Матричные модели систем управления

Содержание

Введение.............................................................................................................. 3

1. Типы организационных структур.............................................................. 4

2. Матричная модель системы управления................................................... 8

3. Матричное управление в высшем учебном заведении.......................... 11

4. Применение матричных структур управления (по Ю.П.Васильеву).. 20

Заключение...................................................................................................... 24

Список использованной литературы........................................................... 27

Введение

В последние десятилетия получила развитие, так называемая матричная организационная структура управления. Матричная структура представляет собой комбинацию двух видов разделения: по функциям и по продукту. Матричные структуры появились в 50- 60-х годах в небольших по размеру авиакосмических фирмах США. Они были слишком малы, чтобы эффективно использовать чисто проектную (как правило, дорогостоящую) структуру. В корпорациях "Дженерал Электрик", "Шелл Ойл" и в других были проведены эксперименты по наложению проектной структуры на функциональную. Полученная схема имеет вид матрицы (решетки), состоящей из клеток. В соответствии с линейной структурой (по вертикали) строится управление по отдельным сферам деятельности организации: НИОКР, производству, сбыту, снабжению. В соответствии с программно-целевой структурой (по горизонтали) организуется управление программами (проектами, темами).

Матричным структурам свойственно сочетание управления по двум линиям, например, по функциям и по проектам, объединение, сочетание которых образуют матрицу.

Объект исследования: матричное управление в высшем учебном заведении

Субъект исследования: структура управления.

Цель работы: провести исследование матричных моделей систем управления.

Данная цель решается с помощью раскрытия следующих основных задач:

1. описать типы организационных структур, выявить достоинства и недостатки;

2. описать матричное управление в высшем учебном заведении;

3. описать применения матричных структур управления (по Ю.П.Васильеву).

1. Типы организационных структур

Организационная структура – форма управления, представляющая собой механизм и способ разделения и кооперации труда с распределением целей и задач управления между подразделениями и работниками организации, т.е. структура управления – это организационная форма разделения труда по принятию и реализации управленческих решений.

Цели создания:

1.     разделение труда и распределение официальных обязанностей среди отдельных сотрудников и групп;

2.     определение сферы контроля управляющих и соподчиненности в организации;

3.     координация всех функций - единое целое.

Стадии разработки организационных структур:

1.     формирование вертикальной структуры (создание рабочих мест под конкретные функции);

2.     подразделение на отделы;

3.     формирование горизонтальной структуры (координация всех функций - организация как единое целое).

Критерии выбора организационной структуры:

·        размеры деятельности (мелкая, средняя, крупная фирма);

·        производственный профиль фирмы (выпуск одного вида продукции или широкой номенклатуры);

·        характер выпускаемой продукции и технология её производства;

·                сфера деятельности (ориентация на местный, национальный или внешний рынок).

б) классификация организационных структур

В зависимости от характера связей между различными подразделениями различают следующие типы (формы) организационных структур управления производством:

1. Линейная структура управления

Признаки:

·        Единоличное руководство подчиненными и сосредоточение в руках одного руководителя всех функций управления (неспециализированное управление). Во главе каждого производственного или управленческого подразделения находится руководитель, наделенный всеми полномочиями и осуществляющий единоличное управление подчиненными ему работниками.

·        Вертикальное управление "сверху вниз" -подчинение вышестоящему руководителю. На этой основе создается иерархия руководителей данной системы управления (например, мастер участка, инженер, начальник цеха, директор предприятия).

·        Принцип единоначалия – предполагает, что подчиненные выполняют распоряжения только одного руководителя. Вышестоящий орган управления не имеет права отдавать распоряжения каким-либо исполнителям, минуя их непосредственного руководителя.

Достоинства линейной структуры управления:

·        единство и четкость распорядительства;

·        оперативность в принятии решений;

·        личная ответственность руководителя за конечные результаты деятельности своего подразделения.

Недостатки линейной структуры управления :

·        высокие требования к руководителю;

·        ограничение масштабов предприятия и возможностей руководителя по эффективному управлению.

Сфера распространения линейной структуры управления - используется мелкими и средними фирмами с несложным производством при отсутствии широких кооперационных связей между предприятиями.

Функциональная структура управления

Признаки:

1.     Специализированное управление. Каждый орган управления (либо исполнитель) специализирован на выполнении отдельных видов управленческой деятельности (функций).

2.     Самостоятельная управленческая роль функциональных служб - указания и распоряжения (в пределах своих полномочий) нижестоящим подразделениям.

