; что такое длительность производственно-коммерческого цикла и почему она не совпадает с периодом оборота оборотных средств; какая связь существует между периодом погашения кредиторской задолженности и длительностью производственно-коммерческого цикла; как изменение оборачиваемости текущих активов и кредиторской задолженности влияет на платежеспособность предприятия; для чего составляется отчет о движении денежных средств; как анализировать движение денежных средств на предприятии; как оценить достаточность денежных средств для текущих платежей по обязательствам, распределения и использования чистой при были; почему величина полученной чистой прибыли предприятия не совпадает с величиной изменения денежных средств.
3.1. Общая оценка оборачиваемости активов предприятия
Финансовое положение предприятия, его ликвидность и платежеспособность, непосредственно зависит от того, насколько быстро Средства, вложенные в активы, превращаются в реальные деньги. Такое влияние объясняется тем, что со скоростью оборота средств связаны:
минимально необходимая величина авансированного (задействованного) капитала и связанные с ним выплаты денежных средств (проценты за пользование кредитом банков, дивиденды по акциям и Др.);
потребность в дополнительных источниках финансирования (и плата за них);
сумма затрат, связанных с владением товарно-материальными ценностями и их хранением; величина уплачиваемых налогов и др. _
Текущее расходование денежных средств и их поступления, как правило, не совпадают во времени, в результате у предприятия возникает потребность в большем или меньшем объеме финансирования в целях поддержания платежеспособности. Чем ниже скорость оборота текущих активов, тем больше потребность в финансировании.
Внешнее финансирование, как было выяснено ранее, является дорогостоящим и имеет определенные ограничительные условия. Собственные источники увеличения капитала ограничены, в первую очередь способностью получения необходимой прибыли. Таким об разом, управляя текущими активами, предприятие получает возможность в меньшей степени зависеть от внешних источников получения денежных средств и повысить свою ликвидность. Не случайно эффективное управление текущими активами рассматривается как один из способов удовлетворения потребности в капитале.
Отдельные виды активов предприятия имеют различную скорость оборота (см. параграф 1.1).
Длительность нахождения средств в обороте определяется совокупным влиянием ряда разнонаправленных внешних и внутренних факторов. К числу первых следует отнести сферу деятельности предприятия (производственная, снабженческо-сбытовая, посредническая и др.), отраслевую принадлежность (не вызывает сомнения, что оборачиваемость оборотных средств на станкостроительном за воде и кондитерской фабрике будет объективно различной), масштабы предприятия (в большинстве случаев оборачиваемость средств на малых предприятиях значительно выше, чем на крупных, - в этом одно из основных преимуществ малого бизнеса) и ряд других. Не меньшее воздействие на оборачиваемость активов оказывают экономическая ситуация в стране, сложившаяся система безналичных расчетов и связанные с ней условия хозяйствования предприятий. Так, инфляционные процессы, отсутствие у большинства предприятий налаженных хозяйственных связей с поставщиками и покупателями приводят к вынужденному накапливанию запасов, значительно замедляющему процесс оборота средств.
Однако следует подчеркнуть, что период нахождения средств в обороте в значительной степени определяется внутренними условиями деятельности предприятия, и в первую очередь эффективностью стратегии управления его активами (или ее отсутствием). Действительно, в зависимости от применяемой ценовой политики, структуры активов, методики оценки товарно-материальных запасов предприятие имеет большую или меньшую свободу воздействия на длительность оборота своих средств.
В общем случае оборачиваемость средств, вложенных в имущество, может оцениваться следующими основными показателями: скорость оборота (количество оборотов, которое совершают за анализируемый период капитал предприятия или его составляющие) и период оборота - средний срок, за который возвращаются в пределы хозяйства вложенные в производственно-коммерческие операции денежные средства. Для исчисления показателей оборачиваемости используются следующие формулы:
![]()
![]()
![]()
Информация о величине выручки содержится в ф. № 2 "Отчет о прибылях и убытках".
При анализе оборачиваемости средств торгового предприятия под выручкой от реализации понимается продажная стоимость реализованных товаров или товарооборот.
Средняя величина активов, в том числе текущих, по данным баланса определяется по формуле средней арифметической:
Средняя величина
активов =( Он + Ок)/2
.где Он, Ок - соответственно величина активов на начало и на конец периода.
Если анализ ведется за период, больший чем квартал (полугодие, год), подобный способ расчета средней величины может привести к .значительным ее искажениям. Более точный расчет средней величи ны активов будет получен по ежемесячным данным о состоянии активов. Тогда величина активов определяется по формуле
![]()
где Оn-величина активов в n-месяце

![]()
Аналогичный расчет выполняется для текущих активов. _ , Расчет оборачиваемости активов приведен в табл. 3.1. Следует иметь в виду, что на величину коэффициента оборачиваемости текущих активов непосредственное влияние оказывает принятая на предприятии методика их оценки. Выясним, какое влияние на величину показателя оборачиваемости текущих активов окажет использование того или иного метода их оценки. Наиболее распространенным в нашей стране до сих пор был метод оценки по фактической себестоимости заготовления. Однако при его использовании в условиях длительного хранения запасов, характерного для многих предприятий, во-первых, занижается себестоимость реализованной продукции (и, следовательно, завышаются прибыль и уплачиваемый с нее налог), во-вторых, существенно занижается стоимость остатков материалов, а значит, искусственно завышается их оборачиваемость.
