Методы оценки эффективности инвестиций и обоснование их экономической целесообразности по проекту
Экономический смысл этого показателя заключается в следующем: предприятие может принимать любые решения инвестиционного характера, уровень рентабельности которых не ниже текущего значения показателя CC (или цены источника средств для данного проекта, если он имеет целевой источник) . Именно с ним сравнивается показатель IRR, рассчитанный для конкретного проекта, при этом связь между ними такова.
Если: IRR > CC. то проект следует принять; IRR < CC, то проект следует отвергнуть; IRR = CC, то проект ни прибыльный, ни убыточный.
Практическое применение данного метода
осложнено, если в распоряжении аналитика нет специализированного финансового
калькулятора. В этом случае применяется метод последовательных итераций с
использованием табулированных значений дисконтирующих множителей. Для этого с
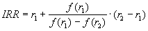
помощью таблиц выбираются два значения коэффициента дисконтирования r 1 <r
2 таким образом, чтобы в интервале (r 1 , r 2 )
функция NPV=f (r) меняла свое значение с "+" на "-" или с
"-" на "+". Далее применяют формулу
,
где r 1 —значение
табулированного коэффициента дисконтирования, при котором f (r 1 )
>0 (f (r 1 ) <0) ; r 2 —значение
табулированного коэффициента дисконтирования, при котором f (r 2 )
<О (f (r 2 ) >0) .
Точность вычислений обратно пропорциональна длине интервала (r 1 , r 2 ) , а наилучшая аппроксимация с использованием табулированных значений достигается в случае, когда длина интервала минимальна (равна 1%) , т.е. r 1 и r 2 - ближайшие друг к другу значения коэффициента дисконтирования, удовлетворяющие условиям (в случае изменения знака функции с "+" на "-") : r 1 — значение табулированного коэффициента дисконтирования, минимизирующее положительное значение показателя NPV, т.е. f (r 1 ) =min r {f (r) >0}; r 2 — значение табулированного коэффициента дисконтирования, максимизирующее отрицательное значение показателя NPV, т.е. f (r 2 ) =max r {f (r) <0}.
Путем взаимной замены коэффициентов r 1 и r 2 аналогичные условия выписываются для ситуации, когда функция меняет знак с "-" на "+".
1.3. Метод периода окупаемости.
Этот метод - один из самых простых и
широко распространен в мировой учетно-аналитической практике, не предполагает
временной упорядоченности денежных поступлений. Алгоритм расчета срока
окупаемости (PP) зависит от равномерности распределения прогнозируемых доходов
от инвестиции. Если доход распределен по годам равномерно, то срок окупаемости
рассчитывается делением единовременных затрат на величину годового дохода,
обусловленного ими. При получении дробного числа оно округляется в сторону
увеличения до ближайшего целого. Если прибыль распределена неравномерно, то
срок окупаемости рассчитывается прямым подсчетом числа лет, в течение которых
инвестиция будет погашена кумулятивным доходом. Общая формула расчета
показателя PP имеет вид: PP=n, при котором
.
Некоторые специалисты при расчете показателя PP все же рекомендуют учитывать временной аспект. В этом случае в расчет принимаются денежные потоки, дисконтированные по показателю "цена" авансированного капитала. Очевидно, что срок окупаемости увеличивается.
Показатель срока окупаемости инвестиции очень прост в расчетах, вместе с тем он имеет ряд недостатков, которые необходимо учитывать в анализе.
Во-первых, он не учитывает влияние доходов последних периодов. В качестве примера рассмотрим два проекта с одинаковыми капитальными затратами (10 млн. руб.) , но различными прогнозируемыми годовыми доходами: по проекту А - 4,2 млн. руб. в течение трех лет; по проекту Б - 3,8 млн. руб. в течение десяти лет. Оба эти проекта в течение первых трех лет обеспечивают окупаемость капитальных вложений, поэтому с позиции данного критерия они равноправны. Однако очевидно, что проект Б гораздо более выгоден.
Во-вторых, поскольку этот метод основан на недисконтированных оценках, он не делает различия между проектами с одинаковой суммой кумулятивных доходов, по различным распределением ее по годам. Так, с позиции этого критерия проект А с годовыми доходами 4000,6000.2000 тыс. руб. и проект Б с годовыми доходами 2000,4000.6000 тыс. руб. равноправны, хотя очевидно, что первый проект является более предпочтительным, поскольку обеспечивает большую сумму доходов в первые два года.
В-третьих, данный метод не обладает свойством аддитивности.
Существует ряд ситуаций, при которых применение метода, основанного на расчете срока окупаемости затрат, может быть целесообразным. В частности, это ситуация, когда руководство предприятия в большей степени озабочено решением проблемы ликвидности, а не прибыльности проекта — главное, чтобы инвестиции окупились и как можно скорее. Метод также хорош в ситуации, когда инвестиции сопряжены с высокой степенью риска, поэтому чем короче срок окупаемости, тем менее рискованным является проект. Такая ситуация характерна для отраслей или видов деятельности, которым присуща большая вероятность достаточно быстрых технологических изменений.
1.4. Метод индекса прибыльности.
Этот метод является по сути следствием
метода чистой теперешней стоимости. Индекс рентабельности (PI) рассчитывается
по формуле
.
Очевидно, что если:
Р1 > 1, то проект следует принять;
Р1 < 1, то проект следует отвергнуть;
Р1 = 1, то проект ни прибыльный, ни убыточный.
В отличие от чистого приведенного эффекта индекс рентабельности является относительным показателем. Благодаря этому он очень удобен при выборе одного проекта из ряда альтернативных, имеющих примерно одинаковые значения NPV. либо при комплектовании портфеля инвестиций с максимальным суммарным значением NPV.
1.5. Метод расчета коэффициента эффективности инвестиции.
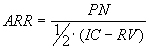
Этот метод имеет две характерные черты: во-первых, он не предполагает дисконтирования показателей дохода; во-вторых, доход характеризуется показателем чистой прибыли PN (балансовая прибыль за минусом отчислений в бюджет) . Алгоритм расчета исключительно прост, что и предопределяет широкое использование этого показателя на практике: коэффициент эффективности инвестиции (ARR) рассчитывается делением среднегодовой прибыли PN на среднюю величину инвестиции (коэффициент берется в процентах) . Средняя величина инвестиции находится делением исходной суммы капитальных вложений на два, если предполагается, что по истечении срока реализации анализируемого проекта все капитальные затраты будут списаны; если допускается наличие остаточной или ликвидационной стоимости (RV) , то ее оценка должна быть исключена.
.
Данный показатель сравнивается с коэффициентом рентабельности авансированного капитала, рассчитываемого делением общей чистой прибыли предприятия на общую сумму средств, авансированных в его деятельность (итог среднего баланса-нетто) .
Метод, основанный на коэффициенте эффективности инвестиции, также имеет ряд существенных недостатков, обусловленных в основном тем, что он не учитывает временной составляющей денежных потоков. В частности, метод не делает различия между проектами с одинаковой суммой среднегодовой прибыли, но варьирующей суммой прибыли по годам, а также между проектами, имеющими одинаковую среднегодовую прибыль, но генерируемую в течение различного количества лет. и т.п.
2. Обоснование экономической целесообразности инвестиций по проекту.
2.1. Исходные данные.
На основании изучения рынка продукции, которая производится на предприятии, установлена возможность увеличения платежеспособного спроса на неё. В связи с этим предприятие рассматривает целесообразность приобретения новой технологической линии для увеличения производства продукции с целью увеличения объема продаж. Оценка возможного увеличения объёма продаж установлена на основании анализа данных о потенциальных возможностях конкурентов. Стоимость линии (капитальные вложения по проекту) составляет $18530; срок эксплуатации - 5 лет; прибыль за вычетом налога на нее от реализации основных фондов по истечении срока их службы составит $926.5;. денежные потоки (прибыль за вычетом налога на нее и амортизационных отчислений от стоимости введенных в действие основных фондов за счет капитальных вложений) прогнозируется по годам в следующих объемах: $5406, $6006, $5706, $5506, $5406. Ставка дисконта для определения теперешней стоимости денежных потоков принята в размере 12% и 15%. Граничная ставка для оценки расчетного уровня внутренней ставки дохода установлена в размере 16%. Приемлемый для предприятия период окупаемости капитальных вложений, исчисленный по данным о денежных потоках и теперешней стоимости денежных потоков принят 5 лет. Целесообразен ли данный проект к реализации?
2.2. Определение теперешней чистой стоимости а) При ставке дисконта 12%.
б) При
ставке дисконта 15%.
2.3.
Определение внутренней ставки дохода
Таблица 2.1.
Исходные данные для расчёта показателя IRR.
|
|
Денежные потоки, $
|
PV 12% , $
|
PV 15% , $
|
PV 16% , $
|
PV 17% , $
|
|
0 год
|
-18530
|
-18530
|
-18530
|
-18530
|
-18530
|
|
1 год
|
5406
|
4826,79
|
4700,87
|
4660,34
|
4620,51
|
|
2 год
|
6006
|
4787,95
|
4550,00
|
4448,89
|
4383,94
|
|
3 год
|
5706
|
4061,21
|
3753,95
|
3657,69
|
3566,25
|
|
4 год
|
5506
|
3507,01
|
3146,29
|
3041,99
|
2944,39
|
|
5 год
|
5406
|
3071,59
|
2689,55
|
2574,28
|
2469,86
|
|
Прибыль
|
926,5
|
526,42
|
460,94
|
441,19
|
423,06
|
|
NPV
|
|
1198,13
|
771,60
|
294,38
|
-121,99
|
Исходя из расчетов, приведённых в табл. 2.1, можно сделать вывод: что функция NPV=f (r) меняет свой знак на интервале (15%, 16%) .
.
2.4. Определение периода окупаемости (по данным о денежных потоках) Инвестиции составляют $18530 в 0-й год. Денежный потоки за пятилетний срок составляют: $5406, $6006, $5706, $5506, $5406. Доходы покроют инвестиции на 4 год. За первые 3 года доходы составляют: $5406 + $6006 + $5706 = $17118 За 4 год необходимо покрыть: $18530 - $17118 = $1412, $1412/ $5506 = 0,26 (примерно 4,1 месяца) .
Общий срок окупаемости составляет 3 года 4,1 месяца.
2.5. Определение периода окупаемости (по данным о теперешней стоимости денежных потоков)
а) При ставке дисконта 12%.
Доходы покроют инвестиции на 5 год. За первые 4 года доходы составляют (данные взяты из табл. 2.1) : $4826,79 + $4787,95 + $4061,21 + $3507,01 = $17182,96 За 5 год необходимо покрыть: $18530 - $17182,96 = $1347,04, $1347,04 / $3071,59 = 0,44 (примерно 5,4 месяца) .
Общий срок окупаемости составляет 4 года 5,4 месяца.
б) При ставке дисконта 15%.
Доходы покроют инвестиции на 5 год. За первые 4 года доходы составляют: $4700,87 + $4550 + $3753,95 + $3146,29 = $16151,11 За 5 год необходимо покрыть: $18530 - $16151,11= $2378,89, $2378,89 / $2689,55 = 0,88 (примерно 10,7 месяцев) .
Общий срок окупаемости составляет 4 года 10,7 месяцев.
2.6. Определение индексов прибыльности.
а) При ставке дисконта 12%. (данные взяты из табл. 2.1) :
PI 12% = ($4826,79 + $4787,95 + $4061,21 + $3507,01+3071,59) / $18530 = 1,09
б) При ставке дисконта 15%.
PI 15% = ($4700,87 + $4550 + $3753,95 + $3146,29+2689,55) / $18530 = 1,015 2.7. Определение коэффициента прибыльности.
Заключение.
В данной курсовой работе приведены формулы расчета экономической эффективности капитальных вложений с описанием их применения. Использованы следующие методы:
- метод чистой теперешней стоимости;
- метод внутренней ставки дохода;
- метод периода окупаемости;
- метод индекса прибыльности;
- метод коэффициента эффективности.
На основе исходных данных 28 варианта задания (п. 2.1.) и описанных методов выполнен расчет экономической эффективности инвестиционного проекта.
Выводы об экономической целесообразности проекта.
Полученные результаты указывают на экономическую целесообразность данного проекта. Такой проект можно принять с полной уверенностью при ставке дисконта меньшей 16,6% (максимальная ставка дисконта, при которой чистая теперешняя стоимость неотрицательна) . Чем ниже ставка дисконта, тем раньше окупятся капитальные вложения и, следовательно, предприятие, осуществившее этот проект, получит больше прибыли. Расчеты показали, что при более низкой ставке дисконта чистая теперешняя стоимость и индекс прибыльности увеличиваются, а период окупаемости уменьшается. Так, при дисконте равном 15% инвестиция окупится через 4 года 10,7 месяцев (индекс прибыльности 1,5%) , а при 12% — раньше на 5,3 месяцев (индекс прибыльности 9%) . Коэффициент прибыльности инвестиционного проекта составляет 63,8%.
Литература.
- Ковалёв В. В. Финансовый анализ: Управление капиталом. Выбор инвестиций. Анализ отчетности. — М.: Финансы и статистика, 1995.
- Экономика предприятия: Под редакцией С. Ф. Покропивного. Учебник. В 2-х т. т. 1. — К.: "Хвиля-прес", 1995.
4.6.2. Критерии, применяемые в инвестиционном анализе
Основными величинами и критериями, используемыми при финансовом анализе инвестиционных проектов, являются:
· дисконтированный денежный поток. Необходимость корректировки денежных потоков, выраженных в абсолютном выражении, вызвана тем, что с финансовой точки зрения рубль, полученный сегодня, не равен рублю, который будет получен через год. Очевидно, что реальная цена каждого рубля, полученного через год после начала проекта, ниже цены рубля, вложенного в проект при его запуске. Это справедливо хотя бы потому, что существуют альтернативные способы инвестирования средств, которые дают возможность превратить рубль, вложенный сегодня, в несколько большую сумму через некоторый промежуток времени. Кроме того, прогнозирование денежных потоков проекта не может быть абсолютно точным. Существует риск, связанный с ошибками при планировании, возможными колебаниями рынка, форс-мажорными обстоятельствами и т. п. Естественно, что ценность рубля, имеющегося в наличии, выше ценности рубля, который может быть получен с некоторой вероятностью (подробнее методы оценки риска изложены ниже). Отсюда возникает необходимость привести денежные потоки, которые будет приносить проект в течение срока действия, к деньгам, которые будут инвестированы при начале проекта. Для этого рассчитывается дисконтированный денежный поток, DCF (Discounted Cash Flow).
DCF= CF0 + CF1(1 + K1)1 + СF2/(1 + K2)2 + ... + CFn(1+ Kn)n;
где CF — денежный поток соответствующего периода действия проекта, К — коэффициент дисконтирования, применяемый в данном периоде (он может быть одинаковым для всех периодов, но при определенных обстоятельствах может иметь и различные значения). В зависимости от целей анализа он может определяться как средневзвешенная стоимость капитала (сумма, которую компания в каждом периоде будет тратить на обслуживание источников средств, необходимых для инвестиций в проект, отнесенная к сумме инвестиций), как минимальная доходность, устраивающая инвестора (с поправкой на риск, связанный с проектом), или как доходность альтернативных вложений (с сопоставимым уровнем риска), п — количество периодов (месяц, квартал, год), в течение которых будет действовать проект;
· срок окупаемости, РР (Payback Period). Это ожидаемое время возмещения изначально сделанных инвестиций. Срок окупаемости может рассчитываться как без дисконтирования денежного потока, так и с учетом дисконтирования. Для долгосрочных проектов предпочтительно применение дисконтирования. Считается, что окупаемость наступает в том периоде действия проекта, когда сумма денежных потоков всех предыдущих периодов и рассматриваемого становится равной или большей, чем сумма инвестированных в проект средств. Срок окупаемости дает неполную оценку инвестиционной привлекательности проекта. Этот критерий вообще не учитывает денежные потоки периодов после срока окупаемости. Тем не менее, расчет срока окупаемости дает понимание очень важной характеристики проекта — времени, в течение которого будут заморожены средства, вложенные в него компанией;
· учетная (бухгалтерская) доходность, ARR (Accounting Rate of Return). Этот критерий основан на использовании отношения прогнозируемой среднегодовой чистой прибыли к среднегодовым инвестициям в проект. Ожидаемая среднегодовая чистая прибыль (СЧП) рассчитывается как разность между среднегодовыми поступлениями денежных средств и среднегодовой амортизацией активов, в которые были сделаны инвестиции (ИНВ), деленной на количество лет действия проекта (подразумевается линейная амортизация):
СЧП = (CF1 + CF2 + ... + CFn)/n - ИНВ/n.
ARR вычисляется как отношение среднегодовой чистой прибыли к среднегодовому объему инвестиций, который, в свою очередь, рассчитывается как полусумма инвестированных средств и остаточной стоимости (ОС) активов проекта на дату его завершения. В случае, когда остаточная стоимость активов равна нулю, среднегодовой объем инвестиций рассчитывается как общий объем инвестиций, деленный на два:
ARR = СЧП/((ИНВ + OC/2).
Обычно ARR выражается в процентах. Считается, что чем выше ARR, тем предпочтительнее проект, однако этот критерий имеет ряд недостатков: не учитывается временная стоимость денег и риск, связанный с проектом;
· чистая текущая стоимость, NPV (Net Present Value). Этот критерий рассчитывается как полный дисконтированный денежный поток (DCF) проекта. В качестве коэффициента дисконтирования (К) при расчете NPV обычно применяют цену капитала данного проекта (среднюю стоимость средств, инвестируемых в проект), скорректированную на величину риска, связанного с проектом. NPV используется для анализа проекта следующим образом: рассчитывается приведенная (дисконтированная) величина денежных потоков за каждый период реализации проекта, приведенные потоки суммируются и анализируется полученная величина (собственно NPV). Если NPV > 0, проект может быть принят. Если NPV< 0, то проект должен быть отклонен. Критерий NPV удобен для принятия решения о выборе одного или нескольких проектов из многих альтернативных. Чем выше NPV, тем привлекательнее проект. NPV очень широко используется при инвестиционном анализе. Практически, ни один серьезный бизнес-план не обходится без расчета этого параметра. Тем не менее, критерий NPVne лишен недостатков. При сравнении проектов с разным объемом инвестиций NPV может дать неверное представление о предпочтительности одного из них. Понятно, что проект с большими инвестициями, даже несколько менее эффективный, чем альтернативный проект с меньшими инвестициями, скорее всего, будет генерировать больший NPV, поскольку NPV— величина абсолютная и выражается в долларах или рублях;
· индекс прибыльности, PI (Profitability Index). Указанный выше недостаток критерия NPV, возникающий при анализе проектов с различным объемом инвестиций, успешно устранен в критерии PL Он рассчитывается как отношение полных дисконтированных доходов проекта (ДЦ) к полным дисконтированным расходам проекта (ДР)\
PI = ДД/ДР.
Полный дисконтированный доход проекта рассчитывается как сумма дисконтированных денежных потоков проекта за все те периоды, в которых они положительны. Полные дисконтированные расходы проекта вычисляются аналогично, но суммируются потоки за те периоды, в которых они принимали отрицательные значения. PI, в отличие от NPV, является величиной относительной и показывает, какой доход получит инвестор на каждый инвестированный рубль. PI позволяет адекватно сравнивать проекты с различным объемом инвестиций. Весьма эффективно его применение в инвестиционном анализе совместно с NPV;
· внутренняя норма рентабельности, IRR (Internal Rate of Return). Идея этого критерия состоит в том, чтобы рассчитать такой коэффициент дисконтирования, чтобы NPV проекта стал равным нулю, т. е. сумма дисконтированных доходов стала равна сумме дисконтированных расходов:
CF0 + CF1(1 + IRR)1 + СF2(1 + IRR)2 +... + СРn/(1 + IRR)n = 0.
IRR обычно рассчитывается с помощью компьютера. Он полезен в основном своей наглядностью. Прежде всего, он показывает, при какой предельной цене капитала проект все еще останется прибыльным, т. е., иными словами, IRR показывает ожидаемую доходность проекта. Кроме того, сравнение IRR различных проектов дает возможность сделать выбор в пользу более рентабельного. Если IRR меньше цены капитала, то проект следует отклонить. С точки зрения выбора из нескольких альтернативных проектов критерии IRR и NPV могут в ряде случаев давать противоположные результаты, т. е. у проекта с большим NPV может оказаться IRR ниже, чем у проекта с меньшим NPV. Это вызвано тем, что для различных проектов график поступления средств во времени не одинаков. При этом критерии IRR и NPV реагируют на это различным образом, поскольку критерий NPV подразумевает, что поступающие от проекта средства реинвестируются по средней цене капитала (равной коэффициенту дисконтирования), а критерий IRR предполагает, что реинвестирование происходит по самой ставке IRR. В случае возникновения разногласий между IRR и NPVпредпочтение отдается NPVK&K. критерию, в основе применения которого лежит более реалистичный подход. Кроме того, чем более отдален во времени от начала проекта денежный поток, тем больше неопределенность в его прогнозировании и, соответственно, риск. Рассчитывая критерий NPV, это можно учесть, увеличивая коэффициент дисконтирования по мере удаления во времени от начала проекта. При расчете IRR так поступить нельзя. Существует и еще один недостаток IRR: в некоторых случаях этот критерий может иметь несколько значений, при которых NPV проекта становится равным нулю. В таких ситуациях его применить невозможно. Для преодоления этого недостатка применяется модифицированная IRR;
· модифицированная внутренняя норма рентабельности, MIRR (Modified IRR). Если проект имеет ординарный денежный поток, то в применении этого критерия нет необходимости. Под ординарным денежным потоком понимается ситуация, когда в течение одного или нескольких начальных периодов проекта наблюдается отток денежных средств (отрицательные денежные потоки периодов), которые в последующих периодах сменяются притоком денежных средств (положительными денежными потоками периодов). В такой ситуации NPV принимает значение, равное нулю, при единственном значении IRR. Совершенно иная ситуация складывается, когда крупные оттоки денежных средств возникают не только в начале, но и в середине или в конце срока действия проекта. При этом возможна ситуация, когда при двух или более значениях IRR критерий NPV становится равным нулю. Для исключения такой ситуации критерий IRR модифицируют, рассматривая притоки (IF) и оттоки (Inv) средств отдельно. Рассчитывается две основных величины: дисконтированная по цене капитала величина всех инвестиций (оттоков) денежных средств (Nf) и стоимость всех притоков денежных средств, наращенных исходя из предположения, что они могут быть реинвестированы по цене капитала проекта (TV). Величину TV иногда называют терминальной стоимостью (Terminal Value).
N1= Inv0 + Inv1/(1 + К)1 + Inv2/(1 + К)2 + ...+ Invn/(1+ К)n, TV= IF0 (1 + К)n + IF1(1 + А)n-1 + IF0 (1+K)n-2 ++ IFn.
Таким образом, все инвестиции (оттоки) приводятся к их стоимости в момент начала действия проекта, а все притоки денежных средств приводятся к их стоимости на момент окончания проекта. После этого вычисляется MIRR путем решения уравнения:
NI= TV/(1+ MIRR)n.
Помимо того, что критерий MIRR исключает неоднозначность в расчете внутренней нормы рентабельности проекта, он еще и дает более корректные результаты, поскольку при его расчете подразумевается, что средства, получаемые от проекта, могут быть реинвестированы компанией по ставке, равной цене капитала проекта, а не по ставке, равной IRR. В подавляющем большинстве случаев MIRR и NPV позволяют сделать одинаковые выводы при сравнении альтернативных проектов (если у одного из проектов NPV больше, чем у другого, то, как правило, и MIRR у него тоже больше). В отдельных случаях, если проекты существенно отличаются по масштабу, возможна ситуация, когда у проекта с большей MIRR оказывается меньший NPV. Как и в случае с IRR, в такой ситуации предпочтение отдается выбору проекта по критерию NPV. Тем не менее, критерий MIRR весьма полезен для анализа проектов и хорошо дополняет NPV, поскольку, в отличие от последнего, является относительной величиной.
Обычно, при составлении бизнес-плана проекта рассчитываются все описанные показатели, поскольку каждый из них отражает свои особенности проекта. Тем не менее, наиболее показательными и важными из них являются дисконтированный срок окупаемости, NPV,PI и MIRR
Принятие решений об инвестировании капитала
Making capital investment decisions. Из: Atrill P. Financial Management for Non-Specialists. – 2003.-Pretence Hall-Financial Times: Harlow.- p. 96-119
Примечание: русская терминология использована в соответствии с книгой А.К.Маренго «Финансовый менеджмент» (СПб.: Алетейя, 200, 163 стр.). Цифры в таблицах в круглых скобках означают отрицательные значения
Введение.
В данной главе мы посмотрим на то, как бизнес принимает решения об инвестициях в новые заводы, машины, здания и аналогичные долгосрочные ресурсы. Основные принципы, которые мы будем рассматривать, абсолютно таким же образом могут быть применены к инвестициям в любые другие долгосрочные ресурсы, включая акции компаний, вне зависимости от того, рассматриваются ли инвестиции бизнесом или частным индивидуумом. Кроме того, мы посмотрим на научные доказательства, связывающие использование различных техник с тем, что происходит на практике. Мы увидим, что имеются важные различия между теоретической привлекательностью определенной техники и ее популярностью на практике.
После того как решение по поводу инвестирования капитала было принято, необходимо установить адекватные методы контроля и анализа. Мы обсудим то, каким образом менеджеры могут наблюдать за течением проектов по инвестированию капитала, и как контроль может осуществляться на протяжении всего периода существования проекта.
Задачи. Когда вы закончите изучение этого раздела, вы должны будете:
- Объяснить природу и важность принятия решений в инвестировании.
- Идентифицировать и обсуждать четыре основных метода оценки инвестиций, которые используются на практике.
- Использовать каждый метод для того, чтобы принять решение о том или ином методе инвестирования.
- Объяснить методы, которые используются для того, чтобы анализировать и контролировать проекты, связанные с расходованием капитала.
Природа принятия решений об инвестировании.
Основным свойством решения об инвестировании является время. Инвестирование включает в себя отдачу или устранение чего-то, то имеет экономическую ценность, обычно денег, в один период времени для того, чтобы получить экономическую выгоду для инвестора в другой период времени. Обычно издержки предшествуют появлению выгоды. Кроме того, обычно издержки включают в себя однократное вложение большого количества денег, а выгоды, или положительные результаты, появляются в виде потока меньшего количества денег на протяжении достаточно длительного периода времени.
Решения по поводу инвестирования являются крайне важными для инвестора поскольку:
- Вовлекаются обычно большие количества ресурсов. Большое количество инвестиций, выполняемые деловым сообществом, включают в себя отвлечение значительной пропорции общих ресурсов. Если было принято неправильное решение, отрицательный эффект на бизнес может оказаться значительным, если не катастрофическим.
- Очень часто сложно или дорого «извлечь» инвестицию после того, как она была сделана. Очень часто инвестиции производятся деловым сообществом такие, что они являются специфичными для потребностей данного бизнеса. Например, бизнес может построить здание для того, чтобы обеспечивать определенные услуги. Это может привести к тому, что данное здание будет иметь значительно более низкую стоимость от других потенциальных пользователей, у которых имеются другие потребности. Если после того как была сделана инвестиция, предприятие выяснило, что данная услуга или товар не продается так хорошо, как ожидалось, единственным способом решения проблемы является закрытие соответствующего подразделения и продажа здания с большой потерей.
Задание 4.1. Когда управленцы принимают решения по поводу инвестирования капитала, чего они хотят добиться?
Инвестиционные решения должны совпадать с целями бизнеса. Для бизнеса в частном секторе обычно ключевой задачей является увеличение богатства акционеров.
Методы оценки инвестиций.
Учитывая важность решений об инвестициях для инвесторов, чрезвычайно важным является адекватный скрининг инвестиций. Важной частью процесса скрининга является необходимость удостовериться в том, что деловое сообщество использует адекватные методы оценки. Исследования показывают, что на практике бизнес во всем мире пользуется четырьмя основными методами оценки возможностей инвестирования. Это следующие методы:
- Бухгалтерская норма рентабельности (Accounting rate of return –ARR)
- Срок окупаемости инвестиционного проекта (Payback period –PP)
- Чистая настоящая стоимость (Net present value – NPV)
- Внутренняя норма рентабельности проекта (Internal rate of return – IRR)
Можно обнаружить предприятия, которые используют различные варианты этих четырех методов. Кроме того, можно найти организации, особенно небольшие, которые не используют никаких формальных методов оценки, а полагаются в основном на интуицию своих менеджеров. Большинство организаций, однако, используют один или более из этих четырех методов. И сейчас мы проанализируем эти методы глубже.
Для того чтобы изучить каждый из этих четырех методов, полезно было бы посмотреть, как они будут анализировать определенную инвестиционную возможность. Посмотрим на следующий пример:
Пример 4.1. Компания Billingsgate Battery провела маркетинговое исследование, которое продемонстрировало, что является возможным производить и продавать недавно разработанный продукт.
