Содержание
Задача 1. 2
Задача 2. 7
Задача 3. 14
Задача 4. 20
Список литературы.. 23
Задача 1
Составьте ценовую карту по районам города на определенный день (данные в табл. 1).
|
Виды товаров |
Наименование районов города |
||||||
|
Центр |
А |
В |
С |
Д |
|||
|
Цена товара в усл. ед. |
|||||||
|
Морковь столовая Хлеб ржаной формовый Мука пшеничная высшего сорта Сахарный песок Масло сливочное экологически чистое Сыр «Здоровье» Колбаса «Мясная» |
80 40 150 350 1200 1000 1300 |
102 44 160 250 1100 950 1450 |
70 39 158 280 1300 1100 1500 |
90 45 155 370 1400 1000 1600 |
100 38 153 290 1200 1000 1480 |
||
Решение:
Составим ценовую карту по районам города (рис. 1). При составлении карты будем размещать цены на товары в отдельных районах города относительно центра, приняв цены на товары в центре города за единицу (обозначим цены на товары в центре города Ц). Для этого составим вспомогательные табл. 2 и 3.
Таблица 2
Вспомогательная таблица для перевода районных цен в условные единицы относительно центра города
|
Условные обозначения |
Цена товара в усл. ед. |
|
Цморк |
80 |
|
Цхлеб |
40 |
|
Цмука |
150 |
|
Цсахар |
350 |
|
Цмасло |
1200 |
|
Цсыр |
1000 |
|
Цколб |
1300 |
Таблица 3
Таблица распределения цен по районам города относительно центра
|
Виды товаров |
Наименование районов города |
||||||
|
Центр |
А |
В |
С |
Д |
|||
|
Цена товара в усл. ед. |
|||||||
|
Морковь столовая Хлеб ржаной формовый Мука пшеничная высшего сорта Сахарный песок Масло сливочное экологически чистое Сыр «Здоровье» Колбаса «Мясная» |
Цморк Цхлеб Цмука Цсахар Цмасло Цсыр Цколб |
1,275 Цморк 1,1 Цхлеб 1,066 Цмука 0,714 Цсахар 0,917 Цмасло 0,95 Цсыр 1,115 Цколб |
0,875Цморк 0,975 Цхлеб 1,053 Цмука 0,8 Цсахар 1,083 Цмасло 1,1 Цсыр 1,153 Цколб |
1,125 Цморк 1,125 Цхлеб 1,033 Цмука 1,057 Цсахар 1,167 Цмасло Цсыр 1,23 Цколб |
1,25 Цморк 0,95 Цхлеб 1,02 Цмука 1,829 Цсахар Цмасло Цсыр 1,138 Цколб |
||
Для удобства чтения ценовой карты обозначим на карте отдельные товары и районы различными цветами:
Цморк - красный цвет
Цхлеб – желтый цвет
Цмука – синий цвет
Цсахар – голубой цвет
Цмасло – оранжевый цвет
Цсыр – зеленый цвет
Цколб – коричневый цвет
Центр города – серый цвет
Район А – бардовый цвет
Район В – фиолетовый цвет
Районы С и Д – желтый цвет

Рисунок 1 – Ценовая карта города
|
Цена на морковь в центре города
|
|
|
Цена на сахар в центре города
|
|
Цена на сыр в центре города
|
Цена на колбасу в центре города
Таким образом, зная цены на каждый товар в центре города, глядя на ценовую карту, можно определить цену на этот же товар в каждом районе города.
Задача 2
Рассчитайте исходную цену товара параметрическим способом.
Виды товаров:
а) чайный сервиз на 6 персон, включающий один заварочный чайник, сахарницу, масленку, вазочку для варенья, вазочку для цветов, сухарницу, шесть чашек, шесть блюдец, шесть десертных тарелочек; шесть розеток для варенья.
б) пылесос «Чистота»; легковой автомобиль «Скорость»;
в) шерстяной свитер «Пушинка».
