Содержание
3. Что называется вязкостью жидкости? В чем сущность закона вязкого трения Ньютона?. 3
14. Указать физический смысл величин, входящих в дифференциальное уравнение Эйлера гидродинамики. 3
23. Особенности течения жидкости в плоских и цилиндрических зазорах. 4
33. Основные расчетные соотношения при последовательном и параллельном соединении труб. 6
Задача 1. 9
Задача 8. 9
Задача 17. 10
Задача 22. 11
Задача 30. 12
Задача 40. 14
Список литературы.. 15
3. Что называется вязкостью жидкости? В чем сущность закона вязкого трения Ньютона?
Всем реальным жидкостям присущи вязкость или внутреннее трение, что приводит к появлению у них принципиально новых свойств. В частности, возникшее в жидкости движение после прекращения действия причин, его вызвавших, постепенно замедляется. Следовательно, жидкость при своем движении в трубе испытывает сопротивление. Такого рода сопротивление называют вязким, подчеркивая тем самым отличие от сопротивления в твердых телах.
В соответствии с третьим законом Ньютона силы внутреннего трения равны по величине и противоположны по направлению, поэтому верхний слой замедляет движение нижнего, а нижний - ускоряет движение верхнего. Величина силы внутреннего трения задается формулой Ньютона:
Fтр = η·|Δv/Δz|·S, где η - коэффициент вязкости; |Δv/Δz| - модуль градиента скорости, показывающий, как быстро меняется величина вектора скорости в направлении, перпендикулярном течению жидкости; S - площадь поверхности соприкасающихся слоев жидкости.
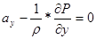
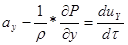
14. Указать физический смысл величин, входящих в дифференциальное уравнение Эйлера гидродинамики
Обязательным условием покоя жидкости являлось равновесие всех сил. Таким образом равновесие математически было сформулировано:
Fдавления + Fмассовые = 0
В результате преобразования этого уравнения для трех направления получили:
;
;
Отличие движущейся жидкости – возможность ее ускоренного движения. А это значит, что сумма поверхностных и массовых сил в движущейся жидкости может не быть равно «0».
Fдавления + Fмассовые = r*(du/dt)
Где: u – скорость движения жидкости;
t - время;
r*(du/dt) – сила инерции.
Учет сил инерции позволяет получить уравнений движения (уравнений динамического равновесия), получивших название Уравнения ЭЙЛЕРА
;
;
23. Особенности течения жидкости в плоских и цилиндрических зазорах
В жидкости, заполняющей скважину, упругая волна может распространяться в пределах измерительного зонда в кольцевом зазоре между стенкой скважины и скважинным прибором. Если рассматривать саму скважину и этот кольцевой зазор как столб жидкости или газа с жёсткими стенками, диаметр которого меньше длины волны, то в нём должна была бы формироваться плоская волна (гидроволна), такая же, как в неограниченном пространстве (рис. 1, б). Реально же при увеличении отношения длины волны l к толщине зазора (l/Dd>l) гидроволна вырождается. Как будет показано ниже, её интенсивность существенно меньше, чем это обычно представляется. Временной интервал, в котором ожидается появление гидроволны, заполнен преимущественно колебаниями интенсивной волны Стоунли.
В обсаженной скважине интервалы свободной незацементированной колонны представляют собой упругий волновод со свободными границами, в котором распростаняются нормальные волны - продольные (волны Лэмба в классическом их понимании) и поперечная. При малой толщине колонны, когда wh/vs<<l, что всегда выполняется в скважине на частотах АК, в колонне возможно распространение только нормальных волн нулевого порядка: двух волн Лэмба и одной поперечной волны. Симметричная продольная волна Лэмба соответствует Р волне в неограниченном пространстве. В ней преобладает продольная компонента смещения, и только потому, что поверхности колонны свободные, появляется небольшое поперечное смещение, которое в vs/wh раз меньше продольного. Фазовая скорость этой волны несколько меньше скорости Р волны в неограниченном пространстве и равна примерно 5350-5400 м/с (рис. 1, рис. 2). Собственно это волна, которая в акустической цементометрии носит наименование "волны по колонне".
РИС. 1. СХЕМАТИЧЕСКОЕ ИЗОБРАЖЕНИЕ ПАКЕТОВ ВОЛН, РАСПРОСТРАНЯЮЩИХСЯ В СКВАЖИНЕ:

а - при невозможности идентификации волн, вступающих после первого периода S волны; б - при допущении распространения волн Лэмба в столбе скважинной жидкости; в - в открытой скважине; г - в обсаженной скважине при условии частичного цементирования/
РИС. 2. ОПРЕДЕЛЕНИЕ ЗНАЧЕНИЙ ИНТЕРВАЛЬНЫХ ВРЕМЕН (DT) И ВРЕМЕННЫХ ИНТЕРВАЛОВ СУЩЕСТВОВАНИЯ ВОЛН ЛЭМБА, ПРОДОЛЬНОЙ, ПОПЕРЕЧНОЙ, СТОУНЛИ; ИДЕНТИФИКАЦИЯ ТИПОВ ВОЛН, ЗАРЕГИСТРИРОВАННЫХ В ОБСАЖЕННОЙ СКВАЖИНЕ:

