Содержание
1. Резюме. 3
2. Описание предприятия и отрасли. 3
3. Описание продукции и потребителей. 5
4. Оценка конкурентов и маркетинг. 10
5. Производственный план. 17
6. Организационный план. 21
7. Финансовый план. 23
8. Риски и гарантии. 25
9. Эффективность проекта. 26
Список литературы.. 30
1. Резюме
Для осуществления своей деятельности фирма ООО «Любимчик» на данный момент имеет пять специализированных магазинов, четыре из которых расположены в северных районах города и один - на юге города Хабаровска. В настоящее время в целях расширения рынков сбыта планируется открытие еще одного магазина зоотоваров на юге города Хабаровска.
Персонал ООО «Любимчик» разбит на 4 категории: руководители, специалисты, торгово-оперативный персонал и вспомогательный персонал. В состав руководителей входят: директор, администратор и заведующие отделами. К специалистам относится бухгалтер. В составе торгово-оперативного персонала выделяют должности (профессии) продавцов и кассиров. В составе вспомогательного персонала профессии, грузчиков и уборщиков.
Магазин «Любимчик» будет располагаться в помещении состоящем из торговых и вспомогательных помещений общей площадью 200 кв.м. Для создания магазина требуются первоначальные вложения в размере 552380 руб. (затраты на оборудование и арендная плата за полгода).
Экономические показатели деятельности свидетельствуют о целесообразности создания магазина.
2. Описание предприятия и отрасли
Сеть фирменных магазинов «Любимчик» уже работает на зоорынке с 1996 года, и собрала под своим началом опытных специалистов в этой области. Среди них ветеринары, биологи, зоологи и специалисты по ихтиофауне.
Основной целью деятельности ООО «Любимчик» является наиболее полное удовлетворение населения Хабаровска в зоотоварах, а также получение прибыли.
Основными видами деятельности ООО «Любимчик» являются:
- розничная торговля зоотоварами и различными сопутствующими товарами, а также некоторыми видами животных.
- оказание консультационных услуг по уходу и выращиванию некоторых видов животных
- прочие услуги
Рассмотрим краткую характеристику рынка зоотоваров.
Рынок зоотоваров характеризуется высоким уровнем конкуренции. Сегодня рынок зоотоваров является одним из динамично развивающихся рынков. Так по данным статистическим данным в 2005 году уровень розничных продаж по России составил 175 - 195 тыс.долл., что значительно выше уровня 2004 года (рис. 1).

Рис. 1. Динамика розничных продаж зоотоваров в России
В 2005 году покупали зоотовары 30-32% российских семей (420-450 тыс. семей), то есть также, как и в 2004 году.
Оценка общего числа покупок зоотоваров по России в 2005 году - 950-1150 тыс. Это, как минимум, на 10% меньше, чем в 2004 году. Несмотря на некоторое снижение числа покупок зоотоваров, общий объем реализации увеличился на 20-25%%. Это произошло за счет изменения структуры продаж в сторону более дорогих товаров.
В среднесрочной перспективе можно прогнозировать темпы роста объемов платежеспособного спроса на зоотовары в интервале 15-20%% в год. Доля затрат на приобретение зоотоваров в совокупных расходах жителей останется практически неизменной. Темпы роста объема денег на рынке будут примерно соответствовать темпам роста денежной массы на руках у населения.
В качестве основных тенденций развития рынка зоотоваров можно отметить рост, динамика которого обусловлена увеличением покупательской способности.
Есть еще один формат, доля которого пока весьма незначительна - это продажи через Интернет. ООО «Любимчик» считает его развитие весьма перспективным, есть специальная программа работы интернет-магазина зоотоваров. На данный момент 2% розничного оборота составляют продажи через Интернет.
С учетом вышеизложенного можно сделать вывод, что в настоящее время наиболее оптимальным форматом торговли является магазин.
3. Описание продукции и потребителей
Вся продукция, продаваемая в магазине «Любимчик» изготавливается из экологически чистого отечественного и импортного сырья. Невысокие цены. Высокое качество продаваемых товаров. Постоянное повышение ассортимента. В перспективе - дальнейшее увеличение ассортимента товаров для животных, птиц и аквариумных рыб. Большой выбор кормов, средств ухода за животными и квалифицированная помощь продавцов-консультантов помогают владельцам животных максимально облегчить их содержание в домашних условиях.
Перечень товаров ООО «Любимчик»:
Самые разнообразные корма для животных - собак, кошек, грызунов, аквариумных рыбок. Витаминные добавки и многое другое, из того, что так необходимо животным.
Туалеты. Огромный выбор наполнителей для туалетов из натуральных компонентов (быстро коксующийся из натуральной глины, мела, песка), способных поглощать жидкость, как губка, предотвращая рост бактерий. Всегда в наличии большой выбор всевозможных туалетов (для котят, кошек, маленьких собак) с двойным дном.
Зоошампуни для собак и кошек. Моющие средства для защиты собак и кошек от эктопаразитов (блох, вшей, власоедов).
