Содержание
1. Сущность, виды страхового мошенничества и его «технология». 3
2. Пути решения проблемы страхового мошенничества. 16
Задачи. 18
Литература. 21
1. Сущность, виды страхового мошенничества и его «технология»
Как экономическая категория страхование представляет систему экономических отношений, включающую совокупность форм и методов формирования целевых фондов денежных средств и их использование на возмещение ущерба при различных рисках, а также на оказание помощи гражданам при наступлении определенных событий в их жизни. Оно выступает, с одной стороны, средством защиты бизнеса и благосостояния людей, а с другой - видом деятельности, приносящим доход. Источниками прибыли страховой организации служат доходы от страховой деятельности, от инвестиций временно свободных средств в объекты производственной и непроизводственной сфер деятельности, акции предприятий, банковские депозиты и т.д.
В отличие от отечественной банковской сферы, где вопросам безопасности всегда уделялось большое значение, страхование, мягко говоря, отстает. При этом ситуация усугубляется тем, что договор страхования сам в себе изначально несет предпосылку к обману. Об этом можно спросить любого человека имеющего страховой полис, попытался бы он перехитрить страховщика при удобном случае? Ответ очевиден. При этом мы пока не говорим об организованных преступных группах, специализирующихся на страховом мошенничестве. Это первый повод подумать о безопасности.
В российском уголовном[1] законодательстве мошенничество, совершаемое в сфере страхования, или в отношениях, связанных со страховым делом, определяется термином „страховое мошенничество“. Оно не выделяется в специальный состав преступления; ответственность за него наступает по ст. 159 УК РФ (мошенничество). Однако специфика сферы совершения указанного преступления обусловливает и некоторое своеобразие его основных признаков. Именно поэтому в уголовно-правовой науке неоднократно предлагалось, опираясь на богатый зарубежный законодательный опыт (он будет проанализирован ниже), выделить страховое мошенничество в самостоятельный состав. На сегодняшний день это предложение российским законодателем, тем не менее, не воспринято. Страховое мошенничество и в уголовно-правовой науке относится к проблемам, исследованным недостаточно.
Страховое мошенничество[2] совершается в области, связанной с заключением, действием и выполнением договоров об обязательном или добровольном страховании. Его особенность, по сравнению с мошенничеством в других сферах общественной жизни, основана на том, что виновный путем обмана или злоупотребления доверием: нарушает отношения по защите имущественных интересов физических и юридических лиц при наступлении определенных последствий (страхового случая) за счет денежных фондов, формируемых из уплаченных ими страховых взносов (страховых премий); извлекает из этого незаконную материальную выгоду, одновременно причиняя имущественный ущерб законным собственникам или владельцам.
Хотелось бы отметить, что в сфере страхования совершаются и мошеннические действия, непосредственно с ним не связанные. Так, например, работники страхователя — юридического лица или служащие страховщика, применяя обман или злоупотребляя доверием работодателя, могут завладевать его имуществом, присваивать его. В этих случаях говорят о так называемом внутрифирменном мошенничестве. Оно, однако, ничем не отличается от мошенничества, скажем, в банковской или предпринимательской сфере. Поэтому здесь речь пойдет только о мошенничестве, которое использует специфику отношений страхования.
Страховое мошенничество посягает на собственность как экономико-правовую категорию. Если представить себе собственность структурно, мы увидим, что она в гражданско-правовом смысле включает в себя экономическое содержание — имущество и его присвоенность собственником (собственность отнесена гражданским законодателем к вещным, имущественным правам) и правовое содержание — правомочия собственника, а именно права на владение, пользование и распоряжение этим имуществом, а также исключительное, только собственнику принадлежащее, право передавать названные правомочия другим лицам (юридическим и физическим). В государстве, провозглашающем защиту собственности, экономическое и правовое содержание ее существуют в едином комплексе; разрывать их можно только искусственно. Поэтому при совершении мошеннических действий в сфере страхования ущерб причиняется обеим составляющим собственности.
Предметом страхового мошенничества в основном выступает имущество в виде денежных средств (страховых выплат, страховых взносов, страховых премий). Следует отметить в то же время, что поскольку Федеральный закон «Об организации страхового дела в Российской Федерации»[3] допускает возможность замены страховой выплаты компенсацией ущерба в натуральной форме, если таковая предусматривалась условиями договора страхования, постольку и предмет страхового мошенничества в этом и некоторых других случаях может выражаться в конкретном имуществе. Страховое мошенничество состоит в хищении чужого имущества или приобретении права на него в сфере заключения, действия или выполнения договора об обязательном или добровольном страховании, совершенном способами обмана или злоупотребления доверием, причинившими имущественный ущерб собственнику или законному владельцу.
