель Банка России и 12 членов Совета. Члены Совета Директоров работают на постоянной основе. Они утверждаются Государственной Думой по представлению Председателя Банка, который является одновременно председателем Совета Директоров. Совет Директоров во взаимодействии с правительством разрабатывает единую государственную денежно-кредитную политику и обеспечивает ее выполнение. Структуру и штаты Центрального аппарата Банка России, а также уставы его других структурных подразделений утверждает Совет Директоров. К его полномочиям также отнесены: ♦ изменение ставок по централизованным кредитам, норм резервирования, экономических нормативов; ♦ определение условий допуска иностранного капитала в банковскую систему России; ♦ другие решения по вопросам, имеющим большое значение как для Банка России, так и для банковской системы страны. Решение Совета Директоров считается принятым, если за него проголосовало большинство членов. Таким образом, Совет директоров не только возглавляет и организует работу Банка России, но и регулирует деятельность коммерческих банков в стране. Наряду с Советом Директоров вне банка функционирует и Национальный банковский совет. В его состав включаются представители Президента, представители высших органов законодательной и исполнительной власти и эксперты. Общая численность Совета не превышает 15 человек. Члены Банковского совета утверждаются Государственной Думой по представлению Председателя Банка России. Совет регулярно, не реже 1 раза в квартал, обсуждает концепцию развития банковской системы и вопросы единой государственной кредитно-денежной политики, включая регулирование денежных ресурсов. Рекомендации Банковского совета учитываются при рассмотрении Федеральным Собранием законодательных актов по вопросам банковской деятельности, а также принимаются во внимание при подготовке решений Совета Директоров Банка.
ФУНКЦИИ БАНКА РОССИИ
Центральный Банк Российской Федерации занимает особое положение среди всех юридических лиц, занятых управлением или хозяйственной деятельностью. Представляя собой орган государственного управления, Центральный банк выступает и как коммерческий банк, хотя получение прибыли не служит целью деятельности Центрального банка РФ. По вопросам своей компетенции Банк России издает нормативные акты, обязательные для федеральных органов государственной власти, органов субъектов Российской Федерации, органов местного самоуправления, а также юридических и физических лиц. 50 % прибыли Банка России после направления ее на увеличение ресурсов банка перечисляется в доход федерального бюджета. Банк России и его учреждения освобождаются от уплаты налогов, сборов, пошлин и других аналогичных платежей. Центральный банк владеет такими ресурсами, которыми не в состоянии обладать ни один коммерческий банк. Это объясняется тем, что он: ♦ монопольно осуществляет эмиссию наличных денег и организует их обращение; ♦ выступает кредитором последней инстанции для коммерческих банков, которые получают кредиты в тех случаях, когда исчерпали или не имеют возможности пополнить ресурсы из других источников; ♦ от имени правительства управляет государственным долгом, т. е. размещает, погашает и проводит другие операции с государственными ценными бумагами, эмитированными правительством; ♦ наряду с коммерческими банками производит кассовое обслуживание бюджета, ведет счета внебюджетных фондов, обслуживает представительные и исполнительные органы власти, выдает краткосрочные ссуды правительству и местным властям; ♦ является «банком банков», так как ведет счета коммерческих банков, связанные с межбанковскими операциями и хранением резервов. Основной источник ресурсов Центрального банка — деньги в обращении и средства коммерческих банков. Выпуск денег в обращение, то есть создание ресурсов путем их эмиссии, осуществляется в процессе кредитования правительства и коммерческих банков. Правительство получает кредит в Центральном банке, представляя свои обязательства. Эмиссия также производится для закупки золота и иностранной валюты. Центральный банк России создает свои ресурсы двумя методами: а) Деньги из балансовых хранилищ учреждений ЦБ РФ приходуются на баланс, т. е. перемещаются в оборотные кассы. Отсюда наличные деньги уходят в обращение. Выдача денег из оборотных касс производится в пределах остатков на корреспондентских счетах коммерческих банков или счетах других клиентов Центрального банка. В случае необходимости эти остатки могут быть образованы за счет кредитов, выдаваемых системой Центрального банка. При этом методе речь идет о наличной — денежной, т. е. банкнотной, эмиссии. б) О втором методе речь идет тогда, когда Центральный банк увеличивает свои кредитные вложения путем выдачи ссуд, повышающих остатки на счетах, т. е. на депозитах. При этом следует говорить о депозитной эмиссии. Депозитная эмиссия предшествует банкнотной, так как учреждения Центрального банка не могут выдать деньги из оборотной кассы ком- мерческому банку или другому своему клиенту, если у них на счетах нет соответствующего депозита в форме безналичных денег. Таким образом, эмитируемые Центральным банком деньги — создаваемые им ресурсы — в обоих случаях носят кредитный характер, их обеспечением служат обязательства коммерческих банков и правительства, а также золото и иностранная валюта. Опираясь на коммерческие банки и другие структуры финансового рынка, не вмешиваясь в их оперативную деятельность, Центральный банк выполняет свои многообразные функции. Важнейшей функцией Центрального банка, как отмечалось ранее, является разработка и осуществление совместно с Правительством России единой денежно-кредитной политики, направленной на защиту и обеспечение устойчивости рубля. Деньги выступают как эквивалент товарно-материальных ценностей и сами должны иметь материальные формы. Такими формами могут быть: ♦ металлические монеты и бумажные купюры; ♦ записи на банковских счетах; ♦ записи на магнитных носителях, когда денежные остатки и переводы отражаются на компьютерных счетах (электронные деньги). Чтобы деньги выполнили свою роль как средство платежа и обращения, необходимо их реальное присутствие в одной из перечисленных форм. Следовательно, денежное обращение представляет собой обращение наличных денег и денег в их безналичной форме. Для управления денежным обращением Центральный банк РФ публикует и использует в процессе денежного регулирования различные показатели — денежные агрегаты, принятые в международной практике. Анализ различных показателей, характеризующих денежную массу, позволяет Банку России принимать оптимальные решения в процессе регулирования денежного обращения. Денежное обращение регулируется Центральным банком в процессе осуществления кредитной политики, выражаемой в кредитной экспансии или кредитной рестрикции. Кредитная экспансия ЦБ РФ увеличивает кредитные ресурсы коммерческих банков, которые в результате выдаваемых кредитов повышают общую массу денег в обращении. Кредитная рестрикция влечет за собой ограничения возможностей коммерческих банков по выдаче кредитов и тем самым по насыщению экономики деньгами. Инструментами кредитной экспансии или кредитной рестрикции являются: официальная учетная ставка Центрального банка; некоторые неэкономические меры. Официальная учетная ставка — это проценты по ссудам, используемым Центральным банком при кредитовании коммерческих банков. Определение размеров учетной ставки — один из наиболее важных аспектов кредитно-денежной политики, а изменение учетной ставки выступает показателем изменений в области кредитно-денежного регулирования. Размер учетной ставки обычно зависит от уровня ожидаемой инфляции и в то же время оказывает на инфляцию большое влияние. Когда Центральный банк РФ намерен смягчить денежно-кредитную политику или ужесточить ее, он снижает или повышает учетную (процентную) ставку. Банк может устанавливать одну или несколько процентных ставок по различным видам операций или проводить процентную политику без фиксации процентных ставок. Процентные ставки ЦБ РФ представляют собой минимальные ставки, по которым Банк России осуществляет свои операции. ЦБ РФ использует процентную политику для воздействия на рыночные процентные ставки в целях укрепления рубля. Банк России регулирует общий объем выдаваемых им кредитов в соответствии с принятыми ориентирами единой государственной денежно-кредитной политики, используя при этом в качестве инструмента учетную ставку. Повышение официальных ставок сокращает возможности коммерческих банков получить ресурсы для кредитования. Это воздействует на сокращение денежной массы. Снижение официальной учетной ставки действует в обратном направлении. Процентные ставки ЦБ РФ не обязательны для коммерческих банков в сфере их кредитных отношений с другими клиентами и с другими банками. Однако уровень официальной учетной ставки является для коммерческих банков ориентиром при проведении кредитных операций. В число основных мер денежно-кредитного регулирования, осуществляемого Центральным банком РФ, входят следующие: ♦ операции на открытом рынке; ♦ рефинансирование банков; ♦ валютное регулирование; ♦ управление наличной денежной массой; ♦ резервирование денег коммерческих банков путем депонирования в ЦБ РФ. Операции на открытом рынке. При осуществлении этих операций Центральный банк не только реализует направления своей денежно-кредитной политики, но и содействует коммерческим банкам в поддержании на необходимом уровне их ликвидности, то есть способности выполнять в срок свои обязательства перед клиентами — как юридическими, так и физическими лицами. Под операциями на открытом рынке имеется в виду купля-продажа Центральным банком государственных ценных бумаг. Рефинансирование банков. Под рефинансированием банков понимается предоставление Центральным банком РФ кредита коммерческим банкам. Рефинансирование осуществляется путем проведения кредитных аукционов и предоставления ломбардного кредита. Кредитные аукционы проводятся в форме удовлетворения аукционных заявок коммерческих банков с частотой и в сроки, определяемые ЦБ РФ исходя из задач денежно-кредитной политики. Ломбардный кредит — это форма рефинансирования, при которой ЦБ РФ предоставляет ссуды под залог. Предметом залога выступают в первую очередь надежные ценные бумаги. Валютное регулирование. Исходя из роли валютного курса и его влияния на денежное обращение в стране ЦБ РФ осуществляет валютное регулирование, организует валютный контроль, устанавливает и публикует курс рубля по отношению к иностранным валютам и регламентиру- v ет порядок расчетов с иностранными государствами. Эффективной системой валютного регулирования является валютная интервенция. Она заключается в том, что ЦБ РФ вмешивается в операции на валютном рынке с целью воздействия на курс рубля путем купли или продажи иностранной валюты. Наряду с валютной интервенцией ЦБ РФ предпринимает ряд административных мер, позволяющих регулировать валютный курс, в направлении, отвечающем укреплению денежного обращения и повышению доверия в межгосударственных отношениях. К таким мерам, в частности, относятся: ♦ решения об обязательной продаже части экспортной выручки. Эту продажу осуществляют на валютных биржах экспортеры через уполномоченные коммерческие банки; ♦ лимитирование операций коммерческих банков по купле-продаже иностранной валюты на валютном рынке. Для этого банкам, имеющим валютную лицензию, устанавливается «открытая» позиция. Она определяется для банка как разница между требованиями и обязательствами в иностранных валютах; ♦ разработка ЦБ РФ совместно с Российским Таможенным Комитетом системы мер экономического и административного воздействия на экспортеров и импортеров — валютного контроля. Управление наличной денежной массой (агрегатом МО). Оно представляет собой регулирование обращения наличных денег, эмиссию, организацию их обращения и изъятия из обращения, осуществляемые Центральным банком РФ. Резервирование денег коммерческих банков. Размер резервных требований по депонированию коммерческими банками ресурсов устанавливается в процентном отношении к общей сумме денежных средств, привлеченных банком. При закрытии коммерческого банка зарезервированные суммы ему возвращаются. Банковский надзор и регулирование. Банк России является органом банковского регулирования и надзора за деятельностью банков. Он осуществляет постоянный надзор за соблюдением банками законодательства, нормативных актов Банка России, в частности — установленных ими обязательных нормативов. Главная цель банковского регулирования и надзора — поддержание стабильности банковской системы, защита интересов вкладчиков и кредиторов. Банк России устанавливает обязательные для коммерческих банков правила: ♦ проведения банковских операций, ♦ ведения бухгалтерского учета, ♦ составления и представления бухгалтерской и статистической отчетности. Для осуществления своих функций Банк России имеет право запрашивать и получать у банков необходимую информацию об их деятельности, требовать разъяснений по полученной информации. Банк России: ♦ регистрирует коммерческие банки в Книге государственной регистрации кредитных организаций; ♦ выдает банкам лицензии на осуществление банковских операций и отзывает их; ♦ предъявляет квалификационные требования к руководителям исполнительных органов, а также к главным бухгалтерам коммерческих банков; ♦ запрашивает информацию о финансовом положении и деловой репутации участников (акционеров) банка в случае приобретения ими более 20 % долей (акций) кредитной организации; ♦ имеет право отказать в согласии на совершение сделки купли-продажи более 20 % долей (акций) банка при установлении неудовлетворительного финансового положения приобретателей долей (акций). Банк России в целях обеспечения надежности и устойчивости ком-[ерческих банков устанавливает обязательные нормативы: ♦ норматив достаточности собственного капитала банка (HI); ♦ норматив мгновенной ликвидности банка (Н2); ♦ норматив текущей ликвидности банка (НЗ); ♦ норматив долгосрочной ликвидности банка (Н4); ♦ норматив общей ликвидности банка (Н5); ♦ норматив максимального размера риска банка на одного заемщика или группу связанных заемщиков (Н6); ♦ норматив максимальных размеров крупных кредитных рисков (Н7); ♦ норматив максимального размера риска банка на одного кредитора (вкладчика) или группу связанных кредиторов (вкладчиков) (Н8); ♦ норматив максимального размера риска банка на одного заемщика-акционера (участника) (Н9); ♦ норматив размера совокупного кредитования акционеров (участников) банка (Н9.1); ♦ норматив максимального размера обязательств одного инсайдера перед банком (Н10); ♦ норматив размера совокупных обязательств инсайдеров перед банком (Н10.1); ♦ норматив привлеченных денежных вкладов (депозитов) населения (НИ); ♦ норматив размера обязательств банка перед нерезидентами (Н11.1); ♦ норматив использования собственного капитала банка для при- . обретения акций других юридических лиц (Н12); ♦ норматив риска собственных вексельных обязательств банка (Н13); ♦ норматив ликвидности по операциям банка с ценными бумагами (Н14). Охарактеризуем ряд нормативов. Нормативы ликвидности коммерческих банков определяются как: ♦ соотношение между активами и пассивами с учетом сроков, сумм и типов активов и пассивов и других факторов; ♦ соотношение ликвидных активов (наличные денежные средства, требования до востребования, краткосрочные ценные бумаги, другие легкореализуемые активы) и суммарных активов. Норматив достаточности капитала определяется как предельное соотношение общей суммы собственных средств кредитной организации и суммы ее активов, взвешенных по уровню риска. Максимальный размер привлеченных денежных вкладов (депозитов) граждан определяется как предельное соотношение общей суммы денежных вкладов (депозитов) граждан и величины собственных средств (капитала)банка. Максимальный размер кредитов, гарантий и поручительств, предоставленных банком своим участникам (акционерам), определяется в процентах от собственных средств банка и не может превышать 20 %. Кроме того, Банк России устанавливает методики определения собственных средств, активов, пассивов и размеров риска по активам для каждого из нормативов с учетом международных стандартов и консультаций с банками, банковскими ассоциациями и союзами. Для осуществления своих функций в области банковского надзора и регулирования Банк России: ♦ проводит проверки кредитных организаций и их филиалов; ♦ направляет им обязательные для исполнения предписания об устранении выявленных в их деятельности нарушений; ♦ применяет санкции по отношению к нарушителям. Особенностью Банка России является то, что, с одной стороны, он является органом государственного управления специальной компетенции по осуществлению управления денежно-кредитной системой страны, а с другой стороны, — юридическим лицом, которое может вести предпринимательскую деятельность. Полномочия Центрального банка Российской Федерации, направленные на предпринимательскую деятельность, установлены в Законе «О Центральном банке РФ (Банке России)», и в соответствии с ними Банк России имеет право предоставлять кредиты на срок не более одного года под обеспечение ценными бумагами и другими активами; покупать и продавать чеки и переводные векселя, а также государственные ценные бумаги и облигации; выдавать гарантии и поручительства. Банк России может осуществлять операции по обслуживанию представительных и исполнительных органов государственной власти, органов местного самоуправления, их учреждений и организаций, государственных внебюджетных фондов, воинских частей, военнослужащих, служащих Банка России. Банк России вправе обслуживать клиентов, не являющихся кредитными организациями, в регионах, где отсутствуют кредитные организации. Наряду с большими полномочиями для Центрального банка РФ существует ряд законодательно определенных запретов. Так, Банк России не имеет права, за исключением особо оговоренных случаев: ♦ осуществлять банковские операции с юридическими лицами, не имеющими лицензии на проведение банковских операций, и физическими лицами; ♦ приобретать доли (акции) кредитных организаций; ♦ осуществлять операции с недвижимостью, за исключением случаев, связанных с обеспечением деятельности Банка России, его предприятий, учреждений и организаций; ♦ заниматься торговой и производственной деятельностью; ♦ пролонгировать предоставленные кредиты.