Корма для птиц. Полноценное кормление - это основа благополучия животных: их самочувствия, привлекательной внешности, громкого пения, и, наконец, успешного размножения. Имеющиеся в продаже корма в принципе удовлетворяют естественные потребности птиц в питательных веществах.
Корма для декоративных грызунов (кроликов, хомяков, морских свинок, крыс). Кролика необходимо кормить готовыми кормами, но всегда в меню должны входить сено и питьевая вода. После зимнего периода (при отсутствии зеленого корма) начинать применение живого корма нужно очень осторожно, так как резкое изменение рациона может привести к проблемам с желудком. Морских свинок так же нужно кормить готовыми кормами, разнообразив меню овощами, травой, одуванчиками, салатом, помидорами, яблоками и сеном...
Лакомства для птиц и грызунов. Бисквиты для крупных собак. Лакомства для канареек, попугаев, грызунов...
Десятки видов компрессоров, фильтров, помп, обогревателей, термометров, кормушек, грунтов, водорослей, и еще много другого. Огромный выбор кормов для рыбок и черепашек, которые максимально приближены по своему составу и питательности к кормам естественным, имеют форму и размеры для поедания рыбами различных видов.
В магазине будет предложен огромный выбор специализированной литературы почти по всем породам собак и кошек, уходу, лечению, воспитанию, по уходу за птичками, грызунами
Ошейники: Большой ассортимент поводков, шлеек, ошейников для собак, кошек всех пород и габаритов. Большой выбор антисективных ошейников от блох.
Игрушки: Огромный выбор всевозможных игрушек для кошек и собак, качели, забавы для птиц, колеса для грызунов - принесут радость животным и будут хорошей тренировкой их физических качеств и сообразительности.
Миски, блюдца, поилки и кормушки: Очень много в продаже разнообразных мисок, блюдец, поилок, кормушек, для самых разных животных и птиц.
Клетки: Клетки в широком ассортименте. Птицы, грызуны, рептилии будут чувствовать в них комфортно. Есть много видов клеток-переносок для пребывания любимчиков на даче, во дворе.
Переноски, сумки, домики: Рассчитаны на безопасное и комфортное путешествие для животных. Удобные лежанки и домики для животных в наличии и на заказ.
Одежда и обувь: Одежда для животных: курточки, попоны, сапоги - защитят от холода, дождя, ветра, сохранят здоровье и продлят приятную прогулку.
Витамины и добавки
Благодаря включению в рецептуру мультивитаминных лакомств незаменимых витаминов, каротинов, таурина, протеина, и т.д. домашние животные получают оптимальное количество витаминов, минералов - костную ткань, зубы, шерсть.
Далее проводим анализ потенциальных потребителей товаров ООО «Любимчик»
Остановимся на характеристиках потенциальных покупателей, представленных в табл.1.
Таблица 1
Сегментирование рынка зоотоваров [4, с. 132]
|
Параметры сегментирования |
Профили сегментов |
||||||||||||||||
|
1 |
2 |
3 |
4 |
5 |
|||||||||||||
|
Пол |
|
Женщины |
|||||||||||||||
|
Возраст |
17-25 |
26-35 |
36-45 |
46-55 |
Более 55 |
||||||||||||
|
Уровень дохода |
Менее 3000 руб./мес |
3000-5000 руб./мес |
5000-10000 руб/мес |
10000-15000 руб./мес |
Более 15000 руб./мес |
||||||||||||
|
Образование |
Среднее |
Средне-специальное |
высшее |
||||||||||||||
|
Вид деятельности |
Не работающее население |
Студент |
Домохозяйка |
Работающее население |
|||||||||||||
|
Специальность |
Обслуживающий персонал |
Рабочий |
Служащий |
Специалист с ВО |
Менеджер высшего звена |
||||||||||||
|
Семейное положение |
Семейный |
Одинокий |
|||||||||||||||
|
Размер семьи |
1 |
2 |
3 |
4 и более |
|||||||||||||
|
Кол-во детей |
Нет детей |
1 |
2 и более |
||||||||||||||
Первый сегмент
Второй сегмент
Исследование структуры потребителей на основе демографических факторов (рис. 2.) выявило следующую картину: данные по половозрастной структуре показывают, что среди потребителей зоотоваров примерно одинаковая доля мужчин (51%) и женщин (49%), причем в возрастной группе от 29 до 45 лет.

Рис. 2. Структура посетителей магазина по половому признаку
В среднем же, от общего числа опрошенных респондентов это составляет 63% и превышает количество женщин на 54%. Это объясняется тем, что люди данного возраста, как правило, уже состоявшиеся. Возрастная структура исследуемой выборки представлена на рис.3.