Решение производить потребует инвестиций в покупку машины стоимостью 100 000 фунтов стерлингов, причем заплатить эти деньги необходимо немедленно. Производство и продажа продуктов будет происходить на протяжении следующих пяти лет, в конце периода машину можно будет продать за 20 000 фунтов. Производство и продажа продуктов могут проходить следующим образом:
|
|
Количество проданных единиц |
|
Следующий год |
5 000 |
|
Второй год |
10 000 |
|
Третий год |
15 000 |
|
Четвертый год |
15 000 |
|
Пятый год |
5 000 |
Согласно оценкам новый продукт может быть продан за 12 фунтов за единицу и соответствующая стоимость материалов и рабочей силы составляет 8 фунтов за единицу. Для того чтобы упростить наши рассуждения, мы можем предложить, что деньги за продажу и расходы на производство происходят в конце каждого года. На практике, естественно, денежные потоки будут идти на протяжении всего года.
Памятуя о том, что каждая проданная единица будет приводить к притоку денег в размере 4 фунтов (12 – 8), денежные потоки (получение и выплаты) на протяжении жизни продукта будут следующими:
|
Немедленно |
Стоимость машины |
(100) |
|
1 год |
Суммарный доход до амортизации (4х 5000) |
20 |
|
2 год |
Суммарный доход до амортизации (4х10000) |
40 |
|
3 год |
Суммарный доход до амортизации(4х15000) |
60 |
|
4 год |
Суммарный доход до амортизации(4х15000) |
60 |
|
5 год |
Суммарный доход до амортизации(4х5000) |
20 |
|
5 год |
Продажа машины |
20 |
Обратите внимание на то, что в целом суммарный доход до расчетов амортизации равняется общему количеству денег, которые поступают в данную организацию. Исключая амортизацию, все расходы приходят к тому, что деньги уходят из организации, а все продажи приводят к тому, что деньги приходят в организацию.
Теперь мы рассмотрим, как работает каждый методы анализа инвестиций.
Бухгалтерская норма рентабельности.
Бухгалтерская норма рентабельности принимает во внимание бухгалтерскую прибыль, которую генерируют инвестиции и выражают ее как процент от средних инвестиций всего срока жизни проекта. Таким образом:
ARR = среднегодовая прибыль / среднегодовую инвестицию для получения данной прибыли х 100%
Мы видим, что для того чтобы подсчитать ARR, нам необходимо иметь доступ к двум источникам информации:
- Среднегодовой доход
- Среднегодовые инвестиции для данного проекта.
В нашем примере среднегодовой доход до амортизации на протяжении 5 лет составляет 40 000 фунтов[(20000+40000+60000+60000+20000)/5]. Предполагая наличие амортизации по методу «прямой линии» (иными словами равным количествам) ежегодные амортизационные расходы составят 16000. [(стоимость 100000 – остаточная стоимость 20000)/5]. Таким образом, среднегодовая прибыль после амортизации составляет 24000 (40000 – 16000).
Среднегодовые инвестиции на протяжении 5 лет могут быть рассчитаны следующим образом:
Среднегодовые инвестиции = (стоимость машины + остаточная стоимость) / 2 = (100000+20000) / 2 = 60000
Иными словами ARR для данной инвестиции составляет:
ARR = (24000 / 60000) х 100% = 40%
Для того чтобы решить является ли 40% норма рентабельности приемлемой, мы должны сравнить данную норму рентабельности с минимальной нормой рентабельности, которая устанавливается данной организацией.
Задание 4.2. Chaotic Industries рассматривает вопрос об инвестиции на покупку 10 машин для доставки своих продуктов потребителям. Каждый автомобиль стоит около 15000 фунтов, при этом заплатить нужно немедленно. Ежегодные расходы превышают 20000фунтов на каждый автомобиль (включая зарплату водителя). Автомобили будут адекватно работать на протяжении 6 лет, после чего они все должны быть отправлены на переработку, что обойдется в 3000 фунтов за единицу. В настоящий момент данная организация использует другую компанию для доставки товаров. Предполагается, что данная компания будет выставлять счет в 23000 фунтов на протяжении каждого года в течение 6 лет для того, чтобы обеспечивать доставку товара.
Чему равняется ARR для покупки этих автомобилей? (Обратите внимание на то, что экономия денег аналогична прибыли от инвестиций).
Данные автомобили будут экономить организации около 30000 унтов в год [230000 – (20000 х 10)], до амортизации. Таким образом, притоки и оттоки денег будут выглядеть так:
|
Немедленно |
стоимость автомобилей |
150000 |
|
1 год |
общая экономия до амортизации |
30000 |
|
2 год |
общая экономия до амортизации |
30000 |
|
3 год |
общая экономия до амортизации |
30000 |
|
4 год |
общая экономия до амортизации |
30000 |
|
5 год |
общая экономия до амортизации |
30000 |
|
6 год |
общая экономия до амортизации |
30000 |
|
6 год |
деньги, полученные от продажи автомобилей |
30000 |
Общие амортизационные расходы (предполагая амортизацию по «прямой линии» составят 20000 фунтов [(15000 – 30000) / 6]. Таким образом среднегодовая экономия после амортизации составит 10000 фунтов (30000 – 20000). Средние инвестиционные вклады составят:
Средние инвестиции = (150000 + 30000) / 2 = 90000
Таким образом, ARR для инвестиций составят: (10000 / 90000) х 100% = 11,1%
Вы, наверное, обратили внимание на то, что ARR и коэффициент рентабельности активов (ROSE) используют один и тот же подход к оценке эффективности деятельности организации. Коэффициент рентабельности активов является популярным способом оценки эффективности работы организации в целом после того, как прошел определенный период. В теории если инвестиции, которые делаются Chaotic Industries (задание 4.2) имеют ARR = 11,1%, то и коэффициент рентабельности активов для данной организации в целом должен быть 11.1%.
Многие организации используют коэффициент рентабельности активов как ключевой показатель и поэтому, когда принят определенный коэффициент рентабельности активов, может показаться логичным использование ARR для оценки новых инвестиций. Ранее мы видели, что бизнес, использующий ARR, может сравнить полученную норму прибыли с минимальной требуемой нормой прибыли. Эта минимальная норма прибыли определяется различными способами. Например, она может отражать норму, которую давали предыдущие инвестиции (измеренные коэффициентом рентабельности активов), или средним коэффициентом рентабельности активов для данной промышленности. Когда имеются конкурирующие проекты, каждый из которых может превысить минимальное значение, то из них, которое имеет наивысшее ARR, будет отобран как наиболее привлекательный.
Говорят, что ARR имеет достаточно большое количество преимуществ, как метод оценки инвестиций. Как уже раньше упоминалось, коэффициент рентабельности активов широко используемый показатель деятельности организации, поэтому может показаться разумным использовать метод оценки инвестиций, который аналогичен общему подходу к измерению эффективности деятельности организации. Кроме того, ARR измеряет прибыльность, которая может оказаться адекватным способом оценки инвестиций. Ну и наконец, ARR дает процентную норму прибыли, которую легко понимают управленцы. Проценты очень часто используются при установке целей для деятельности организации и управленцы чувствуют себя комфортно, когда они используют метод оценки, базирующийся на таком же способе измерения.
Задание 4.3. ARR страдает от одного, очень серьезного, дефекта при оценке возможностей для инвестиций. Как вы думаете, что является этим дефектом? Подсказка: дефект не связан со способностью человека, принимающего решения предсказывать будущее, хотя это тоже может вызывать проблемы. Попытайтесь вспомнить, что является основной характеристикой решений об инвестициях, которые мы описали вначале этой главы.
Проблема с ARR заключается в том, что она практически полностью игнорирует временной фактор. В примере компании Billingsgate Battery (пример 4.1) мы бы получили абсолютно аналогичную ARR в любом из трех следующих вариантов:
|
|
|
Исходный вариант |
Вариант 2 |
Вариант 3 |
|
Немедленно |
Стоимость машины |
(100) |
(100) |
(100) |
|
1 год |
Суммарный доход до амортизации |
20 |
10 |
160 |
|
2 год |
Суммарный доход до амортизации |
40 |
10 |
10 |
|
3 год |
Суммарный доход до амортизации |
60 |
10 |
10 |
|
4 год |
Суммарный доход до амортизации |
60 |
10 |
10 |
|
5 год |
Суммарный доход до амортизации |
20 |
160 |
10 |
|
5 год |
Продажа машины |
20 |
20 |
20 |
Поскольку одна и та же самая прибыль до амортизации была на протяжении всех 5 лет во всех трех случаях, т.е. она составляла 220000 фунтов и средняя прибыль после амортизации должна быть абсолютно аналогичной (т.е. 24000). Это означает, что в каждом случае мы получим абсолютно одинаковую ARR = 40% , однако мы видим, что картина прибылей в каждом из этих возможных вариантов варьирует очень сильно.
Учитывая финансовую задачу максимизации богатства хозяев бизнеса, менеджер, который смотрит на три возможных сценария, описанных в упражнении 4.3, будет предпочитать сценарий 3. Это связано с тем, что большая часть выгоды от инвестиции возникает в течение одного года после того, как инвестиция была сделана. Исходный сценарий будет на втором месте, а сценарий 3 будет оценен как третий. Любая техника оценки, которая не способна разделить эти три ситуации, имеет серьезную проблему. Мы посмотрим в деталях на то, почему время является настолько важным фактором в этой главе немножко позднее.
Имеются и другие дефекты, которые связаны с методом ARR. Когда мы измеряем эффективность на протяжении всей продолжительности жизни проекта, оказывается важным поток денег, а не бухгалтерская прибыль. Деньги – это наиболее важный показатель экономического богатства сгенерированный данной инвестицией. Это связано с тем, что деньги используются для того, чтобы приобретать ресурсы и распределяться между акционерами. С другой стороны, бухгалтерская прибыль более адекватна для периодической отчетности, она является адекватным показателем производительности в определенный период времени, такой как год, или полгода. Поэтому в реальности мы должны задавать себе вопрос, что же мы измеряем. Бухгалтерская прибыль великолепна для измерения эффективности на протяжении коротких периодов времени, но деньги являются адекватным показателем, когда мы рассматриваем эффективность на протяжении всей жизни проекта.
Кроме того, ARR может приводить к проблемам, когда мы рассматриваем инвестиции разных размеров.
Задание 4.4. Joanna Sinclair plc рассматривает вопрос об открытии нового магазина в Ковентри. Идентифицировано два возможных места, где магазин можно было бы открыть. Место А имеет площадь 30000кв.м. Это место потребует инвестиций в 6 млн. фунтов и будет приводить к среднему доходу в 600000 фунтов в год. Место В имеет размеры в 20000 кв.м., потребует ежегодных инвестиций в 4 млн.фунтов и приводить к ежегодному доходу в 500000фунтов в год.
Какова ARR для каждого из этих магазинов? Какое место стоило бы выбрать и почему?
ARR для магазина на месте А составляет:
600000 / 6000000 = 10%
ARR для магазина на месте В составляет:
500000 / 4 000000 = 12,5%
Иными словами, место В имеет более высокую ARR, однако, в терминах абсолютной прибыли, которая была сгенерирована, место А кажется более привлекательным. Если основной задачей является максимизация богатства акционеров, лучше было бы выбрать место А, даже несмотря на то, что процентная норма прибыли ниже. Все дело в том, что акционеров интересуют абсолютные размер прибыли, а не относительный (процентный) размер.
Пример 4.1. Как увеличить ARR, выбросив деньги!
Для того чтобы проиллюстрировать странные результаты, к которым может привести ARR, предположим, что вы подготовили следующее предложение по инвестированию для вашего руководителя, базируясь на следующей информации:
|
Стоимость оборудования |
200000 фунтов |
|
Остаточная стоимость оборудования |
40000 фунтов |
|
Среднегодовые доходы до амортизации |
48000 фунтов |
|
Предположительный срок жизни проекта |
10 лет |
|
Ежегодные амортизационные расходы |
16000 фунтов [(200000 – 40000)/10] |
Таким образом, ARR для данного проекта составит:
ARR = (48000 – 16000) / (200000 + 40000) /2 х 100 = 20%
Ваш руководитель, однако, говорит вам, что минимальное ARR для инвестиционным проектов с аналогичными данными составляет 25%. Хотя вы разочарованы, вы обнаруживаете, что надежда все-таки еще есть. Единственно что вам необходимо сделать, это согласиться выбросить оборудование после окончания его срока работы, а не пытаться его продать. Остаточная стоимость оборудования тогда будет ноль и ежегодная амортизация составит [(200000– 0) / 10 ] = 20000 фунтов в год.
Вы пересматриваете свои расчеты ARR и они становятся следующими:
ARR = (48000 – 20000) / (200000) + 0 / 2 х 100 = 28%
Вы потеряли для организации 40000 фунтов, согласившись выбросить оборудование в конце его срока службы, вместо того, чтобы его продать, но за счет этого вы повысили ARR до приемлемого уровня!
Срок окупаемости.
Срок окупаемости – это период времени, который требуется для того, чтобы начальные инвестиции окупились за счет денег, генерируемых проектом. Поскольку данный метод принимает во внимание время, он, как кажется, преодолевает соответствующие проблемы, имеющиеся с ARR – или, по крайней мере, с первого взгляда кажется, что он с ними справляется. Давайте рассмотрим срок окупаемости в контексте примера 4.1 с компанией Billingsgate Battery. Вы можете увидеть, что стоимости проекта и его расходы могут быть просуммированы таким образом:
|
Немедленно |
Стоимость машины |
(100) |
|
1 год |
Суммарный доход до амортизации |
20 |
|
2 год |
Суммарный доход до амортизации |
40 |
|
3 год |
Суммарный доход до амортизации |
60 |
|
4 год |
Суммарный доход до амортизации |
60 |
|
5 год |
Суммарный доход до амортизации |
20 |
|
5 год |
Продажа машины |
20 |
Обратите внимание, что все эти суммы – это количество денег, которые либо были выплачены, либо получены (ранее мы видели, что суммарный доход до амортизации – это грубая оценка потока денег, идущих от проекта).
Учитывая наше предыдущее допущение о том, что приток денег возникает в конце года, срок окупаемости данного инвестиционного проекта составляет 3 года. Иными словами пройдет три года прежде чем первоначальная инвестиция в 100000 фунтов будет покрыта приходящими средствами. Срок окупаемости может быть рассчитан путем оценки кумулятивного притока денег следующим образом:
|
|
|
Поток денег |
Кумулятивный поток денег |
|
|
Немедленно |
Стоимость машины |
(100) |
(100) |
|
|
1 год |
Суммарный доход до амортизации |
20 |
(80) |
-100+20 |
|
2 год |
Суммарный доход до амортизации |
40 |
(40) |
-80+40 |
|
3 год |
Суммарный доход до амортизации |
60 |
20 |
-40+60 |
|
4 год |
Суммарный доход до амортизации |
60 |
80 |
+20+60 |
|
5 год |
Суммарный доход до амортизации |
20 |
100 |
+80+20 |
|
5 год |
Продажа машины |
20 |
120 |
+100+20 |
Мы видим, что кумулятивный приток денег становится положительным на третьем году. Если бы мы предположили, что поток денег идет на протяжении всего года равномерно, точный срок окупаемости составил бы:
2 года + 40/60 = 2 2/3 года,
(где 40 представляет собой поток денег, который все еще необходим на начало третьего года для того, чтобы окупить исходные инвестиции; а 60 представляет собой поток денег в течение этого года). Мы вновь можем задать вопрос о том, как решить насколько данный показатель является приемлемым. Менеджер, использующий метод срока окупаемости, должен постоянно думать о минимальном периоде окупаемости. Если, например, компания Billingsgate Battery имеет минимальный срок окупаемости 3 года, то тогда проект будет рассматриваться как приемлемый. Если имеются два конкурирующих проекта, каждый из которых соответствует минимальному критерию срока окупаемости, менеджер выберет тот проект, который имеет более короткий период окупаемости.
Задание 4.5. Каков срок окупаемости проекта Chaotic Industries из примера 4.2? Приход и расход денег будет следующим:
|
|
|
Поток денег |
Кумулятивный поток денег |
|
|
|
£000 |
£000 |
|
Немедленно |
стоимость автомобилей |
(150) |
(150) |
|
1 год |
общая экономия до амортизации |
30 |
(120) |
|
2 год |
общая экономия до амортизации |
30 |
(90) |
|
3 год |
общая экономия до амортизации |
30 |
(60) |
|
4 год |
общая экономия до амортизации |
30 |
(30) |
|
5 год |
общая экономия до амортизации |
30 |
0 |
|
6 год |
общая экономия до амортизации |
30 |
30 |
|
6 год |
деньги, полученные от продажи автомобилей |
30 |
60 |
Срок окупаемости составляет 5 лет, иными словами только в конце 5-го года приобретение автомобилей окупится из той экономии, которую они генерируют.
Метод срока окупаемости имеет определенные преимущества: он достаточно быстр, его легко рассчитать и его легко понимают управленцы. Логика срока окупаемости заключается в том, что проект, который быстро возвращает вложенные в него деньги, экономически более привлекателен, чем проект, который имеет более длительный срок окупаемости. Однако, данный метод не дает нам полного ответа на наши вопросы.
Задание 4.6. В каком аспекте метод срока окупаемости не дает нам полный ответ для оценки возможностей инвестиций? Рассмотрим потоки денег, возникающие в трех конкурирующих проектах.
|
|
|
Проект 1 |
Проект 2 |
Проект 3 |
|
Немедленно |
Стоимость машины |
(200) |
(200) |
(200) |
|
1 год |
Суммарный доход до амортизации |
40 |
10 |
80 |
|
2 год |
Суммарный доход до амортизации |
80 |
20 |
100 |
|
3 год |
Суммарный доход до амортизации |
80 |
170 |
20 |
|
4 год |
Суммарный доход до амортизации |
60 |
20 |
200 |
|
5 год |
Суммарный доход до амортизации |
40 |
10 |
500 |
|
5 год |
Продажа машины |
40 |
10 |
20 |
Указание: вновь обратите внимание на то, что дефекты на связаны со способностью людей, принимающих решение, предсказывать будущие события. Эта проблема выбора подхода.
Срок окупаемости для каждого проекта составляет три года, и таким образом подход с использованием срока окупаемости будет рассматривать все три проекта, как одинаково приемлемые. Метод срока окупаемости не может отличить проекты, которые возвращают значительные количества денег на ранних стадиях и те проекты, которые не возвращают значительные количества на ранних стадиях. Кроме того, этот метод игнорирует потоки денег после периода окупаемости. Человек, принимающий решение, целью которого является увеличение богатства акционеров, предпочел бы проект 3 в приведенной выше таблице, поскольку потоки денег приходят раньше и они в целом больше. Кумулятивные потоки денег от каждого проекта показаны на рисунке 4.1.
Рисунок 4.1 Кумулятивные потоки денег для проектов из задания 4.6 (payback period –
срок окупаемости, initial outlay – первоначальные расходы, yr – год))
Срок окупаемости у этих трех проектов не различается, они все имеют один и тот же срок окупаемости и поэтому они все одинаково приемлемы (хотя проект 3 приводит к появлению значительно большего количества денег с более ранней точкой течения 3-х летнего срока окупаемости, и общее количество денег, генерируемое 3 проектом, значительно больше, чем двумя другими проектами).
Мы видим, что метод срока окупаемости не анализирует доходность проектов, он просто заинтересован в периоде возврата денег. Таким образом, потоки денег, возникающие после окончания срока окупаемости, игнорируются. Хотя благодаря этому мы избегаем проблемы предсказания потока денег на протяжении более длительного периода времени, это означает, что важная информация игнорируется. Вам может показаться, что, предпочитая проекты с коротким сроком окупаемости, подход «срока окупаемости» по крайней мере, представляет возможности включения информации о риске неопределенности. Однако это достаточно грубый подход к проблеме. Позднее мы увидим, что существуют более систематические подходы к проблеме риска.
Чистая настоящая стоимость.
Для того чтобы сделать разумные инвестиции нам необходим метод оценки, который бы принял во внимание все расходы и все выгоды от каждой инвестиционной возможности, а также принял бы во внимание время наступления этих расходов и этих преимуществ. Подобный подход обеспечивает нам метод чистой настоящей стоимости. Давайте рассмотрим компанию Billingsgate Battery из примера 4.1, потоки денег у которых, могут быть оценены следующим образом:
|
Немедленно |
Стоимость машины |
(100) |
|
1 год |
Суммарный доход до амортизации |
20 |
|
2 год |
Суммарный доход до амортизации |
40 |
|
3 год |
Суммарный доход до амортизации |
60 |
|
4 год |
Суммарный доход до амортизации |
60 |
|
5 год |
Суммарный доход до амортизации |
20 |
|
5 год |
Продажа машины |
20 |
Учитывая основную финансовую задачу для организации по увеличению богатства акционеров, было бы крайне легко оценить эту инвестицию, если бы все притоки денег, все доходы и расходы происходили в один и тот же момент времени. Все что нам было бы необходимо сделать – это просуммировать все доходы (220000) и сравнить результаты с расходами (100000). Это бы привело бы нас к выводу о том, что проект должен продолжаться, поскольку в результате организация получит дополнительно 120000 фунтов стерлингов. Конечно ситуация не настолько проста, поскольку в данном процессе участвует время. Расходы возникают немедленно после того, как проект начался. Доходы возникают на протяжении более длительного периода времени.
Временной фактор является крайне важным, поскольку люди не рассматривают 100 фунтов, выплаченных сегодня, эквивалентными 100 фунтам, полученным через год.
Упражнение 4.7. Почему вы считаете 100 фунтов, полученные через год, не равными 100 фунтам, которые вы заплатили в данный момент? (в основном имеются три причины). Эти три причины следующие:
- Потерянные депозитные проценты.
- Риск
- Эффекты инфляции.
Теперь мы более детально рассмотрим три причины, которые указаны как ответ на задание 4.7.
Потерянные проценты.
Если вам не дают возможность потратить ваши деньги на протяжении целого годы, вы соответственно не можете положить их на депозитный счет в банк или в паевой фонд. В данном случае в конце года вы могли бы получить назад ваши деньги, но, кроме того, еще и проценты на них. Таким образом, если инвестиционные возможности не предлагают вам аналогичного возврата, у вас появляются альтернативные издержки. Альтернативные издержки возникают тогда, когда одно решение лишает вас возможности получить выгоду от другого решения, например, что вы положите деньги в банк.
Любое решение по инвестированию должно, если оно будет вас делать более богатым, давать вам больший возврат, чем сравнимая с ней другая возможность. Иными словами, если компания Billingsgate Battery может разместить деньги в банке на депозитный счет, в качестве альтернативы на покупку машины, тогда прибыль от инвестирования в машину, должна быть лучше, чем прибыль от инвестирования в банк. Если банк предлагает большую прибыль, тогда организация станет более богатой, если она просто поместит деньги на депозитный счет.
Риск
Покупка машины для производства продукта, который будет продаваться на рынке, очень часто является рискованным мероприятием. Ситуация может развиваться не так, как ожидалось.
Задание 4.8. Можете ли вы предложить причины, по которым ситуация может развиваться не так, как ожидается для компании Billingsgate Battery?
Ваш ответ может включать следующее:
- Машина может не работать так, как ожидается; она может сломаться, что приведет к уменьшению производства и продаж
- Продажи продукта могут оказаться не столь хорошими, как ожидалось
- Срок жизни продукта может оказаться короче, чем ожидалось
- Расходы на персонал могут оказаться выше, чет ожидалось
- Деньги, полученные от продажи машины, могут оказаться меньше, чем оценивалось.
Чрезвычайно важно помнить, что решение о том, инвестировать или нет данную машину, должно быть принято до того, как возникнет, какая бы то ни было из проблем, перечисленных в упражнении 4.8.
Только после того как машина была куплена, мы можем обнаружить, что предполагаемый уровень продаж не будет достигнут. Мы может изучить отчеты и аналитические исследования рынки; мы можем запустить сложные маркетинговые исследования, и они нам помогут увеличить доверие к результату; вы можем развернуть рекламную кампанию и пытаться способствовать увеличению продаж, однако мы все равно прыгаем в темноту и должны принять риск, если мы хотим сделать выгодное вложение.
Обычно люди хотели бы получить большую норму прибыли, когда они считают, что серьезным фактором будет являться риск. Примеры этому в реальной жизни найти не очень сложно. Один из них это то, что банки ссужают деньги под большие проценты тем заемщикам, кого банки считают более рискованными, чем тем, кто может предложить хорошее обеспечение для займа и может указать на регулярный источник дохода.
Возвращаясь назад к инвестиционным возможностям компании Billingsgate Battery, недостаточно сказать, что мы не должны рекомендовать инвестиции, если норма прибыли от них выше, чем та, которая получается от депозита в банке. Ясно, что мы хотели бы иметь норму прибыли выше уровня процентной ставки по банковским депозитам, поскольку логическим эквивалентом инвестирования в покупку машины является не размещение денег на депозите - им является альтернативная инвестиция, которая имеет риск, аналогичный инвестированию покупки машины.
Мы обычно ожидаем более высокую норму прибыли от инвестиционных проектов, в которых риск считается более высоким. Насколько рискован определенный проект и, соответственно, насколько высокой должна быть премия за риск, это вопрос, с которым очень сложно работать. Обычно необходимо придти к неким выводам по поводу этих вопросов, и мы рассмотрим этот вопрос детально в следующей главе.
Инфляция.
Если у вас на год отобрали 100 фунтов, когда вы через год их, в конце концов, получите, вы не сможете купить столько же товаров и услуг, как вы могли бы это сделать год тому назад. В целом вы не сможете купить столько же кусков хлеба, билетов в кино, или автобусных билетов за 100 фунтов, как вы могли бы сделать это год тому назад. Это называется инфляцией. Ясно, что инвестор должен получить компенсацию за свою потерю способности покупать товары, если существует желание, чтобы инвестиции выполнялись. Все это добавляется к норме прибыли, которая принимает во внимание ту норму прибыли, которая была бы получена при альтернативном инвестировании с аналогичным риском.
Рисунок 4.2 демонстрирует три фактора, влияющие на коэффициент дисконтирования, которые были недавно обсуждены.

Рис. 4.2 Факторы, влияющие на используемую при оценке проекта ставку дисконтирования (interest forgone – потерянные проценты по вкладу, inflation – инфляция, risk premium – премия за риск).
Рисунок демонстрирует три фактора, влияющие на дисконтирование, которые были обсуждены ранее.
Действия разумного инвестора.
Просуммировав то, что мы обсудили, мы можем сделать вывод, что разумный инвестор, желающий увеличить свое богатство, будет готов сделать свои инвестиции лишь в том случае, если они скомпенсируют ему потерю возможных процентов по депозитам, потерю покупательной способности денег и тот факт, что ожидаемая прибыль может так и не материализоваться (риск). Это обычно оценивается тем, что мы пытаемся выяснить, насколько большую норму прибыли, чем базовая процентная ставка (которая включает в себя инфляцию) плюс премия за риск, позволяет нам получить предлагаемая инвестиция.
Давайте вернемся к примеру с компанией Billingsgate Battery. Вы помните, что потоки денег от данной инвестиции являются следующими:
|
Немедленно |
Стоимость машины |
(100) |
|
1 год |
Суммарный доход до амортизации |
20 |
|
2 год |
Суммарный доход до амортизации |
40 |
|
3 год |
Суммарный доход до амортизации |
60 |
|
4 год |
Суммарный доход до амортизации |
60 |
|
5 год |
Суммарный доход до амортизации |
20 |
|
5 год |
Продажа машины |
20 |
Теперь давайте предположим, что вместо того, чтобы сделать эту инвестицию, организация может сделать альтернативную инвестицию с аналогичным риском и получать прибыль 20% в год. Мы уже видели, что для инвестирования недостаточно просто сравнить исходные потоки денег. Было бы полезно, если бы мы могли выразить каждый из этих потоков денег в аналогичных терминах так, чтобы мы могли сделать прямые сравнения между суммой этих потоков денег и немедленным инвестированием 100000 фунтов. На самом деле мы это можем сделать.
Задание 4.9. Если мы знаем, что компания Billingsgate Battery может альтернативно инвестировать свои деньги под 20% годовых, как бы вы смогли оценить настоящую стоимость ожидаемого чека в 20000 за первый год? Иными словами, если вместо того, чтобы на протяжении года ожидать получения 20000 и при этом потерять возможность инвестировать некую сумму под 20% годовых, какую бы вы хотели получить сумму денег, которая бы рассматривалась как точно эквивалентная 20000 через год?
Мы явно были бы рады получить меньшее количество денег, если бы мы смогли получить их немедленно, вместо того, чтобы ждать на протяжении года. Это связано с тем, что мы можем инвестировать их под 20% годовых (в альтернативном проекте), и это позволит им вырасти до большего объема через год. Логически мы согласны были бы принять то количество, которое через год вырастет до 20000. Если мы назовем это количество настоящей стоимостью (PV), мы можем сказать:
PV = (PV х 20%) = 20000 фунтов
Иными словами это количество плюс доход от инвестирования этого количества на протяжении одного года, должен равняться 20000 фунтов.