3.3. РОЛЬ ЦЕНТРАЛЬНОГО БАНКА РФ В РЕСТРУКТУРИЗАЦИИ БАНКОВСКОЙ СИСТЕМЫ
Восстановление и дальнейшее развитие банковской системы страны предполагает решение двух сложных взаимосвязанных задач. Первая — срочное, оперативное восстановление банков, способных продолжать выполнение банковского обслуживания. Вторая задача — на основе российского и международного опыта использовать создавшиеся возможности для формирования практически новой по качеству и цели банковской системы на базе применения современных технологий, бухгалтерского и управленческого учета, менеджмента, надзора и аудита. Правительством РФ, Центральным банком России и Ассоциацией российских банков были намечены основные направления реструктуризации банковской системы. Для оперативного восстановления банков с целью продолжения ими банковского обслуживания Банк России после 17 августа 1998 г. предпринял целый ряд срочных мер: ♦ провел многосторонний межбанковский клиринг, что позволило восстановить систему расчетов; ♦ разрешил снизить нормативы отчислений в обязательные резервы, что увеличило ликвидность банковской системы; ч ♦ ввел специальные нормы регулирования деятельности банков, не относившихся до наступления кризиса к числу проблемных; ♦ допустил на период кризиса принятие банками рисков, исходя из величины их капиталов по состоянию на 1 августа 1998 г.; ♦ разрешил при расчете обязательных экономических нормативов в отношении операций в иностранной валюте, проведенных банками до 14 августа 1998 г., использовать валютный курс по состоянию на 14 августа 1998 г.; ♦ выдал ряду коммерческих банков стабилизационный кредит; ♦ установил срок действия особого режима регулирования до 1 июля 1999 г. Таким образом, Банк России продемонстрировал свою ведущую и стабилизирующую роль в условиях нестабильности всей финансовой системы и способность управлять банковской системой даже в самых критических условиях. В июле 1999 г. был принят Федеральный закон «О реструктуризации кредитных организаций», предусматривающий создание Агентства по реструктуризации кредитных организаций (АРКО) с целью осуществления мероприятий по реструктуризации кредитных организаций, обеспечения их стабильного функционирования и восстановления доверия кредиторов, в т. ч. вкладчиков, к кредитным организациям. Для реализации поставленных задач Агентство получает право осуществлять следующие виды деятельности: ♦ приобретение контрольных пакетов (долей в уставном капитале) банков, утративших капитал, и осуществление управления этими банками; ♦ принятие в залог и в управление пакетов акций (долей в уставном капитале) банков, осуществление управления этими пакетами; ♦ участие в капитале банков, подвергающихся реструктуризации, представление интересов государства в этих банках, оказание им экономической поддержки; ♦ участие в разработке и реализации планов финансового оздоровления банков, подвергающихся реструктуризации; ♦ управление активами, приобретение, реализация и посредничество при реализации активов ликвидируемых банков; ♦ отстранение от руководства кредитной организацией лиц, допустивших потерю кредитной организацией капитала либо препятствующих ее оздоровлению; ♦ привлечение необходимых финансовых ресурсов от российских и иностранных инвесторов, в том числе путем выпуска ценных бумаг, как для реализации мероприятий по реструктуризации . банков, так и для организации своей деятельности. При этом ряд функций и задач АРКО являются несвойственными ни Правительству РФ, ни Центральному банку. К таким функциям, например, относятся выкуп, управление и реализация проблемных активов кредитных организаций, поэтому и возникла необходимость создания административно независимой от государственных органов и Центрального банка организации для осуществления мер по реструктуризации банковской системы. С целью углубления процесса реструктуризации кредитных организаций Центральный банк РФ использует все предоставленные ему полномочия для ограничения деятельности находящихся в слабом финансовом положении банков, проведения реструктуризации и отзыва лицензий неплатежеспособных банков. Среди 18 банков, анализ финансового положения которых был проведен в 1998-1999 гг., Банк России выделил неплатежеспособные банки, которые не имели достаточного потенциала для подготовки и успешной реализации планов по реструктуризации, отозвал у них лицензии и в кратчайшие сроки приступил к процедуре банкротства или ликвидации. По отношению к остальным несостоятельным банкам Банк России будет: ♦ назначать в них временных управляющих; ♦ передавать их в ведение АРКО. В течение 3 месяцев после передачи этих банков в АРКО Агентство определит по каждому банку, может ли он быть реструктурирован или должен быть незамедлительно ликвидирован; ♦ у банков, подлежащих ликвидации, отзывать лицензии и начинать процедуру их банкротства или ликвидации в соответствии с Федеральным законом «О несостоятельности (банкротстве) кредитных организаций». Поддержание ликвидности банков поддерживается с использованием существующих стандартных механизмов (ломбардный кредит, кредит «овернайт», внутридневной кредит, РЕПО) только при наличии залогового обеспечения и только по отношению к платежеспособным банкам или тем банкам, которые осуществляют планы реструктуризации, утвержденные АРКО. В целях оперативного изъятия излишней ликвидности банковской системы и снижения тем самым давления на валютный рынок Банком России в 1999 г. проводились операции по приему денежных средств кредитных организаций в депозит. В течение года Банк России постепенно расширял перечень депозитных операций, увеличивая спектр краткосрочных рублевых инструментов. Если первоначально средства коммерческих банков привлекались сроком на один день, 1 неделю и 2 недели, то к концу 1999 г. — на месяц и 3 месяца. До настоящего времени прием средств в депозит осуществлялся только с использованием системы « Рейтере-ди-линг», основное преимущество которой — оперативность совершения сделок. Согласно данной схеме, в депозитных операциях Банка России принимают участие региональные банки, имеющие филиалы в Московском регионе и располагающие системой «Рейтерс-дилинг». С 10 ноября 1999 г. Банк России приступил к проведению депозитных операций на аукционной основе, что предполагает участие более широкого круга региональных банков. Свободные средства коммерческих банков принимаются на срок «1 неделя» с максимальной процентной ставкой 7 % годовых, «2 недели» — 12 % годовых, «1 месяц» — 18 % годовых. Минимальная сумма средств, принимаемых Банком России в депозит, установлена в размере 5 млн руб. Одновременно, в соответствии с решением Совета Директоров Банка России от 29 октября 1999 г., Банк России в ноябре 1999 г. осуществил размещение трех выпусков облигаций Банка России со сроками обращения 3, 4 и 5 месяцев, объем каждого выпуска — 2 млрд руб. Операции по купле-продаже облигаций Банка России производятся через официально зарегистрированных дилеров. Принятие Федерального закона «О несостоятельности (банкротстве) кредитных организаций» позволило Банку России активизировать работу по отзыву лицензий у банков с неудовлетворительным финансовым состоянием, руководством и собственниками которых не принимаются реальные меры по финансовому оздоровлению (санации). Банк России планирует ввести более жесткие критерии лицензирования банков. Такие критерии будут включать: ♦ изменения в порядке расчета первоначального капитала; ♦ исключение перекрестного владения акциями как источника капитала; ♦ оценку жизнеспособности плана развития банка; ♦ оценку прозрачности корпоративных групп акционеров. Эти критерии будут распространены на любого акционера, владеющего прямо или опосредованно более чем 5 % капитала банка или способного оказывать аналогичное влияние на деятельность банка. Руководствуясь этим принципом и в соответствии с международной практикой лицензирования банков, акционеры, способствовавшие своей деятельностью доведению банка до несостоятельности, будут исключены из состава акционеров любых банков. Меры Центрального банка РФ в совокупности позволят провести реструктуризацию банковской системы таким образом, чтобы максимально сохранить потенциал российской банковской системы, повысить ее надежность, устойчивость, способность эффективно обслуживать потребности экономики.
Глава 4 РАСЧЕТНО-КАССОВЫЕ ОПЕРАЦИИ
После изучения этой главы вы узнаете, что: 1. Расчетный счет — счет для осуществления предпринимательской деятельности, который открывается предприятиям, работающим на принципах коммерческого расчета и имеющим статус юридического лица. 2. Безналичные расчеты — это денежные расчеты, при которых платежи осуществляются без участия наличных денег путем перечисления денежных средств со счета плательщика на счет получателя. 3. Межбанковские расчеты — расчеты, осуществляемые банками на основании отношений, установленных между ними, или в соответствии с заключенными с клиентами договорами на расчетно-кассовое обслуживание. 4. Корреспондентские отношения — отношения между двумя или несколькими кредитными учреждениями при осуществлении платежей и расчетов одним из них по поручению и за счет другого. 5. Корреспондентский счет — счет, который на основании заключенного договора о корреспондентских отношениях отражает расчеты, произведенные одним банком по поручению и за счет другого кредитного учреждения. 6. Межбанковский клиринг — система безналичных расчетов между банками путем зачета взаимных денежных требований юридических лиц. 7. Кассовые операции — деятельность банка, связанная с инкассацией, хранением и выдачей наличных денег. Вы сможете: 1. Охарактеризовать порядок открытия и закрытия банковского счета. 2. Провести различия между расчетными и текущими счетами. 3. Перечислить основные положения договора по расчетно-кассовому обслуживанию, заключаемому между банком и клиентом. 4. Назвать реквизиты расчетных документов. 5. Указать очередность списания денежных средств со счета. 6. Раскрыть сущность и особенности межбанковских расчетов. 7. Охарактеризовать сущность кассовых операций банков.
4.1. РАСЧЕТНО-КАССОВЫЕ ОПЕРАЦИИ КАК ОДНА ИЗ ВАЖНЕЙШИХ ОПЕРАЦИЙ КОММЕРЧЕСКОГО БАНКА
Расчетно-кассовые операции — ведение счетов юридических и физических лиц и осуществление расчетов по их поручению. Учитывая, что для юридических лиц в нашей стране хранение средств в коммерческих банках является обязательным, функция расчетно-кассового обслуживания является одной из приоритетных в деятельности коммерческого банка. Коммерческий банк заинтересован в привлечении юридических лиц на расчетно-кассовое обслуживание. Это связано с тем, что деньги, находящиеся на банковском счете, представляют собой привлеченные средства коммерческого банка, в соответствии с объемом которых строится его предпринимательская деятельность. Наряду с расчетно-кассовым обслуживанием коммерческий банк может предложить широкий круг операций, в которых заинтересовано юридическое лицо: доверительное управление имуществом и портфелем ценных бумаг, консультационное обслуживание, кредитование и др. Вместе с тем выбор клиентом коммерческого банка для расчетно-кассового обслуживания обязывает и коммерческий банк к обеспечению высокого качества оказания расчетных услуг, которые должны выполняться своевременно, экономично, надежно. Поскольку контакты с банком по расчетно-кассовому обслуживанию регулярны, то в зависимости от качества работы банка клиенты принимают решение о целесообразности дальнейшего сотрудничества с банком, о формах такого сотрудничества, о степени обоснованности установленных банком тарифов на расчетно-кассовые услуги. Именно поэтому организация расчетно-кассового обслуживания является «визитной карточкой» любого банка.
4.2. ПОРЯДОК ОТКРЫТИЯ, ПЕРЕОФОРМЛЕНИЯ И ЗАКРЫТИЯ СЧЕТА. ВИДЫ СЧЕТОВ
После открытия клиентом счета в коммерческом банке банк предоставляет набор услуг, связанных с: ♦ открытием и ведением расчетного, текущего и других счетов клиента; ♦ организацией и проведением безналичных расчетов; ♦ выполнением операций с наличными деньгами.