Рис. 3. Возрастная структура потребителей
Таким образом, потенциальным покупателями зоотоваров является мужчины и женщины в возрасте от 29 до 45 лет
В таблице 2 отражен планируемый объем продаж ООО «Любимчик»
Таблица 2
Планируемый объем продаж [3, с. 122]
|
Наименование продукции |
Цена за единицу продукции, руб. |
Объем продаж в день, шт |
Объем продаж в год, шт |
|
Аквариумы |
550 |
5 |
1825 |
|
Туалеты для животных |
45 |
15 |
3750 |
|
Зоошампунь |
30 |
20 |
5000 |
|
Корма для рыб |
15 |
150 |
37500 |
|
Корма для редких видов животных |
25 |
50 |
12500 |
|
Книги |
50 |
5 |
1250 |
|
Корма для декоративных грызунов |
25 |
50 |
12500 |
|
Лакомства для грызунов |
13 |
50 |
12500 |
|
Корма для птиц |
18 |
50 |
12500 |
|
Аксессуары для животных |
40 |
30 |
7500 |
|
Ошейники |
30 |
40 |
10000 |
|
Одежда для животных |
80 |
5 |
1250 |
|
Витамины для животных |
22 |
145 |
36250 |
|
Добавки для животных |
25 |
150 |
37500 |
|
Корма для животных |
38 |
250 |
62500 |
4. Оценка конкурентов и маркетинг
По оценке покупателей наиболее популярными магазинами зоотоваров в Хабаровске являются магазины «Зоотовары», «Домашние любимцы» и «Пушок» (табл. 3).
Таблица 3
Популярность магазинов с точки зрения покупателей [5, с. 54]
|
место |
магазин |
%% тех, кто знает хоть один |
|
1-2 |
Зоотовары |
25 |
|
Домашние любимцы |
24 |
|
|
3-5 |
Пушок |
16 |
|
Зоомагазин |
16 |
|
|
6-7 |
Дом |
11 |
|
Зоодом |
10 |
|
|
8-13 |
Наши любимцы |
7 |
|
Все для животных |
7 |
|
|
Все для любимцев |
6 |
|
|
Все для друзей |
5 |
|
|
Котя |
3 |
|
|
Котопес |
2 |
|
|
Животные |
2 |
С учетом категории магазина, географического расположения и популярности, к наиболее значимыми конкурентами ООО «Любимчик» можно отнести магазины «Зоотовары», «Домашние любимцы», «Пушок» и «зоомагазин».
Позиционирование магазинов по популярности и ценовому диапазону представлено на рис. 4
В качестве оценок позиционирования выбрана бальная оценка магазинов по критериям ценовая политика и популярность.
Оценка популярности проводилась по 5-ти балльной системе, а оценка ценового диапазона по 3х балльной шкале (от 0 до 1 –цены ниже средних, от 1 до 2 – цены соответствуют средним ценам на рынке и от 2 до 3 цены выше средних).
Проведем оценку основных конкурентов в соответствии со следующими критериями:
- ассортиментная политика;
- ценовой диапазон;
- уровень обслуживания;
- наличие дисконтных и бонусных программ для покупателей;
- дополнительные услуги

Рис. 4. Позиционирование магазинов зоотоваров [ 9, с. 199]
Для оценки сравнительных преимуществ фирм-конкурентов будем использовать метод сегментации рынков по основным конкурентам (Табл. 4).
Таблица 4
Сегментация рынков по основным конкурентам [7, с. 165]
|
Название |
Расположение |
Ассортимент |
Уровень обслуживания |
Ценовая политика |
Наличие динсконтын программ |
Наличие скидок и бонусов |
Доставка |
Продажа в кредит |
Итоговое значение конкурентоспособности |
|
Зоотовары |
4 |
4 |
5 |
4 |
3 |
2 |
4 |
4 |
3,75 |
|
Домашние любимцы |
4 |
4 |
4 |
3 |
3 |
2 |
3 |
3 |
3,25 |
|
Пушок |
3 |
4 |
5 |
4 |
4 |
3 |
5 |
5 |
4,13 |
|
Любимчик |
4 |
4 |
4 |
4 |
4 |
4 |
3 |
4 |
3,9 |
Результаты представленные в таблице были получены методом экспертных оценок. Каждый фактор в таблице получил оценку от 0 (наиболее слабые позиции) до 5 (доминирующие позиции). Оценки проставлялись в каждом из столбцов таблицы, а затем суммируются и находиться средний бал.
Наиболее сильный конкурент – это «Пушок», так как он располагается в непосредственной близости от магазинов «Любимчик» и предлагает схожий спектр товаров и услуг.
В таблице 5 представлена оценка конкурентов организации.
Таблица 5
Оценка конкурентов ООО «Любимчик» [1, с.111]
|
Наименование предприятия сравнительные показатели |
Зоотовары |
Домашние любимцы |
Пушок |
|
Место расположения предприятия |
центр города |
центр города |
центр города |
|
Признанное имя фирмы (имидж) |
известна |
известна |
малоизвестна |
|
Качество продукции |
высокой |
известные производители |
качество высокое |
|
Качество упаковки |
отличное |
не очень |
не очень |
|
Обеспечение транспортом |
отсутствует |
отсутствует |
отсутствует |
|
Применение рекламной компании |
есть |
есть |
нет |
|
Гарантийное обслуживание |
есть |
есть |
есть |
|
Сервисное обслуживание |
есть, консультации покупателей по проблемам животных |
нет |
нет |
|
Способы стимулирования сбыта |
реклама, витрина, скидки |
реклама |
витрина |
|
Наличие квалифицированного персонала |
есть |
нет |
нет |
Далее проводим анализ маркетинга предприятия.
