МИНИСТЕРСТВО ОБРАЗОВАНИЯ И НАУКИ РФ
ФЕДЕРАЛЬНОЕ АГЕНТСТВО ПО ОБРАЗОВАНИЮ
ГОСУДАРСТВЕННОЕ ОБРАЗОВАТЕЛЬНОЕ УЧРЕЖДЕНИЕ
ВЫСШЕГО ПРОФЕССИОНАЛЬНОГО ОБРАЗОВАНИЯ
ВСЕРОССИЙСКИЙ ЗАОЧНЫЙ ФИНАНСОВО-ЭКОНОМИЧЕСКИЙ ИНСТИТУТ
Кафедра Финансового менеджмента
КУРСОВАЯ РАБОТА
По дисциплине «Финансы организаций»
На тему
« Оборотный капитал предприятий
Вариант № 2 Смета 1
Челябинск
2008
ОГЛАВЛЕНИЕ
|
ВВЕДЕНИЕ………………………………………………………………. |
3 |
|
|
1. |
ОБОРОТНЫЙ КАПИТАЛ ПРЕДПРИЯТИЯ…………………………... |
5 |
|
1.1 |
Экономическое содержание и основы организации оборотного капитала……………………………………………………………………….. |
5 |
|
1.2 |
Методы определения плановой потребности в оборотном капитале... |
18 |
|
1.3 |
Показатели характеризующие эффективность использования оборотного капитала. Методика их исчисления…………………………... |
33 |
|
1.4 |
Анализ оборотного капитала в ОАО «Машиностроительный завод им. М.И.Калинина, г. Екатеринбург»………………………………….. |
40 |
|
ЗАКЛЮЧЕНИЕ………………………………………………………….. |
52 |
|
|
2 |
РАСЧЕТНАЯ ЧАСТЬ…………………………………………………… |
54 |
|
СПИСОК ЛИТЕРАТУРА……………………………………………….. |
73 |
|
|
ПРИЛОЖЕНИЯ………………………………………………………….. |
74 |
ВВЕДЕНИЕ
Каждое предприятие, начиная свою производственно-хозяйственную деятельность, должно располагать определённой денежной суммой. На эти денежные ресурсы предприятие закупает на рынке или у других предприятий по договорам сырьё, материалы, топливо, оплачивает счета за электроэнергию, выплачивает своим работникам заработную плату, несёт расходы по освоению новой продукции, всё это представляет собой один из важнейших параметров хозяйствования, который получил название «оборотные средства предприятия». В условиях рыночных отношений оборотные средства приобретают особо важное значение. Ведь они представляют собой часть производительного капитала, которая переносит свою стоимость на вновь созданный продукт полностью и возвращается к предпринимателю в денежной форме в конце каждого кругооборота капитала. Таким образом, оборотные средства являются важным критерием в определении прибыли предприятия
Оборотный капитал, предназначенный для обеспечения непрерывности процесса производства и реализации продукции, может быть охарактеризован как совокупность денежных средств, авансированных для создания и использования оборотных производственных фондов и фондов обращения.
Источники формирования оборотного капитала в значительной степени определяют эффективность его использования.
Отсюда вытекает актуальность курсовой работы, которая заключается в выборе оптимальной политики управления оборотным капиталом. Установление оптимального соотношения между собственными и привлеченными средствами, обусловленного специфическими особенностями кругооборота фондов в том или ином хозяйствующем субъекте, является важной задачей управляющей системы. В процессе управления формированием оборотного капитала должны быть обеспечены права предприятий и организаций в сочетании с повышением их ответственности за эффективное и рациональное использование средств. Достаточный минимум собственных и заемных средств должен обеспечить непрерывность движения оборотного капитала на всех стадиях кругооборота, что удовлетворяет потребности производства в материальных и денежных ресурсах, а также обеспечивает своевременные и полные расчеты с поставщиками, бюджетом, банками и другими корреспондирующими звеньями.
Исходя из актуальности темы, в курсовой работе в качестве основной цели было определено - исследовать понятие оборотного капитала предприятия, а также методы определения потребности в оборотном капитале и показатели, характеризующие эффективность использования оборотных средств
Для достижения выше указанной цели в работе были поставлены и решены следующие задачи:
- раскрыть сущность экономического содержания и основы организации оборотного капитала;
- показать методы определения плановой потребности в оборотном капитале;
- изучить показатели, характеризующие эффективность использования оборотного капитала, методику исчисления;
проанализировать эффективное использование оборотных средств в ОАО «Машиностроительный завод им. М.И.Калинина, г. Екатеринбург»
Предметом изучения выступают различные формы оборотного капитала, источники их формирования и способы использования
Объектом исследования данной работы являются экономические отношения, связанные с формирование и использованием оборотного капитала предприятия.
В процессе написания работы были использованы: современной финансово-экономической литературы, ресурсы Интернета. Для примера расчета коэффициентов эффективности оборотных средств использованы данные организации ОАО «Машиностроительный завод им. М.И.Калинина, г. Екатеринбург»
1. ОБОРОТНЫЙ КАПИТАЛ ПРЕДПРИЯТИЯ
§ 1.1. ЭКОНОМИЧЕСКОЕ СОДЕРЖАНИЕ И ОСНОВЫ ОРГАНИЗАЦИИ ОБОРОТНОГО КАПИТАЛА.
Любая коммерческая организация, ведущая производственную или коммерческую деятельность, должна обладать определенным реальным, т.е. функционирующим имуществом или активным капиталом в виде основного и оборотного капитала. Понятие оборотный капитал тождественно оборотным средствам и представляет собой одну из составных частей имущества хозяйствующего субъекта, необходимую для нормального осуществления его деятельности.
В экономической литературе не прослеживается очевидная грань между понятиями «оборотные средства» и «оборотный капитал» и не наблюдается единообразия в терминологии. Логичным представляется при рассмотрении оборотных средств оборотного капитала учитывать способ их отражения в бухгалтерском балансе. В этом случае под оборотными средствами следует понимать актив баланса, раскрывающий предметный состав имущества предприятия, в частности, его оборотные или текущие активы.
Оборотные активы предприятия включают в себя:
1.Запасы — сырье, материалы, топлива, малоценные и быстро изнашивающиеся предметы, животные на выращивание и на откорме, незавершенное производство, готовую продукцию и товары для перепродажи, прочие запасы и затраты.
2. Дебиторская задолженность - задолженность покупателей и заказчиков векселя получению, задолженность дочерних и зависимых обществ, задолженность участников (учредителей) по взносам в уставный капитал, авансы выданные, прочие дебиторы.
3. Краткосрочные финансовые вложения – вложения на срок не более одного года в ценные бумаги других предприятий, облигации государственных муниципальных займов, а также предоставляемые другим предприятиям займы (при этом выделяют инвестиции в зависимые общества, собственные акции, выкупленные у акционеров, прочие краткосрочные вложения).
4. Денежные средства – кассу, расчетные счета, валютные счета, прочие денежные средства.
Под оборотным капиталом понимают пассив баланса, показывающий, какая величина средств (капитала) вложена в хозяйственную деятельность предприятия (собственный и заемный капитал). Иначе оборотный капитал – это величина финансовых источников, необходимых для формирования оборотных активов предприятия.
Оборотный капитал – это средства, обслуживающие процесс хозяйственной деятельности, участвующие одновременно и в процессе производства, и в процессе реализации продукции. В обеспечении непрерывности и ритмичности процесса производства и обращения заключается основное назначение оборотных средств предприятия[3,C.281].
По функциональному назначению, или роли в процессе производства и обращения, оборотные средства предприятия подразделяются на оборотные производственные фонды и фонды обращения. Исходя из этого деления оборотный капитал можно охарактеризовать как средства, вложенные в оборотные производственные фонды и фонды обращения и совершающие непрерывный кругооборот в процессе хозяйственной деятельности.
Оборотные производственные фонды по вещественному содержанию представляю собой в основном предметы труда (сырье, основные и вспомогательные материалы, топливо, энергетические ресурсы (в твердом ни жидком состоянии), незавершенное производство, полуфабрикаты (покупные и собственного производства)). Кроме того, к оборотным фондам относят и некоторые орудия труда: запасные части для текущего ремонта, малоценные и быстроизнашивающиеся предметы и инструменты, специальные приспособления, сменное оборудование, специальную одежду и обувь и др. Указанные орудия труда в производственных объединениях, на предприятиях исчисляются тысячами наименованиями, что технически затрудняет учет их износа. Кроме того, как правило, они функционируют менее одного года или имеют стоимость не более 100 МРОТов за единицу
Главным экономическим признаком оборотных производственных фондов является то, что они свою стоимость полностью переносят на стоимость готовой продукции в каждом производственном цикле и после реализации готовой продукции их стоимость снова возвращается в оборот средств предприятия в денежной форме через выручку от реализации продукции, работ и услуг.
Основное назначение средств, вложенных в оборотные производственные фонды, заключается в обеспечении планомерного прагматичного производства на предприятии.
Средства предприятий, которые вложены в запасы готовой продукции, предназначенной для реализации, денежные средства, находящиеся в кассе, на счетах в банке и в пути (например, денежные переводы) средства в расчетах (стоимость отгруженной покупателем готовой продукции), суммы, иммобилизованные в - незаконченных расчетах за реализованную продукцию составляют фонды обращения.
Основное назначение фондов обращения сводится к обеспечению денежными ресурсами планомерного обращения, как на предприятии, так и во всех отраслях хозяйства.
Оборотные средства в каждый данный момент находятся в сфере производства в виде производственных запасов и незавершенного производства — и в сфере обращения в виде готовой продукции, денежных средств и средств в расчетах. Следовательно, оборотные средства обслуживают весь кругооборот средств предприятия. Оборотные средства — это капитал предприятия, авансированные в оборотные активы, оборотные средства (рис.1). Целью авансирования является создание необходимых материальных запасов. Заделов незавершенного производства, готовой продукции и условий для ее реализации.
|
Оборотные средства (оборотный капитал) |
||||||||||||||||||||||
|
|
|
|||||||||||||||||||||
|
|
Авансированные в производственные оборотные фонды |
|
Авансированные в фонды обращения |
|||||||||||||||||||
|
|
|
|
|
|
|
|
|
|
|
|
|
|
|
|
|
|
|
|||||
|
сырье, материалы полуфабрикаты |
вспомогательные материалы |
топливо |
запасные части |
малоценные быстроизнашивающиеся предметы |
незавершенное производство |
расходы будущих периодов |
готовая продукция на складе |
товары для перепродажи |
товары отгруженные покупателям и заказчикам |
краткосрочные финансовые вложения |
денежные средства (касса, расчетные и валютные средства |
Рис. 1 Содержание оборотных средств
Авансирование означает, что использованные денежные средства возвращаются предприятию после завершения каждого производственного цикла или кругооборота, включающего: производство продукции – ее реализацию – получение выручки от реализации продукции. Именно из выручки от реализации происходит возмещение авансированного капитала и его возвращение к исходной величине.
Таким образом, оборотный капитал, предназначенный для обеспечения непрерывности процесса производства и реализации продукции, может быть охарактеризован как совокупность денежных средств, авансированных для создания и использования оборотных производственных фондов и фондов обращения.
Экономическая сущность оборотных средств определяется их ролью в обеспечении непрерывности процесса воспроизводства, в ходе которого оборотные фонды и фонды обращения проходят как сферу производства, так и сферу обращения. Находясь в постоянном движении, оборотные средства совершают непрерывный кругооборот, который отражается в постоянном возобновлении процесса производства.
В процессе кругооборота авансируемый капитал последовательно принимает различные формы стоимость (денежная — товарная — производительная — товарная — денежная) и переходит из одной стадии в другую (рис. 2).
|
Материальные |
|||||||||||||
|
Деньги |
Стадия I |
Ресурсы |
… |
Производство |
… |
Товар |
Деньги |
||||||
|
Стадия II |
Стадия III |
||||||||||||
|
Трудовые |
Рис.2 Кругооборот капитала
На стадии I происходи авансирование оборотного капитала в сырье, материалы, топливо и другие предметы труда, подготовка условий для производства.
На стадии II в процессе соединения материальных и трудовых ресурсов создается новый продукт, включающий в себя перенесенную (потребленную) и вновь созданную стоимость. Производительный капитал превращается в товарный.
На стадии III в ходе реализации произведенной готовой продукции оборотный капитал переходит из сферы производства в сферу обращения. При этом возмещаются затраты (использованные оборотные фонды) и формируются денежные накопления. Товарный капитал превращается в денежный, добавочная стоимость поступает предприятию после реализации готового продукта.
Кругооборот – не единичный процесс. Это процесс, совершающийся постоянно и представляющий собой оборот капитала. Завершив один кругооборот, оборотный капитал вступает в новый т.е. кругооборот совершается непрерывно и происходит постоянная смена форм авансированной стоимости. Вместе с тем на каждый данный момент кругооборота оборотный капитал функционирует одновременно во всех стадиях, обеспечивая непрерывность процесса производства. Авансированная стоимость различными частями одновременно находится во многих функциональных формах – денежной, производительной, товарной.
Для финансовых служб предприятия кругооборот оборотных средств важен для оценки длительности производственного и финансового циклов и управления ими, что осуществляет финансовый менеджмент. Период оборота производственных запасов с момента их поступления в производство, незавершенное производство и готовая продукция до момента ее отгрузки формируют производственный цикл, в то время как финансовый цикл, охватывающий процесс как производства, так и реализации продукции, начинается с оплаты сырья, материалов и прочих товарно – материальных ценностей и заканчивается получением денег от покупателя.
Таким образом, отличие оборотных средств от оборотных фондов в следующем:
w оборотные средства авансируются, а оборотные фонды расходуются (участвуют водном производственном цикле); оборотные средства проходят три стадии кругооборота и возвращаются в денежной форме в оборот данного предприятия;
w оборотные средства находятся в непрерывном движении, одновременно участвуя во всех стадиях процесса кругооборота в виде авансированной стоимости производственных запасов, незавершенного производства, готовой продукции.
Принято различать состав и структуру оборотных средств. Под составом оборотных средств следует понимать совокупность элементов, статей, образующих оборотные средства. Структура оборотных средств это соотношение между статьями; она не одинакова в различных отраслях хозяйства.
Структура оборотных средств зависит от ряда факторов:
w производственных состава затрат на производство, типа производства (массовое, серийное, единичное и т. д.), характера изготовляемой продукции, длительности производственного цикла и т. д.;
w особенности материально-технического снабжения - периодичности и регулярности поставок, удельного веса комплектующих изделий;
w организации расчетов;
w учетной политики предприятия.
Создание наиболее рациональной структуры оборотных средств на предприятиях имеет важное значение для повышения эффективности их. Оборотные средства предприятий классифицируют по следующим признакам (рис.3):
w обслуживаемая сфера производства средства, авансированные в оборотные производственные фонды и оборотные средства в фондах обращения;
w особенностей планирования и организации — планируемые (нормируемые) и не планируемые (ненормируемые):
w источник формирования — собственные и заемные:
w ликвидность, немедленно реализуемые (денежные средства, в том числе касса, расчетный, валютный, текущий и прочие денежные счета и краткосрочные финансовые вложения): быстро реализуемые (дебиторская задолженность); медленно реализуемые (производственные запасы и затраты): трудно реализуемые и неликвидные.

Рис.3. Классификация оборотных средств
Экономическая необходимость деления оборотных средств на планируемые (нормируемые) и не планируемые (ненормируемые) вытекает из принципа коммерческого расчета достижения наибольших результатов при наименьших затратах. В данном случае эта задача сводится к тому, чтобы путем установления оптимальной потребности по отдельным статьям оборотных средств обеспечить непрерывность и эффективность производства, необходимое качество продукции (услуг, забот) с минимальными запасами сырья, материалов, топлива, незавершенного производства, готовых изделий и т. д.
К планируемым относят оборотные средства в оборотных производственных фондах готовой продукции на складе. Не планируемые оборотные средства включают оборотные средства, которые вложены в продукцию отгруженную покупателям, средства в расчетах, денежные средства. Денежные средства (на расчетных и валютных счетах в кассе предприятия не нормируют, так как они представляют собой временные остатки средств, подлежащих использованию по целевому назначению. К ним принадлежат не внесенные в бюджет платежи и остатки фондов потребления и накопления, отчисления на социальные нужды.