Страховое мошенничество обладает всеми признаками хищения: оно является противоправным, безвозмездно совершенным с корыстной целью и причинившим ущерб собственнику или законному владельцу имущества изъятием и (или) обращением чуждого имущества в свою пользу или в пользу других лиц. Совершая мошенничество в сфере страхования, лицо, не имея прав на конкретное имущество в конкретной ситуации (страховые взносы, страховые выплаты и т.п.), применяя способы обмана или злоупотребления доверием, незаконно, безосновательно, без внесения соответствующего денежного или иного эквивалента, завладевает указанным имуществом, для того чтобы получить опять-таки незаконную материальную выгоду.
Обман при этом предполагает искажение истины или умолчание о ней (информационное воздействие на потерпевшего), при котором последний вводится в заблуждение, предпринятое с целью заставить его передать виновному не принадлежащее тому чужое имущество или право на него. По форме выражения обман может быть устным, письменным, в том числе с использованием поддельных документов; выделяют также конклюдентную форму обмана.
Под злоупотреблением доверием следует понимать использование виновным для незаконного получения чужого имущества особых, доверительных отношений между ним и потерпевшим. Очень часто в основе их лежат отношения гражданско-правовые, хотя это могут быть трудовые отношения, а также особые личные отношения (родство, дружба и т.п.).
Рассмотрим теперь конкретные, возможные и встречающиеся на практике, виды мошенничества в сфере страхования. Все они по субъекту их совершения могут быть подразделены на мошенничества:
- совершаемые: представителями страхователя — юридического лица;
- мошенничества, совершаемые представителями страховщика;
-застрахованными лицами, выгодоприобретателями или страхователями — физическими лицами; по сговору различных субъектов отношений страхования (например, застрахованными лицами и представителями страховщика). Мошенничества, совершаемые представителями страхователя — юридического лица
Этот вид мошенничества может быть, в свою очередь, подразделен на два самостоятельных, в зависимости от того, страхует ли юридическое лицо свои интересы или же оно заключает со страховщиком договор страхования в пользу третьих лиц (например, своих работников). Когда страхователь — юридическое лицо заключает со страховщиком договор о своем страховании (например, договор о страховании своего имущества или предпринимательского риска), обман может касаться: объекта страхования. Например, представители юридического лица (как правило, непосредственные руководители и (или) бухгалтерские работники) умышленно и безосновательно, с целью получения страхового возмещения увеличивают страховую стоимость (сумму) страхуемого имущества. На практике это достигается путем подделки бухгалтерских или иных документов или заимствования на время проведения экспертизы по оценке стоимости или количества имущества страховщиком чужого имущества и т.п. По истечении срока договора страхования или при спровоцированном самим страхователем страховом случае юридическое лицо незаконно получает страховое возмещение. Следует, однако, указать, что уголовная ответственность в России носит личный характер и юридические лица не могут быть ее субъектами, хотя это активно обсуждается в науке. Поэтому приведенный казус, являющийся мошенничеством по существу, на деле может повлечь для виновных лиц, выполняющих должностные или управленческие функции, только ответственность за злоупотребление полномочиями (ст. 201 УК)[4] или злоупотребление должностными полномочиями (ст. 285 УК), а также за служебный подлог (ст. 292 УК) или подделку официального документа, предоставляющего права или освобождающего от обязанностей, или использование подложного документа (ст. 327 УК), если подделка имела место. Хищение в виде мошенничества (ст. 159 УК) может быть вменено указанным выше лицам дополнительно к уже названным составам уголовного закона, если сумма страхового возмещения (полностью или частично) была этими лицами присвоена путем обмана или злоупотребления доверием; фиктивного наступления страхового случая. Обман в данном случае заключается в том, что страховой случай не наступил, в то время как утверждается обратное. Примером может служить ситуация, при которой застрахованное имущество перевозится в другое место и укрывается и инсценируется факт его похищения неизвестными людьми (взламываются двери офиса, возможно связывание охранников, разбрасываются и частично уничтожаются или повреждаются предметы, находящиеся в помещении, вызывается милиция и т.д.). Результатом является получение юридическим лицом — страхователем незаконного страхового возмещения. Описанная ситуация квалифицируется по-разному, в зависимости от того, как распорядились утаенным имуществом и кто совершил указанные действия. Если деяние было выполнено руководителем предприятия (возможно, по сговору с другими работниками, с тем же охранником, например) с целью присвоения имущества фирмы и последнее ему удалось, он должен быть привлечен к уголовной ответственности за мошенничество в отношении изъятого и спрятанного им имущества (ст. 159 УК). Размер хищения определяется стоимостью этого имущества. Кроме того, данное лицо должно быть привлечено к уголовной ответственности также за должностное или управленческое злоупотребление (ст. 201 или ст. 285 УК, в зависимости от субъекта). Ущерб будет определен суммой незаконно выплаченного фирме страхового возмещения. Работники предприятия, привлеченные руководителем к инсценированию хищения, привлекаются к ответственности как пособники в мошенничестве (ст.ст. 33, 159 УК). Если инсценирование наступления страхового случая было совершено руководителем предприятия не с целью присвоения имущества, а, например, для получения и использования на нужды предприятия дополнительных денег — в виде незаконного страхового возмещения, — содеянное им уже не квалифицируется как мошенничество по ст. 159 УК; лицо должно быть привлечено к уголовной ответственности за злоупотребление полномочиями (ст. 201 УК) или злоупотребление должностными полномочиями (ст. 285 УК). Если описанная выше ситуация создана рядовым работником юридического лица — страхователя, знающим о том, что имущество фирмы застраховано и она получит страховое возмещение в случае хищения имущества, содеянное квалифицируется как мошенничество по ст. 159 УК. Размер хищения определяется стоимостью похищенного имущества; осуществления страхового случая самим страхователем с целью получения страхового возмещения. В этой ситуации застрахованное имущество, в том числе, например, недвижимость, уничтожается руководителем страхователя или его работниками для получения страхового возмещения. Содеянное квалифицируется опять-таки по-разному. Если руководитель фирмы преследует цель получения дополнительных денег для нужд фирмы (реально это возможно, когда обман имел место уже на стадии заключения страхового договора и касался страховой суммы страхуемого объекта), не собираясь эти деньги присваивать, он совершает должностное или управленческое злоупотребление (ст. 201 или ст. 285 УК) и одновременно — умышленное уничтожение или повреждение имущества (ст. 167 УК). При этом ущерб в должностном (служебном) преступлении определяется стоимостью выплаченного страхового возмещения, а ущерб, причиненный уничтожением чужого имущества, — его стоимостью. Если, совершая указанные выше действия, лицо руководствуется, например, мотивом места или неприязни, ненависти к страховщику или его представителям и т.п., оно должно быть привлечено к уголовной ответственности только за уничтожение или повреждение чужого имущества. Что же касается ущерба, причиненного страховщику, то он возмещается только в порядке гражданского судопроизводства. Когда страхователь заключает со страховщиком договор страхования в пользу третьих лиц (своих работников, например), обман может заключаться: во взимании страховых выплат с тех работников, которые в силу прямого указания закона освобождены от них, и присвоении этих сумм. Речь идет о норме, предусмотренной ч. 3 ст. 20 Федерального закона „Об основах обязательного социального страхования“, в которой говорится, что страховые взносы с работников, у которых размер заработной платы ниже величины прожиточного минимума, установленного законодательством РФ, не взимаются и вносятся за них страхователем — работодателем. Здесь деяние совершается, как правило, бухгалтерскими работниками, которые, как и положено, перечисляют страховые взносы за указанных работников страховщику из средств страхователя, но одновременно удерживают эти же взносы из заработной платы застрахованных лиц и присваивают их. Преступление осуществляется путем подделки бухгалтерских и иных документов. Виновные должны быть привлечены к уголовной ответственности за страховое мошенничество (ст. 159 УК), размер которого определяется той суммой, которую рассчитывал похитить виновный (преступление, как правило, продолжаемое); и за подделку документов по ст. 292 или ст. 327 УК. Потерпевшие от такого мошенничества — застрахованные лица, которые не должны сами уплачивать страховые взносы; в заключении договора страхования уже после наступления события, которое по этому договору определяется как страховой случай. Например, договор страхования заключается в отношении работника страхователя, который явился жертвой несчастного случая на производстве. В этой ситуации ущерб причиняется страховщику, его имущественным интересам, поскольку он вынужден в результате такого обмана произвести страховые выплаты (страховое возмещение, страховое обеспечение). В зависимости от того, как распорядится страхователь этими выплатами, возможна различная квалификация действий виновного. Так, если должностные лица или лица, выполняющие управленческие функции в коммерческой или иной организации, применяя различные обманные уловки, заключили задним числом договор о страховании уже пострадавшего работника и присвоили страховые выплаты, они должны привлекаться к уголовной ответственности за мошенничество по ст. 159 УК, а также за служебное или должностное злоупотребление (ст.ст. 201, 285 УК). Кроме того, возможна ответственность за подделку документов, если она фактически имела место (ст.ст. 292, 327 УК).
Если же договор о страховании был заключен задним числом для того, чтобы не застрахованный вовремя по каким-либо причинам работник все же получил страховое возмещение или обеспечение, действия виновных расцениваются только как служебное или должностное злоупотребление (ст.ст. 201, 285 УК), причинившее имущественный ущерб страховщику в размере произведенных им выплат, и подделка документов[5], если она фактически имела место (ст.ст. 292, 327 УК). Уголовная ответственность за мошенничество в сфере страхования возможна при описанных обстоятельствах только в том случае, если участвовавшие в обмане лица, в том числе незастрахованный работник предприятия, до заключения задним числом договора страхования условились о том, что они поделят страховые выплаты. Однако в этом случае речь идет уже о другой разновидности страхового мошенничества — сговоре различных субъектов отношений страхования.
