МИНИСТЕРСТВО ОБРАЗОВАНИЯ И НАУКИ РОССИЙСКОЙ ФЕДЕРАЦИИ ФЕДЕРАЛЬНОЕ АГЕНТСТВО ПО ОБРАЗОВАНИЮ
ГОУ ВПО
ВСЕРОССИЙСКИЙ ЗАОЧНЫЙ ФИНАНСОВО-ЭКОНОМИЧЕСКИЙ ИНСТИТУТ
Кафедра Экономической теории
КОНТРОЛЬНАЯ РАБОТА
по дисциплине «Экономическая теория»
Вариант № 17
Архангельск 2009
Содержание
1. Особенности рынка факторов производства…………………………………………..3
2. Отличие рынка факторов производства от рынка услуг факторов производства…..4
3. Особенности формирования спроса на факторы производства………………….…..5
4. Предложение факторов производства…………………………………………………8
5. Рынок труда и заработная плата………………………………………………………..9
6. Рынок земли и рента…………………………………………………………………….13
7. Рынок капитала и процент……………………………………………………………....16
8. Список литературы………………………………………………………………………19
9. Тестовые задания………………………………………………………………………...20
Особенности рынка факторов производства
Рынки факторов производства — это область экономических факторов производства, таких как земля, природные ископаемые и сырьевые ресурсы, ресурсы труда различных специальностей и различной квалификации, капитальные ресурсы, интеллектуальные способности, знания, информация, предпринимательская способность и т. п.
Движение экономических факторов производства опосредуется денежными рынками и рынками ценных бумаг, регулируется соответствующей экономической политикой государства и нормативно-технической базой.
Сектор негосударственной экономики, представленный различными акционерными предприятиями и фирмами в промышленности, строительстве, на транспорте, в сфере услуг, в аграрном и агропромышленном секторе, банками, фондовыми, товарными и товарно-сырьевыми биржами, рынками ценных бумаг и недвижимости, биржами труда и т. п., нуждается в экономических факторах производства. Закон ограниченности ресурсов порождает ряд тенденций, вызывающих необходимость рыночной оценки любого ресурса как фактора производства. Вовлечение в рыночный оборот таких важнейших факторов производства, как земля, труд, капитал, предпринимательские способности, денежные активы и ценные бумаги, требует четкого законодательного определения прав собственности.
Право собственности на землю позволяет решать вопросы распоряжения движимыми и недвижимыми фондами производственного и непроизводственного назначения, ископаемыми ресурсами, а также дает правовое обоснование для получения таких видов дохода, как рента и арендная плата.
Законодательная база на фактор труда обеспечивает всем желающим трудиться право свободного выбора в различных отраслях деятельности:
— в сфере найма на работу в частном или государственном секторе;
— в сфере частной предпринимательской деятельности;
— в виде свободной интеллектуальной деятельности в соответствии с талантами и способностями.
Реализация права на труд формирует на рынке соответствующие группы получателей различных видов дохода:
— работа в форме найма дает право на получение заработной платы;
— предпринимательская деятельность приносит доход в виде прибыли;
— свободная интеллектуальная деятельность позволяет получать доходы за реализацию своего таланта, а особо талантливые люди получают очень высокие доходы в виде рентной надбавки за особый талант в мире искусства, спорта, науки и т. д.
Собственники капитальных ресурсов и различных производственных факторов получают доходы в виде прибыли или процента. Денежные средства, используемые в сфере ссудного капитала, и различные ценные бумаги приносят их владельцам доход в виде процентов и дивидендов.
Отличие рынков факторов
производства от рынков услуг факторов производства.
Покупая товар, мы вступаем в его полное владение. Покупка фактора производства означает лишь то, что покупаются услуги, которые могут быть оказаны. Так, покупатель рабочей силы не становится владельцем живого человека, а лишь получает право на стоимость, которая будет создана в результате его усилий. Покупатель капитала или земли не просто запасается некоторой суммой денег, оборудованием или участком, а приобретает возможность использовать их для производства товаров и возрастания стоимости. Разумеется, часть факторов можно купить в прямом смысле слова (исключая, конечно, рабочую силу), т. е. сделать их своими активами, но основное в факторах производства — иметь доступ к их услугам. Следовательно, рынок факторов производства — это рынок услуг этих факторов.
Рынки факторов производства подчиняются тем же законам, что и рынки товаров и услуг. Рыночная цена является равновесной, складывающейся под воздействием спроса и предложения на тот или иной фактор. При этом следует различать сами факторы производства и услуги, оказываемые этими факторами.