Решение:
Параметрические методы позволяют достаточно надежно рассчитать цены на новые изделия внутри имеющегося ряда однородных изделий (так называемого параметрического ряда). К таковым относят следующие методы[1]:
1. Метод удельных показателей - используется для определения и анализа цен небольших групп продукции, характеризующейся наличием одного основного параметра, величина которого в значительной мере определяет общий уровень цены изделия. Рассмотрим поэтапное применение данного метода:
1. расчет удельной цены (ЦУД):
ЦУД = ЦБ / ПБ,
где ЦБ – цена базисного изделия;
ПБ – величина параметра базисного изделия.
расчет цены нового изделия (ЦН):
ЦН = ЦУД * ПН,
где ПН – значение основного параметра нового изделия в соответствующих единицах измерения.
Данный метод используется для сравнения потребительских ценностей товара и является наиболее простым из параметрических методов. Его недостатком является то, что метод применим в отношении достаточно простых изделий, таких, главными показателями которых является вес, площадь, продолжительность службы. Ограниченно данный метод применяется в машиностроении, приборостроении, радиотехнике, электронике. В большей степени он может быть применим в топливных и сырьевых отраслях.
В рыночных условиях недостаточно в цену включать значение только одного параметра.
2. Метод регрессионного анализа заключается в нахождении взаимосвязи цен и нескольких основных технико-экономических параметров изделия, то есть, в определении формулы корреляционной зависимости изделия от его основных параметров. Таким образом, цена изделия является функцией от величины параметров:
ЦI = F (Х1, Х2, ....., ХN)
где Х1,2,…N – параметры изделия.
Использование регрессионного анализа на практике имеет определенную последовательность. Выделяют 4 этапа:
1. выбор основного технико-экономического параметра изделия, на которое устанавливается цена. При этом из всей совокупности параметров необходимо отобрать такие, которые оказывают наибольшее воздействие на цену и предопределяют ее размер. Для этого на основе визуального анализа исходных данных, то есть сопоставления соответствующих значений основного технико-экономического параметра и цены изделия, необходимо определить, насколько они взаимосвязаны и взаимозависимы. Например, прямая зависимость проявляется в том случае, когда с ростом основного параметра увеличивается и цена на изделие. Это свидетельствует о том, что между ними существует достаточно тесная корреляционная связь, а следовательно подтверждается обоснованность выбора данного параметра в качестве основного для расчета цены.
2. выбор модели корреляционной зависимости. Для выбора модели корреляционной зависимости цены изделия от значения его основного параметра строится корреляционное поле, где на оси ординат откладываются значения параметра в условных единицах (кг, КВт и т.п.), а на оси абсцисс – соответствующее значение цены в денежных единицах.
Соединив точки пересечения отрезками, получим кривую зависимости цены изделия от его параметра. По характеру полученной кривой выбирают модель корреляционной зависимости. В практике ценообразования используются следующие виды зависимостей: степенная, линейная, линейно-степенная, показательная.
В случае, если полученная кривая близка по виду к прямой, то говорят о линейной зависимости цены от параметра. Формула такой зависимости (простейшая модель корреляционной зависимости) имеет следующий вид:
Y = A + BX
где Y – цена изделия;
A, B – оценки неизвестных параметров (определяют соответственно как пересечение искомой прямой с осью ординат и тангенс угла наклона к оси абсцисс).
3. расчет параметров А и В. Для обоснования цен на новое изделие необходимо рассчитать значения параметров А и В.
4. определение цены на новое изделие. Определив значения параметров А и В, необходимо подставить их в формулу корреляционной зависимости. Получим искомую формулу зависимости цены изделия от основного параметра. Подставляя затем в полученную формулу значения Х, находим новые значения Y.
3. Балловый метод состоит в том, что на основе экспертных оценок значимости параметров изделий для потребителей каждому параметру присваивается определенное количество баллов, суммирование которых дает своего рода оценку технико-экономического уровня изделия. Он незаменим в тех случаях, когда цена зависит от многих параметров качества, в том числе от таких, которые не поддаются количественному соизмерению. К последним относятся удобство изделия, эстетичность, дизайн, экологичность, противопожарность, органолептические свойства (запах, вкус, цвет), модность[2].
Практическое использование баллового метода при определении конкретных цен включает четыре этапа.
На первом этапе тщательно отбираются основные технико-экономические параметры. Они могут быть разными в зависимости от сферы использования данного изделия. Если, например, музыкальный центр используется в производственном процессе, то цена на него будет определяться в первую очередь мощностью и надежностью. При продаже этого изделия населению особое значение приобретает дизайнерское исполнение.