Мы можем преобразовать это уравнение следующим образом:
PV х (1 + 0,2) = 20000 фунтов
(Обратите внимание, то 0,2 это те же самые 20%, но выраженные в виде пропорции). Уравнение может быть преобразовано следующим образом:
PV = 20000 / (1+0,2) = 16667 фунтов
Иными словами разумный инвестор, который имеет возможность инвестировать под 20% годовых, будет безразличен к возможности получить 16667 фунтов сейчас, или 20000 фунтов через год. В этом смысле мы можем сказать, что с учетом 20% инвестиционной возможности 20000 фунтов имеют нынешнюю стоимость 16667 фунтов.
Если бы мы могли рассчитать настоящую стоимость (PV) каждого из потоков денег, связанных с покупкой машины фирмой Billingsgate Battery, мы могли бы легко сделать сравнение между стоимостью инвестиций (100000 фунтов) и различными выгодами, которые будут получены м 1 по 5 год. К счастью мы это можем сделать. Мы можем сделать более общее уравнение для PV и определенного потока денег:
PV для потока денег в год n = реальный поток денег в год n / (1 + r) n ,
где n это год, когда мы изменяем поток денег (т.е. иными словами через сколько лет от настоящего момента это происходит), а r это альтернативная возможность инвестиции, выраженная в десятичных выражениях, вместо того, чтобы выражать ее в процентах.
Мы уже видели как это работает в случае 20000 фунтов для первого года. Для второго года с потоком денег в 40000 фунтов расчеты будут следующими:
PV = 40000 / (1 + 0,2)2 = 40000 / (1.2)2 = 40000 /1,44 = 27778
Иными словами настоящая цена 40000 фунтов, которые были бы получены через два года, составляет 27778.
Задание 4.10. Проанализируйте, сможете ли вы продемонстрировать, что инвестор будет безразличен к тому, получит ли он 27778 фунтов сейчас или 40000 фунтов через два года, предполагая, что есть возможность инвестировать эти деньги по 20% годовых.
Рассуждения идет следующим образом:
|
Количество, которое можно инвестировать в настоящий момент |
27778 фунтов |
|
Плюс доходы в 1 год (20% х 27778) |
5556 33334 |
|
Плюс доходы для 2 года (20% х 333330) |
6667 40001 |
(Дополнительный один фунт это ошибка округления)
Таким образом, поскольку инвестор может превратить 27778 фунтов в 40000 фунтов за два года, эти количества эквивалентны, и мы можем сказать, что 27778 фунтов имеют настоящую стоимость в 40000 фунтов, полученную через два года (с учетом 20% возврата).
Теперь давайте подсчитаем настоящую стоимость всех потоков денег, которые связаны с проектом по покупке машины компанией Billingsgate Battery и, соответственно сможем рассчитать чистую настоящую стоимость проекта целиком.
Соответствующие потоки денег и расчеты, представлены в таблице ниже [обратите внимание, что (1 + 0,2)0 = 1]:
|
|
Потоки денег |
Расчет PV |
PV |
|
Немедленно |
(100) |
(100)/(1+0,2)0 |
(100,00) |
|
1 год |
20 |
20/(1+0,2)1 |
16,67 |
|
2 год |
40 |
40/(1+0,2)2 |
27,78 |
|
3 год |
60 |
60/(1+0,2)3 |
34,72 |
|
4 год |
60 |
60/(1+0,2)4 |
28,94 |
|
5 год |
20 |
20/(1+0,2)5 |
8,04 |
|
5 год |
20 |
20/(1+0,2)6 |
8,04 |
|
|
|
|
24,19 |
Снова мы можем задать вопрос, как мы можем решить, насколько норма прибыли приемлема для бизнеса. На самом деле правило принятия решения очень простое; если NPV является положительным, мы такой проект принимаем, если отрицательным – данный проект отвергается. В данном случае NPV является положительным и поэтому мы должны принять проект и купить машину.
Идея, которая заложена в этом правиле принятия решений, достаточно проста. Учитывая возможности по инвестированию, которые имеются у данной организации, инвестирование в машину приведет к тому, что хозяева бизнеса получат 24190 фунтов. Иными словами, на сегодняшний день суммарный доход от инвестирования в данную машину будет стоить 124190 фунтов, и поскольку сегодня бизнес может купить эту выгоду всего лишь за 100000 фунтов, данная инвестиция является разумной. С другой стороны, если суммарные доходы оказались бы ниже 100000, они были бы меньше, чем стоимость «покупки» этой выгоды.
Упражнение 4.11. Каков максимум, который могла бы заплатить компания Billingsgate Battery для того, чтобы получить потенциальную выгоду?
Компания была бы готова заплатить до 124190 фунтов, поскольку богатство владельцев организации увеличилось бы до этого момента. Хотя компания в этом случае заплатила бы меньше.
Использование дисконтных таблиц.
Оценка настоящей стоимости различных потоков денег является немножко более сложным при использовании того подхода, который мы только что приняли. Для того чтобы рассчитать каждый показатель PV, мы брали соответствующий поток денег и умножали его на 1 / (1 + r) n . К счастью существует более быстрый способ. Существуют таблицы, которые показывают значение коэффициента дисконтирования для большого количества значений r и n. Такая таблица присутствует в приложении А в конце данной главы. Посмотрите на нее.
Посмотрите на столбец для 20% и строку для одного года. Мы видим, что фактор равняется 0,833. Соответственно, PV для потока денег равного 1 фунту, полученному в течение одного года, составляет 0,833. Таким образом, поток денег 20000 в конце года равняется 16667 (т.е. 0,833 х 20000) - тот же самый результат, который мы получили, делая все расчеты вручную.
Задание 4.12. Каково NPV для проекта Chaotic Industries из задания 4.2 , если мы предположим, что дисконтирование составляет 15%? Помните, что приток и отток денег равны.
|
|
|
£000 |
|
Немедленно |
стоимость автомобилей |
150 |
|
1 год |
общая экономия до амортизации |
30 |
|
2 год |
общая экономия до амортизации |
30 |
|
3 год |
общая экономия до амортизации |
30 |
|
4 год |
общая экономия до амортизации |
30 |
|
5 год |
общая экономия до амортизации |
30 |
|
6 год |
общая экономия до амортизации |
30 |
|
6 год |
деньги, полученные от продажи автомобилей |
30 |
Вы должны использовать таблицу коэффициента дисконтирования в конце книги.
Расчет NPV для этого проекта следующий:
|
|
Потоки денег |
Фактор дисконтирования |
Настоящая стоимость |
|
|
£000 |
|
£000 |
|
Немедленно |
150 |
1,000 |
(150,00) |
|
1 год |
30 |
0,870 |
26,10 |
|
2 год |
30 |
0,756 |
22,68 |
|
3 год |
30 |
0,658 |
19,74 |
|
4 год |
30 |
0,572 |
17,16 |
|
5 год |
30 |
0,497 |
14,91 |
|
6 год |
30 |
0,432 |
12,96 |
|
6 год |
30 |
0,432 |
12,96 |
|
Чистая настоящая стоимость |
|
|
23,49 |
Задание 4.13. Как бы вы проинтерпретировали ваши результаты в задании 4.12?
Тот факт, что проект имеет отрицательное NPV, означает, что настоящая цена выгоды от инвестирования меньше, чем стоимость этого инвестирования. Любые расходы до 126510 фунтов (нынешняя цена выгоды), были бы выгодными, но не 150000.
Таблицы коэффициента дисконтирования четко показывают, как уменьшается значение одного фунта по мере того, как возврат отодвигается в будущее. Предполагая, что альтернативные издержки составляют 20% в год, 1 фунт, который получен в настоящий момент, естественно, имеет стоимость 1 фунт. Однако, по мере того, как время до получения этой суммы увеличивается, его стоимость значительно уменьшается, как показано на рисунке 4.3.
Рис. 4.3 Настоящая стоимость 1 фунта стерлингов полученного в различные периоды
в будущем при ежегодной ставке дисконтирования 20% (present value –
настоящая стоимость, year –год)
Рисунок показывает, как уменьшается нынешняя стоимость 1 фунта, иными словами, чем дальше в будущем будет получен 1 фунт, тем ниже его исходная стоимость.
Почему NPV лучше, чем ARR или срок окупаемости.
NPV лучший метод оценки возможностей инвестирования, чем ARR или срок окупаемости, поскольку он полностью принимает во внимание следующее:
- Время прихода денег. Дисконтируя различные потоки времени, связанные с каждым проектом, в соответствии с тем моментом времени, когда они наступают, NPV принимает во внимание временную стоимость денег. Коэффициент дисконтирования базируется на альтернативных издержках финансирования, (т.е. от нормы прибыли, которую может сгенерировать наилучшая альтернативная инвестиция). И таким образом идентифицируются суммарные доходы после финансирования всех расходов (в качестве NPV всего проекта).
- Учитываются целиком все потоки денег. NPV включает все потоки денег вне зависимости от того, когда они возникают. Он их анализирует различно, в соответствии с датой их возникновения, но они все принимаются во внимание при использовании NPV, и они все влияют на принимаемые решения.
- Цели бизнеса. Результат анализа NPV имеет прямую связь с богатством акционеров данной организации (положительное NPV увеличивает богатство, отрицательное NPV уменьшает). Поскольку мы предполагаем, что частный бизнес пытается увеличить богатство своих акционеров, NPV превосходит все ранее обсужденные методы.
Ранее мы видели, что организация должна принимать все проекты с положительными NPV, когда они дисконтируются в соответствии с альтернативными издержками финансирования. Когда выбор делается между различными проектами, организация должна обычно выбирать тот из них, который имеет наибольшее NPV.
Внутренняя норма рентабельности проекта.
Это последний метод, из четырех основных методов оценки инвестиционной привлекательности. Он достаточно тесно связан с методом NPV (чистой настоящей стоимости) и также включает в себя дисконтирование будущих денежных потоков. Внутренняя норма рентабельности проектов (IRR) определенной инвестиционной возможности – это тот коэффициент дисконтирования, который, будучи примененным к будущим потокам денег, сделает их равными первоначальному взносу. Строго говоря, он представляет собой выгоду от инвестиции.
Задание 4.14. Как вы помните, когда мы дисконтировали денежные потоки из инвестиционного проекта компании Billingsgate Battery под 20%, мы обнаружили, что NPV имеет положительное значение равное 24190 фунтов.
Что NPV данного проекта говорит нам о норме рентабельности, которую инвестиция будет давать компании Billingsgate Battery?
Тот факт, что NPV является положительным при дисконтировании под 20% годовых, предполагает, что норма рентабельности данного проекта составляет более 20%. Тот факт, что NPV достаточно велика, предполагает, что реальная норма рентабельности значительно выше 20%. Увеличение коэффициента дисконтирования приводит к уменьшению NPV, поскольку более высокие коэффициенты дисконтирования дают более низкие значения дисконтированных потоков денег.
Мы видели, что внутренняя норма рентабельности проекта определяется как норма дисконтирования, которая при применении к будущим потокам денег сделает их равными исходным затратам. Мы видели, что IRR может быть определена как норма дисконтирования, которая выравнивает дисконтированные доходы с расходами. Иными словами IRR – это норма дисконтирования, которая приводит к тому, что NPV точно равняется нулю. Рисунок 4.4 иллюстрирует эти взаимоотношения для компании Billingsgate Battery.
Рассчитать IRR вручную достаточно сложно, поскольку его обычно невозможно рассчитать напрямую. Необходимо воспользоваться итеративным подходом (проб и ошибок). Давайте попробуем более высокий коэффициент дисконтирования для компании Billingsgate Battery и посмотрим, что произойдет, если он будет равняться, например, 30%:
|
|
Потоки денег |
Фактор дисконтирования 30% |
Настоящая стоимость |
|
|
£000 |
|
£000 |
|
Немедленно |
(100) |
1,000 |
(100,00) |
|
1 год |
20 |
0,769 |
15,38 |
|
2 год |
40 |
0,592 |
23,68 |
|
3 год |
60 |
0,455 |
27,30 |
|
4 год |
60 |
0,350 |
21,00 |
|
5 год |
20 |
0,269 |
5,38 |
|
5 год |
20 |
0,269 |
5,38 |
|
Чистая настоящая стоимость |
|
|
(1,88) |
При увеличении нормы дисконтирования от 20% до 30% мы снизили NPV от 24190 фунтов, до 1880 фунтов (отрицательный). Поскольку IRR - это норма дисконтирования, которая дает нам NPV точно равное нулю, мы можем придти к выводу, что проект компании Billingsgate Battery имеет IRR не многим менее 30%. Дальнейшие расчеты могут привести нас к точной оценке, но по всей вероятности, в этом нет необходимости, учитывая неточность оценок будущих потоков денег. По всей вероятности для практических задач достаточно будет сказать, что IRR составляет примерно 30% .
Рис. 4.4. Взаимоотношения между NPV и IRR (rate of return –
норма дисконтирования).
Когда норма дисконтирования равняется нулю, NPV будет равняться сумме потоков денег. Иными словами, временная стоимость денег не принимается во внимание. Однако по мере увеличения нормы дисконтирования, обнаруживается увеличивающееся снижение NPV проекта. Когда линия NPV пересекает горизонтальную ось, то NPV равняется нулю и это соответствует IRR.
Задание 4.15. Какова внутренняя норма рентабельности проекта компании Chaotic Industries из задания 4.2? Вы должны использовать таблицу коэффициентов дисконтирования в приложении А, в конце данной книги. Указание: помните, что вы уже знаете, что NPV для этого проекта составляет 15%. Попытайтесь использовать 10% в качестве следующего возможного значения.
Поскольку мы знаем, что при 15% дисконтировании NPV относительно большое отрицательное значение, мы считаем, что наша следующая попытка должна использовать более низкую форму дисконтирования, скажем 10%.
|
|
Потоки денег |
Фактор дисконтирования 10% (по таблице) |
Настоящая стоимость |
|
|
£000 |
|
£000 |
|
Немедленно |
150 |
1,000 |
(150,00) |
|
1 год |
30 |
0,909 |
27,27 |
|
2 год |
30 |
0,826 |
24,78 |
|
3 год |
30 |
0,751 |
22,53 |
|
4 год |
30 |
0,683 |
20,49 |
|
5 год |
30 |
0,621 |
18,63 |
|
6 год |
30 |
0,565 |
16,95 |
|
6 год |
30 |
0,565 |
16,95 |
|
Чистая настоящая стоимость |
|
|
(2,40) |
Данная цифра имеет значение очень близкое к нулю, однако NPV все еще отрицательное и поэтому точное значение IRR будет немногим менее 10%.
В ответе на задание 4.15 нам повезло, что мы использовали дисконтирование в 10% для нашей второй попытки, и оно оказалось очень близким к значению IRR. Однако что было бы, если бы мы использовали 6%? Данный коэффициент дисконтирования дает нам большой положительный NPV, как показано ниже:
|
|
Потоки денег |
Фактор дисконтирования 6% (по таблице) |
Настоящая стоимость |
|
|
£000 |
|
£000 |
|
Немедленно |
150 |
1,000 |
(150,00) |
|
1 год |
30 |
0,943 |
28,29 |
|
2 год |
30 |
0,890 |
26,70 |
|
3 год |
30 |
0,840 |
25,20 |
|
4 год |
30 |
0,792 |
23,76 |
|
5 год |
30 |
0,747 |
22,41 |
|
6 год |
30 |
0,705 |
21,15 |
|
6 год |
30 |
0,705 |
21,15 |
|
Чистая настоящая стоимость |
|
|
18,66 |
Мы можем видеть, что IRR находится где-то между 15% , которые дают нам отрицательную NPV и 6%, которые дают нам положительную NPV. Мы можем предпринять дополнительные расчеты для того, чтобы получить IRR. Большинство организаций имеют компьютерные программные пакеты для того, чтобы сделать это достаточно быстро. Если, однако, вам требуется быстро рассчитать IRR вручную, последующие итерации могут оказаться очень длительными по времени.
Тем не менее, мы можем получить ответ очень быстро. Во-первых, мы должны рассчитать изменения NPV на 1% изменение в норме дисконтирования. Это может быть сделано путем того, что мы берем разность между двумя попытками (иными словами 15% и 6%), что мы уже сделали.
|
|
Дисконтирование (%) |
Чистая нынешняя стоимость |
|
Попытка 1 |
15 |
(23,49) |
|
Попытка 2 |
6 |
16,66 |
|
Различия |
9 |
40,15 |
|
Изменение NPV для 1% изменения в норме дисконтирования составит (40,15/9) |
|
= 4,46 |
|
каким должно быть снижение от 15% нормы дисконтирования для того, чтобы достичь нулевое NPV : |
|
= (23,49/4,46) |
|
|
|
= 5,27 |
|
Поэтому IRR: (15 – 5,27) |
|
= 9,73% |
Обратите внимание на то, что данный подход предполагает прямолинейные взаимоотношения между нормой дисконтирования и NPV. Как мы можем видеть из рисунка 4.4, это допущение, однако, не является абсолютно адекватным. Тем не менее, при условии относительно небольшого диапазона, это упрощающее допущение не вызывает серьезных проблем и мы можем получить относительно хорошую аппроксимацию.
При использовании IRR следует применять следующие правила:
- Для любого проекта, для того чтобы он оказался приемлемым, он должен соответствовать минимальным требованиям по IRR. Логически этот минимум должен равняться альтернативной стоимости капитала.
- Когда, например, имеются конкурирующие проекты, организация может выбрать тот из них, который будет иметь самую высокую IRR.
IRR имеет некоторые характеристики, которые роднят ее с NPV. Все потоки денег принимаются во внимание, и логически анализируется время их поступления. Основным недостатком IRR является то, что он не анализирует вопрос максимизации богатства. Он может, поэтому привести к неправильным решениям. IRR всегда будет считать, что норма прибыли в 25% лучше, чем в 20% (предполагая, что альтернативная стоимость капитала составляет 15%). Хотя принятие проекта с наибольшей процентной нормой прибыли приведет к тому, что будет сгенерировано большее богатство, это не всегда оказывается справедливым. Происходит это потому, что игнорируются размеры инвестиций. Если у нас имеется 15% стоимость капитала, инвестирование 1,5 миллионов фунтов стерлингов под 20% приведут у тому, что вы станете богаче, чем при инвестировании 0,5 миллионов фунтов стерлингов под 25%. IRR на это не обращает внимания.
Эта проблема, однако, встречается достаточно редко. Обычно конкурирующие проекты включают в себя инвестиции одинаковых размеров. Обычно IRR будет давать тот же самый результат, что и NPV, но лучше использовать тот метод NPV, который всегда надежен, в отличие от IRR.
Еще одной проблемой с IRR является то, что у него возникают проблемы с необычными потоками денег. В примерах, которые мы изучали ранее, каждый проект имел вначале проекта отток денег, а затем приток денег. Однако в некоторых случаях за время течения проекта, может происходить как приток, так и отток денег. Подобные характеристики потоков денег могут привести к тому, что IRR даст более одного решения.
Пример 4.2. Предположим, что проект имеет следующую характеристику потоков денег:
|
Немедленно |
(4000) |
|
Через 1 год |
9400 |
|
Через 2 года |
(5500) |
Потоки денег, показанные выше, будут давать нулевое NPV как на 10%, так и на 25%. Иными словами, мы имеет два IRR, которые могут нас запутать. Предположим, например, что минимальный приемлемый IRR 15%. Должны ли мы принять этот проект, или должны его отбросить?
Рисунок 4.5 показывает NPV для проектов с различными нормами дисконтирования. Повторим еще раз, что когда линия NPV пересекает горизонтальную ось, тогда NPV обращается в ноль и эта точка, соответственно, представляет собой IRR.
Рис. 4.5 Метод IRR дает более одного решения (rate of return – норма дисконтирования)
Точка, в которой линия NPV пересекает горизонтальную ось и является IRR. Данный рисунок демонстрирует, что NPV проект равняется нулю при 10% норме дисконтирования и 25% норме дисконтирования, поэтому существует два возможных IRR для данного проекта.
Некоторые практические замечания.
Когда мы анализируем вопросы, связанные с оценкой инвестиций, имеется целый ряд практических вопросов, о которых мы должны думать.
- Расходы. Мы должны принимать во внимание только те расходы, которые будут варьировать в зависимости от принятого в нашем решении анализа. Расходы, которые будут аналогичными вне зависимости от того, какое решение мы принимаем, должны игнорироваться. Например, непрямые расходы, которые возникают в равных количествах вне зависимости от того, сделали мы инвестиции, или нет, должны игнорироваться, даже, несмотря на то, что инвестиции не могут происходить без той инфраструктуры, на поддержание которой используются эти непрямые расходы. Аналогичным образом расходы в прошлом также должны игнорироваться, поскольку они не контролируются и не варьируют в зависимости от принятого решения.
- Альтернативные расходы. Альтернативные затраты возникают в результате того, что мы должны принять во внимание возможную пользу, от которой мы отказались. Например, когда мы рассматриваем вопрос о том, стоит ли использовать машину для производства нового продукта, важной альтернативной издержкой должна являться немедленная реализуемая цена машины.
- Налоги. Инвесторы заинтересованы в прибыли после налогов, которая генерируется организацией, и поэтому налоги являются важным вопросом при принятии решения об инвестициях. Прибыль от инвестиций будет подвергнута налогообложению и инвестирование может приводить к тому, что налоги будут снижены. Иными словами, налогообложение может оказать значительный эффект на потоки денег, которые идут в проекте, и неспособность принять во внимание налоги, на практике может привести к тому, что будет принято неправильное решение. Некоторые (если не все) методы налогообложения, связанные с нынешними доходами, будут выплачены позднее, обычно в следующий год. Таким образом, время прохождения потоков денег, связанных с налогами, необходимо принимать во внимание при подготовке отчета о потоках денег для проекта.
- Поток денег не равняется потоку прибыли. Мы уже видели, что для методов NPV, IRR и срока окупаемости инвестиционного проекта, для оценки инвестиций нас интересуют потоки денег, а не потоки прибыли. В проблеме, которая требует применения любого из этих методов, могут быть получены только детали прибыли для инвестиций и они должны корректироваться для того, чтобы получить потоки денег. Помните, что суммарные прибыли не денежных расходов (амортизации) – это аппроксимация потоков денег за данный период, и поэтому вы должны вернуться к этим цифрам. Когда данные выражаются в значениях прибыли, а не финансовых потоков, необходима корректировка на размер капитала. Некоторая корректировка, принимающая во внимание изменения в инвестициях, акциях и кредиторах также должна приниматься во внимание. Например, запуск нового продукта может привести к увеличению потребности в капитале. Эта потребность в дополнительном капитале должна быть принята во внимание при расчетах NPV, как часть начальных расходов. Однако дополнительный капитал может быть высвобожден в конце работы проекта. Этот возврат денег в конце проекта также должен приниматься во внимание в ваших расчетах.
- Допущения конца года. Во всех приведенных выше примерах мы полагали, что потоки денег возникают в конце соответствующего года. Это упрощенное допущение, которое используется для того, чтобы сделать расчеты более простыми. Однако вполне возможно рассчитывать потоки денег более точно. Допущение явно нереалистично, поскольку деньги должны выплачиваться сотрудникам еженедельно или ежемесячно, а потребители будут платить в течение месяца или двух после покупки продукта. Тем не менее, по всей вероятности, это не очень серьезное отклонение от истины. Мы должны, однако, понимать, что ничто в анализировавшихся методах не требуется, чтобы это допущение было сделано.
- Выплаты по процентам. Когда мы используем технику дисконтированных потоков денег, выплаты по процентам, которые должны быть сделаны при расчете потоков денег в этот период, не должны приниматься во внимание. Соответствующие значения это суммарная прибыль до выплаты процентов и амортизации. Фактор дисконтирования уже принимает во внимание стоимость финансирования, и поэтому если при расчетах потоков денег принимать во внимание выплаты по процентам, это привело бы к двойным подсчетам.
- Другие факторы. Принятие решений в инвестиционных проектах не должно рассматриваться в качестве механического упражнения. Результаты, полученные из определенных методов оценки инвестиций при принятии решений, являются лишь одним фактором. Могут быть и более широкие вопросы, связанные с тем, что мы должны принимать во внимание, вопросы, которые значительно сложнее можно выразить в численном виде. Например, региональная автобусная компания может рассматривать инвестиции в открытие новой автобусной линии, которой бы хотели пользоваться местные жители. Хотя расчеты NPV могут указать, что это инвестирование может привести к потерям, может случиться так, что отказ от инвестиций в открытие новой линии, приведет к проблемам по возобновлению лицензии данной компании. В такой ситуации прежде чем будет принято окончательное решение должны быть взвешены размеры возможной потери, полученные в результате всех расчетов, против возможности потери лицензии,. Таким образом, факторы, которые очень сложно, или невозможно выразить количественно, могут, тем не менее, оказывать воздействие на экономические результаты. Надежность прогнозов и достоверность допущений, использующихся при расчетах, также играют серьезную роль при принятии окончательного решения. Мы часто можем видеть, что для информации, полученной из разных источников, могут применяться различные техники для того, чтобы принять во внимание риск и оценить чувствительность к любым неточностям, которые мы обнаруживаем.
Приложение А.
Таблица настоящей стоимости
Настоящая стоимость 1, т.е. (1+r)-n,
где r=норма дисконтирования,
n=количество периодов до выплаты
Начало формы Конец формы |
|
|||
|
|
|
|
|
|
|
Новости 21.01.2006 |
|
|
|
|
09:10 В результате аварии ограничена подача электроэнергии в три южные области Казахстана. 09:01 Экс-сотрудник Пентагона Л.Франклин осужден на 12,5 лет заключения. 08:47 Генсек ООН призвал создать в Ираке правительство национального примирения. 08:34 Л.Буш: Полагаю, что К.Райс окончательно решила не баллотироваться в президенты США. 08:08 "Птичий грипп" в случае его появления в США может обрушить американскую экономику |
Эффективность проектов — давайте считать одинаково
Никонова Ирина Александровна, заместитель председателя правления АКБ "Межрегиональ-ный инвестиционный банк". Шамгунов Равиль Назимович, заместитель начальника управления проектного финансирования АКБ "Межрегиональный инвестиционный банк", timurodin@mail333.com
Многолетний опыт разработки бизнес-планов и оценки эффективности различных проектов показал, что, несмотря на использование общепринятых в мировой практике критериев, расчет их отечественными специалистами зачастую проводится по разным алгоритмам [1,2] c использованием различной структуры денежных потоков. Отсутствует также единая точка зрения на постановки решаемых задач и обоснование выбора ставки дисконтирования.
Цель статьи – рассмотреть постановку типовых задач оценки эффективности инвестиционных проектов и предложить для них соответствующую структуру денежных потоков и ставки дисконтирования.
Напомним терминологию и подходы к оценке эффективности проектов. Основными показателями эффективности инвестиционного проекта (ИП) являются следующие:
- период окупаемости – РВ, мес.;
- дисконтированный период окупаемости – DPB, мес.;
- средняя норма рентабельности – ARR, %;
- чистый дисконтированный (приведенный) доход – NPV;
- индекс прибыльности – PI;
- внутренняя норма доходности (рентабельности) – IRR, %;
- модифицированная внутренняя норма доходности (рентабельности) - MIRR, %;
Формулы для определения показателей приведены в источниках №2-4. Согласно Методическим рекомендациям по оценке эффективности инвестиционных проектов [4, С.121], показатели эффективности всегда относятся к некоторому субъекту:
- показатели общественной эффективности – к обществу в целом;
- показатели коммерческой эффективности – к реальному или абстрактному юридическому лицу, осуществляющему проект целиком за свой счет;
- показатели эффективности участия предприятия в проекте – для этого предприятия;
- показатели эффективности инвестирования в акции предприятия – для акционеров акционерных предприятий – участников проекта;
- показатели эффективности для структур более высокого уровня – к этим структурам;
- показатели бюджетной эффективности – к бюджетам всех уровней.
Показатели эффективности, относящиеся ко всему периоду реализации проекта, называются интегральными.
Рекомендуется оценивать следующие виды эффективности:
- эффективность проекта в целом;
- эффективность участия в проекте.
Под эффективностью проекта в целом понимается эффективность проекта, реализуемого «единственным участником как бы за счет собственных средств. По этой причине показатели эффективности определяются на основании денежных потоков только от инвестиционной и операционной деятельности» [4].
Эффективность участия в проекте определяется с целью проверки реализуемого ИП и заинтересованности в нем всех его участников, она включает:
- эффективность участия предприятий в проекте (эффективность ИП для предприятий-участников);
- эффективность инвестирования в акции предприятия (эффективность для акционеров акционерных предприятий – участников ИП);
- эффективность участия в проекте структур более высокого уровня по отношению к предприятиям – участникам ИП;
- бюджетную эффективность ИП (эффективность участия государства в проекте с точки зрения расходов и доходов бюджетов всех уровней).