Порядок открытия и круг операций, осуществляемых с расчетного или текущего счета, регламентируется Центральным банком России, а механизм функционирования соответствующего счета (возможность овердрафта и т. д.) определяется коммерческим банком по согласованию с конкретным клиентом и закрепляется договором по расчетно-кассовому обслуживанию. В соответствии с договором банк принимает на себя ряд обязательств: ♦ проводить по счету клиента в пределах своей компетенции все виды банковских операций, предусмотренных действующим законодательством; ♦ обеспечивать сохранность всех денежных средств, поступивших на счет клиента; ♦ проводить операции по списанию средств со счета клиента по безналичным расчетам по его поручению; ♦ обеспечивать конфиденциальность информации о хозяйственной деятельности клиента и операциях, проводимых по его счету; ♦ выдавать клиенту выписки с его счета. Расчетный, текущий или любой другой счет может открываться клиенту как за отдельную плату, так и бесплатно. За услуги по расчетному обслуживанию банк взимает с клиента плату в размере установленного договором фиксированного процента от суммы совершаемого платежа. Открытие расчетного счета в банке бесплатно предполагает, что последний сможет предоставлять клиенту широкий набор и других, платных, услуг, что компенсирует затраты на бесплатное проведение операций по расчетному счету. Согласно российскому законодательству (Закон РФ «О банках и банковской деятельности» (ст. 30)), клиент имеет право на свободный выбор банка для расчетно-кассового обслуживания и может открывать столько счетов, сколько ему необходимо. На основании договора открываются: ♦ расчетные счета: коммерческим организациям и гражданам, имеющим статус предпринимателя; ♦ текущие счета: бюджетным организациям и, как правило, филиалам, представительствам, отделениям и другим обособленным подразделениям юридических лиц на основании их ходатайства и с указанием, какого рода операции будут производиться по этим счетам. an Расчетный счет — счет для осуществления предпринимательской деятельности, который открывается предприятиям, работающим на принципах коммерческого расчета и имеющим статус юридического лица. По этому счету осуществляются все операции, связанные с реализацией товаров и услуг, обеспечением их производства, производственными и иными расходами. На этот счет зачисляется выручка. С этого счета списываются деньги для выдачи заработной платы, оплаты стоимости приобретаемых комплектующих и др., уплачиваются налоги. Этот счет позволяет совершать практически любые операции, поскольку владелец сам определяет направления использования средств, время и размеры производимых операций в соответствии с действующим законодательством. Кроме того, выделяют следующие разновидности расчетного счета: ♦ счет для осуществления совместной деятельности; ♦ счет для выполнения работ по соглашениям о разделе продукции. Особенностью счета для осуществления совместной деятельности является множественный состав его владельцев; конкретное содержание счета определяется договором о совместной деятельности (до 01.03.96 г.) или договором о простом товариществе. Счетом может распоряжаться один из участников договора, все участники в равной степени или все совместно. Совместное распоряжение счетом не распространено, поскольку предполагает получение согласия всех владельцев по каждому отдельному платежу. По счету осуществляются все операции, связанные с осуществлением совместной деятельности. Счет открывается и закрывается в соответствии с договором. Счет для выполнения работ по соглашениям о разделе продукции открывается в отечественных и зарубежных банках в соответствии с Законом РФ «О соглашениях о разделе продукции» от 30.12.95 г. (ст. 15); особенностью этого счета является использование его исключительно для выполнения указанных работ. Этот счет открывается в рублях и в иностранной валюте. Для иностранных инвесторов предусматривается специальный порядок открытия и режим обслуживания счета, который по своей природе отнесен к валютным операциям. По счету для выполнения работ по соглашениям о разделе продукции осуществляются операции по зачислению и хранению выручки, выплате налога на прибыль, платежам за пользование недрами. Остаток средств инвестор использует свободно по своему усмотрению. Если выручка получена в валюте, то правило об обязательной продаже и зачислении рублевого эквивалента на счет в случае использования счета для выполнения работ по соглашениям о разделе продукции не действует. Текущий счет — это счет для финансирования некоммерческих юридических лиц, представительств, структурных подразделений, не осуществляющих предпринимательской деятельности. Текущий счет предназначен для хранения денег, целевого финансирования его владельца, а также расчетных операций. По сравнению с владельцем расчетного счета самостоятельность владельца текущего счета существенно ограничена, поскольку он распоряжается средствами на текущем счете в строгом соответствии со сметой, утвержденной вышестоящей организацией. По текущим счетам допускается совершение операций расчетного счета. Так, зрелищным предприятиям по месту гастролей открываются текущие счета, на которые зачисляется выручка. Разновидностями текущего счета являются: ♦ бюджетные счета, ♦ инвестиционные и конверсионные счета. Бюджетные счета — это счета, открываемые предприятиям и организациям при выделении им денежных средств из федерального, регионального или местного бюджетов для осуществления определенных видов деятельности. Формой предоставления денежных средств могут быть субсидии, субвенции, дотации или иные виды государственных ассигнований и финансирования, если оно не осуществляется путем зачисления денег на текущий или расчетный счет. Особенностью этого вида счета являются два признака: ♦ целевое назначение зачисляемых денег, контролировать которые по общему правилу должен собственник денег или лицо (орган), которому это поручено, хотя нередко такой контроль незаконно возлагают на банки; ♦ ограниченный срок существования счета, составляющий один год, поскольку бюджет в России утверждается ежегодно, и это означает, что в конце года такие счета должны быть закрыты, а остатки п« ним перечислены в бюджет. Инвестиционные и конверсионные счета — это счета, владельцами которых являются предприятия по учету средств федерального бюджета, предоставляемых на возвратной и платной основе на финансирование конверсионных и инвестиционных программ. Открытие таких счетов санкционировано Указом Президента РФ от 7 сентября 1995 г. «Об открытии отдельных текущих счетов по учету средств федерального бюджета, предоставляемых на возвратной и платной основе для финансирования конверсионных и инвестиционных программ». Для открытия расчетного (текущего или иного) банковского счета клиент представляет в банк, в соответствии с действующим законодательством и банковскими правилами и обычаями, следующие документы: ♦ заявление на открытие счета; ♦ копии устава, учредительного договора, протокола № 1 общего собрания, свидетельства о регистрации предприятия, приказа о назначении главного бухгалтера; ♦ справки о присвоении кодов (из Государственного комитета по статистике) и постановке на учет (из территориальных органов Министерства по налогам и сборам РФ); ♦ копии документов, подтверждающие регистрацию в Пенсионном фонде, Фонде занятости населения, Фонде обязательного медицинского страхования, Фонде социального страхования; ♦ две карточки с образцами подписей и оттиска печати. Учредительные документы должны быть удостоверены нотариальными или регистрирующими органами. При заполнении банковских карточек подписи фиксируются только в присутствии нотариуса или должностного лица вышестоящей организации. Банковские карточки могут быть заполнены так же как и заявление — от руки. Право первой подписи принадлежит руководителю предприятия или его заместителю, право второй — главному бухгалтеру, а при отсутствии этой должности в штате — лицу, на которое возложено ведение бухгалтерского учета. Предоставление права подписания документов указанным лицам должно быть оформлено приказом по предприятию. Наличие этих двух подписей на расчетных документах — важнейшее условие для принятия их к исполнению банком. Если на предприятии вместо должности главного бухгалтера предусмотрена должность с иным названием, то об этом должна быть сделана отметка в карточке. Если в штате предприятия нет должности бухгалтера или лица, выполняющего его функции, фиксируется лишь подпись руководителя. В случае открытия подразделению расчетного субсчета вместе с банковскими карточками в банк представляются приказ головного предприятия о создании подразделения и заявление с перечислением тех операций, которые разрешается совершать по этому субсчету. При открытии и расчетного субсчета, и текущего счета в банк также представляется утвержденный головной организацией устав подразделения. Банковские карточки в случае открытия расчетного субсчета и текущего счета заверяются вышестоящей организацией, ее печатью, нотариальное заверение при этом не требуется. Кредитная организация (банк) открывает клиенту банковский счет на условиях, согласованных с обеими сторонами. Кредитная организация не вправе отказать клиенту в открытии счета, если совершающиеся по нему операции предусмотрены законом, учредительными документами и лицензией банка, за исключением тех случаев, когда такой отказ вызван отсутствием у банка технической и производственной возможности принять на расчетно-кассовое обслуживание. Открытие счета происходит на основании договора о расчетно-кассовом обслуживании, заключаемом между банком и клиентом. В соответствии с заключенным договором банк берет на себя обязательства: ♦ по своевременному комплексному расчетно-кассовому обслуживанию в соответствии с действующими нормативно-правовыми документами (проведение расчетов, выдача денежных и расчетных чековых книжек, выписок из лицевых счетов, осуществление почтовых и телеграфных услуг и др.); ♦ по обеспечению сохранности всех денежных средств, поступивших на счет клиента, и возврата их по первому требованию клиента, что гарантируется всем движимым и недвижимым имуществом банка, его денежными фондами и резервами, а также мерами, осуществляемыми им для обеспечения своей стабильности и ликвидности; ♦ по обеспечению банковской тайны о счетах и операциях клиента. Клиент соответственно обязуется: ♦ представлять в банк документы, необходимые для открытия и ведения счета; ♦ соблюдать действующее законодательство и имеющие обязательную юридическую силу для банков и юридических лиц, осуществляющих расчеты, нормативные акты по вопросам расчетного обслуживания, осуществления безналичных расчетов и кассовых операций; ♦ представлять в банк в установленные сроки бухгалтерскую и статистическую отчетность и другие документы, необходимые для организации расчетно-кассового обслуживания; ♦ предварительно в письменной форме уведомить банк о закрытии счета и др. Как правило, расчетно-кассовое обслуживание осуществляется банками платно. В этом случае в договоре предусматривается специальный раздел о стоимости услуг и порядке расчетов за них. В договорах может предусматриваться плата за открытие счета, комиссионные за операции по расчетному счету (определенный процент от суммы дебетового оборота или от количества и вида обрабатываемых документов), за кассовое обслуживание клиентов (определенный процент от суммы выдаваемой наличности). Договор может включать размер процентной ставки, уплачиваемой клиентами за стабильный минимальный или средний остаток средств на расчетном счете клиента. В договоре на расчетно-кассовое обслуживание предусматривается ответственность обеих сторон за невыполнение взятых на себя обязательств. Так, банк несет ответственность за несвоевременное или неправильное списание средств со счета клиента или зачисление банком сумм, причитающихся клиенту. Клиент, в свою очередь, несет ответственность: ♦ за достоверность документов, представляемых для открытия счета и ведения операций по нему; ♦ за несвоевременное предоставление кассового прогноза на предстоящий квартал; ♦ за нарушение сроков оплаты услуг, оказываемых банком; ♦ за неполучение наличных денег, забронированных банком для него в день, указанный в заявке, и др. В договоре могут фиксироваться размеры штрафов за каждое из перечисленных нарушений как для одной, так и для другой стороны. В договоре предусматривается порядок разрешения споров, срок его действия и особые или дополнительные условия. После предоставления всех указанных документов на открытие счета, подписания договора на расчетно-кассовое обслуживание по распоряжению управляющего банком счету предприятия присваивается номер и заводится лицевой счет для учета его средств. При переоформлении счета в связи с реорганизацией (слияние, присоединение и т. д.) в банк представляются те же документы, что и при открытии счета. При изменении наименования или подчиненности необходимо не позднее месяца со дня переименования или изменения подчиненности представить заявление владельца счета о соответствующих изменениях и копию данного решения. Закрытие счета может быть осуществлено по решению владельца счета, собственника имущества предприятия, банка, арбитражного суда. По инициативе клиента договор банковского счета может быть расторгнут в любое время и без всяких условий. Банк может расторгнуть договор о расчетно-кассовом обслуживании в следующих случаях, если это специально предусмотрено договором: ♦ несоблюдение требования минимального размера остатка по счету; ♦ в течение месяца со дня предупреждения об этом клиента банка; ♦ при отсутствии операций по счету в течение года. Прекращение договорных отношений осуществляется в два этапа: (1) расторжение договора; (2) закрытие счета. В семидневный срок после расторжения договора остаток, имеющийся на счету, должен быть либо выдан клиенту, либо перечислен на другой счет. Счет может быть закрыт при признании предприятия банкротом, в случае принятия решения о запрете деятельности данного субъекта хозяйствования и в других предусмотренных законом случаях: при изменении характера деятельности, связанном с утратой хотя бы одного из признаков, необходимых для данного вида счета; по решению органа, создавшего предприятие. При переходе предприятия на расчетное обслуживание в другой банк необходимо поставить в известность свой банк. В этом случае в новый банк перечисляются остатки средств по счетам, передаются документы по открытию расчетного счета, неоплаченные документы. Если у предприятия имеется кредитная задолженность перед банком, то при переходе на обслуживание в другой банк оно обязано возвратить ссуду или получить согласие банка-кредитора на переоформление обязательств по погашению кредита без изменения сроков. Кроме договора банковского счета между предприятием и банком может быть заключен договор банковского вклада, по которому банк берет на себя обязательства хранения денежных средств, выплаты по ним доходов, возвращения данных сумм по требованию, выполнения поручений вкладчика по расчетам по вкладу. Вклад может быть внесен предприятием на определенный срок, с правом досрочного получения под меньший процент дохода либо для целевого использования данных средств в соответствии с поручением предприятия. Банковский вклад может быть оформлен депозитным сертификатом, который представляет собой письменное свидетельство банка о вкладе, удостоверяющее право вкладчика или его преемника на получение суммы депозита и процентов по нему по истечении установленного срока.
4.3. ОРГАНИЗАЦИЯ БЕЗНАЛИЧНЫХ РАСЧЕТОВ: ОБШИЕ ПОЛОЖЕНИЯ
В отличие от наличного денежного оборота сущность безналичного денежного оборота состоит в том, что платежи производятся путем перечисления (перевода) денег со счета плательщика на счет получателя в учреждениях коммерческих банков. Расчеты между предприятиями осуществляются, как правило, в безналичном порядке. Таким образом, безналичные расчеты — это денежные расчеты, при которых платежи осуществляются без участия наличных денег путем перечисления денежных средств со счета плательщика на счет получателя. Предприятия вправе использовать любую из возможных форм расчетов исходя из собственных интересов с закреплением выбранной формы в договорных отношениях с партнерами. Банки хранят денежные средства предприятий на счетах, зачисляют поступающие на эти счета суммы, выполняют распоряжения предприятий об их перечислении и выдаче со счетов, а также о проведении других банковских операций, предусмотренных банковскими правилами или договором. Безналичные денежные расчеты осуществляются при соблюдении следующих условий: Ф плательщик имеет право отказаться от оплаты предъявленного документа полностью или частично в случаях, предусмотренных законом или договором; ♦ без согласия плательщика или его поручения списание средств со счетов, как правило, не допускается; ♦ платежи осуществляются из собственных средств плательщика, а в отдельных случаях — за счет кредита банка и прочих привлеченных средств; ♦ средства на счета получателя зачисляются лишь после их списания со счета плательщика; ♦ плательщик выполняет правила документооборота, разработанные ЦБ РФ и определяющие движение денег и денежных документов.
Общий срок безналичных расчетов не должен превышать двух операционных дней в пределах субъектов федерации, пяти операционных дней в пределах РФ.
Денежные документы для осуществления безналичных расчетов должны соответствовать требованиям установленных Банком России стандартов.
При безналичных расчетах допускается использование платежных поручений, чеков, аккредитивов, инкассо. Вместе с тем, учитывая традиционно сложившиеся отношения поставщиков с покупателями, банки в соответствии с заключенными договорами вправе принимать платежные требования. Банки не несут ответственность за начисление и взимание пени, поскольку установлено, что при несвоевременной оплате поставленной продукции покупатель (плательщик) уплачивает пеню в порядке, предусмотренном в договоре между поставщиком (получателем) и покупателем (плательщиком).
По согласованию между предприятиями могут производиться зачеты взаимной задолженности, минуя банки. В этом случае в банк представляется платежный документ на незачтенную сумму.
Все безналичные расчеты производятся через банк на основании расчетных документов, которые представляют оформленные в соответствии с установленными стандартами распоряжения предприятия (владельца счета) на перечисление средств. Расчетные документы должны содержать следующие реквизиты:
♦ наименование расчетного документа;
♦ номер документа, число, месяц, год его выписки,
♦ наименование банка плательщика, его ИНН (индивидуальный номер налогоплательщика). В тексте может быть проставлено и фирменное обозначение;
♦ наименование плательщика, его ИНН, номер его счета в банке;
♦ наименование получателя средств, номер его счета в банке;
♦ наименование банка получателя, его ИНН, номер счета получателя средств, его ИНН. При этом допускается сокращение наименования плательщика и получателя, если это не затрудняет работу банков и клиента;
♦ назначение платежа (в чеке не указывается), которое может быть указано как текстовым наименованием, так и кодовым обозначением;
♦ сумму платежа, обозначенную цифрами и прописью;
♦ на первом экземпляре независимо от способа изготовления расчетного документа проставляются подписи и оттиск печати. Расчетные документы принимаются банком к исполнению, если на их первом экземпляре имеются две подписи лиц, уполномоченных распоряжаться счетом, и оттиск печати, образцы которых ранее были сообщены банку. Если платежи производятся предпринимателем без образования юридического лица, банк принимает расчетные документы при наличии одной подписи и при отсутствии оттиска печати.
Расчетные документы принимаются банком к исполнению независимо от суммы платежа. Прием документов от предприятий производится банком в течение времени, установленного кредитным учреждением для работы с клиентами. При этом документы, принятые банком от предприятий в операционное время, должны проводиться по балансу в тот же день.
Платежные документы выписываются с использованием технических средств в необходимом банку количестве экземпляров для всех участвующих в расчете сторон. Помарки и подчистки в расчетных документах не допускаются. Расширяется по сфере охвата использование автоматизированных систем «Банк-Клиент», сфера электронных платежных документов.
Списание средств со счета плательщика производится только на основании первого экземпляра расчетного документа, если иное не оговорено указаниями Центрального банка России.
Таким образом, при заключении договоров из нескольких возмож-i ных форм расчетов плательщик и получатель средств выбирают конкретную приемлемую для них форму. Банк не имеет права контролировать способ расчета или первоочередность осуществления платежей за исключением случаев, предусмотренных законодательством.
В процессе осуществления расчетных операций банк обязан соблюдать установленную законодательством очередность платежей. В настоящее время действует календарная очередность платежей. При недостаточности денежных средств на счете для удовлетворения всех предъявленных требований списание осуществляется в очередности,
предусмотренной ст. 855 Гражданского Кодекса РФ «Очередность списания денежных средств со счета». В первую очередь осуществляется списание по исполнительным документам, предусматривающим перечисление или выдачу денежных средств со счета для удовлетворения требований о возмещении вреда, причиненного жизни и здоровью, а также требований о взыскании алиментов. Во вторую очередь производится списание по исполнительным документам, предусматривающим перечисление или выдачу денежных средств для расчетов по выплате выходных пособий и оплате труда с лицами, работающими по трудовому договору, в том числе по контракту, по выплате вознаграждений по авторскому договору. В третью очередь производится списание по платежным документам, предусматривающим платежи в бюджет и во внебюджетные фонды. В четвертую очередь производится списание по исполнительным документам, предусматривающим удовлетворение других денежных требований. В пятую очередь производится списание по другим платежным документам в порядке календарной очередности. При этом списание средств со счета по требованиям, относящимся к одной очереди, производится в порядке календарной очередности поступления документов. Взаимные претензии по расчетам между плательщиком и получателем средств рассматриваются сторонами без участия кредитных организаций через суд.
4.4. ОРГАНИЗАЦИЯ МЕЖБАНКОВСКИХ РАСЧЕТОВ
Все расчеты между предприятиями при участии банка можно условно разделить на следующие группы: ♦ расчеты между предприятиями, счета которых открыты в одном банке; ♦ расчеты между предприятиями, счета которых открыты в разных банках, обслуживаемых одним расчетно-кассовым центром (РКЦ); ♦ расчеты между предприятиями, счета которых открыты в банках, обслуживаемых разными РКЦ. Рассмотрим каждую из групп. В случае, если расчетные счета плательщика и получателя находятся в одном банке, зачисление средств со счета плательщика на счет получателя производится самим банком в пределах банковского дня. Как показывает практика, доля таких расчетов в общем объеме расчетов, осуществляемых банком по поручению клиентов, занимает незначительное место. В расчетах между предприятиями, с финансовыми органами, с внебюджетными фондами ведущее место занимают расчеты с участием двух банков. В этом случае говорят о межбанковских расчетах. Таким образом, межбанковские расчеты — это расчеты, осуществляемые банками на основании отношений, установленных между ними, или в соответствии с заключенными с клиентами договорами на расчетно-кассовое обслуживание. Согласно Положению ЦБ РФ от 25.11.95 г. № 5-П «О проведении безналичных расчетов кредитными организациями в Российской Федерации» (с последующими изменениями и дополнениями) расчеты в безналичном порядке между кредитными организациями, филиалами могут производиться через: ♦ кредитные организации по корреспондентским счетам «ЛОРО» и «НОСТРО»; ♦ расчетную сеть Банка России; ♦ небанковские кредитные организации, осуществляющие расчетные операции; ♦ внутрибанковскую расчетную систему (счета межфилиальных расчетов) Расчеты через корреспондентские счета, открываемые в других банках Для проведения платежей и расчетно-кассового обслуживания клиентов банки могут устанавливать между собой договорные отношения, так называемые корреспондентские отношения. Корреспондентскими отношениями называются отношения между двумя или несколькими кредитными учреждениями при осуществлении платежей и расчетов одним из них по поручению и за счет другого. Данные отношения могут иметь место между банками внутри страны и за ее пределами. Банки могут быть связаны корреспондентскими отношениями со множеством кредитных учреждений. Существует два вида корреспондентских отношений банка: с взаимным установлением корреспондентских отношений и без них. Обычно небольшие банки открывают корреспондентские счета в более крупных банковских учреждениях. Банковское учреждение может рассчитываться со своим корреспондентом по выставленному им поручению по счету, открытому данным кредитным учреждением у корреспондента или по счету, открытому корреспондентом в данном кредитном учреждении, а также по счетам данного банка и его корреспондента в третьем кредитном учреждении. В первом случае имеют место отношения между корреспондентами со счетом, во втором — между корреспондентами без счета. Корреспондентские счета открываются на добровольной основе банковскими учреждениями, которые являются юридически самостоятельными. Корреспондентские отношения коммерческих банков с Центральным банком РФ строятся на более жесткой основе. Корреспондентский счет — это счет, расчеты с которого производятся одним банком по поручению и за счет другого кредитного учреждения. Корреспондентский счет открывается на основании заключенного договора о корреспондентских отношениях. Корреспондентские счета подразделяются на два вида: счет «НОСТРО» (наш счет у Вас) и счет «ЛОРО» (Ваш счет у нас). Счета типа «НОСТРО» открываются каким-либо банком в банках-корреспондентах, а счета типа «ЛОРО» — на имя его банков-корреспондентов. Эти счета могут открываться в одностороннем порядке и на взаимной основе. Причем счет «НОСТРО» в одном кредитном учреждении является счетом «ЛОРО» у банка-корреспондента. Платежи по корреспондентским счетам, условия которых оговариваются в заключенном договоре, могут осуществляться в пределах остатка денежных средств на счете либо с превышением этого остатка, но за счет представленного по счету кредита (так называемого овердрафта). Размер остатка средств в банках-корреспондентах зависит от характера и объема услуг, которые предоставляет корреспондент. Оплачивается пользование корреспондентским счетом, как правило, поддержанием минимального остатка средств на счете и частично — посредством выплаты комиссионного вознаграждения. При этом кредитные ресурсы на корреспондентских счетах представляют собой депозиты до востребования. Поэтому остатки средств по указанным счетам поддерживаются на минимальном уровне, который необходим для осуществления расчетных операций.
Расчеты через расчетную сеть Банка России
Расчетная сеть Банка России представляет собой совокупность расчетно-кассовых центров, на которые возложены функции обеспечения проведения платежей в банковской системе. Каждый коммерческий банк должен иметь корреспондентский счет в каком-либо РКЦ. Расчетно-кассовые центры являются посредниками при проведении расчетных операций между банками. Кроме проведения расчетов РКЦ занимаются кредитованием банков, кассовым обслуживанием, финансиро- вани-ем инвестиций за счет бюджетных средств и др. Расчеты между самими коммерческими банками фиксируются по их корреспондентским счетам, открытым в РКЦ. Если счета плательщика и получателя открыты в разных банках, обслуживаемых одним РКЦ, то банк списывает сумму со счета плательщика и дает поручение РКЦ о списании средств со своего счета для зачисления их на счет банка предприятия-поставщика. Наиболее сложной является ситуация, при которой банки предприятия-поставщика и предприятия-плательщика обслуживаются разными расчетно-кассовыми центрами. В этом случае используется система счетов межфилиальных оборотов (МФО), в которой РКЦ присваиваются определенные номера счетов по МФО, по которым фиксируются расчетные операции с клиентами, обслуживаемыми в других РКЦ. Расчеты по межфилиальным оборотам осуществляются посредством авизо по МФО, которые составляются и отправляются расчетно-кассовыми центрами в адрес других РКЦ для завершения межфилиальной операции. РКЦ, принимающие авизо, в свою очередь дают ответные проводки на всю сумму адресованных им авизо, за исключением дефектных. В случае отсутствия принадлежности авизо к определенному корсчету, его сумма отражается по счету средств, подлежащих выяснению. После проверки неправильно адресованные авизо возвращаются в РКЦ, откуда они поступили. Средства зачисляются на счета предприятий и организаций лишь при условии проведения данных операций по корреспондентским счетам их банков в обслуживающих их РКЦ. Осуществление расчетных операций по корсчетам ежедневно подтверждается выписками по ним со стороны расчетно-кассовых центров. Таким образом, не исключена ситуация, когда клиент банка, располагая необходимыми ресурсами на своем расчетном счете, не может осуществить платеж из-за недостатка средств на корсчете кредитного учреждения. Чтобы исключить задержку расчетов клиента, банки должны обеспечивать своевременное поступление необходимых средств на свои корреспондентские счета, поддерживать сумму средств на счетах в размере, необходимом для бесперебойной работы по расчетам с другими банками. Расчеты через внутрибанковскую расчетную сеть Учитывая тенденцию укрупнения банков, превращения их в многофилиальные структуры, Центральный банк РФ установил правила, регулирующие проведение расчетных операций филиалами кредитных организаций. Кредитная организация вправе открыть на имя филиала следующие счета для осуществления расчетных операций с предоставлением ему права распоряжения этими счетами и отражения операций по этим счетам на его балансе: ♦ корреспондентский субсчет в подразделении расчетной сети Банка России по месту расположения филиала; ♦ корреспондентские счета в других кредитных организациях и их филиалах; ♦ счета межфилиальных расчетов в головной организации, а также в любом из филиалов кредитной организации. При этом порядок открытия, закрытия счетов межфилиальных расчетов устанавливается банком самостоятельно, а их открытие и закрытие осуществляется по распоряжению руководителя кредитной организации на основании решения уполномоченного органа управления кредитной организации. Межбанковский клиринг Под клирингом понимается система безналичных расчетов за товары, услуги, ценные бумаги, основанная на зачете взаимных требований и обязательств. Межбанковский клиринг, в свою очередь, — это система безналичных расчетов между банками путем зачета взаимных денежных требований юридических лиц. По решению Центрального банка РФ организацию клиринговых расчетов могут брать на себя небанковские кредитные учреждения или клиринговые организации на основании лицензии, выданной Центральным банком РФ. Учредителями клирингового учреждения могут быть коммерческие банки, Центральный банк РФ, другие юридические и физические лица, за исключением органов власти, политических организаций, специализированных общественных фондов. Основными задачами клиринговой организации являются: ♦ ускорение и оптимизация расчетов между банками и иными кредитными организациями; ♦ повышение достоверности и надежности расчетов; ♦ развитие и обеспечение новых форм безналичных расчетов (чеков, векселей, пластиковых карт и др.); ♦ наиболее рациональное использование временно свободных ресурсов банков; ♦ внедрение современных международных технологий, стандартов, протоколов; ♦ создание современной информационной банковской инфраструктуры; ♦ надежная многоуровневая защита данных от несанкционированного доступа, использования, искажения и фальсификации на этапах обработки и хранения; ♦ контроль достоверности данных на всех этапах. В настоящее время приняты две модели организации клиринговых операций. Первая модель предусматривает проведение клиринга с предварительным депонированием средств на счетах участников взаимозачетов. Согласно второй модели клиринг осуществляется без депонирования средств на счетах участников клиринга. Клиринг может быть двусторонний, когда засчитываются требования двух банков, и многосторонний, когда в зачетных схемах участвуют три и более банков. При этом главная идея клиринга заключается в том, что только дебетовое сальдо, выявленное на лицевом счете по зачету; должно с определенной периодичностью погашаться реальными деньгами, которые передаются в распоряжение клирингового учреждения, и использоваться им для оплаты кредитового сальдо, образовавшегося у других участников клиринга.
4.5. КАССОВЫЕ ОПЕРАЦИИ
Одной из особенностей денежного обращения в России является высокий уровень наличных денег в обращении. По оценкам Госкомстата РФ, в последние пять лет он составляет выше 33 %. Основными причинами такого расширения налично-денежного оборота называют экономический кризис, кризис неплатежей, замедление расчетов, перевод расчетов в «черный нал». К числу существенных факторов следует отнести отсутствие традиций широкого использования таких платежных инструментов как чеки, пластиковые карты, а также низкие доходы населения. Большой объем сферы наличного денежного обращения определяет, с одной стороны, огромный объем кассовых операций, которые выполняются российскими коммерческими банками, а с другой — особую роль Центрального банка РФ в регулировании этой сферы денежного обращения. Так, на Центральный банк РФ ложится ряд обязанностей. Это: ♦ определение порядка ведения кассовых операций в народном хозяйстве; ♦ организация изготовления банкнот и монет; ♦ установление правил перевода, хранения и инкассации наличных денег; ♦ создание резервных фондов банкнот и металлической монеты; ♦ установление признаков платежеспособности денежных знаков, порядка замены или уничтожения поврежденных и ветхих банкнот. Важным показателем положительной деятельности коммерческого банка является бесперебойное кассовое обслуживание клиентов. При этом выдача предприятиям и организациям наличных денег является важнейшей обязанностью коммерческих банков. Таким образом, под кассовыми операциями понимается деятельность банка, связанная с инкассацией, хранением и выдачей наличных денег. В своей деятельности по кассовому обслуживанию клиентов коммерческие банки руководствуются Законом РФ «О банках и банковской деятельности», а также Порядком ведения кассовых операций, ут-вержденным Центральным банком РФ. Предприятия осуществляют операции с наличными деньгами в соответствии с «Порядком ведения кассовых операций в народном хозяйстве». Эти правила предусматривают, что предприятия могут иметь в кассе наличные деньги в пределах лимита, устанавливаемого банком по согласованию с руководителями предприятий. Денежную наличность сверх установленного лимита предприятие обязано сдавать в банк в порядке и в сроки, согласованные с обслуживающим его банком. Лимит остатка наличных денег в кассе предприятия устанавливается исходя из особенностей деятельности предприятия и инкассации выручки. Наличные деньги могут сдаваться: ♦ в дневные и вечерние кассы банков; ♦ инкассаторам; ♦ в объединенные кассы на предприятиях для последующей сдачи в банк; ♦ предприятиям связи для перечисления на счета банков на основе заключенных договоров. Сверх суммы установленного лимита деньги могут храниться в кассе предприятия в течение трех дней, включая день получения денег в банке. Нормы не устанавливаются лишь тем хозяйственным органам, которые имеют постоянную денежную выручку на закупку сельскохозяйственных продуктов, вещей для населения и на другие расходы подобного рода. Расходовать наличные деньги на нужды другого предприятия или давать их взаймы при этом запрещено. Вся денежная наличность в учреждениях банков распределяется на резервные фонды и оборотную кассу. Деньги резервных фондов считаются еще не выпущенными в обращение или изъятыми из обращения, поэтому в соответствии с действующими правилами использовать их можно лишь с разрешения Банка России. Деньги, находящиеся в оборотной кассе, считаются деньгами в обращении, и их выдача не требует дополнительных разрешений. При необходимости производить выплаты наличными деньгами (заработной платы или других платежей) предприятия получают наличные в банке по месту открытия расчетного счета. Наличные деньги выдаются при соблюдении следующих условий: ♦ при наличии средств на расчетном счете, если потребность в средствах в соответствии с установленными правилами должна удовлетворяться наличными деньгами (выдача средств на оплату труда, на закупку сельскохозяйственной продукции, командировочные и хозяйственные расходы); ♦ при наступлении сроков выплаты средств. Для приема и выдачи денег в каждом коммерческом банке создается отдел кассовых операций, в котором могут быть приходные, расходные, приходно-расходные, вечерние кассы, кассы для размена денег, кассы для пересчета денежной выручки. Касса пересчета выручки создается в тех банках, в которые поступает выручка через учреждения инкассации. Вечерние кассы организуют прием денег только в вечернее время. Банки принимают наличные деньги при личной явке клиентов и от инкассаторов. Для оприходования всех поступающих в банк наличных денег и выполнения расходных операций банки имеют оборотную кассу. Все поступившие до окончания операционного дня наличные деньги должны быть оприходованы в оборотную кассу и зачислены на соответствующие счета в тот же рабочий день. Из оборотной кассы происходит и выдача наличных денег предприятиям, организациям, учреждениям. Задачей коммерческого банка является обеспечение достаточной наличности для удовлетворения потребностей своих клиентов. Так как исключительное право выпуска и изъятия наличных денег из обращения принадлежит Центральному банку РФ, он в соответствии с Инструкцией № 31 по эмиссионно-кассовой работе в учреждениях Банка России от 16.11.95 г. организует кассовое обслуживание коммерческих банков, которое проводится через его расчетно-кассовые центры. Каждый коммерческий банк имеет корреспондентский счет в одном из учреждений Центрального банка — РКЦ. При получении наличных денег суммы выдаваемых коммерческому банку наличных денег списываются с его корреспондентского счета на основании оформленного банком платежного поручения или денежного чека. Если коммерческий банк сдает деньги в РКЦ, то деньги зачисляются на его корреспондентский счет. Кассовое обслуживание банков расчетно-кассовым центром организуется в соответствии с представленными коммерческими банками предварительными заявками. За 45-50 дней до начала каждого квартала коммерческий банк должен представить территориальному учреждению Банка России: прогноз ожидаемых поступлений на выдачу наличных денег, подкреплений или сдачи излишков расчетному центру в предстоящем квартале; график заезда инкассаторов. Таким образом, для составления предварительных заявок коммерческие банки должны знать о предстоящих в течение квартала денежных оборотах у своей клиентуры. Такую информацию они получают из заявок клиентов о предстоящих в квартале нуждах в наличных деньгах и их сумме, которую предполагается сдать в кассы коммерческого банка. При составлении таких прогнозов эмиссионно-кассовой деятельности коммерческие банки проводят специальное обследование денежного обращения, объемов предстоящих поступлений и выдач денег с учетом характера деятельности каждого клиента банка. Заявку на подкрепление своей операционной кассы коммерческий банк подает не позднее чем за пять дней до возникновения такой потребности. Чтобы заявки подавались своевременно, в коммерческом банке должны быть четко налажены работа' кассы и учет оборота денег. Взаимоотношения коммерческого банка и расчетно-кассового центра строятся на договорной основе. Договор предусматривает применение коммерческими банками единого порядка обработки и упаковки денежных билетов и монет, правил приема, передачи денег, формы доставки. В договоре также оговаривается предельный остаток денег в операционной кассе коммерческого банка. Остаток денег в операционной кассе, превышающий установленный предельный размер, подлежит сдаче в оборотную кассу расчетного центра или передаче другому коммерческому банку, нуждающемуся в подкреплении оборотной кассы. Как правило, приходные кассы принимают деньги по объявлению на взнос наличными деньгами, которое состоит из трех элементов, заполняемых клиентом,— объявления, квитанции, ордера. В объявлении указы-вают от кого принимаются деньги, на какой счет они зачисляются, сум-му цифрами и прописью, назначение взноса. Объявление используется не только при внесении денег на счет, но и при оплате банковских услуг наличными деньгами (за открытие счета, выдачу чековой книжки и др.). При операциях с наличными средствами используются денежные чеки, которые представляются в банк при снятии средств с расчетного счета (на заработную плату, пособия, командировочные расходы, хозяйственные нужды). Одновременно с заполнением чека его реквизиты переносятся на корешок, остающийся у предприятия в чековой книжке и являющий оправдательным документом. Чеки после их полного заполнения (указания суммы, заверения подписями и печатями) выдаются лицам, уполномоченным на получение средств. После принятия чека банк возвращает контрольную марку, по которой средства могут быть получены в назначенное время. Для улучшения и ускорения кассового обслуживания в банковской практике внедряются современные системы электронных банковских услуг с использование пластиковых карт и банкоматов, что позволяет снизить трудоемкость кассовых операций и повысить их надежность.
Глава 5 БАНКОВСКОЕ КРЕДИТОВАНИЕ
После изучения этой главы вы узнаете, что: 1. Кредит — это предоставление банком денег заемщику на срок с возвратом и за определенную плату. 2. Кредит — часть финансов и выполняет те же функции, что и финансы. 3. Кредит — это самостоятельная категория, имеющая свои специфические функции: а) аккумуляция временно свободных денежных средств; б) перераспределительная; в) замещение наличных денег безналичными деньгами в денежном обращении. 4. Банк предоставляет два вида кредита: финансовый и коммерческий. 5. Финансовый кредит — это прямая выдача денег заемщику. 6. Коммерческий кредит — это кредит, предоставленный продавцом покупателю в форме отсрочки или рассрочки платежа. 7. Формы предоставления финансового кредита следующие: срочный кредит, контокоррентный кредит, онкольный, ипотечный, ломбардный, синдицированный (консорциональный). 8. Формы предоставления коммерческого кредита следующие: фирменный кредит, учетный (вексельный), факторинг, форфетиро-вание, кредит по открытому счету, овердрафт, акцептный, акцепт-но-рамбурсный. 9. Видами обеспечения кредита являются поручительство, гарантия, залог, страхование ответственности заемщика за непогашение кредита. 10. Онкольный кредит — кредит, выдаваемый под обеспечение ценных бумаг и товаров и погашаемый по первому требованию банка. 11. Синдицированный кредит — это кредит, предоставляемый несколькими банками одному заемщику. 12. Учет векселя — это покупка векселя банком до наступления срока оплаты по нему. 13. Факторинг — финансирование под уступку денежного требования; разновидность кредитования оборотных средств, связанная с инкассированием дебиторской задолженности покупателя. 14. Форфетирование — форма кредитования экспорта путем покупки банком без оборота на продавца векселей по внешнеторговым операциям. 15. Овердрафт — кредит, предоставляемый путем списания банком денежных средств со счета клиента сверх наличия денег на счете. Вы сможете: 1. Составить классификацию кредитов с целью выбора наиболее оптимального вида кредита. 2. Определить набор документов, необходимых для получения финансового кредита в банке. 3. Определить величину учетного процента или учетной ставки по вексельному кредиту. 4. Рассчитать сумму платежа за факторинг. 5. Рассчитать сумму платежа и сумму дисконта по форфетирова-нию.
5.1. СУЩНОСТЬ И ФУНКЦИИ КРЕДИТА
Кредит представляет собой финансовую категорию, т. е. входит в систему финансов. Порядок и условия кредитования в Российской Федерации регулируются главой 42 «Заем и кредит» Гражданского Кодекса РФ. Кредит (лат. creditum — ссуда, долг, credere — верить) — это предоставление банком или кредитной организацией денег заемщику в размере и на условиях, предусмотренных кредитным договором, а заемщик обязуется возвратить полученную сумму и уплатить проценты по ней (ст. 819 ГК РФ). Таким образом, при кредите заимодавцем выступает банк или кредитная организация, а предметом займа являются только деньги. Этим кредит отличается от ссуды или займа. Ссуда — это передача вещи одной стороной (ссудодателем) в безвозмездное временное пользование другой стороне (ссудополучателю), которая обязуется вернуть ту же вещь в том же состоянии, в каком она ее получила, с учетом нормального износа или в состоянии, обусловленном договором (ст. 689 ГК РФ). Заем — передача одной стороной (заимодавцем) в собственность другой стороне (заемщику) денег или другой вещи с обязательством заемщика возвратить заимодавцу ту же сумму денег (сумму займа) или равное количество других полученных им вещей того же рода и качества (ст. 807 ГК РФ). Кредит представляет собой форму движения денежного капитала кредитора. Он обеспечивает превращение капитала кредитора (собственного или привлеченного в форме депозитных вкладов) в заемный капитал заемщика. Отношения по кредиту — это финансовые отношения между кредитором и заемщиком, связанные с кругооборотом капитала в целях приращения его величины. Сущность кредита проявляется в аккумуляции временно свободных денежных средств одного лица и передаче их за плату во временное пользование другому лицу. Сущность кредита проявляется в его функциях. Являясь частью финансов, кредит выполняет те же три функции, что и сами финансы: ♦ формирование денежных фондов и получение наличных денежных средств; ♦ использование денежных фондов и наличных денежных средств; ♦ контрольная функция. В то же время кредит является самостоятельной финансовой категорией и имеет свои специфические функции. Это: 1. Аккумуляция временно свободных денежных средств. 2. Перераспределительная функция. 3. Замещение наличных денег безналичными деньгами в денежном обращении. - Содержанием функции аккумуляции временно свободных денежных средств является постепенное накопление денег в течение определенного периода для инвестирования их одной суммой в определенное мероприятие в будущем. В основе данной функции кредита лежит движение денег по схеме: «сбережение — инвестирование». Постепенно накопляемые денежные средства могут оставаться свободными вплоть до момента их инвестирования. Эти свободные деньги являются источником кредитного капитала и могут предоставляться в кредит или взаймы. Содержанием перераспределительной функции кредита является осуществление перелива денежного капитала из одних отраслей и сфер предпринимательства в другие. Перелив всегда осуществляется из низкорентабельных сфер бизнеса в высокодоходные. Содержание функции замещения наличных денег безналичными деньгами в денежном обращении проявляет себя в процессе осуществления платежей и расчетов не наличными деньгами (банкнотами, монетами), а различными платежными средствами (банковскими переводами, чеками и т. д.). Замещение денег в обороте способствует ускорению их оборачиваемости в экономике страны.
5.2. ВИДЫ КРЕДИТА
В экономической литературе нет единой классификации кредитов. Наиболее распространенной классификацией является следующая: 1. По формам (кредиты бывают коммерческие, банковские, потребительские, государственные, ипотечные, международные); 2. По срокам (краткосрочные, среднесрочные, долгосрочные); 3. По видам обеспечения (обеспеченный и необеспеченный). Однако приведенная выше классификация базируется на хаотичных, бессистемных квалификационных признаках. Поэтому она не совсем правильна. Классификация любых экономический явлений, в том числе и классификация кредитов, должна быть научно обоснованной. Научно обоснованная классификация — это классификация, построенная на принципах таксономии и представляющая собой распределение экономических явлений (кредита) на конкретные группы по определенным признакам для достижения поставленной цели. Например, деление кредита по срокам является явно надуманным. На практике такого деления нет, основные условия кредитования одинаковы для взятия кредита на 1 год или на 10 лет. Квалификационные признаки представляют собой отличительные свойства данной группы кредитов, ее главную особенность. К квалификационным признакам следует отнести: ♦ сферу распространения кредита; ♦ цель предоставления кредита; ♦ обеспечение кредита. По сфере распространения кредиты делятся на международные и внутренние. Международный кредит предоставляется зарубежными банками, кредитными организациями, фондами, правительствами иностранных государств. Внутренний кредит предоставляется отечественными банками. По целевому признаку кредиты бывают: ♦ финансовые; ♦ коммерческие; ♦ товарные; ♦ инвестиционные налоговые; ♦ налоговые. Финансовый и коммерческий кредиты предоставляются в основном банками. Финансовый кредит означает прямую выдачу денег заемщику на условиях кредитного договора. Коммерческий кредит — это предоставление поставщиком (продавцом) продукции покупателю в форме отсрочки или рассрочки платежа за отправленный товар. Предоставление коммерческого кредита регулируется банком. Товарный кредит означает предоставление одной стороной другой стороне вещи, определенной рядовыми признаками (ст. 822 ГК РФ). Инвестиционный налоговый кредит представляет собой такое изменение уплаты налога, при котором хозяйствующему субъекту предоставляется возможность в течение определенного срока и в определенных пределах уменьшить свои платежи по налогу с последующей поэтапной уплатой сумм кредита и начисленных процентов. Налоговый кредит означает отсрочку или рассрочку по уплате налогов1. В зависимости от обеспечения кредиты бывают бланковыми, т. е. без обеспечения, и имеющими обеспечение.
5.3. ПРИНЦИПЫ КРЕДИТОВАНИЯ
Принципы кредитования — это основополагающие условия, на которых выдается кредит заемщику. Такими принципами кредитования являются: ♦ срочность; ♦ возвратность; ♦ платность. Принцип срочности означает, что кредит выдается на четко указанный срок. Этот срок оговаривается в кредитном договоре. Существует несколько способов указания срока погашения кредита, а именно: ♦ возврат всей суммы основного долга и процентов по нему по фиксированной ставке в четко установленные периоды времени; ♦ возврат суммы основного долга в четко определенные промежутки времени, для каждого из которых установлена своя процентная ставка, т. е. это кредит с плавающей процентной ставкой (ролл-оверный); ♦ возврат в четко установленные периоды времени только суммы процентов по кредиту и возврат по истечении срока действия кредитного договора всей суммы основного долга по кредиту; ♦ указывается не время возврата кредита и процентов по нему, а только условия их возврата. Например, возврат кредита по первому требованию кредитора (онкольный кредит), порядок погашения кредита (овердрафт, контокоррентный кредит). Срочность кредита означает его возврат. Принцип возвратности кредита заключается в том, что по окончанию срока кредитного договора заемные деньги должны быть возвращены кредитору в полной сумме (основной долг) и с процентами. В случае невозврата кредита в срок заемщику начисляются пени (то есть штрафные санкции), размер которых устанавливается в кредитном договоре. Для гарантии возврата финансового кредита используют разные виды обеспечения этого возврата. Основными видами обеспечения кредита являются поручительство, гарантия, залог, страхование ответственности заемщика за непогашение кредита. Поручителем может выступать любой хозяйствующий субъект (банк, ассоциация, предприятие и т. п.). Поручительство — это договор с односторонними обязательствами, посредством которого поручитель берет обязательство перед кредитором оплатить при необходимости задолженность заемщика. Договор поручительства служит дополнением к кредитному договору и заверяется нотариусом. Договор поручительства применяется, когда заемщиком является гражданин. Гарантия — это вид поручительства, применяемый только между юридическими лицами. Гарантия означает обязательство гаранта выплатить за гарантируемого определенную сумму при наступлении гарантийного случая. В отличие от поручительства гарантия не является актом, дополняющим кредитное соглашение. Она оформляется гарантийным письмом. Обеспечение кредита в форме поручительства или гарантии предусматривает право банка (кредитора) на безусловное списание средств в необходимых размерах со счетов поручителя или гаранта в случае непогашения в установленный срок заемщиком обязательства по полученному кредиту. Залог как способ обеспечения выполнения обязательств перед кредитором регулируется Законом РФ от 29 мая 1992 г. № 2872-1 «О залоге». В основе залоговых операций лежат следующие основные положения: 1. Залоговое право на имущество переходит вместе с ним к любому новому приобретателю данного имущества. 2. Гарантией выполнения требований кредитора-залогодержателя является только определенное имущество должника, т. е. только то имущество, которое в соответствии с законодательством РФ может быть отчуждено. 3. Кредитор (залогодержатель) в случае невозврата заемщиком (залогодателем) долга имеет право обращать взыскание на заложенное имущество, в том числе путем его продажи, т. е. отчуждения его от залогодателя. Существуют два вида залога: а) залог с оставлением имущества у залогодателя; б) залог с передачей заложенного имущества залогодержателю (заклад). У предпринимателей большей популярностью пользуется залог с оставлением заложенного имущества у залогодателя, так как он позволяет им продолжать вести предпринимательскую деятельность, используя заложенное имущество. Страхование ответственности заемщика за непогашение кредита является довольно распространенной формой обеспечения кредита, хотя и увеличивает расходы заемщика на кредит за счет платы за страхование, т. е. за счет страховых взносов. В ходе данного страхования заемщик кредита в банке заключает со страховой компанией договор страхования. Договор страхования прилагается к кредитному договору.
На практике применяется тройной договор страхования, который заключается между страховой компанией, банком и заемщиком. Срок страхования соответствует сроку, на который был выдан кредит. Договор страхования предусматривает, как правило, возмещение банку со стороны страховщика 50-90 % суммы невозвращенного заемщиком кредита в установленный срок и процентов по нему. Ответственность страховщика по договору страхования наступает обычно через 20 рабочих дней после просроченной заемщиком даты погашения кредита, указанной в кредитном договоре. Страховая компания обязана выплатить банку как кредитору страховое возмещение в течение 15 рабочих дней после наступления данного страхового случая. Тройной договор страхования должен четко предусматривать, на какие цели выдается и, следовательно, страхуется сам кредит, а также последовательность (т. е. сроки) возврата кредита банку и др. В договоре особое внимание уделяют тем условиям, которые освобождают страховщика от ответственности. В договоре страхования следует избегать нечетких формулировок, таких терминов, как «до 50 %», «не менее 50 %» и т. п., которые могут повлечь соответствующие негативные последствия. Важным условием обеспечения возврата кредита является оценка кредитоспособности заемщика и предоставления кредита только кредитоспособному и платежеспособному заемщику. Под кредитоспособностью хозяйствующего субъекта понимаются наличие у него предпосылок для получения кредита и способность возвратить его в срок. Кредитоспособность заемщика характеризуется его аккуратностью при расчетах по ранее полученным кредитам, его текущим финансовым состоянием и перспективами изменения, способностью при необходимости мобилизовать денежные средства из различных источников. Прежде чем предоставить кредит, банк определяет степень риска, который он готов взять на себя, и размер кредита, который может быть предоставлен. Анализ условий кредитования предполагает изучение следующих вопросов: ♦ «солидность» заемщика, которая характеризуется своевременностью расчетов по ранее полученным кредитам, качественностью представленных отчетов, ответственностью и компетентностью руководства; ♦ «способность» заемщика производить конкурентоспособную продукцию; ♦ «доходы». При этом производится оценка прибыли, получаемой банком при кредитовании конкретных затрат заемщика по сравнению со средней доходностью банка. Уровень доходов банка должен быть увязан со степенью риска при кредитовании. Банк оценивает размер получаемой заемщиком прибыли с точки зрения возможности уплаты банку процентов при осуществлении нормальной финансовой деятельности; ♦ «цель» использования кредитных ресурсов; ♦ «сумма» кредита. Изучение этого вопроса производится исходя из проведения заемщиком мероприятия ликвидности баланса, соотношения между собственными и заемными средствами; ♦ «погашение». Этот вопрос изучается путем анализа возвращен-ности кредита за счет реализации материальных ценностей, предоставленных гарантий, и использования залогового права; ♦ «обеспечение» кредита, т. е. изучение устава и положения с точки зрения определения права банка брать в залог под выданную ссуду активы заемщика, включая ценные бумаги. Ликвидность хозяйствующего субъекта — это его способность быстро погашать свою задолженность. Она определяется соотношением величины задолженности и ликвидных средств, т. е. средств, которые могут быть использованы для погашения долгов (наличные деньги, депозиты, ценные бумаги, реализуемые элементы оборотных средств и др.). По существу, ликвидность хозяйствующего субъекта означает ликвидность его баланса. Ликвидность баланса выражается в степени покрытия обязательств хозяйствующего субъекта его активами, срок превращения которых в деньги соответствует сроку погашения обязательств. Ликвидность означает безусловную платежеспособность хозяйствующего субъекта и предполагает постоянное равенство между активами и обязательствами как по общей сумме, так и по срокам наступления. Анализ ликвидности баланса заключается в сравнении средств по активу, сгруппированных по степени их ликвидности и расположенных в порядке убывания ликвидности, с обязательствами по пассиву, сгруппированными по срокам их погашения и расположенными в порядке возрастания сроков (см. табл. 5.1).
|
Актив |
На начало года |
На конец года |
Пассив |
На начало года |
На конец года |
Платежный излишек или недостаток |
В процентах к величине группы пассива |
||
|
На начало года |
На конец года |
На начало года |
На конец года |
||||||
|
Наиболее ликвидные активы |
948 |
923 |
Наиболее срочные пассивы |
350 |
337 |
+598 |
+586 |
+170,9 |
+173,9 |
|
Быстрореализуемые активы |
378 |
382 |
Краткосрочные пассивы |
10 |
5 |
+368 |
+377 |
+3 680 |
+7 540 |
|
Медленно реализуемые активы |
3709 |
3810 |
Долгосрочные пассивы |
— |
— |
+3 709 |
+3 810 |
— |
— |
|
Труднореализуемые активы |
29800 |
29842 |
Постоянные пассивы |
34475 |
34615 |
-4 675 |
-4 773 |
-13,6 |
-13,8 |
|
Баланс |
34835 |
34957 |
|
34835 |
34957 |
0 |
0 |
- |
- |
В зависимости от степени ликвидности, т. е. скорости превращения в денежные средства, активы хозяйствующего субъекта разделяются на следующие группы:
А, — наиболее ликвидные активы. К ним относятся все денежные средства (наличные и на счетах) и краткосрочные финансовые вложения (ценные бумаги).
Имеем:
на начало года А1 = 948 тыс. руб.;
на конец года А1 = 923 тыс. руб.
А2 — быстрореализуемые активы. Они включают дебиторскую задолженность и прочие активы.
Имеем:
на начало года А2 = 378 тыс. руб.;
на конец года А2=382 тыс. руб.
А3 — медленно реализуемые активы. Сюда входят статьи актива «Запасы», за исключением статьи «Расходы будущих периодов», а также статьи «Долгосрочные финансовые вложения».
Имеем:
на начало года А3 = 3709 тыс. руб.;
наконец года А3 = 3810тыс. руб.
А4 — труднореализуемые активы. Это «Основные средства», «Нематериальные активы», «Незавершенное строительство».
Имеем:
на начало года А4 = 29 800 тыс. руб.;
на конец года А4 = 29 842 тыс. руб.
Пассивы баланса группируются по степени срочности их оплаты.
П, — наиболее срочные пассивы. К ним относятся кредиторская задолженность и прочие пассивы.
Имеем:
на начало года П1 = 350 тыс. руб.;
на конец года П2 = 337 тыс. руб.
П2 — краткосрочные пассивы. Они охватывают краткосрочные кредиты и заемные средства.
Имеем:
на начало года П2 = 10 тыс. руб.;
на конец года П2 = 5 тыс. руб.
П3 — долгосрочные пассивы. Они включают долгосрочные кредиты и заемные средства. В анализируемом хозяйствующем субъекте их нет.
П4 — постоянные пассивы. К ним относятся статьи раздела «Капитал и резервы». Для сохранения баланса актива и пассива итог данной группы уменьшается на сумму статьи «Расходы будущих периодов». Имеем: на начало года П4 = 34 475 тыс. руб.; на конец года П4 = 34 615 тыс. руб. Для определения ликвидности баланса следует сопоставить итоги приведенных групп по активу и пассиву. Баланс считается абсолютно ликвидным, если: А2>П2, А3>П3, А4>П4. Данные табл. 5.1 показывают, что заемщик обладает высокой ликвидностью, которая за год возросла. Принцип платности кредита означает, что деньги, даваемые взаймы, выступают в качестве товара, за получение которого надо платить, т. е. кредит — это покупка денег в рассрочку. Процент за кредит есть цена кредита. Кредит, взятый под низкий процент, — это «дешевые» деньги, а кредит, взятый под высокий процент, — это «дорогие» деньги.
5.4. ФИНАНСОВЫЙ КРЕДИТ
Финансовый кредит — это прямая выдача банком денег заемщику. По сфере применения и заемщикам финансовый кредит имеет два вида: межбанковский кредит, при котором заемщиком выступает банк, и кредит для коммерческих целей, при котором заемщиком является предприятие, товарищество, акционерное общество и т. п. Кредит в основном выдают банки, хотя они могут предоставляться и хозяйствующими субъектами, имеющими свободные денежные средства. К последним относятся: инвестиционные фонды, траст-компании, финансовые компании и др. Порядок кредитования, оформления и погашения кредитов регулируется кредитным договором. Для получения кредита заемщик подает в банк (кредитору) заявку и другие требуемые кредитором документы. В заявке указываются цель получения кредита, его сумма и срок, на который кредит испрашивается. Количество и виды других документов устанавливаются конкретным кредитором. К ним обязательно относят- ся учредительные документы, карточка с образцами подписей и печати, баланс. Например, для получения межбанковского кредита банк-заемщик предоставляет банку-кредитору следующие документы: ♦ заявку; ♦ заверенные нотариусом копии учредительных документов (учредительный договор, устав, свидетельство о регистрации); ♦ заверенную нотариусом карточку (оригинал) с образцами подписей руководителей и главного бухгалтера банка и печати банка; ♦ заверенную нотариусом копию лицензий банка («рублевая» и «валютная», если есть); ♦ баланс банка на последнюю отчетную дату (первое число месяца) и на текущую дату. Баланс должен быть обязательно развернутым и содержать внебалансовые счета; ♦ расшифровку счета № 823; ♦ расчет экономических нормативов; ♦ акт аудиторской проверки. У каждого банка-кредитора имеются свои требования к финансовому состоянию банка-заемщика. Практика показывает, что трудно получить межбанковский кредит, если у банка-заемщика уставный капитал меньше 100 млн руб. или дебетовое сальдо. Кредит выдается, как правило, на сумму, не превышающую половины величины уставного капитала и не более 5 % валюты баланса банка-заемщика, реже — на величину уставного капитала. Для получения кредита под коммерческие цели представляются следующие документы: ♦ заявка; ♦ заверенные нотариусом копии учредительных документов; ♦ заверенная нотариусом карточка с образцами подписей и печати; ♦ баланс на последнюю отчетную дату, заверенный налоговой инспекцией; ♦ справка из налоговой инспекции; ♦ технико-экономическое обоснование эффективности проекта; ♦ копии контрактов,договоров; ♦ гарантии возврата кредита: а) гарантийное письмо банка (крупной фирмы) с представлением учредительных документов банка-гаранта, баланса на последнюю отчетную дату, экономических нормативов и карточки образцов подписей и печати; б) гарантийное письмо страховой фирмы; в) залог. Если в случае межбанковского кредита требования к документам и финансовому состоянию заемщика можно достаточно четко регламентировать, то в случае кредита для коммерческих целей требования кредиторов могут сильно различаться. Наиболее «просто» получить кредит под банковскую гарантию или валютный залог, но некоторые кредиторы выдают кредит под залог автомобилей, оргтехники и недвижимости. Под гарантии страховых компаний кредит получить сложнее и только небольшие суммы (не более 50-100 тыс. руб.), при этом существенно повышаются требования к заемщику, его финансовому состоянию и качеству коммерческого проекта. Крайне трудно получить кредит для коммерческих целей, если у заемщика «нулевой» баланс (минимальный уставной капитал или никаких результатов деятельности). При получении всех документов от заемщика банк-кредитор проверяет кредитоспособность и платежеспособность заемщика. Каждый банк-кредитор использует свою собственную методику оценки кредитоспособности заемщика, которая, как правило, составляет его коммерческую тайну. После оценки кредитоспособности заемщика и выгодности кредитной операции банк заключает с заемщиком кредитное соглашение (кредитный договор). Кредитное соглашение содержит вид кредита, сумму и срок кредита, расчеты процентов и комиссионных вознаграждений банка за его расходы, связанные с выдачей кредита, вид обеспечения кредита, форму передачи кредита заемщику. Страхование ответственности заемщика за непогашение кредита является в настоящее время довольно распространенной формой страхования, хотя оно и увеличивает расходы заемщика на кредит за счет страховой премии (платы за страхование). Кредиты банков могут выдаваться как в рублях, так и в валюте, причем на коммерческих условиях с начислением повышенных процентов за не погашенную вовремя часть задолженности по кредиту. Плата за кредит взимается по ставкам, сложившимся на денежном рынке по краткосрочным кредитам и на рынке капитала — по долгосрочным кредитам. Процентные ставки по кредитам обычно определяются банком как договорные по соглашению с заемщиком; они устанавливаются на период, обусловленный кредитным договором! Могут применяться следующие методы взимания процентов: процент удерживается в момент предоставления кредита, в момент погашения кредита или равномерны- ми взносами на протяжении всего срока кредита. Заемщик возмещает банку уплаченную им банковскую комиссию, а также телеграфные и другие расходы, связанные с использованием кредита. Проценты за кредит начисляются с момента фактического его использования. Формы предоставления кредита заемщику могут быть разными. Наиболее часто встречаются следующие: срочный кредит, контокоррентный кредит, онкольный кредит. Срочный кредит — это обычная форма кредита. Банк перечисляет на расчетный счет заемщика сумму кредита. По истечении срока кредит погашается, т. е. заемщик перечисляет со своего расчетного счета банку соответствующую сумму денег. В банке для заемщика открывается специальный ссудный счет — контокоррент. Контокоррент (итал. conto correcte — текущий счет) — единый счет, на котором учитываются все операции банка с клиентом. На контокорренте отражаются, с одной стороны, кредит банка и все платежи со счета по поручению клиента, а с другой — средства, поступающие в банк от клиентов в виде выручки, вкладов, возврата кредита и др. Контокоррент представляет собой сочетание ссудного счета с текущим и может иметь дебетовое или кредитовое сальдо. Онкольный кредит (англ. loan money on call — заем до востребования) — краткосрочный кредит, который погашается по первому требованию и, как правило, выдается под обеспечение ценными бумагами и товарами. Онкольный кредит осуществляется следующим образом. Банк открывает заемщику специальный текущий счет под залог товарно-материальных ценностей или ценных бумаг. В пределах обеспеченного кредита банк оплачивает все счета хозяйствующего субъекта. Погашение кредита производится по первому требованию банка за счет средств, поступивших на счет заемщика, или путем реализации залога. Онкольный кредит погашается заемщиком обычно с предупреждением за 2-7 дней. Процентная ставка по этому кредиту ниже, чем по срочным кредитам. С точки зрения срока возврата и качества обеспечения онкольный кредит считается наиболее ликвидной статьей актива банка после кассовой наличности. Кредит под залог недвижимости называется ипотечным кредитом. В настоящее время ипотечный кредит выдается ипотечными банками. Ипотечный кредит берется для покрытия крупных капитальных затрат. Особенно эффективно используется он при кредитовании нового строительства. При этом объект строительства является предметом залога.
Залог может оформляться поэтапно, по мере строительства объекта. Тогда соответственно по частям выделяется кредит. Например, предприниматель покупает землю, закладывает ее, на полученные деньги возводится фундамент здания. Фундамент опять закладывается, и полученные кредиты служат источником финансирования следующего этапа строительства. Ипотечный кредит берется и для приобретения недвижимости. В этом случае после оформления залогово-кредитных отношений продавец сразу получает от банка деньги, покупатель приобретает все права собственника на объект покупки, который одновременно заложен в банке. Заемщик возвращает кредит и выплачивает процент в соответствии с кредитным соглашением. Ломбардный кредит — это вид финансового кредита. Он предоставляется коммерческим банкам от имени Центрального банка РФ Главным управлением (Национальным банком) банка России под залог государственных ценных бумаг. Предоставление ломбардного кредита производится в соответствии с Положением о порядке предоставления Центральным банком России ломбардного кредита банкам от 13 марта 1996 г. № 36, утвержденным приказом ЦБ РФ от 13 марта 1996 г. № 02-63. Предоставление ломбардного кредита может производиться как путем удовлетворения заявок банка по фиксированной ломбардной процентной ставке, так и через проведение аукциона заявок банка по сложившейся на аукционе ставке отсечения. Совет директоров ЦБ РФ утверждает ломбардный список, т. е. список государственных ценных бумаг, принимаемых ЦБ РФ в качестве залога при предоставлении ломбардного кредита. В исключительных случаях по решению Совета директоров ЦБ РФ в качестве залога могут приниматься ценные бумаги, не входящие в ломбардный список. Ломбардный кредит предоставляется банкам на срок до 30 календарных дней. Договор на предоставление банку ломбардного кредита не пролонгируется. При выдаче ломбардного кредита по фиксированной процентной ставке используется процентная ставка ЦБ РФ, установленная Советом директоров ЦБ РФ и действующая на дату заключения договора. При выдаче ломбардных кредитов по ломбардной ставке ограничения на объем выдаваемых кредитов не устанавливаются. Кредиты предоставляются в пределах общего объема выдаваемых ЦБ РФ кредитов в соответствии с принятыми ориентирами единой государственной денежно-кредитной политики. При изменении ломбардной ставки ЦБ РФ начисление и взыскание процентов за пользование ломбардным кредитом с применением вновь установленной ставки осуществляются по договорам, заключенным с момента вступления в силу решения Совета директоров ЦБ РФ об изменении величины ломбардной ставки. При выдаче ломбардных кредитов на аукционной основе кредитный комитет ЦБ РФ устанавливает лимит на максимальный объем кредита, выставляемого на каждый аукцион. Ломбардные кредитные аукционы проводятся как процентные конкурсы заявок банков на получение ломбардного кредита, осуществляемые по американскому или голландскому способу. При американском способе заявки банков удовлетворяются по процентным ставкам, которые эквивалентны или превышают устанавливаемую Центральным банком РФ ставку отсечения. При голландском способе все заявки удовлетворяются по последней процентной ставке, которая войдет в список заявок согласно выбранной ставке отсечения. Проведение ломбардного аукциона осуществляет ЦБ РФ. Банк, желающий получить ломбардный кредит, должен отвечать следующим критериям на момент подачи заявки на получение кредита: 1) иметь счет ДЕПО в депозитарии; 2) выполнять своевременно и в полном объеме обязательные и резервные требования ЦБ РФ; 3) не иметь просроченной задолженности по кредитам, предоставленным ЦБ РФ, и процентам по ним; 4) не допускать просрочки погашения задолженности по ранее выданному ломбардному кредиту в течение последних 6 месяцев. Выдача банку ломбардного кредита осуществляется в соответствии с договором на предоставление ломбардного кредита. Для участия в аукционе банк представляет в учреждение ЦБ РФ не позднее 13 часов по местному времени в рабочий день накануне дня проведения ломбардного аукциона следующие документы: ♦ заявку на участие в аукционе; ♦ копию выписки на дату, предшествующую дню подачи заявки, о состоянии счета ДЕПО банка и депозитария, подтверждающую наличие достаточного количества государственных ценных бумаг, не обремененных другими обязательствами.
Депозитарием, принимающим ценные бумаги в залог в качестве обеспечения ломбардного кредита, является организация, заключившая с ЦБ РФ договор, который предусматривает депозитарный учет залоговых обременении прав на указанные ценные бумаги. В этом договоре должно быть предусмотрено условие о представлении депозитарию ЦБ РФ списка государственных ценных бумаг, принимаемых в обеспечение ломбардного кредита. Ломбардный кредитный аукцион проводится в назначенный день и должен быть завершен до 14 часов по московскому времени. В срок, установленный договором на предоставление ломбардного кредита, банк осуществляет возврат кредита и уплату процентов по нему. Банк может досрочно погасить ломбардный кредит полностью или частично. После погашения кредита, включая проценты по нему, ЦБ РФ возвращает банку заложенные ценные бумаги. Предоставление финансового кредита связано с понятием кредитная линия. Кредитная линия — это юридически оформленное обязательство банка или кредитной организации перед заемщиком предоставлять ему в течение определенного периода времени кредиты в пределах согласованного лимита. Открытие кредитной линии обычно свидетельствует о длительном тесном сотрудничестве кредитора и заемщика. Преимущества кредитной линии выражаются в следующем. Для кредитора: ♦ возможность спрогнозировать деятельность банка или кредитной организации в данном направлении; ♦ получение полной информации о деятельности заемщика, что позволяет значительно снизить степень риска. ♦ Для заемщика: ♦ возможность точно определить сумму денежных средств, находящихся в распоряжении заемщика; ♦ возможность сократить затраты финансовых ресурсов и времени на заключение кредитных договоров. Кроме обычного банковского кредита существует еще и синдицированный кредит. Синдицированный (от греч. syndikos—действующий сообща) кредит— это кредит, предоставляемый двумя и более кредиторами, т. е. банковским синдикатом, одному заемщику. Для предоставления синдициро- ванного кредита банки временно объединяют свои временно свободные денежные средства. Поэтому синдицированные кредиты еще носят название консорциональные кредиты (от лат. consortium — участие).
5.5. КОММЕРЧЕСКИЙ КРЕДИТ
Коммерческий кредит — это расчеты с рассрочкой или отсрочкой платежа одного хозяйствующего субъекта или предпринимателя с другим хозяйствующим субъектом (предпринимателем). Основными видами кредита как разновидности расчетов с рассрочкой платежа являются: ♦ фирменный кредит; ♦ вексельный (учетный) кредит; ♦ факторинг; ♦ овердрафт. При расчетах по экспортно-импортным операциям применяются такие формы кредита, как: ♦ форфетирование; ♦ кредит по открытому счету; ♦ акцептный; ♦ акцептно-рамбурсный. Фирменный кредит — это традиционная форма кредитования, при которой поставщик (продавец) предоставляет кредит покупателю в форме отсрочки платежа. Разновидностью фирменного кредита является аванс покупателя, который выплачивается поставщику (продавцу) после подписания договора (контракта). Вексельный (учетный) кредит — это кредит векселедержателю путем покупки (учета) векселя до наступления срока платежа. Владелец векселя получает от банка сумму, указанную в векселе, за минусом учетного процента, комиссионных платежей и других расходов. Стороны могут продлить срок оплаты, т. е. совершить пролонгацию векселя. Пролонгация векселя бывает прямая, простая и косвенная. При прямой пролонгации векселя делается соответствующая запись на векселе, удостоверенная подписями сторон. При простой пролонгации такая запись не делается. При косвенной пролонгации составляется новый вексель, а старый изымается из обращения.