В качестве факторов выступают труд, земля, капитал и предпринимательские способности. Каждый из факторов, выступая как элемент производственного процесса, оказывает определенные услуги. Величина цены этих услуг обуславливает доходы собственников факторов производства:
— цена услуг труда (доход наемных работников) определяется заработной платой;
— цена услуг капитала (доход собственников капитала) — процентом;
— цена услуг предпринимательской деятельности (доход предпринимателей) — прибылью. Когда фирмы покупают услуги, оказываемые факторами, предприниматели, как правило, не становятся владельцами этих факторов:
— покупая рабочую силу, предприниматели не становятся владельцами живого человека, а лишь получают право на получение стоимости в результате его труда;
— приобретая капитал, предприниматели имеют возможность использовать оборудование, здание, сырье, денежные средства для создания новой стоимости;
— покупая землю, предприниматели реализуют свое право для производства товаров и увеличения стоимости;
— предпринимательские способности позволяют наилучшим образом соединять возможности всех факторов производства для получения прибыли. Разумеется, основные факторы производства можно приобрести не только в пользование, но и во владение и распоряжение (за исключением рабочей силы), то есть сделать их своими капитальными активами. Но это не главное, главное — иметь доступ к этим факторам и получать от них новую стоимость.
Таким образом, рынок факторов производства — это рынок услуг этих факторов. Плата за эти услуги называется ценой фактора или его доходом.
Если факторы производства оказывают услуги своим собственникам, то они не выступают на рынке факторов производства. Предприниматель, например, может сам трудиться в собственной фирме, владелец земельного участка — использовать его для своих личных целей, вкладывая свой личный труд и т. д. В этом случае владельцы факторов весь доход, полученный от их использования, присваивают сами себе.
Особенности формирования спроса на факторы производства.
На рынке факторов производства осуществляются процессы купли-продажи ресурсов по ценам, которые складываются под воздействием спроса и предложения. Частично спрос на услуги факторов производства предъявляют сами потребители для собственной пользы или собственного удовольствия (услуги парикмахеров, врачей, юристов, учителей, приобретение автомобилей и других товаров длительного пользования, покупка или аренда земли и т. д.). Законы спроса на услуги подобных факторов производства ничем не отличаются от законов спроса на обычные товары.
Как и на всяком рынке, цены факторов производства определяются под воздействием спроса и предложения.
В отличие от спроса на обычные потребительские товары, спрос на факторы производства имеет свою специфику.
1. Спрос на факторы производства является производным, так как он непосредственно зависит от потребительского спроса на конечные товары. Например, спрос на труд ткачих определяется спросом общества на ткани.
2. Все факторы производства являются взаимодополняемыми, т. е. один фактор предполагает использование других. Значит, размер спроса на каждый фактор зависит не только от уровня цен на него, но и от уровня цен на другие ресурсы. Например, спрос на труд зависит не только от ставок заработной платы, но и от того, сколько будет приобретено машин, сырья и других товаров и каковы цены на них.
3. Все факторы производства являются взаимозаменяемыми, т.е. вместо одного фактора в определенной пропорции можно использовать другие. Если цена определенного фактора производства возрастает, спрос на него (при прочих равных условиях) понижается, а спрос на другой фактор растет. Например, более высокая цена на труд будет вести к замещению его машинами.
Возможность взаимозамещения факторов производства позволяет сочетать их в таком соотношении, которое обеспечивает максимальный выпуск продукции при минимальных затратах.
Производственная функция — это экономико-математическая модель зависимости результата производства от затрат производственных факторов:
![]()
где Y — выпуск продукции; Х1, Х2, ..., Хn — различные факторы производства (труд, земля, капитал).
Большую часть спроса на экономические факторы производства предъявляют различные фирмы. Эти факторы не поступают в личное потребление. Поэтому в отличие от кривой спроса на товары и услуги, строящейся исходя из системы предпочтений отдельных индивидов, кривая спроса на такие ресурсы определяется объемами спроса, предъявляемыми фирмами. А спрос фирм на данные факторы зависит от спроса на продукты (товары, услуги), которые получаются из этих факторов. Такой спрос называется производным, так как он напрямую зависит от спроса потребителей на готовую продукцию. Это связано с тем, что потребители удовлетворяют свои потребности не прямо, а косвенно, через производство товаров и услуг.
Определяя необходимое количество экономических факторов производства, предприниматель станет учитывать не только спрос на конечный продукт, но и на стоимость ресурсов, производственные возможности фирмы, а также цену конечного продукта.
Другими словами, высокопродуктивный ресурс для производства товара, высоко оцениваемого обществом, будет пользоваться большим спросом, чем низко продуктивный ресурс для изготовления товара, не пользующегося повышенным спросом у потребителей.
Решение о величине спроса на экономические ресурсы каждый потребитель принимает на основе маржинального анализа. Осуществляется сравнение прироста общего дохода в результате применения каждой дополнительной единицы переменного вводимого фактора производства и предельных издержек. Анализ проводится следующим образом.
1. Принимается решение об увеличении ресурса (например, рабочей силы). Целесообразность приобретения каждой дополнительной единицы ресурса (дополнительного рабочего) определяется путем сравнения предельной выгоды и предельных издержек фирмы.