Рассмотрим наиболее часто встречающиеся в практике постановки задачи (Рис.1).

Рис.1 Постановки задач оценки эффективности проекта
Расчет эффективности проекта в целом (базового NPV [4])
В соответствии с действующими Методическими рекомендациями [4] расчет эффективности проекта в целом осуществляется для условной проектной компании на момент начала реализации проекта. При этом расчет проводится с учетом всего объема инвестиций в основные и оборотные средства, необходимых для реализации проекта. Исходный баланс фирмы принимается равным нулю, источники финансирования проекта не учитываются. Поступления и оттоки денежных средств, относящиеся к финансовой деятельности (получение и возврат кредитов, выплата дивидендов, продажа акций и пр.), не учитываются (лизинговые платежи учитываются!). Таким образом, оттоки денежного потока на инвестиционной фазе реализации рассматриваемого проекта сопоставляются в дальнейшем с притоками от продажи продукции или услуг, для которых и создается проектная компания.
Существуют разные виды денежных потоков [5,6]:
Общий денежный поток (gross cash flow – GCF), равный чистой прибыли + неденежные расходы (амортизация, резервы по сомнительным долгам) минус неденежные доходы (переоценка валютных активов).
Чистый операционный денежный поток (net operating cash flow – NOCF), равный GCF + ”NWC (net working capital - изменение чистого оборотного капитала за рассматриваемый период, интервал времени). ”NWC равно приросту текущих обязательств минус прирост текущих активов.
Свободный денежный поток (free cash flow – FCF), равный NOCF + ”Inv (DInvestments - изменение инвестиций во внеоборотные активы, равное притоку средств от продажи внеоборотных активов минус отток средств, связанных с приобретением внеоборотных активов). Поток FCF характеризует денежные средства, которыми располагают все провайдеры (поставщики) финансовых ресурсов для предприятия, как акционеры, так и кредиторы. Этот поток характеризует рыночную стоимость предприятия.
Остаточный денежный поток (residual cash flow - CFr) или денежный поток к акционерам (cash flow to equity - FCFE), равный FCF + ”FR (изменение денежных средств от финансовой деятельности, равное разности притоков средств от акционеров и кредиторов и оттоков при возврате заемных средств и уплате процентов за пользование ими). Поток FCFE характеризует остаток денежных средств в распоряжении акционеров после расчетов с кредиторами и показывает рыночную стоимость акционерного капитала предприятия. Поток FCFE , деленный на количество акций предприятия, находящихся в обращении характеризует рыночную цену акции.
Таким образом:

При оценке эффективности проекта в целом должен рассчитываться денежный поток, которым будут располагать все провайдеры (поставщики) финансовых ресурсов для проекта, т.е. FCF. Ставка дисконтирования принимается не ниже показателя ROA действующих предприятий в той же отрасли и с тем же типом продукции и не выше значений, получаемых по модели CAPM [1]. Пример расчета показателя NPV проекта в целом приведен ниже.
Расчет NPV и других показателей эффективности проекта при его реализации конкретным предприятием.
В зависимости от предприятия, реализация проекта возможна двумя способами.
1. Реализация проекта действующим предприятием, выпускающим различные виды продукции. Исходный (на момент проведения расчетов) баланс предприятия отражает структуру и стоимость собственных и заемных средств предприятия, выраженную в показателе WACC. Тогда:
NPV проекта равен = NPV предпр. с проектом - NPV предпр. без проекта (4)
Расчеты потоков для определения NPV могут производиться:
а) без учета источников дополнительного финансирования, которые потребуются для реализации проекта:
рассчитывается FCF с учетом возврата взятых ранее заемных средств и процентов по ним;
в качестве ставки дисконтирования используется показатель WACC предприятия (так как реализация проекта не должна приводить к росту стоимости капитала компании).
Рассчитываемый показатель NPV по существу отражает оценку рыночной стоимости бизнеса предприятия (с проектом и без него), проводимую с применением доходного подхода, основанного на прогнозировании затрат и доходов, генерируемым объектом оценки, в будущем.
б) с учетом дополнительных источников финансирования, необходимых для реализации проекта:
к составляющим потока FCF добавляются получаемые предприятием в прогнозный период дополнительные собственные и заемные средства, и вычитается возврат заемных средств и плата за их использование. Этот поток будет характеризовать денежный поток, остающийся в распоряжении акционеров;
ставка дисконтирования должна быть не ниже достигнутого уровня ROE предприятия.
Рассчитываемый показатель NPV отражает рыночную стоимость акционерного капитала предприятия.
2. Реализация проекта по схеме проектного финансирования с созданием специальной проектной компании Special Purpose Vehicle (SPV), учредителями которой могут быть различные заинтересованные в проекте организации и предприятия.
а) расчеты на этапе создания проектной компании.
• без учета источников финансирования:
- начальный баланс нулевой;
- денежный поток – FCF;
- ставка дисконтирования та же, что и при расчете эффективности проекта в целом.
Рассчитываемый NPV отражает стоимость проекта (бизнеса, связанного с его реализацией);
• с учетом источников финансирования:
- начальный баланс нулевой;
- денежный поток – FCFE;
- ставка дисконтирования не ниже достигнутого уровня ROE предприятий той же отрасли.
Рассчитываемый NPV отражает стоимость акционерного капитала проектной компании.
б) проект уже T лет реализуется проектной компанией (на момент проведения расчетов баланс проектной компании отражает ее активы и пассивы и учитывает особенности всех источников финансирования, использованных за T лет).
• без учета источников дополнительного финансирования:
- денежный поток не учитывает поступления и возврат дополнительных заемных ресурсов и их платность (FCF);
- ставка дисконтирования = WACC предприятия.
Расчет NPV отражает стоимость бизнеса проектной компании без учета дополнительного финансирования;
• с учетом источников дополнительного финансирования:
- денежный поток учитывает поступления и возврат как существующих на момент T, так и дополнительных заемных ресурсов и их платность (FCFE);
- ставка дисконтирования не ниже достигнутого уровня ROE той же отрасли.
Расчет NPV отражает стоимость акционерного капитала проектной компании c учетом дополнительного финансирования.
Постановка задачи оценки эффективности участия в проекте акционера фирмы
При такой постановке: 1) оценивается рыночная стоимость акционерного капитала компании, реализующей проект, и стоимость одной акции; 2) учитывается размер пакета акций, принадлежащих акционеру (контрольный, блокирующий и т.д.); 3) разница между расчетной рыночной ценой пакета и затратами на его приобретение характеризует потенциальный доход акционера (отношение дохода к затратам на приобретение пакета позволяет определить рентабельность инвестиций в акции).
Постановка задачи оценки эффективности участия в проекте кредитора.
Целесообразность кредитования банком предприятия, реализующего проект, определяется положительной величиной NPV потока, в котором оттоками являются средства, предоставляемые банком по кредитной линии (или кредиту), а притоками – возврат кредитных ресурсов вместе с процентами.

где Кt – возвращаемые кредитные ресурсы и проценты (%t),
Кvt- выдаваемые в t-ый момент времени кредитные ресурсы,
i - ставка дисконтирования, равная максимальной доходности альтернативных для банка финансовых инструментов с тем же уровнем риска.
Таблица 1
Обобщенные данные о рассмотренных постановках задач, типам денежных потоков и ставок дисконтирования, используемых в расчетах
Таблица №1
|
Варианты задач |
Тип предприятия |
Учет источника финансирования |
Денежный поток |
Ставка дисконтирования |
|
Эффективность проекта в целом |
|
|
FCF |
ROAЈ i ЈCAPM |
|
|
|
|
|
|
|
Эффективность предприятия, реализующего проект |
|
|
|
|
|
|
Действующее предприятие |
нет |
FCF |
WACC |
|
|
есть |
FCFE |
ROAЈ i ЈCAPM |
|
|
|
Проектная компания |
нет |
FCF |
|
|
|
есть |
FCFE |
ROAЈ i ЈCAPM |
|
|
Эффективность кредитования проекта банком |
- |
- |
CF = притоки-оттоки |
max доходность (D) альтернативных инструментов того же риска |
|
Эффективность проекта для акционеров предприятия, реализующего проект |
- |
- |
FCFE |
i - max доходность альтернативных вложений в акции |
Рассмотрим особенности алгоритмов расчета показателей эффективности проекта по программам Project Expert и Альт-инвест-прим.
Алгоритм расчета NPV в системе Project Expert.
Программа Project Expert 7.15 позволяет:
рассчитать эффективность проекта в целом (чистый приведенный доход в терминах Project Expert) при условии нулевого исходного баланса проектной компании и без учета источников финансирования. (Лизинговые платежи учитываются в составе денежных потоков, на основании которых рассчитываются показатели эффективности, так как они отражают затраты на приобретение активов).
рассчитывать NPV с учетом внешнего финансирования, при котором в поток расходов, используемых для расчета NPV, добавляется по сравнению с п.1 только поток расходов по обслуживанию внешних займов, а именно уплата процентов по кредитам. (поступления кредитов, возврат кредитов, выплаты дивидендов не учитываются – они исключаются из потока расходов). Смысловое значение данного показателя трудно интерпретировать, так как при его расчете не учитываются притоки в виде кредитов и оттоки в виде их погашения, но в то же время учитываются оттоки, связанные с обслуживанием этого долга. Нельзя исходить из того, что, в конце концов, получение и возврат кредитов компенсируют друг друга, так как эти поступления и выплаты происходят в разные моменты времени (интервалы расчета) и при дисконтировании могут дать как положительный, так и отрицательный вклад в рассчитываемое значение NPV;
рассчитывать NPV по формулам, подготовленным пользователем самостоятельно и введенным в виде таблицы пользователя в программу.
В то же время программа не учитывает денежные потоки, связанные с финансированием проекта в процессе его реализации. Влияние на эффективность проекта стоимости кредитных ресурсов учитывается только в части выплаты процентов по кредитам. Другие выплаты и поступления, связанные с финансированием проекта, в расчет не принимаются.
При рассмотрении эффективности фирмы, уже реализующей проект, и произведшей ряд первоначальных инвестиционных затрат за счет определенного объема внешнего финансирования в программу Project Expert необходимо ввести исходный баланс и далее рассчитать NPV без учета будущего финансирования. При отключении в исходных установках программы Project Expert учета выплат процентов по займам для расчета показателей эффективности проекта, из потоков и оттоков денежных средств полностью исключаются все потоки от финансовой деятельности (КРОМЕ ЛИЗИНГА). При этом фактически рассчитывается NPV фирмы завершающей проект с учетом будущих необходимых инвестиций (которые вводятся в «Инвестиционный план» программы), но без учета уже сделанные инвестиций (т.е. в программе фактически предполагается, что ранее сделанные инвестиции произведены за счет акционерного капитала фирмы, реализующей и завершающей проект). Если эти инвестиции были осуществлены на заемные средства, то они в оттоки проекта не попадают, значительно улучшая показатель NPV проекта. При таком алгоритме расчета NPV, его значение зависит от момента, который выбран при расчете эффективности проекта, и возрастает с выбором этого момента ближе к окончанию его инвестиционной фазы. Добавление в расчетные потоки уплаты процентов не изменяет суть рассчитываемого показателя NPV. Определяемое таким образом NPV фактически соответствует эффективности завершения проекта новой условной фирмой с нулевым балансом и оставшимися еще не проведенными инвестиционными затратами.
Алгоритм расчета NPV в системе Альт-инвест прим
Альт-инвест-прим позволяет:
- рассчитать эффективность проекта в целом (чистый приведенный доход в терминах предыдущей программы) при условии нулевого исходного баланса проектной компании и без учета источников финансирования. (Лизинговые платежи учитываются в составе денежных потоков, на основании которых рассчитываются показатели эффективности, так как они отражают затраты на приобретение активов);
- рассчитывать NPV с учетом внешнего финансирования;
- рассчитывать NPV по формулам, подготовленным пользователем самостоятельно.
Пример расчета NPV проекта в целом (исходные данные приведены в Табл. 2-7)
Проектная компания – ЗАО «Пример». Структура баланса проектной компании – баланс нулевой, финансовый год начинается в январе, принцип учета запасов - FIFO
Проект: Таблица № 2
|
№№ п/п |
Наименование показателя |
Значение показателя |
|
1 |
Дата начала проекта |
1 июля 2003 года |
|
2 |
Продолжительность проекта |
8 лет |
|
3 |
Наименование планируемой к выпуску продукции |
Новый продукт |
|
4 |
Единица измерения Нового продукта |
штуки |
|
5 |
Начало реализации |
1 июля 2005 года |
Окружение: Таблица № 3
|
№№ п/п |
Наименование показателя |
Значение показателя |
|
1 |
Курс доллара |
32 руб/$ |
|
2 |
Темп роста/падения курса в течение проекта |
0% |
|
3 |
Инфляция по всем составляющим доходов и затрат |
0% |
|
4 |
Налоги: Налог на прибыль НДС Налог на имущество Единый социальный налог (ЕСН) |
24,0% 20,0% 2,0% 35,6% |
|
5 |
Ставка дисконтирования при расчетах в долларах |
12% |
Инвестиционный план (в долл.): Таблица № 4
|
Потреб ность в инвести циях |
Начало |
Оконча- ние |
6-12.03 |
2004 |
2005 |
2006 |
2007 |
2008 |
2009 |
2010 |
1-5.11 |
|
Приобретение, монтаж и наладка оборудования 1-го типа* |
1.07.03 |
31.12.03 |
120 000 |
|
|
|
|
|
|
|
|
|
Приобретение, монтаж и наладка оборудова ния 2-го типа* |
01.01.04 |
30.06.04 |
|
120 000 |
|
|
|
|
|
|
|
|
Приобретение, монтаж и наладка оборудования 3-го типа* |
01.07.04 |
31.12.04 |
|
120 000 |
|
|
|
|
|
|
|
|
Инвестиции 04 (потребность в оборотном капитале)** |
01.07.03 |
31.05.05 |
35 000 |
60 000 |
25 000 |
|
|
|
|
|
|
|
ИТОГО |
|
|
155 000 |
300 000 |
25 000 |
|
|
|
|
|
|
* Приобретаемое оборудование 1, 2 и 3-го типа является активом (основными средствами) и на него начисляется амортизация в течение 60 месяцев, ликвидационная стоимость данного оборудования по окончании этого периода составляет 0,0 руб.
** Инвестиции показывают потребность компании, реализующей проект, в оборотных средствах.
Операционный план:
Компания начинает продавать Новый продукт с 1 июля 2005 года по цене $80 за штуку, не изменяющейся на протяжении всего проекта.
План продаж компании Таблица № 5
|
Период |
Объем продаж, шт |
|
7-12 2005 год |
3 000 |
|
2006 год |
6 000 |
|
2007 год |
6 000 |
|
2008 год |
6 000 |
|
2009 год |
6 000 |
|
2010 год |
6 000 |
|
1-5 2011 год |
6 000 |
Условия продаж:
- скидок, сезонных колебаний, нестандартных налогов, нет;
- задержка платежей – 0 дней, продажа по факту оплаты;
- потери – 0%;
- время на сбыт – 0 дней;
- запас готовой продукции – 0% от месячного объема продаж;
План производства:
- прямые издержки на одну штуку Нового продукта на материалы - $10;
- прямые издержки на одну штуку Нового продукта на сдельную заработную плату - $5;
- другие прямые издержки на одну штуку Нового продукта - $0.
План численности персонала Таблица № 6
|
Должность |
Количество |
Зарплата, долл. |
Выплаты |
В течение |
|
Директор |
1 |
800 |
Ежемесячно |
Всего проекта |
|
Гл. бухгалтер |
1 |
700 |
Ежемесячно |
Всего проекта |
|
Рабочие |
5 |
300 |
Ежемесячно |
Периода производства |
|
Комм. директор |
1 |
500 |
Ежемесячно |
Периода производства |
|
Специалист |
1 |
400 |
Ежемесячно |
Периода производства |
План общих издержек: Таблица № 7
|
Наименование |
Сумма, $ |
Выплаты |
В течение |
|
Содержание офиса |
300 |
Ежемесячно |
Всего проекта |
|
Содержание автомобиля |
100 |
Ежемесячно |
Всего проекта |
|
Оплата эл. энергии + аренда помещений |
1000 |
Ежемесячно |
Периода производства |
|
Ремонт + запасные части |
200 |
Ежемесячно |
Периода производства |
Ниже приведены результаты расчетов эффективности проекта по программам «Project Expert» и «Альт-инвест прим» для двух вариантов: эффективность проекта в целом и эффективность проекта, реализуемого проектной компанией с учетом источников финансирования (всего четыре варианта; табл. 8-11).
ВАРИАНТ №1 – расчет эффективности проекта в целом
(по программе Project Expert)
Денежный поток (ДП) проектной компании (долл.) Таблица № 8
|
|
7-12 2003г |
2004 г |
2005 г |
2006 г |
2007 г |
2008 г |
2009 г |
2010 г |
1-6 2011г |
|
Поступления от продаж |
|
|
240 000 |
480 000 |
480 000 |
480 000 |
480 000 |
480 000 |
240 000 |
|
Затраты на материалы и комплектую щие |
|
|
30 000 |
60 000 |
60 000 |
60 000 |
60 000 |
60 000 |
30 000 |
|
Затраты на сдельную заработную плату |
|
|
15 000 |
30 000 |
30 000 |
30 000 |
30 000 |
30 000 |
15 000 |
|
Суммарные прямые издержки |
|
|
45 000 |
90 000 |
90 000 |
90 000 |
90 000 |
90 000 |
45 000 |
|
Общие издержки |
2 400 |
4 800 |
12 000 |
19 200 |
19 200 |
19 200 |
19 200 |
19 200 |
9 600 |
|
Затраты на персонал |
11 400 |
22 800 |
34 800 |
46 800 |
46 800 |
46 800 |
46 800 |
46 800 |
23 400 |
|
Суммарные постоянные издержки |
13 800 |
27 600 |
46 800 |
66 000 |
66 000 |
66 000 |
66 000 |
66 000 |
33 000 |
|
Вложения в краткосроч ные ценные бумаги |
|
|
|
|
|
|
|
|
|
|
Доходы по краткосроч ным ценным бумагам |
|
|
|
|
|
|
|
|
|
|
Другие поступления |
|
|
|
|
|
|
|
|
|
|
Другие выплаты |
|
|
|
|
|
|
|
|
|
|
Налоги |
4 058 |
10 308 |
22 437 |
77 268 |
133 115 |
132 203 |
137 778 |
145 061 |
72 726 |
|
Кэш-фло от операционной деятельности |
-17 858 |
-37 908 |
125 763 |
246 732 |
190 885 |
191 797 |
186 222 |
178 939 |
89 274 |
|
Затраты на приобретение активов |
120 000 |
240 000 |
|
|
|
|
|
|
|
|
Другие издержки подготови- тельного периода |
30 000 |
60 000 |
30 000 |
|
|
|
|
|
|
|
Поступления от реализации активов |
|
|
|
|
|
|
|
|
|
|
Приобретение прав собственности (акций) |
|
|
|
|
|
|
|
|
|
|
Продажа прав собственности |
|
|
|
|
|
|
|
|
|
|
Доходы от инвестиционной деятельности |
|
|
|
|
|
|
|
|
|
|
Кэш-фло от инвестиционной деятельности |
-150 000 |
-300 000 |
-30 000 |
|
|
|
|
|
|
|
Собственный (акционерный) капитал |
|
|
|
|
|
|
|
|
|
|
Займы |
|
|
|
|
|
|
|
|
|
|
Выплаты в погашение займов |
|
|
|
|
|
|
|
|
|
|
Выплаты процентов по займам |
|
|
|
|
|
|
|
|
|
|
Лизинговые платежи |
|
|
|
|
|
|
|
|
|
|
Выплаты дивидендов |
|
|
|
|
|
|
|
|
|
|
Кэш-фло от финансовой деятельности |
|
|
|
|
|
|
|
|
|
|
Баланс наличности на начало периода |
|
-167 858 |
-505 767 |
-410 004 |
-163 272 |
27 613 |
219 411 |
405 633 |
584 572 |
|
Баланс наличности на конец периода |
-167 858 |
-505 767 |
-410 004 |
-163 272 |
27 613 |
219 411 |
405 633 |
584 572 |
673 845 |
ВАРИАНТ №2 – расчет эффективности предприятия, реализующего проект, с учетом источников финансирования (по программе Project Expert)
Предположим источником финансирования для компании «Пример» является кредитная линия со следующими параметрами: ставка – 15% годовых, отсрочка первой выплаты процентов – 20 мес. (до начала реализации продукции). С помощью программы «Project Expert» подбирается оптимальный кредит из условия положительных значений денежного потока на каждом интервале проекта. Лимит кредитной линии - 576 919 долл., срок – 5 лет 5 мес.
Денежный поток проекта с учетом источников финансирования (долл.) Таблица № 9
|
|
7-12. 2003г |
2004 г |
2005 г |
2006 г |
2007 г |
2008 г |
2009 г |
2010 г |
1-6. 2011г |
|
Поступления от продаж |
|
|
240000 |
480000 |
480000 |
480000 |
480000 |
11.03.14 |
240000 |
|
Затраты на материалы и комплектую щие |
|
|
30 000 |
60 000 |
60 000 |
60 000 |
60 000 |
60 000 |
30000 |
|
Затраты на сдельную заработную плату |
|
|
15 000 |
30 000 |
30 000 |
30 000 |
30 000 |
30 000 |
15000 |
|
Суммарные прямые издержки |
|
|
45 000 |
90 000 |
90 000 |
90 000 |
90 000 |
90 000 |
45000 |
|
Общие издержки |
2 400 |
4 800 |
12 000 |
19 200 |
19 200 |
19 200 |
19 200 |
19 200 |
9600 |
|
Затраты на персонал |
9 000 |
18 000 |
32 400 |
46 800 |
46 800 |
46 800 |
46 800 |
46 800 |
23400 |
|
Суммарные постоянные издержки |
11 400 |
22 800 |
44 400 |
66 000 |
66 000 |
66 000 |
66 000 |
66 000 |
33000 |
|
Вложения в краткосрочные ценные бумаги |
|
|
|
|
|
|
|
|
|
|
Доходы по краткосрочным ценным бумагам |
|
|
|
|
|
|
|
|
|
|
Другие поступления |
|
|
|
|
|
|
|
|
|
|
Другие выплаты |
|
|
|
|
|
|
|
|
|
|
Налоги |
3 204 |
8 600 |
21 583 |
59 142 |
119 109 |
123 991 |
136 294 |
143 576 |
71984 |
|
Кэш-фло от операционной деятельности |
-14 604 |
-31 400 |
129 017 |
264 858 |
204 891 |
200 009 |
187 706 |
180 424 |
90016 |
|
Затраты на приобретение активов |
120 000 |
240 000 |
|
|
|
|
|
|
|
|
Другие издержки подготови- тельного периода |
30 000 |
60 000 |
30 000 |
|
|
|
|
|
|
|
Поступления от реализации активов |
|
|
|
|
|
|
|
|
|
|
Приобретение прав собственности (акций) |
|
|
|
|
|
|
|
|
|
|
Продажа прав собствен ности |
|
|
|
|
|
|
|
|
|
|
Доходы от инвестиционной деятельности |
|
|
|
|
|
|
|
|
|
|
Кэш-фло от инвестиционной деятельности |
-150 000 |
-300 000 |
-30 000 |
|
|
|
|
|
|
|
Собственный (акционерный) капитал |
|
|
|
|
|
|
|
|
|
|
Займы |
164 604 |
331 400 |
80 916 |
|
|
|
|
|
|
|
Выплаты в погашение займов |
|
|
97 334 |
189 792 |
154 655 |
135 138 |
|
|
|
|
Выплаты процентов по займам |
|
|
82 599 |
75 065 |
50 236 |
24 750 |
|
|
|
|
Лизинговые платежи |
|
|
|
|
|
|
|
|
|
|
Выплаты дивидендов |
|
|
|
|
|
|
|
|
|
|
Кэш-фло от финансовой деятельности |
164 604 |
331 400 |
-99 017 |
-264 858 |
-204 891 |
-159 888 |
|
|
|
|
Баланс наличности на начало периода |
|
|
0 |
0 |
0 |
0 |
40 120 |
227 827 |
408251 |
|
Баланс наличности на конец периода |
|
0 |
0 |
0 |
0 |
40 120 |
227 827 |
408 251 |
498267 |
ВАРИАНТ №3 – расчет эффективности проекта в целом (по программе Альт-инвест-прим)
Денежный поток проектной компании (тыс. долл.) Таблица № 10
|
|
07-12 2003 |
2004 |
2005 |
2006 |
2007 |
2008 |
2009 |
2010 |
01-06 2011 |
|
Поступления от продаж |
|
|
240,0 |
480,0 |
480,0 |
480,0 |
480,0 |
480,0 |
240,0 |
|
Затраты на материалы и комплектую- щие |
|
|
30,0 |
60,0 |
60,0 |
60,0 |
60,0 |
60,0 |
30,0 |
|
Затраты на сдельную заработную плату |
|
|
15,0 |
30,0 |
30,0 |
30,0 |
30,0 |
30,0 |
15,0 |
|
Суммарные прямые издержки |
|
|
45,0 |
90,0 |
90,0 |
90,0 |
90,0 |
90,0 |
45,0 |
|
Общие издержки |
2,4 |
4,8 |
12 |
19,2 |
19,2 |
19,2 |
19,2 |
19,2 |
9,6 |
|
Затраты на персонал (без ЕСН) |
9 |
18 |
32,4 |
46,8 |
46,8 |
46,8 |
46,8 |
46,8 |
23,4 |
|
Суммарные постоянные издержки |
11,4 |
22,8 |
44,4 |
66,0 |
66,0 |
66,0 |
66,0 |
66,0 |
33,0 |
|
Вложения в краткосроч- ные ценные бумаги |
|
|
|
|
|
|
|
|
|
|
Доходы по краткосроч- ным ценным бумагам |
|
|
|
|
|
|
|
|
|
|
Другие поступления |
|
|
|
|
|
|
|
|
|
|
Другие выплаты |
|
|
|
|
|
|
|
|
|
|
Налоги (включая ЕСН) |
3,5 |
11,2 |
36,6 |
59,0 |
58,9 |
61,0 |
80,0 |
86,3 |
43,2 |
|
Кэш-фло от операцион- ной деятель ности |
-14,9 |
-34,0 |
114,0 |
265,0 |
265,1 |
263,0 |
244,0 |
237,7 |
118,8 |
|
Затраты на приобретение активов |
120,0 |
240,0 |
0,0 |
|
|
|
|
|
|
|
Другие поступления подготови тельного периода |
30,0 |
60,0 |
30 |
|
|
|
|
|
|
|
Поступления от реализации активов |
|
|
|
|
|
|
|
|
|
|
Приобретение прав собственности (акций) |
|
|
|
|
|
|
|
|
|
|
Продажа прав собственности |
|
|
|
|
|
|
|
|
|
|
Доходы от инвести ционной деятель ности |
|
|
|
|
|
|
|
|
|
|
Кэш-фло от инвести ционной деятель ности |
-150,0 |
-300,0 |
-30,0 |
|
|
|
|
|
|
|
Собственный (акционерный капитал) |
|
|
|
|
|
|
|
|
|
|
Займы |
|
|
|
|
|
|
|
|
|
|
Выплаты в погашение займов |
|
|
|
|
|
|
|
|
|
|
Выплаты процентов по займам |
|
|
|
|
|
|
|
|
|
|
Лизинговые платежи |
|
|
|
|
|
|
|
|
|
|
Выплаты дивидендов |
|
|
|
|
|
|
|
|
|
|
Кэш-фло от финансовой деятель ности |
|
|
|
|
|
|
|
|
|
|
Баланс наличности на начало периода |
|
-164,9 |
-498,9 |
-414,9 |
-149,9 |
115,2 |
378,2 |
622,1 |
859,8 |
|
Баланс наличности на конец периода |
-164,9 |
-498,9 |
-414,9 |
-149,9 |
115,2 |
378,2 |
622,1 |
859,8 |
978,6 |
|
Поток денежных средств за период |
-164,9 |
-334,0 |
84,0 |
265,0 |
265,1 |
263,0 |
244,0 |
237,7 |
118,8 |
ВАРИАНТ №4 – расчет эффективности предприятия, реализующего проект, с учетом источников финансирования (по программе Альт-инвест-прим)
Денежный поток проектной компании (тыс. долл.) Таблица № 11
|
|
07-12 2003 |
2004 |
2005 |
2006 |
2007 |
2008 |
2009 |
2010 |
01-06 2011 |
|
Поступления от продаж |
|
|
240,0 |
480,0 |
480,0 |
480,0 |
480,0 |
480,0 |
240,0 |
|
Затраты на материалы и комплектующие |
|
|
30,0 |
60,0 |
60,0 |
60,0 |
60,0 |
60,0 |
30,0 |
|
Затраты на сдельную заработную плату |
|
|
15,0 |
30,0 |
30,0 |
30,0 |
30,0 |
30,0 |
15,0 |
|
Суммарные прямые издержки |
|
|
45,0 |
90,0 |
90,0 |
90,0 |
90,0 |
90,0 |
45,0 |
|
Общие издержки |
2,4 |
4,8 |
12 |
19,2 |
19,2 |
19,2 |
19,2 |
19,2 |
9,6 |
|
Затраты на персонал (без ЕСН) |
9 |
18 |
32,4 |
46,8 |
46,8 |
46,8 |
46,8 |
46,8 |
23,4 |
|
Суммарные постоянные издержки |
11,4 |
22,8 |
44,4 |
66,0 |
66,0 |
66,0 |
66,0 |
66,0 |
33,0 |
|
Вложения в краткосрочные ценные бумаги |
|
|
|
|
|
|
|
|
|
|
Доходы по краткосрочным ценным бумагам |
|
|
|
|
|
|
|
|
|
|
Другие поступления |
|
|
|
|
|
|
|
|
|
|
Другие выплаты |
|
|
|
|
|
|
|
|
|
|
Налоги (включая ЕСН) |
3,3 |
11,1 |
28,6 |
47,1 |
51,3 |
57,7 |
65,2 |
69,3 |
40,4 |
|
Кэш-фло от операционной деятельности |
-14,7 |
-33,9 |
122,0 |
276,9 |
272,7 |
266,3 |
258,8 |
254,7 |
121,6 |
|
Затраты на приобретение активов |
120,0 |
240,0 |
0,0 |
|
|
|
|
|
|
|
Другие поступления подготови- тельного периода |
30,0 |
60,0 |
30 |
|
|
|
|
|
|
|
Поступления от реализации активов |
|
|
|
|
|
|
|
|
|
|
Приобретение прав собственности (акций) |
|
|
|
|
|
|
|
|
|
|
Продажа прав собственности |
|
|
|
|
|
|
|
|
|
|
Доходы от инвестиционной деятельности |
|
|
|
|
|
|
|
|
|
|
Кэш-фло от инвестиционной деятельности |
-150,0 |
-300,0 |
-30,0 |
|
|
|
|
|
|
|
Собственный (акционерный капитал) |
|
|
|
|
|
|
|
|
|
|
Займы |
161,8 |
368,1 |
84,2 |
|
|
|
|
|
|
|
Выплаты в погашение займов |
|
|
-99,0 |
-184,4 |
-168,8 |
-161,9 |
|
|
|
|
Выплаты процентов по займам |
-3,0 |
-44,3 |
-85,5 |
-66,1 |
-40,2 |
-14,2 |
|
|
|
|
Лизинговые платежи |
|
|
|
|
|
|
|
|
|
|
Выплаты дивидендов |
|
|
|
|
|
|
|
|
|
|
Кэш-фло от финансовой деятельности |
|
|
|
|
|
|
|
|
|
|
Баланс наличности на начало периода |
|
-164,7 |
-498,6 |
-406,6 |
-129,7 |
143,0 |
409,2 |
668,0 |
922,7 |
|
Баланс наличности на конец периода |
-164,7 |
-498,6 |
-406,6 |
-129,7 |
143,0 |
409,2 |
668,0 |
922,7 |
1044,3 |
|
Поток денежных средств за период |
-164,7 |
-333,9 |
92,0 |
276,9 |
272,7 |
266,3 |
258,8 |
254,7 |
121,6 |
Интегральные (обобщенные) показатели эффективности рассматриваемых вариантов
Таблица 12
|
Показатели эффективности |
Проект в целом |
Предприятие, реализующее проект, с учетом источников финансирования |
||
|
по «Project Expert» |
по «Альт-инвест-прим» |
по «Project Expert» |
по «Альт-инвест-прим» |
|
|
NPV, $ |
237 281 |
262 720 |
100 965 |
224 350 |
|
IRR,% |
25,09 |
25,3 |
17,43 |
нет |
Анализ результатов расчетов эффективности рассматриваемого проекта показывает:
- Расчеты показателей эффективности проекта в целом практически совпадают, так как в обоих случаях для определения показателей эффективности используются однотипные притоки и оттоки денежных средств проекта (без учета источников финансирования).