Использование метода оценки материалов по стоимости послед них закупок (ЛИФО)*, хотя и весьма привлекательно с точки зрения налогообложения (поскольку в условиях инфляции он максимизирует себестоимость реализованной продукции), приводит к искажению величины остатков материалов в сторону их уменьшения. В результате и в этом случае достоверность показателя оборачиваемости активов снижается.
Оценка запасов товарно-материальных ценностей по стоимости первых закупок (метод ФИФО)** приводит к тому, что себестоимость реализованной продукции формируется исходя из наиболее низких (в условиях инфляции) цен на материалы, а их остатки оцениваются по максимальной (рыночной) стоимости. Поэтому оборачиваемость текущих активов в данном случае будет объективно ниже, чем при использовании рассмотренных ранее методов оценки запасов.
Таким образом, видно, что, исходя из стоящих задач и выбранной стратегии управления активами, предприятие имеет определенную возможность регулировать величину коэффициента оборачиваемости своих активов. Применительно к выбранной методике определения средней величины текущих активов и конкретному методу их оценки сделаем соответствующий аналитический расчет, как показ но в табл. 3.1.
*Метод ЛИФО предполагает списание на производство тех материалов, которые были приобретены последними, и величина остатков в балансе определяется исходя из себестоимости материалов, закупленных первыми.
**Метод ФИФО основан на том, что материальные запасы на конец периода оцениваются по ценам последних закупок, а на себестоимость реализованной продукции израсходованные материалы списываются по стоимости их первых закупок.
Таблица 3.1
|
|
Показатели |
Прошедший период |
Отчетный период |
Отклонения (+, -) |
|
1 |
Выручка от реализации, тыс. руб. |
х |
12 453 260 |
X |
|
2 |
Средняя величина текущих активов, тыс. руб. |
х |
5 665 720 |
X |
|
3 |
Оборачиваемость текущих активов (стр. 1 : стр. 2), кол-во раз |
2,383* |
2,198 |
-0,185 |
|
4 |
Продолжительность оборота текущих активов (360 : стр. 1 • стр. 2), дни |
151,1 |
163,8 |
+12,7 |
Как следует из этих данных, по сравнению с прошлым годом продолжительность оборота текущих активов увеличилась на 12,7 дня, что свидетельствует об ухудшении финансового положения предприятия (средства, вложенные в анализируемом периоде в текущие активы, проходят полный цикл и снова принимают денежную форму на 12,7 дня дольше, чем в предыдущем году). В результате потребовались дополнительные средства для продолжения производственно-коммерческой деятельности хотя бы на уровне прошедшего года. Рассчитать величину дополнительно привлеченных в оборот средств проще всего по формуле

![]()
![]()
Таким образом, замедление оборота на 12,7 дня потребовало привлечения дополнительных средств за один оборот в размере 439 323,0 тыс. руб. Как выяснено ранее, оборачиваемость текущих —активов в отчетном году составила 2,198 раза, следовательно, за весь год дополнительно привлечено средств на сумму 965 631,0 тыс. руб. (439 323,0 • 2,198). Как показал анализ пассива баланса, такими средствами для предприятия в первую очередь стали краткосрочные ссуды банка.
Динамика показателей оборачиваемости активов по сравнению с предыдущим годом
Для выявления причин снижения общей оборачиваемости текущих активов следует проанализировать изменения в скорости и периоде оборота основных видов оборотных средств (производственных запасов, готовой продукции или товаров, дебиторской задолженности). Для оценки оборачиваемости товаров -и дебиторской задолженности используют формулы 3. 1 и 3. 2, при расчете оборачиваемости производственных запасов и готовой продукции применяют близкие к ним формулы, основанные на величине себестоимости реализованной продукции (вместо выручки от реализации):
![]()
![]()
Средняя величина запасов определяется уже рассмотренным способом:
![]()
Более точный расчет средних товарно-материальных запасов основан на данных о ежемесячных остатках материалов:
![]()
Нужно иметь в виду, что формулы 3. 1 и 3. 2, будучи наиболее простыми для расчета (основаны на данных бухгалтерской отчетности), лишь в некоторой степени характеризуют длительность прохождения средств по стадиям производственно-коммерческого цикла*. Более точный расчет периода оборота средств, вложенных в конкретные виды имущества, может быть сделан по формуле подвижности счета профессора Шерра**, получившей дальнейшее развитие в работах С. Б. Барнгольц.
![]()
![]()
где средние остатки представляют собой среднюю арифметическую величину остатков имущества или обязательств, учитываемых па конкретном бухгалтерском счете.
Под оборотом понимается величина кредитового оборота того или иного материального счета за анализируемый период, который берется из Главной книги (оборотной ведомости). Действительно,
*Профессор С. Б. Барнгольц в предложенной ею системе классификации оборотных средств называет такие показатели общими или обобщающими.
**Шерр И. Бухгалтерия и баланс.— М.: Экономическая жизнь, 1925.
если нас интересует, как долго тот или иной вид имущества (безразлично, идет речь о материальных ценностях или обязательствах третьих лиц - дебиторов) учитывается на балансе предприятия (а это и есть не что иное, как период хранения запасов товарно-материальных ценностей либо срок погашения дебиторской задолженности, И т. д.), то необходимо оперировать суммами, "уходящими" со счета, т. е. отражаемыми по кредиту (поскольку дебетовый оборот характеризует накапливание имущества или увеличение обязательств по-купателей).
Сразу же подчеркнем, что формула 3.5 универсальна и может быть использована для определения периода оборота не только активов, но и пассивов (обязательств) предприятия. В этом случае берутся средние остатки по анализируемому пассивному счету ("Рас четы с поставщиками и подрядчиками", "Расчеты по авансам полученным", "Краткосрочные кредиты банков"), а под оборотом понижается величина его дебетового оборота за период. Логика рассуждений при этом будет следующей: период оборота пассивного счета представляет собой сложившийся на предприятии средний срок погашения кредиторской задолженности. Следовательно, для его расчета необходимо взять оборот, характеризующий "уход" сумм обязательств со счета, т. е. дебетовый оборот.
Как видим, формулы 3.2 и 3.5 различаются лишь знаменателем, но весьма существенное различие. В качестве примера рассмотрим торговое предприятие, которое учитывает товары по покупной стоимости. Кредитовый оборот счета 41 "Товары", используемый для расчета по формуле 3.5, будет отличаться от выручки от реализации (продажной стоимости реализованных товаров), используемой в формуле 3.2, в первую очередь на величину торговой надбавки. Тогда вполне понятно, что результат, полученный по формуле 3.5, будет меньше, чем величина аналогичного показателя, рассчитанного по формуле 3.2. Иными словами, использование формулы 3.2 приводит к занижению реального Игрока хранения товаров. Соответственно чем больше торговая надбавка, ем больше величина расхождения в результатах расчетов и тем больше величина искажения, т. е. занижения длительности периода оборачиваемости товарного капитала (под товарным капиталом обычно пони- мают средства, вложенные в товарные операции).
Кредитовый оборот счета 40 "Готовая продукция" (соответствует .фактической производственной себестоимости реализованной продукции) будет отличаться от себестоимости реализованной продукции прежде всего на сумму коммерческих расходов. Соответственно чем больше величина коммерческих расходов, тем значительней искажение реального срока хранения готовой продукции на складе
Точно так же при оценке оборачиваемости дебиторской задолженности использование в расчетах показателя выручки от реализации приведет к тем большему занижению срока погашения задолженности покупателей, чем меньший объем товаров реализуется в кредит. Для того чтобы точнее рассчитать период погашения дебиторской задолженности, в знаменатель формулы 3.2 нужно подставить продажную стоимость товаров, реализованных в кредит.
Следует ли из сказанного, что формула 3.2 непригодна для оценки скорости прохождения средств по отдельным стадиям производства и обращения? Нет, не следует. Перефразируя известное изречение, можно сказать, что финансовый анализ - не догма, а руководство к действию. Он не подвержен регламентированию, как, например, финансовый бухгалтерский учет, предполагающий в большинстве случаев однозначное отражение хозяйственных операций и их обобщение в отчетности.
Соответственно лицо, проводящее оценку финансового положения предприятия (бухгалтер, финансовый менеджер), вправе выбрать любой удобный ему метод. Главное при этом - представлять недостатки (ограничения) выбранного метода и уметь скорректировать полученные результаты. Допустим, для оценки оборачиваемости товаров используется показатель общего товарооборота, торговая надбавка составляет 20 %, рассчитанный по формуле 3.2 средний срок хранения товаров равен 50 дням. Несложно подсчитать, что реальный срок хранения запасов товарно-материальных ценностей будет больше по крайней мере на 10 дней (50 • 1,2 - 50).
Если для оценки оборачиваемости (длительности хранения) готовой продукции используется показатель себестоимости реализованной продукции, а из калькуляции себестоимости известно, что фактическая себестоимость выпущенной продукции составляет, к примеру, 75 % от полной себестоимости, несложно рассчитать, что реальный срок хранения готовой продукции на складе будет больше расчетного на величину
![]()
где Оср - средние остатки готовой продукции;
Д - длительность анализируемого периода;
Срт - себестоимость реализованной продукции .
Основным достоинством формулы 3.5 является то, что она позволяет оценить длительность отдельных этапов кругооборота средств предприятия обеспечивая при этом большую точность расчетов.
Для большинства промышленных предприятий характерна следующая схема производственно-коммерческого цикла движения средств, заготовление производственных запасов - производство -хранение готовой продукции - реализация.
Первый этап (заготовление материалов) включает время пребывания капитала в авансах, выданных поставщикам, подотчетным а также период хранения производственных запасов на предприятия.
Длительность хранения запасов можно установить двумя способами Наиболее простой (и наименее точный) основан на оценке скорости движения материальных ценностей, учитываемых на счетах Материаль1" и 12 "Малоценные и быстроизнашивающиеся предметы Более точный расчет основан на предположении, что материальные ценности на предприятии учитываются на отдельных счетах субсчетах): "Основные материалы", "Вспомогательные материалы", Топливо" и т. д. Тогда, определив оборачиваемость (подвижность) Каждого из этих субсчетов, рассчитывают средний срок хранения производственных запасов на предприятии.