В целях определения сильных и слабых сторон деятельности магазина проведен SWOT – анализ.
Общая характеристика фирмы
Преимущества: некрупная, гибкая компания с хорошим чутьем на требования рынка и большой гибкостью; возможность быстрого реагирования на спрос; желание развивать бизнес и охватывать новые сегменты рынка; умение оптимизировать затраты; широкий ассортимент; серьезные намерения.
Недостатки: отсутствие европейского уровня розничной торговли; отсутствие четкости в операциях по поставке товара; отсутствие стратегии в продвижении нового товара; мало рекламируется; техника выкладки товара на очень низком уровне.
Возможности: создать обстановку, способствующую воодушевлению покупателей на приобретение; стремиться предоставить максимальный уровень информации, сервиса и уровня обслуживания.
Опасности: с развитием рынка усиливается конкуренция; развитие крупных и известных конкурентов в данном сегменте, пользующихся известностью; непредсказуемость покупательского спроса.
Структура компании
Преимущества: частная компания легко может позволить развитие нового направления деятельности; опыт в розничной торговле позволит избежать определенных ошибок и учесть пожелания покупателей.
Недостатки: структура компании усложняет работу.
Возможности: возможность быстро организовать новые направления деятельности; рост квалифицированного персонала.
Опасности: требуются тренинги и развитие персонала; существует зависимость от ключевых фигур внутри бизнеса.
Стратегия развития
Преимущества: компания уже знакома с рынком зоотоваров и тенденциями, сложившимися на рынке; распознание возможностей данного рынка и освоение нового сектора; желание развивать новую часть бизнеса; наличие товарных запасов на складе;
Слабости: непостоянство клиентуры, на которую ориентирован магазин.
Возможности: быть ведущим специализированным магазином в районе.
Опасности: непредсказуемость рынка; серьезные неприятности в случае срыва поставок, формирование отрицательной репутации.
На основании выявленных основных сильных и слабых сторон разработаны основные направления деятельности магазина в области ценовой политики, политике продвижения и др.
1. Предложения по продвижению магазина и стимулированию сбыта [1, с. 123]
Цель работы по стимулированию продаж магазина в общем случае состоит в увеличении объемов продаж. Повысить объем продаж в магазинах можно:
· привлекая новых покупателей;
· побуждая этих покупателей сделать покупку;
· стимулируя на комплексную или следующую покупку;
· завоевывая большее число постоянных покупателей.
В качестве стимулирования нужно использовать систему скидок. В магазине уже существует система скидок за стоимость покупки. Можно также предоставлять покупателям скидку на товар определенной марки. Наиболее эффективное действие в рекламе имеют указанные в ней низкие цены. Для покупателя, кроме цен, имеет значение, как выставлен товар. В чистый, аккуратный магазин зайти приятнее. Важно удобное расположение товара в торговом зале, доступность продукции и цен для обозрения, легкость поиска нужного товара в магазине. Ранее из-за ограниченности в площади товар был расставлен по всем углам, не было систематизации по фирмам и по применению. Товар был снабжен ценниками, которые не давали четкой информации о цене и количестве.
В начале года необходимо создать страничку в «Интернет», которую нужно рекламировать на различных сайтах, постоянно ее обновлять, менять цены и т.д.
В качестве рекламы на первом этапе необходимо использовать простейшие и подручные средства, которые требуют значительно меньше расходов, но не менее эффективны. Это[2, с. 133]:
- реклама на месте продажи товаров. Распространять в магазине рекламные материалы – самый дешевый способ рекламы, к тому же направленный на того, кого нужно. Можно распространять листовки с подробными прайс-листами по зоотоварам. Это удобно покупателю и он может взять их с собой, чтобы подробнее ознакомиться с ассортиментом и ценами.
2. Ценовая политика фирмы.
Цена на предприятии рассчитывается следующим образом:
Цена поставки + торговая наценка.
При выборе ценовой политики компания использует две возможности:
- ценовое лидерство: достижение преимущества перед конкурентами за счет более низких цен;
- дифференциация: достижение преимущества перед конкурентами за счет расширенного ассортимента товаров.
Ориентируясь на выбранные стратегии конкуренции, планируется использовать два варианта ценовых стратегий:
2.1. Стратегия ценовой конкуренции. В данном случае планируется проводить активную ценовую политику. Цену используем, как важнейший инструмент для достижения целей, которые преимущественно связаны с объемами продаж и с долей рынка.
2.2. Стратегия неценовой конкуренции. В данном случае цена используется пассивно. Здесь преобладает цель получения прибыли, а не расширение доли рынка. Для увеличения прибыли используется неценовые инструменты комплекса маркетинговых мероприятий. Эта стратегия направлена на дифференциацию товаров: торговые марки, обслуживание, качество.