- Расчеты эффективности предприятия, реализующего проект, с учетом источников финансирования, существенно различаются из-за использования разных составляющих денежных потоков от финансовой деятельности, поскольку Project Expert не учитывает притоки и оттоки по заемным и иным внешним источникам финансирования. Тем не менее, программа позволяет построить таблицу пользователя для расчета эффективности предприятия с учетом источников финансирования.
В заключение отметим следующее.
1. Необходимо различать постановку задачи оценки эффективности проекта в целом (это главное, что хочет видеть потенциальный инвестор) от оценки эффективности предприятия, реализующего проект.
2. Расчет NPV предприятия, реализующего проект, без учета источников финансирования проекта соответствует (аналогичен) задаче оценки стоимости предприятия.
3. Расчет NPV предприятия, реализующего проект, с учетом источников финансирования соответствует задаче оценки стоимости акционерного капитала предприятия и его акций и требует соответствующей четкости в структурировании денежного потока и выборе ставки дисконтирования.
4. Необходимо развитие рыночных программных продуктов с учетом приведенных постановок задач и международной практики оценки денежных потоков и выбора ставок дисконтирования в зависимости от поставленной задачи.
ЛИТЕРАТУРА:
1. Брейли Р., Майерс С. Принципы корпоративных финансов. - Олимп-бизнес, 2000.
2. Идрисов А.Б. Планирование и анализ эффективности инвестиций.- Про-Инвест-ИТ, 1995. - 157 с.
3. Методики коммерческой оценки инвестиционных проектов. - ИКФ АЛЬТ, 1993.
4. Методические рекомендации по оценке эффективности инвестиционных проектов (вторая редакция). - М.: Экономика, 2000. - 421 с.
5. Никонова И.А. Финансирование бизнеса. - М.: Альпина-Паблишер, 2003. - 196 с.
6. http://pages.stern.nyu.edu/~adamodar/.
Реферат: Совершенствование организации и управление деятельностью ОАО Молочный мир
|
Название: Совершенствование организации и управление деятельностью ОАО Молочный мир Раздел: Рефераты по менеджменту Тип: реферат Добавлен 09 августа 2005 Просмотров: 7 |
|
Annotation. The degree work on the subject of “The improvement of the organization and management of JSC “Milk world”. The first chapter includes in the characteristics of the company. There are results of examination of company’s operations and improvement of the organization and the management of JSC “Milk world” in the second chapter. The third chapter includes in the analysis and planning of the production-financial activity of the company. The special part of the work is devoted to consideration of the system of motivation and staff stimulation. (Аннотация. Работа градуса (степени) на предмете " усовершенствование организации и управления ДЖСК " мир Молока ". Первая глава включает в характеристики компании. Есть результаты экспертизы действий компании и усовершенствования организации и управления ДЖСК " мир Молока " во второй главе. Третья глава включает в анализ и планирование финансовой производством деятельности компании. Специальная часть работы посвящена соображению(рассмотрению) системы возбуждения штата и побуждения.) Содержание. |Введение |4 | |1. Характеристика предприятия ОАО «Молочный мир» | | |1.1. Общие сведения о предприятии ОАО «Молочный мир» |5 | |1.2. Характеристика и анализ технологии производства |8 | |1.3. Маркетинговая деятельность предприятия |14 | |2. Анализ и совершенствование системы организации и управления | | |2.1. Производственная структура |20 | |2.2. Структура управления предприятием – функции и связи звеньев |22 | |управления | | |2.3. Организация и управление основными технологическими процессами и |35 | |производством в целом | | |2.4. Управление персоналом |39 | |2.5. Информационные системы управления |42 | |2.6. Инновационный менеджмент |44 | |3. Анализ и планирование производственно-финансовой деятельности | | |предприятия | | |3.1. Анализ основных технико-экономических показателей предприятия |46 | |3.2. Анализ финансового состояния и финансовых результатов |48 | |деятельности предприятия | | |3.3. Управление финансами предприятия |53 | |4. Мотивация и стимулирование работников ОАО «Молочный мир» | | |4.1. Сущность мотивации и ее виды |55 | |4.2. Анализ существующих методов стимулирования на ОАО «Молочный мир» |60 | |4.2.1. Моральная мотивация и стимулирование |62 | |4.2.2. Материальная мотивация и стимулирование |70 | |4.3. Совершенствование системы стимулирования труда работников ОАО |77 | |«Молочный мир» | | |5. Разработка инвестиционного предложения по проекту |81 | |Заключение |82 | |Список использованной литературы |85 | Введение. В условиях становления рыночной экономики в нашей стране особое значение приобретают вопросы совершенствования организации и управления, позволяющие повысить социально-экономическую эффективность предприятия. В системе мер реализации экономической реформы особое значение придается повышению уровня работы с кадрами, постановке этой работы на прочный научный фундамент, использованию накопленного в течение многих лет отечественного и зарубежного опыта Одной из важнейших проблем на современном этапе развития экономики является проблема в области работы с персоналом. Результаты деятельности многих предприятий и накопленный опыт их работы с кадрами показывают, что формирование производственных коллективов, обеспечение высокого качества кадрового потенциала являются решающими факторами эффективности производства и конкурентоспособности продукции. Социально-экономическое значение кадровой работы в условиях рыночной экономики существенно изменяется, и она перестает быть только организационно-административной работой. Управление персоналом приобрело новое экономическое и социальное значение. Целью дипломного проекта является совершенствование организации и управления деятельности ОАО «Молочный мир», а специальная часть посвящена разработке методов мотивации работников, способствующей более эффективной работе предприятия. 1. Характеристика организации 1. Общие сведения о предприятии Открытое акционерное общество «Молочный мир» было основано в начале 1996 г. Общество является юридическим лицом и действует на основании Устава и законодательства РФ. Форма собственности – частная. Уставной капитал – 280 000 рублей. Первоначально было выпущено 40 000 акций номинальной стоимостью 2 рубля каждая, впоследствии было выпущено дополнительно 100 000 акций на сумму 200 000 рублей. 34,8 % акций принадлежит физическим лицам и 65,2% - юридическим лицам. Высшим органом управления ОАО «Молочный мир» является общее собрание акционеров. Общее руководство деятельностью Общества, за исключением решения вопросов, отнесенных Уставом к исключительной компетенции общего собрания, а так же руководство текущей деятельностью осуществляется генеральным директором. Генеральный директор назначается и освобождается от должности решением Общего собрания акционеров. Основная цель деятельности ОАО «Молочный мир» – получение прибыли, для чего объединяются материальные, трудовые, интеллектуальные и финансовые ресурсы его участников. Так же целями организации являются: - адаптация хозяйственной деятельности и системы управления фирмой к изменяющимся внешним и внутренним экономическим условиям; - сохранение коллектива специалистов и руководящих работников, имеющихся на фирме и привлечение лучших кадров; - обеспечение условий, необходимых для развития творческого потенциала работников и повышения уровня удовлетворенности и заинтересованности в работе; - обеспечение стабильного положения фирмы на рынке; - сохранение и поддержание на необходимом уровне всех видов финансовых ресурсов; - обеспечение качества товара по хорошей цене. Компания арендует: офисное помещение площадью 80 кв.м., помещение под склад – 1000 кв. м., помещение под фасовочный цех – 50 кв.м., камеру оттепления – 20 кв. м. расположенные на территории складского хозяйства в г. Химки, и складское помещение – 700 кв.м. и офисное помещение – 15 кв. м., расположенные в Юго-Восточном округе г. Москвы. Для удобства обслуживания оптовых покупателей офис и складские помещения расположены вблизи Московской окружной автодороги с наиболее удобным подъездом. Это позволяет нашим клиентам не тратить время на утомительное простаивание в московских пробках и ожидания у ворот хладокомбинатов. Расположение склада и офиса в одном месте позволяет клиентам быстро оформить заказ и получить товар. Основной деятельностью ОАО «Молочный мир» является торговля продуктами глубокой заморозки: мороженым и сливочным маслом, и производство и торговля фасованным маслом ТМ «Молочный мир». Деятельность предприятия зависит от многих факторов. Например, от таких как деятельность поставщиков, наличие и потребность в трудовых ресурсах, государственные законы, наличие потребителей. Все это можно назвать средой прямого воздействия на предприятие, которую можно представить следующим образом: Среди наших партнеров – крупные московские предприятия, работающие в области производства продуктов питания, такие как «Сервис-Холод», «Айс- Фили», «Нестле», «Рот-Фронт» и др.,которые предлагают стабильное качество своей продукции и непрерывность поставок. Так же организация поддерживает тесные деловые взаимоотношения с региональными производителями («Подольский хладокомбинат», «Клинский хладокомбинат» и др.). География продаж ОАО «Молочный мир» распространяется на всю территорию РФ и стран СНГ. Большинство клиентов расположено в крупных индустриальных городах и областных центрах. Взаимовыгодное сотрудничество между компанией и ее клиентами направлено на удовлетворение и защиту прав потребителей, развитие отечественной пищевой отрасли, малого и среднего бизнеса, на укрепление рыночных отношений и экономической стабильности в России. Правовой формой урегулирования поставок является контракт между ОАО «Молочный мир» и фирмой-поставщиком. Многие из наших поставщиков, так же являются и нашими клиентами. Это в основном комбинаты - производители мороженого. С ними заключается договор о бартерной сделке. Это позволяет без использования денежных средств осуществлять прямой обмен товарами. 1.2. Характеристика и анализ технологии производства ОАО «Молочный мир» является торгово-производственной фирмой. В конце 2001 г. на фирме была введена линия по фасовке сливочного масла. На данный момент предприятие выпускает 2 вида фасованного масла «Молочный мир» весом 200 гр. и 185 гр.: - с массовой долей жира 72,5%, в том числе молочного жира не менее 36,25% и влаги не более 25,0%; - с массовой долей жира 82,5%, в том числе молочного жира не менее 41,25% и влаги не более 16,0%; Продукт вырабатывается в соответствии с требованиями ТУ 9221-002- 45052081-00 с соблюдением Санитарных норм. Для производства масла «Молочный мир» применяются масла, представляющие собой смеси коровьего сладкосливочного масла (не менее 50%) и гидрогенизированных масел и жиров, разрешенных к применению органами Госсанэпидемнадзора, без добавления консервирующих веществ. Все используемое сырье отвечает «Гигиеническим требованиям к качеству и безопасности продовольственного сырья и пищевых продуктов», имеет сертификаты и соответствует органолептическим и физико- химическим показателям. По органолептическим показателям масло соответствует следующим требованиям: |Наименование показателя |Характеристика | |Вкус и запах |Чистый, характерный для сладкосливочного масла с | | |привкусом пастеризованного молока и легким привкусом| | |растительных жиров. | |Консистенция и внешний |Пластичная, однородная по всей массе, на разрезе | |вид |слабоблестящая и сухая на вид или с наличием | | |одиночных мельчайших капелек влаги. | |Цвет |От слабожелтого до желтого, однородный по всей массе| Таблица 1.2.1. Органолептические показатели масла сливочного. Технологический процесс производства масла «Молочный мир» фасованного включает следующие операции: - приемка сырья; - отепление; - распаковка и подготовка масла к фасованию; - фасование масла; - упаковка и маркировка; - хранение и транспортирование. 1. Приемка сырья Для фасования используют свежезамороженное сырье или масла, снятые с хранения не менее чем за 100 дней до истечения срока хранения на холодильнике. Партии масла для фасования подбирают одного вида, равноценного по качеству, выработанного одним изготовителем. При этом ориентируются прежде всего по датам выработки и другим знакам маркировки, а также данным органолептической оценки. 2. Отепление. Предназначенное для фасования в потребительскую тару сырье в монолитах направляют в камеру отепления (дифрастационную) и размещают так, чтобы к каждому из них обеспечить доступ теплого воздуха. При ручном способе укладки в штабель в шахматном порядке, при механизированном – на поддонах. Отепление масла до температуры фасования осуществляют при двух температурных режимах: 1-ый – температура (20є+2є)С и относительная влажность воздуха 85-90%; 2-ой – температура (10є+2є)С и относительная влажность воздуха 85-90%. Предпочтительным является второй режим отепления. Температуру фасования устанавливают в зависимости от периода года: (11є+1є)С – в весенне-летний период и (13є+1є)С – в осенне-зимний период. Продолжительность отепления монолитов масла до заданных температу составляет 55-57 часов при первом температурном режиме и 148-150 часов – при втором. Температуру масла измеряют стеклянным термометром в металлической оправе с ценой деления не более 1єС на глубине монолита 6-8 см. 3. Распаковка и подготовка масла. После окончания отепления партию масла одного вида направляют в распаковочное отделение, которое оснащено бактерицидными лампами и инвентарем из нержавеющей стали для зачистки штаффа. Затем монолиты подвергают выборочному контрольному взвешиванию, освобождают от пергамента и при необходимости зачищают. Зачистки масла взвешивают и направляют для хранения до переработки в холодильную камеру. Отепленные монолиты масла, подготовленные для фасования в потребительскую тару, разрезают на куски массой 1-3 кг. (бруски сечением 10…50*150 мм) на маслорезке электромеханической ТМК 33 и отправляют на фасование. 4. Фасование масла. Для фасования масла брикетами используют фасовачно-упаковочный автомат PAI/I. Во избежание получения неравномерной окраски масла в брикетах его фасуют строго по партиям. Перед началом работы фасовочного автомата внутреннюю поверхность бункера, шнеки, стенки приемника, выталкиватель и другие части, соприкасающиеся с маслом, обрабатывают специальными растворами (температура – 80єС). Фасуют масло на фасовачном аппарате в соответствие с инструкцией по эксплуатации брикетами массой нетто 200 гр. и 185 гр. В процессе фасования мастер систематически контролирует массу получаемых брикетов масла «Молочный мир» и при необходимости регулирует работу дозирующего устройства. 5. Упаковка. Масло «Молочный мир» в потребительской таре упаковывают брикетами массой 185 гр. и 200 гр. в алюминиевую кашированную фольгу по действующей нормативной документации. Допустимые отклонения массы нетто для фасованного продукта в гр. ± 3 гр. Масло «Молочный мир» фасованное в потребительской таре укладывается в картонные ящики по ГОСТ 13511, ГОСТ 13513, ГОСТ 13515. В каждый ящик помещают масло одной партии и одинаковой массы. Масса картонного ящика с маслом весит для 185 гр. – 10,36 кг. и для 200 гр. – 9,6 кг. 6. Маркировка. На каждую единицу фасовки масла нанесены следующие обозначения: - наименование продукта, вид; - наименование предприятия, фасовавшего масло, его адрес; - масса нетто упаковочной единицы; - дата фасования и срок годности; - условия хранения; - информационные данные о составе и энергетической ценности на 100 гр. продукта; - обозначения технических условий; - знак соотвтествия. Дата фасования и срок годности наносятся дататором. Маркировка на короба наносится вручную на одну из торцевых сторон. Для маркировки используют несмываемую краску, при этом маркировку наносят с помощью штемпеля. 7. Хранение. Маркированные короба помещаются на поддоны и помещаются на закалку и хранение в морозильные камеры. Масло закаляется в течение 3-4 суток, а затем поступает в продажу. Масло «Молочный мир» в потребительской таре фасованное хранится при относительной влажности воздуха не более 80% и температуре согласно таблице: |Вид масла |Срок хранения, сут., не более при | | |Не выше плюс |Не выше минус |Не выше минус |Не выше минус| | |3єС |3єС |12єС |18єС | |Все виды масла |20 |30 |60 |90 | |«Молочный мир» | | | | | |в кашированной | | | | | |фольге | | | | | Таблица 1.2.2. Условия хранения сливочного фасованного масла «Молочный мир» Производство масла «Молочный мир» осуществляется на двух технологических линиях. Каждую линию обслуживают два оператора. Контроль осуществляет мастер-технолог. После технологического процесса, готовая продукция за подписью мастера- технолога передается на склад. На данный момент на рынке фасованного сливочного масла существует достаточно жесткая конкуренция. На российском рынке присутствует очень много фасованного масла под разными торговыми марками как отечественного, так и импортного производства. Фасованное масло под торговой маркой «Молочный мир» существует на рынке 3 года. Своим высоким качеством оно уже завоевало своего клиента. Но для того, чтобы выдержать жесткую конкуренцию на рынке масел, следует усовершенствовать свою продукцию. Предприятию можно было бы предложить следующие действия по усовершенствованию технологии производства своей продукции. Во-первых можно увеличить срок реализации продукции. Сейчас срок реализации фасованного сливочного масла при температуре –18єС составляет 60 суток. Можно было бы порекомендовать разработку новых технических условий для увеличения срока реализации продукции. Так же можно было бы порекомендовать предприятию наладить выпуск легких (комбинированных) масел. Эти масла более доступны по ценам среднему покупателю. Это помогло бы расширить рынок продаж. Оборудование которое используется предприятием позволяет выпускать комбинированные масла. При производстве фасованного масла появляются отходы (за счет зачистки шттафа), которые на данный момент никак не используются. Можно было порекомендовать отправлять шттаф на перетопку, с последующим изготовлением новой продукции – топленого масла. Эта операция не потребует больших материальных затрат. Для производства топленного масла можно использовать стационарный пищеварочный котел, насос для перекачки топленного масла и автоматическую установку «Полур-250» для расфасовки масла. Производительность такой линии до 250 стаканчиков в час (объемом до 0,5 л.). Для обслуживания такой линии требуется всего один оператор. 1.3. Маркетинговая деятельность предприятия Составляющие успеха на рынке – это хорошее качество товара, быстрое и качественное обслуживание, а также – и это приобретает все большее и большее значение при изобилии товара – отличный маркетинг. ОАО «Молочный мир» является торгово-производственной компанией. Сферой деятельности компании является оптовая торговля мороженым и сливочным маслом, а также производство и торговля фасованным маслом ТМ «Молочный мир». Торговля продукцией осуществляется с торговых баз расположенных в г. Химки и Юго-Восточном округе г. Москвы. В целях достижения преимуществ по сравнению с конкурентами, повышения эффективности своих предпринимательских действий, избежания конфликтов и обострения прямой конкурентной борьбы на рынке, предприятие должно выявлять наиболее соответствующий своему профилю и потенциалу сегмент рынка, группу покупателей, потребителей. С этой целью фирма ОАО «Молочный мир» разработала и применяет в своей работе следующие материалы:[1] 1. Структура потребительского рынка замороженных продуктов в России: 2. практически все люди употребляют в пищу наш ассортимент; 3. 1/3 часть покупателей предпочитает продукцию импортного производства; 4. 2/3 покупателей приобретают продукты питания отечественного производства, ориентируясь на ее относительную дешевизну и качество; 5. более 80% отдают предпочтение мороженому, 75% регулярно приобретают сливочное масло. [pic] Рис. 1.3.1. Возрастная структура потребителей мороженого[2] 6. Сегментирование объема реализации выглядит следующим образом: [pic] Рис.1.3.2. Сегментирование объема реализации продукции нашей фирмой 7. Пирамидальное представление сегментов московского рынка замороженных и масложировых продуктов, представленных нашей фирмой: дорогие импортные продукты (торты- мороженое, мороженое от 500 мл., от 100 р. элитные сорта сливочного масла) Продукты известных марок от 30 до 100 р. мороженого, производимые в России. Сливочное масло. до 30 р. Традиционная отечественная продукция Рис. 1.3.3. Пирамидальное представление рынка мороженого и масложировой группы Наша фирма занимает на рынке серединное положение, т.е. она реализует продукцию по средним ценам и имеет не самый большой и не самый маленький объем реализации продукции. Основной упор в работе фирмы делается на реализацию только качественной продукции, для этого разработана система контроля качества, в торговых точках всегда имеются все необходимые сертификаты (гигиенический, санитарный, радиологический, соответствия и т.д.). Потребность в материально-технических ресурсах определяется отделом закупок на основе заказов отдела продаж и данных по исследованию рынка, полученных от отдела маркетинга. Отдел маркетинга проверяет заказы с точки зрения возможного рынка сбыта, соответствия техническим условиям и имеющихся товарных запасов. Затем разрабатывается план закупок для того, чтобы производство получало сырье по мере его необходимости. План закупок разрабатывается после изучения рынка сырья. На рассматриваемой фирме осуществляются следующие виды закупок: - через оптовую фирму закупается сырье небольшими партиями (как правило, если товар новый, и ранее не продавался); - делаются срочные закупки для обеспечения бесперебойного хода производства; - на основе длительных деловых контактов и взаимовыгодных торговых отношений. Основным критерием выбора наиболее подходящих поставщиков служат их надежность, качество продукции, цены, возможные финансовые льготы. Так же рассматриваются следующие критерии: - достаточно ли хорошо упаковка предохраняет закупаемую продукцию, экологична ли она; - контролирует ли поставщик качество продукции на каждом этапе производства, какие методы контроля он применяет. Особое значение уделяется условиям поставки и формам расчета за приобретенную продукцию. Поставщиками ОАО «Молочный мир» являются известные российские производители мороженого, такие как: - «Айс-Фили»; - «7 хладокомбинат»; - «Нестле»; - «10 хладокомбинат»; - «АльтерВест»; - «Коломенский хладокомбинат»; - «Ногинский хладокомбинат» и другие. Сотрудничество с данными производителями, позволяет предоставить клиентам ОАО «Молочный мир» стабильное качество мороженого и непрерывность поставок. Поставщиками сливочного масла для ОАО «Молочный мир» являются такие крупные компании: - транснациональная компания «Новозеландский молочный совет»; - «Тален Сервис» - «Уфамолагропром» (Уфа). В начале своей деятельности акцент делался на торговлю только мороженым. Товар приобретался по договорам поставок с условиями отсрочки оплаты преимущественно у московских фирм-партнеров. Анализируя положение дел и тенденции развития организации, можно сказать, что торговые базы не давали достаточного уровня рентабельности и отдачи на вложенный капитал. Рентабельность была порядка 15-20%, а накладные расходы высокими. Исходя из этого, весной 1997г. руководство фирмы приняло решение о расширении ассортимента и изменении сбытовой политики. Вопрос о расширении ассортимента был обусловлен также тем, что поставщики производители мороженого нуждались для производства в таком сырье как масло. Между некоторыми поставщиками мороженого и ОАО «Молочный мир» были заключены договора о бартерных операциях, что дало ряд преимуществ для компании: - возможность получить качественный товар по выгодной цене, без участия «денежных потоков»; - фирма получила в лице поставщиков новых клиентов; - это также позволило продвигать на рынок фасованное масло под ТМ «Молочный мир», т.к. многие из фирм-производителей мороженого имеют свою розничную сеть. Чтобы привлечь внимание клиентов ОАО «Молочный мир» дает сведения о компании через средства массовой информации: - объявления в специализированных журналах, таких как «Оптовик», «Товары и цены». Объявления подаются в виде графических модулей в которых дается информация о цене, наименовании товара, методах обслуживания, скидках; - рекламных плакатах, размещенных в вагонах метрополитена; - на рекламных щитах, установленных на подъезде к торговым базам; - на рекламных плакатах и буклетах, рекламирующих товар, выпускаемый под ТМ «Молочный мир», которые предлагаются клиентам для размещения в точках розничной торговли. Так же наша фирма принимает участие в выставках-ярмарках. Это позволяет привлечь новых клиентов и одновременно провести эффективную рекламную компанию. Для стимулирования покупательского спроса ОАО «Молочный мир» использует следующие методы: - постоянное наличие товаров на складе и сбалансированный ассортимент дают возможность нашим клиентам поддержать стабильно высокий товарооборот в течение всего календарного года; - возможность резервирования ассортимента, бронирование количества и замена наименований продукции; - предоставление всех сопроводительных документов, отвечающих требованиям органов надзора РФ; - рекламная поддержка продаж; - в зимнее время проводится программа «зимней поддержки» продавцов мороженого, включающая в себя специальные зимние цены; - возможность быстрого оформление заказа (склад и офис в одном месте); Цена для предприятия является не только важным фактором, определяющим прибыль, но и стимулом реализации товаров. В своей деятельности фирма «Молочный мир» использует следующую ценовую политику: - установление цены на товар с учетом расчета исходной цены (закупочная цена, транспортировка, хранение, прочие накладные расходы); - установление цены на товар в соответствии с его позицией на рынке (анализ цен товаров конкурентов); - условия сделки существенно влияют на размер цены. Условиями сделки могут быть предусмотрены авансовые платежи, рассрочка и платеж наличными; Для наших покупателей предлагаются три группы оптовых цен: 1. По предоплате (предлагается цена ниже, чем у конкурентов). 2. По факту (цены на уровне цен конкурентов). 3. Накопительные скидки – зависят от объемов или возможности отсрочки платежа, но только для давних приоритетных клиентов. Обычно это скидки в размере 5-8%. Для тех покупателей, в которых предприятие заинтересовано, могут применяться специальные скидки (эти скидки являются коммерческой тайной сделки). 2. Анализ и совершенствование системы организации и управления 2.1. Производственная структура Производственная структура предприятия – состав отделов, служб, их размещение и взаимосвязь, которые обеспечивают рациональное выполнение производственного процесса. ОАО «Молочный мир» является торгово-производственной фирмой. Так как масштабы производства небольшие и фирма выпускает ограниченную номенклатуру товаров, производственную структуру предприятия можно охарактеризовать как предметную. Признаком предметной структуры является специализация на изготовлении определенного изделия. Производственная структура предприятия – безцеховая, т.к. применяется простой производственный процесс. Основой построения такой структуры является производственный участок. Участки бывают: основные, вырабатывающие продукцию; вспомогательные (энергетические, ремонтные, инструментальные и др.), обеспечивающие бесперебойную и эффективную работу основного производства; обслуживающие участки, выполняющие операции по транспортировке и хранению материально-технических ресурсов и готовой продукции. Участком называется организационно и технологически обособленное звено предприятие, выполняющее основную работу производственного процесса. К основным участкам относятся: - участок фасования, участок на котором происходят все основные технологические процессы. К вспомогательным службам относятся: - ремонтная служба обеспечивает постоянную работоспособность оборудования и экономичный режим расходования материалов. Рис. 2.1.1 Производственная структура ОАО «Молочный мир». К обслуживающим подразделениям относятся: - сырьевой склад, обеспечивает сохранность материалов на предтехнологической стадии; - склад готовых изделий обеспечивает сохранность готовой продукции на предпродажной стадии; - транспортная группа обеспечивает доставку сырья и готовой продукции; - лаборатория осуществляет контроль качества сырья и готовой продукции. 2.2. Структура управления предприятием Под структурой управления понимается упорядоченная совокупность устойчиво взаимосвязанных элементов, обеспечивающих функционирование и развитие организации как единого целого. Структура управления определяется также как форма разделения и кооперации управленческой деятельности, в рамках которой осуществляется процесс управления по соответствующим функциям, направленным на решение поставленных задач и достижение намеченных целей. С этих позиций структура управления представляется в виде системы оптимального распределения функциональных обязанностей, прав и ответственности, порядка и форм взаимодействия между входящими в ее состав органами управления и работающими в них людьми. Линейные руководители являются единоначальниками, а им оказывают помощь функциональные органы. Линейные руководители низших ступеней административно не подчинены функциональным руководителям высших ступеней управления. Элементами структуры являются отдельные работники и службы аппарата управления; отношения между ними поддерживаются благодаря связям, которые могут носить линейный и функциональный характер. Линейные связи отражают движение управленческих решений и информации между линейными руководителями, т.е. лицами, полностью отвечающими за деятельность организации или ее структурных подразделений. Функциональные связи имеют место по линии движения информации и управленческих решений по тем или иным функциям управления. Преимущества линейно-функциональной системы управления: Во-первых, она обеспечивает быстрое осуществление действий по распоряжениям, указаниям, дающимся вышестоящими руководителями нижестоящим, чему способствует иерархичность такой структуры управления. Рис. 2.2.1. Организационная структура ОАО «Молочный мир» Во-вторых, она предполагает формирование функциональных подразделений на основе их оптимизации. Каждый из них выполняет строго определенные функции, а вместе - весь комплекс функций, обеспечивающих бесперебойную работу производства. В-третьих разделение труда между функциональными подразделениями облегчают работу по повышению деловой квалификации, способствует общему расширению знаний в рамках каждого функционального подразделения в ходе постепенного накопления опыта. В-четвертых, происходит быстрое осуществление действий по принимаемым распоряжениям, спускаемым "сверху вниз", и быстрее реализовывается обратная связь. В-пятых, создается возможность для быстрого маневрирования производственными, трудовыми и материальными ресурсами, исходя из задач руководителей верхнего уровня. Недостатками такой системы управления являются: - отсутствие тесных взаимосвязей и взаимодействия на горизонтальном уровне между производственными отделениями. - чрезмерно развитая система взаимодействия по вертикали, а именно подчинение по иерархии управления. Генеральному директору в разработке конкретных вопросов и подготовке соответствующих решений, программ, планов помогает специальный аппарат управления, состоящий из функциональных подразделений (кадровая служба, финансовый отдел и т.