2. Фирма руководствуется принципом минимизации прибыли, согласно формуле
Рr = TR - ТС. При этом предельная выгода фирмы заключается в том, что использование каждой дополнительной единицы фактора будет приводить к увеличению общего дохода фирмы TR. Этот прирост дохода называется предельным доходом (доходностью) фактора (MRP).
3. Предельные издержки фирмы состоят в том, что использование дополнительной единицы фактора производства приведет к увеличению общих издержек фирмы ТС. Этот прирост издержек называется предельными издержками фактора (MCF).
4. Применение дополнительной единицы ресурса будет считаться для фирмы прибыльным до тех пор, пока MRP>MCF.
5. Фирма достигает максимума прибыли при MRP = MCF. При этом потребность в факторах производства будет насыщена.
6. Привлечение новых факторов производства позволяет фирме производить дополнительную продукцию, приносящую ей дополнительный доход. Прирост объема выпускаемой продукции в результате использования дополнительной единицы фактора производства называется предельным физическим продуктом фактора (МРР).
В условиях совершенной конкуренции, когда цена готового продукта задана, увеличение объема выпускаемой ею продукции не влияет на цену. Поэтому в условиях совершенной конкуренции предельный доход фактора равняется произведению цены готовой продукции Р и предельного физического продукта фактора МРР:
MRP = Р • МРР, при Р = const.
График предельного дохода фактора MRP имеет нисходящий вид (рис. 103) и отражает спрос фирмы на экономические факторы производства, ибо каждая точка на этом графике показывает количество требуемого ресурса, которое бы приобрела фирма при каждой возможной цене на ресурсы.
|
|
В условиях несовершенной конкуренции (монополии, монополистической конкуренции, олигополии) предельный доход фактора MRP снижается по двум причинам:
уменьшается предельный продукт и падает цена на продукт, так как возрастает выпуск продукции. При этом понижение цены, сопутствующее каждому приросту выпуска продукции, относится в любом случае не только к предельному продукту каждого последующего фактора производства, но и ко всем предыдущим единицам продукции, которые в противном случае могли бы быть проданы по более высокой цене.
Предельный доход фактора монополиста равняется произведению предельного дохода фирмы и предельного физического продукта фактора:
MRP = MR * МРР.
Поэтому в условиях несовершенной конкуренции падение MRP еще сильнее, так как снижается не только МРР, но и MR. В итоге кривая MRP — кривая спроса на ресурс — производителя, действующего в условиях несовершенной конкуренции, имеет тенденцию быть менее эластичной, чем кривая производителя в условиях совершенной конкуренции.
Кривая рыночного спроса строится суммированием кривых индивидуального спроса каждой фирмы, функционирующей на рынке, или кривых MRP для всех фирм, использующих данный ресурс.
Предложение факторов производства
Предложение факторов производства — это то их количество, которое может быть представлено на рынках по существующим на данный момент ценам.
Особенности предложения факторов производства обусловлены редкостью, ограниченностью таких экономических ресурсов, как труд, земля, полезные ископаемые. Эта ограниченность относительна, так как ресурсы редки и ограничены по сравнению с потребностью в них производства для выпуска необходимых в каждый данный момент конечных материальных благ. Например, размеры площадей, трудоспособное население, количество полезных ископаемых для каждой страны с той или иной степенью точности известны и не могут быть сиюминутно увеличены.
Все факторы производства имеют множество различных потребителей, следовательно, общее их предложение должно быть распределено между разными видами деятельности, а мобильностью они обладают неодинаковой.
Фактор называется мобильным, если под воздействием относительно слабых стимулов он легко перемещается из одной сферы в другую. Предложение услуг такого фактора эластично, поскольку небольшое повышение цены на него привлекает в данную сферу деятельности достаточное количество ресурсов из других сфер.
Фактор называется немобильным, если под воздействием мощных экономических стимулов он не перемещается из одной сферы в другую. Предложение услуг такого фактора неэластично, поскольку даже громадное увеличение дохода в какой-либо области привлекает к ней лишь небольшое количество необходимых ресурсов.
Очень часто немобильные факторы производства в краткосрочном периоде становятся мобильными в долгосрочном периоде. Таким образом, со временем возрастает общее предложение факторов производства и их мобильность. Поэтому, несмотря на то что в краткосрочном периоде общее предложение экономических ресурсов изменяется незначительно, удовлетворение общества в необходимых экономических ресурсах может быть осуществлено за счет мобильности этих ресурсов.
Главное «действующее лицо», определяющее размеры предложения производственных факторов, — это время. Фактор, не обладающий способностью к перемещению в течение короткого периода времени, становится весьма мобильным в длительной перспективе. Таким образом, со временем возрастают не только общее предложение, но и способность факторов к перемещению. Например, земля — уникальное, невоспроизводимое экономическое благо, но распространение в будущем хайпоники (выращивание растений на камнях с помощью физраствора) позволит, возможно, преодолеть эту ограниченность.