а - анализируемый пакет упругих волн; б - временное поле локальных максимумов коэффициентов корреляции
33. Основные расчетные соотношения при последовательном и параллельном соединении труб
Простые трубопроводы могут соединяться между собой, при этом их соединение может быть последовательным или параллельным.
Последовательное соединение. Возьмем несколько труб различной длины, разного диаметра и содержащих разные местные сопротивления, и соединим их последовательно (рис.1, а).

Рис. 1. Последовательное соединение трубопроводов
При подаче жидкости по такому составному трубопроводу от точки М к точке N расход жидкости Q во всех последовательно соединенных трубах 1, 2 и 3 будет одинаков, а полная потеря напора между точками М и N равна сумме потерь напора во всех последовательно соединенных трубах. Таким образом, для последовательного соединения имеем следующие основные уравнения:
Q1 = Q2 = Q3 = Q
ΣhM-N = Σh1 + Σh2 + Σh3
Эти уравнения определяют правила построения характеристик последовательного соединения труб (рис. 1, б). Если известны характеристики каждого трубопровода, то по ним можно построить характеристику всего последовательного соединения M-N. Для этого нужно сложить ординаты всех трех кривых.
Параллельное соединение. Такое соединение показано на рис. 2, а. Трубопроводы 1, 2 и 3 расположены горизонтально.

Рис. 2. Параллельное соединение трубопроводов
Обозначим полные напоры в точках М и N соответственно HM и HN , расход в основной магистрали (т.е. до разветвления и после слияния) - через Q, а в параллельных трубопроводах через Q1, Q2 и Q3; суммарные потери в этих трубопроводах через Σ1 , Σ2 и Σ3.
Очевидно, что расход жидкости в основной магистрали
Q = Q1 = Q2 = Q3
Выразим потери напора в каждом из трубопроводов через полные напоры в точках М и N :
Σh1 = HM - HN; Σh2 = HM - HN; Σh3 = HM - HN
Отсюда делаем вывод, что
Σh1 = Σh2 = Σh3
т.е. потери напора в параллельных трубопроводах равны между собой. Их можно выразить в общем виде через соответствующие расходы следующим образом
Σh1 = K1Q1m; Σh2 = K2Q2m; Σh3 = K3Q3m
где K и m - определяются в зависимости от режима течения.
Из двух последних уравнений вытекает следующее правило: для построения характеристики параллельного соединения нескольких трубопроводов следует сложить абсциссы (расходы) характеристик этих трубопроводов при одинаковых ординатах ( Σ h). Пример такого построения дан на рис. 1, б.
Задача 1
Определить величину и направление силы F, приложенной к штоку поршня для удержания его на месте. Справа от поршня находится воздух, слева от поршня и в резервуаре, куда опущен открытый конец трубы – масло турбинное. Показание пружинного манометра – 100000 Па. Дано: Н=5м, D= 160, d=80 мм.
Решение:
![]()

Для удержания поршня на месте необходимо прижить силу, направленную от поршня, как показано на рисунке жирной стрелкой. По величине эта сила должна уравновесить силу давления в 1 атм. со стороны жидкости. Сила давления жидкости
Н.
Ответ: 754,08 Н; направлена вправо от поршня.
Задача 8
Жидкость (вода) попадает
в открытый верхний бак по вертикальной
трубе длиной
= 10 м, и диаметром d = 80 мм за счет давления воздуха в
нижнем замкнутом резервуаре. Определить давление р
воздуха, при котором расход будет равен Q = 8 л/с. Принять при этом
= 8, Sкл = 0,5,
= 1, Rе = 0,2 мм.
Решение:

Для эквивалентной
шероховатости Rе = (
т / 0,11)4 d,
откуда
т = 0,0254.
Перепад давлений вычисляется по формуле
Р – Ратм
= (
+
) ![]()
Суммарные потери напора
= (
т *
) * 
В результате получаем
+
т *
= 12,4
= 2,7
Р – Ратм = 24 кПа.
Поскольку атмосферное давление равно 100 кПа, то Р = 124 кПа.
Ответ: Р = 1,24 атм.
Задача 17
Из бака А, в котором
поддерживается постоянный уровень, вода протекает по цилиндрическому насадку
диаметром d=30 мм в бак В, из которого сливается
в атмосферу по короткой трубе диаметром D=37 мм, снабженной краном. Определить
наибольшее значение коэффициента сопротивления крана
, при котором истечение из насадка будет осуществляться в
атмосферу. Потери на трение в трубе не учитывать.
Решение:

Максимальное сопротивление крана будем находить из условия равенства расхода воды через трубу диаметром d=30 мм и через трубу диаметром D=37 мм, причем сопротивление при истечении воды через трубу d=30 мм не учитываем. Запишем это равенство расхода:
![]()
![]()
После элементарных преобразований:
![]()
Откуда:
.
Ответ: 0,24.
Задача 22
Центробежный насос
производительностью Q=22 л/с работает при частоте вращения
п=2890 об/мин. Определить
допустимую высоту всасывания, если диаметр всасывающей трубы d=125 мм, а ее длина l=3 м. Коэффициент кавитации в формуле
Руднева принять равным С=900.
Температура воды t=20°С. Коэффициент сопротивления колена
=0,2. Коэффициент сопротивления входа в трубу
=1,8. Эквивалентная шероховатость стенок трубы R=0,15 мм.
Решение:

Расход воды рассчитывается по формуле:
.
Выразим из этой формулы искомую величину (высоту) и подставим исходные данные задачи, учитывая, что 22 л/с равен 0,022 м3/с:
м.
Ответ: 3,32 м.
Задача 30
Поршневой насос простого действия с диаметром цилиндра D=70 мм, ходом поршня S=240 мм, числом двойных ходов в минуту п=70 ход/мин и объемным КПД hоб=0,9 подает рабочую жидкость в систему гидропровода. При какой частоте вращения должен работать включенный параллельно шестеренный насос с начальным диаметром шестерен d=56 мм, шириной шестерен b=5 мм, числом зубьев z=30 и объемным КПД hоб=0,86, чтобы количество подаваемой жидкости удвоилось?
Решение:

Поршневой насос простого действия с диаметром цилиндра D=70 мм, ходом поршня S=240 мм, числом двойных ходов в минуту п=70 ход/мин и объемным КПД hоб=0,9 подает рабочую жидкость в количестве
м3/мин.
Для расчета минутной подачи насосов с двумя одинаковыми шестернями можно пользоваться формулой
Q = η0A(Dг- A)bN ,
где η0 - объемный КПД насоса, зависящий от конструкции, технологии изготовления и давления насоса и принимаемый равным 0,7-0,95; А - расстояние между центрами шестерен, равное диаметру начальной окружности D; Dг - диаметр окружности головок зубьев; b - ширина шестерен; N - частота вращения ротора, об/мин.
Согласно условию задачи, количество подаваемой жидкости должно удвоиться, тогда искомая частота вращения:
N = η0A(Dг-A)b / (2∙Q) = 0,9∙30∙(72-30)∙65 / (2∙0,002) = 302 об/мин.
Ответ: 302 об/мин.
Задача 40
Пользуясь характеристикой гидромуфты, определить расчетный и максимальный моменты, передаваемые ею, а также передаточное отношение, коэффициент полезного действия и скольжение при этих режимах, если активный диаметр гидромуфты D=430 см, частота вращения ведущего вала n=1800 об/мин, рабочая жидкость – трансформаторное масло. Как изменяется передаваемые крутящий момент и мощность, если частоту вращения ведущего вала увеличить в полтора раза?
Решение:
В гидромуфте (гидропередача без внешней опоры) момент на турбине всегда равен моменту на насосе, но передача энергии в ней происходит с определенными потерями, характеризуемыми в рабочем режиме значением К.П.Д. Поскольку моменты колес раны, то К.П.Д. численно равен отношению частоты вращения турбины n2 к частоте вращения насоса n1, т.е. передаточному отношению i ( i= n2/n1).
Момент гидромуфты Мг подчиняется зависимости
М = λi·ρ·(n / 60)2·Da, где:
λi - коэффициент момента, являющийся параметром гидромуфты данного типа при заданном значении i, ρ-плотность РЖ, Da- активный диаметр, равный наибольшему диаметру рабочей полости гидромуфты.
Отсюда искомый активный диаметр:
Da = М / (λi·ρ·(n / 60)2) = 350 / (60∙10-7 ∙ 8600 ∙ (1100 / 60)2) = 0,202 м.
Построим внешнюю (моментальную) характеристику гидравлической муфты. В эту характеристику входят:
1) момент муфты: М = 350 Н∙м;
2) коэффициент момента λi = 60∙10-7 мин2/м;
3) активный диаметр: Da = 0,202 м;
4) частота вращения п = 1800 об/мин.
Ответ: 350 Н∙м.
Список литературы
1. Башта Т.М., Руднев С.С. Гидравлика, гидромашины и гидропривод. – М.: Машиностроение, 1982.
2. Дергачев Ф.М. Основы гидравлики и гидропривод. – М.: Стройиздат, 1981.
3. Задачник по гидравлике, гидромашинам и гидроприводу / под ред. Б.Б. Некрасова. – М.: Высшая школа, 1989.
4. Осипов П.Е. Гидравлика, гидромашины и гидропривод. – М.: Лесная промышленность, 1981.
5. Юфин А.П. Гидравлика, гидромашины и гидропривод. – М.: