ВСЕРОССИЙСКИЙ ЗАОЧНЫЙ ФИНАНСОВО-ЭКОНОМИЧЕСКИЙ ИНСТИТУТ
КУРСОВАЯ РАБОТА
по дисциплине: «Информатика»
на тему: «Корпоративная сеть Intranet».
Исполнитель:
специальность Ф и К
группа
№ зачетной книжки
Руководитель
![]() |
Челябинск – 2007
Содержание
Содержание.. 2
Введение.. 3
1. Теоретическая часть: Корпоративная сеть Intranet. 4
Что такое Intranet. 4
Что не является Intranet: 6
Intranet как инструмент: 7
Архитектура Intranet. 9
Заключение.. 11
2. Практическая часть: Решение экономической задачи.. 12
Общая характеристика задачи. 12
Описание алгоритма решения задачи. 13
Введение
Известно, что любую организацию можно представить как совокупность точек принятия решений, имеющих строго определенную иерархическую связь. Между этими точками происходит обмен информацией, которая необходима, важна и достаточна для принятия тех или иных решений. Собственно, сами решения и являются информацией для других узлов этой сети. Таким образом, формируются информационные потоки внутри организации, которые, накапливаясь в специальных хранилищах и используясь в рабочем процессе, образуют информационное поле организации. Кроме внутренних потоков существуют и внешние потоки информации: поступающие и исходящие. Так построена жизнь любой компании, если говорить об этом на языке информационных систем. В современном мире обслуживание львиной доли как внутренних, так и внешних информационных потоков берут на себя компьютерные системы и сети. Прогресс компьютеризации бизнеса поражает своими масштабами и скоростью, а мировые коммуникационные услуги становятся все доступнее, проще и дешевле.
В данной курсовой работе рассмотрены архитектура построения и основные принципы внутренней системы Intranet, как качественно нового вида корпоративных коммуникаций.
1. Теоретическая часть: Корпоративная сеть Intranet
Что такое Intranet.
Рассмотрим сначала с разных сторон основные принципы Intranet. Intranet – это:
1. «Интеллект» организации.
Intranet – это внутренняя информационная система, основанная на технологии Internet, сервисах Web, TCP/IP и HTTP протоколах связи, и HTML страницах. Intranet – технология, которая позволяет организации определять себя в целом как объект или группу, где каждый знает свою роль, и работа каждого направлена на усовершенствование и здоровье организации. Это обусловлено тем, что все внутренние потоки данных организации интерактивно связываются воедино. Причем каждый сотрудник может пользоваться необходимой информацией, и, по мере своей компетенции, пополнять ее. Иными словами, Intranet представляет "интеллект" организации. Конечная цель этого интеллекта состоит в том, чтобы организовать рабочий стол каждого сотрудника (компьютер) с минимальной стоимостью, затратами времени и усилий, так, чтобы дать возможность труду быть более производительным, а продукции – более своевременной и конкурентоспособной.
2. Единый способ связи.
Intranet – это одновременно и локальная сеть, и система “клиент-сервер”, и персональный компьютер – все то, что и раньше использовалось в различных организациях для работы с информацией. Но раньше все машины, программное обеспечение, и системы связи находились непосредственно в их собственности. Невозможно было иметь внутреннюю связь всех данных без группы программистов и нового программного обеспечения для каждого нового вида информации. С Intranet доступ ко всей информации, прикладным программам, данным, знаниям, процессам, и т.д. возможен в том же самом браузере для Internet. Нет больше огромного количества преобразований к различным форматам, а значит, упущенного времени, несовместимости версий и т.п. Вместо этого Intranet соединяет людей вместе: с Internet, серверами Web, базами данных единственным способом, позволяя им легко обучаться даже при использовании старого программного обеспечения.
3. Организационный центр.
Intranet – это возможность построить организацию на информационном уровне и предоставлять эту информацию всем, кому необходимо. Если сотрудник знает то, чем компания занимается, какова стратегическая система технического видения компании, каковы принципы руководства, кто есть клиентура и партнеры, то он может более ясно сосредоточиться на своем собственном вкладе в общее дело. Понятная всем единая web-страница, представляющая суть компании, эквивалентна успеху. Все филиалы и представительства могут постоянно обращаться к центральным сообщениям и выполнять указания. Таким образом, глобальная сеть используется не только как способ дешевой передачи информации на большие расстояния, но и как инструмент руководства процессом в организации.
Что не является Intranet:
1. Intranet – не Internet.
Intranet не должна быть связана с глобальной сетью Internet. Хотя Intranet и использует понятия и технологии Web, но внутренняя информация надежно удерживается внутри организации. Для обеспечения этой надежности очень актуальны проблемы информационной безопасности, поскольку возможны ее утечки. Intranet позволяет создать отличную инфраструктуру. Это означает: как организован надзор за использованием межсетевых технологий? Как установлен Intranet в каждом отделе, кто помещает в него информацию и кто ею пользуется? Кто утверждает содержание информации? Имеются ли библиотеки графиков, эмблем, торговых марок, рабочих текстов, и другие дизайнерские вещи для каждой страницы? Таким образом, Intranet – внутренний механизм связи.
2. Intranet – не локальная сеть.
При использовании одинаковых типов связи, разные локальные сети зависят от прикладных программ и от конкретного продавца. Эти продавцы оборудования и компании по установке сетей создали превосходные решения для любых информационных потребностей, но их технологии и решения отличаются от Intranet. С моделью Intranet, возможно даже, что необходимость в их программном обеспечении отпадает.
3. Intranet – не E-mail.
Intranet - это не только программа обмена почтой. Фактически, это альтернатива электронной почте. Внутренняя сеть предоставляет надежные, богатые различными свойствами прикладные программы, которые разделяют четыре основные стандартные сетевые услуги: управление директориями, электронной почтой, файлами и печатью.
Intranet как инструмент:
Большинство организаций пользуется информацией, знаниями, интеллектом, чтобы создать изделия, услуги, дать образование или развлечение. Информация – это сила. В прошлом с ней было много проблем. Или не было возможности получать надежную информацию, или невозможно было делать это вовремя. Теперь информация находится непосредственно на рабочем столе безотносительно платформы или программного обеспечения. Благодаря Intranet любой пользователь, на любом уровне, может создавать информацию. Это делает информацию надежной, потому что она исходит прямо из источника. Человек обслуживает информацию, которая может читаться в любом браузере, и помещает ее на сервер. Это редактирование создает рабочий процесс внутри организации. Вы можете скрывать и предоставлять информацию наилучшим из способов.
Сеть Intranet может быть представлена в качестве следующих инструментов:
1. Инструмент принятия решений.
Intranet объединяет всю информацию в организации. Существует единый интерактивный интерфейс, включающий в себя удобные средства просмотра, стандартные запросы и средства поиска. Актуальная информация о движении портфеля, рыночные тренды, результаты общения с коллегами и партнерами по бизнесу позволяет вовремя принимать ответственные деловые решения.
2. Инструмент организации обучения.
Если обмен информацией происходит мгновенно, то те, кто ответственны за принятия решений, способны анализировать деловые процессы, деловые возможности, и деловые цели намного быстрее. Это связано с тем, что большее количество служащих может стать изготовителями решения. Проекты реализовываются более эффективно. Связь нужна, чтобы включить в процесс любого, чья работа хоть немного касается проекта. Требования клиентов регистрируются и их твердо придерживаются. Развитие событий происходит в общедоступном электронном поле данных – гораздо быстрее, чем посредством встреч, телефонных переговоров и индивидуальным расписанием. Компания, которая управляет информацией подобным образом, узнает все одновременно, одновременно совершенствуется и создает более знающую организацию.
3. Инструмент маркетинга.
Элементы традиционного делового маркетинга и коммерческих программ могут быть интегрированы внутри среды Web, чтобы создать целевой маркетинг, который удовлетворяет разнообразным запросам клиентов и обслуживает их в процессе продажи и сервиса. Результатом могут быть более выгодные, долгосрочные связи. Это взаимодействие сдвигает акценты от однонаправленного информационного потока до двустороннего диалога и сотрудничества, и от массовых рынков до рыночных сегментов.
4. Инструмент человеческих ресурсов.
С недавних времен возникла необходимость постоянно переосмыслять характер связей человек-организация и человек-человек внутри нее. Теперь каждый служащий может немедленно сообщить о своих решениях, передать опыт любому человеку. Власть служащего также создает набор обязательств для всех членов организации. Intranet может заставлять компанию переоценивать себя полностью: инфраструктуру, политику, процедуры, роли и обязанности.
Таким образом, Intranet – не только эффективная организация информационного поля фирмы, но и организация ее структуры. Углубимся немного в технические подробности и покажем интерфейсы некоторых приложений Intranet.
Архитектура Intranet.
Самую простейшую схему Intranet можно представить таким образом (Рис. 1.):