В самом общем виде можно выделить четыре фактора производства — труд, землю, капитал и предпринимательство. Различают и четыре основных типа доходов — заработную плату, ренту, процент и прибыль.
Рынок труда и заработная плата
Труд, безусловно, является главным фактором функционирования производства, а заработная плата — важнейший вид рыночных цен. На долю зарплаты, например, в США приходится почти 75 % национального дохода. Труд неотделим от своего носителя и в отличие от сырья, материалов, оборудования и земли не может стать собственностью предпринимателя. Труд не только производственный, но и социальный фактор, обладающий определенными правами, которые защищают профсоюзы и государство.
Субъектами спроса на рынке труда выступают бизнес и государство, а субъектами предложения — домашние хозяйства. Спрос на труд находится в обратной зависимости от величины заработной платы. При росте заработной платы при прочих равных условиях предприниматель для сохранения равновесия должен сократить спрос на труд, а при снижении заработной платы спрос на труд возрастает.
Иначе обстоит дело с функцией предложения труда: продавцы на рынке труда стремятся увеличить предложение в условиях роста заработной платы.
«Нет человека, который любил бы труд как таковой» (С.Джонсон).
Совокупное предложение труда в обществе, по мнению П. Самуэльсона, определяется как минимум четырьмя показателями: общей численностью населения; численностью активного трудоспособного населения; количеством отработанного времени за год; качеством, производительностью и квалификацией затраченного труда.
Однако если мы захотим выяснить, как отразится рост заработной платы на предложении труда не общества в целом, а отдельного человека, то увидим иную картину. Особенностью предложения рабочей силы является то, что оно зависит от личной воли и предпочтения людей. Работник сам определяет, сколько времени он хотел бы работать, а сколько — отвести для альтернативного вида занятий и отдыха.
«Свободное время — это пространство для всестороннего развития личности» (К. Маркс).
Дилемма работа — досуг применительно к рынку труда получила названия эффекта замещения и эффекта дохода. Эффект замещения проявляется в том, что каждый час свободного времени рассматривается работником как упущенная выгода. Отсюда стремление заместить свободное время дополнительной работой, а значит, тем набором товаров и услуг, которые можно приобрести на возросшую заработную плату.
Рассматривая индивидуальное предложение труда, надо иметь в виду, что в мгновенном и даже коротком периоде работник практически не может повысить качество своего труда (приобрести опыт, квалификацию, необходимое образование и т.д.). Единственное, что он может сделать в этих условиях, «откликаясь» на рост ставки заработной платы, — это увеличить число отработанных часов. Границы такого увеличения объективны и достаточно узки (24 ч, 365 дней, 30 — 50 лет трудового стажа).
Однако, когда проблемы с хлебом насущным решены, меняется и наше отношение к свободному времени, вступает в игру эффект дохода. Проявляется эффект дохода в том, что. при достижении работником достаточно высокого уровня материального благополучия дальнейшее повышение заработной платы ведет к сокращению предложения труда в пользу свободного времени (рис. 7.1).
|
|
|
|
Именно такая закономерность поведения людей на рынке труда лежит в основе длительной тенденции к сокращению рабочей недели. На протяжении последних ста лет рабочая неделя в развитых западных странах сократилась на 40%, ибо свободное время — это ценнейшее благо, потребление которого нельзя отложить из-за ограниченности срока человеческой жизни.
Кривая LD показывает, каким будет спрос на труд при определенной величине заработной платы. Кривая LS показывает общее количество рабочего времени, которое согласна отработать какая-либо категория трудящихся при данной величине заработной платы.
В точке Е спрос на труд равен предложению труда, т.е. рынок труда находится в равновесии. До точки 1 кривая LS показывает увеличение предложения труда при росте заработной платы, однако, пройдя ее, меняет свое направление и снова приближается к оси ординат.
До точки / проявляется эффект замещения, после прохождения кривой LS точки /преобладающим становится эффект дохода.
Ценой равновесия на рынке труда является заработная плата, определяемая современной экономической теорией как цена труда и рассматриваемая в двух аспектах.
В широком смысле слова в этот термин включают оплату труда различных категорий работников: «голубые и белые воротнички», специалисты высокой квалификации, владельцы мелких предприятий сферы услуг. При таком подходе к определению заработной платы в нее включают доходы в виде гонораров, премий и т.д.
В узком смысле слова под заработной платой понимается ставка заработной таты — цена, выплачиваемая за использование единицы труда в течение определенного времени (часа, дня и т.д.).