3.     Функциональная организация существует наряду с линейной, что создает двойное подчинение для исполнителей.

Достоинства функциональной структуры управления:

·        высокая компетентность специалистов, отвечающих за осуществление конкретных функций;

·        рутинные задачи не требуют оперативного принятия решений.

Недостатки функциональной структуры управления:

·        снижение ответственности исполнителей за работу;

·        длительная процедура принятия решений;

·        сложная иерархия в структуре взаимоотношений.

Линейно-функциональная структура управления (штабное управление)

Признаки:

1.     создание специального аппарата управления при первых линейных руководителях;

2.     отсутствие самостоятельности в распоряжении производственным подразделением;

3.     разрастание аппарата управления - сложность координации.

Недостатки линейно-функциональных структур управления:

·        отсутствие тесных взаимосвязей и взаимодействия на горизонтальном уровне между производственными отделениями;

·        чрезмерно развитая система взаимодействия по вертикали – подчинение по иерархии управления.

Матричная структура управления

Признаки:

1.     Создается путем совмещения структур двух видов: линейной и программно-целевой: В соответствии с линейной структурой (по вертикали) строится управление по отдельным сферам деятельности организации: НИОКР, производству, сбыту, снабжению. В соответствии с программно-целевой структурой (по горизонтали) организуется управление программами (проектами, темами).

2.     Сочетает в себе горизонтальные и вертикальные связи, при ведущей роли горизонтальных связей; подбор и назначение руководителя программы (проекта), его заместителей по отдельным подсистемам (темам).

3.     Более гибкое и приспособленное к реализации инновационных проектов – создаются специальные целевые подразделения, объединяющие ведущих специалистов для совместной разработки основных идей программы.

4.     Двойное подчинение в матричных структурах.

5.     Матричная структура управления включает в себя: проектную структуру управления и проблемно-целевую структуру управления.

Проблемы матричной структуры управления: установление приоритетов заданий и распределение времени работы специалистов над проектами, могут нарушать стабильность функционирования фирмы и затруднять достижение ее долгосрочных целей.

Достоинства матричной системы управления:

·        активизация деятельности руководителей – активная творческая деятельность по совершенствованию производства;

·        усиление личной ответственности руководителя за программу в целом и организацию четкого взаимодействия в системе управления;

·        поиск новых нетрадиционных решений проблем и инноваций;

·                сокращение нагрузки на руководителей высшего уровня управления путем передачи полномочий принятия решений на средний уровень управления;

·        обеспечение гибкости и оперативности маневрирования ресурсами при выполнении нескольких программ в рамках одной фирмы.

Сфера распространения матричных структур управления: научно-исследовательские организации; промышленные фирмы, выпускающих сложную продукцию и осуществляющих уникальные крупномасштабные проекты.

2. Матричная модель системы управления

При матричной структуре управления при определении горизонтальных связей необходимы:

подбор и назначение руководителя программы (проекта), его заместителей по отдельным подсистемам (темам) в соответствии со структурой  программы;

определение и назначение ответственных исполнителей в каждом специализированном подразделении;