Рис. 1. Конфигурация сети Intranet
Как видно из рисунка, в организации сохраняется и локальная сеть и выход в Internet. Появляется лишь новый узел, называемый брандмауэром (firewall). Firewall – это компьютер с установленным на нем специальном программным обеспечением, позволяющим:
1. Идентифицировать любого входящего извне пользователя с тем, чтобы запретить или разрешить ему доступ;
2. Распределить между пользователями права доступа;
3. Осуществить аудит и протоколирование вхождений, т.е. запись, кто, когда и зачем входил во внутреннюю сеть;
4. Осуществить криптографию, т.е. шифрование секретной информации;
5. Осуществить экранирование, т.е. возможность односторонней передачи данных.
Все остальное – остается без изменений, потому что Intranet – это скорее набор программных средств.
Вот как может выглядеть корпоративная Web-страница в обычном браузере - Internet Explorer (Рис. 2.):
![]() |
Рис. 2. Корпоративная Web-страница
На рисунке Рис. 2. изображена именно внутренняя информация организации, недоступная извне. Кроме браузеров, информация может содержаться и в специально разработанных приложениях, работающих в среде Intranet (например, Microsoft FrontPage), если в этом есть необходимость. Вся эта информация может быть просмотрена и отредактирована в любом месте, с любого компьютера, независимо от операционной системы или платформы, причем, нет никакой разницы, создается ли она в соседней комнате или на другом конце земного шара.
Заключение
Безусловно, Intranet – это не вершина человеческих возможностей. Прогресс нарастает стремительными темпами, так, что трудно вообразить себе, что будет в ближайшем будущем. Хотя в настоящее время многие виды отчетов, балансы, внутренняя документация сейчас создается в бумажном виде лишь для того, чтобы дублировать электронную форму. Пока однозначно не решена проблема информационной безопасности, это будет продолжать практиковаться.
Однако деловой мир подхватывает и эффективно внедряет в жизнь новейшие технические достижения. К чему это приведет, сегодня сказать не может никто.
2. Практическая часть: Решение экономической задачи
Общая характеристика задачи
Рассмотрим следующую задачу.
В организации ведется журнал расчета подоходного налога с зарплат сотрудников в разрезе подразделений. Виды подразделений представлены на рисунке (Рис. 1.). При этом работает следующее правило.
Все вычеты предоставляются согласно таблице (Рис. 2.) только работникам «основного» места работы, остальные работники платят налог с общей суммы.
1. Построить таблицы по приведенным ниже данным (рис. 1,2,3.);
2. Организовать межтабличные связи для автоматического заполнения графы журнала расчета налога на доходы с физических лиц (НДФЛ): «Наименование подразделения», «НДФЛ»;
3. Настроить проверку в поле «Вид места работы» на вводимые значения с выводом сообщения об ошибке;
4. Определить помесячную сумму уплаченного сотрудником налога (за несколько месяцев);
5. Определить общую сумму НДФЛ по каждому подразделению;
6. Определить общую перечисляемую организацией сумму НДФЛ за месяц;
7. Построить гистограмму по данным сводной таблицы.

