
ГОСУДАРСТВЕННЫЙ СТАНДАРТ СОЮЗА ССР
ПЛИТЫ ДРЕВЕСНОСТРУЖЕЧНЫЕ
ТЕХНИЧЕСКИЕ УСЛОВИЯ
ГОСТ 10632-89
Издание официальное
ГОСУДАРСТВЕННЫЙ КОМИТЕТ СССР ПО СТАНДАРТАМ
Москва
ГОСУДАРСТВЕННЫЙ СТАНДАРТ СОЮЗА ССР
ПЛИТЫ ДРЕВЕСНОСТРУЖЕЧНЫЕ
Технические условия
Wood particle boards. Specifications
ОКП 55 3400
Несоблюдение стандарта преследуется по закону
Настоящий стандарт распространяется на древесностружечные плиты общего назначения, изготовленные методом горячего плоского прессования древесных частиц, смешанных со связующим, используемые для производства мебели, в строительстве (кроме жилищного строительства, строительства зданий для детских, школьных и лечебных учреждений), в машиностроении, радиоприборостроении и в производстве тары.
Применение плит для конкретных видов продукции устанавливается по согласованию с органами санитарно-эпидемиологического надзора в соответствующих стандартах и технических условиях.
Обязательные требования к древесностружечным плитам, направленные на обеспечение безопасности для жизни и здоровья населения и охрану окружающей среды, изложены в пп. 1.5, 1.6.( в части предела прочности при изгибе и при растяжении перпендикулярно пласти плиты), 1.8, 1.10.
Стандарт не распространяется на плиты с облицованной или окрашенной поверхностью.
1. ТЕХНИЧЕСКИЕ ТРЕБОВАНИЯ
1.1 Плиты подразделяют:
физико-механическим показателям—на марки П-А и П-Б;
по качеству поверхности—на I и II сорта;
по виду поверхности — с обычной и мелкоструктурной (М) поверхностью;
по степени обработки поверхности — на шлифованные (ЦТ) и нешлифованные;
по гидрофобным свойствам — с обычной и повышенной (В) водостойкостью;
по содержанию формальдегида—на классы эмиссии El, E2.
1.2. Размеры плит должны соответствовать указанным в табл. 1.
Таблица 1
|
Параметры |
Значения |
Предельные отклонения |
|
Толщина |
От 8 до 28 с градацией 1 (для шлифованных) |
±0,3 |
|
Длина |
1830, 2040, 2440, 2500, 2600, 2700, 2750, 2840, 3220, 3500, 3600, 3660, 3690, 3750, 4100, 5200, 5500, 5680 |
±5 |
|
Ширина |
1220, 1250, 1500, 1750, 1800, 1830, 2135, 2440, 2500 |
±5 |
Примечания:
1. Толщина нешлифованных плит
устанавливается как сумма номинального значения толщины шлифованной плиты и
припуска на шлифование, который не должен быть более
2. Допускается выпускать плиты размерами
меньше основных на
3. По согласованию с потребителем допускается выпускать плиты форматов, не установленных в табл. 1.
1.3. Отклонение от прямолинейности кромок не
должно быть более
1.4. Отклонение от перпендикулярности кромок
плит не должно быть более
Перпендикулярность кромок может определяться разностью длин диагоналей пласти, которая не должна быть более 0,2 длины плиты.
1.5. Плиты должны изготовляться с применением синтетических смол, разрешенных органами санитарно-эпидемиологического надзора.
Содержание вредных химических веществ, выделяемых плитами в производственных помещениях, не должно превышать предельно допустимых концентраций" утвержденных органами санитарно-эпидемиологического надзора для воздуха рабочей зоны производственных помещений.
В условиях эксплуатации количество химических веществ, выделяемых плитами, не должно превышать в окружающей среде предельно допустимых концентраций, утвержденных органами санитарно-эпидемиологического надзора для атмосферного воздуха.
1,6. Физико-механические показатели плит плотностью от 550 кг/м3 до 820 кг/м3 должны соответствовать нормам, указанным в табл. 2.
Справочные значения физико-механических показателей древесностружечных плит приведены в приложении 1.
|
Таблица 2 |
||
|
Наименование показателя |
Норма для плит марок |
|
|
П-А |
П-Б |
|
|
Влажность, % Т*н Т*в |
5 12 |
|
|
Разбухаиие по толщине: За 24 ч (размер образцов 100х100 мм), %, (Тв) за 2 ч (размер образцов 25х25 мм), % (Тв)** |
22
12 |
33
15 |
|
Предел прочности при изгибе, МПа, для толщин, мм (Тн): от 8 до 12 ” ” |
18 16 14 |
16 14 12 |
|
Предел прочности при растяжении перпендикуляр но пласти плиты, МПа, для толщин, мм (Тн): от 8 до 12 ” ” |
0,35 |
0,30 |
|
0,30 |
||
|
0,25 |
25 |
|
|
Удельное сопротивление выдергиванию шурупов, Н/мм (Тн)***: из пласти ” кромки |
60 |
55 |
|
50 |
45 |
|
|
Покоробленность, мм (Тв) |
1,2 |
1,6 |
|
Шероховатость поверхности пласти Rm, мкм (Тв), для образцов а) с сухой поверхностью: для шлифованных плит с обычной поверхностью |
50 |
63 |
|
для шлифованных плит с мелкоструктурной поверхностью |
32 |
40 |
|
для нешлифованных плит |
320 |
500 |
|
б) после 2 ч вымачивания***: для шлифованных плит с обычной поверхпостью |
150 |
180 |
|
для шлифованных плит с мелкоструктурной поверхностью |
120 |
150 |
|
для нешлифованных плит |
--- |
--- |
* Тн и Тв — соответственно нижний и верхний пределы показателей.
** Для плит повышенной водостойкости. *** Определяется по согласованию изготовителя с потребителем.
1.7. Качество поверхности плит должно соответствовать нормам, указанным в табл. 3.
Таблица 3
|
Дефекты по ГОСТ 27935 |
Норма для плит |
|||
|
шлифованных сортов: |
Нешлифованных, сортов: |
|||
|
I |
II |
I |
I I |
|
|
Углубления (выступы) или царапины на пласти |
Не допускаются |
Допускаются
на |
Допускаются на площади не более 5% поверхности плиты, глубиной (высотой), мм не более: |
|
|
0,5
|
0,8 |
|||
|
Парафиновые и масляные пятна, а также пятна от связующего |
То же |
Допускаются
на |
Допускаются на площади не более 2% поверхности плиты |
|
|
Пылесмоляные пятна |
” |
Допускаются на площади не более 2 % поверхности плиты |
Допускаются |
|
|
Сколы кромок |
Не
допускаются (единичные глубиной по пласти |
Допускаются в пределах отклонений по длине (ширине) плиты |
||
|
Выкрашивание углов |
Не
допускается (длиной по кромке |
Допускается в пределах отклонений по длине (ширине) плиты |
||
|
Дефекты шлифования (недошлифовка, прошлифовка, линейные следы от шлифования, волнистость поверхности) |
Не допускаются
|
Допускаются площадью не более 10% площади каждой пласти |
Не определяют |
|
|
Отдельные включения частиц коры на пласти плиты размером, мм, не более |
3 |
10 |
3 |
19
|
|
Отдельные включения крупной стружки; для плит с мелкоструктурной поверхностью |
Допускаются в количестве 5 шт. на |
|||
|
10—15 |
16-35 |
10—15 |
16-35 |
|
|
для плит с обычной поверхностью |
Не определяют |
|||
|
посторонние включения |
Не допускаются |
Примечание.
Допускается для плит с обычной поверхностью не более 5 шт. отдельных включений
частиц коры на
для I сорта более 3 до 10; для II сорта —более 10 до 15.
1.8. В зависимости от содержания формальдегида плиты изготовляют двух классов эмиссии, указанных в табл. 4.
Таблица 4
|
Класс эмиссии формальдегида |
Содержание
формальдегида, мг на |
|
Е1 Е2 |
До 10 включ. Св. 10 до 30 включ. |
1.9. В условном обозначении плит указывают:
марку;
сорт;
вид поверхности (для плит с мелкоструктурной поверхностью);
степень обработки поверхности (для шлифованных плит);
гидрофобные свойства (для плит повышенной водостойкости);
класс эмиссии формальдегида;
длину, ширину и толщину в миллиметрах;
обозначение настоящего стандарта.
Примеры условных обозначений:
плит марки П-А первого сорта с мелкоструктурной поверхностью шлифованных класса эмиссии Е1 размерами 3500Х1750Х Х 15 мм:
П-А, I, М, Ш, Е1, 3500Х1750Х15, ГОСТ 10632-89
То же, плит марки П-Б второго сорта с обычной поверхностью нешлифованных класса эмиссии Е2 размерами 3500Х1750х16 мм:
П-Б, II, Е2, 3500Х1750Х15, ГОСТ 10632-89
1.10. На кромку плиты наносят в виде четкого штампа темным красителем маркировку, содержащую:
наименование и (или) товарный знак предприятия-изготовителя;
марку, сорт, вид поверхности и класс эмиссии;
дату изготовления и номер смены.
Плиты на экспорт маркируют по нормативно-технической документации.
На сертифицированную продукцию наносят национальный знак соответствия по ГОСТ Р 50460
1.11. Плиты, предназначенные для использования в районах Крайнего Севера и приравненных к ним районах, упаковывают по ГОСТ 15846.
На экспорт плиты упаковывают в соответствии с требованиями внешнеэкономических организаций.
2. ПРАВИЛА ПРИЕМКИ
2.1. Плиты принимают партиями. Партия должна состоять из плит одной марки, размера, сорта, степени обработки и вида по-верхности, одинаковых гидрофобных свойств и класса эмиссии, изготовленных по одному технологическому режиму, за ограниченный период времени (как правило, в течение одной смены) и оформленных одним документом о качестве, содержащим:
наименование организации, в систему которой входит предприятие-изготовитель;
наименование и (или) товарный знак предприятия-изготовителя и его адрес;
условное обозначение плит;
среднюю плотность плит партии в килограммах на кубический метр;
количество плит в партии в штуках и квадратных метрах;
штамп технического контроля.
2.2. Качество и размеры плит в партии проверяют выборочным контролем.
2.3. При выборочном контроле плиты отбирают “вслепую” по ГОСТ 18321.
2.4. Для контроля размеров, прямолинейности, перпендикулярности, качества поверхности и шероховатости (при контроле по образцам шероховатости) от каждой партии, в зависимости от ее объема, отбирают плиты в количестве, указанном в табл. 5.
Таблица 5
|
Объем партии |
Контролируемые показатели по пунктам: |
|||
|
1.2, 1.3, 1,4 |
1,6 (шероховатость), |
|||
|
Объем выборки |
Приемочное число |
Объем выборки |
Приемочное число |
|
|
До 500 |
8 |
1 |
13 |
2 |
|
От .501 до 1200 |
13 |
2 |
20 |
3 |
|
” |
13 |
2 |
32 |
5 |
|
” |
20 |
3 |
32 |
5 |
2.5. Для контроля физико-механических показателей (в том числе шероховатости при контроле ее профилографом) от каждой партии, в зависимости от ее объема, отбирают плиты в количестве, указанном в табл. 6.
Допускается включать в выборку плиты, отобранные для контроля по п. 2.4, а также распространять результаты испытаний физико-механических показателей плит, изготовленных по одному технологическому режиму в течение одной смены, на весь сменный объем выработок, независимо от сортности плит.
Т а б л и ц а 6
|
Объем партии, шт. |
Объем выборки, шт. |
Приемочная постоянная ks |
|
До 280 |
3 |
1.12 |
|
Or 281 до 500 |
4 |
1,17 |
|
” |
5 |
1,24 |
|
” |
7 |
1,33 |
|
” |
10 |
1,41 |
2.6. Показатель “содержание формальдегида” контролируют не реже одного раза в 7 сут на образцах, отобранных от одной плиты.
2.7. Партию считают соответствующей требованиям настоящего стандарта и принимают, если в выборках:
количество плит, не отвечающих требованиям стандарта по размерам, прямолинейности, перпендикулярности, качеству поверхности и шероховатости (при контроле по образцам шероховатости), меньше или равно приемочному числу, установленному в табл. 5;
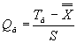
значения величин Qн и Qв, вычисленные по формулам (1) и (2) для каждого физико-механического показателя , равны или более приемочной постоянной (табл. 6).
(1);
(2) "
где
— выборочное
среднее, рассчитанное по результатам испытаний всех плит в выборке;
— нижний
предел показателей по табл. 2;
—верхний
предел показателей по табл. 2.
S—среднее квадратическое отклонение,
рассчитанное по средним значениям всех испытанных плит. Результаты
округляют до второго десятичного знака. Пример расчета величины
приведен в
справочном приложении 2;
содержание формальдегида по результатам последнего контроля соответствует нормам, установленным в табл. 4;
плотность каждой плиты находится в пределах, установленных в п. 1.6, и не должна быть ниже указанной в документе о качестве более чем на 12%.
