Содержание
Введение.......................................................................................................... 3
Глава 1. Планирование и прогнозирование как функции управления 4
1.1.Задачи планирования.......................................................................................................... 4
1.2.Прогнозирование.................................................................................................................. 8
Глава 2.Методы планирования и прогнозирования................................ 9
2.1. Метод экономического анализа....................................................................................... 9
2.2.. Выбор метода прогнозирования спроса...................................................................... 10
Заключение.................................................................................................. 14
Список использованных источников и литературы.............................. 15
Введение
Актуальность данной темы связана с тем, что переход к рыночной экономике, появление большого разнообразия организационно-правовых форм предприятий, вовлечение в сферу торговой деятельности значительной части населения, развитие конкуренции, необходимость широкого внедрения современного оборудования и прогрессивных технологий обусловили потребность в новых подходах к организации коммерческой деятельности и технологических процессов на предприятиях торговли, в широком развитии частной инициативы и предпринимательства.
В современных условиях формы финансовых отношений претерпевают серьезные изменения. Становление рынка и предпринимательства в России предполагает не только разгосударствление экономики, приватизацию предприятий, их демонополизацию для создания свободного экономического сектора, развитие конкуренции, либерализацию цен и внешнеэкономических связей предприятий, но и финансовое оздоровление народного хозяйства, создание адекватной системы финансовых отношений.
Планирование продаж тесно связано с планированием производственно-хозяйственной деятельности. При административно-командной экономике составление финансового плана заключалось в механическом пересчете показателей производственного плана в финансовые показатели. Никакой самостоятельности у предприятий не было: все нормы спускались "сверху". Но сейчас, с развитием рыночных отношений финансы становятся основным видом ресурсов, именно их ограниченность начинает лимитировать производство. В связи с этим в значительной степени возрастает роль финансового планирования, изменяется его содержание как на предприятиях, так и в рамках всей финансовой системы страны.
Глава 1. Планирование и прогнозирование как функции управления
1.1.Задачи планирования
Планирование представляет собой постановку целей и разработку путей их достижения. Приведенное определение показывает, что планирование распадается как минимум на две подфункции: постановку целей и разработку путей их достижения. Постановку целей (целеполагание) иногда выделяют в самостоятельную задачу, а планирование понимают лишь как разработку способов достижения целей. Такое разделение нельзя считать оправданным, ибо нельзя ставить цель не думая о ее реализации, поскольку иначе велик риск назначения цели, требующей неоправданно больших затрат и, стало быть, неэффективной. Необходим системный подход к планированию, при котором цели и средства — две стороны одной медали.
Планирование — не только управленческая, но и исполнительская функция. Оно служит инструментом достижения высокой эффективности работы во всех сферах человеческой деятельности, не исключая и личную жизнь. Существует точка зрения, будто планирование обедняет жизнь, подчиняет ее схеме, делает предсказуемой, лишает ощущений новизны, неожиданности, исключает импровизацию. Такое мнение в корне ошибочно, ибо отталкивается от неправильного понимания плана, как чего-то строго-настрого обязательного, извне заданного, не подлежащего пересмотру. На самом деле план не смирительная рубашка, а руководство к действию. Он способствует поиску нового, лучшего, целесообразного и стимулирует выбор адекватных ответов на непредвиденные обстоятельства. Поэтому квалифицированный менеджер и любой человек, желающий добиться успеха, обязан владеть принципами и техникой планирования.
Планирование можно определить как продуманное определение и систематизацию факторов, способствующих успешной деятельности предприятия. Понимаемое таким образом планирование связано с выявлением и постановкой целей организации, выработкой политики, методов, стратегии и тактики, необходимых для их достижения. Обязанностью управляющего по сбыту является активная разработка и составление плана сбытовой деятельности.
Независимо от того, как оцениваются успехи компании, они зависят от правильности принятых управленческих решений, понимания проблемы и путей ее решения. Как целое процесс управления - от планирования и постановки целей до контроля и оценки результатов — неизбежно распадается на отдельные звенья цепочки, включающей анализ ситуации, выявление проблем и путей их решения., а также принятие решения на всех, уровнях организации. А поскольку управление — это прежде всего организация выполнения тех или иных работ определенными исполнителями (управление сбытом является поэтому руководством не столько реализацией продукции, сколько людьми), менеджеры оказываются перед необходимостью принятия решений, касающихся персонала.