Рис. 1. «Список подразделений организации»

Рис. 2. «Ставки льгот и налогов»

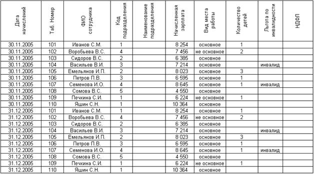
Рис. 3. «Журнал расчета налога на доходы с физических лиц»
Описание алгоритма решения задачи
1. Для решения данной задачи воспользуемся табличным процессором MS Excel, так как это универсальное средство для создания электронных таблиц и вычисления формул различной сложности.
2. Создадим книгу с именем «Расчет НДФЛ организации».
3. Лист 1 переименуем в лист с названием «Подразделения». На рабочем листе «Подразделения» создадим таблицу списка подразделений организации. Заполним таблицу исходными данными (Рис.4).

Рис. 4. «Подразделения»
4. Лист 2 переименуем в лист с названием «Ставки льгот и налогов». На рабочем листе создадим таблицу ставок льгот и налогов организации. Заполним таблицу исходными данными (Рис.5)
Рис. 5. «Ставки льгот и налогов»
5. Лист 3 переименуем в лист с названием «Журнал расчета НДФЛ». На рабочем листе создадим таблицу журнала расчета НДФЛ организации. Заполним таблицу исходными данными (Рис.6)

Рис. 6. «Журнал расчета НДФЛ»
Для автоматического заполнения графы «Наименование подразделения» в ячейку Е2 заносим следующую формулу:
![]()
Размножаем данную формулу на диапазон ячеек Е3-Е21.
Для автоматического заполнения графы «НДФЛ» в ячейку J2 заносим следующую формулу:
![]()
Размножаем данную формулу на диапазон ячеек J3-J21.