шероховатость поверхности каждого образца, при контроле ее профилографом, должна соответствовать нормам, установленным в табл. 2.
3. МЕТОДЫ ИСПЫТАНИЙ
3.1. Общие правила проведения испытаний для определения физико-механических показателей и подготовка образцов—по ГОСТ 10633.
3.2. Контроль длины, ширины, толщины — по
ГОСТ 27680. Контроль перпендикулярности — по ГОСТ 27680 или по разности длинны
диагоналей по пласти, измеряемых металлической рулеткой с ценой деления
Контроль прямолинейности кромок—по ГОСТ 27680
при помощи приспсобления или поверочной линейки по ГОСТ 8026 длинной
3.3. Плотность, влажность и разбухание по толщине определяют по ГОСТ 10634.
3,4. Предел прочности при изгибе определяют по ГОСТ 10635.
3.5. Предел прочности при растяжении перпендикулярно плас-ти плиты определяют по ГОСТ 10636.
3.6. Удельное сопротивление выдергиванию шурупов—по ГОСТ 10637.
3.7. Покоробленность определяют по ГОСТ 24053.
3.8. Шероховатость поверхности определяют по
ГОСТ 15612 на профилографе с радиусом щупа
3.9. Вид поверхности определяют по образцам.
3.10. Содержание формальдегида определяют по ГОСТ 27678.
3.11. Качество поверхности плит оценивают визуально.
3.12. Определение видов пятен и волнистости на поверхности плиты производят сравнением с образцами, утвержденными в установленном порядке.
Площадь поверхности плиты, покрытую пятнами, определяют как сумму площадей отдельных пятен на обеих сторонах плиты.
Для определения площади пятна с точностью до
1 см2 используют сетку с квадратными ячейками со стороной
3.13. Глубину углубления и высоту выступов определяют при помощи индикатора часового типа марки ИЧ-10 по ГОСТ 577, закрепленного в металлической П-образной скобе с цилиндрическими опорными поверхностями с радиусом (5±1) мм и пролетом между опорами 60—80 мм.
Установку шкалы индикатора в нулевое положение производят при установлении скобы на поверочную линейку по ГОСТ 8026 или поверочную плиту по ГОСТ 10905.
Ход штока индикатора в обе стороны от опорной
плоскости Должен быть не менее
3.14. Линейные размеры включений коры, крупной стружки, пятин, выкрашивание угла, скол кромки и длину царапин определяют при помощи металлической линейки по ГОСТ 427.
4.ТРАНСПОРТИРОВАНИЕ И ХРАНЕНИЕ
4.1. Плиты перевозят всеми видами транспорта в соответствии с Правилами перевозки грузов, действующими для данного вида транспорта, и техническими условиями погрузки и крепления грузов МПС с обязательным предохранением их от атмосферных осадков и механических повреждений.
4.2. Транспортная маркировка—по ГОСТ 14192.
4,3. Плиты хранят в закрытых помещениях в
горизонтальном положении в штабелях высотой до
Допускается разность толщин прокладок, используемых для одной стопы или пакета,—5 мм.
Бруски-прокладки укладывают поперек плит с
интервалами не более
Расстояние от крайних брусков-прокладок до
торцов плиты не должно превышать
ПРИЛОЖЕНИЕ I Справочное
ФИЗИКО-МЕХАНИЧЕСКИЕ ПОКАЗАТЕЛИ ДРЕВЕСНОСТРУЖЕЧНЫХ ПЛИТ
|
Наименование показателя |
Значения для плит марки |
Метод испытания |
|
|
П-А |
П-Б |
||
|
Удельное сопротивление нормальному отрыву наружного слоя, МПа, не менее |
0.8 |
0,6 |
По ГОСТ 23234 |
|
Модуль упругости при статическом изгибе, Мпа |
1700-4000 |
По ГОСТ 10635 |
|
|
Ударная вязкость, Дж/м2 |
4000—8000 |
По ГОСТ 11842 |
|
|
Твердость, МПа |
20—40 |
По ГОСТ 11843 |
ПРИЛОЖЕНИЕ 2
Справочное
ПРИМЕР РАСЧЕТА ВЕЛИЧИНЫ Qн ДЛЯ ПОКАЗАТЕЛЯ ПРЕДЕЛ ПРОЧНОСТИ ПРИ ИЗГИБЕ
В течение одной смени изготовлено 954 шт.
древесностружечных плит толщиной
Объем выборки плит из партии для испытаний согласно табл. 6 — 5 шт.
Из каждой отобранной плиты вырезают по 8 образцов для определения предала прочности при изгибе (по ГОСТ 10633).
Результаты испытаний образцов по ГОСТ 10635 (МПа):
1-я плита 15,9; 15,1; 15,8; 17,3; 16,0; 16,4; 16,8; 18,1;
2-я 16,8; 17,2; 17,0; 18,3; 18,0; 18,0, 17,4; 17,3;
3-я ” 19,2; 19,0; 17,1; 19,5; 21,0 18,9; 18,0; 18,5;
4-я ” 15,9; 17,9; 20,0; 19,1; 17,0; 17,3; 16,2; 16,0;
5-я ” 19,0; 19,0; 19,1; 19,8; 18,7; 18,8; 17,7; 18,8.
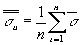
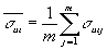
В соответствии с ГОСТ 10635—78 по каждой плите вычисляют выборочное
среднее арифметическое значение результатов испытаний всех образцов, отобранных из данной плиты по формуле
![]()
где
—
результаты испытания j-го образца, i-й плиты выборки из n плит;
m — число образцов, отбираемых от каждой плиты;
( 15,94-15.1+15,8+17.3+16,04-16,4+16,8+18.1)==16,425
(МПа). 8
В соответствии с ГОСТ 10635 результаты вычислений округляют с точностью до первого десятичного знака:
МПа.
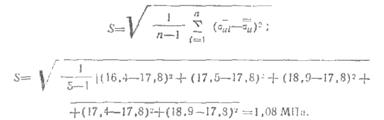
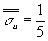
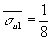
Определяют среднее арифметическое значение 2, 3, 4 и 5-й плиты:
МПа,
МПа,
МПа,
МПа,
Выборочное среднее
плит
вычисляют по формуле
![]()
(16,4+17,5+18,9+17,4+18,9)=
17,8 МПа;
Среднее квадратическое отклонение рассчитывают по средним значениям
Всех испытаний плит по формуле:

Для проверки соответствия партии требованиям к плитам П-А значение
величины Qн вычисляют по формуле

Полученная величина Qн=l,67 больше приемочной постоянной ks=1,24, что означает, что партия плит соответствует настоящему стандарту по показателю предел прочности при изгибе.
ИНФОРМАЦИОННЫЕ ДАННЫЕ
1. РАЗРАБОТАН И ВНЕСЕН Министерством лесной промышленности СССР
ИСПОЛНИТЕЛИ
О. Е. Поташев, канд. техн. наук; А. Ф. Абельсон, канд. техн. наук; И. В. Пинтус
2. УТВЕРЖДЕН И ВВЕДЕН В ДЕЙСТВИЕ Постановлением Государственного комитета СССР по стандартам от 02.02.89 № 13
3. Стандарт полностью соответствует СТ СЭВ 5879—87
4 ВЗАМЕН ГОСТ 10632—77
5. Срок первой проверки —
6. ССЫЛОЧНЫЕ НОРМАТИВНО-ТЕХНИЧЕСКИЕ ДОКУМЕНТЫ
|
Обозначение НТД на который дана ссылка |
Номер пункта, приложения |
|
ГОСТ 427—75 |
3.14 |
|
ГОСТ 577-68 |
3.13 |
|
ТУ2-034-225 |
3.2 |
|
ГОСТ 7502— 80) |
3.2 |
|
ГОСТ 8026—92 |
3.2, 3.13 |
|
ГОСТ 10633—78 |
3.1 |
|
ГОСТ 10634—88 |
3.3 |
|
ГОСТ 10635—88 |
3.4, приложение 1 |
|
ГОСТ 10636—78 |
3.5 |
|
ГОСТ 10637—78 |
3.6 |
|
ГОСТ 10905-75 |
3.13 |
|
ГОСТ 11842—76 |
Приложение 1 |
|
ГОСТ 11843—76 |
Приложение 1 |
|
ГОСТ 141 92—77 |
4.2 |
|
ГОСТ 15612—85 |
3.8 |
|
ГОСТ 18321—73 |
2.3 |
|
ГОСТ 23234-78 |
Приложение 1 |
|
ГОСТ 2453—80 |
3.7 |
|
ГОСТ 2 7678—88 |
3.10 |
|
ГОСТ '27680—88 |
3.1 |
|
ГОСТ 279.35—88 |
1.7 |