Мошенничества, совершаемые представителями страховщика
Как известно, в качестве страховщика может выступать только юридическое лицо, имеющее разрешение (лицензию) на осуществление страхования определенного вида (ст. 938 ГК). Представители страховщика могут совершить следующие виды обманных действий: заключение договоров страхования на выгодных условиях фиктивной организацией — страховщиком с присвоением полученных страховых взносов. Эта ситуация практически ничем не отличается от так называемых финансовых пирамид. Не собираясь на деле заниматься страховой деятельностью, виновные регистрируют организацию — юридическое лицо, а возможно, и получают лицензию на страховую деятельность, только для того, чтобы присвоить денежные средства, передаваемые им в качестве страховых взносов (премий и т.п.). Как правило, регистрация осуществляется по поддельным бухгалтерским и иным (в том числе — личным) документам. Содеянное расценивается как совокупность нескольких преступлений: мошенничество (ст. 159 УК), размер которого определяется суммой всех средств, присвоенных виновными; лжепредпринимательство (ст. 173 УК), которое состоит в факте создания коммерческой лжеорганизации, имеющей целью извлечение имущественной выгоды, причинившем крупный ущерб гражданам, организациям, государству (если он будет доказан, поскольку ущерб, причиненный мошенничеством, уже учтен вменением ст. 159 УК); подделка документов (ст. 327 УК); обман в факте заключения договора, предпринимаемый представителями страховщика, страховыми агентами или страховыми брокерами, в том числе таковыми и не являющимися. Обман может состоять, например, в использовании действительного статуса страхового агента или страхового брокера для фиктивного заключения страхового договора и в присвоении страховых взносов (страховой премии). На самом деле лицо злоупотребляет доверием потерпевшего, основанным на указанном статусе виновного, и реально страхового договора не заключает. Действия виновного расцениваются как мошенничество (ст. 159). Анализируемая разновидность обмана может выражаться и в том, что мнимое страхование совершается лицом, выдающим себя за страхового агента или страхового брокера. Содеянное в этом случае тоже квалифицируется как мошенничество по ст. 159 УК, с добавлением в необходимых ситуациях состава подделки и использования подложных документов(ст. 327 УК); фальсификация результатов экспертизы по установлению стоимости страхуемого имущества. Эти действия предпринимаются страховщиком для того, чтобы снизить страховую сумму и возможные страховые выплаты. Ситуация, однако, не является мошенничеством и может быть квалифицирована как подделка документов (по ст. 327 или ст. 292 УК). Для лиц, выполняющих управленческие функции в коммерческой или иной организации, или для должностных лиц возможна уголовная ответственность за служебное или должностное злоупотребление (ст.ст. 201, 285 УК), если в результате был причинен существенный вред охраняемым законом интересам (застрахованному лицу или выгодоприобретателю, например, при наступлении страхового случая было выплачено гораздо меньшее страховое возмещение, чем то, которое было бы выплачено, если бы результаты экспертизы не были подделаны).
Мошенничества, совершаемые застрахованными лицами, выгодоприобретателями или страхователями — физическими лицами.
Застрахованные лица (страхователи — физические лица) совершают обманные действия или на стадии заключения страхового договора, или на стадии его исполнения — в отношении страховых случаев, или сразу на всех стадиях действия страхового договора. Выгодоприобретатели имеют реальную возможность совершить страховое мошенничество на стадии исполнения страхового договора. На стадии заключения страхового договора со стороны застрахованных лиц (страхователей — физических лиц) возможны следующие виды обманных действий: обман в отношении страхуемого имущества. При этом лицо может: страховать несуществующее имущество, используя для предъявления чужое имущество, взятое на время, или подделанные документы на имущество (например, на якобы находящуюся в собственности квартиру, но на самом деле принадлежащую другим лицам и всего лишь арендуемую виновным); вводить в заблуждение относительно реальной стоимости страхуемого имущества, сознательно завышая ее для получения высокого страхового возмещения (обычно используются те же уловки, что и в первом случае — подменяется временно свое имущество на более дорогое чужое имущество, применяется документальный обман и т.п.); страховать одно и то же имущество в размере его полной страховой стоимости у двух и более страховщиков. В этой разновидности обмана могут присутствовать и два предыдущих вида обманных действий: лицо может дважды и более страховать несуществующее имущество или умышленно дважды и более завышать реальную страховую стоимость страхуемого имущества. Однако для квалификации содеянного как страхового мошенничества вполне достаточно только одного вида обмана — факта двойного страхования имущества. Эта разновидность обмана, однако, предполагает совершение обманных действий и на стадии исполнения страхового договора и соответственно относится к обманным действиям сразу на всех стадиях действия страхового договора; обман в отношении других объектов страхования. Это может быть, например, обман в состоянии здоровья застрахованного (страхователя — физического лица), при котором страхуется лицо, неизлечимо больное, как здоровый человек или инвалид I-II группы как вполне трудоспособное лицо и т.д. Для этого виновный прибегает к различным уловкам: подделывает и (или) использует подложные официальные (прежде всего, медицинские) документы, уговаривает другое лицо пройти медосмотр и т.