Модель дуополии Штакельберга

В модели Штакельберга олигополисты выбирают две линии поведения: лидера и последователя.

Последователь будет реагировать на действия лидера, приспосабливая свой выпуск в соответствии с выпуском лидера. В свою очередь последователь предполагает, что на его действия не реагируют.

Лидер придерживается противоположной точки зрения, его выбор ведет к изменению ожиданий последователя, и это он учитывает при принятии своих решений.

Алгоритм решение задачи похож на вариант модели Курно, но необходимо учитывать разделение функций лидера и последователя. (Но как будет понятно ниже, для решения задач по модели Штакельберга необходимо в начале посчитать модель Курно).

Рассмотри модель в которой 1-производитель Лидер, а 2-последователь

Следовательно, , где и является по сути первым уравнением реакции в модели Курно,

а , где и является вторым уравнением реакции в модели Курно

Предположим, что отраслевой спрос представлен формулой

, где Q – общий выпуск двух фирм

Подставив, получим:

Функции затрат - прямые пропорциональности от выпуска каждой из фирм: , а , для удобства предположим что

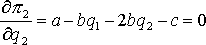
Прибыль Лидера будет равна

Прибыль Последователя будет равна:

отсюда можно вывести уравнение реакции для Лидера и фирмы Последователя.

Так как уравнения реакции в модели Курно:

то в соответствии с условиями модели ,

а

Следовательно условия максимизации прибыли примут вид:

Уравнения реакции Лидера и Последователя будут иметь следующий вид:

Лидер

Последователь

Решив систему из уравнений реакции Лидера и Последователя получим равновесные выпуски для них.

Лидер

Последователь

Мы видим, выпуск лидера в два раза превышает выпуск последователя. Теперь можно определить как это отразится на прибыли дуополистов.

Поэтому мы можем прийти к выводу что фирме выгодно выбирать стратегию лидера.

 

Независимое поведение: ценовая конкуренция. Парадокс Бертрана

модель Бертрана в отличие от моделей Курно и Штакельберга предполагают наличие ценового взаимодействия фирм на олигополистическом рынке. Таким образом конкуренция заключается в том, что каждая фирма устанавливает свою цену.

Условия модели Бертрана:

1) На рынке действуют две фирмы

2) Продукт производится однородный

3) Целью каждой фирмы является максимизация прибыли

4) Отсутствуют соглашения фирм друг с другом

5) Фирмы назначают цены одновременно так, что каждая не может прогнозировать реакцию конкурента на сделанный ею самой выбор.

Таким образом объем продаж в модели Бертрана является функцией от цены.

Две фирмы выбирают цены p1 и p2. Затраты фирм носят пропорциональный характер:

Существует три варианта определения выпуска первого конкурента в зависимости от ценовой стратегии:

Равновесие по Нэшу (Отсутствие стимулов к изменению своего выбора если остальные игроки (конкуренты) придерживаются принятого решения) возникает когда p1=p2=c в других случаях ситуация неравновесна.

Олигополия ведет себя на при совершенной конкуренции, но базируется это на совершенно других допущениях. «Ценовая война» приводит к истощению ресурсов обеих фирм и к нулевой прибыли. В реальной жизни этого не происходит и этому есть множество причин. Например сговор при котором олигополия выступает как монополия и имеет монопольную прибыль.

Общая характеристика олигополистической структуры

Для олигополии характерно три признака:

1) В отрасли присутствует две или несколько фирм (обычно до 10) так, что отрасль не является чисто монополизированной.

2) Кривая спроса каждой фирмы имеет падающий характер, поэтому в отрасли не действуют правила совершенной конкуренции.

3) В отрасли функционирует по крайней мере одна крупная фирма, любое действие которой вызывает ответную реакцию конкурентов, поэтому нельзя считать, что в отрасли наблюдается монополистическая конкуренция.

На олигопольном рынке продукция может быть и не быть дифференцированной.

Для олигополии характерно ограничение доступа на рынок других фирм. Среди можно назвать следующие причины этого:

1) эффект масштаба может сделать не выгодным существование многих фирм на рынке.

2) лицензирование и патенты затрудняют доступ на рынок.

3) контроль над редкими источниками сырья.

В отличие от рынка с совершенной конкуренцией каждая из фирм олигополистов при формировании своей экономической политики вынуждена принимать во внимание реакцию со стороны конкурентов. При олигополии цены меняются не столь часто как при совершенной конкуренции, обычно через какие-нибудь промежутки времени и на значительную величину.

1. Авдашева С.Б., Розанова Н.М., Теория организации отраслевых рынков. М., 1998., Гл. 8. С. 208-216.

2. Вурос А.Д., Розанова Н.М. Экономика отраслевых рынков. М.: ТЕИС, 2000, Гл. 6. С. 114-152.

3. Тироль Ж. Рынки и рыночная власть СПб., 1996. С. 355-358.

4. Хэй Д., Моррис Д. Теория организации промышленности. СПб., 1999. Т.2. Гл. 16. С. 433-456.

5. Шерер Ф.М., Росс Д. Структура отраслевых рынков. М., 1997.

В модели Штакельберга предполагается, что один из дуополистов выступает в роли лидера, а другой – в роли аутсайдера. Лидер всегда первым принимает решение об объеме своего выпуска, а аутсайдер воспринимает выпуск лидера в качестве экзогенного параметра и работает с оставшимся на рынке спросом. В этом случае равновесные объемы выпуска определяются не в результате решения системы уравнений реакции дуополистов (4.14) и (4.15), а на основе максимизации прибыли лидера, в формуле которой (см. (4.11)) вместо выпуска аутсайдера находится уравнение его реакции.

В условиях олигополии специфическим фактором ценообразования является многовариантный стратегический план реакции производителя на ожидаемые действия немногочисленных конкурентов. Из-за неоднозначности ответных реакций олигополистов не существует единой теории олигопольного ценообразования. Но в любом случае цена на рынке олигополии предложения при прочих равных условиях превышает цену, складывающуюся на рынке совершенной или монополистической конкуренции, и ниже монопольной цены.