организация специальной службы управления  программой. Для обеспечения работы в рамках матричной структуры требуется провести изменения в производственной структуре; создать в материнской компании специальные целевые подразделения, объединяющие ведущих специалистов для совместной разработки основных идей программы. При матричной структуре управления  руководитель программы (проекта) работает с непосредственно не подчинёнными ему специалистами, которые подчинены линейным руководителям. Он в основном определяет, что и когда должно быть сделано по конкретной программе. Линейные же руководители решают, кто и как будет выполнять ту или иную работу. Проблемы, возникающие при установлении приоритетов заданий и распределении времени работы специалистов над проектами, могут нарушать стабильность функционирования фирмы и затруднять достижение её долгосрочных целей. Для обеспечения координации работ в условиях матричной структуры управления  центр управления программами призван увязывать выполнение управленческих процедур отдельными функциональными и линейными подразделениями. Матричные структуры управления, дополнившие линейно-функциональную организационную структуру управления новыми элементами, открыли качественно новое направление в развитии наиболее активных и динамичных проблемно- целевых и программно-целевых организационных форм управления, которые нацелены на подъём творческой инициативы руководителей и специалистов и выявление возможностей значительного повышения эффективности производства на основе ускорения темпов его технического развития, обеспечивающего рост производительности труда, снижение издержек производства и улучшение качества выпускаемой продукции. Матричная структура, построенная на основе принципа двойного подчинения исполнителей: с одной стороны, непосредственному руководителю функционального подразделения, которое предоставляет персонал и другие ресурсы руководителю проекта (или целевой программы), с другой, - руководителю временной группы, который наделен необходимыми полномочиями и несет ответственность за сроки, качество и ресурсы. При такой организации руководитель проекта взаимодействует с двумя группами подчиненных: с членами проектной группы и с другими работниками функциональных подразделений, подчиняющимися ему временно и по ограниченному кругу вопросов (причем сохраняется их подчинение непосредственным руководителям подразделений - отделов, служб). Переход к матричным структурам охватывает не всю организацию, а лишь ее часть, причем успех здесь в значительной мере зависит от того, в какой степени руководители проектов обладают профессиональными качествами менеджеров и способны выступить в проектной группе в роли лидеров. Масштабы применения матричных структур в организациях довольно значительны, что говорит об их эффективности, хотя система двойного (а в ряде случаев даже множественного) подчинения вызывает немало проблем с управлением персоналом и его эффективным использованием. В нашей стране матричные структуры успешно использовались в тех случаях, когда наряду с ними внедрялись новые экономические взаимоотношения между подразделениями предприятий и объединений с целью повышения их заинтересованности в реализации проектов и целевых программ. Гибкие оргструктуры "не срабатывают", если остаются без изменения действующие системы планирования, контроля и распределения ресурсов, не вводятся новые условия материального стимулирования разработчиков, коль скоро консервируется стиль руководства и не поддерживается естественное стремление работников к саморазвитию. При такой структуре устанавливается разделение прав менеджеров, осуществляющих управление подразделениями, и менеджеров, руководящих выполнением проекта, и важнейшей задачей высшего руководящего состава компании в этих условиях становится поддержание баланса между двумя организационными альтернативами. Основополагающим принципом в матричном  подходе к построению организационных структур управления является не совершенствование деятельности отдельных структурных подразделений, а улучшение их взаимодействия в целях реализации того или иного проекта или эффективного решения определенной проблемы. Это требование выполняется здесь за счет того, что в матричной структуре параллельно с функциональными и линейными подразделениями создаются специальные органы (проектные группы) для решения конкретных производственных задач. Эти проектные группы формируются за счет специалистов подразделений, находящихся на различных уровнях управленческой иерархии. Таким образом, главным принципом формирования матричной структуры является развитая сеть горизонтальных связей, многочисленные пересечения которых с вертикальной иерархией образуются за счет взаимодействия руководителей проектов с руководителями функциональных и линейных подразделений. Матричные структуры управления  могут быть двух видов. В первом случае руководитель проекта взаимодействует с двумя группами подчиненных: с постоянными членами проектной группы и с другими работниками функциональных подразделений, которые подчиняются ему на временной основе и по ограниченному кругу вопросов. При этом сохраняется подчиненность этих исполнителей непосредственным руководителям подразделений, отделов, служб. Во втором случае руководителю проекта могут подчиняться временно только исполнители из соответствующих функциональных подразделений.

3. Матричное управление в высшем учебном заведении

Основные направления в системе управления в высшем учебном заведении.

Во-первых, понимание, что в новых социально-экономических условиях управление высшим учебным заведением должно быть иным, чем прежде. Это понимание рефлексируется, в первую очередь, в терминологии. Слово менеджмент уверенно и успешно замещает в лексике слово управление. Это было не удивительно, ведь прямой перевод management действительно означает управление, если бы слово менеджмент не сопровождалось совершенно различными прилагательными, приводя к удивительным сочетаниям, например, педагогический менеджмент, пассионарный менеджмент и т. д. В этом случае трудно понять о чем ведется речь, или, если это относится к управлению высшим учебным заведением, то чем принципиально отличаются приведенные выше системы управления. Все это свидетельствует о пока еще неудачных "выпускных экзаменах", по-видимому, слишком ускоренной "учебы".

Во-вторых, выбор направления и методов совершенствования управления высшим учебным заведением. Заметим, что подавляющая часть материалов относится к управлению академической деятельностью, оставляя вне рамок изучения иные, реально выполняемые виды деятельности вуза. Такой концентрированный интерес к управлению академической деятельностью определяется не только тем, что эта деятельность занимает доминирующее поле в жизни высшего учебного заведения, но и тем, что руководители этого вида деятельности полагают себя подготовленными к определению направления и методов совершенствования управления академической деятельностью.

