1. Принципы сметного планирования и финансирования
Различают следующие принципы сметного планирования[1]:
1) Органическая связь с планом социально-экономического развития региона. Расходы бюджетных учреждений обусловлены экономическим планом той административно-территориальной единицы, где располагается это учреждение;
2) Строго целевое назначение бюджетных ассигнований. Все затраты бюджетных учреждений сгруппированы в соответствии со статьями бюджетной классификации, определяющими целевую направленность ассигновании по каждой смете. Выдаются средства из бюджета при строгом соблюдении производственных и финансовых планов с учетом выделенных paнее средств;
3) Соблюдение режима экономии в расходовании средств. Данный принцип предусматривает такое использование средств, при котором достигается максимальная эффективность деятельности учреждения при минимуме денежных затрат;
4) Проведение вышестоящими организациями и финансовыми органами систематического контроля за финансовой деятельностью бюджетных учреждений. Соблюдению рассмотренных выше принципов финансирования способствует систематический финансовый контроль за деятельностью бюджетных учреждений, который представляет системы мероприятий, направленных на укpeпление финансовой и плановой дисциплины, повышение эффективности использования бюджетных ассигнований. Основные способы финансового контроля - проверка обоснованности планов финансирования (смет, бюджетов), анализ их исполнения, ревизии и проверки финансово-хозяйственной деятельности учреждений.
Расходование бюджетных средств без утвержденной в установленном порядке сметы расходов не допускается.
Составление, рассмотрение и утверждение смет расходов учреждений, которые находятся на федеральном бюджете России и на местных бюджетах, и смет расходов на централизованные мероприятия, которые финансируются из указанных бюджетов, осуществляется в установленном законом порядке. Бюджетные учреждения, ведущие самостоятельный учет или обслуживаются централизованными бухгалтериями составляют индивидуальные сметы расходов.
Кроме того, в литературе встречается следующее перечисление принципов бюджетного планирования[2]:
Первый принцип. Сначала на запланированный период определяют ожидаемую сумму дохода (фактических поступлений средств и/или другого имущества). Потом эту сумму распределяют между направлениями расходов — программами мероприятий и комплексом действий. Этот принцип составления сметы целесообразен для тех учреждений, которые могут определить сумму ожидаемого дохода более-менее точно. Например, учреждение, которое содержится только за счет оплаты за услуги (например репетиторство) и имеет определенное количество клиентов и установленный размер стоимости услуг, составляя смету, может с успехом применять принцип 1, потому что ожидаемая сумма дохода известна заранее. Остается распределить такой доход по направлениям расходов.
Второй принцип заключается в следующем. Прежде всего на запланированный период определяют ожидаемую сумму расходов (фактических расходов средств и/или другого имущества), которая необходима для обеспечения функционирования учреждения. Потом планируют источники получения доходов и их сумму для финансирования ожидаемой величины расходов. Принцип 2 подходит для тех организаций, где нет возможности заранее приблизительно определить сумму ожидаемого дохода. Неприбыльная организация, которая содержится только за счет финансовой помощи, может применять для составления сметы именно этот принцип.
Третий принцип является комбинированным. При составлении сметы в части текущей деятельности (имеется в виду необходимый минимум деятельности) применяется принцип 1, а в части прочей деятельности (дополнительных программ неприбыльной организации) — принцип 2. Могут быть и другие комбинации. Этот принцип составления сметы может использовать организация, существующая как за счет членских взносов, так и за счет других, менее прогнозируемых источников, например безвозвратной финансовой помощи. При этом приблизительно прогнозируемая сумма поступлений может направляться на финансирование текущей деятельности, а другие, менее прогнозируемые, поступления (финансовая помощь) — на финансирование дополнительных программ неприбыльной организации.
2. Этапы бюджетного процесса
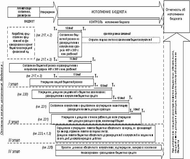
Основные этапы бюджетного процесса, предусмотренные Бюджетным кодексом и реализуемые информационной технологией, представлены на рис. 1. Система финансово-экономического обеспечения указанных выше участников бюджетного процесса может быть представлена в виде иерархической организационно-административной структуры управления, выполняющей следующие функции[3]:
· разработка предложений о финансировании в проект бюджета на очередной год;
· прогнозирование и исполнение доходной части бюджета;
· планирование и казначейское исполнение расходной части бюджета;
· организация и ведение бухгалтерского учета и бухгалтерской отчетности в ходе реализации бюджетного учета;
· подготовка и представление отчетности об исполнении бюджета.

Рис. 1. Основные этапы бюджетного процесса, предусмотренные Бюджетным кодексом РФ
Структура технологии исполнения этапов бюджетного процесса приведена на рис.2.

Рис.2. Обязанности и взаимодействие участников бюджетного процесса при исполнении бюджета
Обязанности всех участников бюджетного процесса и взаимодействие между ними согласно технологии исполнения бюджета представлены на рис. 3.

