Содержание
Задача 1. 3
Задача 2. 4
Задача 3. 5
Задача 4. 6
Задача 5. 9
Задача 6. 10
Список литературы.. 11
Задача 1
Сравнить количество осадков и характер их распределения по 60 с.ш. на материке Евразия. Объяснить причины их распределения.
В тундровых районах на северных окраинах Евразии проявляется субполярный климат. Годовая сумма осадков обычно не превышает 380 мм. Большая их часть выпадает в виде дождя или снега летом, при прохождении циклонов. На побережье основная масса осадков может быть принесена зимними циклонами. Но низкие температуры и ясная погода холодного сезона, характерные для большей части областей с субполярным климатом, неблагоприятны для значительного снегонакопления.
Умеренные широты (северные области Евразии), расположенные непосредственно к югу от субполярного климатического пояса характеризуются субарктическим климатом.[3]
На большей части рассматриваемого климатического пояса выпадает менее 500 мм осадков в год, причем их количество максимально на наветренных побережьях и минимально во внутренней части Сибири. Снега зимой выпадает очень мало, снегопады сопряжены с редкими циклонами. Лето обычно более влажное, причем дожди идут в основном при прохождении атмосферных фронтов. На побережьях часто бывают туманы и сплошная облачность. Зимой в сильные морозы над снежным покровом висят ледяные туманы.
Для большей части Восточной Европы и некоторых районов Средней Сибири характерен влажный континентальный климат с коротким летом.
Годовое количество осадков колеблется от менее 500 мм во внутренних частях материков до более 1000 мм на побережьях. На большей части района осадки выпадают преимущественно летом, часто при грозовых ливнях. Зимние осадки, в основном в виде снега, связаны с прохождением фронтов в циклонах. Метели часто наблюдаются в тылу холодного фронта. [4]
Для северо-западной Европы характерным является морской климат.
В районах умеренного морского климата средняя годовая сумма осадков колеблется от 500 до 2500 мм. Наиболее увлажнены наветренные склоны прибрежных гор. Во многих районах осадки выпадают довольно равномерно в течение года. Циклоны, движущиеся с океанов, приносят много осадков на западные материковые окраины. Зимой, как правило, держится облачная погода со слабыми дождями и редкими кратковременными снегопадами. На побережьях обычны туманы, особенно летом и осенью.
Некоторые юго-восточные районы Европы характеризуются влажным субтропическим климатом. Во влажных субтропиках средние годовые суммы осадков колеблются от 750 до 2000 мм, распределение осадков по сезонам довольно равномерное. Зимой дожди и редкие снегопады приносятся главным образом циклонами. Летом осадки выпадают в основном в виде грозовых ливней, связанных с мощными затоками теплого и влажного океанического воздуха. Ураганы (или тайфуны) проявляются в конце лета и осенью. [8]
Задача 2.
Определить тип климата в г. Сан-Франциско. Как сказывается влияние основных климатических факторов на формирование данного типа климата?
|
Станция и широта |
Средняя температура января, ° С |
Средняя температура июля, ° С |
Годовая амплитуда температур, ° С |
|
Сан-Франциско, 38° с.ш. |
10 |
15 |
5 |

Рис. 1. Климатограмма г. Сан-Франциско
Сан-Франциско, город на Тихоокеанском побережье США на северной широте 38°. Отметка станции 62 м. Средняя годовая температура 13 °С.[10]
В Сан-Франциско типичный средиземноморский климат. До широты этого города доходит холодное Калифорнийское течение, поэтому лето сухое (мало испарение; вспомните пустыни Атакама и Намиб) и необычно прохладное: на 18° южнее Москвы и на 3° холоднее, и лишь очень теплые сентябрь и октябрь напоминают, что это субтропики. Зимой влияние течения почти не сказывается, и зима лишь немного холоднее лета. Но идут циклоны, и осадков довольно много.
Задача 3
С чем связано образование тропического муссона? Где эти ветры выражены? Почему?
Муссоны – это устойчивые ветры, направление которых резко меняется на противоположное (или близкое к противоположному) 2 раза в год. Обусловлены главным образом сезонными различиями в нагревании материков. Зимние муссоны чаще направлены с суши на океан, летние - с океана на сушу. Основная особенность муссонного климата - обильное осадками лето и сухая зима. Муссоны хорошо выражены в тропических широтах, главным образом в бассейне Индийского океана.[3]
Задача 4
Почему с изменением абсолютной высоты меняется давление?
Для нахождения этой закономерности в атмосфере выделяется вертикальный столб воздуха постоянного сечения F (рис.2). Давление воздуха у Земли обозначается через Po, а на высоте H через Pн. При изменении высоты на dH атмосферное давление уменьшится на величину dP, равную весу dQ элементарного объема воздуха dV, поделенному на площадь его основания F:
dP = dQ / F

Рис.2 К выводу формулы барометрического метода измерения высоты
Вес dQ равен произведению объема dV на удельный вес воздуха g в данном слое. Учитывая, что dQ = gFdH, получается:
dP = - gdH (1)
Знак минус в данном уравнении означает, что с увеличением высоты давление уменьшается.
Из уравнения состояния газа удельный вес можно выразить через давление P, газовую постоянную сухого воздуха R = 29,27 м/град и абсолютную температуру T:
g = P / RT
Подставив значение g в формулу и разделив переменные, поучим дифференциальное уравнение следующего вида:
dP / P = - dH / RT (2)
В это уравнение входит абсолютная температура воздуха, изменяющаяся с высотой. Закон ее изменения неодинаков для тропосферы и стратосферы. Это уравнение решается для каждого слоя отдельно.[6]