д.). Эти подразделения проводят свои решения через генерального директора, либо (в пределах специальных полномочий) прямо доводят их до специализированных служб или отдельных исполнителей на нижестоящем уровне. Функциональные подразделения, как правило, не имеют права самостоятельно отдавать распоряжения производственным подразделениям. Функциональные службы (финансовый отдел, кадровая служба) освобождают линейных руководителей от планирования финансовых расчетов, кадровых вопросов и др. Функции управления – комплекс необходимых, повторяющихся управленческих работ, объединенных единством содержания и целевой направленности. Функции управления характеризуют определенную сферу управленческой деятельности, осуществляемую на всех уровнях управления предприятием. Различают основные и конкретные функции управления. Основные функции – это весь комплекс обязательных работ, который подлежит неукоснительному выполнению в процессе реализации конкретной функции управления в определенной последовательности: прогнозирование, организация, планирование, мотивация, контроль, учет анализ, подготовка и принятие управленческих решений. Конкретные функции управления как более обособленные, самостоятельные области профессиональной деятельности применительно к новым условиям хозяйствования занимают ключевые позиции. Именно на основе анализа конкретных функций формируют структуру управления, осуществляют подбор и расстановку кадров, разрабатывают системы информации, организации делопроизводства. Конкретные функции управления позволят четко определить, что, кому и когда делать. Выполнение конкретных функций в комплексе составляет процесс управления организацией (предприятием). Генеральный директор имеет право без доверенности представительствовать от имени Общества, представлять интересы Общества во всех российских и иностранных учреждениях, заключать трудовые договора с работниками Общества, выдавать доверенности, издавать приказы и распоряжения, обязательные для исполнения всеми работниками Общества. Генеральный директор руководит предприятием в соответствии с действующим законодательством производственно-хозяйственной и финансово-экономической деятельностью предприятия, неся всю полноту ответственности за последствия принимаемых решений, сохранность и эффективное использование имущества предприятия, а также финансово-хозяйственные результаты его деятельности. Организует работу и эффективное взаимодействие всех структурных подразделений, направляет их деятельность на развитие и совершенствование производства. Обеспечивает выполнение предприятием всех обязательств перед федеральным, региональным и местными бюджетами, государственными внебюджетными, социальными фондами, поставщиками, заказчиками и кредиторами, а также хозяйственных и трудовых договоров. Обеспечивает правильное сочетание экономических и административных методов руководства, единоначалия и коллегиальности в обсуждении и решении вопросов, материальных и моральных стимулов повышения эффективности производства, выплату заработной платы в установленные сроки. Поручает ведение отдельных направлений деятельности другим лицам. Обеспечивает соблюдение законности в деятельности предприятия и осуществлении его хозяйственно-экономических связей, использовании правовых средств для финансового управления и функционирования в рыночных условиях, укрепления договорной и финансовой дисциплины, регулирования социально-трудовых отношений, обеспечения инвестиционной привлекательности предприятия в целях поддержания и расширения масштабов предпринимательской деятельности. Защищает имущественные интересы предприятия в суде, арбитраже, органах государственной власти и управления. Финансовый директор организует управление движением финансовых ресурсов предприятия и регулирование финансовых отношений, в целях наиболее эффективного использования всех видов ресурсов в процессе производства и реализации продукции и получения максимальной прибыли. Обеспечивает разработку финансовой стратегии предприятия и его финансовую устойчивость. Руководит разработкой проектов перспективных и текущих финансовых планов, прогнозных балансов и бюджетов денежных средств. Определяет источники производственно-хозяйственной деятельности предприятия. Проводит исследование и анализ финансовых рынков, оценивает возможный финансовый риск и разрабатывает предложения по его уменьшению. Осуществляет инвестиционную политику и управление активами предприятия, определяет оптимальную их структуру, подготавливает предложения по замене, ликвидации активов, следит за портфелем ценных бумаг. Проводит анализ и оценку эффективности финансовых вложений. Организует разработку нормативов оборотных средств и мероприятий по ускорению их оборачиваемости. Анализирует финансово-хозяйственную деятельность предприятия. Осуществляет контроль за выполнением финансового плана и бюджета, плана реализации продукции, плана по прибыли и другим финансовым показателям, правильным расходованием денежных средств. Отдел бухгалтерии состоит из трех человек: главный бухгалтер, бухгалтер, кассир. Главный бухгалтер обеспечивает контроль за отражением на счетах бухгалтерского учета всех осуществленных хозяйственных операций, предоставление оперативной информации о финансовом состоянии объединения, составление в установленные сроки бухгалтерской отчетности и проведение экономического анализа финансово-хозяйственной деятельности объединения. Главный бухгалтер подчиняется непосредственно финансовому директору. Бухгалтер непосредственно подчиняется главному бухгалтеру и выполняет работу по различным участкам бухгалтерского учета (учет основных средств, товарно-материальных запасов, затрат на производство, реализацию продукции, результатов финансово - хозяйственной деятельности, расчетов с поставщиками и заказчиками, а также за предоставленные услуги и т.п.). Осуществлять прием и контроль первичной документации по соответствующим участкам учета и подготавливать к счетной обработке. Производить начисление и перечисление налогов в бюджет и внебюджетные фонды, средств на финансирование капитальных вложений, заработной платы персонала и других выплат и платежей. Подготавливает данные по соответствующим участкам учета для составления отчетности, следит за сохранностью бухгалтерских документов, оформляет их в соответствии с установленным порядком для передачи в архив. Кассир находится в подчинении у финансового и директора и осуществляет операции по приему, учету, выдаче и хранению денежных средств и ценных бумаг с обязательным соблюдением правил, обеспечивающих их сохранность. Оформляет документы и получает в соответствии с установленным порядком денежные средства и ценные бумаги в учреждениях банка для выплаты заработной платы, премий, оплаты командировочных и других расходов. Ведет на основе приходных и расходных документов кассовую книгу. Сверяет фактическое наличие денежных сумм и ценных бумаг с книжным остатком. Составляет кассовую отчетность. Отдел кадров занимается подбором и приемом на работу квалифицированных работников. Коммерческий директор осуществляет руководство финансово-хозяйственной деятельностью предприятия в области материально-технического обеспечения, заготовки и хранения товара, сбыта продукции на рынке и по договорам поставки, транспортного и административно-хозяйственного обслуживания, обеспечивая эффективное и целевое использование материальных и финансовых ресурсов, снижение их потерь, ускорение оборачиваемости оборотных средств. Организует участие подчиненных ему сотрудников: в составлении перспективных и текущих планов реализации товара, в определении долговременной стратегии коммерческой деятельности и финансовых планов предприятия, в разработке стандартов по материально-техническому обеспечению качества товара, организации хранения и транспортирования товара, сбыту товар. Принимает меры по своевременному заключению хозяйственных и финансовых договоров с поставщиками и потребителями товара, расширению прямых и длительных хозяйственных связей, обеспечивает выполнение договорных обязательств по поставкам товара (по количеству, номенклатуре, ассортименту, качеству, срокам и другим условиям поставок). Осуществляет контроль за выполнением плана реализации продукции, за правильным расходованием оборотных средств, прекращением продажи продукции, не имеющей сбыта. Осуществляет контроль за: реализацией товара, материально-техническим обеспечением организации, финансовыми и экономическими показателями деятельности организации, организует работу складского хозяйства, создает условия для надлежащего хранения и сохранности товара, обеспечивает рациональное использование всех видов транспорта, совершенствование погрузочно-разгрузочных работ, принимает меры к максимальному оснащению этой службы необходимыми механизмами и приспособлениями. Транспортный отдел осуществляет доставку сырья и товара, обеспечивает их надлежащую сохранность при перевозке. Склад обеспечивает хранение, складирование и отпуск товарно- материальных ценностей, организацию погрузочно-разгрузочных работ. Торговый отдел осуществляет сбыт продукции, подготавливает договора с клиентами, подготавливает отчеты по продажам. Сотрудники отдела принимают участие в выставках и ярмарках. Отдел закупок организует бесперебойное обеспечение предприятия сырьем и материальными ресурсами, заключает договора с поставщиками. Отдел маркетинга осуществляет изучение рынка и прогнозирует его развитие, анализирует и разрабатывает наиболее эффективные методы продаж и рекламы, определяет конкурентоспособность продукции, организует рекламу в средствах массовой информации, организует и проводит выставки, ярмарки, презентации. Отдел по производству фасованного масла фасует масло, осуществляет контроль за качеством и обеспечивает сохранность продукции на стадии производства. В ОАО «Молочный мир» существует несколько уровней управления, которые можно представить в следующем виде на рис.2.2.2. Институ циональный уровень Управленческий уровень Технический уровень Рис. 2.2.2. Уровни управления в ОАО «Молочный мир» Институциональному уровню соответствует руководители высшего звена (генеральный директор, финансовый и коммерческие директора, начальник кадровой службы). Эти руководители отвечают за принятие важнейших решений для предприятия. Они формулируют цели, разрабатывают долгосрочные программы для предприятия. Занимаются управлением отношениями между организацией и внешней средой, а также обществом, в котором существует данная организация. Управленческому уровню соответствуют руководители среднего звена – начальники отделов. Они занимаются координированием и согласованием работ своих подразделений. Они готовят информацию для решений, принимаемых руководителями высшего звена, и передают эти решения в виде конкретных заданий низовым руководителям. Техническому уровню соответствуют руководители низового звена (мастер- технолог), которые выполняют контроль за выполнением производственных заданий. Их работа характеризуются частыми переходами от одной задачи к другой. Временной период для принятия и реализации решения – короткий. Большую часть времени мастера проводят на производстве со своими подчиненными. Состав и количество органов управления создавались, исходя из целей и задач управления, определения круга управленческих функций, установления состава подразделений и распределения функций и объема работ по подразделениям. Рис. 2.2.3. Структура органов управления ОАО «Молочный мир» Численность работников предприятия устанавливается при составлении штатного расписания. Штатное расписание составляется в соответствии с организационной структурой предприятия. При этом учитываются содержание и объемы работ, квалификация специалистов. |Наименование отдела |Занимаемая должность |Количество | | | |человек | |Кадровая служба |Зам. директора по персоналу |1 | | |Главный бухгалтер |1 | |Бухгалтерия |Бухгалтер |1 | | |Кассир |1 | |Транспортный отдел |Начальник отдела |1 | | |Водители |6 | |Склад |Начальник склада |2 | | |Грузчики |7 | |Торговый отдел |Начальник отдела |1 | | |Менеджеры |4 | |Отдел закупок |Начальник отдела |1 | | |Менеджеры |2 | |Отдел маркетинга |Начальник отдела |1 | | |Маркетолог |1 | | |Менеджер по рекламе |1 | |Производство фасованного|Начальник производства |1 | |масла | | | | |Мастер - технолог |1 | | |Механик |1 | | |Рабочие |4 | Уровень образования работников ОАО «Молочный мир» достаточно высокий. Все руководители, начальники отделов, бухгалтеры, мастер-технолог и практически все менеджеры имеют высшее образование. Рабочие, грузчики, водители имеют среднетехническое и среднее образование. Это можно увидеть из таблицы «Уровень образования работников ОАО «Молочный мир». |Категория |Всего |8-10 |Средне |Высшее |Спец. Курсы | |работников |чел. |классов |техническое | | | |Руководители |11 | | |11 |3 | |Служащие |12 | |4 |9 |6 | |Рабочие |19 |12 |7 | | | Уровень образования работников ОАО «Молочный мир» Оплата у всех работников различна. В таких отделах как кадровая служба, бухгалтерия, отдел маркетинга установлена фиксированная оплата труда с установлением месячного должностного оклада. В отделе закупок так же применяется фиксированная оплата труда. Для транспортного отдела и склада применяется повременная оплата труда с установлением месячного должностного оклада. Сотрудникам торгового отдела и производства выплачивается месячный должностной оклад с ежемесячными выплатами премиальных по итогам работы. В конце года всем сотрудникам организации выплачивается зарплата по итогам года. Самый большой оклад у генерального директора предприятия, так как он несет ответственность за деятельность предприятия и финансово-хозяйственные результаты его деятельности. У коммерческого и финансового директора на 15% ниже заработная плата, чем у генерального директора. У остальных руководящих работников заработная плата зависит от масштаба и сложности руководства, степени ответственности и самостоятельности за принятие решений. 2.3. Организация и управление основными технологическими процессами и производством в целом Как уже отмечалось ОАО «Молочный мир» является торгово- производственной фирмой. Основная деятельность фирмы – торговля. Торговля относится к сфере услуг. Одна из наиболее важных отличительных черт сферы услуг заключается в характере проектирования этих услуг. Сфера услуг имеет ряд важных с точки зрения управления операциями характеристик. Во-первых, потребитель присутствует в производственном процессе, т.е. имеется более тесный контакт с потребителем. Во-вторых, в сфере услуг требуется более высокая степень индивидуализации продукта в соответствии с требованиями потребителя. В-третьих, работы в сфере услуг более трудоемки, чем в промышленности. Эти три особенности делают управление операциями в сфере услуг более трудным делом с точки зрения обеспечения эффективности. Система проектирования предоставления услуг ОАО «Молочный мир» учитывает ряд важных факторов: - месторасположение складов и офисов, обусловлено удобством подъезда для клиентов фирмы; - календарное планирование работ зависит в основном от потребителей; - работники должны владеть хорошими навыками общения с потребителями; - определение и измерение качества работ может оказаться затруднительным; - производственные мощности рассчитываются по «пиковому» спросу со стороны потребителей, а не по среднему уровню спроса; - эффективность работы служащего тяжело поддается измерению, поскольку низкая производительность может быть обусловлена отсутствием спроса со стороны потребителей, а не плохой работой служащего. Организацию основных технологических процессов на ОАО «Молочный мир» можно охарактеризовать как пооперационно-функциональную. При пооперационной функциональной планировке производственные ресурсы группируют по признаку выполняемой работы. Каждый отдел на предприятии выполняет свою работу. Рассмотрим организацию процесса продаж на ОАО «Молочный мир», а так же взаимодействие отдела продаж с другими отделами предприятия. Любая торговая операция начинается с заключения договора купли-продажи с клиентом. Менеджер по продажам обсуждает с клиентом номенклатуру товара, цены, способ доставки товара – все эти и другие параметры отражаются в договоре, а также в приложениях, спецификациях, дополнениях или других документах, сопровождающих договор. После заключения договора клиенту выписываются накладная в 3-х экземплярах, счета-фактуры и выдаются сертификаты на купленную продукцию. Один экземпляр счета-фактуры и накладной менеджер передает в бухгалтерию предприятия. После оформления документов клиент направляется на погрузку. Если договор не предусматривают отсрочку платежа, товар клиенту отпускается при поступлении денежных средств на расчетный счет предприятия или при оплате за наличный расчет через кассу предприятия. Информацию о поступлении денежных средств менеджер получает у бухгалтера предприятия. Так же в должностные обязанности менеджера входят поиск потенциальных клиентов. На эту операцию менеджеру отводится время в течение рабочего дня. В конце каждого месяца менеджер сверяет остатки товара по складу с начальником склада и готовит отчет по складу и продажам, который подает начальнику отдела. В конце каждой недели начальник отдела проводит совещания с менеджерами, на которых обсуждаются итоги недели. Так же начальник отдела может принимать участие в обсуждение условий договора, когда требуется принять ответственное решение (например, о предоставлении отсрочки платежа на большой срок). Режим работы отдела: пять рабочих дней в неделю с 9.00 до 18.00 с обеденным перерывом – 1 час. После выписки документов клиент получает товар на складе. Товар отпускается по распоряжению начальника склада или ответственного по складу на основе выписанных документов. Кроме отпуска товара рабочие склада выполняют следующие операции: - приемка товара от поставщиков; - складирование товара; - паллетирование товара. В конце каждого месяца начальником склада подготавливается отчет об остатках товара на складе. Режим работы склада определяется количеством полученных заказов. Предприятием предоставляются клиентам транспортные услуги для перевозки товара в пределах Москвы и ближайшего Подмосковья. Машина предоставляется по распоряжению начальника транспортного отдела. По распоряжению начальник транспортного отдела осуществляется доставка товара от поставщиков, если в договоре о поставке, предусмотрен самовывоз товара. Все распоряжения по предоставлению транспорта принимаются начальником транспортного отдела по заявкам отдела продаж и закупок. Так же транспортный отдел осуществляет техническую поддержу автопарка предприятия. Режим работы транспортного отдела определяется количеством полученных заказов и временем в пути. Отдел закупок производит закупку товара на основании заказов отдела продаж и отдела по производству фасованного масла. В отделе работают два менеджера по закупкам, каждый из которых ведет свое направление (масло и мороженое). Начальник отдела координирует работу менеджеров и принимает решения о закупках нового товара. Менеджеры согласовывают ассортимент и объемы закупаемого товара, сроки поставок и заключают договора, отслеживают правильность поставок. Продолжительность рабочей недели отдела закупок – 40 часов. Отдел по производству фасованного масла производит продукцию на основании плана продаж торгового отдела. Начальник производства принимает решение об ежедневном объеме производства и составляет график, на основании которого отдел работает целый месяц. Отдел производства работает 5 дней в неделю с 9.00 до 18.00. Для организации управленческого труда первостепенное значение имеет закрепление обязанностей, установление за каждым исполнителем прав, ответственности. Руководящий состав ОАО «Молочный мир» выполняет функции, связанные с организацией, планированием и управлением работой коллективом подразделений. В течение недели на фирме проводятся оперативные совещания, которые непродолжительны по времени и проводятся только с теми лицами, которые необходимы для решения рассматриваемых вопросов. Каждую неделю коммерческий директор собирает совещания начальников отделов, на которых рассматриваются результаты работы за неделю. Генеральный директор предприятия проводит совещания с директорами подразделений по мере необходимости для решения конструктивных вопросов касающихся деятельности предприятия. Каждый руководитель в своем подразделении выполняет следующие функции: - анализируют состояния дел, принимает решение по совершенствованию деятельности своего подразделения и предприятия; - планируют работу коллектива; - определяют участие подчиненных в выполнении поставленных задач и меру ответственности каждого; - контролируют ход работы; - оценивают и стимулируют деятельность работников. Для рациональной организации труда на предприятии используются средства механизации работ и средства оргтехники. Помещения и рабочие места соответствуют санитарно-гигиеническим нормам и обеспечивают комфортные психофизиологические условия труда. 2.4. Управление персоналом Работу персонала на предприятии курирует заместитель директора по персоналу. В его обязанности входит: - возглавляет работу по формированию кадровой политики, определению ее основных направлений в соответствии со стратегией развития предприятия и мер по ее реализации; - принимает участие в разработке бизнес-планов предприятия в части обеспечения его трудовыми ресурсами; - проводит работу по формированию и подготовке резерва кадров для выдвижения на руководящие должности на основе политики планирования карьеры, создание системы непрерывной подготовки персонала; - организует и координирует разработку комплекса мер по повышению трудовой мотивации работников всех категорий на основе реализации гибкой политики материального стимулирования, улучшения условий труда, повышения его содержательности и престижности, рационализации структур и штатов, укрепления дисциплины труда. Найм работников производится при помощи кадровых агентств и через объявления в специализированных изданиях. Решение о найме работника исходит от начальника отдела, и после утверждения штатной единицы генеральным директором, кадровик ищет подходящую кандидатуру. После утверждения кандидатуры, сотруднику устанавливается испытательный срок (обычно 1 месяц) с подведением итогов его прохождения. С начала деятельности фирмы штат сотрудников увеличился на 24 человека. На фирме трудятся преимущественно молодые специалисты. Средний возраст составляет 35 лет. Маркетинг персонала на предприятии ориентирован на рациональное использование внутрифирменных трудовых ресурсов, эффективное распределение людей по рабочим местам, обеспечение наиболее оптимальных условий для раскрытия природных дарований работников. Расстановку и профессиональную адаптацию работника в коллективе обычно организовывают так, что работника назначают на должность со строго очерченными обязанностями, с ясными требованиями к профессиональным и личностным качествам. Руководящий персонал формируется по принципу команды, предполагающий совместимость, взаимную дополняемость и нацеленность на групповую работу. Такой подход порождает инициативу, создает благоприятную организационную и психологическую среду, усиливает сплоченность малых групп, развивает взаимопомощь и соревновательность, повышает престиж производительной работы. При рассмотрения вопроса о продвижении работника по служебной лестнице учитывается не только его опыт, достигнутые результаты и мнение вышестоящих руководителей, но и самооценка самим работником возможности профессионально-квалификационного роста. Совершенствование квалификации работников может происходить как по вертикали, так и по горизонтали, т.е. предоставляется возможность выполнять обязанности коллег одинакового уровня в данном и смежном подразделении, нижестоящих работников, определенной части функций непосредственного руководителя. Широко развито продвижение молодых и перспективных сотрудников по служебной лестнице, которые могут получить высокие должности. На предприятии почти нет текучести кадров, т.к. по сравнению с другими предприятиями его работники получают регулярно не только заработную плату (с учетом премий), но и различные виды ценные подарки по итогам работы за квартал, что является очень важным мотивационным фактором. На предприятии внедрена система аттестации. Она не только позволяет руководителю узнать, что на самом деле представляют собой их сотрудники, как они используют свое рабочее время и отрабатывают ли свою зарплату, но и решить проблему баланса стимулов в каждом индивидуальном случае. Система аттестации позволяет руководителю ближе и подробнее узнать, что можно получить от конкретного работника, подходит ли ему данный вид работы или что надо изменить при неудовлетворительной ситуации. Работник совершенствует свои знания, повышает квалификацию, стремится качественно выполнять работу, ощущая влияние конкуренции и учитывая, что он будет комплексно оценен в процессе аттестации. С помощью результатов аттестации руководитель получит право объективно повысить или снизить зарплату. Сам работник создает собственное мнение о своем квалификационном уровне. При этом обеспечивается непосредственный контакт «работник - фирма». Управление персоналом опирается на анализ содержания труда, способствующий правильным оценкам производственных и деловых качеств работника, организации труда, его оплаты, а также планируемой структуры и качество рабочей силы, необходимой предприятию. 2.5. Информационное обеспечение систем управления Современная динамика совершения деловых операций требует инструмента позволяющего постоянно «держать руку на пульсе» финансово-хозяйственной деятельности предприятия, в любой момент получать полную отчетность обо всех ее аспектах. На предприятии ОАО «Молочный мир» для этих целей используется «Комплексная система автоматизации управления финансово- хозяйственной деятельности «Парус». Эта система устанавливалась с учетом интересов всех подразделений предприятия прежде всего в интересах руководства, планово-экономических служб, отдела продаж, бухгалтерии, службы управления персоналом. Удовлетворение потребностей этих групп пользователей стало возможно только при комплексном подходе к построению информационной системы. Данный подход позволил: обеспечить полноценный поток данных между различными отделами и службами; снять противоречия возникающие при решении задач находящихся на пересечении интересов различных служб; легко и просто получать любую оперативную и отчетную информацию по всему набору данных. Взаимосвязанные модули этой системы охватывают все основные процессы управления – от учета финансовых и материальных средств до управления производством, закупками и реализации продукции. Информация вводится в систему и становится доступной любому нуждающемуся в ней сотруднику (если он имеет право на получение этой информации). Так же система позволила повысить управляемость фирмой. Благодаря встроенной системе электронного документооборота ускоряется процесс согласований и принятия решений. Всегда можно точно узнать кто, когда и при каких обстоятельствах принял (или не принял) то или иное решение. Развитая аналитика позволяет выяснить какие подразделения сработали хорошо, а какие - не очень, операции с какими товарами принесли прибыль, а с какими убытки и т.д. Эта программа позволяет оформлять платежные документы, договора и накладные, вести учет средств по счетам и товаров на складах, позволяет рассчитать зарплату и готовить балансовый отчет. 2.6. Инновационный менеджмент На ОАО «Молочный мир» нет отдела, координирующего инновационную деятельность. Поэтому для разработки и внедрения новых идей на предприятии создается рабочая группа, которая готовит предложения для руководства предприятия по стратегическим направлениям инновационного процесса. Эта группа формируется в зависимости от того, какие инновации собираются внедрятся (технологические, экономические, социальные). Окончательное решение о внедрении инноваций принимает генеральный директор. В конце 2001 г. на предприятии была введена линия по фасованию сливочного масла. Для осуществления этого проекта организация решила обойтись собственными силами, не привлекая сторонние организации. Предложение по реализации этого проекта поступило из отдела продаж, так как многие клиенты были заинтересованы в приобретении порционного сливочного масла. Отдел маркетинга изучил возможный рынок сбыта. Отделом маркетинга было проведено исследование спроса на эту продукцию, определение емкости рынка и перспективы его развития. Также были проведены исследования рынка ресурсов (сырье, упаковка, тара, оборудование). Финансовый отдел провел анализ финансовых возможностей предприятия. Кадровой службой был проведен поиск нужных специалистов. На предприятие был принят начальник производства, который занимался подборкой оборудования и доведением проекта до рабочей стадии. Ответственным за внедрение и разработку инновации был назначен коммерческий директор. Бюджет для этого проекта был сформирован из нераспределенной прибыли и дополнительного выпуска акций. Руководство предприятия понимает, что хотя инновационная деятельность не дает отдачу в ближайшей перспективе, необходимо иметь в виду и предполагаемую чистую прибыль в более отдаленной перспективе. 