Второй этап — начисление баллов по каждому выбранному параметру. Это делается экспертным путем по определенной процедуре. В качестве экспертов должны выступать не только представители производителя, но и эксперты основных потребителей.
Третий этап — определение интегральной оценки технико-экономического уровня изделия. В случаях, когда все параметры продукции, подвергающиеся балловой оценке, считаются равнозначными по удельному весу, комплексный уровень качества каждого изделия параметрического ряда определяется путем простого сложения баллов. Если отобранные для оценки параметры не равнозначны для потребителя, устанавливаются коэффициенты весомости (значимости) отдельных параметров. Оценки, выставляемые по каждому показателю качества, корректируются на соответствующий коэффициент весомости. Полученные баллы суммируются по каждому изделию.
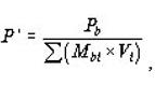
На заключительном, четвертом этапе, рассчитываются сами цены. Сначала определяется средняя оценка (цена) одного балла:

где P’ — цена одного балла;
Pb — цена базового изделия-эталона;
M — балловая оценка i-го параметра базового изделия;
Vi — весомость параметра.
Далее определяется цена нового изделия:
P = Σ(Mni x Vi) x P’ ,
где Mni — балловая оценка i-го параметра нового изделия.
4. Агрегатный метод. Данный метод заключается в суммировании цен отдельных конструктивных частей изделия с добавлением стоимости оригинальных узлов и деталей, и применяется когда продукция состоит из различных сочетаний основных конструктивных элементов, цены на которые известны. То есть совокупная цена продукции исчисляется как сумма отдельных конструктивных элементов или определяется путем суммирования (вычитания) цен добавляемых или убираемых элементов[3].
1. Рассчитаем исходную цену чайного сервиза на 6 персон при помощи баллового метода:
Чайный сервиз включает в себя один заварочный чайник, сахарницу, масленку, вазочку для варенья, вазочку для цветов, сухарницу, шесть чашек, шесть блюдец, шесть десертных тарелочек; шесть розеток для варенья.
|
Чайный сервиз |
Параметры |
|||||
|
Эстетические свойства |
Эргономические свойства |
Функциональные свойства |
||||
|
Баллы |
Коэффициент весомости |
Баллы |
Коэффициент весомости |
Баллы |
Коэффициент весомости |
|
|
Базовый |
45 |
0,2 |
70 |
0,4 |
80 |
0,4 |
|
Новый |
50 |
0,2 |
83 |
0,4 |
80 |
0,4 |
Основными потребительскими свойствами стеклянных бытовых изделий являются функциональные, эргономические, эстетические и свойства надежности.
Функциональные свойства стеклоизделий предусматривают возможность выполнения ими двух основных функций: "принимать" и сохранять пищу и напитки в неизменном количестве и качестве и "отдавать" их полностью или частично по мере необходимости. Эти свойства зависят от природы стекла, формы, размеров и назначения изделий, особенностей пищи и напитков. Все эти факторы обусловливают вариантность формы и размеров изделий.
Способность "принимать" и сохранять пищу и напитки определяется следующими групповыми показателями: химической стойкостью к пище и напиткам, стойкостью к атмосферным воздействиям, стойкостью к тепловым воздействиям, стойкостью к механическим воздействиям. Способность "отдавать" пищу и напитки: функциональностью объемно-пространственного решения и универсальностью.
Эргономические свойства предопределяют прежде всего удобство (комфортность) пользования и гигиеничность стеклоизделий. Комфортность бытовой посуды определяется удобством держания, переноса, выполнения функций хранения, мойки, а также удобством транспортирования и хранения. Гигиенические свойства обусловлены прежде всего природой и свойствами стекла и характеризуются такими групповыми показателями как безвредность и загрязняемость.
Эстетические свойства стеклянных бытовых товаров определяются целостностью композиции, рациональностью формы и информативностью. Целостность композиции характеризует расположение, сложение и соединение частей в единое целое в определенном порядке. Она обусловлена пространственно-декоративным строением, тектоникой, пропорциями формы стеклоизделий. Рациональность формы характеризует соответствие формы изделия функциональному назначению и условиям окружающей среды, соответствие тонального и цветового решения отдельных элементов требованиям эргономики, стилевого решения - интерьеру, технологии изготовления - свойствам материала.