В основе принятия решений лежит предположение, что существуют два и более альтернативных путей достижения цели, из которых управляющий должен сделать свой выбор. Это в свою очередь предполагает необходимость выработки определенного взгляда на ситуацию. Причем любое принятое решение неизбежно влияет на все последующие. Поэтому каждое отдельно взятое решение должно рассматриваться как необходимое звено последовательно выстраиваемой цепочки, влияние которого на все остальные должно быть оценено и обосновано.
Другой аспект принятия решений — использование накопленного опыта. Нередко возникают ситуации, когда физически отсутствует необходимая информация, а времени и средств для ее получения не хватает или же часть данных носит качественный характер и не поддается измерению. Поэтому решения часто опираются на здравый смысл и интуицию, базирующиеся на прошлом опыте, а иногда просто являются результатом озарения. Самый обычный путь решения проблем и принятия решений - это повторить то, что уже было однажды сделано в сходкой ситуации, т.е. использовать накопленный опыт.
Вместе с тем очевидным является то, что только опыта, здравого смысла или озарения явно недостаточно для решения проблем, с которыми приходится сталкиваться управляющим.
Некоторые проблемы являются известными, другие должны быть выявлены или даже предвосхищены. При этом необходимо решить, что делать с мелкими проблемами, чтобы они не переросли в крупные, а также определить, кто должен нести ответственность за их решение.
За исключением очевидных случаев всегда возникает необходимость в оценке реальности проблемы. В подобной ситуации важно избежать как излишнего обобщения, так и упрощения, исходя из четкого понимания того, по чьим и каким меркам тот или иной вопрос представляется проблемой, и анализа как можно большей информации о соответствующей ситуации,
Должны быть определены конечные результаты, т.е. поставлены цели, на достижение которых следует направлять усилия. Эти цели могут быть подразделены на три большие группы, а именно:
обязательные, т.е. такие, без которых никакое решение не может считаться приемлемым;
желательные, достижение которых способствует повышению качества и адекватности решения;
вероятные, достижение которых в комплексе с двумя первыми создает условия для того, чтобы предотвратить возникновение в будущем соответствующей проблемы или окончательно исчерпать ее.
Многие проблемы не поддаются немедленному решению, и потому возникает необходимость выделения из их общей совокупности кратко-, средне- и долгосрочных проблем в зависимости от временного горизонта поставленных целей.
Следующий этап — выработка альтернативных решений. Для этого существует множество путей: использование прошлого опыта, интуиции; опора на здравый смысл, экспертные оценки или "чистую" логику; групповые обсуждения, метод "мозговой атаки" с привлечением наиболее авторитетных сотрудников; моделирование, использование матриц "затраты — выпуск", программно-целевого метода и т.д. Выбор зависит от адекватности каждого из этих методов решения проблемы и от того, сколько времени и средств имеется в распоряжений управляющего.
На стадии принятия решения его альтернативные варианты должны быть оценены с точки зрения их способности обеспечить достижение обязательных, желаемых и вероятных целей. Рейтинг оценки устанавливается в баллах. Затем рассматриваются возможные последствия каждого такого варианта. Принятию окончательного решения предшествует составление перечня вероятных (ожидаемых) положительных и негативных последствий, к которым может привести тот или иной вариант. Все зто входит в прямые задачи управляющего, однако, поскольку окончательное решение будет проводиться в жизнь его подчиненными, желательно привлекать их к принятию решений на более ранних стадиях, имея в виду задействовать больший интеллектуальный потенциал. Кроме того, рядовые работники способны привнести дополнительную информацию о рассматриваемом вопросе и причинах его возникновения и, не исключено, предложить собственные альтернативные решения. Вовлечение в процесс принятия решения его будущих исполнителей способствует также усилению их заинтересованности в реализации принятого варианта, что в свою очередь может содействовать выявлению глубинных проблем, знание которых необходимо для эффективного выполнения предлагаемых решений.
Планирование позволяет:
1. Не упустить важного.
2. Избежать грубых ошибок.
3. Выбрать оптимальную схему действий.
4. Минимизировать затраты сил, средств и времени.
5. Достичь цель наиболее удобным способом (скорейшим или простейшим, либо доступным для нас, а может быть, дешевым).
6. Учесть факторы, которые могут влиять на исход дела и заранее приспособиться к ним.
7. Вести предварительную подготовку работы.