д. Размер страхового мошенничества определяется в этом случае размером незаконно выплаченного страхового обеспечения. На стадии исполнения страхового договора со стороны застрахованных лиц, выгодоприобретателей, страхователей — физических лиц возможны следующие виды обманных действий: обман в наступлении страхового случая (фиктивное наступление страхового случая). Обман здесь заключается в том, что страховой случай не наступил, в то время как утверждается обратное: застрахованное имущество укрывается в другом месте, и инсценируется факт его похищения неизвестными людьми (взламываются двери квартиры или дома, возможно связывание членов семьи, разбрасываются и частично уничтожаются или повреждаются предметы, находящиеся в помещении, вызывается милиция и т.д.). Результатом становится получение застрахованным лицом, выгодоприобретателем или страхователем — физическим лицом незаконного страхового возмещения; в эту же группу страхового мошенничества входит и обман в факте беременности, предпринятый для того чтобы получить пособие за постановку на учет в медицинских учреждениях в ранние сроки беременности, или пособие по беременности; этот обман может выражаться в подделке возрастных паспортных данных, для того чтобы получить пенсию по старости раньше установленного законом срока, или в подделке срока выслуги лет для получения пенсии по выслуге лет; введение в заблуждение относительно факта нахождения в статусе безработного. Лицо встает на учет как безработный, для того чтобы получать социальное пособие по безработице, и одновременно работает в какой-либо организации, или является индивидуальным предпринимателем; в этом же ряду стоит обман в факте временной нетрудоспособности, когда лицо представляет на работу фиктивную медицинскую справку для получения за время своего отсутствия на рабочем месте заработной платы. Размер страхового мошенничества во всех перечисленных ситуациях определяется размером незаконно выплаченного страхового обеспечения (пособия по беременности, суммой всех полученных лицом пенсионных или иных выплат, суммой пособий по безработице, реально выплаченных, и т.д.); осуществление страхового случая самим застрахованным, выгодоприобретателем или страхователем — физическим лицом с целью получения страхового возмещения. В этой ситуации: застрахованное имущество (дом, дача, квартира, автомобиль и т.п.) уничтожается лицом путем поджога, взрыва и т.п. для получения страхового возмещения; с той же целью умышленно причиняется вред своему здоровью.
На всех стадиях действия страхового договора со стороны застрахованных лиц (страхователей — физических лиц) возможны все вышеперечисленные виды обманных действий, если они начинают совершаться при заключении страхового договора (например, обман в стоимости страхуемого имущества или в состоянии здоровья страхуемого лица) и заканчиваются обманом, связанным со страховым случаем (например, при его фальсификации). Страховое мошенничество, совершаемое застрахованными лицами, выгодоприобретателями или страхователями — физическими лицами, влечет уголовную ответственность по ст. 159 УК (мошенничество); подделка официальных документов требует дополнительной квалификации по ст. 327 УК. Мошенничества, совершаемые по сговору различными субъектами отношений страхования.
Практически все виды страхового мошенничества, рассмотренные выше, могут совершаться в соучастии. Например, страховая стоимость имущества может быть значительно завышена по сговору между представителями страховщика и страхователем (застрахованным лицом) для того, чтобы получить и разделить между собой незаконное страховое возмещение. Содеянное в данном и других подобных случаях влечет уголовную ответственность за квалифицированное мошенничество, предусмотренное п. „а“ ч. 2 ст. 159 УК (мошенничество, совершенное группой лиц по предварительному сговору). Мошенничество, в том числе и в сфере страхования, окончено, если виновным изъял чужое имущество или приобрел право на него и имеет реальную возможность пользоваться или распоряжаться им. Субъективная сторона мошенничества характеризуется прямым умыслом и корыстной целью. Субъектом страхового мошенничества является лицо, достигшее шестнадцати лет.
В ближайшее время страховщики столкнутся с развитием еще одного направления мошенничества – фальсификацией страховых случаев, связанных с причинением вреда жизни и здоровью граждан при ДТП. Нередко в мошенничестве бывают замешаны сотрудники медучреждений, пытающихся получить со страховщиков лишние деньги. Для этого используются завышение в отчетности длительности пребывания потерпевшего в стационаре, несоблюдение стандартов лечения, непрофильная госпитализация, повторное выставление счетов, применение завышенных тарифов.
Экономическая экспертиза медицинских счетов, контроль объемов и качества медицинских услуг должны проводиться по отраслевым и региональным справочникам, в которых приведены стандарты лечения, тарифы на медуслуги, лекарства и изделия медицинского назначения. Квалифицированная медико-экономическая экспертиза в ОСАГО без использования специализированного программного обеспечения весьма затруднительна, если вообще возможна.
2. Пути решения проблемы страхового мошенничества
Действительно, до сих пор попытки страховщиков объединиться для борьбы с мошенничеством почти не давали конкретных результатов. Думаю, что сегодня возникла наиболее благоприятная ситуация для активизации работы в этом направлении. Бороться с мошенничеством решил РСА - ассоциация с довольно солидной материальной базой. Эту деятельность подтолкнет и всплеск мошенничества после введения первого массового вида страхования.