В основном, выделяются три направления совершенствования управления академической деятельностью: совершенствование управления учебным процессом на основе его формализации, его компьютеризации, закономерностей межличностных отношений. Безусловно, представленные направления актуальны и востребованы высшей школой. Но не менее важной является оценка состоятельности используемых методов для достижения поставленных целей, необходимая методическая подготовка - свидетельство истинного умения управлять. Пожалуй, только компьютеризация управления высшим учебным заведением и академической деятельностью, в частности, представлена крайне интересными образцами ведущихся разработок. Хотелось бы только надеяться, что авторы не перешагнут черту, когда метод достижения цели подменяет ее, превращая получение действительно полезных результатов в гонку за собственной тенью.

Анализ методов, предлагаемых для совершенствования управления академической деятельностью в высшем учебном заведении, показывает, что они представляют собой обобщения педагогики высшей школы, педагогической психологии советского периода развития России. С глубоким уважением относясь к истории российской высшей школы, - она продемонстрировала великолепные достижения своей работы, хотелось бы подчеркнуть существенное различие в целевых установках деятельности высшей школы в советский период и настоящее время. Поэтому оценочные требования к личностным качествам преподавателя, такие как наблюдательность, рефлексия, остроумие, ораторские способности, артистичность, столь необходимые, когда процесс обучения на 70-80 % представлял собой аудиторные занятия, существенно теряют свою значимость, когда центр тяжести обучения переносится на самостоятельную работу, погруженную в современные информационные ресурсы. Поэтому разработка контрольно-измерительных материалов, ориентированных на перечни знаний, умений и навыков Государственных образовательных стандартов, вряд ли будет эффективной, пока остается не определенным само понятие "потребительское качество подготовки специалистов".

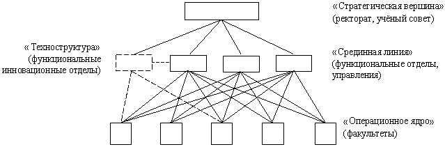
Возвращаясь к задаче "учиться управлять", хотелось бы, в первую очередь, ответить на вопрос: какой модели управлять надо учиться. Чтобы ответ не носил характера погони за модой, проанализируем модель управления высшим учебным заведением, наиболее распространенную в российской высшей школе (рис. 1). Она представляет собой вертикальную трехуровневую структуру: "стратегическая вершина" (ректорат, ученый совет вуза) - "срединная линия" (общевузовские управления, отделы) - "операционное ядро" (факультеты). Использованная терминология соответствует общепринятому анализу организаций Г. Минцберга. Мы не выделяем кафедральный уровень управления, так как структурным подразделением, выпускающим конечную продукцию - специалистов и отвечающим за их качество, является факультет.

Рис. 1. Трехуровневая система линейного управления высшим учебным заведением

Представленная модель управления является линейной, решение, генерируемое "стратегической вершиной", обязательно для исполнения каждого структурного подразделения из "операционного ядра". Существующая функциональность "срединной линии" представляет собой наиболее усовершенствованный вариант линейной модели. Такая система достаточно успешно работает, когда организация, в том числе и высшее учебное заведение, действует в среде плановой экономики. Это не удивительно, так как планово-распорядительная система предполагала исполнение всеми производящими подразделениями однотипных согласованных во времени действий.

Успешное функционирование и развитие высшего учебного заведения в рыночной среде требуют активного наращивания внебюджетных источников финансирования. А это предполагает самостоятельность действий на основе принципа автономии, установленного Федеральным законом "Об образовании". Как ни странно, узким местом линейной системы управления высшим учебным заведением в такой ситуации становится ее "срединная линия". Это связано с тем, что активная самостоятельная работа вуза требует от "срединной линии" выполнения информационно-аналитических и организационных функций наряду с традиционными контрольно-рапорядительными. К такого рода деятельности "срединная линия" не готова ни организационно, ни содержательно.

Собственно говоря, как следует из анализа Г. Минцберга, такой путь реформирования управления проходят все организации, в том числе и высшие учебные заведения, чтобы успешно работать в среде рыночной экономики. Рассмотренная выше модель (см. рис. 1) трансформируется в модель, представленную на рис. 2.