5. Производственный план
Магазин «Любимчик» будет располагаться в помещении общей площадью 200 кв.м. при чем 120 кв.м. будет отведено на торговую площадь, а 80 м для вспомогательных помещений.
Аренда помещений складывается из аренды помещений под торговые точки и под склад и составит 320 руб. за кв.м в месяц. Годовая арендная плата составит: 200*320*12 = 768000 руб.
Потребность магазина в оборудовании представлена в табл. 6.
Таблица 6
Потребность в оборудовании [4, с. 143]
|
Наименование |
Сумма, руб. |
|
1. Мебель |
15600 |
|
2. Торговое оборудование |
45680 |
|
3. Кассовый аппарат |
19350 |
|
4. Система видеонаблюдения |
45600 |
|
5. Персональный компьютер |
29600 |
|
6. факс |
6200 |
|
7. принтер |
6350 |
|
Итого |
168380 |
Таким образом, для создания магазина требуются первоначальные вложения в размере 552380 руб. (затраты на оборудование и арендная плата за пол года).
Прогноз объемов продаж следует проводить на основе сопоставления результатов маркетинговых исследований с возможностями предприятия.
Исходными данными для составления годовой программы реализации служат:
· годовая потребность в товаре;
· прогнозируемые годовые выручки
Годовая потребность в товаре на основе маркетинговых исследований показана в табл. 7
Таблица 7
Годовая потребность в товаре
|
Наименование продукции |
Объем продаж в день, шт |
Объем продаж в год, шт |
|
Аквариумы |
5 |
1825 |
|
Туалеты для животных |
15 |
3750 |
|
Зоошампунь |
20 |
5000 |
|
Корма для рыб |
150 |
37500 |
|
Корма для редких видов животных |
50 |
12500 |
|
Книги |
5 |
1250 |
|
Корма для декоративных грызунов |
50 |
12500 |
|
Лакомства для грызунов |
50 |
12500 |
|
Корма для птиц |
50 |
12500 |
|
Аксессуары для животных |
30 |
7500 |
|
Ошейники |
40 |
10000 |
|
Одежда для животных |
5 |
1250 |
|
Витамины для животных |
145 |
36250 |
|
Добавки для животных |
150 |
37500 |
|
Корма для животных |
250 |
62500 |
Дополнительно следует составить плановый товарооборот на 2006 год, представленный в табл. 8.
Таблица 8
Планируемый товарооборот на 2006 год
|
Наименование продукции |
Цена за единицу продукции, руб. |
Объем продаж в год, шт |
Товарооброт, руб. |
% от общего товарооборота |
|
Аквариумы |
550 |
1825 |
1003750 |
12,92 |
|
Туалеты для животных |
45 |
3750 |
168750 |
2,17 |
|
Зоошампунь |
30 |
5000 |
150000 |
1,93 |
|
Корма для рыб |
15 |
37500 |
562500 |
7,24 |
|
Корма для редких видов животных |
25 |
12500 |
312500 |
4,02 |
|
Книги |
50 |
1250 |
62500 |
0,80 |
|
Корма для декоративных грызунов |
25 |
12500 |
312500 |
4,02 |
|
Лакомства для грызунов |
13 |
12500 |
162500 |
2,09 |
|
Корма для птиц |
18 |
12500 |
225000 |
2,90 |
|
Аксессуары для животных |
40 |
7500 |
300000 |
3,86 |
|
Ошейники |
30 |
10000 |
300000 |
3,86 |
|
Одежда для животных |
80 |
1250 |
100000 |
1,29 |
|
Витамины для животных |
22 |
36250 |
797500 |
10,26 |
|
Добавки для животных |
25 |
37500 |
937500 |
12,07 |
|
Корма для животных |
38 |
62500 |
2375000 |
30,57 |
|
ИТОГО |
7770000 |
100 |
На увеличение продаж положительное влияние должно оказать параллельное введение мероприятий по стимулированию продаж. Возможно также увеличение продаж за счет значительного расширения ассортимента сопутствующих товаров и введения новых групп товаров.
Прогнозируемая смета затрат на осуществление деятельности ООО «Любимчик» на 2006 год представлена в табл. 9
Таблица 9
Прогнозируемая смета затрат на 2006 год
|
Наименование статьи |
Сумма, руб. |
Примечание |
|
Закупка товара |
5755555 |
см. табл. 8 |
|
Заработная плата |
1338000 |
см. раздел 6 (организационный план) |
|
Начисления на заработную плату (ЕСН) |
488370 |
35,6 % от ФОТ |
|
Аренда |
180000 |
15 тыс. руб. в месяц |
|
ИТОГО затрат на 2003 год |
7761925 |
Затраты на закупку товара рассчитываются по формуле[5, с. 177]:
Ззак = Планируемая выручка / (1+ средняя наценка) (1)
Ззак = 7770000 / (1 + 0,35) = 5755555 руб.