Ставки заработной платы различны для разных категорий работников и видов работ. Они зависят от уровня квалификации, производительности, характера трудовой деятельности, массовости или, наоборот, уникальности профессии. Чем уже профессиональная группа, тем сильнее средняя зарплата в ней может отличаться от среднего уровня зарплаты по отрасли, по народному хозяйству. Чем более массовая профессия и чем легче в определенных рамках переход от одного рода занятий к другому, тем в большей степени ранок труда соответствует условиям рынка совершенной конкуренции.
Зарплата в 1000 песо — это много или мало? Для ответа на этот вопрос необходимо знать следующее: что на эти деньги можно купить? Необходимо различать номинальную и реальную заработную плату.
Номинальная заработная плата — это сумма денег, которую получает работник за свой дневной, недельный, месячный труд.
По ее размеру можно судить об уровне дохода, но не об уровне потребления человека.
Реальная заработная плата — количество благ и услуг, которое можно приобрести на полученные деньги. Она находится в прямой зависимости от номинальной заработной платы и в обратной зависимости — от цен на товары и услуги.
Равновесие на рынке труда означает, что все предприниматели, согласные платить заработную плату W на уровне точки Е, находят на рынке необходимое количество труда, их спрос на труд удовлетворен полностью. Полностью трудоустроены и все работники, готовые предложить свои услуги при этом же уровне заработной платы. Поэтому точка Е определяет положение полной занятости (категория занятости является одной из основных макроэкономических переменных).
В случае превышения реальной заработной платы уровня равновесной предложение на рынке труда превышает спрос на него, рабочих мест не хватает для всех желающих продать свой труд по этой цене.
В случае снижения реальной заработной платы по сравнению с равновесной спрос на рынке труда превышает предложение, в результате чего образуются не заполненные рабочие места, поскольку работников, согласных работать за более низкую заработную плату, не хватает.
Обе ситуации (безработица и наличие незанятых рабочих мест) в условиях конкурентного рынка не могут быть устойчивыми, они подвергаются коррекции со стороны рыночных механизмов в направлении восстановления равновесия. Колебания спроса на труд и предложения труда позволяют в самом общем виде дать ответ на вопрос о том, почему высока или низка заработная плата. Не случайно в Библии сказано: «Работник стоит своей платы».
Причины дифференциации заработной платы следующие:
1. Неоднородность работников по уровню квалификации и профессиональной подготовки;
2. Различия видов работ по привлекательности;
3. Разные природные способности людей;
4. Несовершенная конкуренция на рынке труда.
Если бы рынок труда носил конкурентный характер, на нем были бы невозможны длительные, устойчивые отклонения от равновесия. Как же объяснить тот факт, что в последние десятилетия рост безработицы не приводил к снижению заработной платы в промышленно развитых странах Запада?
Наличие устойчивой безработицы может свидетельствовать лишь об одном — на рынке труда присутствуют внеконкурентные факторы, которые устойчиво отклоняют заработную плату вверх от ее равновесного значения. Что же можно отнести к этим внеконкурентным факторам?
Во-первых, это государство, активно регулирующее рынок труда,
законодательно лишая заработную плату рыночной гибкости. Именно государство
устанавливает прожиточный минимум, индексирует доходы, составляет генеральные
соглашения. В России впервые такое соглашение было подписано на
«Прирост зарплаты одного человека всегда равен росту цены товара для другого» (Сэр Гарольд Вилсон).
Во-вторых, это профсоюзы, содействующие длительному и устойчивому отклонению рынка труда от состояния полной занятости. Требуя повысить заработную плату, ускорить замещение труда капиталом без учета прочих экономических условий, профсоюзы, защищая права своих членов, нередко нарушают права на труд той части рабочей силы, которая по тем или иным причинам ищет работу.
«Кто уже бывал на посту председателя профсоюза металлистов, может стать разве что еще римским папой» (В.Брандт).
В-третьих, это крупные корпорации, которые тяготеют к установлению сравнительно стабильной во времени ставки заработной платы, отказываясь пересматривать ее в зависимости от соотношения спроса и предложения на рынке труда.
Рынок труда в России имеет свои особенности. Классические признаки рынка труда в российской экономике развиты еще недостаточно. Сохраняет свои позиции госсектор со сформировавшимися в нем принципами занятости, оплаты труда и профсоюзами как «школой коммунизма». Гарантий стабильной занятости даже при относительно низкой зарплате госсектор уже не дает. Негосударственный сектор экономики развивается медленно. Более высокая зарплата здесь свидетельствует не только о возможностях оплачивать высококвалифицированный труд, но выступает также своеобразной компенсацией за неясность перспектив. В середине 90-х гг. XX в. по ряду специальностей в этом секторе предлагались зарплаты размером до двухсот минимальных окладов. Однако предложение труда оставалось неэластичным, в особенности по таким квалификационным группам, как менеджеры, аудиторы, биржевые маклеры, банковские работники, в первую очередь молодого возраста, но с международным опытом работы.