8. Правильно расставить кадры, эффективно мотивировать людей.
9. Равномерно распределить загруженность.
10. Организовать рациональный контроль за достижением целей.
Реализовать указанные выгоды можно только на основе разумно организованного процесса планирования.
В основе плана — два «кита»: анализ исходной ситуации и прогноз развития событий. Анализ и прогноз — функции, предваряющие назначение целей и выбор средств. Они являются подготовкой к планированию и не могут быть оторваны от планирования, поскольку без них планирование невозможно.
Анализ исходной ситуации необходим, с одной стороны, для реальной оценки возможностей, с другой — для составления прогноза методом экстраполяции. Анализ должен быть объективным со степенью подробности, достаточной для получения достоверных выводов. Избыточная точность анализа снижает эффективность планирования.
1.2.Прогнозирование
Прогноз — слово греческого происхождения и в переводе означает знание о будущем. План как схема предполагаемой работы ориентирован всегда на будущее — ближнее или дальнее. Будущее характеризуется неопределенностью тем большей, чем больше плановый период. Поэтому точность прогноза играет важную роль. Прогноз делается на основе экстраполяции или интуиции.
В основе научного прогноза — экстраполяция событий, опирающаяся на известные причинно-следственные связи. Отправным пунктом служит фактическая ситуация и те законы или тенденции, в соответствии с которыми она меняется. Это позволяет оценить состояние ситуации в перспективе. Например, если на горизонте большая черная туча, и оттуда дует ветер, то заключаем, что будет дождь. Многочисленные варианты прогнозирования, которые можно найти в литературе, представляют собой разные способы экстраполяции.
Интуиция, в отличие от научного прогноза, базируется на информации, хранящейся в памяти, но явно не осознаваемой. Таким образом, интуиция — это неосознанный прогноз. Использование интуиции как метода прогнозирования нежелательно, поскольку нет возможности оценить достоверность сведений, находящихся в подсознании. Прибегать к интуиции допустимо лишь в тех случаях, когда невозможна экстраполяция событий.
Анализу и прогнозу подвергается внешняя и внутренняя среда организации[1].
Глава 2.Методы планирования и прогнозирования
2.1. Метод экономического анализа
Экономический анализ является неотъемлемой частью и одним из основных элементов логики прогнозирования и планирования. Он должен осуществляться как на макро-, так и на мезо- и микроуровнях.
При проведении экономического анализа следует соблюдать системный подход. В качестве системы рассматривается народное хозяйство (экономика) в целом и его структурные части: сферы, регионы, отрасли, объединения, предприятия. Анализ должен быть комплексным, т.е. всесторонним.
Сущность метода экономического анализа заключается в том, что экономический процесс или явление расчленяется на составные части и выявляются взаимная связь и влияние этих частей друг на друга и на ход развития всего процесса. Анализ позволяет раскрыть сущность процесса, определить закономерности его изменения в прогнозируемом (плановом) периоде, всесторонне оценить возможности и пути достижения поставленных целей. ^
Процесс экономического анализа подразделяется на ряд стадий:
постановку проблемы, определение целей и критериев оценки; подготовку информации для анализа; изучение и аналитическую обра-' ботку информации; разработку рекомендаций о возможных вариантах решения проблемы и достижения целей; оформление результатов анализа.
Экономический анализ на макроуровне предполагает комплексное изучение темпов развития, сложившихся народнохозяйственных пропорций, структуры общественного производства. Должна даваться оценка использования трудового, природно-ресурсного потен-Д циала, развития НТП. Особую значимость необходимо придавать выявлению тенденций изменения важнейших показателей эффективности производства, характеризующих качество экономического роста: материалоемкости, энергоемкости, фопдоотдачи, производитель-Д ности труда. Комплексный анализ состояния экономики страны в предшествующем периоде должен завершаться общей оценкой уровня экономического развития и жизненного уровня народа в сопоставлении с аналогичными показателями наиболее развитых в экономическом отношении стран и выработкой рекомендаций решения проблем но достижению целей эффективным путем.
На микроуровпе в процессе экономического анализа акцент должен делаться на выявление резервов снижения издержек произвол ства, определение эффективности использования производственных мощностей, финансовых и трудовых ресурсов. Необходимо выявлять факторы, сдерживающие развитие экспортного потенциала, осуществлять анализ соответствия выпускаемой Продукции спросу па нее.