Рис. 3. Структура технологии исполнения этапов бюджетного процесса
3. Классификация статей расходов бюджетных учреждений
Эта классификация выглядит следующим образом[4]:
Утвержденная Федеральным законом от 15 августа 1996 года №115-ФЗ "О бюджетной классификации Российской Федерации" (с последующими изменениями и дополнениями) экономическая классификация расходов бюджетов Российской Федерации является основой для планирования и организации бухгалтерского учета расходов бюджетных учреждений.
Основные правила применения экономической классификации расходов бюджетных учреждений определены Приказом Минфина РФ от 11 декабря 2002 года №127н "Об утверждении указаний о порядке применения бюджетной классификации Российской Федерации".
Рассмотрим действующие в настоящее время правила применения статьи "Командировки и служебные разъезды" экономической классификации расходов бюджетов Российской Федерации. К этой статье относятся командировочные расходы бюджетного учреждения в пределах, установленных Постановлением Правительства РФ от 2 октября 2002 года №729 (до 1 января 2003 года - Приказом Минфина РФ от 6 июля 2001 года №49н) для командировок по Российской Федерации и Приказом Минфина РФ от 12 ноября 2001 года №92н (с изменениями и дополнениями от 4 марта 2002 года) для зарубежных командировок, а также расходы по проезду к местам командировок.
В отличие от коммерческих организаций бюджетные учреждения не могут осуществлять дополнительные затраты средств на оплату командировочных расходов сверх установленных норм, так как согласно статье 65 Бюджетного кодекса РФ расходы бюджетного учреждения базируются на единых методологических основах, нормативах минимальной бюджетной обеспеченности, финансовых затрат на оказание государственных услуг, устанавливаемых Правительством РФ. Несоблюдение нормативов финансовых затрат на оказание государственных или муниципальных услуг согласно статье 283 Бюджетного Кодекса является основанием для применения к бюджетному учреждению санкций за нарушение бюджетного законодательства. В соответствии с указанными статьями Кодекса, несмотря на то, что с вступлением в силу главы 25 НК РФ нормы расходов на наем жилого помещения при нахождении в служебных командировках в целях налогообложения не применяются, бюджетные учреждения во избежание санкций за нарушение требований бюджетного законодательства обязаны соблюдать их. Кроме того, к данной статье не относятся расходы по командировкам, связанным с осуществлением учебного процесса, и рекламного характера; данные расходы учитываются по коду 111040 "Прочие текущие расходы".
Статьи 69 и 70 Бюджетного кодекса РФ дают следующую классификацию статей расходов бюджетных учреждений[5]:
Статья 69. Формы расходов бюджетов
Предоставление бюджетных средств осуществляется в следующих формах:
ассигнований на содержание бюджетных учреждений; средств на оплату товаров, работ и услуг, выполняемых физическими и юридическими лицами по государственным или муниципальным контрактам; трансфертов населению;
(в ред. Федерального закона от 20.08.2004 N 120-ФЗ) ассигнований на реализацию органами местного самоуправления обязательных выплат населению, установленных законодательством Российской Федерации, законодательством субъектов Российской Федерации, правовыми актами представительных органов местного самоуправления;
(в ред. Федерального закона от 20.08.2004 N 120-ФЗ) ассигнований на осуществление отдельных государственных полномочий, передаваемых на другие уровни власти;
(в ред. Федерального закона от 20.08.2004 N 120-ФЗ) ассигнований на компенсацию дополнительных расходов, возникших в результате решений, принятых органами государственной власти, приводящих к увеличению бюджетных расходов или уменьшению бюджетных доходов;
(в ред. Федерального закона от 20.08.2004 N 120-ФЗ) бюджетных кредитов юридическим лицам (в том числе налоговых кредитов, отсрочек и рассрочек по уплате налогов и платежей и других обязательств);
субвенций и субсидий физическим и юридическим лицам; инвестиций в уставные капиталы действующих или вновь создаваемых юридических лиц;
межбюджетных трансфертов;
(в ред. Федерального закона от 20.08.2004 N 120-ФЗ) кредитов и займов внутри страны за счет государственных внешних заимствований;
(абзац введен Федеральным законом от 05.08.2000 N 116-ФЗ) кредитов иностранным государствам;
средств на обслуживание долговых обязательств, в том числе государственных или муниципальных гарантий. (в ред. Федерального закона от 05.08.2000 N 116-ФЗ)
Статья 70. Расходы бюджетных учреждений
Бюджетные учреждения расходуют бюджетные средства исключительно на:
оплату труда в соответствии с заключенными трудовыми договорами и правовыми актами, регулирующими размер заработной платы соответствующих категорий работников;
перечисление страховых взносов в государственные внебюджетные фонды;
трансферты населению, выплачиваемые в соответствии с федеральными законами, законами субъектов Российской Федерации и правовыми актами органов местного самоуправления;
командировочные и иные компенсационные выплаты работникам в соответствии с законодательством Российской Федерации;
оплату товаров, работ и услуг по заключенным государственным или муниципальным контрактам;
оплату товаров, работ и услуг в соответствии с утвержденными сметами без заключения государственных или муниципальных контрактов.
Расходование бюджетных средств бюджетными учреждениями на иные цели не допускается.
[1] Галуцкий Г.М. Основы финансов и финансирование бюджетных учреждений. –– М.: Ассоциация экономики, науки и техники, 2004. С. 12-17.
[2] Финансы. Денежное обращение. Кредит: Учебник для вузов / Под ред. проф. Л.А. Дробозиной. – М.: Финансы, ЮНИТИ, 2003. – с. 140.
[3] Финансы учреждений социальной сферы. Учебник/ Под ред. Проф. Н.М. Голунова. – М.: Инфра-М.: 2002. – с. 185.
[4] http://oviont.ru/articles.show.shtml?c_art=1309
[5] Комментарии к Бюджетному Кодексу РФ / под ред. проф. Семенова Р.Ю. – М.: Волна, 2002. – с. 217-218.