Рынок земли и рента
Говоря о земле как о факторе производства, надо учитывать, что само понятие «земля» употребляется в широком смысле слова и охватывает все, что дано природой в ограниченном объеме и обладает полезностью, будь то сама земля, водные ресурсы или полезные ископаемые.
Земля как фактор производства не является результатом человеческого труда, невоспроизводима и количественно ограничена.
С этой точки зрения земля является всеобщим условием любого производства. Но для сельского хозяйства земля еще и основное средство производства. Поэтому, говоря о земле, мы в первую очередь будем иметь в виду ее использование в аграрном секторе.
В аграрном секторе, во-первых, земля является не только всеобщим условием производства, но и основным средством производства. Во-вторых, производство находится под воздействием природных, климатических и погодных условий. В-третьих, земля устойчиво качественно неоднородна по плодородию и местоположению относительно рынков сбыта.
Основа аграрного производства — собственность на землю, поскольку от характера присвоения земли зависят отношения пользования, владения и распоряжения землей, а значит, и результатами сельскохозяйственного производства. Поэтому необходимо различать категории землевладения и землепользования, без которых анализ рынка земли и ренты как факторного дохода провести затруднительно.
Землевладение означает признание права данного лица (физического или юридического) на определенный участок земли на исторически сложившихся основаниях. Землевладение осуществляют собственники земли.
Землепользование означает использование земли в установленном обычаем или законом порядке.
В реальной хозяйственной жизни пользователь и владелец — нередко разные люди.
Спрос на землю различают со стороны сельскохозяйственных и несельскохозяйственных покупателей. Первые — это все те, кто использует плодородие почвы для производства сельскохозяйственной продукции любого типа. Вторые — это все те, кому земля нужна для строительства, промышленного производства или иных целей, не связанных с использованием плодородия. Спрос на землю определяется как совокупный спрос всех заинтересованных в этих видах деятельности предпринимателей.
Предложение земли определяется общим предложением всех собственников земли. Земля обладает природной ограниченностью, общее ее количество не может увеличиваться под воздействием роста цен на нее и уменьшаться при снижении цен. Это обусловливает абсолютно неэластичное предложение земли по цене.
Можно повысить производительность земли, улучшить ее качество, можно повысить или понизить до минимума плату за землю, но количество совокупного предложения этого фактора производства в каждый фиксированный момент времени увеличить невозможно. Графически кривая предложения земли имеет вид абсолютно вертикальной линии, а график формирования цен и установления равновесия будет отличаться от привычного нам вида «маршаллианского креста» — скрещивания кривых спроса и предложения (рис. 7.2).
|
|
|
|
Поскольку предложение земли относительно неизменно по сравнению с другими факторами производства, объем ренты полностью зависит от спроса на землю: чем он выше, тем выше рента, и наоборот.
Земельная рента — это плата арендатора за пользование земельным участком или доход собственника земли. Земельная рента является основным элементом арендной платы:
Арендная плата = Земельная рента + Процент на ранее вложенный в участок капитал + Амортизация возведенных на участке сооружений.
Слово «рента» в переводе с немецкого языка означает регулярно получаемый доход, не связанный с предпринимательской деятельностью. Именно поэтому рента присваивается владельцем земли, а не арендатором (землепользователем). Вопрос о том, справедливо ли это, лежит вне рамок позитивного анализа. А владелец капитала присваивает процент? А где он капитал взял?
Эти вопросы относятся к проблеме первоначального накопления капитала. Мы же будем исходить из того факта, что доходы от факторов производства присваиваются их собственниками.
Рента как экономическая категория означает доход от любого фактора, предложение которого неэластично.
Доходы рентного типа можно обнаружить и в других видах доходов. Чаще их называют квазирентой — доходом, который обусловлен более или менее продолжительной ограниченностью предложения какого-либо фактора производства.
Такой подход позволяет понять, почему, например, существуют огромные различия в заработной плате людей.
Если речь идет об уникальном таланте, необычайном даровании, предложение которого нельзя увеличить, цена возрастает многократно. Поэтому доходы кинозвезды, выдающегося хоккеиста или гипнотизера можно, скорее, считать рентой, чем заработной платой. Любая фирма-производитель дефицитного товара тоже получает квазиренту, пока конкуренция не расширит объем предложения в данной отрасли и не понизит цену.
Принцип установления ренты, или арендной платы (эти два понятия часто используют как синонимы), такой же, как и равновесной цены в случае других факторов производства. Если уровень арендной платы повысится выше точки Е (см. рис. 7.2), предложение земли превысит спрос на нее, земельные собственники станут испытывать трудности со сдачей земли в аренду и будут вынуждены снизить уровень арендной платы.
Если же уровень арендной платы снизится ниже точки Е, то спрос на землю превысит ее неизменное предложение и, воспользовавшись высоким спросом на земельные участки, их собственники будут повышать плату за землю. Вспомните, как торговал земельными участками герой одного из романов Джека Лондона старатель Элам Харниш по прозвищу Время-не-ждет.
В условиях рыночной экономики земля приобретает товарную форму: она покупается и продается. Чем же определяется цена земли? Приобретая землю, покупатель стремится получать тот доход, который она приносит, т.е. ренту. Эта та сумма, за которую землевладелец готов лишиться не только права пользования землей на определенное время (получать ренту с этого участка), но и уступить покупателю право собственности на неопределенный срок, т. е. продать землю.

где R — рента; S — ссудный процент. В экономической теории все, что приносит доход, рассматривается как капитал. Определенную сумму можно положить в банк и получать доход в виде процента, а можно потратить эти деньги на покупку земли и получать ренту.
Если земельный участок рассматривать как капитальное благо, приносящее доход, то становится понятно, что цена земли зависит от двух величин:
1) от размеров земельной ренты, которую можно получать, став собственником данного участка;
2) от ставки ссудного процента.
Рассмотренное определение цены земли является теоретическим. На практике цена земли зависит от множества факторов. Например, рост цен на землю может быть связан с растущим спросом на нее для несельскохозяйственных целей. Резко возрастает спрос на землю (и вообще на недвижимость) в условиях инфляции и особенно гиперинфляции, что соответственно ведет к росту цены земли. В целом динамика цен на землю в странах с рыночной экономикой с начала XX в. имела устойчивую тенденцию к росту, хотя были и периоды снижения. Например, в США в середине 80-х гг. в связи с падением фермерских доходов упала и цена земли, в этом же направлении воздействовал и рост ссудного процента, доходивший в это время до 18 — 21 %.
Несмотря на неэластичное общее предложение земли, можно говорить об определенной ограниченной мобильности этого фактора производства, поскольку с точки зрения отдельного пользователя предложение земли весьма эластично реагирует на повышение дохода. Предлагая относительно высокий уровень ренты, покупатель всегда найдет подходящий участок, хотя общее предложение земли будет оставаться неизменным.
«Приглядитесь к тому, как народ использует свои земли, и вы сможете прийти к весьма точным прогнозам относительно будущего этого народа» (Е. Ф. Шумахер).
Рынок капитала и процент
В экономической теории и предпринимательской практике, пожалуй, нет понятия, которое бы использовалось столь часто и одновременно столь неоднозначно, как капитал. Этот термин употребляют в отношении оборудования, зданий, денег и ценных бумаг, а также в отношении талантливого инженера и предприимчивого управляющего («человеческий капитал»). Общее во всех приведенных примерах — капитал устойчиво ассоциируется со способностью приносить доход.
На рынке факторов производства под капиталом понимается физический капитал, или производственные фонды, — капитальное благо, используя которое, можно в будущем увеличить поток доходов. Таким образом, производительностью обладает не только труд, но и капитал. Если фактор труд — феномен, созданный вне экономической системы, то капитал — фактор, производимый самой экономической системой.
«Производительность капитала представляет собой не большую проблему, чем то, что вишневое дерево приносит вишни. Это естественно» (В.Парето).
Капитал пользуется спросом, потому что он производителен. Субъектами спроса на капитал являются предприниматели, бизнес, субъектами предложения капитала — домашние хозяйства.
Спрос на капитал — это спрос на инвестиционные средства, а не просто на деньги. Бизнес предъявляет спрос на определенные денежные суммы для покупки капитала в физической форме. Спрос на деньги населения имеет другую природу, она не связана с предпринимательской деятельностью.
Графически спрос на капитал можно представить как кривую, имеющую отрицательный наклон, поскольку применительно к капиталу, так же как и к другим факторам производства, действует закон убывающей доходности: уровень дохода на капитал имеет тенденцию к понижению по мере роста инвестиционных средств. Эту закономерность давно заметили экономисты прошлого А. Смит, Д. Рикардо, К. Маркс и другие теоретики. Это знает и бизнес на своем опыте, чисто эмпирически: чем больше масштабы капиталовложений, тем меньше (при прочих равных условиях) отдача от них. Уровень дохода на капитал называют еще чистой производительностью капитала, а выраженную в процентах — естественной нормой процента. Прочтите еще раз мысль В. Парето, и станет ясен смысл слова «естественная».
Предложение капитала не следует понимать в том смысле, что домашние хозяйства (население) предлагают бизнесу станки, оборудование и т.д. Они предлагают инвестиционные средства, т.е. денежные суммы, которые бизнес использует для приобретения производственных фондов. Происходит это при помощи посредников — инвестиционных фондов, коммерческих банков и т.п.
|
|
Графически предложение капитала можно представить кривой, имеющей положительный наклон, что обусловлено сущностью процента, заключающейся в следующем. Субъекты, предлагающие капитал, по сути, отказываются от самостоятельного альтернативного его применения: открывать собственное дело и получать доход; покупать землю и получать ренту, поехать отдыхать на престижный курорт (получить полезность). Таким образом, процент — это своеобразная равновесная цена, которая складывается в точке пересечения кривых спроса и предложения на капитал и в которой происходит совпадение предельной доходности на капитал и предельных издержек упущенных возможностей (рис. 7.3).
|
|
Экономическая теория подчеркивает, что сегодняшние блага люди оценивают выше будущих. Эта особенность экономического поведения субъектов рыночного хозяйства получила название временного предпочтения. При определении категории процента важную роль играет фактор времени. Дающий деньги в ссуду отказывается от текущего (сегодняшнего) потребления своего капитала, предоставляя эту возможность другим субъектам.
«Временное предпочтение — склонность хозяйственных субъектов при прочих равных условиях предпочесть реальный товар в настоящий момент, нежели его получение в некоем будущем» (Э. Долан и Д.Линдсей).
Сказанное соответствует русской поговорке: «Лучше синица в руках, чем журавль в небе».
Нетерпение, желание иметь блага сейчас, а не потом, связаны и с тем обстоятельством, что срок нашей жизни ограничен и, откладывая потребление, мы рискуем. Поэтому те, кто использует заемные средства сегодня, должны заплатить за это владельцу капитала.
«Процент — это цена, которую люди платят за то, чтобы получить ресурсы сейчас, а не ждать, пока они заработают деньги, на которые эти ресурсы можно купить» (П.Хейне).
Норма процента (ставка процента) равна результату деления дохода от капитала, отданного в ссуду, умноженному на 100%, к ссудному капиталу.
Фактор риска в рыночном хозяйстве связан с неопределенностью, как имманентной чертой рыночного процесса. Вы рискуете, предоставляя ссуду малоизвестной фирме или отдельному лицу, чье финансовое положение не досконально известно. Вы рискуете в принципе, откладывая возможность сегодняшнего распоряжения деньгами, так как завтра могут измениться политическая ситуация в стране, налоговое законодательство; и человек не вечен. Поэтому чем выше риск при предоставлении ссуды, тем выше должна быть ставка процента.
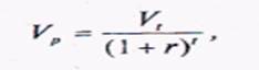
Сравнение уровня дохода на капитал с процентной ставкой — это один из способов обоснования эффективности инвестиционных проектов. Другой способ, имеющий огромное значение и использующийся не только в сфере бизнеса, — это процедура дисконтирования, которое неразрывно связано с фактором времени и заключается в том, что при осуществлении инвестиционных проектов (покупка оборудования, строительство нового завода и т.п.) необходимо сопоставлять величину сегодняшних затрат и будущих доходов, т.е. это процедура определения сегодняшней стоимости будущей суммы денег.
«Дисконтирование — это процедура вычисления сегодняшнего аналога суммы, которая выплачивается через определенный срок при существующей норме процента» (Э.Долан и Д.Линдсей).

где Vp, V, — соответственно сегодняшняя и будущая стоимости будущей суммы денег; / — число лет; г — ставка процента в десятичных дробях.
Дисконтирование применяется не только бизнесменами, осуществляющими инвестиционные проекты.
Так, при получении выигрышей по лотерее на разных временных условиях, получении денежных сумм по завещанию, где также оговорены различные временные сроки выплаты денег и т.п., люди используют процедуру дисконтирования, которая помогает осуществить рациональный экономический выбор.
Решая вопрос, какой частью текущего дохода пожертвовать ради увеличения возможностей потребления в будущем периоде, потенциальный кредитор ориентируется на свои предпочтения. В рамках своих бюджетных возможностей он выбирает наиболее предпочтительную комбинацию текущего и будущего потребления и, исходя из нее, определяет долю текущего дохода, которую следует предложить в ссуду под установленный процент.
При проведении дисконтирования важно различать номинальную и реальную ставки процента.
Номинальная ставка процента — это текущая рыночная ставка процента без учета темпов инфляции.
Реальная ставка процента — это номинальная ставка за вычетом ожидаемых (предполагаемых) темпов инфляции.
Если номинальная ставка процента не покрывает уровня инфляции, то
делать сбережения вообще становится бессмысленно. Потребители и инвесторы
склонны в этом случае брать взаймы, в кредит для того, чтобы в будущем периоде
расплатиться обесценившимися деньгами. Например, в России во второй половине
При характеристике процента, так же как и в случае с заработной платой и с земельной рентой, важно учитывать то, что для одних хозяйствующих субъектов является доходом, для других — расходами или издержками.
.
Литература
1. В.Н. Романов, Т.В. Романова «Современная экономика в вопросах и ответах», С-П – 2001. стр. 271 -289
2. Т.Г. Гальнишних «Основы экономической теории», М – 2003. стр. 112-126
3. Е.Б. Яковлев «Микроэкономика», М- С-П – 2003. стр. 225 – 227, 257 - 258