Деление оборотных средств на собственные и заемные средства обусловлено тем, что потребность предприятия в минимальных запасах материальных ценностей и необходимых заделах производства, обеспечивающих бесперебойную и ритмичную работу, надо покрывать за счет собственных и приравненных к ним (устойчивых пассивов) источников. В этих целях создают производственные запасы, заделы незавершенного производства и полуфабрикатов собственного изготовления, выделяют средства для расходов будущих периодов и образования остатков готовых изделий на складе. Дополнительную потребность в оборотных средствах для формирования сезонных запасов материальных ценностей (сырья, топлива, основных материалов о т.д.), сезонного расширения производства, временного увеличения вложений в незавершенное производство, а также для других временных нужд, возникающих в ходе производства и реализации продукции, покрывают иным и (заемными) средствами.
Источники формирования оборотных средств предприятий делят на собственные, заемные и привлеченные (рис. 4).

Рис.4 Источники формирования оборотных средств
Источниками формирования собственных оборотных средств служат:
w уставный капитал:
w добавочный капитал:
w резервный капитал (фонды образованные в соответствий с законодательством. а также с учредительными документами):
w фонд социальной сферы:
w целевые поступления и финансирования:
w нераспределенная прибыль:
Помимо собственных источников для формирования оборотных средств предприятие использует источники, приравненные к собственным —так называемые устойчивые пассивы
К устойчивым пассивам относят ресурсы, постоянно находящиеся в обороте предприятия. величина его оборотные средства. Устойчивыми пассивами являются:
• минимальная задолженность по заработной плате и отчислениям на социальные нужды
• минимальная задолженность по резерву предстоящих платежей
• платежи заказчиков по части иной готовности продукции (если применяется эта форма расчетов):
• минимальная задолженность по авансам потребителей (если это предусмотрено договорами)
• минимальная задолженность покупателей по залогам за тару;
• остатки средств фонда социальной сферы.
К заемным источникам формирования оборотных средств относят кратко- срочные кредиты и займы.
Краткосрочные ссуды предоставляются коммерческими банками на основе кредитных договоров на создание сезонных запасов сырья и материалов, восполнение временного недостатка собственных оборотных средств. осуществление расчетов и т. д.
Коммерческие кредиты других предприятий предоставляются в виде займов авансов, векселей. Кроме того, источником заемных средств служит выпуск в обращение долговых ценных бумаг (облигаций, векселей).
Несмотря на платность заемных ресурсов, привлечение их в оборот предприятия может существенно повысить рентабельность собственных средств.
К привлеченным источникам принадлежит кредиторская задолженность, обусловленная принятой системой расчетов. а также нарушением платежной дисциплины. Это наиболее весомая часть краткосрочной задолженности. Она может быть выше у более мелких предприятий, которые не всегда имеют возможность использовать другие источники
Объем собственных оборотных средств (собственного капитала в обороте) можно определить по бухгалтерскому балансу (форме № 1) двумя способами:
1. Путем суммирования собственного капитала и долгосрочных обязательств и вычитания из них суммы свободных активов (итог раздела III баланса + стр. 640 + стр. 650 + итог раздела IV — итог раздела I баланса): Строки 640, 650 раздела IV «Краткосрочные обязательства» отражают, по сути, собственные источники предприятия, доходы будущих периодов, резервы предстоящих расходов:
2. Путем вычитания из текущих активов текущих пассивов [итог II раздела баланса (итоги раздела V стр. 640 стр. 650)].
Состав оборотных средств, рассматривая с позиции их ликвидности, выделяют немедленно, быстрореализуемые медленнореализуемые, труднореализуемые, неликвидные средства и активы. Первоклассными ликвидными средствами, т.е. находящимися в немедленной готовности для расчетов, являются деньги в кассе или на счетах в банке. К быстрореализуемым активам относят краткосрочные финансовые вложения – депозиты, ценные бумаги, товары и имущество, приобретенные с целью перепродажи, реальную дебиторскую задолженность, товары отгруженные, но не оплаченные в срок.
Медленнореализуемыми оборотными средствами являются полуфабрикаты, незавершенное производство, залежалые товары на складе, сомнительная задолженность. По степени финансового риска эта группа наименее привлекательна с позиции вложения капитала в оборотные средства предприятий.
Величина оборотных средств на предприятии, их состав структура зависят от множества факторов производственного, организационного и экономического характера, какие как:
w Отраслевые особенности производства и характер деятельности;
w Сложность производственного цикла и его длительность;
w Стоимость запасов и их роль в производственном процессе;
w Условия поставки и ее ритмичность;
w Порядок расчетов и расчетно-платежная дисциплина;
w Выполнение взаимных договорных обязательств.
Учет перечисленных факторов для определения и поддержания на оптимальном уровне объема и структуры оборотных средств является важнейший целью управления оборотным капиталом.
Таким образом, можно сказать, что совокупность денежных средств, авансированных организацией для создания оборотных производственных фондов и фондов обращения, обеспечивающих планомерный и непрерывный процесс производства и реализации продукции, называется оборотными средствами или текущими активами компании. Особенностью оборотных средств является то, что в условиях нормальной хозяйственной деятельности оборотные средства не расходуются, а авансируются в различные виды текущих затрат предприятия, возвращаясь после завершения каждого оборота к своей исходной величине. Период времени, в течение которого совершается оборот денежных средств, представляет собой длительность производственно-коммерческого цикла, который складывается из периода времени между уплатой денег за сырье и материалы и поступлением денег от продажи готовой продукции
По материально-вещественной структуре оборотные средства делятся на текущие активы материально-вещественного содержания — предметы труда (сырье, материалы, топливо и др.), готовая продукция и товары, денежные средства и средства в расчетах. По функциональной роли в процессе производства — на средства в обращении и производственные оборотные фонды. В зависимости от практики контроля, планирования и управления оборотные средства бывают нормируемыми и ненормируемыми (организация должна осуществлять нормирование оборотных средств на производственные запасы, полуфабрикаты собственного производства, готовую продукцию). По степени ликвидности (скорости превращения в денежные средства) выделяют абсолютно ликвидные средства, быстро реализуемые оборотные средства, медленно реализуемые оборотные средства. В зависимости от степени риска вложения капитала различают оборотный капитал с минимальным риском, с малым риском, со средним риском и с высоким риском вложений.
Финансовое положение предприятия находится в зависимости от того, сколь скоро средства, вложенные в активы, превращаются в реальные деньги. Рост неплатежей затрудняет ритмичную деятельность предприятия (закупку сырья, оплату труда и другие расходы, производимые из выручки) и ведет к увеличению дебиторской задолженности. В то же время излишнее отвлечение средств в производственные запасы, незавершенное производство, готовую продукцию и т. д. приводит к омертвлению ресурсов и неэффективному использованию оборотных средств.
Формирование оборотных средств происходит в момент организации предприятия, при создании его уставного фонда. Источником образования в этом случае служат инвестируемые средства учредителей предприятия. В дальнейшем минимальная потребность предприятия в оборотных средствах покрывается из собственных источников. За счет собственных источников формируется, как правило, минимальная стабильная часть оборотных средств. Наличие собственных оборотных средств позволяет предприятию свободно маневрировать, повышать результативность и устойчивость своей деятельности. Если у предприятия возникают временные дополнительные потребности в оборотных средствах, то финансовое обеспечение хозяйственной деятельности сопровождается привлечением заемных источников. Оптимальное соотношение собственных, заемных и привлеченных источников оборотных средств способствует укреплению финансового состояния предприятия.
§ 1.2 МЕТОДЫ ОПРЕДЕЛЕНИЯ ПЛАНОВОЙ ПОТРЕБНОСТИ В ОБОРОТНОМ КАПИТАЛЕ
Эффективность деятельности предприятия во многом зависит от правильного определения потребности в оборотных средствах. Оптимальная обеспеченность оборотными средствами ведет к минимизации затрат, улучшению финансовых результатов, к ритмичности и слаженности работы предприятия. Завышение оборотных средств ведет к излишнему их отвлечению в запасы, к замораживанию и омертвлению ресурсов. Это дорого обходится предприятию, поскольку возникают дополнительные затраты на хранение и складирование, на уплату налога на имущество. Занижение оборотных средств может привести к перебоям в производстве и реализации продукции, к несвоевременному выполнению предприятием своих обязательств. И в том и в другом случае следствием является неустойчивое финансовое состояние, нерациональное использование ресурсов, ведущее к потере выгоды.
Конкретные размеры оборотных средств определяются текущей потребностью и зависят от:
w характера и сложности производства;
w длительности производственного цикла;
w сезонности работы;
w темпов роста производства, изменений объемов и условий сбыта продукции;
w порядка расчетов и организации расчетно-кассового обслуживания;
w финансовых возможностей предприятия;
w периодичности и сроков поступления платежей и т.п.
На практике применяют следующие основные методы планирования (нормирования) собственных оборотных средств: прямого счета, аналитический, коэффициентный.
При расчете норматива аналитическим методом все нормируемые оборотные средства объединяют в две группы: зависящие и непосредственно не зависящие от роста объема производства.
В состав первой группы входят: сырье, основные и вспомогательные материалы, покупные полуфабрикаты, топливо, тара, незавершенное производство, готовая продукция, но этой группе норматив оборотных средств на плановый год определяют на основе норматива текущего года с учетом намечаемого роста выпуска продукции и ускорения оборачиваемости оборотных средств.
Ко второй группе относятся: запасные части для ремонта, малоценные и быстроизнашивающиеся предметы и др. Совокупный норматив по элементам этой группы рассчитывают на основе норматива базисного года, который увеличивают в корреляционной зависимости от объема выпуска товарной продукции в плановом году с определенным снижением. Размер снижения определяют следующим образом. Прежде всего, анализируют сложившееся за ряд лет соотношение между ростом этих запасов и увеличение выпуска товарной продукции. На основе выявленной закономерности определяют расчетное значение норматива, которое уменьшают на размер предполагаемого ускорения оборачиваемости запасов.
Коэффициентный метод основан на определении нового норматива оборотных средств на базе имеющегося с учетом поправок на планируемое изменение объемов производства и сбыта продукции, на ускорение оборачиваемости оборотных средств. При применении данного метода все запасы и затраты предприятия подразделяют на:
w зависящие от изменения объема производства — сырье, материалы, затраты на незавершенное производство и готовую продукцию на складе;
w не зависящие от роста объема производства — запасные части, малоценные и быстроизнашивающиеся предметы, расходы будущих периодов.[2,C.155]
По зависящим от объема производства элементам оборотных средств потребность планируется исходя из их размеров в базисном году, темпов роста производства и возможного ускорения оборачиваемости оборотных средств.
По остальным элементам запасов и затрат плановая потребность определяется на уровне их среднефактических остатков.
Метод прямого счета, содержание которого подробно рассматривается далее, позволяет с достаточной точностью рассчитать норматив, отражающий особенности работы каждого хозяйствующего субъекта. При использовании этого метода предварительно определяют норматив по каждому элементу, а затем путем их суммирования рассчитывают совокупную потребность в оборотных средствах.
Метод прямого счета является наиболее точным, обоснованным, но вместе с тем довольно трудоемким. Он основан на определении научно-обоснованных норм запаса по отдельным элементам оборотных средств и норматива оборотных средств, т.е. стоимостного выражения запаса, который рассчитывается как в целом, так и по каждому элементу нормируемых оборотных средств. Метод прямого счета является основным методом определения плановой потребности в оборотных средствах. Процесс нормирования включает:
1. разработку норм запаса по отдельным видам товарно-материальных ценностей всех элементов нормируемых оборотных средств;
2. определение частых нормативов по каждому элементу оборотных средств;
3. расчет совокупного норматива по собственным нормируемым оборотным средствам.
Наряду с планированием (нормированием) потребности в оборотных средствах и расчетом совокупного норматива производятся прогнозные расчеты, которые моделируют как будущее финансовое положение предприятия, так и состояние его собственных оборотных средств.
Следует различать понятия «норма» и «норматив». Норма — относительный показатель, выражаемый в днях, рублях, процентах. Его используют для исчисления плановой потребности (норматива). Например, норму расхода сырья и материалов в плановом периоде устанавливают в днях. Норматив оборотных средств — плановая потребность в оборотных средствах в денежном выражении необходимый объем оборотного капитала, авансируемого в соответствующие оборотные активы.
Норматив оборотных средств по сырью, материалам и другим аналогичным ценностям. Этот норматив исчисляют как произведение однодневного их расхода на норму запаса в днях:
Нм = Ом Nм
где Ом - однодневный расход руб.; N м - норма запаса в днях, дней.
Однодневный расход в рублях рассчитывают с учетом количества календарных дней (год 360. квартал 90. месяц 30 дней) в плановом периоде.
Норма запаса оборотных средств Nм включает: время нахождения материалов в пути, или транспортный запас N1: время на предоплату N2, время на приемку, разгрузку, сортировку и складирование (время на приемку) N3, время на подготовку к производству (технологический запас), N4 время нахождения на складе в виде текущего запаса N5, страховой запас N6
Nм = N1 + N2 + N3 + N4 + N5 + N6
Необходимость транспортного запаса(N1) обусловлена несовпадением движения грузов и платежных документов по времени. В период между оплатой счета и получение груза потребность предприятия в ресурсах покрывают за счет транспортного запаса.
При незначительной номенклатуре расходуемых материалов и ограниченном числе поставщиков транспортный запас по каждому из материалов рассчитывают прямым методом.
При большом числе поставщиков и значительной номенклатуре потребляемых материалов транспортный запас определяют аналитическим методом.
Если расчеты между предприятием и поставщиками товарно-материальных ценностей осуществляют на условиях предоплаты, необходимо учесть при расчете потребности в оборотных средствах время, истекающее с момента перечисления денег в виде предоплаты до момента получения груза (N2).
Время на приемку разгрузку сортировку и складирование (N3) материальных ресурсов устанавливают исходя из фактических затрат путем хронометража. На некоторых предприятиях с высоким уровнем механизации погрузочно-разгрузочных операций разработаны технические нормы затрат. В среднем норма затрат составляет ориентировочно один - два дня.
Технологический запас (N4) зависит от конкретных условий работы каждого предприятия. Он учитывает время необходимое на подготовку сырья и материалов к запуску в производство (резку, сушку, старение металла и т. д.) или подбор партии запуска. Если материал запускают в производство частями, технологический запас определяется затратами времени на подготовку операций с первой партией. В тех случаях, когда подготовительные операции выполняют в основных цехах, время на их проведение учитывают при нормировании оборотных средств в незавершен ном производстве. Если договоры с поставщиками исключают необходимость подсортировки резки других подготовительных операций на предприятии, технологический запас не предусматривают.
Текущий запас (N5) предназначен для обеспечения нормального хода производственной деятельности в период между двумя очередными партиями поставок. Норма текущего запаса зависит от интервала поставок. Чем чаще материалы поступают на предприятие и запускаются в производство, тем меньше по ним текущий запас, и наоборот. В качестве нормы текущего запаса обычно принимают половину продолжительности среднего интервала между поставками. Текущий запас рассчитывают исходя из сроков поставки материальных ценностей по договорам, нарядам и другим плановым документам, в которых определен объем и установлены даты поставок.
Гарантийный (страховой) запас (N6) создают для обеспечения, непрерывности производственного процесса при возникновении перебоев в снабжении из-за нарушения условий поставок по срокам и комплектности, задержки груза в пути и в других случаях. На гарантийный запас в днях влияют: отдаленность поставщиков от потребителей, размер текущего запаса, и т. п. Каждый из перечисленных факторов при некоторых условиях может стать решающим.
Продолжительность нахождения средств в страховом запасе рассчитывают по отношению к норме оборотных средств на текущий запас
Норму оборотных средств в днях по страховому запасу обычно устанавливают для каждой группы материалов в пределах до 50% нормы текущего запаса. Норма страхового запаса может быть увеличена сверх 50%, если:
w материал поступает на предприятие только от одного поставщика
w предприятие расположено вдали от поставщиков и от удобных транспортных путей.
Норматив оборотных средств на вспомогательные материалы. Этот норматив определяют как произведение однодневного расхода этих материалов на норму оборотных средств, для расчета норматива вспомогательные материалы делят на две группы:
1.расходуемые на значительную сумму
2.остальные.
Норму оборотных средств для первой группы материалов рассчитывают так же, как и по сырью и основным материалам.
Для второй группы норматив определяют аналитическим методом исходя из средних фактических остатков этих материалов за ряд предшествующих периодов. Из этих остатков исключают излишние, сезонные и ненужные для производства запасы. Исчисляют средний остаток как потребность предприятия в оборотных средствах на плановый период.
Общая сумма оборотных средств на вспомогательные материалы равна совокупной потребности в оборотных средствах по двум группам материалов.