Одна из проблем, препятствующих сегодня эффективной борьбе с мошенничеством, - отсутствие у страховщиков права проведения оперативно-следственных мероприятий при расследовании страховых случаев. Нормативная база, регламентирующая взаимодействие компаний и правоохранительных органов, также отсутствует. Понятно, что в одиночку мы ничего не сделаем. Принципиально важным шагом в решении этого вопроса стало бы внесение понятия страхового мошенничества в российское законодательство, в частности, в Уголовный кодекс. В этом случае органы правопорядка не будут относиться к борьбе с мошенничеством в страховании просто как к дополнительному объему работы - это уже будет законодательно закрепленная обязанность.
Неопределенность по
вопросам законодательного закрепления страхового мошенничества вызвала со
стороны крупнейших страховщиков превентивные действия. Так, в мае
На сегодняшний[6] день меморандум подписали 24 страховые компании, в частности, "АльфаСтрахование", "Ренессанс-Страхование", "Рекон", "Страховой дом ВСК", "РЕСО-Гарантия", "Спасские ворота", "Национальная страховая группа", "РОСНО", "Согласие", "ГУТА-Страхование", "Пари", "Национальная страховая лига", "Природа", "Ариадна", "Нефтеполис", "Мегарусс-Д", "НАСТА", "МАКС", "Сибирь".
Задачи
Задача 1. Произвести расчет брутто-ставки по страхованию на дожитие для лица в возрасте x лет на срок t, если страховая сумма по договору S, норма доходности i, доля нагрузки в структуре страхового тарифа H.
Лицо, женщина, 21 лет, на срок 9 лет, на 530000 рублей страховой суммы, норма доходности - 8%, доля нагрузки -25%.
1.2
1.Согласно, таблицы 1, при х=21, Lx= 96050, то до 21 лет из 100000 доживет 96050 женщин.
|
То есть, при dx = 101 , тогда Q30=0,00106
2. По таблице смертности определим сколько человек в возрасте 21 лет, доживут до 30 лет Lx+ t= 95337 человек.
3.Определяем количество страхового фонда.
P t = Lx+ t*S (1.3) P=95337*530000=50528610000 руб.
|
|
|
|
За I примем 8 % годовых, тогда
|
387420489
P=50528610000* 0,1111111111= 5614290000 руб.
4. Определим единовременную нетто-ставку, которую внесет каждый страхователь. Она предполагает уплату взноса в начале срока страхования.
Ех=P/Lx=5614290000 /96050 = 58451,75 руб.
5. Брутто-ставка, рассчитывается.
Тб = Тн*100/100-Н (1.5)
Тб = 58451,75*100/100-25 =5845175/75=77935,65
Ответ: брутто-ставка составляет 77,9356 тыс.рублей
Задача 2.
Произвести расчет брутто-ставки по рисковым видам страхования
Вариант 22
Таким образом,
Tn=To+Tp (2.1)
Основная часть нетто-ставки To рассчитывается по формуле:
![]() |
где Sb- средняя величина страхового возмещения (страховой выплаты) на один страховой случай по договорам страхования данного вида – 700 тыс.р.;
S- средняя страховая сумма на один договор страхования данного вида – 2500 тыс.р.;
Sb/ S – убыточность страховой суммы по договорам страхования данного вида в принятый расчетный период;
q-вероятность наступления страхового случая (частота страховых случаев) в расчете на один договор страхования данного вида -0,05.
To=1,4.
Рисковая надбавка Tp рассчитывается по формуле (2.4) и составляет:
Тр = 0,74707.
Брутто-ставка рассчитывается по формуле (2.5) и составляет:
Tn=To+
Тб = Тн*100/100-Н
Тб = 2,14707*100/100-22 =214,707/78=2,75265 тыс.руб
Ответ: 2,75265 тыс.руб
Литература
1. Гражданский кодекс Российской Федерации (части первая, вторая и третья).
2.
Уголовный
кодекс РФ от 13 июня
3.
Закон
РФ от 27 ноября
4.
Постановление
Пленума Верховного Суда РФ от 28 апреля
5. Ларичев В. Д. Мошенничество в сфере страхования. — М., 1998;
6. Галагуза Н. Ф., Ларичев В. Д. Преступления в страховании: предотвращение, выявление, расследование. -М., 2000
Страховая премия — оплаченный страховой интерес; плата за страховой риск в денежной форме. Страховую премию оплачивает страхователь и вносит страховщику согласно закону или договору страхования. По экономическому содержанию страховая премия есть сумма цены страхового риска и затрат страховщика, связанных с покрытием расходов на проведение страхования. Страховую премию определяют исходя из страхового тарифа. Вносится страхователем единовременно авансом при вступлении в страховые правоотношения или частями (например, ежемесячно, ежеквартально) в течение всего срока страхования. Размер страховой премии отражается в страховом полисе. Объем поступления страховой премии от всех функционирующих страховщиков — один из важнейших показателей состояния страхового рынка. Синонимами термина "страховая премия" являются страховой взнос и страховой платеж.