Рис.3 Изменение температуры воздуха в атмосфере
Известно, что температура воздуха в тропосфере, то есть до высоты 11000 м, изменяется примерно по линейному закону, а в стратосфере до высоты 33000 м остается постоянной (рис.3).
Для тропосферы зависимость температуры воздуха от высоты будет иметь следующий вид:
Tн = Tо - tгH (3)
где То - абсолютная температура воздуха у Земли; tг - вертикальный температурный градиент, град/м; H - высота, м.
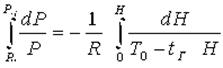
Значение Tн подставляется в уравнение (2), выполняется интегрирование в левой части от Pо до Pн, в правой - от 0 до H:

откуда

Решив это выражение относительно Pн, найдем:

Эта Формула называется барометрической. Она выражает зависимость давления от высоты в тропосфере.
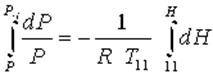
В стратосфере температура воздуха остается примерно постоянной и равной температуре на высоте 11000 м (T11). Проинтегрируем уравнение (2) для стратосферы в левой части от P11 до Pн, а в правой от 11000 м до H:

откуда

или

где P11 - давление воздуха на высоте 11000м.
Приведенная барометрическая формула отражает зависимость изменения давления с высотой в стратосфере.
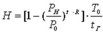
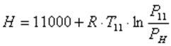
Уравнения, выражающие зависимость давления от высоты в тропосфере и стратосфере, могут быть решены относительно высоты. В результате получаются гипсометрические формулы, которые имеют вид:
для высот от 0 до 11000 м:

для высот от 11000 до 20000 м:

Из этих формул видно, что измеряемая высота является функцией четырех параметров: давления на высоте полета Pн, давления и температуры на уровне начала отсчета высоты Pо и Tо (P11 и T11) и температурного градиента tг.
Задача 5
Рассчитать полуденную высоту солнца в Новосибирске на 31 июля.
Изменение полуденной высоты Солнца на протяжении года объясняется тем, что Земля движется вокруг дневного светила таким образом, что ее ось вращения образует угол в 23,5 градуса к плоскости ее движения. Отсюда и смена времен года: когда к Солнцу обращен северный полюс Земли, в этом полушарии лето, а в южном – зима.
Для измерения высоты Солнца в полдень, надо иметь или направление полуденной линии, проведенной заранее, или знать момент истинного полудня по декретному времени. Рассчитать этот момент можно, если известно уравнение времени на день наблюдения, долгота места и номер часового пояса.
Тист. полд. = 12 + h + (n - l) + 1,
где h - уравнение времени,
n - номер часового пояса,
l - долгота места, выраженная в часовой мере.
Новосибирск, 55° широты и 83° долготы 6 часов 56 минут = .
Уравнение времени на 31 июля:
Текущая разность между истинным и средним солнечным временем (т.е. разность прямых восхождений истинного и среднего Солнца). 31 июля – 2 453 218 юлианский день, Солнце восходит в 4ч11м и заходит в 19ч58м по среднему солнечному времени. Уравнение времени = 15 ч 47 мин = 15,78 ч
Тист. полд. = 12 + h + (n - l) + 1 = 12 + 15,78 + (8-6,93) + 6,93 = 35,78 ч
Задача 6
Когда солнце в зените будет в г. Каракасе?
Каракас находится в субэкваториальном климатическом поясе (широта 10o36' ,долгота 293o1'). . В жарком поясе (от j = + 23° 27' до j = — 23° 27') Солнце также всегда восходящее и заходящее светило и два раза и году в полдень бывает в зените (и разных местах — в разные дни года, а на экваторе — в день весеннего и в день осеннего равноденствий)
Список литературы
1. Алисов Б.П., Дроздов О.А., Рубинштейн Е.С. Курс климатологии. Л.: Гидрометеоиздат, 1952. Ч. 1,2.
2. Анненская Г.Н., Мамай И.И. Смена и возраст ландшафта //Известия ВГО, 1978. .№1. – С. 31-38.
3. Арманд Д.Л. Наука о ландшафтах. – М.: Мысль, 1975. – С. 287.
4. Берг Л.С. Географические зоны Советского Союза, М., Огиз; Географгиз, 1947. Т. 1. Т.2. – С. 397.
5. Берг Л.С. Климат и жизнь. М.: Географгиз, 1947. –С. 356.
6. Беручашвили Н.Л. Геофизика ландшафта. – М.: Высшая школа, 1990. – С. 288.
7. Бигон М., Харпер Дж., Таунсенд К. Экология. Особи, популяции, сообщества: В 2-х томах. М., Мир, 1989. Т. 1. – С. 667, т. 2 – С. 477.
8. Богословский Б.Б. Общая гидрология., Л.: Гидрометеоиздат, 1984, - С. 412.
9. Будыко М.И. Климат в прошлом и будущем. М.: Гидрометеоиздат, 1980. –С. 359.
10. Воронов А.Г. Биогеография с основами экологии. М., Изд-во МГУ, 1987, - С. 264.
11. Гвоздецкий Н.А. Основные проблемы физической географии. М., Высшая школа, 1979. – С. 222.
12. Геофизика ландшафта //Вопросы географии. М., 1981. №117. – С. 224.
13. Герасимов И.П., Мещеряков Ю.А. Планетарные черты рельефа и геоморфологический этап в развитии рельефа // Рельеф Земли, - М.: 1967.
14. Герасимов И.П. Генетические, географические и исторические проблемы современного почвоведения. М., Наука, 1976. –С. 298.