Рис. 2. Инновационная матричная система управления высшим учебным заведением

Как видно из рис. 2, трехуровневая структура управления высшим учебным заведением "стратегическая вершина" - "срединная линия" - "операционное ядро" приобретает дополнительный элемент - "техноструктуру" (технологическую структуру). "Техноструктура" занимает уровень "срединной линии", но не является ее составляющей, так как отличается от "срединной линии" по выполняемым функциям, используемым принципам и целям действий. Если основные функции "срединной линии" по своей сущности являются контрольно-распорядительными, то функции "техноструктуры" - преимущественно организационными. Задачи "техноструктуры" концентрируются на анализе эффективности того или иного вида деятельности высшего учебного заведения и организации в этом виде деятельности инноваций. Естественно, характер инноваций, требующий соответствующего уровня подготовленности, предполагает совместное участие в них либо всех, либо только части структурных подразделений "операционного ядра". В любом случае в основе действий "техноструктуры" лежит матричный принцип управления, в то время как функционирование "срединной линии" базируется на линейном принципе. Появление "техноструктуры" в управлении высшим учебным заведением представляет собой инструмент организации активных действий вуза в рыночной среде. Кроме того, становление и развитие "техноструктуры" является необходимым условием успешной трансформации высших учебных заведений в учебно-научно-инновационные комплексы (УНИК). Перескакивание через этап естественных подготовительных преобразований управления может свести формирование УНИК к не более чем кампании с присущей такого рода мероприятиям результативностью.

Реализуя инновационный образовательный проект "Система менеджмента образовательной деятельности в университете – региональном многопрофильном центре профессионального образования", поддерживаемый Национальным фондом подготовки кадров, в Мордовском государственном университете создан один из элементов "техноструктуры" – Инновационный образовательный центр (ИОЦ), призванный обеспечить инновационный процесс в академической деятельности университета.

Объективная необходимость инноваций в академической деятельности регионального университета определяется следующими факторами.

1. Региональный многопрофильный университет играет ключевую роль в инновационном развитии региона, так как во многих случаях является монопольным источником кадрового обеспечения практически всех отраслей региона.

2. Эффективное участие в процессах инновационного развития региона требует от специалистов, во-первых, практического освоения фундаментальных основ специальности, во-вторых, углубленного изучения перспективных методов и технологий специальности, в-третьих, дополнительного освоения знаний, умений и навыков из других специальностей, необходимых для успешной работы.

В связи с этим целью деятельности созданной "техноструктуры" - Инновационного образовательного центра является организационное и научно-методическое обеспечение инновационной академической деятельности университета. Исходя из цели деятельности ИОЦ, а также основных функций "техноструктуры", таких как информационно-аналитическая и организационная, в Положении об Инновационном образовательном центре университета определены следующие задачи:

- исследование тенденций и перспектив развития высшего профессионального образования;

- подготовка материалов для стратегического планирования деятельности университета;

- маркетинговое исследование регионального рынка труда на предмет установления количественных и качественных запросов потребителей образовательных услуг (работодателей, физических лиц);

- подготовка предложений для определения способов диверсификации академической деятельности по специальностям подготовки в Университете в виде следующих образовательных траекторий:

- углубленная специализация;

- дополнительная квалификация;

- вторая специальность;

- разработка нормативной учебно-методической документации (образовательный стандарт, учебный план, образовательные программы, график учебного процесса) для реализации образовательных траекторий диверсифицированной академической деятельности;

- реализация диверсифицированной академической деятельности и ее сопровождение;

- разработка методов управления качеством образовательной деятельности в университете;

- подготовка материалов для независимой экспертизы качества образовательной деятельности;

- обеспечение связей с общественностью по вопросам образовательной деятельности университета.

Одной из первых акций созданной "техноструктуры" – Инновационного образовательного центра университета по реализации поставленных задач стало проведение анкетирования студентов "Студент и региональный рынок труда". В анкетировании приняло участие 569 студентов 2-4 курсов, обучающихся на специальностях "Математика", "Физика", "Химия", "Менеджмент", "Юриспруденция", "Социальная работа", "Светотехника и источники света", "Промышленная электроника", "Микроэлектроника и твердотельная электроника". Репрезентативность выборки обеспечивалась участием респондентов, обучающихся на всех направлениях подготовки университета (естественно-научном, гуманитарном и инженерно-техническом), а также на различных курсах.