Норматив оборотных средств на топливо (кроме газа). Данный норматив находят умножением однодневного его расхода на норму в днях. Однодневный расход исчисляют на основе сметы затрат на производство в плановом периоде. Предварительно из общей стоимости расходуемого топлива исключают стоимость газа. Норма оборотных средств в днях зависит от условий снабжения и устанавливается тем же методом. Что и по сырью и основным материалам.
Норматив оборотных средств на тару. Этот норматив определяют как сумму произведений нормы в днях по видам тары на соответствующий однодневный оборот (расход) тары. В зависимости от источника поступления тары и ее использования применяют различные методы расчета норм запаса.
По покупной таре норма оборотных средств исчисляют так же, как и по сырью и основным материалам. По таре собственного изготовления, стоимость которой отдельно включают в оптовую стоимость готовой продукции, норму оборотных средств калькулируют исходя из времени ее нахождения на складе от момента изготовления до момента упаковки в нее готовой продукции.
По таре, поступающей с материальными ценностями и подлежащей возврату поставщикам, норма оборотных средств равна продолжительности одного оборота тары (со дня оплаты вместе с материальными ценностями до дня сдачи в банк платежных документов на отгруженную возвратную тару). Если тара не подлежит возврату поставщикам, но используется в дальнейшем, норма оборотных средств включает время нахождения тары с материалами плюс время на ее ремонт и сортировку.
Однодневный оборот (расход) покупной тары или тары собственного изготовления рассчитывают делением планируемого годового оборота на 360 дней. Однодневный оборот по таре, подлежащей возврату, исчисляют делением годовой стоимости возвратной тары на 360 дней. Предварительно из общей суммы годового оборота тары исключают суммы ее износа и уценки.
Суммируя потребности в оборотных средствах на отдельные виды тары, получаем общую потребность в средствах на финансирование запасов тары. Поскольку подобный расчет характеризуется высокой трудоемкостью, принято определять норматив на тару упрощенным аналитическим способом — на основе средневзвешенного норматива за ряд предыдущих периодов с последующей корректировкой на рост объема выпуска продукции или на основе фактического размера оборотных средств на 1000 руб. выпуска товарной продукции.
Норматив оборотных средств на малоценные в быстроизнашивающиеся предметы. Данный норматив определяют по следующим элементам:
w малоценные и быстроизнашивающиеся инструмент и приспособления
w малоценный и быстроизнашивающийся инвентарь
w специальная одежда и обувь:
w специальный инструмент
w сменное оборудование.
I Малоценные и быстроизнашивающиеся инструменты и приспособления
Если малоценные и быстроизнашивающиеся предметы хранятся на складе, норматив по ним исчисляют по полной стоимости.
Стоимость малоценных и быстроизнашивающихся предметов, находящихся в эксплуатации, при расчете норматива принимают во внимание по остаточной стоимости в соответствии с учетной политикой предприятия.
Норматив оборотных средств на малоценные и быстроизнашивающиеся инструменты и приспособления в эксплуатации должен обеспечить образование оборотного фонда, включающего стоимость инструмента на рабочих местах, в инструментально - раздаточных кладовых, в заточке и ремонте. Размер оборотного фонда исчисляется прямым счетом и аналитическим методом.
Стоимость инструментов на рабочих местах определяют исходя из цены инструмента, числа станков, где применяют данный инструмент, сменности работы, нормы обеспеченности каждого рабочего места инструментами.
Запас инструмента в инструментально - раздаточных кладовых устанавливают на основе дневной потребности в инструменте и периода, через который пополняется израсходованный инструмент.
Стоимость инструмента в заточке и ремонте зависит от объема партии инструмента, посылаемого в заточку и ремонт, от продолжительности пребывания там инструмента. В соответствии с аналитическим методом потребность в оборотных средствах для финансирования запасов исчисляют на основе нормы на 1000 руб. выпуска товарной продукции.
II Малоценный и быстроизнашивающийся инвентарь
К малоценному хозяйственному инвентарю относятся:
• конторский инвентарь (столы, стулья, белье):
• бытовой инвентарь (кровати, тумбочки, постельное белье)
• производственный инвентарь (ведра, лопаты, огнетушители).
Потребность в оборотных средствах на его создание обычно рассчитывают аналитическим методом, Для этого из стоимости фактических запасов на конец каждого квартала базисного периода исключают излишние и ненужные запасы. На основе полученных отчетных данных исчисляют среднее значение запаса, принимаемое за норматив в плановом периоде.
III. Спец одежда и обувь
Запасы специальной одежды и обуви находятся на складе и в эксплуатации.
Потребность в оборотных средствах для финансирования запасов на складе определяется умножением нормы в днях на величину однодневного расхода, который исчисляется, так же как и по сырью.
Потребность в оборотных средствах для финансирования остатков в эксплуатации рассчитывают исходя из норм выдачи спецодежды, численности соответствующих категорий работающих, стоимости единицы, сроков носки.
IV Спец инструмент и остатки
На специальный инструмент и оснастку потребность в оборотных средствах рассчитывают только для изделий массового и серийного выпуска. За счет этих средств покрывают разовые затраты на создание комплекта спецоснастки для выпуска головного образца нового изделия и текущие затраты на пополнение и возобновление комплекта для обеспечения серийного и массового выпуска продукции.
V Сменное оборудование
К сменному оборудованию относят палки для прокатных станов, изложницы для разливки металла, пресс-формы, мульды и т. д. Потребность в оборотных средствах рассчитывают методом прямого счета индивидуально по каждой позиции отдельно по складскому запасу и оборудованию в эксплуатации.
Общий норматив на текущий период по малоценным и быстроизнашивающимся предметам равен суме оборотных средств по всем направлениям авансирования ресурсов.
Норматив оборотных средств по незавершенному производству. Продукцию (работы), не прошедшую все стадий (фазы, пределы), которые предусмотрены технологическим процессом, а также изделия, неукомплектованные, не прошедшие испытания и технологической приемки, относят к незавершенному производству.
Следовательно, норматив оборотных средств в незавершенном производстве определяет сумму денежных средств необходимых предприятию, для авансирования в расходуемое на производство сырье, основные и вспомогательные материалы, топливо, электроэнергию, затраты на заработную плату, амортизационные отчисления и прочие расходы предприятия
Объем оборотных средств, вложенных в незавершенное производство по каждому изделию, определяется объемом его производства, длительностью производственного цикла Тп и интенсивностью нарастания затрат в процессе производства К
Длительность производственного цикла обуславливается периодом от и первой технологической операции до полного изготовления изделия. Полная длительность производственного цикла Тп включает период непосредственной технологической обработки изделий Ти. время нахождения в транспортном Т1. оборотном То, и страховом Тс и может быть определена по формуле
Тп = Ти + Т1 + То+ Тс
Для исчисления норматива собственных оборотных средств в незавершенном производстве сначала надо установить норму оборотных средств в днях и объем затрат по производственной плановой себестоимости.
Норма оборотных средств для i-го изделия непосредственно зависит от длительности производственного цикла и коэффициента нарастания затрат:
Nнпi = ТпiКi
где Nнпi — норма незавершенного производства для i-ого изделия, дней; Тпi—— длительность производственного цикла I - ого изделия, дней: Кi— коэффициент нарастания затрат на 1—е изделие.
Коэффициент нарастания затрат представляет собой отношение себестоимости незавершенного производства 1—го изделия к его плановой производственной себестоимости. При равномерном нарастании затрат его рассчитывают по формуле
Ki=(Зei+0.5Зпi)*100/( Зei+Зпi)
где Зei — - единовременные затраты на i-е изделие в начале производственного процесса; Зпi — последующие затраты на производство i-го изделия.
К единовременным затратам Зе относят расход сырья, основных материалов и полуфабрикатов. Остальные затраты Зп (заработная плата, амортизационные отчисления, накладные расходы и т. п.) нарастают постепенно на протяжении всего цикла.
В производстве часто затраты нарастают неравномерно. В этом случае для определения коэффициента нарастания затрат используют следующую формулу:

где, Зi – затраты в i-й период времени (i=1,2,3….R),определенные нарастающим итогом; Тп – длительность производственного цикла i -ого изделия; С – плановая производственного себестоимость i –ого изделия.
На основе расчетов норм оборотных средств по каждому изделию представителю в табличной форме производят сводный расчет нормы в днях по всему предприятию
норматив незавершенного производства в. денежном выражении находят по формуле
![]()
где Ннп – норматив по незавершенному производству и полуфабрикатам собственного изготовления по предприятию; ПС – производственная себестоимость товарной продукции по смете затарат на производстве на плановый период ( IVкв.); Тп – длительность производственного цикла; К - коэффициент нарастания затрат; Д – количество дней в плановом периоде(IVкв.).
Норматив расходов будущих периодов. Расходы будущих периодов. т. е. затраты, произведенные организации в текущем отчетном периоде, но относящиеся к следующим отчетным периодам. отражают в бухгалтерском балансе отдельной статьей как расходы будущих периодов. Они подлежат списанию в порядке. устанавливаемом организацией (равномерно. пропорционально объему продукции и др.) в течение периода. к которому они относятся.
Авансирование оборотных средств в расходы будущих периодов необходимо для покрытия следующих основных затрат:
• на освоение новых видов продукции:
• на горно-подготовительные и вскрышные работы, за исключением затрат производимых за счет капитальных вложений:
на подписку на периодические издания. на арендную плату связь а также уплату вперед налогов и сборов
по расходам будущих периодов. в отличие от незавершенного производства. не определяют норму оборотных средств в днях. Норматив в денежном выражении исчисляют методом прямого счета на основе сметы затрат и калькуляции разрабатываемых предприятий.
Норматив рассчитывается по формуле:
Нбп = Р1+Р2-Р3
где, Нбп – норматив собственных оборотных средств на расходы будущих периодов; Р1 – сумма затрат, числящихся по балансу (или ожидаемая) по этой статье на начало планового периода; Р2 – расходы производимые в плановом году по сметно-плановым расчетам.; Р3 – расходы, относимые на себестоимость продукции в плановом периоде по утвержденным сметно–плановым калькуляциям.
Норматив оборотных средств по готовой продукции. Этот норматив рассчитывается как произведение однодневного объема выпуска товарной продукции В в руб. по производственной себестоимости и нормы запаса N в днях:
Нгп = В*N
В – однодневный выпуск, N – норма запаса, дней
Необходимость формирования запаса готовой продукции на складе обусловлена тем, что предприятие не может каждое изделие отгружать немедленно по окончании его производства. Поскольку продукцию реализуют партиями. комплектно и в определенном ассортименте для обеспечения планомерной ее отгрузки в полном соответствии с договорным условием нужно выполнить определенные складские операции.
Норма запаса готовой продукции. N на складе зависит от следующих факторов: времени на накопление партии, времени на подборку и подсортировку по заказам и нарядам. времени на упаковку и маркировку. частоты подачи транспортных средств. транзитной нормы, времени на погрузку. Затраты времени на выполнение операций определяют на основе технических норм или расчетным путем.
Совокупный норматив оборотных средств. Этот норматив характеризует общую потребность предприятия в оборотных средствах на конец планового периода и представляет собой сумму рассмотренных выше нормативов по всем элементам.
Сопоставляя совокупную потребность в собственных оборотных средствах на конец и начало планового периода, выявляют прирост или уменьшение этой потребности
Прирост оборотных средств отражают в финансовом плане. указывая источники его покрытия. например:
w излишек оборотных средств на начало года:
w неиспользованная прибыль предприятия:
w прирост кредиторской задолженности. постоянно находящейся в обороте предприятия (устойчивые пассивы). т. е. приравненной к собственным источникам:
w эмиссия ценных бумаг
w прочие источники.
Излишек или недостаток оборотных средств устанавливают путем сопоставления числящихся на балансе собственных оборотных [итог раздела III баланса + стр. 640 + стр. 650) - итог раздела 1 + итог раздела IV].
Как излишек, так и недостаток оборотных средств негативно влияет на финансовое состояние предприятия. Излишек оборотных средств означает отвлечение, омертвление средств в излишних запасах товарно-материальных ценностей, что замедляет оборачиваемость оборотных средств и увеличивает расходы, на хранение запасов. Недостаток оборотных средств приводит к сбоям в производственном процессе из-за невозможности своевременно пополнять производственные запасы, рассчитываться с кредиторами работниками, банками и т. д.
Таким образом, можно сказать, что для целей контроля, управления и планирования все оборотные средства делятся на нормируемые и ненормируемые. К нормируемым относятся оборотные производственные фонды (материалы, незавершенное производство) и часть фондов обращения — готовая продукция на складе.
Существует три метода расчета нормативов оборотных средств — аналитический, или опытно-статистический метод, который отражает практику организации производства, снабжения и сбыта; коэффициентный метод, предполагающий, что в сводный норматив предыдущёго периода вносятся поправки на планируемые изменения объема производства и ускорения оборачиваемости оборотных средств; метод прямого счета, который представляет собой это научно обоснованный расчет нормативов по оборотным средствам в целом и по каждому их элементу (сырья и материалов в запасах, незавершенного производства, готовой продукции на складе, а также общий норматив оборотных средств). Этот метод является основным.
Оборотные средства должны обеспечить непрерывность процесса производства, поэтому состав и размер потребности предприятия в оборотных средствах определяется нуждами производства и обращения.
Расчет потребности в оборотных средствах ведется исходя из времени пребывания оборотных средств в сфере производства и сфере обращения. Время пребывания в сфере производства охватывает период, в течение которого оборотные средства производства находятся в процессе непосредственного функционирования, времени перерывов в процессе производства, времени, в течение которого оборотные средства пребывают в состоянии запасов. Время пребывания оборотных средств в сфере обращения охватывает период нахождения их в форме остатков нереализованной продукции, денежных средств в кассе предприятия, на счетах в банке и в расчетах с хозяйствующими субъектами.
§1.3 ПОКАЗАТЕЛИ, ХАРАКТЕРИЗУЮЩИЕ ЭФФЕКТИВНОСТЬ ИСПОЛЬЗОВАНИЯ ОБОРОТНОГО КАПИТАЛА. МЕТОДИКА ИХ ИСЧИСЛЕНИЯ
Экономическая эффективность использования оборотных средств выражается в полезном результате, получаемым предприятием в ходе его деятельности. Она определяется показателями оборачиваемости. Под оборачиваемостью оборотных средств понимают движение в процессе производства и реализации произведенного продукта, т.е. длительность одного полного кругооборота средств от приобретения производственный запасов и выплаты заработной платы до реализации готовой продукции и поступления денег на расчетный счет предприятия
Обобщающим показателем эффективности использования оборотного капитала является показатель рентабельности (Рок), рассчитываемый как соотношение прибыли от реализации продукции (Прп) или иного финансового результата к средней величине оборотного капитала (Сок):
Рок = Прк х 100 / Сок
Этот показатель характеризует величину прибыли, получаемой на каждый рубль оборотного капитала, и отражает финансовую эффективность работы предприятия, так как именно оборотный капитал обеспечивает оборот всех ресурсов на предприятии.
В российской хозяйственной практике оценка эффективности использования оборотного капитала осуществляется через показатели его оборачиваемости. Поскольку критерием оценки эффективности управления оборотными средствами является фактор времени, используются показатели, отражающие, во-первых, общее время оборота, или длительность одного оборота в днях; во-вторых, скорость оборота.
Продолжительность одного оборота складывается из времени пребывания оборотного капитала в сфере производства и сфере обращения, начиная с момента приобретения производственных запасов и кончая поступлением выручки от реализации продукции, выпущенной предприятием. Иными словами, длительность одного оборота в днях охватывает продолжительность производственного цикла и количество времени, затраченного на продажу готовой продукции, и представляет период, в течение которого оборотные средства проходят все стадии кругооборота на данном предприятии.
Оборачиваемость оборотных средств выражают с помощью коэффициента оборачиваемости Коб. длительности одного оборота Оо, и отдачи оборотных средств, исчисляемой по стоимости товарной продукции или прибыли на 1 рубль оборотных средств.
Коэффициент оборачиваемости Коб исчисляют по следующей формуле:

где V - объем реализации (продаж): ОС — средний остаток оборотных средств.
Величина, обратная коэффициенту оборачиваемости Коб называется коэффициентом закрепления. Этот показатель подобен фондоемкости, рассчитанной к оборотным средствам: он отражает, сколько оборотных средств приходится на рубль реализации.
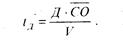
Длительность одного оборота оборотных средств tд дней, рассчитывают по формуле:
![]()
где Д – количество дней в периоде (год – 360, квартал – 90 дней)
Подставив в приведенное выше выражение для tд значение показателя Коб получим формулу для расчета продолжительности кругооборота оборотных средств:
![]()
В процессе управления оборотными средствами рассматривают длительность оборота отдельных элементов оборотных активов.
Длительность оборота товарно-материальных запасов. Этот показатель отражает период времени, необходимый для превращения материальных запасов (сырья) в готовую продукцию и ее реализации:
![]()
Где Д – 360 дней; МЗ – среднее значение запасов товарно-материальных ценностей; VC - объем продаж, исчисленный по себестоимость реализованной продукции.
Длительность оборота дебиторской задолженности. Данный показатель отражает средний срок получения платежа:
![]()
Где ДЗ – дебиторская задолженность; V – однодневная выручка от реализации.
Длительность оборота денежных средств. Она отражает время с момента оплаты предприятием производственных ресурсов до момента получения выручки от продажи продукции, т. е. это период между платежами за сырье и рабочую силу и погашением дебиторской задолженности. Длительность оборота денежных средств tден может быть рассчитана следующим образом:
![]()
где tкр – период обращения кредиторской задолженности; tдб – период обращения дебиторской задолженности; tмл – период обращения запасов.
Перечисленные показатели дают возможность провести углубленный анализ использования собственных оборотных средств, их называют частными показателями оборачиваемости.
Оборачиваемость оборотных средств может ускоряться или замедляться. При замедлении оборачиваемости в оборот вовлекаются дополнительные средства. Эффект ускорения оборачиваемости выражается в сокращении потребности в оборотных средствах в связи с улучшением их использования, их экономии, что влияет на прирост объемов производства и как следствие на финансовые результаты. Ускорение оборачиваемости ведет к высвобождению части оборотных средств (материальных ресурсов, денежных средств), которые используются либо для нужд производства, либо для накопления на расчетном счете. В конечном итоге улучшается платежеспособность и финансовое состояние предприятия
Относительное высвобождение оборотных средств происходит в тех случаях, когда при наличии оборотных средств в пределах плановой потребности обеспечивается перевыполнение плана производства продукции. При этом темп роста объема производства опережает темп роста остатков оборотных средств.
Итак, управление оборотными средствами важно в решении ключевой проблемы финансового состояния: достижении оптимального соотношения между ростом рентабельности производства (максимизацией прибыли на вложенный капитал) и обеспечением устойчивой платежеспособности, служащей внешним проявлением финансовой устойчивости предприятия. Исключительно важной задачей является также обеспеченность запасов и затрат предприятия источниками их формирования и поддержание рационального соотношения между собственным оборотным капиталом и заемными ресурсами, направляемыми на пополнение оборотных средств.
Каждое предприятие ставит перед собой задачу сокращения длительности оборота денежных средств, чтобы таким образом увеличить прибыль и уменьшить потребность в финансовых ресурсах.
Длительность оборота денежных средств может быть уменьшена путем:
w сокращения длительности оборота товарно-материальных запасов
w сокращения длительности оборота дебиторской задолженности
w увеличения периода обращения кредиторской задолженности.
Одним из важнейших элементов оборотных активов предприятия является дебиторская задолженность. Общий объем дебиторской задолженности определяется двумя факторами:
1) объемом реализации в кредит:
2) средним промежутком времени между отгрузкой товара и получением выручки.
Любое увеличение дебиторской задолженности должно быть профинансировано за счет собственных, привлеченных или заемных источников.
При отгрузке продукции запасы уменьшаются на сумму затрат на реализованную продукцию. При этом дебиторская задолженность увеличивается на сумму подлежащей получению выручки от реализации, а на объем дебиторской задолженности возрастает объем реализации продукции, отражаемый в отчетности. При немедленной оплате товара предприятие получает реальную прибыль. Если же товар отгружен, но не оплачен или соблюдение условий договора (перехода права собственности), прибыль лишь числится на балансе, но не существует фактически до того момента, пока оплата не будет произведена.
Для контроля за состоянием дебиторской задолженности и предотвращения безнадежных долгов предприятие классифицирует задолженность по срокам возникновения, а также изучает показатель оборачиваемости дебиторской задолженности в днях. В целях управления дебиторской задолженностью анализируют платежную дисциплину дебиторов.
Финансово -эксплуатационные потребности. Рассмотренное выше дает возможность определить сравнительно новое понятие финансово – эксплуатационных потребностей (ФЭП). Этот показатель можно рассчитать следующим образом:
ФЭП = запасы сырья и материалов + запасы готовой продукции – коммерческий кредит поставщиков(кредиторская задолженность за товарно-материальные ценности)
или
ФЭП = текущие активы – Денежные средства – Кредиторская задолженность за товарно-материальные ценности.
Для предприятия важно привести ФЭП к отрицательному значению, т. е. за счет кредиторской задолженности по товарно - материальным ценностям покрыть производственные запасы, а также перекрыть клиентскую (дебиторскую) задолженность.
На ФЭП оказывают влияние следующие факторы:
• длительность производственного цикла — чем быстрее запасы ТМЦ превращаются в готовую продукцию, а готовая продукция в деньги, тем меньше потребность авансирования оборотных средств в производственные запасы и готовую продукцию:
• темп роста производства чем больше темп прироста объема производства и реализации, тем больше потребность в дополнительном авансирований средств в производственные запасы:
• сезонность производства — она предопределяет необходимость создания производственных запасов в больших объемах
• формы расчетов - предоставление отсрочек по платежам клиентам увеличивает дебиторскую задолженность и способствует росту ФЭП
• получение отсрочек по платежам кредиторам, поставщикам товарно-материальных ценностей, наоборот. Способствует снижению ФЭП.
Однако отрицательное значение финансово-эксплуатационной потребности не всегда свидетельствует о благоприятной ситуации на предприятии. Это связано с состоянием запасов, дебиторской и кредиторской задолженности. Так, запасы, числящиеся на балансе, могут быть меньше реальной потребности в них, а кредиторская задолженность иногда включает просроченную, возникшую в результате хозяйственно-финансовых нарушений задолженность.
Скорость оборачиваемости оборотных средств на предприятиях различных отраслей промышленности неодинакова. На предприятиях с длительным циклом производства оборотные средства оборачиваются медленнее, чем на предприятиях с коротким циклом производства.
Ускорение или замедление оборачиваемости оборотных средств выявляют путем сопоставления фактических показателей оборачиваемости с плановыми или соответствующими данными и за прошлые периоды
Исключительно большое значение имеет ускорение оборачиваемости оборотных средств, т. е. сокращение длительности одного оборота. За счет него предприятие при той же сумме оборотных средств может выпустить и реализовать больше продукции и следовательно, получить больше прибыли, повысить рентабельность. Все это способствует увеличению производства и реализации продукции при неизменности потребляемых ресурсов, т. е. минимизация финансовых затрат.
Эффект ускорения оборачиваемости оборотных средств отражается в показателях их высвобождения. Различают абсолютное (Ва) и относительное (Во) высвобождение оборотных средств. Абсолютное высвобождение оборотных средств происходит в том случае, когда выполнение или перевыполнение производственной программы обеспечивается при использовании меньшей суммы оборотных средств, чем предусмотрена планом. Относительное высвобождение оборотных средств представляет разность между потребностью в оборотных средствах предприятия, исчисленной исходя из плановой или фактически достигнутой в отчетном году оборачиваемости и той суммой, с которой предприятие обеспечило выполнение и перевыполнение производственной программы в следующем году.
В условиях расширенного воспроизводства на промышленных предприятиях чаще всего наблюдается относительное высвобождение оборотных средств в плановом году по сравнению с отчетным при росте их абсолютных размеров.
Большое значение для повышения эффективности использования оборотных средств имеет контроль за их расходованием.
§1,4 АНАЛИЗ ОБОРОТНОГО КАПИТАЛА В ОАО «Машиностроительный завод им. М.И.Калинина, г.Екатеринбург»
Полное наименование организации - Открытое акционерное общество «Машиностроительный завод им. М. И. Калинина, г. Екатеринбург», свидетельство о государственной регистрации № 4343 серия II-ОИ.
Открытое акционерное общество «Машиностроительный завод им.М.И.Калинина» зарегистрировано 31 мая 1994 года в результате приватизации государственного предприятия НПО «Машиностроительный завод им.М.И.Калинина».
Уставный капитал Общества по состоянию на 1.01.2007 года составлял 16551 тыс. руб. и состоял из 662031 акций номинальной стоимостью 25 руб.
Основными видами деятельности ОАО "Машиностроительный завод имени М.И. Калинина, г. Екатеринбург" являются:
w Выполнение государственного оборонного заказа по производству и ремонту техники специального назначения для нужд Министерства Обороны Российской Федерации, гарантийное и текущее обслуживание поставленной МО РФ специальной техники, утилизация специальной техники.
w Производство продукции гражданского назначения:
w Малогабаритные электрические погрузчики, с щелочными и кислотными аккумуляторными батареями, грузоподъемностью1т, 1,6т, 2т с комплектом сменного оборудования;
w Дизельные погрузчики грузоподъемностью 1,6т; 3,5т.
w Электротележки грузоподъемностью 2т;
w Этикетировочные автоматы 2-х, 3-х и 4-х позиционные производительностью 6000, 12000, 18000 бутылок в час, для винно-водочной промышленности и агропромышленного комплекса.
w Коммунальная машина МК-1500М.
w Выполнение разовых заказов и услуг промышленного характера.
Предприятие ОАО является самостоятельным хозяйствующим субъектом с правом юридического лица, имеет самостоятельный баланс, обособленное имущество, расчетный, валютный и другие счета в банках Российской Федерации и осуществляет свою деятельность на основе полного хозяйственного расчета и самофинансирования. Управление предприятием осуществляется в соответствии с законодательством Российской Федерации и Уставом предприятия. Предприятие самостоятельно определяет структуру органов управления и затраты на их содержание.
Руководитель предприятия без доверенности действует от имени предприятия, представляет его интересы, распоряжается имуществом предприятия, заключает договора, в том числе трудовые, выдает доверенности, открывает в банках расчетный и другие счета, пользуется правом распоряжения средствами, утверждает штаты, издает приказы и дает указания, обязательные для всех работников предприятия.
Финансовое состояние, ликвидность и платежеспособность организации в большей степени зависят от уровня деловой активности, оптимальности использования оборотного капитала, оценки его величины и структуры. В связи с тем, что оборотные средства формируют основную долю ликвидных активов фирмы, их величина должна быть достаточной для обеспечения ритмичной и равномерной работы организации и — как следствие — получения прибыли.
Использование оборотных средств в хозяйственной деятельности должно осуществляться на уровне, минимизирующем время и максимизирующем скорость обращения оборотного капитала и превращения его в реальную денежную массу для последующего финансирования и приобретения новых оборотных средств. Потребность в финансировании пропорционально зависит от скорости оборота активов.
Чем ниже оборачиваемость оборотных средств, тем больше потребность в привлечении дополнительных источников финансирования, так как у организации отсутствуют свои денежные средства для осуществления хозяйственной деятельности. Таким образом, показатели оборачиваемости оборотного капитала тесно связаны с платежеспособностью и ликвидностью структуры бухгалтерского баланса.
Наличие и эффективность оборотного капитала определяются и анализируются непосредственно по данным бухгалтерского баланса.
Изменение остатков оборотного капитала в целом и по его отдельным группам и элементам является следствием непрерывности производственного цикла, в процессе которого запасы потребляются, а их возобновление и пополнение возможно только в результате продажи продукции (работ, услуг) и получения денежных средств. Данные показатели участвуют в расчете коэффициентов оборачиваемости при анализе деловой активности организации.
Анализ динамики валюты баланса (суммы статей актива и пассива баланса) проводится путем сравнения баланса на начало и конец анализируемого периода по стр. 300. Воспользуемся данными приложения 1 и 2.
На начало года валюта баланса составляла 1443551 на конец - 1631863 тыс. руб.
Динамика изменения положительная: валюта баланса увеличилась (на 188312 тыс. руб., что говорит о повышении объема продажи и об улучшении финансового состояния предприятия.
Для анализа структуры и динамики актива баланса проведены расчеты, результаты которых приведены в таблице 1
Данные таблицы.1 свидетельствуют о повышении доли "Оборотных активов" в активе баланса с 40,06 до 46,30 %. В абсолютном выражении оборотные активы повысились на 177301 руб.
Таблица 1.
Результаты расчетов для анализа актива баланса
|
Статьи актива баланса |
Код строки баланса |
Абсолютные величины, тыс.руб. |
Удельные веса, % |
Изменения |
|||
|
На начало
периода, |
На конец
периода, |
На начало периода,
|
На конец периода,
|
В абсолютных величинах, тыс.руб. (гр.4-гр.3) |
В удельных весах, пунктов (гр.4-гр.3) |
||
|
1 |
2 |
3 |
4 |
5 |
6 |
7 |
8 |
|
I.Внеоборотные активы |
190 |
865268 |
876269 |
59.94 |
53.70 |
11001 |
-6.24 |
|
II.Оборотные активы |
290 |
578293 |
755594 |
40.06 |
46.30 |
177301 |
6.24 |
|
В том числе: Запасы |
210 |
449024 |
573275 |
31.11 |
35.13 |
124251 |
4.02 |
|
НДС по приобретенным ценностям |
220 |
16138 |
6560 |
1.12 |
0.40 |
-9578 |
-0.72 |
|
В том числе: Дебиторская задолженность (платежи по которым ожидаются более чем через 12 месяцев после отчетной даты) |
230 |
|
|
0.00 |
0.00 |
0 |
0.00 |
|
Дебиторская задолженность(платежи по которым ожидаются в течение 12 месяцев после отчетной даты) |
240 |
105837 |
174069 |
7.33 |
10.67 |
68232 |
3.34 |
|
Краткосрочные финансовые вложения |
250 |
|
|
0.00 |
0.00 |
0 |
0.00 |
|
Денежные средства |
260 |
7294 |
1690 |
0.51 |
0.10 |
-5604 |
-0.40 |
|
Прочие оборотные активы |
270 |
|
|
0.00 |
0.00 |
0 |
0.00 |
|
Баланс |
300 |
1443551 |
1631863 |
100 |
100 |
+188312 |
- |
Темп их прироста составил 30,6 %. Он ниже темпа прироста валюты баланса, который равен 13%
Иначе обстоят дела с внеоборотным капиталом, на конец периода в 2007оду отмечается значительное снижение доли оборотного капитала на 6,24% (59,94% - 53,7%), хотя в абсолютном выражении, наблюдается рост оборотного капитала на 11001 руб.
Динамика внеоборотного капитала имеет положительную тенденцию. За 2 года он вырос на 9743тыс. руб. на 1,11 %.
Понизилась доля «Денежных средств» на 5604 руб., на 76,83%
Изменения в оборотных активах произошли в основном за счет увеличения доли “Запасов”. В 2007 году произошло значительное увеличение «Запасов» на 124251 руб. это обстоятельство делает необходимым анализ структуры «Запасов».
Анализ структуры и динамики мы "Запасов" произвели на основе данных таблицы 2 и рисунка 5.
Таблица 2
Результаты расчетов для анализа запасов
|
Статьи актива баланса |
Код строки баланса |
Абсолютные величины, тыс.руб. |
Удельные веса, % |
Изменения |
|||
|
На начало периода, |
На конец периода, |
На начало периода,2006 г. |
На конец периода, |
В абсолютных величинах, тыс.руб. (гр.4-гр.3) |
В удельных весах, пунктов (гр.4-гр.3) |
||
|
Сырье, материалы и другие аналогичные ценности |
211 |
129570 |
143897 |
28.86 |
26.5 |
14327 |
-2.37 |
|
Затраты в незавершенном производстве |
213 |
150190 |
278639 |
33.45 |
51.3 |
128449 |
17.84 |
|
Готовая продукция и товары для перепродажи |
214 |
165607 |
146877 |
36.88 |
27.0 |
-18730 |
-9.85 |
|
Отгруженные товары |
215 |
1247 |
937 |
0.28 |
0.2 |
-310 |
-0.11 |
|
Расходы будущих периодов |
216 |
1883 |
2261 |
0.42 |
0.4 |
378 |
0.00 |
|
Прочие запасы и затраты |
217 |
527 |
664 |
0.12 |
0.1 |
137 |
0.00 |
|
Запасы |
210 |
449024 |
543275 |
100 |
100 |
94251 |
0.00 |

2006
2007

Рис.5 Результаты расчетов для анализа запасов
Результаты расчетов показали, что изменения в разделе "Запасы" вызваны повышением на 128449 руб. "Затрат в незавершенном производстве», их удельный вес повысился на 17,84 %
Значительные изменения произошли по статье «Готовой продукции и товаров для перепродажи», их количество уменьшилось на 18730 руб. или на 9,85 %.
Это говорит о том, что на предприятии увеличивается фондоотдача, не внедряются новые технологии, не происходит обновления производственного аппарата.
Анализ имущества предприятия проводится для выяснения общих тенденций изменений структуры баланса, выявления основных источников средств (разделы пассива баланса) и направлений их использования (разделы актива баланса). Результаты расчетов для анализа имущества предприятия содержатся в таблице 3.
Таблица 3
Результаты расчета для анализа имущества предприятия
|
Разделы актива баланса |
Удельные веса, %. |
Разделы пассива баланса |
Удельные веса, % |
|||
|
На начало периода,
|
На конец периода, |
На начало периода,
|
На конец периода,
|
|||
|
I,Внеоборотные ативы |
59.94 |
53.70 |
III.Капитал и резервы |
67.87 |
61.21 |
|
|
II. Оборотные активы |
40.06 |
46.30 |
IV.Долгосрочные пассивы |
3.61 |
10.37 |
|
|
В том числе: |
32.22 |
28.50 |
V краткосрочные пассивы |
28.52 |
28.42 |
|
|
Запасы и НДС |
||||||
|
Дебиторская задолженность |
7.33 |
10.67 |
В том числе: |
15.17 |
7.57 |
|
|
Заемные средства |
||||||
|
Другие оборотные активы |
0.51 |
0.10 |
Кредиторская задолженность |
12.90 |
20.46 |
|
|
|
|
|
Прочие краткосрочные пассивы |
0.45 |
0.39 |
|
|
Баланс |
100 |
100 |
Баланс |
100 |
100 |
Структура имущества предприятия за отчетный период показывает, что незначительно повысилась доля «Оборотных активов» с 40,06 до 46,30%, но в то же время снизилась доля «Капитала и резервов» с 67,87 до 61,21%.
Выросла доля «Дебиторской задолженности» с 7,33 до 10,67 %.
В связи с снижением объема продаж снизились и «Запасы» с 32,22 до 28,50%.
По результатам общей оценки финансового состояния можно сделать вывод, что финансовая политика данного предприятия решает кратковременные задачи на перспективу, но повышение роста валюты баланса говорит о достаточной платежеспособности предприятия.
Анализ ликвидности баланса производится для оценки кредитоспособности предприятия (способности рассчитываться по своим обязательствам).
Ликвидность определяется покрытием обязательств предприятия его активами, срок превращения которых в деньги соответствует сроку погашения обязательств.
Исходя из сформулированного определения, все обязательства предприятия группируются по срокам их наступления и изыскиваются активы (с аналогичными сроками превращения в деньги) для их погашения.
Активы предприятия по степени ликвидности подразделяются на четыре группы. Пассивы предприятия по срочности обязательств также подразделяются на четыре группы.
Для обеспечения абсолютной ликвидности баланса должна выполняться система неравенств:
|
А1 |
³ |
П1 |
|
А2 |
³ |
П2 |
|
А3 |
³ |
П3 |
|
А4 |
£ |
П4 |
Таким образом, все активы и пассивы предприятия делятся по срочности на четыре группы.
Неравенства 1 и 2 характеризуют текущую ликвидность, неравенства 3 и 4 перспективную
|
А1=250+260 |
П1=620+660 |
|||
|
2006 |
7294 |
£ |
186167 |
Не выполнено |
|
2007 |
1690 |
£ |
333932 |
Не выполнено |
|
год |
А2=240+270 |
П2=610 |
||
|
2006 |
105837 |
£ |
218955 |
Не выполнено |
|
2007 |
174069 |
³ |
123594 |
Выполнено |
|
А3=210+140-216 |
П3=590 |
|||
|
2006 |
459432 |
³ |
52111 |
Выполнено |
|
2007 |
583290 |
³ |
169149 |
Выполнено |
|
А4=190-140 |
П4=490+630+640+650-216 |
|||
|
2006 |
852967 |
£ |
984255 |
Выполнено |
|
2007 |
863993 |
£ |
1002157 |
выполнено |
Неравенство 1 не соблюдено, что говорит о не платежеспособности предприятия. В 2006 году было не соблюдено 2 неравенство, что говорит о перспективной платежеспособности на ближайшие 3 месяца. В 2007 году текущая платежеспособность удовлетворительная.
Соблюдение неравенства 3 и 4 свидетельствует о хорошей перспективной ликвидности предприятия. Но в реальной платежной ситуации менее ликвидные активы не могут заместить более ликвидные, а перспективная ликвидность – текущую.
Экономическая эффективность использования оборотных средств выражается в полезном результате, получаемым предприятием в ходе его деятельности. Она определяется их оборачиваемостью. От нее зависит не только размер минимально необходимых для хозяйственной деятельности оборотных средств, но и размер затрат, связанных с владением и хранением запасов. В свою очередь это отражается на себестоимости продукции и в конечном итоге на финансовых результатах предприятия. Все это обуславливает необходимость постоянного контроля за оборотными активами и анализа их оборачиваемости.
Анализу подвергаются следующие показатели:
1. оборачиваемость оборотных активов предприятия;
2. оборачиваемость дебиторской задолженности;
3. оборачиваемость товарно – материальных запасов.
При этом основное внимание уделяется расчету и анализу изменений следующих показателей:
· Скорость оборота оборотных активов
· Период оборота.
Анализ оборачиваемости оборотных активов (ОА) проводится на основе расчета следующих показателей:
![]()
2006год: 1200033/556731 = 2,155
2007год: 1441042/666944 = 2,160
Количество оборотов оборотных средств увеличилось и составило в 2007 году 2,16 против 2,15 оборотов в 2006 году, что означает увеличение отдачи в виде роста выручки от реализации на каждый рубль вложенных оборотных средств.
![]()
2006год: 360/2,155 = 167
2007год: 360/2,160 = 166
Длительность одного оборота в днях снизилась с167 до 166 дней
2007год: 1441042/360*(166-167) = - 4002
Как видно, на предприятии в результате роста эффективности использования оборотных средств произошло относительное высвобождение оборотных средств. Финансовый результат от ускорения оборачиваемости составил 4002 тыс. руб.
При анализе оборачиваемости дебиторской задолженности используются следующие показатели

2006 год: 1200033/140053 = 8,56
2007год: 1441042/139953 = 10,29
Количество оборотов дебиторской задолженности увеличилось и составило в 2007 году 8,56 против 10,29 оборотов в 2006 году, что означает увеличение отдачи в виде роста выручки от реализации на каждый рубль дебиторской задолженности.
![]()
2006год: 360/8,56 = 42
2007год: 360/10,29 = 34
Срок расчета покупателей в2007 году снизился с42 до 34 дней
![]()
2006год: 105837/578293*100 = 18,30
2007год: 174069/755594*100 = 23,04
В составе оборотных активов доля дебиторской задолженности в 2007 году увеличилась с 18,30 до 23,04%
Анализ оборачиваемости товарно – материальных запасов.
![]()
2006год: 1116607\398076 = 2,81
2007год: 1324758/511150 = 2,59
Количество оборотов запаса уменьшилось и составило в 2007 году 2,59 против 2,81 оборотов в 2006 году, что означает уменьшение отдачи в виде снижения себестоимости реализованной продукции на каждый рубль запасов.
![]()
2006год: 360/2,81 = 128
2007год: =360/2,59 = 138
Длительность хранения запасов увеличилась в 2007 году на10 дней и составила 138 дней.
Важнейшим показателем, отражающим конечные финансовые результаты деятельности, является рентабельность. Рентабельность характеризует прибыль, получаемую с каждого рубля средств, вложенных в предприятие или иные финансовые операции.

2006год: 64608/556731 = 11,60%
2007год: 106931/666944 = 16,03%
Таким образом, полученные данные показывают, что на предприятии произошел рост эффективности использования оборотных средств. Это выразилось в росте рентабельности оборотного капитала с 11,59% до 16,03%. Этот положительный сдвиг отразился на ускорении оборачиваемости оборотных средств. Длительность одного оборота в днях снизилась с167 до 166 дней. Количество оборотов оборотных средств увеличилось и составило в плановом периоде 2,16 против 2,15 оборотов в год в базисном периоде, что означает увеличение отдачи в виде роста выручки от реализации на каждый рубль вложенных оборотных средств.
Также, происходит увеличение оборота дебиторской задолженности с 8,56 до 10,29 оборотов Длительность одного оборота в днях снизилась, с 42 до 34 дней. Доля дебиторской задолженности увеличилась и составила 23,04% против 18,30%.это говорит о том, что дебиторская задолженность отвлекает средства из оборота, препятствует их эффективному использованию, следствием чего является напряженное финансовое состояние предприятия. Уровень дебиторской задолженности связан с принятой на предприятии системой расчетов, видом выпускаемой продукции и степенью насыщением ею рынка. На данном предприятии доля дебиторской задолженности значительно велика. Управление дебиторской задолженностью означает контроль финансовых служб за оборачиваемостью средств в расчетах.
На предприятие произошло снижение оборота запасов с 2,891 до 2,59 оборотов. Это приводит к уменьшению скорости оборота, совершаемого средствами запаса, означает, что предприятие не рационально и не эффективно использует средства запаса. В следствии этого происходит увелечение срока хранение запаса на 10 дней до 138 дней
Таким образом, можно сказать, что на предприятие произошел рост эффективности об этом говорит повышение рентабельности и увеличение валюты баланса. Но в этот же момент произошло увеличение дебиторской задолженности которая спровоцировала увеличение незавершенного производства. Это означает, что увеличилось число предметов труда, уже вступивших в в производственный процесс, но не прошедших всех операций обработки, предусмотренных технологическим процессом. Предприятию необходимо усовершенствовать свой технологический процесс.
ЗАКЛЮЧЕНИЕ
Таким образом, оборотный капитал — капитал, инвестируемый предприятием в текущие операции на период каждого операционного цикла. Оборотный капитал, как и основной, выражает определенные производственные отношения, складывающиеся с развитием предпринимательства. Он непосредственно участвует в создании новой стоимости, функционируя в процессе кругооборота всего капитала. При этом соотношение основного и оборотного капиталов влияет на величину получаемой прибыли. Оборотный капитал обращается быстрее, чем основной капитал. Поэтому с увеличением доли оборотного капитала в общей сумме авансированного капитала время оборота всего капитала сокращается, а следовательно, увеличивается возможность роста новой стоимости, т.е. прибыли.
Источники формирования оборотных активов в процессе их кругооборота не выделяются. В ходе производства информация о том, за счет каких средств приобретались потребляемое сырье, материалы, топливо, не играет роли. Однако система формирования оборотных средств оказывает влияние на ликвидность и оборачиваемость, замедляя или ускоряя их. Кроме того, характер источников формирования является решающим фактором, влияющим на эффективность использования оборотных активов. Рациональное формирование оборотных активов оказывает влияние на ход производства, на финансовые результаты и платежеспособность предприятия.
При анализе эффективности использования оборотного капитала оцениваются все составляющие операционного цикла и финансового цикла, выявляются резервы ускорения оборачиваемости оборотных средств.[1,C.269] Эффективность хозяйственной деятельности, устойчивое финансовое состояние могут быть достигнуты лишь при достаточном и согласованном контроле за движением прибыли, оборотного капитала и денежных средств. Основным финансовым критерием эффективности использования оборотных средств является их рентабельность, которая характеризует величину прибыли, приходящейся на рубль функционирующих оборотных средств. Рентабельность оборотных средств прямо пропорциональна рентабельности продаж и оборачиваемости оборотных средств. Этот вывод имеет важное значение для выработки стратегии предприятия по повышению финансовой эффективности деятельности. У предприятия есть два пути решения этой задачи: или рост рентабельности продаж, или увеличение оборачиваемости оборотных средств. Однако оборотные средства выступают наиболее активной частью общего капитала предприятия, и от их эффективного использования во многом зависит общая рентабельность использования капитала предприятия в целом. Чем больше доля оборотного капитала в его общем объеме, тем более ощутимо влияние этого фактора. На практике повышение уровня финансовой эффективности использования оборотных средств выступает важным резервом роста финансовой устойчивости предприятий и корпораций.
Проанализировав данные предприятия в ОАО «Машиностроительный завод им. М.И.Калинина, г. Екатеринбург» за 2007 год, можно сказать, что на предприятие произошел рост эффективности, об этом говорит повышение рентабельности и увеличение валюты баланса. Но в этот же момент произошло увеличение дебиторской задолженности которая спровоцировала увеличение незавершенного производства. Это означает, что увеличилось число предметов труда, уже вступивших в в производственный процесс, но не прошедших всех операций обработки, предусмотренных технологическим процессом. Предприятию необходимо усовершенствовать свой технологический процесс.
2. РАСЧЕТНАЯ ЧАСТЬ
Таблица 1
Смета I затрат на производство продукции общества с ограниченной ответственностью, тыс.руб.
|
N Стр. |
Статья затрат |
Вариант сметы 2 |
|
|
всего на год |
в т.ч. на IV квартал |
||
|
1 |
2 |
3 |
4 |
|
1 |
Материальные затраты (за вычетом возвратных отходов) |
33 000 |
8 250 |
|
2 |
Затраты на оплату труда |
17 440 |
4 360 |
|
3 |
Амортизация основных фондов * |
2 168 |
542 |
|
4 |
Прочие расходы - всего в том числе: |
5 914 |
1 479 |
|
4.1 |
а) уплата процентов за краткосрочный кредит |
360 |
100 |
|
4.2 |
б) налоги, включаемые в себестоимость в том числе: |
5 294 |
1 314 |
|
4.2.1 |
Единый социальный налог (26%)* |
4 534 |
1 134 |
|
4.2.2 |
прочие налоги |
760 |
180 |
|
4.3 |
в) арендные платежи и другие расходы |
260 |
65 |
|
5 |
Итого затрат на прозводство* |
58 522 |
14 631 |
|
6 |
Списано на непроизводственные счета |
715 |
267 |
|
7 |
Затраты на валовую продукцию * |
57 807 |
14 364 |
|
8 |
Изменение остатков незавершенного производства |
404 |
101 |
|
9 |
Изменение остатков по расходам будущих периодов |
20 |
5 |
|
10 |
Производственная себестоимость товарной продукции * |
57 383 |
14 258 |
|
11 |
Внепроизводственные (коммерческие) расходы |
5 266 |
1 413 |
|
12 |
Полная себестоимость товарной продукции * |
62 649 |
15 671 |
|
13 |
Товарная продукция в отпускных ценах (без НДС и акцизов) |
88 000 |
24 000 |
|
14 |
Прибыль на выпуск товарной продукции |
25 351 |
8 329 |
|
15 |
Затраты на 1 рубль товарной продукции |
0.71 |
0.65 |
Стр3 гр3=таб3стр8=2168
Стр3гр4=стр3гр3/4=2168/4=542
Стр4гр3=стр4.1гр3+стр4.2гр3+стр4.3гр3=360+5294+260=5914
Стр4гр4= стр4.1гр4+стр4.2гр4+стр4.3гр4=100+1314+65=1479
Стр4.2гр3=стр4.2.1гр3+стр4.2.2гр3=4534+760=5294
Стр4.2гр4= стр4.2.1гр4+стр4.2.2гр4=1134+180=1314
Стр4.2.1гр3=стр2гр3*0,26=17440*0,26=4534
Стр4.2.1гр4=стр2гр4*0,26=4360*0,26=1134
Стр5гр3=стр1гр3+стр2гр3+стр3гр3+стр4гр3=58522
Стр5гр4=стр5гр3/4=58522/4=14631
Стр7гр3=стр5гр3-стр6гр3=58522-715=57807
Стр7гр4=стр5гр4-стр.6гр4=14631-267=14364
Стр8гр3=таб10стр2гр8=404
Стр8гр4=стр8гр3/4=404/4=101
Стр10гр3=стр7гр3-стр8гр3-стр9гр3=57807-404-20=57383
Стр10гр4=стр7гр4-стр8гр4-стр9гр4=14364-101-5=14258
Стр12гр3=стр10гр3+стр11гр3=57383+5266=62649
Стр12гр4=стр10гр4+стр11гр4=14258+1413=15671
Стр14гр3=стр13-стр12=88000-6264925351
Стр14гр4=стр13гр4-стр12гр4=24000-15671=8329
Стр15гр3=стр12гр3/стр13гр3=62649/88000=0,71
Стр15гр4=стр12гр4/стр13гр4=15671/24000=0,65
Таблица 2
Данные к расчету амортизационных отчислений на основные производственные фонды
К смете I
Стоимость основных фондов, на которые начисляется амортизация на начало года — 15 530 тыс. руб.
|
февраль. |
май |
август |
ноябрь |
|
|
Плановый ввод в действие основных фондов, тыс. руб. |
4100 |
3600 |
||
|
Плановое выбытие основных фондов, тыс. руб. |
6360 |
1070 |
Среднегодовая стоимость полностью амортизированного оборудования (в действующих ценах) - 1030 тыс. руб. Средневзвешенная норма амортизационных отчислений -14.
Таблица 3
Расчет плановой суммы амортизационных отчислений и ее распределение
|
N строки |
Показатель |
Сумма, тыс.руб. |
|
1 |
2 |
3 |
|
1 |
Стоимость амортизируемых основных производственных фондов на начало года |
15 530 |
|
2 |
Среднегодовая стоимость вводимых основных фондов |
4 038 |
|
3 |
Среднегодовая стоимость выбывающих основных производственных фондов |
3 054 |
|
4 |
Среднегодовая стоимость полностью амортизированного оборудования (в действующих ценах) |
1 030 |
|
5 |
Среднегодовая стоимость амортизируемых основных фондов ( в действующих ценах) - всего |
15 484 |
|
6 |
Средняя норма амортизации |
14 |
|
7 |
Сумма амортизационных отчислений - всего |
2 168 |
|
8 |
Использование амортизационных отчислений на капитальные вложения |
2 168 |
Стоимость основных фондов, на которые начисляется амортизация на начало года – 15530 тыс. руб.
Среднегодовая стоимость полностью амортизированного оборудования – 1030 тыс. руб.
Среднегодовая стоимость вводимых основных фондов исчисляется, как:
![]()
где К1 – количество полных месяцев до конца года начиная с месяца следующего в который объект вводится в эксплуатацию.
К1 принимает значения:
|
I квартал |
II квартал |
III квартал |
IVквартал |
|
10,5 |
7,5 |
4,5 |
1,5 |
Следовательно 
Среднегодовая стоимость выбывающих основных фондов исчисляется, как:
![]()
где К2 – количество полных месяцев с начала года до месяца следующего за месяцем в котором объект выбывает из эксплуатации.
К2 принимает значения:
|
I квартал |
II квартал |
III квартал |
IVквартал |
|
1,5 |
4,5 |
7,5 |
10,5 |
Следовательно ![]()
Среднегодовая стоимость амортизируемых основных фондов:
15530+4038-3054-1030=15484 тыс.руб.
Сумма амортизируемых отчислений:
15484*14=2168 тыс. руб
Таблица 4
Даны к расчету объема реализации и прибыли
|
№ стр. |
Показатель |
Тыс. руб. |
|
1 |
2 |
3 |
|
1 |
Фактические остатки нереализованной продукции на начало года: |
|
|
1.1 |
а) в ценах базисного года без НДС и акцизов |
2500 |
|
1.2 |
б) по производственной себестоимости |
1950 |
|
2 |
Планируемые остатки нереализованной продукции на конец года: |
|
|
2.1 |
а) в днях запаса |
7 |
|
2.2 |
б) в действующих ценах (без НДС и акцизов) |
1867 |
|
2.3 |
в) по производственной себестоимости |
1109 |
|
Прочие доходы и расходы |
||
|
3 |
Выручка от реализации выбывшего имущества |
7600 |
|
4 |
Доходы, полученные по ценным бумагам (облигациям) |
940 |
|
5 |
Прибыль от долевого участия в деятельности других предприятий |
866 |
|
6 |
Расходы от реализации выбывшего имущества |
5340 |
|
7 |
Проценты к уплате |
543 |
|
8 |
Расходы на оплату услуг банков |
70 |
|
9 |
Доходы от прочих операций |
10960 |
|
10 |
Расходы по прочим операциям |
9100 |
|
11 |
Налоги, относимые на финансовые результаты |
1504 |
|
12 |
Содержание объектов социальной сферы - всего, том числе: |
1220 |
|
12.1 |
а) учреждения здравоохранения |
200 |
|
12.2 |
б) детские дошкольные учреждения |
730 |
|
12.3 |
в) содержание пансионата |
290 |
|
13 |
Расходы на проведение НИОКР |
200 |
Стр.2.2 = Таб. 1 стр.13 гр.4*стр2.1/90=24000*7/90=1867
Стр2.3= таб1стр10гр4*стр2.1/90=14258*7/90=1109
Стр7=таб8стр9гр3+таб8стр9гр4=514+29=543
Стр12=стр12,1+стр12,2+стр12,3=200+730+290=1220
Таблица 5
Расчет объема реализуемой продукции и прибыли
|
№стр. |
Показатель |
Сумма тыс.руб |
|
1 |
Фактические остатки нереализованной продукции на начало года: |
|
|
1.1 |
а) в ценах базисного года без НДС и акцизов |
2 500 |
|
1.2 |
б) по производственной себестоимости |
1 950 |
|
1.3 |
в) прибыль |
550 |
|
2 |
Выпуск товарной продукции (выполнение работ, оказание услуг): |
|
|
2.1 |
а) в действующих ценах без НДС и акцизов |
88 000 |
|
2.2 |
б) по полной себестоимости |
62 649 |
|
2.3 |
в) прибыль |
25 351 |
|
3 |
Планируемые остатки нереализованной продукции на конец года: |
|
|
3.1 |
а) в днях запаса |
7 |
|
3.2 |
б) в действующих ценах без НДС и акцизов |
1 867 |
|
3.3 |
в) по производственной себестоимости |
1 109 |
|
3.4 |
г) прибыль |
758 |
|
4 |
Объем продаж продукции в планируемом году: |
|
|
4.1 |
а) в действующих ценах без НДС и акцизов |
88 633 |
|
4.2 |
б) по полной себестоимости |
63 490 |
|
4.3 |
в) прибыль от продажи товарной продукции (работ, услуг) |
25 143 |
Стр1.1=таб4стр1.1=2500
Стр1.2=таб4стр1.2=1950
Стр1.3=стр1.1-стр1.2=2500-1950=550
Стр2.1=таб1стр13гр3=88000
Стр2.2=таб1стр12гр3=62649
Стр2.3=стр2.1-стр2.2=88000-62648=25351
Стр3.1=таб4гр2.1=7
Стр3.2=таб4стр2.2=1867
Стр3.3=таб4стр2.3=1109
Стр3.4=стр3.2-стр3.3=1867-1109=758
Стр4.1=стр1.1+стр2.1-стр3.2=2500+88000-1867=88633
Стр4.2=стр1.2+стр2.2-стр3.3=1950+62649-1109=63490
Стр4,3=стр4.1-стр4.2=25143
Таблица 6
Показатели по капитальному ремонту
|
№ п/п |
Показатели |
Тыс. руб. |
|
1 |
Капитальные затраты производственного назначений, в том числе: |
8100 |
|
1,1 |
объем строительно-монтажных работ, выполняемых хозяйственным способом |
3500 |
|
2 |
Капитальные затраты непроизводственного назначения |
3120 |
|
3 |
Норма плановых накоплений по смете на СМР, выполняемых хозяйственным способом, % |
9,41 |
|
4 |
Средства, поступающие в порядке долевого участия в жилищном строительстве |
710 |
|
5 |
Ставка процента за долгосрочный кредит, направляемый на капитальные вложения, % |
18 |
Таблица 7
Данные к расчету потребности в оборотных средствах
|
№ стр. |
Показатели |
Тыс. руб. |
|
1 |
Изменение расходов будущих периодов |
20 |
|
2 |
Прирост устойчивых пассивов |
230 |
|
3 |
Норматив на начало года: |
|
|
3.1 |
Производственные запасы |
3935 |
|
3.2 |
Незавершенное производство |
236 |
|
3.3 |
Расходы будущих периодов |
15 |
|
3.4 |
Готовая продукция |
501 |
|
4 |
Нормы запаса в днях: |
|
|
4.1 |
Производственные запасы |
45 |
|
4.2 |
Незавершенное производство |
4 |
|
4.3 |
Готовые изделия |
7 |
Таблица 8
Расчет источников финансирования кап. вложений, тыс.руб.
|
№ стр. |
Источник |
Капитальные вложения производственного назначения |
Капитальные вложения непроизводственного назначения |
|
1 |
2 |
3 |
4 |
|
1 |
Ассигнования из бюджета |
- |
- |
|
2 |
Прибыль, направляемая на капитальные вложения |
2 750 |
2 250 |
|
3 |
Амортизационные отчисления на основные производственные фонды |
2 168 |
- |
|
4 |
Плановые накопления по смете на СМР, выполняемые хозяйственным способом |
329 |
- |
|
5 |
Поступление средств на жилищное строительство в порядке долевого участия |
- |
710 |
|
6 |
Прочие источники |
- |
- |
|
7 |
Долгосрочный кредит банка |
2 853 |
160 |
|
8 |
Итого |
8 100 |
3 120 |
|
9 |
Проценты к уплате (ставка 18 % годовых) |
514 |
29 |
Стр2гр3=таб9стр2=2750
Стр2гр4=таб9стр3
Стр3гр3=таб1стр3гр3
Стр4 гр3=таб6стр1.1*таб6стр3/100=3500*9.41/100=329
Стр5гр4=таб6стр4
Стр7гр3=стр8гр3-стр2гр3-стр3гр3-стр4гр3-стр5гр3=8100-2750-2168-329=2853
Стр7гр4=стр8гр4-стр2гр4-стр5гр4=3120-2250-710=160
Стр8гр3=таб6стр1=8100
Стр8гр4=таб6стр2=3120
Стр9гр3=стр7*0,18=2853*0,18=514
Стр9гр4=стр7гр4*0,18=160*0,18=29
Таблица 9
Данные к распределению прибыли
|
№ стр. |
Показатель |
Вариант сметы |
|
1 |
2 |
3 |
|
1 |
Отчисления в резервный фонд |
3 000 |
|
2 |
Реконструкция цеха |
2 750 |
|
3 |
Строительство жилого дома |
2 250 |
|
4 |
Отчисления в фонд потребления - всего в том числе: |
3 020 |
|
4.1 |
а) на выплату материальной помощи работникам предприятия |
1 120 |
|
4.2 |
б) удешевление питания в столовой |
1 000 |
|
4.3 |
в) на выплату вознаграждения по итогам года |
900 |
|
5 |
Налоги из прибыли |
980 |
|
6 |
Погашение долгосрочных кредитов |
0 |
Стр4.=стр4.1+стр4.2+стр4.3=1120+1000+900=3020
Таблица 10
Расчет потребности предприятия в оборотных средствах
|
N N п/п |
Статьи затрат |
Норматив на начало года, тыс.руб. |
Затраты IY кв. тыс.руб.- всего |
Затраты IY кв. тыс.руб.- в день |
Нормы запасов, в днях |
Норматив на конец года, тыс.руб. |
Прирост (+), снижение (-) |
|
1 |
2 |
3 |
4 |
5 |
6 |
7 |
8 |
|
1 |
Производственные запасы |
3 935 |
8 250 |
92 |
45 |
4 140 |
205 |
|
2 |
Незавершенное производство |
236 |
14 364 |
160 |
4 |
640 |
404 |
|
3 |
Расходы будущих периодов |
15 |
- |
- |
- |
35 |
20 |
|
4 |
Готовые изделия |
501 |
14 258 |
158 |
7 |
1 106 |
605 |
|
5 |
Итого |
4 687 |
- |
- |
- |
5 921 |
1 234 |
|
|
Источники прироста |
|
|
|
|
|
|
|
6 |
Устойчивые пассивы |
|
|
|
|
|
230 |
|
7 |
Прибыль |
|
|
|
|
|
1 004 |
|
|
Прирост собственных средств |
|
|
|
|
|
1 234 |
Стр. гр.3 = Таб.7 стр.3.1 = 3935
Стр.2 гр.3=Таб.7 стр. 3.2 = 236
Стр3 гр3=таб7стр3.3=15
Стр4гр3=таб7стр3.4=501
Стр5гр3=стр1гр3+стр2гр3+стр3гр3+стр4гр3=3935+236+15+501=4687
Стр1гр4=таб1стр1гр4=8250
Стр2гр4=таб1стр7 гр4=14364
Стр4гр4=таб1стр10гр4=14258
Стр1гр5=стр1гр4/90=8250/90=92
Стр2гр5=стр2гр4/90=14364/90=160
Стр4гр5=стр2гр4/90=14258/90=158
Стр1гр6=таб7стр4.1=45
Стр2гр6=таб7стр4.2=4
Стр4гр6=таб7стр4.3=7
Стр. 1гр7=стр1гр5*стр1гр6=92*45=4140
Стр2гр7=стр2гр5*стр2гр6=160*4=640
Стр3гр7=стр3гр8+стр3гр3=20+15=35
Стр4гр7=стр4гр5*стр4гр6=158*7=1106
Стр5гр7=стр1гр7+стр2гр7+стр3гр7+стр4гр7=4140+640+35+1106=5921
Стр1гр8=стр1гр7-стр1гр3=4140-3935=6126
Стр2гр8=стр2гр7-стр2гр3=640-236=404
Стр3гр8=таб1стр9гр3=20
Стр4гр8=стр4гр7-стр4гр3=605
Стр5гр8=стр1гр8+стр2гр8+стр3гр8+стр4гр8=205+404+20+605=1234
Стр6гр8=таб7стр2=230
Стр7гр8=стр5гр8-стр6гр8=1234-230=1004
Таблица 11
Данные к расчету источников финансирования социальной сферы и НИОКР
|
№ стр. |
Показатель |
Вариант сметы I |
|
|
1 |
Средства родителей на содержание детей в дошкольных учреждениях |
50 |
|
|
2 |
Средства целевого финансирования |
100 |
|
|
3 |
Собственные средства, направляемые на содержание детских дошкольных учреждений |
730 |
|
|
4 |
Средства заказчиков по договорам на НИОКР |
200 |
|
|
5 |
Собственные средства, направляемые на НИОКР |
200 |
Таблица 12
Проект отчета о прибылях и убытках
|
№ стр. |
Показатель |
Сумма тыс. руб. |
|
1 |
2 |
3 |
|
1. Доходы и расходы по обычным видам деятельности |
||
|
1 |
Выручка (нетто) от продажи продукции в планируемом году: |
88 633 |
|
2 |
Себестоимость реализуемой продукции в планируемом году |
63 490 |
|
3 |
Прибыль (убыток) от продажи |
25 143 |
|
2 Прочие доходы и расходы |
||
|
4 |
Проценты к получению |
940 |
|
5 |
Проценты к уплате |
543 |
|
6 |
Доходы от участия в других организациях |
866 |
|
7 |
Прочие доходы |
18 560 |
|
8 |
Прочие расходы – всего, в том числе: |
17 434 |
|
8.2 |
а) содержание учреждений здравоохранения |
200 |
|
8.2 |
б) содержание детских дошкольных учреждений |
730 |
|
8.3 |
в) содержание пансионата |
290 |
|
8.4 |
г) расходы на проведение НИОКР |
200 |
|
8.5 |
д) налоги, выплачиваемые из прибыли |
1 504 |
|
8.6 |
е) прочие расходы |
14 510 |
|
9 |
Прибыль (убыток) планируемого года |
27 532 |
Стр1 = таб5стр4.1=88633
Стр2=таб5стр4.2=63490
Стр3=стр1-стр2=88633-63490=25143
Стр4= таб4стр4=940
Стр5= таб4стр7=543
Стр6= таб4стр5=866
Стр7=таб4(стр3+стр9)=7600+10960=18560
Стр8=стр8.1+стр8.2+стр8.3+стр8.4+стр8.5+стр8.6=200+730+290+200+1504+14510=17343
Стр8.1=т4стр12.1=200
Стр8.2=таб4стр12.2=730
Стр8.3=таб4стр12.3=290
Стр8.4=таб4стр13=200
Стр8.5=таб4стр11=1504
Стр8.6=таб5(стр6+стр8+стр10)=5340+70+9100=14510
Стр9=стр3+стр4-стр5+стр6+стр7-стр8=25143+940-543+866+18560-17434=27532
Таблица 13
Расчет налога на прибыль
|
№ стр. |
Показатель |
Сумма тыс. руб. |
|
1 |
2 |
3 |
|
1 |
Прибыль –всего, в том числе |
27 532 |
|
1.1 |
Прибыль, облагаемая по ставке 9% |
1 806 |
|
1.2 |
Прибыль, облагаемая по ставке 24% |
25 726 |
|
2 |
Сумма налога к уплате по ставке 24% - всего, в том числе: |
6 174 |
|
2.1 |
В федеральный бюджет |
1 672 |
|
2.2 |
В бюджет субъекта Федерации |
4 502 |
|
2.3 |
В местный бюджет |
- |
|
3 |
Сумма налога к уплате по ставке 9% - всего, в том числе: |
163 |
|
3.1 |
В федеральный бюджет |
163 |
|
3.2 |
В бюджет субъекта Федерации |
- |
|
3.3 |
В местный бюджет |
- |
|
4 |
Общая сумма налога в федеральный бюджет |
1 835 |
|
5 |
Общая сумма налога в бюджет Федерации |
4 502 |
|
6 |
Общая сумма налога в местный бюджет |
|
|
7 |
Итого сумма налога на прибыль (по ставке24 и 9%) |
6 337 |
|
8 |
Прибыль, остающаяся в распоряжении предприятия после уплаты налога на прибыль (по ставке24 и 9%) |
21 195 |
Стр1=таб12стр9=27532
Стр1.1= таб12(стр4+стр.6)=866+940=1806
Стр1.2=стр1-стр1.1=27532-1806=25726
Стр2=стр1.2*0,24=25726*0,27=6174
Стр2.1=стр1.2*0.065=25726*0.065=1672
Стр2.2=стр1.2*0,175=25726*0,175=4502
Стр3=стр1.1*0,09=1806*0,09=163
Стр3.1=стр3=163
Стр4=стр2.1+стр3.1=1672+163=1835
Стр5=стр2.2+стр3.2=4502
Стр7=стр2+стр3=6174+163=6337
Стр8=стр1-стр7=27532-6337=21195
Таблица 14
Распределение прибыли планируемого года
|
№ стр. |
Показатель |
Сумма, тыс. руб. |
|
1 |
2 |
3 |
|
1 |
Всего прибыль |
27 532 |
|
2 |
Отчисления в резервный фонд |
3 000 |
|
3 |
Капитальные вложения производственного назначения (реконструкция цеха) |
2 750 |
|
4 |
Капитальные вложения непроизводственного назначения (строительство жилого дома) |
2 250 |
|
5 |
Отчисления в фонд потребления - всего в том числе: |
3 020 |
|
5.1 |
а) на выплату материальной помощи работникам предприятия |
1 120 |
|
5.2 |
б) удешевление питания в столовой |
1 000 |
|
5.3 |
в) на выплату вознаграждения по итогам года |
900 |
|
6 |
Прирост оборотных средств |
1 004 |
|
7 |
Налоги, выплачиваемые из прибыли |
980 |
|
8 |
Налог на прибыль 24% |
6 174 |
|
9 |
Налог на прочие доходы 9% |
163 |
|
10 |
Погашение долгосрочного кредита |
1000 |
|
11 |
Остаток не распределенной прибыли по выплате дивидендов |
27532 |
|
12 |
Выплата дивидендов |
9699 |
|
13 |
Нераспределенная прибыль |
17833 |
Стр1=таб13стр1=27532
Стр2=таб9стр1=3000
Стр3=таб9стр2=2750
Стр4=таб9стр3=2250
Стр5=стр5.1+стр5.2+стр5.3=1120+1000+900=3020
Стр5.1=таб9стр4.1=1120
Стр5.2=таб9стр4.2=1000
Стр5.3=таб9стр4.3=900
Стр6=таб10стр7=1004
Стр7=таб9стр5=980
Стр8=таб13стр2=6174
Стр9=таб13стр3=163
Стр.11 = Т.12 С.9=27532,
Стр. 12 = Т.14 С.11 – Т.14 С.(2+3+4+5+6+7+8+9+10)=9699,
Стр. 13 = Т.14 С.11 – Т.14 С.12=17833.
|
Таблица 15 Проверка соответствия доходов и расходов |
|||||||||||||
|
№ стр |
Доходы расходы |
Выручка от продажи |
средства целевого финансирования |
поступления от родителей за содержание детей в дошкольных учреждениях |
Прирост устойчивых пассивов |
Прочие доходы |
Накопления по сСМР выполняемым хозяйственным способом |
Средства, поступающие от заказчиков по договорам на НИОКР |
Средства, поступающие в порядке долевого участия в жилищном строительстве |
Высвобождение средств из оборота (мобилизация) |
получение новых займов, кредитов |
Прибыль |
Итого расходов |
|
1 |
Затраты |
56 028 |
|
|
|
|
|
|
|
|
|
|
56 028 |
|
2 |
Платежи в бюджет - всего в том числе: |
|
|
|
|
|
|
|
|
|
|
|
0 |
|
2.1 |
Налоги, включаемые в себестоимость продукции |
5 294 |
|
|
|
|
|
|
|
|
|
|
5 294 |
|
2.2 |
Налог на прибыль |
|
|
|
|
|
|
|
|
|
|
6 337 |
6 337 |
|
2.3 |
Налоги, уплачиваемые за счет прибыли, остающейся в распоряжении предприятия |
|
|
|
|
|
|
|
|
|
|
980 |
980 |
|
2.4 |
Налоги, относимые на финансовые результаты |
|
|
|
|
|
|
|
|
|
|
1 504 |
1 504 |
|
3 |
Выплаты из фонда потребления (материальная помощь и др.) |
|
|
|
|
|
|
|
|
|
|
3 020 |
3 020 |
|
4 |
Прирост собственных оборотных средств |
|
|
|
230 |
|
|
|
|
|
|
1 004 |
1 234 |
|
5 |
Кап. вложения производственного назначения |
2 168 |
|
|
|
|
329 |
|
|
|
2 853 |
2 750 |
8 100 |
|
6 |
Кап. вложения непроизводственного назначения |
|
|
|
|
|
|
|
710 |
|
160 |
2 250 |
3 120 |
|
7 |
Затраты на проведение НИОКР |
|
|
|
|
|
|
200 |
|
|
|
0 |
200 |
|
8 |
Прочие расходы |
|
|
|
|
12936 |
|
|
|
|
|
0 |
129360 |
|
9 |
Содержание объектов социальной сферы |
|
100 |
50 |
|
|
|
|
|
|
|
680 |
830 |
|
10 |
Погашение долгосрочных кредитов |
|
|
|
|
|
|
|
|
|
1000 |
1000 |
|
|
11 |
Уплата процентов по долгосрочным кредитам |
|
|
|
|
|
|
|
|
|
|
543 |
543 |
|
12 |
Выплата дивидендов |
|
|
|
|
|
|
|
|
|
|
9699 |
9699 |
|
13 |
Отчисления в резервный фонд |
|
|
|
|
|
|
|
|
|
|
3 000 |
3 000 |
|
14 |
Прибыль |
25 143 |
|
|
|
5 624 |
|
|
|
|
|
|
30 767 |
|
15 |
Итого доходов |
88 633 |
100 |
50 |
230 |
18 560 |
329 |
200 |
710 |
0 |
3 013 |
30 767 |
141 592 |
Строка 1.1 (56028) = Т.16 С.027,
строка 1.12 (56028) = Т.15 С.1.1,
строка 2.1.1 (5294) = Т.16 С.029,
строка 2.1.12 (5294) = Т.15, С. 2.1.1,
строка 2.2.11 (6337) = Т. 14 С.8 + Т.14 С.9,
строка 2.2.12 (6337) =Т.15 С.2.2.11,
строка 2.3.11 (980) = Т.14 С.7,
строка 2.3.12 (980) = Т.15 С.2.3.11,
строка 3.11 (3020) = Т.14 С.5,
строка 3.12 (3020) = Т.15 С.3.11,
строка 4.4 (230) = Т.7 С.2,
строка 4.11 (1004) = Т.14 С.6,
строка 4.12 (1234) = Т.15 С.4.4 + Т.15 С.4.11,
строка 5.1 (2168) = Т.3 С.8,
строка 5.6 (329) = Т.8 С.4.1,
строка 5.10 (2853) = Т.8, С. 7.1,
строка 5.11 (2750) = Т.14 С.3,
строка 5.12 (8100) = Т.15 С.5.1 + Т.15 С.5.6 + Т.15 С.5.10 + Т.15 С.5.11,
строка 6.8 (710) = Т.8 С.5.2,
строка 6.10 (160) = Т.8 С.7.2,
строка 6.11 (2250) = Т.14 С.4,
строка 6.12 (3120) = Т.15 С.6.8 + Т.15 С.6.10 + Т.15 С.6.11,
строка 7.7 (200) = Т.11 С.4,
строка 7.12 (20) = Т.15 С.7.7,
строка 8.5 (12936) = Т.4 С.4 + Т.4 С.10 – Т.4 С.11,
строка 8.12 (12936) = Т.15 С.8.5,
строка 9.2 (100) = Т.11 С.2,
строка 9.3 (50) = Т.11 С.1,
строка 9.11 (680) = Т.11 С.3 – Т.11 С.1,
строка 9.12 (830) = Т.15 С.9.2 + Т.15 С.9.3 + Т.15 С.9.11,
строка 10.11 (1000) = Т.14 С.10,
строка 10.12 (1000) = Т.15 С.10.11,
строка 11.11 (543) = Т.12 С.5,
строка 11.12 (543) = Т.15 С.11.11,
строка 12.11 (9699) = Т. 14 С.12,
строка 12.12 (9699) = Т.15 С.12.11,
строка 13.11 (3000) = Т. 14 С.2,
строка 13.12 (3000) = Т.15 С.13.11,
строка 14.1 (25143) = Т.5 С.4.3,
строка 14.5 (5624) = Т.4 С3 + Т.4 С.9 – Т.15 С.8,
строка 14.12 (32573) = Т.15 С.14.1 + Т.15 С.14.5,
строка 15.1 (88633) = Т.15 С.1.1 + Т.15 С.2.1.1 + Т.15 С.5.1 + Т.15 С.14.1,
строка 15.2 (100) = Т.15 С.9.2,
строка 15.3 (50) = Т.15 С.9.3,
строка 15.4 (230) = Т.15 С.4.4,
строка 15.5 (18560) = Т.15 С.8.5 + Т.15 С.14.5,
строка 15.6 (329) = Т.15 С.5.6,
строка 15.7 (200) = Т.15 С.7.7,
строка 15.8 (710) = Т.15 С.6.8,
строка 15.10 (3013) = Т.15 С.5.10 + Т.15 С.6.10,
строка 15.11 (32573) = Т.15 С.2.2.11 + Т.15 С.2.3.11 + Т.15 С.2.4.11 + Т.15 С.3.11 + Т.15 С.4.11 + Т.15 С.5.11 + Т.15 С.6.11 + Т.15 С.7.11 + Т.15 С.9.11 + Т.15 С.10.11 + Т.15 С.11.11 + Т.15 С.12.11 + Т.15 С.13.11.
Таблица16
Баланс доходов и расходов (финансовый план)
|
Шифр строки |
Разделы и статьи баланса |
Сумма, тыс.руб. |
|
1 |
I. Поступления (приток денежных средств) |
|
|
2 |
А. От текущей деятельности |
|
|
3 |
Выручка от реализации продукции, работ, услуг (без НДС, акцизов и таможенных пошлин) |
88 633 |
|
4 |
Прочие поступления: |
150 |
|
5 |
средства целевого финансирования |
100 |
|
6 |
поступления от родителей за содержание детей в дошкольных учреждениях |
50 |
|
7 |
Прирост устойчивых пассивов |
230 |
|
8 |
Итого по разделу А |
89 013 |
|
9 |
Б. От инвестиционной деятельности |
|
|
10 |
Выручка от прочей реализации (без НДС) |
7 600 |
|
11 |
Доходы от внереализационных операций |
10 960 |
|
12 |
Накопления по строительно-монтажным работам, выполняемым хозяйственным способом |
329 |
|
13 |
Средства, поступающие от заказчиков по договорам на НИОКР |
200 |
|
14 |
Средства, поступающие в порядке долевого участия в жилищном строительстве |
710 |
|
15 |
Высвобождение средств из оборота (мобилизация) |
|
|
16 |
Итого по разделу Б |
19 799 |
|
17 |
В. От финансовой деятельности |
|
|
18 |
Увеличение уставного капитала |
|
|
19 |
Доходы от финансовых вложений |
1 806 |
|
20 |
Увеличение задолженности, в том числе: |
3 013 |
|
21 |
получение новых займов, кредитов |
3 013 |
|
22 |
выпуск облигаций |
|
|
23 |
Итого по разделу В |
4 819 |
|
24 |
Итого доходов |
113 631 |
|
25 |
II. Расходы (отток денежных средств) |
|
|
26 |
А. По текущей деятельности |
|
|
27 |
Затраты на производство реализованной продукции (без амортизационных отчислений и налогов, относимых на себестоимость) |
56 028 |
|
28 |
Платежи в бюджет - всего |
14 115 |
|
|
в том числе: |
|
|
29 |
Налоги, включаемые в себестоимость продукции |
5 294 |
|
30 |
Налог на прибыль и налог на прочие доходы |
6 337 |
|
31 |
Налоги, уплачиваемые за счет прибыли, остающейся в распоряжении предприятия |
980 |
|
32 |
Налоги, относимые на финансовые результаты |
1 504 |
|
33 |
Выплаты из фонда потребления (материальная помощь и др.) |
3 020 |
|
34 |
Прирост собственных оборотных средств |
1 234 |
|
35 |
Итого по разделу А |
74 397 |
|
36 |
Б. По инвестиционной деятельности |
|
|
37 |
Инвестиции в основные фонды и нематериальные активы - всего |
11 420 |
|
|
из них: |
|
|
38 |
Капитальные вложения производственного назначения |
8 100 |
|
39 |
Капитальные вложения непроизводственного назначения |
3 120 |
|
40 |
Затраты на проведение НИОКР |
400 |
|
41 |
Платежи по лизинговым операциям |
|
|
42 |
Долгосрочные финансовые вложения |
|
|
43 |
Расходы по прочей реализации |
5 340 |
|
44 |
Расходы по внереализационным операциям |
7 596 |
|
45 |
Содержание объектов социальной сферы |
830 |
|
47 |
Итого по разделу Б |
25 386 |
|
48 |
В. От финансовой деятельности |
|
|
49 |
Погашение долгосрочных кредитов |
|
|
50 |
Уплата процентов по долгосрочным кредитам |
543 |
|
51 |
Краткосрочные финансовые вложения |
|
|
52 |
Выплата дивидендов |
10 699 |
|
53 |
Отчисления в резервный фонд |
3 000 |
|
55 |
Итого по разделу В |
13242 |
|
56 |
Итого расходов |
113025 |
|
57 |
Превышение доходов над расходами (+) |
606 |
|
58 |
Превышение расходов над доходами (-) |
|
|
59 |
Сальдо по текущей деятельности |
14 616 |
|
60 |
Сальдо по инвестиционной деятельности |
-5 587 |
|
61 |
Сальдо по финансовой деятельности |
-8 423 |
Строка 003 (88633) = Т.5 С.4.1
строка 004 (150) = Т.16 С.005 + Т.16 С.006
строка 005 (100) = Т.11 С.2,
строка 006 (50) = Т.11 С.1,
строка 007 (230) = Т.7 С.2,
строка 008 (89013) = Т.16 С.003 + Т.16 С.004 + Т.16 С.007,
строка 010 (7600) = Т.4 С.3,
строка 011 (10960) = Т.4 С.9,
строка 012 (329) = Т.4 С.5,
строка 013 (200) = Т.8 С.4,
строка 014 (710) = Т.6 С.4,
строка 016 (19799) = Т.16 С.010 + Т.16 С.011 + Т.16 С.012 + Т.16 С.013 + Т.16 С.014,
строка 019 (1806) = Т.4 С.4 + Т.4 С.5,
строка 020 (3013) = Т.16 С.021,
строка 021 (3013) = Т.8 С.7.1,
строка 023 (4819) = Т.16 С.019 + Т. 16 С.020,
строка 024 (113631) = Т.16 С.008 + Т.16 С.016 + Т.16 С.023,
строка 027 (56028) = Т.5 С.4.2 – Т.1 С.3.1 – Т.1 С.4.2.1,
строка 028 (14115) = Т.16 С.029+ Т.16 С.030 + Т.16 С.031 + Т.16 С.032,
строка 029 (5294) = Т.1 С.4.2.1,
строка 030 (6337) = Т.13. с.7,
строка 031 (980) = Т.14 С.7,
строка 032 (1504) = Т.4 С.11,
строка 033 (3020) = Т.14 С.5,
строка 034 (1234) = Т.14 С.6 + Т.10 С.6,
строка 035 (74397) = Т.16 С.027 + Т.16 С.028 + Т.16 С.033 + Т.16 С.034,
строка 037 (11420) = Т.16 С.038 + Т.16 С.039 + Т.16 С.040,
строка 038 (8100) = Т.8 С.8.1,
строка 039 (3120) = Т.8 С.8.2,
строка 040 (400) = Т.11 С.4 + Т.11 С.5,
строка 043 (5340) = Т.4 С.6,
строка 044 (7596) = Т.4 С.10 – Т.4 С.11,
строка 045 (830) = Т.11 С.1 + Т.11 С.2 + Т.11 С.3,
строка 047 (25386) = Т.16 С.037 + Т.16 С.043 + Т.16 С.044 + Т.16 С.045,
строка 050 (543) = Т.4 С.7,
строка 052 (9699) = Т.14 С.12,
строка 053 (3000) = Т.14 С.2,
строка 055 (13242) = Т.16 С.050 + Т.16 С.052 + Т.16 С.053,
строка 056 (113025) = Т.16 С.035 + Т.16 С. 047 + Т.16 С.055,
строка 057 (606) = Т.16 С.024 – Т.16 С.056,
строка 059 (14616) = Т.16 С.008 – Т.16 С.035,
строка 060 (-5587) = Т.16 С.016 – Т.16 С.047;
строка 061 (-8423) = Т.16 С.023 – Т.16 С.055.