Длительность этапа производства определяется периодом с момента поступления материалов в производство до момента выпуска готовой продукции. Если предприятие выпускает однородную продукцию и использует единый счет 20 "Основное производство", на котором определяет тактическую себестоимость выпуска продукции, подвижностью это То счета будет определяться длительность данного этапа производственно-коммерческого цикла предприятия. В большинстве случаев выпуск продукции на предприятии носит многономенклатурный характер. Тогда для определения длительности этапа производства необходимо рассчитать подвижность каждого субсчета, открытого в развитие счета 20 "Основное производство", определить продолжительность производства каждого вида продукции, а затем и общую продолжительность как средневзвешенную величину. Длительность периода хранения готовой продукции (определяется подвижностью счета 40 "Готовая продукция") соответствует времени пребывания выпущенной продукции на складе предприятия.
Этап реализации зависит от сложившегося на предприятии срока погашения дебиторской задолженности.
При анализе длительности производственно-коммерческого цикла следует иметь в виду, что обороты тех или иных счетов могут оказаться завышенными, поскольку на них отражаются операции ошибочного (исправительного) характера, а также суммы внутренних оборотов (оборотов в пределах одного и того же счета или однородных счетов) Примерами внутренних оборотов могут быть: перевод малоценных и быстроизнашивающихся предметов в состав материалов; реализации производственных запасов и предварительное отражение их стоимости по счету "Товары"; ввод в эксплуатацию объектов законченного строительства; перечисление денежных средств с расчетного счета в кассу и наоборот; покупка валюты; открытие аккредитивов и других специальных счетов в банках за счет собственных средств и др.
Очевидно, что такие операции не отражают реального движения средств предприятия (не меняют его имущественного положения), и следовательно, суммы по указанным операциям должны быть исключены из оборотов соответствующих счетов.
Внутренние обороты по конкретным счетам могут быть выявлены и исключены с помощью шахматного баланса по принципу корреспонденции счета с самим собой.
Внутренние обороты по однородным счетам (например, счета денежных средств) также могут быть установлены с помощью шахматного баланса. Внутренние обороты по счетам удобно исключать в процессе составления оборотной ведомости. Определение реальной величины оборотов по счетам (чистых оборотов) для анализируемого предприятия представлено в виде табл. 3.2.
|
Бухгалтерские счета |
Сальдо на начало периода |
Оборот |
в том числе внутренний |
Чистый оборот |
Сальдо на конец периода |
|||||
|
|
Д-т |
К-Т |
д-т |
К-Т |
д-т |
К-Т |
д-т |
К-Т |
д-т |
К-Т |
|
А |
1 |
2 |
3 |
4 |
5 |
6 |
7 |
8 |
9 |
10 |
|
Раздел I. Внеоборотные активы Основные средства |
4 651 200 |
- |
2 173 000 |
150 000 |
1 296 800 |
|
876 200 |
150 000 |
6 674 200 |
|
|
Незавершенные капитальные вложения |
1 023 000 |
- |
273 800 |
1 296 800 |
- |
1 296 800 |
- |
- |
- |
|
|
Раздел II. Оборотные активы Производственные запасы (включая малоценные и быстроизнашивающиеся предметы) |
1 343 500 |
|
8 980 460 |
7 897 960 |
|
15 000 |
8 980 460 |
7 882 960 |
2 426 000 |
|
|
Недостачи ч потери от порчи ценностей |
- |
|
|
|
15 000 |
- |
- |
- |
- |
|
|
Расчеты с дебиторами: с покупателями и заказчиками |
2 595 000 |
|
11 830600 |
10 552 400 |
|
|
11 830 600 |
10 552 400 |
3 873 200 |
|
|
Авансы, выданные поставщикам и подрядчикам |
480 000 |
|
3 000 020 |
2 965 520 |
- |
- |
3 000 020 |
2 965 520 |
514 500 |
|
|
Касса |
100 |
|
2 201 000 |
2 201 000 |
1 995 000 |
- |
206 000 |
2 201 000 |
100 |
|
|
Расчетный счет |
40 500 |
|
17 644 040 |
17 611 540 |
- |
1 995 000 |
17 544 040 |
15 616 540 |
73000 |
|
|
Расчеты с кредиторами: с поставщиками |
- |
1 064 600 |
6 239 730 |
7 217 930 |
- |
- |
6 239 730 |
7 217 930 |
- |
2 042 800 |
|
Авансы, полученные от покупателей и заказчиков |
- |
211 000 |
622 660 |
493 860 |
- |
- |
622 660 |
493 860 |
- |
82200 |
Графы 1—4, 9 и 10 данной таблицы представляют собой традиционные элементы оборотной ведомости. На основании информации о величине внутренних оборотов (гр. 5 и 6) устанавливают значение чистых оборотов (гр. 7 и 8), которые и используют при анализа оборачиваемости тех или иных статей. На основании данных о суммах чистых оборотов рассчитывают длительность производственно-коммерческого цикла. Примерная схема движения средств в рамках одного производственно-коммерческого цикла представлена на рис. 3.1.

Отрезок 1—2 характеризует срок хранения производственных запасов с момента их поступления до момента отпуска в производство; отрезок 0—1 соответствует среднему времени пребывания средств предприятия в виде авансов, выданных поставщикам*; отре зок 2—3 представляет собой длительность процесса производст ва; 3—4 - период хранения готовой продукции на складе; отрезок 4—5 - средний срок погашения дебиторской задолженности. Особое значение в анализе оборачиваемости средств предприятия имеет величина отрезка 1—За, соответствующая среднему сроку погашения кредиторской задолженности. Тогда интервал За—5 характеризует разрыв между сроком платежа по своим обязательствам перед поставщиками и сроком получения денег от покупателей.