Средняя наценка в организации установлена в размере 35 %
Начисления на заработную плату (единый социальный налог) работников составляют 36,5% . Базой для расчетов является начисленная заработная плата.
НЗП = ФОТ * П%
Где ФОТ - фонд оплаты труда (см. раздел 6), тыс. руб.
П% - процент начисления заработной платы, %
1338000 * 0,365 = 488370 руб. (2)
На основании рассчитанных доходов и расходов магазина определим экономические показатели деятельности магазина в 2006 году. Основные экономические показатели на 2006 год ООО «Любимчик» представлены в таблице 10
Таблица 10
Основные экономические показатели
|
Показатели |
2006 год |
|
Выручка от реализации товара, руб. |
7770000 |
|
Затраты по реализации товара, руб. |
7761925 |
|
Затраты на один рубль реализованного товара, коп. |
0,9990 |
|
Прибыль от реализации, руб. |
8075 |
|
Среднесписочная численность работающих, чел. |
20 |
|
Фонд заработной платы, руб. |
1338000 |
|
Среднемесячная заработная плата одного работающего, руб. |
5575 |
|
Объем реализации на одного работающего, руб. |
388500 |
|
Рентабельность |
10% |
Для оценки эффективности деятельности предприятия используется показатель рентабельность продукции, который рассчитывается как отношение прибыли от реализации к выручке от реализации.
Уровень рентабельности в 2006 году составит:
8075 : 7770000 * 100 = 10 %
Таким образом, экономические показатели деятельности свидетельствуют о целесообразности создания магазина.
6. Организационный план
Общее руководство магазином зоотоваров осуществляется управляющим (рис.5), который принимает решения по оперативному управлению магазином (в.т.ч. вопросы управления персоналом). Он решает самостоятельно все вопросы деятельности магазина, представляет его интересы. Распоряжается в пределах компетенции имуществом, заключает договора, в том числе по найму работников. Издает приказы и распоряжения, обязательные к исполнению всеми работниками магазина.
![]() |
Рис. 5. Организационная схема магазина «Любимчик»
Бухгалтер – осуществляет организацию бухгалтерского учета хозяйственно-финансовой деятельности предприятия и контроль за экономным использованием материальных, трудовых и финансовых ресурсов.
Администратор организует бесперебойную работу предприятия. Осуществляет закупочную деятельность. Осуществляет контроль за соответствующим оформлением товарных секций, торгового зала, помещения предприятия в целом, следит за размещением, обновлением и состоянием рекламы.
Заведующая отделом организует бесперебойную работу отдела. Организовывает приемку-сдачу товаров на склад, контролирует своевременную подачу товаров в торговую секцию, проверяет качество, сроки годности товаров, проверяет наличие маркировок, ценников на товарах.
Продавец осуществляет предупредительное и вежливое обслуживание покупателей, создает для них необходимые условия для подбора и ознакомления заинтересовавшего их товара, контролирует отсутствие нарушений правил торговли, принимает меры по обеспечению отсутствия очередей. Осуществляет предложение и показ товаров покупателям; оказывает покупателям помощь в выборе товаров, консультирует покупателей по вопросам назначения, свойств, качества товаров, о правилах ухода за товарами, о ценах, о предложении взаимозаменяемых товаров, новых и сопутствующих товаров; оформление паспорта (иного документа) на товар, имеющий гарантийный срок; производит упаковку покупки, выдачу или передачу покупки на контроль; производит обмен товаров. Контролирует наличие товаров в торговой секции, проверяет качество, сроки годности товаров, проверяет наличие и соответствие маркировок, ценников на товарах.
Структура кадрового состава магазина «Любимчик». формируется в соответствии со штатным расписанием (табл. 11)
Таблица 11
Штатное расписание магазина «Любимчик»
|
Должность |
Кол-во чел. |
Оклад |
ФОТ в год |
|
1. руководители |
|||
|
1.1.Директор |
1 |
15000 |
180000 |
|
1.2.Администратор |
1 |
10000 |
120000 |
|
1.3.Зав.отделом |
2 |
9000 |
216000 |
|
2. Специалисты |
|||
|
2.1. Бухгалтер |
1 |
10000 |
120000 |
|
3. Торгово-оперативный персонал |
|||
|
3.1. Продавец |
6 |
10000 |
120000 |
|
3.2. Кассир |
4 |
10000 |
120000 |
|
4. Вспомогательный персонал |
|||
|
4.1. Грузчик |
3 |
3500 |
126000 |
|
4.2. Уборщица |
2 |
2500 |
60000 |
|
Итого |
20 |
|
1338000 |
Из таблицы 11 видно, что весь персонал ООО «Любимчик» разбит на 4 категории: руководители, специалисты, торгово-оперативный персонал и вспомогательный персонал. В состав руководителей входят: директор, администратор и заведующие отделами. К специалистам относится бухгалтер. В составе торгово-оперативного персонала выделяют должности (профессии) продавцов и кассиров. В составе вспомогательного персонала профессии, грузчиков и уборщиков.