2.2.. Выбор метода прогнозирования спроса
Для прогнозирования спроса можно использовать:
— метод тенденций (экстраполирования);
— метод уровня потребления (включая эластичность спроса по доходу и ценам);
— метод конечного использования (коэффициента потребления);
— метод ведущего показателя;
— выборочный;
— анкетные опросы;
— экономико-математические и другие методы;
Выбор и применение метода прогнозирования спроса обычно осуществляется специалистами по экономической статистике.
Метод тенденций (экстраполирования), основанный на экстраполировании данных за прошлый период, заключается в определении тенденции и ее параметров. При этом в качестве основы могут использоваться: арифметический (линейный) тренд, экспоненциальный (полулогарифмический) тренд, полиномные тренды второго и более высоко порядка, функция Кобба-Дугласа (функция двойного логарифма), авторегрессия.
Поскольку значения годового спроса подтвержены изменениям, для выявления долгосрочной тенденции обычно необходимы данные о спросе за более длительный период времени. Краткострочный ряд, как правило, не используется для составления прогнозов; минимальным периодом можно считать срок не менее 5 лет при условии отсутствия аномальных колебаний.
Метод уровня потребления — применяется, когда речь идет о прямом потреблении определенного продукта, — основывается на стандартных коэффициентах. Например, спрос на автомобили может быть рассчитан путем определения количества автомобилей на 1000 человек ц среднем или в группах с определенным уровнем дохода, а также их в собственности фирм и государства. При известном общем объеме спроса фактическое количество автомобилей вычитается из общего спроса. В результате получают данные о новом спросе. При составлении прогноза могут учитываться потребности в обновлении автомобильного парка.
Главным фактором, определяющим уровень потребления таких товаров, является потребительский доход, оказывающий влияние на выделение средств из семейного бюджета на приобретение потребителем данного товара. Уровень доходов — главный показатель интенсивности потребления различных товаров. Между этими показателями обычно существует высокая степень положительной связи. Этот метод предполагает также изучение эластичного спроса по доходам и эластичности по ценам. Масштабы изменения спроса в связи с разными доходами различаются не только по отдельным продуктам, но и по группам потребителей с различным уровнем дохода и по регионам страны. В тех случаях, когда можно определить различие в доходах на душу населения внутри Групп с определенным доходом и по районам, анализ не следует ограничивать средним доходом на душу населения в масштабе национальной экономики. Нужно исследовать и группы в зависимости от профессий, социально-экономического положения и географических районов.
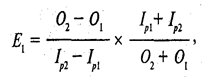
Если речь идет о незначительных колебаниях, можно использовать коэффициент эластичности по доходам и применить его к изменениям доходов на душу населения. Так, если установлено, что в стране при увеличении доходов на душу населения на один процент происходит увеличение потребления писчебумажных изделий на два процента, то спрос на писчебумажные изделия в последующие годы можно оценить .путем применения коэффициента эластичности дохода.
![]() |
где:
•О1 - количественный спрос в базовом году;
• О2 - количественный спрос в последующем году наблюдения;
•Ip1 - доход на душу населения в базовом году;
• Ip2 - доход на душу населения в последующем году наблюдения.
Значения для Е выше 1 означают эластичность; значения ниже 1 означают неэластичность.
где:
Е - коэффициент эластичности спроса по ценам;
О1 -спрос при новой цене;
О0 -существующий спрос при действующей цене;
.Р1, — новая цена;
Р2 — действующая цена.
Объем спроса, рассчитываемый на будущие годы с помощью коэффициента эластичности по ценам, находится в прямой зависимости от изменения цены на товар.
Для учета влияния на спрос не только цены данного продукта, но и некоторых дополнительных к нему товаров или заменителей, рассчитывается валовая эластичность, которая определяет зависимость спроса на эти товары.
Метод конечного использования коэффициента потребления применяют для изучения спроса на товары производственного назначения, Суть его заключается в определении возможных вариантов потребления данного товара (преимущественно в других сферах бизнеса) и установлении соответствующих коэффициентов. Зная планы развития соответствующих отраслей и сфер бизнеса, можно определить потребность в данном товаре путем умножения объема производства на коэффициент, соответствующий потреблению данного продукта.