Если средства, вложенные в материальные ценности, принимают денежную форму позже, чем наступает срок погашения задолженности кредитору, у предприятия возникает потребность в дополнительных источниках финансирования. Ими могут быть собственные средства, например полученная от покупателей выручка за ранее отгруженную продукцию, иные поступления денежных средств, имеющие, как правило, разовый характер, или заемные средства, принимающие в большинстве случаев вид краткосрочных кредитов банка.
Если предприятие не пользуется кредитами банков, а стремится обойтись собственными средствами, то его платежеспособность оказывается в полной зависимости от объема и сроков предоставления кредита покупателям и их добросовестности. Задержка в поступлении средств от одного или нескольких крупных покупателей может создать серьезные финансовые трудности у предприятия.
В случае когда в качестве дополнительного источника финансирования привлекаются краткосрочные кредиты банка (речь идет не о разовой операции, а об установившемся механизме привлечения средств), схема финансирования будет следующая. Предприятие на платной основе привлекает денежные средства, которые идут на покрытие отвлеченных из оборота собственных средств. Новый цикл кругооборота капитала приводит к той же ситуации запаздывания момента получения средств в сравнении со сроком платежа кредитору. И в этом случае потребность в финансовых ресурсах может быть удовлетворена за счет краткосрочного кредита банка и т. д. * Если авансы, выданные поставщикам, удлиняют период оборота средств на предприятии, то авансы, полученные от покупателей и заказчиков, являясь дополнительным источником финансирования, сокращают длительность производственно-коммерческого цикла.
Результатом подобной политики может быть крайне тяжелое положение предприятия, связанное с тем, что оно нарушило важней шее требование финансовой стабильности: условия привлечения кредита должны быть выгоднее тех условий, на которых само предприятие его оказывает. Поскольку дебиторская задолженность может представлять собой, по существу, бесплатный кредит покупателям, она должна по возможности "уравновешиваться" таким же бесплатным кредитом поставщиков. Понятно, что чем больший период товарного оборота обслуживается капиталом кредитора, тем легче предприятию обеспечить свою платежеспособность. Следовательно, и главный бухгалтер, и руководитель предприятия должны рассматривать длительность периода, в течение которого производственно-коммерческий цикл обслуживается капиталом кредитора, в качестве одного из важнейших критериев финансовой стабильности.
Тенденция к сокращению этого периода требует принятия срочных мер по стабилизации финансового положения: сокращение срока хранения запасов товарно-материальных ценностей, совершенствование системы расчетов с покупателями, включая обязательный контроль за сроками образования дебиторской задолженности, оперативная работа с дебиторами, задерживающими оплату (телефонограммы, официальные письма и т. д.), возможное использование системы скидок и др.
Возможна и такая организация коммерческого цикла и расчетов с кредиторами, при которой период погашения кредиторской задолженности перекрывает (превышает) период оборота средств на предприятии. В этом случае потребность в собственном капитале для формирования оборотных средств значительно снижается.
Отметим, что такая ситуация имеет, скорее, теоретическое значение для промышленных и строительных предприятий, тогда как для предприятий торговли подобная возможность более реальна. Рассмотрим в качестве примера некий торговый дом, который реализует товары только за наличный расчет, имеет кредит поставщиков на 45 дней и средний срок хранения товаров 30 дней. Схема данного коммерческого цикла представлена на рис. 3.2.

Как видим, положение торгового дома настолько выгодно, что при сроке оборота торгового капитала в 30 дней он может рассчитываться с кредиторами через 45 дней, т. е. использовать капитал поставщика в течение еще 15 дней после завершения коммерческого цикла.
Рассчитаем длительность производственно-коммерческого цикла анализируемого предприятия. Для этого воспользуемся данными табл. 3. 3 и формулой 3.6.
Таблица 3.3
|
Справка бухгалтера об основных показателях деятельности за период |
|
|
Показатели |
Сумма, тыс. руб. |
|
1 |
2 |
|
Средние остатки производственных запасов |
1 075 000 |
|
Средняя величина авансов, выданных поставщикам Средняя величина незавершенного производства |
185 000 203000 |
|
Средние остатки готовой продукции на складе |
292 600 |
|
Средняя величина дебиторской задолженности |
2955000 |
|
Средняя величина авансов, полученных от покупателей и заказчиков |
176 420 |
|
Средняя величина кредиторской задолженности |
1 067 000 |
|
Поступление производственных запасов за период - всего |
8 980 460 |
|
в том числе на условиях предоплаты |
2 965 520 |
|
Сумма материальных затрат, отнесенных на себестоимость |
7 882 960 |
|
Фактическая себестоимость выпущенной продукции |
9 014 000 |
|
Фактическая производственная себестоимость реализованной продукции |
8 564 000 |
|
Сумма погашенных (оплаченных) обязательств поставщиков |
6 239 730 |
|
Сумма отгруженной в анализируемом периоде продукции (соответствует выручке от реализации в случае учета реализованной продукции по отгрузке) |
11 830 600 |
|
Суммы, поступившие от покупателей на условиях предоплаты |
493 860 |
![]()
Поступление производственных запасов на условиях предварительной оплаты определяет величину кредитового оборота счета "Авансы выданные".
Необходимо учесть, что сумма материальных ценностей, поступивших на предприятие на условиях предварительной оплаты, составила 33 % общего объема закупок (2 965 520 : 8 980 460 • 100). Для определения длительности производственно-коммерческого цикла в расчет должна войти скорректированная величина периода пребывания средств в авансах:
![]()
Та же величина, т. е. 7,4 дня, могла бы быть получена, если в знаменателе формулы 3.6 непосредственно использовать показатель общей величины поступления производственных запасов. Однако в целях управления расчетами с поставщиками может быть полезным располагать данными как о скорости оборота счета "Авансы выданные", так и сроке отвлечения средств в авансы с учетом объема поступления материальных ценностей на условиях предварительной оплаты.
Таким образом, вследствие расчетов с поставщиками на условиях предварительной Оплаты длительность заготовительного этапа (и, следовательно, производственно-коммерческого цикла предприятия) возросла на 7,4 дня. Длительность хранения производственных запасов:
![]()
![]()
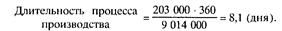
\ Таким образом, длительность заготовительной стадии - 56,4 дня (49,0 + 7,4). Длительность процесса производства может быть рассчитана двумя способами. Первый способ:
![]()
![]()
Второй способ основан на расчете периода производства отдельных видов продукции. Допустим, анализируемое предприятие выпускает 4 вида продукции (А, Б, В, Г). Для расчета воспользуемся данными табл. 3. 4.
Таблица 3.4
Длительность производства отдельных видов продукции
|
Ввид продукции |
Средние остатки незавершенного производства, тыс. руб. |
Фактическая себестоимость выпущенной продукции, тыс. руб. |
Средний период производства, дни |
|
А |
1 |
2 |
3 |
|
А |
72000 |
2 705 000 |
9,6 |
|
Б |
35000 |
2 402 000 |
5,2 |
|
В |
81 000 |
3 201 000 |
9,1 |
|
Г |
15000 |
706 000 |
7,6 |
|
Итого |
• 203 000 |
9 014 000 |
8,1 |
![]()
Как видим, оба способа дали близкие результаты
![]()
При управлении запасами готовой продукции следует учитывать, что отсутствие некоторого страхового запаса продукции на складе (для каждого предприятия его величина индивидуальна; она определяется характером хозяйственных связей с покупателями) может привести к возникновению скрытых потерь, называемых "упущенной выгодой", связанных с тем, что срочный заказ на поставку продукции не может быть выполнен.
Однако для многих предприятий характерна обратная ситуация -затоваривание (накапливание запасов товарно-материальных ценностей). В этих условиях у предприятий возникают потери другого рода, связанные с отвлечением средств из оборота и "омертвлением" их в запасах. Для того чтобы эффективно управлять движением средств, вложенных в готовую продукцию, необходимо провести оценку оборачиваемости ее основных элементов, как это показано в табл. 3.5.
Анализ оборачиваемости выпускаемой продукции
Таблица 3.5
|
Вид продукции |
Средние остатки выпускаемой продукции, тыс. руб. |
Фактическая себестоимость реализованной продукции, тыс. руб. |
Длительность хранения, дни |
|
А |
85 000 |
2 605 000 |
11,7 |
|
Б |
52 000 |
2 602 000 |
7 ? |
|
. В |
104 500 |
2 764 000 |
13,6 |
|
Г |
51 100 |
593 000 |
31,0 |
|
Итого |
292 600 |
8 564 000 |
12.3 |
Как видим, средний период хранения продукции Г резко отличается| от сложившегося на предприятии среднего срока пребывания продукции на складе. Вполне возможно, что данный вид продукции пользуется Уменьшим спросом и, следовательно, "уходит" медленнее. Можно также предположить, что была допущена ошибка в оценке емкости рынка, вследствие чего произошло затоваривание. В любом случае следует пересмотреть (оценить рациональность) сложившейся структуры вы-| пускаемой продукции. Период погашения дебиторской задолженности определяется так:
![]()
![]()
Период нахождения средств будет сокращен при предоставлении покупателями авансов. Ускорение расчетов с покупателями будет зависеть от соотношения суммы средств, полученных от покупателей на условиях предварительной оплаты, и общего объема выручки от реализации. Так, для анализируемого предприятия сумма средств, поступивших на условиях предоплаты, составила 5,0 % совокупного объема реализованной продукции. Следовательно, длительность рас четов с покупателями сократилась на 5,1 дня:
![]()
Сумма отгруженной продукции в счет полученных авансов покупателей определена с помощью табл. 3.5 по следующему расчету: 211 000 тыс. руб. + 493 860 тыс. руб. - 82 200 тыс. руб. Имея в виду, что доля продукции, реализованной на условиях предварительной оплаты, определяется из расчета [(622 660 : : 12 453 260) • 100 %], результат 5,1 дня может быть получен при непосредственном использовании показателя реализации продукции, т. е. 12 453 260 тыс. руб.