7. Финансовый план
В разделе финансового плана рассчитан отчет о прибылях и убытках , отчет о движении денежных средств.
Таблица 12
Отчет о прибылях и убытках организации
|
Наименование показателя |
Значение, руб. |
|
Выручка от реализации |
7770000 |
|
Себестоимость |
7761925 |
|
в том числе |
|
|
Закупка товара |
5755555 |
|
Заработная плата |
1338000 |
|
Начисления на заработную плату (ЕСН) |
488370 |
|
Аренда |
180000 |
|
Валовая прибыль (прибыль до налогообложения |
8075 |
|
Налог на прибыль (24%) |
1938 |
|
Чистая прибыль |
6137 |
Спланируем баланс денежных доходов и расходов на 2005 год для ООО «Любимчик» (табл. 13).
Таблица 13
Баланс денежных доходов и расходов, тыс. руб.
|
Наименование статьи |
2006 год |
|
1.Поступило денежных средств – всего |
7770000 |
|
В том числе : |
7770000 |
|
выручка от реализации |
|
|
2.Направлено денежных средств – всего |
7763863 |
|
В том числе : |
|
|
на оплату приобретенных товаров |
5755555 |
|
на оплату труда |
1338000 |
|
начисления на заработную плату |
488370 |
|
на оплату транспортных расходов |
0 |
|
на финансовые вложения |
0 |
|
на расчеты с бюджетом |
1938 |
|
аренду помещений |
180000 |
|
прочие выплаты |
0 |
|
4.Остаток денежных средств на конец отчетного периода |
6137 |
Таким образом, на конец периода в распоряжении предприятия остается остаток денежных средств в размере 6137 руб., который предприятие может направить на приобретение основных средств, расширение ассортимента, проведение дополнительных рекламных мероприятий и выплату дополнительных премий сотрудникам.
8. Риски и гарантии
Значение данного раздела состоит в оценке опасности того, что цели, поставленные в плане, могут быть не достигнуты. В таблице 12 представлены риски и их влияние на прибыль.
Таблица 14
Риски и их влияние на прибыль [3, с. 145]
|
Вид риска |
Отрицательное влияние риска на ожидаемую прибыль от реализации проекта |
|
1. Невозможность аренды нужного помещения |
Невозможность реализации проекта |
|
2. Не разрешение местных властей |
Невозможность реализации проекта |
|
3. Неустойчивость спроса |
Падение спроса с ростом цен |
|
4. Платежеспособность потребителей |
Падение продаж |
|
5. Рост налогов |
Уменьшение чистой прибыли |
|
6. Рост цен на сырье, материалы, топливо |
Снижение прибыли из-за роста цен |
|
7. Неэффективность рекламы |
Невысокий уровень продаж |
|
8. Появление конкурентов |
Падение продаж |
Оценка вероятности наступления неблагоприятного события представлена в таблице 15.
Таблица 15
Оценка вероятности наступления неблагоприятного события
|
Вид риска |
Эксперты |
Вес |
Балл |
||
|
1 |
2 |
3 |
|||
|
1. Невозможность покупки нужного помещения |
25 |
25 |
25 |
1/8 |
3,1250 |
|
2. Не разрешение местных властей |
0 |
25 |
0 |
1/8 |
1,0375 |
|
3. Неустойчивость спроса |
50 |
75 |
25 |
1/8 |
6,2500 |
|
4. Низкая платежеспособность потребителей |
75 |
50 |
50 |
1/8 |
7,2875 |
|
5. Рост налогов |
50 |
50 |
50 |
1/8 |
6,2500 |
|
6. Рост цен на сырье, материалы, топливо |
75 |
75 |
75 |
1/8 |
9,3750 |
|
7. Неэффективность рекламы |
25 |
25 |
50 |
1/8 |
4,1625 |
|
8. Появление конкурентов |
50 |
50 |
75 |
1/8 |
7,2875 |
Каждый эксперт присвоил событию вероятность его наступления:
0 - риска не существует;
25 - риск скорее всего не реализуется;
50 - о наступлении события ничего определенного сказать нельзя;
75 - риск скорее всего проявится;
100 - риск оправдан (наверняка реализуется).
Итак, в результате проведенного исследования оказалось, что наибольшую вероятность имеют следующие риски:
Риск уменьшения платежеспособности.
В результате этого события может уменьшится объем продаж. Необходимо отметить, что объем продаж запланирован фирмой по-минимому, поэтому вероятность того, что объем продаж будет меньше невелика.
2. Риск появления конкурентов.
При данном событии (если конкуренты появятся) необходимо будет улучшить качество продукции, поддерживать цены более низкими, чем цены у конкурентов, проводить более активно рекламную компанию.
3. Риск роста цен на сырье, материалы.
Необходимо будет проводить мероприятия по снижению себестоимости за счет более рационального использования сырья и т.д.
9. Эффективность проекта
В качестве основного показателя эффективности бизнес-плана принято рассматривать показатель точки безубыточности.