Анализ полученных результатов показывает, что большинство опрошенных студентов оценивают свои шансы трудоустройства на региональном рынке труда в рамках традиционной системы профессиональной подготовки как средние (54 %) и низкие (36 %). Только 10 % респондентов полагает, что будущее трудоустройство по специальности не вызовет у них больших затруднений. Определенным выходом из сложившейся ситуации значительная часть опрошенных называет получение дополнительного образования в виде углубленной специализации, дополнительной квалификации или второго образования. 94 % опрошенных считает, что современному работодателю крайне выгодно привлечение специалистов, способных работать не только по основной специальности, но и обладающих знаниями, умениями и навыками из областей, с которыми основная специальность взаимодействует в своей практической деятельности. Поэтому более 41 % респондентов намерены после окончания университета получить второе высшее образование, около 39 % предполагают обдумать это решение. Весьма примечательно, что около 80 % опрошенных считают, что шансы на трудоустройство увеличивает получение за период обучения в университете углубленной специализации, дополнительной квалификации или еще одной специальности, причем 79 % респондентов готовы участвовать в той или иной форме своего дополнительного образования. Приведенная оценка является на самом деле оценкой "сверху" реальной готовности получения дополнительных образовательных услуг, так как только 57-67 % опрошенных (в зависимости от вида дополнительного образования) готовы оплачивать предлагаемые дополнительные образовательные услуги.

Крайне важно отметить, что выбор студентами своей возможной дополнительной квалификации или второй специальности не является результатом эмоционального решения. Избранные направления дополнительного образования тесным образом сопрягаются с основной специальностью подготовки. Так, например, для специальностей инженерно-технического и естественно-научного направлений преимущественное место занимает дополнительная квалификация "Управление качеством", для специальности "Социальная работа" – "Управление персоналом", для специальности "Менеджмент" – вторая специальность "Юриспруденция". По своей сути последний результат представляет собой не что иное, как настоятельную востребованность диверсификации академической подготовки по основной специальности. Кроме того, результаты анкетирования показывают требования потребителей образовательных услуг к развитию и совершенствованию Классификатора специальностей высшего профессионального образования.

Проведенное анкетирование студентов "Студент и региональный рынок труда" можно считать началом деятельности создаваемой в университете маркетинговой службы, которая должна приобрести постоянный характер. Полученные результаты маркетинговых исследований стали основой организации разработки необходимой нормативной учебно-методической документации, обеспечивающей реализацию востребованной диверсификации академической деятельности в университете. Для такой работы необходимо объединение усилий тех или иных пар факультетов, участвующих в диверсифицированной академической деятельности. Подобный результат, приводящий, в конечном итоге, к активным действиям университета на региональном рынке труда, является следствием матричного управления академической деятельностью созданной "техноструктурой" - Инновационным образовательным центром.

4. Применение матричных структур управления (по Ю.П.Васильеву)

Матричные структуры управления, дополнившие линейно-функциональную организационную структуру управления новыми элементами, открыли качественно новое направление в развитии активных, высокодинамичных проблемно-целевых и программно-целевых организационных форм управления, нацеленных на подъем творческой инициативы руководителей и специалистов по выявлению возможностей значительного повышения эффективности производства на основе ускорения темпов его технического развития, обеспечивающего рост производительности труда, снижение издержек производства и улучшения качества выпускаемой продукции (об итогах применения матричных структур управления в крупных промышленных фирмах[1]).

1.     Переход к матричным структурам управления осуществляется в крупных промышленных фирмах как объективная необходимость в связи с нарастанием трудностей в управлении техническим развитием производства с применением традиционной линейно-функциональной организационной структуры управления. Поиск новых, более эффективных организационных структур управления привел к расширению научных исследований в этой области, которые позволили придти к заключению о том, что характер организационной структуры управления определяется типом производства (массовое, мелкосерийное, единичное), каждый из которых, имея свои особенности, требует соответствующей организационной структуры управления. Было установлено, что линейно-функциональная структура управления лучше всего подходит для управления функционированием предприятий с массовым производством.

2.     Первые шаги в применении отдельных элементов матричных структур управления в крупных промышленных фирмах США были сделаны еще в 20-х гг. с появлением организационных подразделений, управляющих производством в рамках отдельных типов выпускаемой продукции и имеющих своей задачей повышение целенаправленности производства в расчете на удовлетворение потребности определенных групп потребителей. Накопленный в те годы опыт применения матричных структур управления показал, что к их внедрению надо приступать только в тех случаях, когда линейно-функциональная организационная структура управления уже не обеспечивает ожидаемого эффекта.