Пояснительная записка
Баланс доходов и расходов (финансовый план) раскрывает текущее положение предприятия и степень финансовых рисков. Результаты финансового плана непосредственно влияют на анализ и прогнозирование доходов и расходов предприятия.
Баланс доходов и расходов состоит из двух основных частей – I. Поступления (приток денежных средств), II. Расходы (отток денежных средств). Каждая часть финансового плана учитывает приток (отток) денежных средств по текущей, инвестиционной и финансовой деятельности.
Поступление от текущей деятельности составляет 89013 тыс. руб., от инвестиционной – 19799, от финансовой деятельности – 4819.
Расход соответственно по выше перечисленным видам деятельности – 74397, 25386, 13242.
На основании финансового плана можно сделать вывод о том, что большая часть поступает на предприятие от основного вида деятельности.
Основным источником дохода от текущей деятельности является выручка от реализации продукции (работ, услуг), а основным источником расходов – затраты на производство реализованной продукции (без амортизационных отчислений и налогов, относимых на себестоимость). Текущая деятельность предприятия строится на принципе хозяйственной самостоятельности, то есть направляет вложения денежных средств в целях извлечения прибыли.
По основному виду деятельности сальдо положительное (14616)
Сальдо по инвестиционной деятельности отрицательное (-5587). Это говорит о плановом увеличении потребности в оборотных средствах в связи с расширением капитальных вложений.
Сальдо от финансового вида деятельности отрицательное (-8423). Данные расходы не оправдывают доходы. Можно сказать, что необходимо снизить выплату дивидендов, снизить отчисления в резервный фонд и направить денежные средства на развитие производства с целью увеличения имущества предприятия.
В условиях рыночных отношений целью предпринимательской деятельности является получение прибыли, в данном примере предприятие получает прибыль в результате своей деятельности, и, несмотря на то, что вынуждено пользоваться заемными средствами в виде долгосрочного кредита банка оно имеет средства для развития производства. Финансовый план помог проверить реальность источников поступления средств и притока, оттока денежных средств, принять решение о возможных способах финансирования в случае возникновения дефицита средств. Распределение прибыли на данном предприятии осуществляется разумно и логично.
СПИСОК ЛИТЕРАТУРЫ
1. Ионова А.Ф., Селезнева Н.Н. Финансовый анализ: Учебник –М.: ТК Велби, изд Проспект, 2008
2.Финансы предприятий: Учебник для вузов/ Н.В.Колчина, Г.Б.Поляк, Л.П. Павлова и др.; Под ред. Проф. Н.В.Колчиной. – 2-е изд., перераб. и доп. – М.: ЮНИТИ –ДАНА,2005
3. Финансы предприятий: Учебник /под ред. Романовского М.В.-С-П.; изд. дом Бизнес- пресса, 2000
ПРИЛОЖЕНИЯ
ПРИЛОЖЕНИЕ 1
|
К О Д Ы |
|||||||||
|
БУХГАЛТЕРСКИЙ БАЛАНС |
Форма №1 по ОКУД |
0710001 |
|||||||
|
на 31 декабря 2006 года |
Дата (год,месяц,число) |
20.03.2007 |
|||||||
|
Организация: ОАО "Машиностроительный завод им.М.И.Калинина" |
по ОКПО |
7509511 |
|||||||
|
Идентификационный номер налогоплательщика |
ИНН |
||||||||
|
Отрасль (вид деятельности) машиностроение |
по ОКВЭД |
29.60 |
|||||||
|
Организационно-правовая форма ОАО |
по ОКОПФ/ОКФС |
47/41 |
|||||||
|
Единица измерения: тыс. руб. |
по ОКЕИ |
384 |
|||||||
|
Адрес:
Россия, |
|||||||||
|
Дата утверждения |
|
||||||||
|
Дата отправки (принятия) |
|
||||||||
|
АКТИВ |
Код стр. |
На начало отчётного периода |
На конец отчётного периода |
||||||
|
1 |
2 |
3 |
4 |
||||||
|
I. Внеоборотные активы |
|
|
|
||||||
|
Нематериальные активы, в том числе: |
110 |
267 |
392 |
||||||
|
|
патенты, лицензии, товарные знаки (знаки обслуживания), иные аналогичные с перечисленными права и активы |
111 |
267 |
392 |
|||||
|
Основные средства, в том числе: |
120 |
848 477 |
842 429 |
||||||
|
|
земельные участки и объекты природопользования |
121 |
286 003 |
286 003 |
|||||
|
|
здания, сооружения, машины и оборудование |
122 |
562 474 |
556 426 |
|||||
|
Незавершенное строительство |
130 |
4 119 |
21 073 |
||||||
|
Доходные вложения в материальные ценности |
135 |
0 |
0 |
||||||
|
Долгострочные финансовые вложения, в том числе: |
140 |
12 291 |
12 276 |
||||||
|
|
инвестиции в зависимые общества |
141 |
1 851 |
1 851 |
|||||
|
|
инвестиции в другие организции |
142 |
10 440 |
10 425 |
|||||
|
Отложенные налоговые активы |
145 |
10 |
5 |
||||||
|
Прочие внеоборотные активы |
150 |
94 |
94 |
||||||
|
|
Итого по разделу I |
190 |
865 258 |
876 269 |
|||||
|
II. Оборотные активы |
|
|
|
||||||
|
Запасы, в том числе: |
210 |
449 024 |
573 275 |
||||||
|
|
сырье,материалы и другие аналогичные ценности |
211 |
129 570 |
143 897 |
|||||
|
|
затраты в незавершенном производстве (издержках обращения) |
213 |
150 190 |
278 639 |
|||||
|
|
готовая продукция и товары для перепродажи |
214 |
165 607 |
146 877 |
|||||
|
|
товары отгруженные |
215 |
1 247 |
937 |
|||||
|
|
расходы будущих периодов |
216 |
1 883 |
2 261 |
|||||
|
|
прочие запасы и затраты |
217 |
527 |
664 |
|||||
|
Налог на добавленную стоимость по приобретенным ценностям |
220 |
16 138 |
6 560 |
||||||
|
Дебиторская задолженность (платежи по которой ожидаются более чем через 12 месяцев после отчетной даты), в том числе: |
230 |
0 |
0 |
||||||
|
|
покупатели и заказчики |
231 |
0 |
0 |
|||||
|
Дебиторская задолженность (платежи по которой ожидаются в течение 12 месяцев после отчетной даты), в том числе: |
240 |
105 837 |
174 069 |
||||||
|
|
покупатели и заказчики |
241 |
61 108 |
54 232 |
|||||
|
|
задолженность участников (учредителей) по взносам в уставный капитал |
242 |
0 |
0 |
|||||
|
|
авансы выданные |
243 |
40 849 |
94 049 |
|||||
|
|
прочие дебиторы |
244 |
3 880 |
25 788 |
|||||
|
Краткосрочные финансовые вложения (58, 59, 81), в том числе: |
250 |
0 |
0 |
||||||
|
|
займы, предоставленные организациям на срок не менее 12 месяцев |
251 |
0 |
0 |
|||||
|
|
собственные акции, выкупленные у акционеров |
252 |
0 |
0 |
|||||
|
|
прочие краткосрочные финансовые вложения |
253 |
0 |
0 |
|||||
|
Денежные средства, в том числе: |
260 |
7 294 |
1 690 |
||||||
|
|
касса |
261 |
2 |
20 |
|||||
|
|
расчетные счета |
262 |
7 140 |
1 501 |
|||||
|
|
валютные счета |
263 |
5 |
14 |
|||||
|
|
прочие денежные средства |
264 |
147 |
155 |
|||||
|
Прочие оборотные активы |
270 |
0 |
0 |
||||||
|
|
Итого по разделу II |
290 |
578 293 |
755 594 |
|||||
|
|
БАЛАНС (сумма строк 190 + 290) |
300 |
1 443 551 |
1 631 863 |
|||||
|
ПАССИВ |
Код стр. |
На начало отчётного периода |
На конец отчётного периода |
||||||
|
1 |
2 |
3 |
4 |
||||||
|
III. Капитал и резервы |
|
|
|
||||||
|
Уставный капитал |
410 |
16 551 |
16 551 |
||||||
|
Добавочный капитал |
420 |
901 673 |
901 669 |
||||||
|
Резервный капитал, в том числе: |
430 |
828 |
828 |
||||||
|
|
резервные фонды, образованные в соотвествии с законодательством |
431 |
828 |
828 |
|||||
|
|
резервы, образованные в соответствии с учредительными документами |
432 |
0 |
0 |
|||||
|
Нераспределенная прибыль (непокрытый убыток) |
470 |
60 730 |
79 836 |
||||||
|
|
нераспределенная прибыль (непокрытый убыток) прошлых лет |
471 |
60 730 |
50 730 |
|||||
|
|
нераспределенная прибыль (непокрытый убыток) отчетного года |
472 |
0 |
29 106 |
|||||
|
|
Итого по разделу III |
490 |
979 782 |
998 884 |
|||||
|
IV. Долгосрочные обязательства |
|
|
|
||||||
|
Займы и кредиты |
510 |
32 813 |
140 140 |
||||||
|
Отложенные налоговые обязательства |
515 |
19 298 |
29 009 |
||||||
|
Прочие долгосрочные обязательства |
520 |
0 |
0 |
||||||
|
|
Итого по разделу IV |
590 |
52 111 |
169 149 |
|||||
|
V. Краткосрочные обязятельства |
|
|
|
||||||
|
Займы и кредиты |
610 |
218 955 |
123 594 |
||||||
|
Кредиторская задолженность, в том числе: |
620 |
186 158 |
333 932 |
||||||
|
|
поставщики и подрядчики |
621 |
67 240 |
85 299 |
|||||
|
|
задолженность перед персоналом организации |
622 |
25 621 |
28 327 |
|||||
|
|
задолженность перед государственными внебюджетными фондами |
623 |
9 670 |
9 575 |
|||||
|
|
задолженность по налогам и сборам |
624 |
23 976 |
20 517 |
|||||
|
|
прочие кредиторы, в том числе: |
625 |
59 651 |
190 214 |
|||||
|
|
авансы полученные |
627 |
48 680 |
186 315 |
|||||
|
Задолженность участникам(учредителям)по выплате доходов |
630 |
6 536 |
5 534 |
||||||
|
Доходы будущих периодов |
640 |
0 |
770 |
||||||
|
Резервы предстоящих расходов |
650 |
0 |
0 |
||||||
|
Прочие краткосрочные обязательства |
660 |
9 |
0 |
||||||
|
|
Итого по разделу V |
690 |
411 658 |
463 830 |
|||||
|
БАЛАНС (сумма строк 490 + 590 + 690) |
700 |
1 443 551 |
1 631 863 |
||||||
|
Справка о наличии ценностей, учитываемых на забалансовых счетах |
|||||
|
ЗАБАЛАНС |
|
Код стр. |
На начало отчётного периода |
На конец отчётного периода |
|
|
1 |
2 |
3 |
4 |
||
|
Арендованные основные средства |
910 |
19938 |
2228 |
||
|
в том числе по лизингу |
911 |
19938 |
2228 |
||
|
Товарно-материальные ценности, принятые на ответственное хранение |
920 |
0 |
0 |
||
|
Товары, принятые на комиссию |
930 |
0 |
0 |
||
|
Списанная в убыток задолженность неплатежеспособных дебиторов |
940 |
3934 |
4076 |
||
|
Обеспечения обязательств и платежей полученные |
950 |
0 |
0 |
||
|
Обеспечения обязательств и платежей выданные |
960 |
0 |
0 |
||
|
Износ жилого фонда |
970 |
8 |
8 |
||
|
Износ объектов внешнего благоустройства и других аналогичных объектов |
980 |
0 |
0 |
||
|
Руководтель___________________________ |
Клейн Николай Владимирович |
||||
|
Главный бухгалтер___________________ |
Козлов Александр Александрович |
||||
|
" 20
" марта |
|||||
ПРИЛОЖЕНИЕ 2
ОТЧЕТ О ПРИБЫЛЯХ И УБЫТКАХ
за период с 01 января по 31 декабря 2006г.
|
Коды |
||||||
|
Форма № 2 по ОКУД |
0710002 |
|||||
|
Дата (год, месяц, число) |
20.03.2007 |
|||||
|
Организация: ОАО "Машиностроительный завод им.М.И.Калинина" |
по ОКПО |
7509511 |
||||
|
Идентификационный номер налогоплательщика |
ИНН |
6663003800 |
||||
|
Вид деятельности: машиностроение |
по ОКВЭД |
29.60 |
||||
|
Организационно-правовая форма / форма собственности: ОАО |
по ОКОПФ/ОКФС |
47-41 |
||||
|
Единица измерения: тыс. руб. |
по ОКЕИ |
384 |
||||
|
Показатель |
За отчетный период |
За аналогичный период предыдущего года |
|||||
|
наименование |
код |
||||||
|
1 |
2 |
3 |
4 |
||||
|
Доходы и расходы по обычным видам деятельности Выручка (нетто) от продажи товаров, продукции, работ, услуг (за минусом налога на добавленную стоимость, акцизов и аналогичных обязательных платежей) |
010 |
1 441 042 |
1 200 033 |
||||
|
Себестоимость проданных товаров, продукции, работ, услуг |
020 |
(1 324 758) |
(1 116 607) |
||||
|
Валовая прибыль |
029 |
116 284 |
83 426 |
||||
|
Коммерческие расходы |
030 |
(9 353) |
(18 818) |
||||
|
Управленческие расходы |
040 |
( 0 ) |
( 0 ) |
||||
|
Прибыль (убыток) от продаж |
050 |
106 931 |
64 608 |
||||
|
Прочие доходы и расходы Проценты к получению |
060 |
0 |
0 |
||||
|
Проценты к уплате |
070 |
(34 959) |
(29 533) |
||||
|
Доходы от участия в других организациях |
080 |
945 |
1 120 |
||||
|
Прочие доходы |
090 |
24 894 |
63 299 |
||||
Прочие расходы |
100 |
( 54 571 ) |
(54 666) |
||||
|
Прибыль (убыток) до налогообложения |
140 |
43 240 |
44 828 |
||||
|
Отложенные налоговые активы |
141 |
(5) |
(11) |
||||
|
Отложенные налоговые обязательства |
142 |
(9 711) |
(13 366) |
||||
|
Текущий налог на прибыль |
150 |
(1 852) |
(2 870) |
||||
|
Штрафные санкции за нарушение налогового законодательства, % за пользование бюджетными средствами (реструктуризация) |
180 |
(2 566) |
(1 305) |
||||
|
Чистая прибыль (убыток) отчетного периода |
190 |
29 106 |
27 276 |
||||
|
СПРАВОЧНО Постоянные налоговые обязательства (активы) |
200 |
11 569 |
16 246 |
||||
|
Базовая прибыль (убыток) на акцию |
201 |
||||||
|
Разводненная прибыль (убыток) на акцию |
202 |
||||||
Генеральный директор Н.В.Клейн Главный бухгалтер А.А.Козлов