3. Анализ и планирование производственно – финансовой деятельности предприятия 3.1. Анализ основных технико-экономических показателей. Основной задачей ОАО «Молочный мир» является получение прибыли и увеличение рентабельности предприятия. Рассмотрим следующие технико-экономические показатели, приведенные в таблице 3.1.1. |Показатели |1999 год|2000 год |Отклонения к прошлому | | | | |году | | | | |абсолютное |% | |Объем |4357424 |4934561 |577137 |113% | |реализованной | | | | | |продукции, руб. | | | | | |Издержки |2684564 |2799010 |114446 |104% | |обращения, руб. | | | | | |Издержки |63% |57% |-6% |91% | |обращения к | | | | | |выручке % | | | | | |Коммерческие |159160 |457211 |298051 |287% | |расходы, руб. | | | | | |Прибыль от |1513700 |1678340 |164640 |111% | |реализации | | | | | |продукции, руб. | | | | | |Уровень |0,35% |0,34% |-1% |97% | |рентабельности, | | | | | |% | | | | | |Среднесписочная |25 |35 |10 |140% | |численность | | | | | |работников | | | | | |Показатели |2000 год|2001 год |Отклонения к прошлому | | | | |году | | | | |абсолютное |% | |Объем |4934561 |5824663 |890102 |118% | |реализованной | | | | | |продукции, руб. | | | | | |Издержки |2799010 |3250212 |451202 |116% | |обращения, руб. | | | | | |Издержки |57% |55% |-2% |97% | |обращения к | | | | | |выручке % | | | | | |Коммерческие |457211 |684234 |227023 |150% | |расходы, руб. | | | | | |Прибыль от |1678340 |1890217 |211877 |113% | |реализации | | | | | |продукции, руб. | | | | | |Уровень |0,34% |0,33% |-1% |97% | |рентабельности, | | | | | |% | | | | | |Среднесписочная |35 |42 |7 |120% | |численность | | | | | |работников | | | | | Таблица 3.1.1 Технико-экономические показатели ОАО «Молочный мир» Из данных таблицы видно, что объем реализации продукции за анализируемый период увеличился на 34%. Численность персонала возросла на 17 человек. Прибыль от реализации продукции возросла на 376517 руб. Уровень рентабельности продаж показывает сколько прибыли приходится на единицу реализованной продукции. В нашем случае мы видим, что с 1 рубля реализованной продукции предприятия получило чистой прибыли – 0,33 руб. Рентабельность продаж за анализируемый период осталась приблизительно на одном уровне. Коммерческие расходы возрасли на 339%. Это связано с тем, что предприятие стало больше вкладывать денег в рекламу своей продукции и обеспечение должной сохранности товара. При увеличении численности персонала рентабельность продаж осталось на том же уровне. Но это не может говорить о плохой работе управленческого звена, т.к. в конце 2001 г. был введен цех по производству фасованного масла, за счет этого увеличилась численность персонала. Поскольку цех был введен в эксплуатацию только в конце 2001 г., показатели по выработке продукции, объеме выпуска, реализации фасованного масла и т.д. не отражены в данной таблице. 3.2. Анализ финансового состояния и финансовых результатов деятельности предприятия Существует многообразная экономическая информация о деятельности предприятий и множество способов анализа этой деятельности. Финансовый анализ по данным финансовой отчетности называют классическим способом анализа. Основной целью финансового анализа является получение небольшого числа ключевых параметров, дающих объективную и точную картину финансового состояния предприятия, его прибылей и убытков, изменений в структуре активов и пассивов, в расчетах с дебиторами и кредиторами. При этом аналитика и менеджера может интересовать как текущее финансовое состояние предприятия, так и его проекция на ближайшую или более отдаленную перспективу, т.е. ожидаемые параметры финансового состояния. Степень финансовой устойчивости всегда должна учитываться при выработке стратегических решений в управлении предприятием. Оценка финансовой деятельности предприятия осуществляется на основе бухгалтерской отчетности. В таблице 3.2.1. представлен уплотненный баланс ОАО "Молочный мир" на 1.01.2002 года. Имущество предприятия за анализируемый период возрасло на 281361 руб. или на 59,82%. Увеличение имущества произошло в основном за счет роста оборотных активов на 185111 руб. или 62,33%. За 2001 год валюта баланса предприятия увеличилась 260451 руб. на 18,23 %, в том числе за счет увеличение Уставного капитала на 200 000 руб. полностью оплаченного акционерами и 54 668 руб. нераспределенная прибыль за 2000 г. Структура балансов ОАО «Молочный мир» 2000-2002 г. Таблица 3.2.1 |Показатели |на 1.01.2000 |на 1.01.2001 |на 01.01.02 | |Актив: |Абсолютное|% |Абсолютн|% |Абсолютн|% | | | | |ое | |ое | | |1. Внеоборотные |182629 |23,62|273724 |34,47%|278879 |15,58| |активы: | |% | | | |% | |Основные средства |127423 |16,48|180724 |22,76%|244279 |13,65| | | |% | | | |% | |Нематериальные активы |15086 |1,95%|9000 |1,13% |6000 |0,34%| |Долгосрочные фин. |40120 |5,19%|84000 |10,58%|28600 |1,60%| |вложения | | | | | | | |2. Оборотные активы: |590551 |73,92|520366 |65,53%|775662 |73,55| | | |% | | | |% | |Производственные |488845 |61,19|368786 |46,44%|540114 |51,22| |запасы | |% | | | |% | |Финансовые вложения | | | | | | | |Денежные средства |69232 |8,66%|97286 |12,25%|162670 |15,43| | | | | | | |% | |Дебиторская |32474 |4,07%|54294 |6,84% |72878 |6,90%| |задолженность | | | | | | | |Итого |773180 | |794090 | |1054541 | | |Пассив | | | | | | | |1.Источники |182346 |23,58|382349 |48,15%|637017 |60,41| |собств.средств | |% | | | |% | |2. Кредиторская |590834 |76,42|411741 |51,85%|417524 |39,59| |задолженность | |% | | | |% | |Итого |773180 | |794090 | |1054541 | | В целом структура совокупных активов предприятия характеризуется увеличением оборотных средств на 255296 руб., что составляет 49,06 % от показателей 2000 г., увеличение внеоборотных активов было на 1,88 % , увеличение доли основных средств происходило в основном за счет покупки оборудования для цеха. Анализ структуры балансов 2000-2002 г. Таблица 3.2.2 |Показатели (млн.руб) |Изменения |Изменения |Изменения | | |2000-2001 |2000-2002 |2001-2002 | |Актив: |Абсолютно|% |Абсолютно|% |Абсолютн|% | | |е | |е | |ое | | |1. Внеоборотные активы:|91095 |149,88|96250 |152,70|5155 |101,88%| | | |% | |% | | | |Основные средства |53301 |141,83|116856 |191,17|63555 |135,17%| | | |% | |% | | | |Нематериальные активы |-6086 |59,66%|-9086 |39,77%|-3000 |66,67% | |Долгосрочные фин. |43880 |209,37|-11520 |71,29%|-55400 |34,04% | |Вложения | |% | | | | | |2. Оборотные активы: |-70185 |88,12%|185111 |131,35|255296 |149,06%| | | | | |% | | | |Производственные запасы|-120059 |75,44%|51269 |110,49|171328 |146,46%| | | | | |% | | | |Финансовые вложения | | | | | | | |Денежные средства |28054 |140,50|93438 |234,96|65384 |167,20%| | | |% | |% | | | |Дебиторская |54299 |167,21|40404 |224,42|18584 |134,23%| |задолженность | |% | |% | | | |Итого |20910 |102,70|281361 |136,39|260451 |132,80%| | | |% | |% | | | |Пассив | | | | | | | |1.Источники |200003 |209,68|454671 |349,35|254668 |166,61%| |собств.средств | |% | |% | | | |2. Кредиторская |179093 |69,69%|-173310 |70,66%|5783 |101,41%| |задолженность | | | | | | | |Итого |246332 |135,18|418919 |159,82|172587 |118,23%| | | |% | |% | | | Пассивная часть баланса характеризуется преобладающим удельным весом собственных средств. Так, в начале периода удельный вес собственных источников финансирования составлял 48,15%, к концу анализируемого периода этот показатель увеличился до 60,41%, Из краткосрочных пассивов, основное место занимает кредиторская задолженность, которая уменьшилась с 51,85 % до 39,59 % за анализируемый период. Одним из важных показателей финансового состояния предприятия является оценка его платежеспособности, под которой понимают способность предприятия расплатиться по своим обязательствам. Оценка платежеспособности осуществляется с помощью коэффициентов ликвидности (таблица 3.2.3.). Проанализируем, как происходило управление финансовой деятельностью предприятия по данным отчетности за 2000 и 2001 годы. Коэффициенты ликвидности Таблица 3.2.3. |Показатель |Нормативно|на |на |Изменение | | |е значение|1.01.2001 |1.01.2002 | | |1.Коэффициент абсолютной |0,2 |0,24 |0,39 |0,15 | |ликвидности | | | | | |2.Общий коэффициент |1 |1,26 |1,86 |0,60 | |ликвидности | | | | | Коэффициент абсолютной ликвидности показывает, какая часть текущей задолженности может быть погашена на дату составления баланса, то есть отношение денежных средств и быстрореализуемых ценных бумаг к краткосрочной задолженности. По данным таблицы 3.2.3. этот коэффициент в начале анализируемого периода составлял 0,24 а в конце повысился до 0,39. Повышение коэффициента абсолютной ликвидности обусловлено увеличением денежных средств на расчетном с одной стороны и уменьшением кредиторской задолженности с другой стороны. Нормативное значение этого коэффициента – 0,2. Таким образом, предприятие погасить свои обязательства в срочном порядке сможет. Принимая во внимание различную степень ликвидности, можно с уверенность предположить, что все активы будут реализованы в срочном порядке. В отношении заемных средств предприятия с начала работы не использует систему банковского кредитования ввиду отсутствия привлекательных схем. Наиболее используемым способом взаимодействия с поставщиками это работа на условиях консигнации – когда товар передается ОАО «Молочный мир» на реализацию в данном случае весь получаемый товар учитывается на забалансовых счетах предприятия. На снижении риска финансовых затруднений в будущие периоды указывает значения показателей таких как так называемых коэффициентов автономии и обеспеченности запасов собственными источниками. Обеспеченность собственными источниками Таблица 3.2.4 |Показатель |Нормативно|На |На |Изменение | | |е значение|1.01.2001 |1.01.2002 | | |1.Коэффициент автономии |0,5 |0,48 |0,6 |0,12 | |2.Общей обеспеченности |1 |0,3 |0,66 |0,36 | |запасов собственными | | | | | |источниками | | | | | Из таблицы видно, что предприятие не может обеспечить необходимые запасы собственными источниками. Это свидетельствует о не совсем сбалансированном финансовом управлении предприятием. Можно дать некоторые рекомендации, позволяющие управлять дебиторской задолженностью: контролировать состояние расчетов с покупателями по отсроченным (просроченным) задолженностям; по возможности ориентироваться на большее число покупателей, чтобы уменьшить риск неуплаты одним или несколькими крупными покупателями; следить за соотношением дебиторской и кредиторской задолженности: значительное преобладание дебиторской задолженности создает угрозу финансовой устойчивости предприятия и делает необходимым привлечение дополнительных (как правило, дорогостоящих) средств; превышение кредиторской задолженности над дебиторской может привести к неплатежеспособности предприятия; предоставлять скидки при досрочной оплате. По управлению кредиторской задолженностью можно дать следующие рекомендации: предприятию ОАО “Молочный мир” желательно избавиться от просроченной задолженности и оплачивать счета поставщиков своевременно, чтобы не испортить с ними отношений и не потерять имидж надежного партнера. А также более точно рассчитывать и оговаривать сроки оплаты счетов, а для отслеживания состояния кредиторской задолженности ежемесячно вести ведомости состояния расчетов с поставщиками. 3.3. Управление финансами предприятия Доля собственного капитала в валюте баланса достаточно высока. Его удельный вес в валюте баланса на конец анализируемого периода составил 60,41%, что на 36,83% пункта больше, чем в 2000 г.(23,58%). На заемный капитал организации приходится 39,59 % к концу периода, и это на 36,83 % пункта меньше, чем в начале анализируемого периода. В целом же капитал организации в 2001 году сформировался на 60,41 % за счет собственных источников и на 39,59 % — за счет заемных. В 2001 г. собственный капитал возрос за счет выпуска акций на сумму 200 000 рублей и нераспределенной прибыли. Источники собственных средств за 2000 г. были увеличены за счет переоценки основных средств и нераспределенной прибыли. Как уже отмечалось предприятие не использует банковские кредиты. Поэтому основную долю кредиторской задолженности составляет задолженность перед поставщиками и подрядчиками, а также задолженность перед бюджетом и перед персоналом. Сопоставление дебиторской и кредиторской задолженности показывает, что предприятие на протяжении анализируемого периода имела пассивное сальдо задолженности, т.е. кредиторская превышало дебиторскую на 344646 руб. – на конец периода, и на 558360 руб. – на начало периода. Таким образом, предприятие финансировало отсрочки платежей своих должников за счет за счет неплатежей кредиторам (бюджету, поставщикам и т.д.). Темпы прироста дебиторской задолженности (224%) за анализируемый период были выше, чем прирост кредиторской задолженности (70%)- это является хорошим показателем. За анализируемый период размер кредиторской задолженности уменьшился, это говорит о том, что предприятие начало выполнять свои обязательства перед кредиторами. Большое количество оборотных активов находится в производственных запасах. Предприятию можно было порекомендовать проанализировать ситуацию, чтобы избежать затоваривания. Проведенный анализ оценки финансовой деятельности предприятия позволил сделать следующее заключение. Предприятие имеет нормальную устойчивость финансового положения, что не означает отсутствия проблем в деятельности предприятия. Предприятие достаточно обеспечено оборотными средствами для ведения хозяйственной деятельности и своевременного погашения срочных обязательств предприятия (так как коэффициент текущей ликвидности равен 1,74). Наличие на балансе предприятия кредиторской задолженности за поставленный товар по контрактам, является основным фактором финансового риска предприятия, это говорит о том, что предприятие выбрало неправильную политику о предоставлении потребительского кредита покупателям. В качестве мероприятий, способствующих выходу из сложившегося положения, повышению финансовой устойчивости предприятия и поддержке эффективной деятельности, можно предложить следующие: оптимизация дебиторской задолженности (так как она имела тенденции к увеличению); отсрочка и (или) рассрочка платежей по кредитам; сокращение расходов; совершенствование организации труда и системы управления. 4. Мотивация и стимулирование работников ОАО «Молочный мир» 4.1. Сущность мотивации и ее виды “Когда речь идет о том, чтобы предприятие двигалось вперед, вся суть в мотивации людей”. – Л. Якокка. Хороший настрой человека к предстоящей работе – это немаловажный фактор для процветания фирмы. Как и любая коммерческая организация ОАО «Молочный мир», это не просто группа людей, собравшихся вместе провести время, это живой организм, состоящий из личностей. А для того, чтобы этот организм жил, нужно наладить эффективный процесс взаимодействия между работодателем и работниками. Ключ к успеху – это сплоченность всех членов организации вокруг общей цели, именно в этом случае появится, помимо материальной заинтересованности, энтузиазм, новые идеи, увлеченность общим делом. Основная деятельность человека – это труд, который занимает, как минимум, треть взрослой самостоятельной жизни. Ряд этапов трудовой жизни человека захватывает более ранние и поздние периоды его жизни (выбор профессии, трудовое и профессиональное обучение, передача трудового опыта в семье, использование профессиональной помощи других людей и т.п.). Становится очевидным, что труд, а, следовательно, и все вопросы с ним связанные имеют большое значение для любого человека и всегда находятся в поле внимания. Результаты, достигнутые людьми в процессе работы, зависят не только от знаний, навыков и способностей этих людей. Эффективная деятельность возможна лишь при наличии у работников соответствующей мотивации, т. е. желания работать. Позитивная мотивация активирует способности человека, освобождает его потенциал, негативная мотивация тормозит проявление способностей, препятствует достижению целей деятельности. Мотивация включает в себя внутреннее состояние человека, называемое потребностью, и нечто вне его, определяемое как стимул или задача. Поведение человека определяется потребностью, которая доминирует в данный момент времени. Если человек разделяет общие цели, участвует в их достижении, вклад его должен быть обязательно отмечен. Поощрение должно следовать немедленно и всегда соотноситься с высшей целью, с делом. Наши сотрудники должны знать, что даже в самом малом они "бьют по мишени, вносят свою лепту" в дело. Именно так обстоят дела с созданием побудительных мотивов. Задача руководителя - "усадить своих подчиненных в одну лодку", помочь им почувствовать себя частью организации, ведь никто не станет дырявить лодку, в которой сидит. Только в этом случае сотрудники будут работать сверхурочно, если это необходимо, подходить к работе творчески, делать много больше того, что предписано заданием, а не следить за стрелкой часов, срываться с рабочего места со звонком, делать работу по минимуму. Наивно было бы ожидать, что сотрудники будут добиваться достижения целей организации только ради блага самой организации. Люди преследуют свои цели. Когда они могут достичь свои личные цели, выполняя то, что требует от них организация, тогда и вероятность достижения целей организации повышается. Если цель достигнута, то вся честь и слава всегда должна принадлежать тем, кто в самом низу, чьими руками делается дело. Если дело провалено, то вина целиком должна возлагаться на руководство. Людям свойственно повторять те поступки, которые заслуживают одобрения и получили положительную оценку. Когда людям в радость приходить на работу, когда они чувствуют, что их ценят, и что они состоялись, когда они получают приличное вознаграждение, да еще и учатся, когда у них есть необходимые навыки и оснащение, и когда руководство не отсиживается по кабинетам, а ежедневно общается с ними, стараясь убедить, что они могут многого добиться, тогда труд увлекает, и люди охотно проявляют свои усилия в общей упряжке. Общение с персоналом может осуществляться через беседы один на один, через специальную доску объявлений, с помощью ящика для жалоб и предложений. Большинство работников имеют личные или связанные с работой проблемы, которые могут повлиять на производительность. Желательно выявлять эти трудности как можно раньше. Работники должны чувствовать, что им помогут, посоветуют, подбодрят, что они не просто пришли на работу, а это - их второй дом. Все это в совокупности помогает трудиться с наибольшей отдачей. Многие руководители осознают, что необходимо побуждать людей работать на организацию. Однако при этом полагают, что для этого достаточно простого материального вознаграждения. Истинные мотивы, которые заставляют отдавать работе максимум усилий, трудно определить, они чрезвычайно сложны. Но, овладев современными методами стимулирования труда, руководитель сможет значительно расширить свои возможности в привлечении образованного, обеспеченного работника к выполнению задач, стоящих перед организацией. Налаженная мотивация работников и обратная связь обеспечат хорошие взаимоотношения между работниками и работодателем, повышение морального духа, отсутствие слухов и сплетен, что крайне отрицательно сказывается на производительности труда, рост взаимопонимания и доверия, быстроту в решении проблем, эффективное и спокойное ведение бизнеса. Каждый руководитель имеет дело с двумя группами мотивов: внутренними и внешними. Внутренние мотивы создает сама работа, - это чувство достижения результата, содержательности и значимости выполняемой работы, самоуважения. Наиболее простой способ обеспечения внутренней мотивации – создание соответствующих условий работы и точная постановка задачи. Внешние мотивы создаются организацией. Это заработная плата, продвижение по службе, похвалы и премирование, а также дополнительные выплаты и поощрения. Вознаграждать нужно «не только крупные достижения, которые не так уж часты, но и «небольшие, чтобы воспитать чувство достижимости целей». Очень эффективны в этом плане неожиданные вознаграждения. С точки зрения мотивации деятельность сотрудников в компании, потребности и мотивы могут быть распределены в три группы: Базисная группа: - потребность в безопасности (для некоторых она может выступать в форме потребности в стабильности); - потребность в контроле (уверенность, что твои действия могут что-то изменить в ситуации, что ты в определенной мере владеешь обстоятельствами, а не они тобой); - аффилитивные потребности (потребность в контакте, принадлежности к себе подобным); - потребность в принятии (у взрослых людей – со стороны значимых людей); Средняя (основная группа): - потребность в физическом и эмоциональном комфорте; - потребность в общении; - потребность в уважении и самоуважении, позитивной оценке со стороны значимых других и позитивной самооценке; - потребность в идентичности и в связи с этим – потребность принадлежать к определенной социальной группе (идентифицироваться с ней) и занимать в ней достойное положение; - мотивация достижений («я должен достигать в деятельности все более высоких результатов, иначе моя самооценка снизится»); - потребность в риске; - ценностная мотивация (потребность реализовывать в деятельности свою систему ценностей или в том, чтобы собственная деятельность по крайней мере не противоречила этим ценностям). Высшая группа: - потребность в творчестве; - потребность в самореализации и личностном росте; - экзистенцианальные потребности (для «производственных» моментов из этой группы наиболее важной является потребность в осмыслении существования и собственной деятельности). В реальной жизни это не четко разделенные классы. Рассмотрим, какие элементы стимулирования присутствуют в ОАО «Молочный мир». 4.2. Анализ существующих методов стимулирования на ОАО «Молочный мир» Система морального и материального стимулирования на различных предприятиях предполагает комплекс мер, направленных на повышение трудовой активности работающих и как следствие повышение эффективности труда, его качества. Таблица 4.2.1 дает общее представление о системе стимулирования персонала. Табл.4.2. Формы стимулирования персонала Систему стимулирования формируют постоянные и переменные элементы, льготы и факторы мотивации. Изначально стимулирующие факторы можно разделить на моральные и материальные. В данной таблице представлена система стимулирования, применяемая на ОАО «Молочный мир»: |Стимулирование | |Материальное |Моральное | |-заработная плата |- информирование о том, что | | |происходит в компании | |- премии |- отслеживание и учет потребностей | | |персонала, их динамика | |- бонусы |- согласование целей персонала с | | |целями предприятия | |- участие в прибыли |- планирование карьеры сотрудников | |- льготы и дотации |- предоставление работы (интересной, | | |творческой, сложной и т.д.) | |- обучение персонала |- оценка и поощрение хорошо | | |выполненной работы | |- подарки |- делегирование полномочий, повышение| | |ответственности сотрудников | |- социальные программы |- персональное внимание | | |(прямое/косвенное) | |- машины (служебные) |-профессиональное развитие/карьерный | | |рост/внедолжностная карьера | |- сертификация сотрудников |- имидж компании (престиж) | | |- корпоративная культура, атмосфера, | | |праздники, дни рождения и т.д. | Табл. 4.2.1 Система стимулирования на ОАО «Молочный мир» 4.2.1. Моральная мотивация и стимулирование По данным экспертов Strategic Management Journal, эффективные технологии нематериального стимулирования позволяют в рамках фонда заработной платы увеличить производительность труда до 20% и сократить до минимума не запланированную руководством текучесть персонала. При разработке программы по стимулирования сотрудников, руководство ОАО «Молочный мир» задалось вопросом, - какие факторы оказывают влияние на высоту планки достижений, задаваемой себе работником, а также на интенсивность прилагаемых им усилий для выполнения поставленных задач. И пришли к выводу, что профессиональный энтузиазм исполнителей зависит, прежде всего от четырех моментов. Во-первых, это уверенность (либо неуверенность) работника в том, что его активность приведет к запланированному рабочему результату – росту объемов продаж, повышения качества обслуживания клиентов и т.д. Во-вторых, степень уверенности, что достигнутые им успехи не останутся незамеченными, а будут оценены и вознаграждены руководством. В-третьих, это ценность в глазах работника самого ожидаемого поощрения. В-четвертых, положительный результат сравнения своего поощрения и поощрения коллег. Соответственно работники будут работать «спустя рукава» в той мере, в которой они испытывают неуверенность в возможности достичь заданные результаты, сомневаются, что их эффективность будет отмечена и вознаграждена и, наконец, низко оценивают привлекательность ожидаемого «приза». Немалую роль играет и оценка степени личного контроля над ситуацией, отсутствие внешних неконтролируемых помех. На основании этих исследований руководство пришло к выводу, что: 1. Начинать работу по мотивированию сотрудников надо уже с момента их прихода в организацию. При проведении вводных бесед с вновь привлеченными специалистами, им сообщают о своих ожиданиях относительно их продуктивности, формируют в них установку на высокие достижения как непременную норму жизни компании. Уже с момента найма четко обговариваются с привлекаемыми специалистами «стоимость» тех или иных из присущих им достоинств с учетом приоритетов компании. Так же в дальнейшем руководитель отдела периодически отслеживает мнение подчиненных по поводу соответствия получаемого ими вознаграждения весомости внесенного вклада. 2. Каждому руководителю надо быть образцом уверенности и энтузиазма для окружающих. Если первое лицо не верит в успех сформулированной стратегии или достижимости планируемого проекта, то не стоит удивляться пораженческим настроениям внутри его команды. 3. Сообщение о существующих трудностях и барьерах всегда должно сопровождаться конкретными предложениями по их преодолению. На предприятии введено «табу» на заявления типа: «Мы не сможем отодвинуть конкурентов» или «Нам не удастся повлиять на ход событий». 4. Так как любой коллектив состоит из людей с разным темпераментом, на предприятии стараются не давать высокотревожным работникам заданий со значительной долей риска и неопределенности. Эти люди с лихвой оправдывают свое присутствие в компании, прилежно выполняя рутинную работу, от которой открещиваются их более уверенные и амбициозные коллеги. В ОАО «Молочный мир» руководство считает, что чем больше текущей информации о деятельности компании, о резонах принятия тех или иных управленческих решений получает сотрудник, тем в большей степени он удовлетворяет потребность в контроле, тем более осмысленной становится его деятельность. Для менеджеров очень важно понимать, почему подчиненные ведут себя так, а не иначе; это дает им ценную информацию о том, какие потребности они хотят удовлетворить в своей работе. Когда фирма начинала свою деятельность, в торговом отделе работали два менеджера и оператор по выписке документов. В коллективе сложились добрые дружеские отношения. Объемы продаж росли. Но, через полтора года уволился оператор. Как оказалась, оператор потерял интерес к своей работе из-за однообразия выполняемых операций. Проанализировав ситуацию, начальник отдела и кадровик пришли к выводу, что любую работу надо организовывать так чтобы: . требовалось использование самых разнообразных навыков . работа была полезной и сама по себе приносила удовлетворение . работа давала служащему значительно большую свободу . допускала поддержание необходимой обратной связи для коррекции работы подчиненных . обеспечивала возможности непрерывного обучения. В результате исследования организации и планирования труда в отделе и на предприятии в целом, для улучшения работы и большего удовлетворения от нее служащих, было разработано три варианта перестройки работы: 1. Чередование работ: ряд работ взаимозаменяются через регулярные интервалы между служащими, чтобы снять проблемы чрезмерной повторяемости, утомляемости от детализированной работы. Сегодня дело обстоит так, что если сотрудник, например, работает с компьютером, завтра идет на переговоры, потому что постоянная работа утомляет и расслабляет. 2. Расширение работы: работу расширяют, чтобы дать служащему больше разнообразных взаимосвязанных задач одного и того же профессионального уровня с целью сокращения монотонной работы. 3. Обогащение работы: обогащение работы расширяет ее пределы вертикально, чтобы охватить задания, выполнение которых требует большей ответственности при принятии решений и большей свободы при проявлении отдельных инициатив. Одним из важных пунктов в мотивации сотрудников является стабильность компании. Во время кризиса 1998 г. на ОАО «Молочный мир» никого не уволили: сотрудники работали за те же деньги, но с меньшей нагрузкой. Эта стабильность при любых условиях играет важную роль. Сейчас эти сотрудники готовы работать «день и ночь» на компанию, которая поддержала их в трудную минуту. Высокие требования предъявляются руководством фирмы к профессионализму и компетентности своих работников. Поэтому особое внимание на предприятии уделяется регулярному обучению и повышению квалификации сотрудников. У нас разработаны и внедрены в практику социальные программы повышения квалификации, пройдя которые наши сотрудники приобретают более глубокие профессиональные знания. Весь наш персонал знает, что от их квалификации зависит качество сервиса, предоставляемого нашим клиентам. Для поддержания соответствующего уровня профессионализма сотрудников, кадровой службой проводится мониторинг ситуации на рынке, что позволяет корректировать уже действующие программы и разрабатывать новые. Так образом, весь персонал постоянно в курсе последних изменений и всех событий. Обучение сотрудников традиционно ведется по направлениям, необходимым компании. Если сотрудник хочет получить знания в другой области, которые в данный момент в компании в плане не стоят, однако являются перспективными, то решения об оплате такого обучения принимаются в индивидуальном порядке. Корпоративная культура Одним из приоритетных направлений морального стимулирования, используемой в ОАО «Молочный мир» является корпоративная культура (рис. 4.2.) Корпоративная культура – это система убеждений, норм поведения, установок и ценностей, которые являются теми неписаными правилами, определяющими, как должны работать и вести себя люди в данной организации. При этом речь идет об убеждениях и ценностях, которые в большей или в меньшей степени разделяются подавляющим большинством членов организации. Система отношений, лежащая в основе корпоративной культуры, -это те важнейшие отношения, которые формируют и определяют поведенческие нормы и рабочее поведение членов организации. Это, например, такие отношения руководства к работникам, отношения работников к руководству, отношение персонала к работе, отношение работников к клиентам и т.п. Поведенческие нормы – это те требования (как зафиксированные в документах, так и негласные) к поведению работников, которые воспринимаются ими как некий свод правил, определяющих, какими должно быть «правильное», «должное» поведение членов организации в тех или иных стандартных ситуациях. Например, быстрое и качественное обслуживание клиентов, безоговорочное исполнение приказов и распоряжений руководства, помощь и сотрудничество в командной работе и.т.