Для определения среднего срока погашения задолженности поставщикам делается расчет:
![]()
![]()
Таким образом, совокупная длительность производственно-коммерческого цикла предприятия будет равна 162 дням (7,4 + 49 + + 8,5* + 12,3 + 89,9 - 5,1). При этом в течение 61,5 дня он обслуживается капиталом поставщиков (кредиторов), в течение остальных 100,5 дня - за счет иных источников. Как показывает бухгалтерский баланс, такими источниками являются собственные средства, полученные в результате хозяйственной деятельности, а также краткосрочные кредиты банка.
В практической деятельности целесообразно использовать более точный расчет длительности производственно-коммерческого цикла, предполагающий проведение еще двух корректировок. Так, период погашения дебиторской задолженности должен быть скорректирован с учетом относительного значения продаж в кредит в общем итоге продаж. В нашем примере учетное значение показателя - 85,4 дня (89,9 • 95 : 100), т. е. период погашения дебиторской задолженности умножается на долю продаж в кредит. Одновременно с этим период обслуживания цикла капиталом поставщика должен быть уточнен на относительное значение покупок в кредит в общем объеме закупок. Для рассматриваемого примера скорректированное значение показателя - 41,2 дня (61,5 • 67 : 100).
Для сложившегося производственно-коммерческого цикла можно рассчитать потребность в собственном оборотном капитале. С этой целью воспользуемся данными табл. 3.6 о средних остатках текущих активов. Таблица 3.6 Расчет потребности в собственном оборотном капитале
Продолжение
|
ННомер строки |
Показатели |
ССумма, тыс. руб. |
|
11 |
Средняя величина авансов, выданных поставщикам |
1185 000 |
|
22 |
Средняя величина производственных запасов |
1 1075 000 |
|
33 |
Средние остатки незавершенного производства |
2203 000 |
|
44 |
Средние остатки готовой продукции |
2292600 |
|
ННомер строки |
Показатели |
Сумма, тыс. руб. |
|
55 |
Средняя величина дебиторской задолженности |
2 2955 ООО* |
|
66 |
Средняя величина дебиторской задолженности, за исключением содержащейся 'в ней прибыли (24,4 %)** |
2 233 980 |
|
77 |
Итого средняя величина вложенного в текущие активы капитала (стр. 1 + стр. 2 + стр. 3 + стр. 4 + стр. б) |
3 989 580 |
|
88 |
Авансы, полученные от покупателей |
176420 |
|
8 9 |
Средние остатки кредиторской задолженности |
1067000 |
Потребность в собственных оборотных средствах (в оборотном капитале) (стр. 7 - стр. 8 - стр. 9) 2 746 160
Использован более точный расчет.
- Известно, что при учете реализованной продукции по моменту выставления расчетных документов покупателям (рассматриваемый вариант) в состав дебиторской задолженности, как правило, включается не только себестоимость реализованной продукции, но и определенная прибыль. Включение в расчет вели чины вложенного капитала сумм потенциальной прибыли вряд ли можно считать правомерным. Если дебиторская задолженность учитывается на счете 'Товары отгруженные" (отгруженная продукция признается реализованной по факту ее оплаты), вся ее сумма" войдет в расчет величины вложенного капитала.
- ** Средний процент прибыли В составе выручки, полученный из конкретного рас чета (табл. 4.3).
- Как следует из приведенного расчета, для текущего объема деятельности необходим собственный капитал (направляемый на формирование оборотных средств) в размере 2 746 160 тыс. руб. (Более подробно об определении потребности в собственном оборот ном капитале см. в гл. 5.)
- Особый интерес для аналитика представляет связь периода оборота средств, вложенных в имущество, с величиной остатков в балансе. Следует иметь в виду, что, если срок хранения запасов увеличивается, а объем производства не сокращается, неизбежно возрастает общая величина запасов на балансе предприятия. Так, если в следующем периоде длительность хранения запасов составит, к примеру, 60 дней, то для поддержания прежнего объема производства потребуются запасы на сумму 1 313 830 тыс. руб. (60 7 882 960 : 360). Напомним, что сумма средств, отвлеченных в запасы при среднем сроке их хранения 49 дней, составила 1 075 000 тыс. руб., т. е. была на 238 830 тыс. руб. меньше. На сумму 238 830 тыс. руб. произошел отток денежных средств, возможно, необходимых для расчетов по текущим обязательствам предприятия.
- Ранее отмечалось, что увеличение размера текущих активов сопровождается возрастанием потребности в финансировании. Так, при ставке процента по банковским кредитам • в размере 24 %
дополнительные процентные расходы, связанные с финансированием возросших в результате замедления оборачиваемости запасов, составят 57 319 тыс. руб. (238 830 . 24 : 100).
Поскольку этот момент в оценке оборачиваемости является принципиальным, сразу же предостережем от упрощенного толкования сказанного. Реально отток средств, связанный с увеличившимися закупками товарно-материальных ценностей, может быть меньше или больше этой величины в зависимости от того, как изменятся в предстоящем периоде условия кредитования предприятия его поставщиками. Если предприятие сможет добиться увеличения срока погашения кредиторской задолженности, то отток денежных средств будет меньше в силу того, что большая часть запасов (в сравнении с прошлым периодом) останется неоплаченной, т. е. будет финансироваться кредиторами.
Аналогично сокращение периода оборачиваемости кредиторской задолженности приведет к тому, что отток денежных средств будет больше, чем сумма увеличения закупок (возрастет объем платежей).