3.     Наряду с расширяющейся практикой формирования проблемно-целевых групп и временных проектов структур управления для осуществления отдельных проектов, представляющих собой определенный законченный комплекс работ, в конце 70-х и особенно в 80-х гг. стали все шире создаваться постоянные программные структуры управления. Их совершенствование позволило расширить их применение для обеспечения высоких конечных экономических результатов на предприятиях не только единичного и мелкосерийного, но и массового производства.

4.     С переходом к развитой матричной структуре управления происходит значительная активизация деятельности руководителей и работников административного аппарата за счет формирования программных подразделений, активно взаимодействующих с функциональными подразделениями, усиливается взаимосвязь между ними, что уже само по себе способствует повышению эффективности внутрифирменной системы управления в целом.

5.     Поскольку переход к развитой матричной структуре управления связан с серьезной перестройкой всей внутрифирменной системы управления, он осуществляется на основе предварительно разработанной программы, предусматривающей осуществление целого ряда подготовительных мероприятий, направленных, в частности, на ознакомление руководителей и административно-управленческих работников с особенностями новой структуры управления.

6.     Переход к развитой матричной структуре управления требует от руководителей высшего звена, руководителей производственных отделений и предприятий активного участия в подборе руководителей проектных и программных подразделений, обладающих достаточным опытом руководящей работы, энергичных, способных и хорошо знающих данное производство. Исходя из этого были намечены пять направлений деятельности формируемых новых поблемно-целевых групп и укрупненных творческих коллективов.

Первое направление работ предусматривает решение задач по разработке и внедрению в производство новых, более совершенных моделей высокопроизводительных прецизионных станков с ЧПУ повышенной надежности и высоким качеством выполнения производственных операций, а также созданию отдельных принципиально новых элементов этих станков.

Второе направление работ предусматривает решение задач по ускоренной разработке и внедрению в серийное производство качественно новых моделей более компактных промышленных роботов и совершенствованию их отдельных узлов и деталей.

Третье направление работ предусматривает решение задач по внедрению новейших высокопрогрессивных технологических процессов. Созданные здесь проблемно-целевые группы за короткое время внедрили технологическую лазерную установку для упрочнения деталей в целях повышения их износостойкости и технологический процесс плазменного напыления поверхностей деталей типа тел вращения для повышения их прочности и антикоррозийности.

Четвертое направление работ предусматривает решение задач по созданию системы контрольно-диагностических стендов для проверки качества деталей, узлов, комплектующих изделий и выпускаемой конечной продукции - станков и промышленных роботов.

Пятое направление работ предусматривает решение задач, связанных с использованием возможностей заводского вычислительного центра для совершенствования автоматизированной системы сетевого планирования крупномасштабных конструкторско-технологических работ, разработки и внедрения САПР, баз данных и пакетов программ, обеспечивающих повышение эффективности инженерного труда.

По каждому из пяти указанных направлений работ организационным советом разработана целевая программа, содержащая концепцию, определяющую стратегию развития данного направления работ, позволяющую четко формулировать цели и в соответствии с ними определять перечень задач, ускоренно решаемых с помощью формируемых проблемно-целевых творческих групп и укрупненных творческих коллективов. По каждой задаче устанавливаются сроки выполнения работ, за соблюдение которых выплачивается премия. Размер ее определяется организационным советом по разработанной методике с учетом объема, важности, новизны и срочности выполняемых работ.

В числе основных проблем совершенствования оргструктур управления можно отнести:

1.     Совершенствование хозрасчетных отношений.

2.     Внедрение матричной оргструктуры управления, если она учитывает специфику предприятия.

3.     Соблюдение норм управляемости для менеджеров разных уровней управления.

4.     Четкое распределение функциональных обязанностей и их успешное выполнение.

5.     Демократичность управления при одновременной жесткости ответственности.

Заключение

Матричная структура управления – эта структура управления очень сильно отличается от всех рассмотренных выше и имеет определенное сходство с проектной организацией. В матричной структуре весь коллектив проектной группы и отдельные ее члены подчиняются не только руководителю проекта, но и руководителям функциональных отделов.

В настоящее время матричная организация широко применяется в фирмах многих стран

Матричные структуры управления получили наиболее широкое применение и развитие прежде всего в аэрокосмической промышленности, где возникла объективная необходимость в координации деятельности большого числа отдельных промышленных фирм для осуществления уникальных крупномасштабных проектов и программ в пределах ограниченных временных рамок и выделенных финансовых средств.

Матричные структуры управления способствуют проведению частых перестроек, связанных с внедрением новейших технологических процессов и более производительного технологического оборудования, что ведёт к изменениям в организационной структуре управления фирмой в целом.