Исходя из имеющихся данных, построен график безубыточности для ООО «Любимчик» (рис. 6.). В данном графике объем реализации приведен по всей продукции, рассчитанный на основе средней цены.
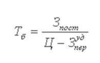
Расчет точки безубыточности в натуральном выражении рассчитывается по формуле:
(4)
Постоянные затраты (З пост), руб. 2006370 руб.
Переменные затраты на ед. прод. (З пер), руб. 22,63 руб.
Средневзвешенная цена (Ц), руб. 30,55 руб.
2006370/30,55-22,63 = 253329 шт. в год.
Таблица 16
Расчет показателей для определения точки безубыточности
|
Наименование показателя |
Значение, руб. |
|
Заработная плата |
1338000 |
|
Начисления на заработную плату |
488370 |
|
Аренда |
180000 |
|
ИТОГО постоянных затрат |
2006370 |
|
Закупка товаров |
5755555 |
|
ИТОГО переменных затрат |
5755555 |
|
Объем реализации , шт. |
254325 |
|
Переменные затраты в расчете на единицу , руб. |
22,63 |
|
Выручка от реализации, руб. |
7770000 |
|
Средняя цена единицы, руб. |
30,55 |
На втором этапе оценки экономической эффективности проекта рассчитывают такие показатели как:
- Чистый дисконтированный доход рассчитывается по формуле:
(5)
где Bt - выгоды проекта в год t
Ct - затраты проекта в год t
t = 1 ... n - годы жизни проекта
Инвестору следует отдавать предпочтение только тем проектам, для которых NPV имеет положительное значение. Отрицательное же значение свидетельствует о неэффективности использования денежных средств: норма доходности меньше необходимой.
- Индекс прибыльности.
Индекс прибыльности (profitability index, PI) показывает относительную прибыльность проекта, или дисконтированную стоимость денежных поступлений от проекта в расчете на единицу вложений. Он рассчитывается путем деления чистых приведенных поступлений от проекта на стоимость первоначальных вложений:
(6)
где: NPV - чистые приведенные денежные потоки проекта;
Со - первоначальные затраты.
- Внутренняя норма рентабельности это показатель при котором NPV=0. В этой точке дисконтированный поток затрат равен дисконтированному потоку выгод. Она имеет конкретный экономический смысл дисконтированной "точки безубыточности" и называется внутренней нормой рентабельности, или, сокращенно, IRR.
Оценка эффективности для проекта создания магазина зоотоваров ООО «Любимчик» произведена на основании интегральных показателей, отражающих экономическую эффективность, которую намечается достигнуть в результате его реализации. Принятый в расчетах эффективности проекта коэффициент дисконтирования (норма дисконта) равен 0,15 (15%).
Результаты расчетов показателей экономической эффективности бизнес-плана представлен в таблице 17
Таблица 17
|
Показатели |
|
|
1. Объем инвестируемых средств, руб. |
7761925 |
|
2. Период эксплуатации инвестиционного проекта, лет |
2 |
|
3. Сумма денежного потока, руб. |
|
|
1 год |
7770000 |
|
2 год |
7770000 |
Таблица 18
|
Инвестиционный проект |
|||
|
при ставке 10% |
|||
|
Годы |
будущая стоимость, руб. |
Дисконтный множитель |
настоящая стоимость, руб. |
|
1 |
7770000 |
0,909 |
7062930 |
|
2 |
7770000 |
0,826 |
6418020 |
|
ИТОГО |
15540000 |
13480950 |
Чистый дисконтированный доход равен:
ЧДД = 13480950 – 7761925 = 5719025 (руб.)
Срок окупаемости:
5719025 : 7761925 = 0,73 = 1 год
Таким образом, проект можно считать эффективным, так как его срок окупаемости меньше 1 года.
Список литературы
1. Алексеева М. М. Планирование деятельности фирмы. - М.: Финансы и статистика, 2002. - 248 с.
2. Артеменко В.Г., Беллендир М.В. Финансовый анализ: Учебное пособие. - М.: “ДИС”, НГАЭ и У, 2002 – 385 с.
3. Балабанов И.Т. Основы финансового менеджмента/ Учебное пособие. – М.: Финансы и статистика, 2003 – 478 с.
4. Волков О.И. Экономика предприятия. - М.: ИНФРА-М, 2003 – 255 с.
5. Гуляев В.Г. Организация бизнеса. - М.: Нолидж, 2002 – 372 с.
6. Ковалев В.В. Финансовый анализ. – 2-е изд., перераб. и доп. – М.: Финансы и статистика, 2002 – 512 с.
7. Финансовое управление фирмой / Под ред. В. И. Терехина. - М.: Экономика, 2001 – 260 с.
8. Финансовый менеджмент: теория и практика: Учебник / Под ред. Е.С. Столповой. – 3-е изд., перераб. и доп. – М.: Изд-во «Перспектива», 2003 – 656 с.
9. Финансы предприятий. Учебное пособие / Под ред. Н. В. Колчиной. - М.: Финансы, ЮНИТИ, 2002 - 413 с.

Мужчины