Метод ведущего показателя применяется в тех случаях, когда имеется определенная закономерность, выражающая временную или количественную зависимость потребления одного товара от потребления другого товара. Так, если известно, что спрос на электротовары зависит от масштабов и времени введения в эксплуатацию жилых помещений и помещений для офисов, то спрос и время его возникновения на эти товары можно определить с достаточной точностью, если известны планы гражданского строительства.
Заключение
В этой работе рассматривались вопросы, которые помогают эффективно функционировать предприятиям в условиях свободного рынка.
Эффективность функционирования предприятия определяется многими обстоятельствами. Среди них: правильность установления "что, сколько, какого качества и к какому времени производить продукцию или оказывать услуги", с учетом спроса и предложения; выбор оптимальной технологии и организации производства; своевременное и рациональное ресурсное обеспечение; величина основного и оборотного капиталов; формы и методы реализации продукции и т. д.
Каждый из указанных в работе видов планирования имеет свою методологию, формы и методы увязки и расчета показателей. Они являются предметом рассмотрения одной из ведущих отраслей знания экономической науки - "Прогнозирование и планирование экономической деятельности".
Устойчивая, хорошая перспектива деятельности предприятия зависят от его способности воспринимать и реализовать лучшие образцы продукции, созданные передовой наукой и техникой, что позволяет ему захватить огромный рынок сбыта.
При помощи аналитических технологий мы решили задачу прогнозирования оптовых продаж мармелада. При помощи построенной нами системы на основе нейронных сетей мы имеем возможность строить краткосрочные и среднесрочные прогнозы. Кроме того, положительно на качестве прогноза может сказаться информация о внешней среде (курс доллара, рекламная поддержка и т.д.), а также категориальная переменная, обозначающая квартал или время года. Благодаря использованию нейронных сетей при прогнозировании, такого рода изменения в модели сводятся, фактически, к добавлению новых колонок в обучающую выборку и переобучению сети.
Главная проблема для качественного прогноза – наличие истории продаж за достаточно длительный срок и грамотная предобработка данных. Привлечение эксперта в этой области поможет дать ответ на вопрос, учитываются ли при анализе все факторы, влияющие на результат.
Список использованных источников и литературы
1. Академия рынка: Маркетинг: Пер. с фр./ Арман Дайан и др. - М.: Экономика, 1993.
2. Амблер Т. Практический маркетинг/Пер. с англ..-СПб: Питер,1999.-400с.
3. Болт Г. Д. Практическое руководство по управлению сбытом. М.: ЮНИТИ, 1998. 294 с.
4. Голиков Е, А. Маркетинг и логистика. М.: 2001. – 412с.
5. Голубков Е. П. Основы маркетинга. М.: 1999. – 656с.
6. Голубков Е.П. Маркетинг: стратегия, планы, структуры. М.: Инфра, 1995. 187 с.
7. Горемыкин В.А., Бугулов Э.Р., Богомолов А.Ю. Планирование на предприятии. Учебник. Издание 2-е стереотипное. М.: Информационно-издательский дом "Филин", Рилант, 2000. 328 с.
8. Грузинов В.П. Грибов В.Д. Экономика предприятия. М.: Инфра-М, 1998. 354 с.
9. Дашков Л.П. Коммерция и технология торговли. М.: Дело, 2000. 348 с.
10. Киселев Б.Н., Алешина И.В. Основы стратегического управления. М.: Финансы и статистика, 1996. 219 с.
11. Котлер Ф. Основы маркетинга. Санкт-Петербург: АО "КОРУНА", АОЗТ "Литера плюс". 1996.
12. Панкрухин А. Маркетинг: Учебник.-М.:Институт международного права и экономики имени А.С. ГрибоедоваЮ1999.-398с.
13. Попов В.Н. Деловое планирование: методы, организация, современная практика. М.: Дело, 1997. 147 с.
14. Соловьев Б.А. Основы теории и практики маркетинга. -М: МИНХ им. Г.В. Плеханова, 1991.
15. Уткин Э.А. Стратегическое планирование. М.: Дело, 1998. 219 с.
16. Хруцкий В.,Корнеева И. Современный маркетинг: Настольная книга по иследованию рынка.-2-е изд.,перераб. И доп.-М.:Финансы и статистика,1999.-528с.
17. Эванс Д. , Берман Б. Маркетинг. М.: Экономика 1999. 490 с.
[1] Виханский О. С., Наумов А. И. Менеджмент. М.: Гардарики, 2001.