При переходе к матричным структурам управления наибольший экономический эффект достигается на крупных предприятиях и многозаводских промышленных комплексах, выпускающих сложную продукцию.

Матричная структура управления включает: проектную структуру управления и проблемно-целевую структуру управления.

Типы матричных структур весьма разнообразны, что позволяет выбирать наиболее подходящую структуру с учетом масштабов и особенностей производства. Это простейшие формы координации работ, получившие развитие в научно-исследовательских организациях; внутрифирменные и заводские проблемно-целевые формы управления, применяемые для решения локальных задач; сложные проектные и программные (по продукту) матричные структуры.

Все они ориентированы на ускорение и эффективное решение поставленной конкретной цели (задачи).

Преимущества:

1.     Руководители дисциплин освобождаются от многих руководящих обязанностей и получают возможность уделять большую часть своего времени разработкам, сориентированным на будущий вклад в развитие в той области компании, в которой они работают.

2.     Отдельные научно-технические специалисты в рамках тесно связанной "команды" работают, преследуя конкретные и осязаемые цели. Будучи специалистом в своей дисциплине, такой работник приобретает более высокий статус в междисциплинарной "команде", чем работая среди других специалистов в собственной области.

3.     Матричная организация хорошо воспринимается персоналом НИОКР, так как большинство научно-технических специалистов любят работать над конкретными программами.

4.     Матричная организация допускает постепенный переход проекта из сферы НИОКР в производство без длительного перерыва.

5.     Затраты времени на планирование и согласование отдельных вопросов, обеспечение специализации научно-исследовательских подразделений по отдельным направлениям тематического плана. Позволяет повысить централизацию управления всей деятельностью научной организации, эффективно применять сетевые методы управления.

В заключении важно подчеркнуть, что экспериментирование с разработкой и введением новых структур управления стало характерной чертой последнего десятилетия XX в. В ходе этих экспериментов нередко используются самые разнообразные комбинации известных видов и типов структур, приспосабливаемых организациями к конкретным условиям их функционирования.

Но все же главная тенденция состоит в том, что каждая последующая структура становится более простой и гибкой по сравнению с ранее действовавшими. При этом называются следующие десять требований и характеристик формирования эффективных структур управления:

1) сокращение размеров подразделений и укомплектование их более квалифицированным персоналом;

2) уменьшение числа уровней управления;

3) групповая организация труда как основа новой структуры управления;

4) ориентация текущей работы, в том числе графиков и процедур, на запросы потребителей;

5) создание условий для гибкой комплектации продукции;

6) минимизация запасов;

7) быстрая реакция на изменения;

8) гибко переналаживаемое оборудование;

9) высокая производительность и низкие затраты;

10) безупречное качество продукции и ориентация на прочные связи с потребителем.

Можно не сомневаться в том, что в ближайшем будущем мы столкнемся с большим разнообразием структур, каждая из которых будет отвечать потребностям конкретной организации.

Список использованной литературы

1.     Автоматизация управления предприятием/В. В. Баронов, Г. Н. Калянов, Ю. И. Попов и др.-М.:ИНФРА-М,2000. - 237 с.

2.     Блинов А. Ю. Внедрение системы управления по целям в российских условиях/А. Ю. Блинов. / / Менеджмент в России и за рубежом.- 2003.-N 1. - С. 66-70.

3.     Васильев Ю. Управление производством. Опыт США. М., 1988

4.     Коленсо М. Стратегия Кайзен для успешных перемен в организации. М.: Инфра-М, 2002. 174 с.

5.     Мазур И. И., Шапиро В. Д., Ольдерогге Н. Г. Управление проектами. М.: Омега-Л, 2004. 657 с.

6.     Макаркин Н.П., Томилин О.Б., Фадеева И.М. Матричное управление в высшем учебном заведении //Университетское управление. 2004. № 1(29). С. 43-47.

7.     Мухин В. И. Основы теории управления. М.: Экзамен, 2003. 255 с.

8.     Огвоздин В.Ю. Структура и принципы менеджмента //Менеджмент в России и за рубежом.- 2002.-N 6. - С. 113-122.

9.     Пурим Т. В. Подходы к организационному проектированию систем управления. //Экономика строительства.-1997.-N 4.-С. 57-60.

10.            Развитие стратегического подхода к управлению в российских университетах / Под ред. Е. А. Князева. Казань: Унипресс, 2001.


[1] Васильев Ю. Управление производством. Опыт США. М., 1988