![]()
|
|
Приложение 1 Примерная методика расчета тарифных ставок по обязательному государственному страхованию Настоящая методика рекомендуется для определения страхового тарифа по обязательному государственному страхованию жизни и здоровья военнослужащих, граждан призванных на военные сборы, лиц рядового и начальствующего состава органов внутренних дел Российской Федерации и сотрудников федеральных органов налоговой полиции. Определение основных понятий, использованных в методике Под страховым риском в настоящей методике понимается: гибель (смерть) застрахованного лица в период прохождения военной службы, службы, военных сборов либо до истечения одного года после увольнения с военной службы, со службы, после окончания военных сборов вследствие увечья (ранения, травмы, контузии) или заболевания, полученных в период прохождения военной службы, службы, военных сборов; установление застрахованному лицу инвалидности в период прохождения военной службы, службы, военных сборов либо до истечения одного года после увольнения с военной службы, со службы, после окончания военных сборов вследствие увечья (ранения. травмы, контузии) или заболевания, полученных в период прохождения военной службы, службы, военных сборов: первой группы; второй группы; третьей группы; получение застрахованным лицом в период прохождения военной службы, службы, военных сборов тяжелого увечья (ранения, травмы, контузии); получение застрахованным лицом в период прохождения военной службы, службы, военных сборов легкого увечья (ранения, травмы, контузии); досрочное увольнение с военной службы военнослужащего. проходящего военную службу по призыву, гражданина, призванного на военные сборы на воинскую должность, для которой штатом воинской части предусмотрено воинское звание до старшины (главного корабельного старшины) включительно, признанных военно-врачебной комиссией ограниченно годным к военной службе вследствие увечья (ранения, травмы, контузии) или заболевания, полученных в период прохождения военной службы. Страховая сумма - денежная сумма, исходя из которой устанавливается размер страхового взноса. Страховая сумма признается равной выплате в случае наступления страхового случая "установление застрахованному лицу инвалидности первой группы" (75 окладов месячного содержания). Страховой тариф (брутто-тариф) - ставка страхового взноса с единицы страховой суммы. Страховой тариф состоит из нетто-ставки и нагрузки. Нетто-ставка страхового тарифа - часть страхового тарифа, предназначенная для обеспечения страховых выплат по договорам обязательного государственного страхования жизни и здоровья военнослужащих, граждан призванных на военные сборы, лиц рядового и начальствующего состава органов внутренних дел Российской Федерации и сотрудников федеральных органов налоговой полиции. Нагрузка - часть страхового тарифа, предназначенная для покрытия затрат на ведение страхования. Величина нагрузки не может превышать 6 процентов от размера страхового тарифа. Расчет тарифной ставки основывается на статистической информации о страховых событиях: q0 - вероятность гибели (смерти) застрахованного лица; q1 - вероятность установления застрахованному лицу инвалидности I группы; q2 - вероятность установления застрахованному лицу инвалидности I I группы; q3 - вероятность установления застрахованному лицу инвалидности I I I группы; q4 - вероятность получения застрахованным лицом тяжелого увечья; q5 - вероятность получения застрахованным лицом легкого увечья; q6 - вероятность досрочного увольнения вследствие увечья или заболевания*; S0 - среднее возмещение в случае гибели (смерти) застрахованного лица; S1 - среднее возмещение в случае установления застрахованному лицу инвалидности I группы; S2 - среднее возмещение в случае установления застрахованному лицу инвалидности I I группы; S3 - среднее возмещение в случае установления застрахованному лицу инвалидности I I I группы; S4 - среднее возмещение в случае получения застрахованным лицом тяжелого увечья; S5 - среднее возмещение в случае получения застрахованным лицом легкого увечья; S6 - среднее возмещение в случае досрочного увольнения вследствие увечья или заболевания*; С - средняя страховая сумма по договору страхования**; n - число лиц подлежащих страхованию по договору. С использованием статистики по обязательному государственному страхованию за величины q0, q1, q2, q3, q4, q5, q6, S0, S1, S2, S3, S4, S5, S6, и С принимаются оценки их значений:
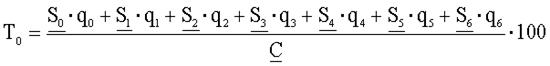