Поясним сказанное на примере. Допустим, в предстоящем периоде срок погашения кредиторской задолженности сократится на 10 дней (объем платежей останется тем же - б 239 730 тыс. руб.). Величина остатков кредиторской задолженности составит 892 630 тыс. руб. [(61,5 -- 10) - 6 239 730 : 360] (вместо 1 067 000 тыс. руб. в истекшем периоде). Сумма 174 370 тыс. руб. (1 067 000 - 892 630) представляет собой дополнительный отток денежных средств, связанный с сокращением срока кредитования на 10 дней.
Казалось бы, возникает парадоксальная ситуация: чем больше (меньше) величина кредиторской задолженности, тем выше (ниже) платежеспособность и ликвидность (способность отвечать по текущим обязательствам). На самом деле речь идет об увеличении (сокращении) объема финансирования, связанного с удлинением (уменьшением) срока кредитования, что в свою очередь изменяет величину оттока денежных средств. Вот почему тенденция изменения сроков погашения кредиторской задолженности должна представлять непосредственный интерес для анализа платежеспособности предприятия.
Заключительным этапом коммерческого цикла является период поступления средств от покупателей, изменение которого оказывает непосредственное влияние на текущую платежеспособность предприятия. При этом увеличение срока погашения дебиторами своих обязательств (при сохранении объема реализации на прежнем уровне)* повлечет за собой увеличение остатков дебиторской задолженности в балансе; сокращение срока оплаты - их снижение.
Допустим, руководство предприятия рассматривает возможность !§ сокращения среднего срока погашения дебиторской задолженности | И” 5 дней за счет предоставления покупателям льготных условий при досрочной оплате. В этом случае средние остатки дебиторской задолженности составят 2 790 050 тыс. руб. [(89,9 - 5) • 11 830 600 : 360]. ? Таким образом, сокращение срока расчетов покупателей всего на 5 дней позволяет предприятию свободно использовать в обороте дополнительные 164 950 тыс. руб. (2 955 000 - 2 790 050), полученные в результате притока денежных средств за счет ускорения оборачиваемости расчетов.
Еще раз подчеркнем, что увеличение периода оборота (остатков в балансе) текущих активов, так же как и ускорение оборачиваемости кредиторской задолженности (уменьшение остатков в балансе), сопровождается оттоком денежных средств, и наоборот, ускорение оборачиваемости запасов, средств в расчетах и других элементов текущих активов торгового предприятия (уменьшение остатков в балансе), а также сокращение периода погашения краткосрочных обязательств (увеличение остатков кредиторской задолженности) связаны с притоком денежных средств.
До сих пор, анализируя оборачиваемость средств предприятия, мы имели в виду лишь ту их часть, которая непосредственно обслуживает производственно-коммерческий цикл. Между тем не следует забывать, что в своей текущей деятельности предприятие использует больший капитал в силу того, что часть средств, необходимых для его нормального функционирования, непосредственно не относится к циклу производства и циклу реализации продукции. Так, заключительным моментом в коммерческом цикле является получение денежных средств от покупателей. Но у денежных средств также есть свой период оборота -период, в течение которого они находятся на счетах предприятия без движения. Следовательно, совокупный оборот средств, вложенных в текущую деятельность (текущие активы) предприятия, будет больше, чем производственно-коммерческий цикл.
*Ссылка на прежний уровень объема реализации делается с целью обеспечения сопоставимости показателей двух смежных периодов. Если планируется увеличение объема производства и реализации, расчет изменения остатков дебиторской задолженности можно произвести по той же формуле, но имея в виду, что на их величину окажет влияние не только изменение срока оборачиваемости дебиторской задолженности, но и увеличение выручки от реализации.
Для того чтобы рассчитать период, в течение которого средства, вложенные в текущие активы, вновь принимают денежную форму, целесообразно использовать формулу 3. 2. В данном случае применение формулы подвижности счета все равно не обеспечило бы высокой точности расчетов, поскольку показатель оборачиваемости текущих активов представляет собой усредненную величину. Тем не менее использование этого показателя в анализе финансового положения, безусловно, оправдано, так как по его динамике можно судить о характере изменений скорости движения средств, вложенных в имущество (текущие активы). Кроме того, по отношению между периодом оборота текущих активов и длительностью производственно-коммерческого цикла можно судить о величине среднего периода оборота денежных средств (времени пребывания денежных средств на счетах предприятия без движения).
Для анализируемого предприятия продолжительность оборота средств, вложенных в текущие активы, составила 163,8 дня (по данным табл. 3.1). Учитывая, что длительность производственно-коммерческого цикла соответствовала 162,0 дня, можно предположить, что средний период оборота денежных средств в анализируемом периоде составлял менее двух дней. (Анализ расчета скорости оборота денежных средств рассмотрен в параграфе 3.2.)
Анализируя оборачиваемость средств предприятия, следует иметь в виду, что ее изменение вызывает расхождение в полученных финансовых результатах и состоянии денежных средств. Как следует из ф. № 2 "Отчет о прибылях и убытках", анализируемое предприятие получило прибыль 3 138 680 тыс. руб. Чистая прибыль (за вычетом налогов) составила 2 040 140 тыс. руб. В то же время денежные средства предприятия возросли за анализируемый период на 32 500 тыс. руб. Для выяснения причин столь существенных расхождений проводится анализ движения денежных средств.