Закрытие учетного кредита производится на основании извещений банка об оплате векселя. Учетная ставка по векселю представляет собой процентную ставку, применяемую для расчета величины учетного процента. Учетный процент----это плата, взимаемая банком за авансирование денег при учете векселя (или иных ценных бумаг, купонов, облигаций, долговых обязательств). Учет векселя----это покупка векселя до наступления срока оплаты по нему. Учетный процент представляет собой разницу между номиналом векселя и суммой, уплаченной банку при его покупке. Пример. Номинальная цена векселя — 10 тыс. руб. Банк покупает его, выплачивая 9,5 тыс. руб. за 6 месяцев до наступления срока платежа по векселю. Тогда учетный процент составляет 0,5 тыс. руб., а учетная ставка — 10 % годовых:

Коммерческие банки, осуществляя операции с векселями, могут одновременно применять несколько учетных ставок. Эти ставки называют частными учетными ставками. Учетная ставка, которую применяет ЦБ РФ в операциях с коммерческими банками и кредитными учреждениями, называется официальной учетной ставкой. Уровень этой ставки обычно ниже уровня частных учетных ставок. Факторинг (англ. factor — посредник) — это разновидность торгово-комиссионной операции, связанной с кредитованием оборотных средств. Факторинг представляет собой инкассирование дебиторской задолженности покупателя и является специфической разновидностью краткосрочного кредитования и посреднической деятельности. Факторинг включает в себя: 1) взыскание (инкассирование) дебиторской задолженности покупателя; 2) предоставление продавцу краткосрочного кредита; 3) освобождение продавца от кредитных рисков по операциям. Основной целью факторинга является получение средств немедленно или в срок, определенный договором. В результате продавец не зависит от платежеспособности покупателя. Банк заключает договор с покупателем о гарантировании его платежей в случае возникновения финансовых трудностей или с продавцом и покупателем о переуступке не оплаченных в срок платежных документов факторинговому отделу банка. Операции факторинга в Российской Федерации регулируются главой 43 «Финансирование под уступку денежного требования» ГК РФ. По договору финансирования под уступку денежного требования одна сторона (финансовый агент) передает другой стороне (клиенту) денежные средства в счет денежного требования клиента (кредитора) к третьему лицу (должнику), вытекающего из предоставления клиентом товаров, выполнения им работ или оказания услуг третьему лицу, а клиент переуступает или обязуется уступить финансовому агенту это денежное требование (ст. 824 ГК РФ). Финансовыми агентами могут быть банки и иные кредитные организации, а также коммерческие организации, имеющие разрешение (лицензию) на осуществление данного вида деятельности, т. е. факторинга. Предметом уступки, под которую предоставляется финансирование, может быть как денежное требование, срок платежа по которому уже наступил (существующее требование), так и право на получение денежных средств, которое возникнет в будущем (будущее требование). Последующая уступка денежного требования финансовым агентом не допускается, если иное не предусмотрено в договоре. Должник обязан произвести платеж конкретному финансовому агенту при условии, что он получил от клиента либо от финансового агента письменное уведомление об уступке денежного требования данному финансовому агенту и в уведомлении определено подлежащее исполнению денежное требование, а также указан финансовый агент, которому должен быть произведен платеж. По просьбе должника финансовый агент обязан в разумный срок представить должнику доказательства того, что уступка денежного требования данному финансовому агенту действительно имела место. ч В случае обращения финансового агента к должнику с требованием произвести платеж должник вправе предъявить к зачету свои основанные на договоре с клиентом денежные требования, которые уже имелись у должника ко времени получения им уведомления об уступке требования финансовому агенту. Взаимоотношения банка и продавца по факторингу регулируются договором, который называется «договор финансирования под уступку денежного требования». При заключении договора банк проверяет кредитоспособность продавца и покупателя и с учетом этого определяет предельную сумму по операциям факторинга, в пределах которой поставка товаров может производиться без риска неполучения платежа. В рамках данной суммы банк автоматически оплачивает переуступаемые ему платежи. Договор может быть открытым и закрытым (конфиденциальным). При открытом договоре дебитор уведомляет об участии в факторинговой операции, при закрытом — дебиторы не ставятся в известность о наличии факторингового договора. В договоре также оговаривается, предусмотрено или нет право регресса, т. е. обратной переуступки требований (возврата их к продавцу). Факторинг осуществляется следующим образом. Банк приобретает у хозяйствующего субъекта-продавца право на взыскание дебиторской задолженности покупателя продукции (работ, услуг) и в течение 2-3 дней перечисляет хозяйствующему субъекту 70-90 % суммы денежных средств за отгруженную продукцию в момент предъявления платежных документов. После получения платежа по этим счетам от покупателей банк перечисляет хозяйствующему субъекту оставшиеся 10-30 % суммы счетов за вычетом процентов и комиссионного вознаграждения. Стоимость факторингового обслуживания зависит от вида услуг, финансового положения клиента и т. п. При определении платы за факторинг следует исходить из принятого сторонами процента за кредит и среднего срока пребывания средств в расчетах с покупателем. Пример. Ставка за кредит — 42 % годовых. Средний срок оборачиваемости средств в расчетах с покупателем — 14 дней. Плата за эти операции составит: (42 х 14)/360 = 1,63 % суммы, принятой к оплате факторинга. За оплату продавцу документов на сумму 2000 руб. факторинг получает от него 1,63 % х 2000 = 32,6 руб. При помещении документа продавца в картотеку покупателя вся сумма пени также является доходом факторинга. В случае задержки в оплате на 10 дней пени от покупателя (0,03 %) перечисляются факторингу в сумме 6 руб. [(0,03x10 х 2000) :100]. Подкупая своей внешней простотой, факторинг несет в себе ряд проблем, связанных с денежным обращением. Продукция только после «перепроверки» рынком становится товаром. А при факторинге средства за отгруженную продукцию продавец получает до оценки ее объема и качества покупателем. Отсюда идет угроза образования ложных доходов и увеличения денежной массы за счет оплаты ненужной или некачественной продукции и просто бестоварных расчетов. От факторинга следует отличать цессию. Цессия (лат cessio — уступка) — передача или переуступка кредитором своего права требования денег, вещей или иных ценностей другому лицу. Термин «цессия» имеет разное содержание применительно к страхованию и денежным расчетам. В страховании цессия означает процесс передачи рисков в перестрахование. В системе расчетов цессия — уступка кредитором своего права требования третьему лицу, переданная ему по сделке, например передача третьему лицу права (требования) на получение долгов с должника за определенное вознаграждение. В этом смысле цессию можно рассматривать как денежный суррогат. Если факторинг — это договорное обязательство, то цессия — обязательство, переданное по сделке. При цессии уступается право, которое в момент заключения сделки о его уступке уже принадлежит кредитору на основании обязательства. При факторинге может уступаться право на получение денежных средств, которое возникает в будущем, т. е. будущих требований. Форфетирование (фр. forfai — целиком, общей суммой) представляет собой форму кредитования экспорта банком или финансовой компанией путем покупки ими без оборота на продавца векселей и других долговых требований по внешнеторговым операциям. Форфетирование, как правило, применяется при поставках машин, оборудования на крупные суммы с длительной рассрочкой (до 7 лет). Механизм форфетирования заключается в следующем. Форфетор (банк или финансовая компания) приобретает у экспортера вексель с определенным дисконтом, т. е. за вычетом всей суммы процентов. Размер дисконта зависит от платежеспособности импортера, срока кредита, рыночных процентных ставок в данной валюте. Форфетор может ч перепродать купленные у экспортера векселя на вторичном рынке. Форфетирование освобождает экспортеров от кредитных рисков и сокращает дебиторскую задолженность. Форфетирование дороже для экспортера, чем банковский кредит. Форфетирование предполагает переход всех рисков по долговому обязательству к его покупателю, т. е. к форфетору. Поэтому форфетор обычно требует гарантию первоклассного банка страны, в которой функционирует должник (покупатель оборудования). В большинстве стран платеж по долговому обязательству может быть произведен через несколько дней после окончания срока платежа по нему. Для того чтобы сделать поправку на это положение, форфето-ры, при расчете размера дисконта, как правило добавляют несколько дней к фактическому числу, остающемуся до срока платежа. Это так называемые льготные дни. Величину дисконта и сумму платежа форфетора продавцу долговых обязательств можно определить тремя способами: 1) по формуле дисконта; 2) по процентным номерам; 3) по среднему сроку форфетирования. Пример. Рассчитать величину дисконта и сумму платежа форфетора клиенту за приобретение у него векселя. Форфетор купил у клиента партию из восьми векселей, каждый из которых имеет номинал 800 тыс. долл. Платеж по векселям производится через каждые 180 дней. При этом форфетор предоставляет клиенту три льготных дня для расчета. Учетная ставка по векселю составляет 6 % годовых. Расчет первым способом
Величина дисконта определяется по формуле:

где: Д — величина дисконта, долл.;
Н — номинал векселя, долл.;
t — срок векселя, то есть число дней, оставшихся до наступления срока платежа по данному векселю;
Л — число льготных дней;
п — учетная ставка, %;
360 — число дней в финансовом году.
Имеем:
— для первого платежа:

— для второго платежа:
![]()
— для третьего платежа:
— для четвертого платежа:
![]()
— для пятого платежа:
![]()
— для шестого платежа:
![]()
— для седьмого платежа:
![]()
— для восьмого платежа:
![]()
Общая величина дисконта:
![]()
Сумма платежа клиенту составит: 8 х 800 - 867,2 = 5532,8 тыс. долл. Таким образом, форфертор выплатит клиенту за приобретенные у него векселя 5532,8 тыс. долл. Ему же эти векселя принесут сумму выручки в 6400 тыс. долл. и доход 867,2 тыс. долл., или 15,7 %
![]()
Расчет вторым способом
Для упрощения расчетов в формулу дисконта вводят процентные номера:
![]()
где П — процентный номер;
Н — номинал векселя, долл.; t — срок векселя, т. е. число дней, оставшихся до наступ ления срока платежа по данному векселю;
Л — число льготных дней.
Тогда величина дисконта рассчитывается по формуле:
где Д — величина дисконта, долл.; п — учетная ставка, %; П — процентные номера.
Расчет процентных номеров приведен в табл. 5.2.
Величина дисконта:
![]()
Сумма платежа клиенту: 6400 — 867,2 = 5532,8 тыс. долл.
Таблица 5.2.
Расчет процентных номеров
|
Номер платежа |
Номинал векселя, тыс. долл. |
Срок векселя, дней |
Число льготных дней |
Процентные номера |
|
1. |
800 |
180 |
3 |
1464 |
|
2. |
800 |
360 |
3 |
2904 |
|
3. |
800 |
540 |
3 |
4344 |
|
4. |
800 |
720 |
3 |
5784 |
|
5. |
800 |
900 |
3 |
7224 |
|
6. |
800 |
1080 |
3 |
8664 |
|
7. |
800 |
1260 |
3 |
10104 |
|
8. |
800 |
1440 |
3 |
11544 |
|
Итого: |
6400 |
|
3 |
52032 |
Расчет третьим способом Величину дисконта и сумму платежа по векселям одинаковой номинальной стоимости можно рассчитать через средний срок форфетирования:
где tc — средний срок форфетирования, дней; tt — первый срок платежа, дней; t — последний срок платежа, дней.
Величина дисконта рассчитывается по формуле:
где Д — величина дисконта, долл.; Н — номинальная стоимость партии векселей, долл.;
tc — средний срок форфетирования, дней; Л — число льготных дней; п — учетная ставка, %.
Сумма платежа клиенту: 6400 - 867,2 = 5532,8 тыс. долл. Кредит по открытому счету. При экспортно-импортных операциях одновременно означает и расчеты по открытому счету. Эти кредиты предоставляются в расчетах между постоянными партнерами (контрагентами), особенно при многократных поставках однородных товаров. Сущность кредитов или расчетов по открытому счету заключается в том, что продавец отгружает товар покупателю и направляет в его адрес товарораспорядительные документы, относя сумму задолженности в дебет счета, открытого им на имя покупателя. В обусловленные контрактом сроки покупатель погашает свою задолженность по открытому счету. Для покупателя открытый счет — выгодная форма расчетов и получения кредита, так как в этом случае отсутствует риск оплаты непоставленного товара, а проценты за пользование таким кредитом обычно не взимаются. Хозяйствующие субъекты, использующие открытый счет, как правило, выступают попеременно в качестве продавцов и покупателей, что является одним из способов обеспечения выполнения сторонами платежных обязательств. Овердрафт (англ. overdraft) представляет собой отрицательный баланс на текущем счете клиента банка. Овердрафт — это форма краткосрочного кредита, предоставление которого осуществляется путем списания банком средств со счета клиента сверх остатка денег на счете. В результате такой операции образуется отрицательный баланс, т. е. дебетовое сальдо — задолженность клиента банку. Банк и клиент заключают между собой соглашение, в котором устанавливаются максимальная сумма овердрафта, условия предоставления кредита, порядок погашения его, размер процента за кредит. При овердрафте в погашение задолженности направляются все суммы, зачисляемые на текущий счет клиента. Поэтому объем кредита изменяется по мере поступления средств, что отличает овердрафт от обычной ссуды. В Российской Федерации банки почти не предоставляют овердрафт. За рубежом же он используется довольно широко. В США для клиентов банка, которые имеют в нем счет продолжительное время, овердрафт может предоставляться бесплатно. Форма кредита овердрафт впервые возникла в Англии и в настоящее время практикуется в большинстве развитых стран. Акцептный кредит — кредит, предоставляемый банком в форме акцепта переводного векселя (тратты), выставляемого на банк экспортерами и импортерами. При этой форме кредита экспортер получает возможность выставлять на банк векселя на определенную сумму в рамках кредитного лимита. Банк акцептует эти векселя, гарантируя тем самым их оплату должником в установленный срок. При реализации товара в кредит экспортеры заинтересованы в акцепте векселя крупным банком. Такой вексель может быть учтен или продан. При акцептном кредите формально кредит предоставляет экспортер, но в отличие от вексельного кредита акцептантом векселя выступает банк. Выдавая акцепт, банк не предоставляет кредит и не вкладывает в операцию своих средств, но обязуется оплатить тратту при наступлении срока платежа. В тех случаях, когда экспортер требует платежа наличными, проводятся операции рефинансирования, т. е. банк импортера акцептует тратту, выставленную на него импортером, учитывает ее и уплачивает экспортеру наличными деньгами. Стоимость акцептного кредита складывается из двух элементов: комиссии за акцепт и учетной ставки, которая обычно ниже ставки по учету векселя. Термин «акцептный кредит» применяется обычно в тех случаях, когда банки акцептуют тратты только экспортеров своей страны. Разновидностью акцептного кредита является акцептно-рамбусный кредит. Рамбус (фр. rembouser) в международной торговле означает оплату купленного товара через посредство банка в форме акцепта банком импортера тратт, выставленных экспортером. Термин «акцептно-рамбусный кредит» применяется в тех случаях, когда банки акцептуют тратты, выставленные на них иностранными коммерческими банками. Эти банки играют вспомогательную роль и принимают на себя ответственность перед банками-акцептантами по своевременному переводу (рамбуси-рованию) на их счета валюты, необходимой для оплаты акцептованных тратт.