где N - общее количество лиц, которые были застрахованы по договору обязательного государственного страхования; M0 - количество страховых случаев "гибель (смерть) застрахованного лица" среди N застрахованных лиц; M1 - количество страховых случаев "установление инвалидности первой группы" среди N застрахованных лиц; M2 - количество страховых случаев "установление инвалидности второй группы" среди N застрахованных лиц; M3 - количество страховых случаев "установление инвалидности третьей группы" среди N застрахованных лиц M4 - количество страховых случаев "получение тяжелого увечья (ранения. травмы, контузии)" среди N застрахованных лиц; M5 - количество страховых случаев "получение легкого увечья (ранения. травмы, контузии)" среди N застрахованных лиц; M6 - количество страховых случаев "досрочное увольнение вследствие увечья или заболевания" среди N застрахованных лиц; S0k - страховое возмещение при наступлении kого страхового случая "гибель (смерть) застрахованного лица", k=1,…, M0; S1k - страховое возмещение при наступлении kого страхового случая "установление инвалидности первой группы", k=1,…, M1; S2k - страховое возмещение при наступлении kого страхового случая "установление инвалидности второй группы", k=1,…, M2; S3k - страховое возмещение при наступлении kого страхового случая "установление инвалидности третьей группы", k=1,…, M3; S4k - страховое возмещение при наступлении kого страхового случая "получение тяжелого увечья (ранения. травмы, контузии)", k=1,…, M4; S5k - страховое возмещение при наступлении kого страхового случая "получение легкого увечья (ранения. травмы, контузии)", k=1,…, M5; S6k - страховое возмещение при наступлении kого страхового случая "досрочное увольнение вследствие увечья или заболевания", k=1,…, M6; Сi - месячное денежное содержание застрахованного лица по договору обязательного государственного страхования, i=1,…, N. Нетто ставка страхового тарифа Тn состоит из двух частей - основной части Т0 и рисковой надбавки Тр: Тn = Т0+ Тр. Основная часть нетто-ставки соответствует средним выплатам страховщика, зависящим от вероятностей наступления страхового случая q0, q1, q2, q3, q4, q5, q6, средней страховой суммы С и средних возмещений S0, S1, S2, S3, S4, S5, S6. Основная часть нетто-ставки со 100 руб. страховой суммы рассчитывается по формуле
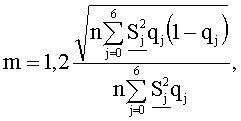
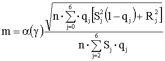
Рисковая надбавка Тр вводится для того. чтобы учесть вероятные превышения количества страховых случаев относительно их среднего значения. Кроме qj, Sj, j=0,…, 6; и С рисковая надбавка зависит еще от ряда параметров: n - числа лиц подлежащих страхованию по договору; гарантии g - требуемой вероятности, с которой требуемых взносов должно хватить на выплату возмещений по страховым случаям; среднего разброса возмещений; R0 - в случае гибели (смерти) застрахованного лица; R1 - в случае установления застрахованному лицу инвалидности I группы; R2 - в случае установления застрахованному лицу инвалидности I I группы; R3 - в случае установления застрахованному лицу инвалидности I I I группы; R4 - в случае получения застрахованным лицом тяжелого увечья; R5 - в случае получения застрахованным лицом легкого увечья; R6 - в случае досрочного увольнения вследствие увечья или заболевания***. Рисковая надбавка может быть рассчитана для всех лиц подлежащих страхованию по договору. В этом случае
где a (g ) - коэффициент, который зависит от гарантии безопасности g . Его значение может быть взято из таблицы
m - коэффициент вариации страхового возмещения, который соответствует отношению среднеквадратичного отклонения к ожидаемым выплатам страхового возмещения. При известных величинах Rj, j= 0,…, 6. коэффициент вариации определяется по формуле
где Rj - среднеквадратичное отклонение возмещений при наступлении соответствующих страховых случаев. Данную
величину можно оценить следующим образом:
где Sjk - страховое возмещение при kом соответствующем страховом случае, k=1,…, Мj, Мj - число соответствующих страховых случаев среди N застрахованных лиц, Sj - среднее возмещение при наступлении соответствующего страхового случая, j - 0,…, 6. При неизвестной величине Rj среднеквадратичного отклонения выплат при наступлении определенного страхового случая, соответствующее слагаемое в числителе формулы (*) допускается заменять величиной
Если не известна ни одна из величин Rj, то m вычисляется по формуле
Данная формула и формула (*) для вычисления рисковой надбавки тем точнее, чем больше величины nqj. При nqj < 10 они носят приближенный характер, j=0,…, 6. Брутто-ставка Тб рассчитывается по формуле
где Тn - нетто-ставка, f - доля нагрузки в общей тарифной ставке в процентах (f=<6%). |
![]()
![]()
![]()
Copyright © 1997 МинФин,
Web design: Гарант-Парк-Интернет
[1] Ларичев В. Д. Мошенничество в сфере страхования. — М., 1998;
[2] Галагуза Н. Ф., Ларичев В. Д. Преступления в страховании: предотвращение, выявление, расследование. -М., 2000 С-28
[3] Закон РФ от 27 ноября
[4] Уголовный кодекс РФ от 13 июня
[5] Постановление Пленума Верховного Суда РФ от 28 апреля
[6] Журнал «Эксперт» - октябрь

,
,
,
,
,
,
,
,
,
,
,
,
,
,
,
(руб.)
, (*)
,