п. Действие и поведение работников, направленные на достижение конкретных результатов или выполнение порученных заданий. Это наблюдаемые проявления корпоративной культуры, ее внешняя сторона, но именно по действиям и поведению работников мы можем судить о том, каково в целом состояние корпоративной культуры, способствует ли она эффективной работе организации, успешному проведению изменений, поддерживает ли выработанную стратегию развития или нет. Наличие всего комплекса элементов корпоративного стиля рождает у сотрудников чувство принадлежности к компании, чувство гордости за нее. Из разрозненных людей сотрудники превращаются в единый коллектив, со своими законами, правами и обязанностями. В нашей компании главным элементом корпоративного стиля является экономическое соревнование. Природой в человеке заложено соревновательное начало, желание быть первым. Важно, чтобы высокими наградами премировали действительно лучших работников, никто не хочет, чтобы все выплаты были уравнительными. Основу экономического соревнования создает система оценки труда персонала в компании. Соревнование – это элемент, с Рис. 4.2. 2. Составляющие корпоративной культуры одной стороны, обеспечивающий реализацию соревновательного духа сотрудников, с другой - позволяющий администрации выделить лучших и продемонстрировать свою благодарность им. Соревновательный стиль работы обеспечивает наилучшее понимание целей и задач подразделения и компании всеми сотрудниками, а также культивировать чувство причастности каждого к результатам труда всего коллектива. Корпоративная социальная политика, являясь элементом корпоративной культуры, подразумевает разработку и реализацию мероприятий и программ, обеспечивающих социальную защищенность и высокий социальный статус сотрудника компании. Она определяет условия труда, корпоративные праздники, фирменную спецодежду и защиту, корпоративные здравницы и дома отдыха. Большое внимание уделяется корпоративным мероприятиям, мы считаем, что это прекрасная возможность неформально пообщаться с коллегами. Корпоративные праздники в отрыве от целей компании, от совместной работы теряют всякий смысл, более того приносят немалый вред. Корпоративный праздник предполагает понимание цели данного мероприятия (обсуждения каких- либо рабочих аспектов, создание неформальных отношений, отдых и т.д.). Праздник должен быть оформлен соответствующим образом, чтобы было понятно – это праздник данной компании, а не любой другой: элементы корпоративного стиля и оформления в соответствии с целями праздника, программа, подчеркивающая элементы корпоративности. Проведение корпоративных праздников четко регламентировано. Прописываются такие аспекты как перечень корпоративный праздников, участие в них руководителей, порядок их проведения, план и бюджет праздников на ближайший год. Также регламентируются все внутренние мероприятия, вне зависимости от их масштабности: собрания молодых сотрудников, ветеранов, уход на пенсию, дни рождения, награждения, делается ли это кулуарно или собираются все сотрудники компании. Н а фирме «Молочный мир» есть традиция – поздравление сотрудников с днем рождения или другими знаменательными датами в их жизни, с вручением премии или ценного подарка. А также совместное проведение общегосударственных праздников с вручением наиболее отличившимся сотрудникам ценных подарков и благодарственных писем, проведение различных шоу, викторин и других развлекательных мероприятий. Это позволяет людям наиболее полно раскрыться в коллективе и сплотиться, наладить взаимопонимание со всеми, кто работает в компании. Корпоративным кодексом ОАО «Молочный мир» принято положение, что среди сотрудников нет места дискриминации по половому, национальному и статусному принципу. На предприятии применяются «ритуалы поощрения». "Ритуалы поощрения" - призваны показать одобрение компанией чьего-то достижения или определенного стиля поведения, вписывающегося в рамки корпоративных культурных ценностей. "Одобряя что-либо в человеке или просто обращая на это внимание, мы эту черту умножаем и развиваем". В нашей компании по сложившейся традиции каждый сотрудник в день своего рождения может получить получасовую аудиенцию у генерального директора компании и задать ему любые вопросы. Такой ритуал поощряет интерес сотрудника к своей фирме, подчеркивает доступность высшего руководства, обеспечивает обратную связь, позволяющую руководству получить информацию о своих подопечных. Элементы корпоративной культуры ОАО «Молочный мир»: . Все сотрудники ходят на работу в "офисном стиле". На пятницу не назначаются никакие переговоры, потому что традиционно в этот день все одеваются "вольно" У всех одинаковые фирменные ручки и аксессуары. Работаешь на здоровый образ жизни - не кури. День образования компании - праздник с выездом за город. За каждый проработанный год выплачивается определенный премия. Все общаются на "ты" и по имени (это установка) Программа «Лучший сотрудник месяца»: внутренним голосованием выбирается лучший сотрудник отдела. 4.2.2. Материальная мотивация и стимулирование В отличие от других мотиваторов (материального неденежного, социального, профессионально-денежного, морального, трудового и др.) материальное стимулирование занимает господствующее положение в системе общей мотивации, так как является основным источником удовлетворения иерархии потребностей. Заработная плата важна для всех. Она должна быть конкурентной по сравнению с той, которую работник мог бы получать в другом месте. Заработная плата у нас на фирме выплачивается два раза в месяц без задержек, что само по себе является стимулом к труду. Люди к этому привыкли, и поэтому с большим доверием относятся к фирме, растет их уверенность в своем положении и они ценят это. Заработная плата только на первом этапе является стимулом к продуктивной работе, со временем человек к ней привыкает, и она уже на него не оказывает стимулирующего воздействия. Поэтому каждая организация использует собственную дополнительную систему вознаграждения работников. На предприятии помимо заработной платы используется компенсационная система. Понятие компенсационной системы предполагает необходимость компенсировать определенные вложения со стороны сотрудника в деятельность и развитие компании. Это может быть прибыль, принесенная компании, потраченное время, силы, знания, нервы, его лояльность по отношению к компании, использование личной машины в служебных целях и многое другое. Денежное вознаграждение Для расчета базовых окладов и разработки всей компенсационной системы в целом все сотрудники компании были разделены на категории: - Основной персонал – в нашей компании это сотрудники, непосредственно приносящие прибыль; - Обслуживающий персонал обслуживает и обеспечивает функционирование всех бизнес-процессов; - Управленческий персонал. Все категории в системе оплаты описываются коэффициентами категории персонала, используемые при расчете базового оклада, в зависимости от важности их работы для успешности компании. Под понятием разряд в компании принято понимать описание должности (функций по этой должности), составленное по определенным критериям. В ОАО «Молочный мир» такими критериями являются: - финансовая ответственность; - принятие решений; - менеджмент; - коммуникация; - образование. Все эти критерии имеют определенный вес при описании должностей. Таким образом, разряд – это сумма взвешенных стоимостей функций, выраженная в форме разрядного коэффициента. Разряд неразрывно связан с должностью, и изменение одного без другого не допускается. При этом размер денежного вознаграждения может быть изменен без изменения должности и разряда за счет изменений в надбавках за производственное поведение, выполнение функций, не описываемых должностью и т.д. Уровень дохода сотрудника зависит непосредственно от значимости его работы для компании. В компании используется система надбавок. Надбавка за руководство, не описанное в должностной инструкции, например наставничество. Такая выплата позволяет стимулировать инициативность. Недавно руководство предприятия ввела новую надбавку за владение иностранным языком. Эта надбавка выплачивается тем сотрудникам, где это не является прямым требованием к должности. Этой надбавкой стимулируется карьер-ориентированность, а также имеется в виду, что в любой момент можно использовать знание языка. В компании для каждого отдела выделен фиксированный ежемесячный премиальный фонд в форме определенного процента от фонда оплата труда данного отдела, который должен быть использован полностью в рамках отдела. В идеале каждый сотрудник по итогам месяца должен получить премию. Такое возможно, если все сотрудники отдела работали достаточно успешно в рамках ожиданий от них. Если один из членов группы работал значительно лучше других, то за счет уменьшения выплат остальным он получит больше. И наоборот, если один из членов отдела продемонстрировал поведение ниже ожидаемого, то сумма, на которую уменьшается его выплата, распределяется между остальными. Данные решения принимает руководитель отдела в соответствии с оценкой поведения сотрудников за период в соответствии с выделенными на этапе формирования компенсационной системы критериями, такими как опоздания, невыполнение поручений, использование рабочего времени на решение личных проблем и т.д. Это во-первых, стимулирует расширение границы представления о «правильном» поведении за счет возникновения конкуренции между сотрудниками. Во-вторых, позволяет избежать злоупотребления и чрезмерных выплат. Так же в отделе продаж и частично на производстве используется система индивидуального стимулирования. Системы индивидуального стимулирования носят довольно мотивационный характер, так как связь результаты труда – оплата выражены здесь яснее, чем в системе бонусов (премий). Если требуемые результаты труда имеют место, то имеет место и вознаграждение. Системы индивидуального стимулирования более сильно влияют на поведение работника в части достижения тех целей, которые были перед ним установлены. Системы стимулирования продаж (комиссионные выплаты) представляют собой формализованные программы, где размер вознаграждения основан полностью на количественных параметрах и имеют своей целью достижение определенного уровня продаж. В противовес бонусам, которые в прямую не связаны с определенной производительностью труда, комиссионные выплаты имеют место, если они подтверждены продажами. В общем виде система материального стимулирования и оплаты труда на ОАО «Молочный мир» выглядит следующим образом: Одним из наиболее эффективных факторов материального стимулирования на нашем предприятии рассматривается отпуск, как обязательный оплачиваемый ежегодный отпуск, положенный по закону, отпуск по беременности и родам, на медицинские нужды, так и дополнительный или дополнительные выходные дни. Что касается дополнительного отпуска, то принимается решение насколько отсутствие сотрудника может повредить производственному процессу. Здесь решается все индивидуально. В рамках корпоративной политики сотрудник может использовать до двух дней помимо выходных дней в месяц, но необходимо поставить в курс дела начальника заранее. Среди других материальных льгот, которые предоставляются сотрудникам – это подписка на периодические издания, однако ее обеспечивают не всем сотрудникам, а только тем, кому это необходимо для работы. Так же в компании используют социальные трансферты. До сих пор многие руководители считают, что нет смысла предоставлять сотрудникам некоторые ценные затратные для компании льготы, когда их можно просто выплатить сотруднику деньгами. Однако предоставление льгот обусловлено несколькими причинами. Во-первых, очевидно, что удовлетворенность заработной платы зависит от баланса между ожидаемым вознаграждением и реально полученным, и какая бы ни была зарплата, через некоторое время она перестает удовлетворять человека. Этот процесс бесконечен. В тоже время люди хотят получать большее количество денег для того, чтобы изменить качество жизни, увеличивать уровень комфорта. Больший комфорт – это больший сервис. При этом чрезмерное внимание к комфорту приводит к смещению внимания в сторону неустроенности тех или иных бытовых вопросов в ущерб решению производственных задач. Выплачивая социальные льготы, компания дает своим сотрудникам понять, что понимает и старается решить конкретные проблемы, которые перед ними стоят, изменяя не уровень дохода, а уровень комфорта. Во-вторых, это способ компании конкурировать с другими в вопросах удержания сотрудников: тогда, когда объемы денежных выплат на рынке балансируют на каком-либо уровне, конкуренция осуществляется за счет дополнительных льгот. Социальные трансферты призваны также повысить лояльность сотрудников по отношению к компании, выделяя их между людьми, работающими в других организациях. В отличие от денежного вознаграждения социальные льготы выплачиваются из прибыли. Постоянная часть социальных трансфертов. Постоянная часть ориентирована на удержание сотрудников и повышение конкурентоспособности компании на рынке в вопросах оплаты труда и внешнего имиджа с точки зрения ее прибыльности, стабильности. В настоящий момент в компании в качестве постоянных трансфертов используются значительные транспортные льготы. Переменная часть социальных трансфертов. Переменные трансферты ориентированы на поощрение сотрудников, однако, социальные переменные льготы отличаются от премий тем, что выделяют конкретного сотрудника из числа других. Например, при высоких результатах работы команды, где поощрить необходимо всех, но один заслуживает большего вознаграждения, чем другие, некоторое отличие в величине премий не позволяет в достаточной степени отразить заслуги сотрудника. В корне другой эффект производит предоставление такому сотруднику оплаченной путевки, несмотря на то, что стоимость такой путевки может быть ненамного выше размера премий. Переменные льготы зависят от поведения или статуса сотрудника. Сотрудникам, которые совершают резкий карьерный скачок и потенциально готовы к следующему, компания помогает быстро изменить свой внешний социальный статус и обеспечивает возможности дальнейшего роста. В этих целях используются ссуды сотрудникам. Предоставление таких льгот может не требовать значительных вложений со стороны компании, например, предоставление индивидуального места, непосредственно перед подъездом офиса на парковке или расположение кабинета и т.д. В заключении хотелось бы назвать семь общих правил материального поощрения персонала, основанных на единстве материальных и моральных стимулов при доминировании материальных: 1. Системы материального стимулирования должны быть просты и понятны каждому работнику. 2. Системы должны быть гибкими, дающими возможность сразу же поощрять каждый положительный результат работы. 3. Размеры поощрения должны быть экономически и психологически обоснованы (больше и реже; чаще, но меньше). 4. Поощрение персонала важно организовывать по таким показателям, которые воспринимаются каждым как правильные. 5. Системы поощрений должны формировать у работников ощущение справедливости материальных вознаграждений. 6. Системы поощрений должны способствовать повышению заинтересованности работников в улучшении не только индивидуальной работы, но и работы в «деловых связках» с другими сотрудниками. 7. Работники должны видеть четкую взаимосвязь между результатами своей работы и деятельностью фирмы (к чему могут привести ошибки сотрудников и к чему ведут успехи каждого из них). 4.3. Совершенствование системы стимулирования труда персонала ОАО «Молочный мир» В качестве рекомендаций по совершенствованию мотивации и стимулирования персонала, направленных на повышение трудовой активности работающих и повышение эффективности труда и его качества, я хочу рассмотреть методы , которые успешно используются на других предприятиях, но еще не применялись на практике в ОАО «Молочный мир». Проведение оценки сотрудников методом «360 градусов». Вначале этого процесса каждый пишет список тех, кто должен, по его мнению, оценивать его работу: руководство, подчиненные, коллеги и сам работник. Эта информация обрабатывается, уточняется, корректируется. «Оценщикам» спускается директива заполнить оценочную форму на данного сотрудника. В отдел кадров приходит анонимная информация с четырех сторон. Для каждого уровня существует своя шкала, но общий принцип один и тот же: назовите три самых сильных стороны на конкретных примерах и дайте пример слабых сторон сотрудника на конкретных примерах, перечислите то, что данному сотруднику еще надо добиться, какие качества развить, а также перечислите профессиональные качества данного работника. После чего вся информация сводится воедино и идет к руководителю по оценке (который есть у каждого сотрудника), который пишет общее и отдельно собственное резюме, из чего выводится некий общий знаменатель. Прежде чем информация подвергается окончательной обработке для практического применения, ее обсуждают лично с сотрудником. Результатом процесса становится продвижение сотрудника: повышение/понижение по службе, повышение/ понижение зарплаты, перевод в другой офис. Сам работник также составляет на себя оценочный лист, в который входит: что сделано за год (в общем), что является сильной и что слабой стороной (на конкретных примерах), чего он планировал добиться в прошлом году и каких результатов добился, а что не выполнил, незапланированные действия, план развития карьеры, профессиональные планы на год, какие тренинги необходимы. 1. «Клуб 100» (можно рассмотреть и другие названия). Эту систему можно использовать как альтернативу дополнительной стимулирующей оплаты, и она позволяет привлечь внимание к работникам, которые изо дня в день делают именно то, что обязаны делать. Она представляет собой бальную систему. За год работы без прогулов начисляется 25 баллов, за год без нарушения дисциплины – также 25 баллов, за год без опозданий 15 баллов. Дополнительные баллы начисляются работникам также за поданные ими предложения по повышению производительности труда и за обслуживание клиентов. Работникам набравших 100 баллов вручают, например, куртку или сумку с надписью «Клуб 100». Работникам, набравшим более 100 баллов, можно предложить выбрать по каталогу небольшие подарки за счет фирмы. Тем работникам, которые не будут тратить заработанные за год ими баллы, могут накапливать их на своих счетах, и когда счет достигнет 600 баллов, они могут получить более ценные подарки. Также можно добавлять баллы за работу без больничных, за сверхурочную работу в связи с производственной необходимостью. Эта система повышает соревновательность между членами трудового коллектива. На ОАО «Молочный мир» не организованно питание сотрудников. Работники вынуждены приносить еду с собой или покупать ее в ближайших магазинах. Руководству можно было бы предложить рассмотреть любую форму организации питания сотрудников (дотации, организация собственной столовой с частичной или 100% оплатой или любые другие). Так же можно отпускать сотрудникам товар, которым торгует фирма по закупочным ценам. Среди других стимулирующих мероприятий можно рассмотреть такие как: выделение беспроцентной или с низким процессом ссуды, например, для переезда или покупки какой-то дорогостоящей вещи. Так же в будущем возможно предоставление лучшим работникам туристических путевок оплаченных полностью за счет фирмы или со скидкой, медицинское страхование, фитнесс. Осуществление программ стимулирования труда всегда требует больших затрат, но эффект, который они могут принести, значительно больше. Ведь именно сотрудники являются главным ресурсом любой компании. Эффективность их работы определяет результат деятельности организации. Достичь наибольшей отдачи можно только в том случае, если выгоду от труда работника имеет и компания, и он сам. Поэтому для достижения наилучших результатов работы компании необходимо найти те мотивы, которые движут каждым сотрудником в его трудовой деятельности, и создать ему такие условия, чтобы он мог и хотел выполнить поставленные перед ним задачи. Проанализировав ситуацию с мотивацией и стимулированием сотрудников предприятия на ОАО «Молочный мир» можно сказать, что в целом руководство компании прикладывает много усилий для того, чтобы сотрудники предприятия чувствовали себя нужными своему предприятию. Для этого на предприятии разработаны программы мотивации персонала. Однако надо всегда помнить, что любая программа может дать сбой, если не учитывать особенности отдельных сотрудников. Мотивировать человека, который ценит покой и стабильность, возможностью решать сложные задачи на свой страх и риск так же нецелесообразно, как и мотивировать активного предприимчивого человека надбавкой к зарплате за выслугу лет. Ясно, что любые системы, в том числе и система мотивации, разрабатываются и внедряются в русле общей стратегии организации. Следует помнить, что сама стратегия реализуется на конкретных рабочих местах. Необходим баланс между интересами организации в целом и отдельных сотрудников. Система мотивации должна корректироваться и доводится до сведения каждого сотрудника линейными менеджерами. От подхода линейного менеджера во многом зависит, станет ли предлагаемая система мотивирующим фактором. Каждому руководителю, который заботится о своем персонале надо всегда помнить: - не может быть системы стимулирования, мотивирующей всех сотрудников одинаково; - конкретная система стимулирования должна разрабатываться для конкретного человека или конкретной группы людей со сходными доминирующими потребностями (либо общая система должна индивидуализироваться); - мониторинг доминирующих потребностей и мотивации персонала – необходимое звено деятельности и святая обязанность HR директора (неважно, делает он это «строго научными методами, беседует с сотрудниками индивидуально, входя с ними в доверительный контакт, или смотрит открытыми глазами, настраивает слух на самый чуткий диапазон и ловит «эмоциональные колебания», участвуя в разговорах в курилке, буфете и т.д.). За рубежом имеются предприятия, где удалось совершить переход от системы стимулирования к системе мотивации. Это не игра понятиями, а один из показателей очень высокого уровня менеджмента: все разнообразие и своеобразие мотивов работников находит отражение в соответствующей мотивационной системе, которая заменила систему стимулирования. В данном случае главной ценностью и ведущей системой стал «человек работающий», а не «стимулирующая рука» работодателя. Любая система стимулирования имеет свои пределы воздействия на персонал, и эти «лимитирующим пределом» выступает его мотивация. 5. Разработка инвестиционного предложения по проекту Под инвестиционным проектом понимается комплекс действий, направленных на достижение определенных целей и предусматривающий осуществление инвестиций, т.е. затрат, увеличивающих стоимость основного и оборотного капитала. Содержательное описание указанного комплекса действий излагается обычно в проектных материалах. Субъекты, перечисленные в проектных материалах как исполнители соответствующих действий, являются участниками проекта. В отличие от других коммерческих и финансовых операций инвестиционные проекты обычно уникальны, неделимы и нетиражируемы. Эффективность проекта в широком смысле характеризует его соответствие целям и интересам участников. Также этот термин используется в более узком смысле, как синоним экономической (коммерческой или финансовой) эффективности, относящейся только к коммерческим интересам. В любом случае оценка эффективности базируется на связанных с его реализацией денежных потоках (потоках доходов и расходов). Говорить об эффективности проекта можно только тогда, когда он реализуем, т.е. когда все предусмотренные им действия выполнимы. Для финансовой реализуемости необходимо, чтобы Субъект в момент осуществления затрат располагал необходимыми для этого денежными средствами. Так как предприятие запустило в 2001 г. линию для расфасовки сливочного масла и для этого были привлечены средства акционеров, собрание акционеров постановило, что с прибыли, полученной в 2002 г. будут выплачены дивиденты акционерам и будут проводиться социальные программы, используемые на предприятии для поддержки сотрудников (бонусы, премии, корпоративные мероприятия). В связи с этим было принято решение не инвестировать финансовые средства в расширение производства, номенклатуры, новых видов продукции на предприятии в ближайшее время. Заключение. В данном дипломном проекте была проанализирована деятельность ОАО «Молочный мир» по совершенствованию организации и разработаны рекомендации. Предприятие является Открытым Акционерным обществом, форма собственности – частная. Основной деятельностью ОАО «Молочный мир» является торговля продуктами глубокой заморозки: мороженым и сливочным маслом, и производство и торговля фасованным маслом ТМ «Молочный мир». Предприятие продажу мороженого, сливочного масла и фасованного сливочного масла под торговой маркой «Молочный мир» в России и странах ближнего Зарубежья. Предприятие имеет технологическую линию по расфасовке сливочного масла. Предприятию были предложены следующие действия по усовершенствованию технологии производства: - увеличение срока реализации продукции; - выпуск новой продукции (легкие и топленные масла). Производственная структура соответствует безцеховой структуре. Основным производственным процессом на ОАО «Молочный мир» является торговля. Организация основных технологических процессов – пооперационно- функциональная, что наиболее соответствует торговой организации. Предприятие имеет кадровую службу, управление персоналом курирует заместитель директора по персоналу. Маркетинг персонала на предприятии ориентирован на рациональное использование внутрифирменных трудовых ресурсов, эффективное распределение людей по рабочим местам, обеспечение наиболее оптимальных условий для раскрытия природных дарований работников. Для информационного обеспечения систем управления на предприятии используется «Комплексная система автоматизации управления финансово- хозяйственной деятельности «Парус». Эта система работает в интересах всех подразделений предприятия. Организация занимается инновационной деятельностью. В 2001 г. была введена линия по расфасовке сливочного масла под ТМ «Молочный мир». Основной задачей ОАО «Молочный мир» является получение прибыли и увеличении рентабельности предприятия. Анализ технико-экономических показателей показывает, что предприятие прибыльно и находится на стадии экономического роста. Предприятие имеет нормальную устойчивость финансового положения, что не означает отсутствия проблем в деятельности предприятия. Предприятие достаточно обеспечено оборотными средствами для ведения хозяйственной деятельности и своевременного погашения срочных обязательств предприятия. Наличие на балансе предприятия кредиторской задолженности за поставленный товар по контрактам, является основным фактором финансового риска предприятия, это говорит о том, что предприятие выбрало неправильную политику о предоставлении потребительского кредита покупателям. В качестве мероприятий, способствующих выходу из сложившегося положения, повышению финансовой устойчивости предприятия и поддержке эффективной деятельности рекомендовано: оптимизация дебиторской задолженности (так как она имела тенденции к увеличению); отсрочка и (или) рассрочка платежей по кредитам; сокращение расходов. Специальная часть дипломного проекта посвящена разработке методов мотивации и стимулированию работников предприятия. Анализ показал, что руководство компании прикладывает много усилий для того, чтобы сотрудники предприятия чувствовали себя нужными своему предприятию. Для этого на предприятии разработаны программы мотивации персонала. Рекомендованы к рассмотрению другие способы мотивации и стимулирования, такие как «Клуб 100», «360 градусов», питание, медицинское страхование и др. Реализация предложенных рекомендаций по совершенствованию организации и управления будет способствовать дальнейшему развитию предприятия и его эффективной работе. Список использованной литературы: 1. Даянц Л.Г. Лекции по дисциплине «Управление персоналом» 2. Кушнир М.А. Лекции по дисциплине «Организация труда» 3. Романова Н.П. – Лекции по дисциплине «Финансовый менеджмент» 4. Региональный центр ресурсов для открытого и дистанционного образования. (http:\\odl.sstu.samara.ru) 5. Вершигора Е.Е. Менеджмент: Учебное пособие; 2-е изд., перераб. И доп. М. ИНФРА-М, 2000.-283с. 6. Мескон М.Х., Альберт М., Хедоури Ф. Основы менеджмента:Пер.с англ. – 2- е изд. – М.: Дело, 2001. –800с. 7. Мордовин С.К. Управление человеческими ресурсами: 17-модульная программа для менеджеров «Управление развитием организации». Модуль 16. – М.: ИНФРА-М, 2000.- 288с. 8. Смирнова и др. Организация и ее деловая среда: 17-модульная программа для менеджеров «Управление развитием организации». Модуль 2. – М.: ИНФРА- М, 2000.-192 с. 9. Веснин В.Р. Практический менеджмент персонала.– М.: Юристъ. 1998. 10. Ладанов И.Д. Психология управления рыночными структурами. – М.: УЦ «Перспектива». 1997. 11. Старобинский Э.Е. Как управлять персоналом.– М.: ЗАО «Бизнес-школа «Интел-Синтез». 1995 12. Шекшня С.В. Управление персоналом современной организации. – М.: ЗАО «Бизнес-школа «Интел-Синтез». 1998. 13. Комарова Н. Мотивация труда и повышение эффективности работы – М.: Человек и труд. 1997 №10 14. Каверин С.Б. Мотивация труда. – М.: Дело, 1998 15. В.В. Травин, В.А. Дятлов Основы кадрового менеджмента – М.: «Дело». 1997 16. Материалы административно-управленческого портала (www.aup.ru) 17. Материалы сайта www.dis.ru Издательской группы “Дело и сервис” 18. Материалы сайта Human Resource Management (www.hrm.ru) 19. Электронный журнал «Marketingmix» (www.marketingmix.ru) 20. Журнал «Управление персоналом» – 2002 №1 ----------------------- [1] Материалы Ассоциации «Столичное мороженое» [2] По данным компании Business Analytica (2001 г.) ----------------------- Отдел закупок 3 Производство фасованного масла 7 Транспортный отдел 7 Коммерческий директор 1 Генеральный директор 1 Финансовый директор 1 Кадровая служба 1 Государственные законы Предприятие Потребители Поставщики (материалов, трудовых ресурсов) Лаборатория Транспортная группа Склад готовых изделий Сырьевой склад Участок фасования Ремонтная служба Обслуживающие подразделения Основные участки Вспомогательные службы Фасовочное производство Торговый отдел 5 Отдел маркетинга 3 Склад 9 Бухгалтерия 3 Система отношений, определяющая восприятия работниками своей работы и организации, в которой они работают Действия и поведение работников в конкретных ситуациях Поведенческие нормы, определяющие действия и поведение работников Ценности, установки, приоритеты работников, связанные с их работой в данной организации Генеральный директор Зам.директора по управлению персоналом Коммерческий директор Финансовый директор Главный бухгалтер Начальник транспортного отдела Начальник торгового отдела Начальник отдела закупок Начальник отдела маркетинга Начальник производства Начальник склада Мастер-технолог |