Цена базовой модели — 2000 руб. Тогда цена нового чайного сервиза составит:
P` = 2000/(45 x 0,2 + 70 x 0,4 + 80 x 0,4) = 28,985 руб.
Р = (50 x 0,2 + 83 x 0,4 + 80 x 0,4) * 28,985 = 2179,67 руб.
Тогда цена нового чайного сервиза составляет 2179,67 руб.
2. Рассчитаем исходную цену пылесоса «Чистота» при помощи агрегатного метода.
Предположим, что старая модель пылесоса «Чистота» стоила 1800 руб.
Затем к нему добавили новый пылесборник, стоимость изготовления которого и монтирования на выпускаемом изделии — 200 руб. Тогда при рентабельности 15% к себестоимости цена нового изделия должна быть равна: 1800 + 200 x 1,15 = 2030 руб.
3. Рассчитаем стоимость легкового автомобиля «Скорость» при помощи регрессионного анализа.
Ряд зависимости цены автомобиля от максимальной мощности, кВт приведен ниже
|
Максимальная мощность, кВт (при об/мин) |
Цена, тыс. усл. ед. |
|
52,5 (5600) |
2500 |
|
57,2 (5400) |
3000 |
|
66,7 (5600) |
3500 |
Новый автомобиль «Скорость» имеет максимальную мощность 59 к Вт при 5200 об/мин.
Рассчитаем цену нового автомобиля «Скорость».
Как видно, с увеличением мощности автомобиля происходит увеличение его стоимости. Тогда, предполагая линейную зависимость между параметрами, составим уравнение регрессии вида:
Y = a + bх
Для этого составим таблицу:
|
Номер |
Х |
Y |
Х2 |
Y2 |
ХY |
|
1 |
52,5 |
2500 |
2756,25 |
6250000 |
131250 |
|
2 |
57,2 |
3000 |
3271,84 |
9000000 |
171600 |
|
3 |
66,7 |
3500 |
4448,89 |
12250000 |
233450 |
|
Сумма |
176,4 |
9000 |
10476,98 |
27500000 |
536300 |
|
Среднее |
58,8 |
3000 |
3492,33 |
9166666,67 |
178766,67 |
Тогда

.
Значит, уравнение линейной регрессии имеет вид:
.
Тогда при мощности 59 к Вт стоимость автомобиля равна: 3613,43 тыс. усл. ед.
4. Рассчитаем цену шерстяного свитера «Пушинка» балловым методом.
|
Шерстяной свитер |
Параметры |
|||||
|
Эстетические свойства |
Эргономические свойства |
Эксплутационные свойства |
||||
|
Баллы |
Коэффициент весомости |
Баллы |
Коэффициент весомости |
Баллы |
Коэффициент весомости |
|
|
Базовый |
55 |
0,2 |
70 |
0,4 |
76 |
0,4 |
|
Новый |
60 |
0,2 |
90 |
0,4 |
94 |
0,4 |
Пусть цена базовой модели шерстяного свитера составляет 1200 руб.
P` = 1200/(55 x 0,2 + 70 x 0,4 + 76 x 0,4) = 17,29 руб.
Р = (60 x 0,2 +90 x 0,4 + 94 x 0,4) * 17,29 = 1480,04 руб.
Задача 3
Придумайте ситуацию, выбрав фирму, ее товар (или товары), а также характеристики товара (товаров) и фирмы, обстановку на рынке. Подберите к своей ситуации оптимальный метод ценообразования и докажите правильность подбора.
Решение:
Общество с ограниченной ответственностью «МЕДИКАМЕНТЫ ПЛЮС», создано 11марта 1999 года, учреждено и действует на основании Гражданского Кодекса Российской Федерации, Федерального закона №14-ФЗ от 08.02.1998 г. «Об обществах с ограниченной ответственностью», иного законодательства, регламентирующего Юридических лиц в Российской Федерации.
Общество создано с целью: удовлетворения общественных потребностей в товарах и услугах; создания конкурентоспособных товаров, работ, услуг и насыщения ими рынка сбыта; получения прибыли Участником.
Основным предметом деятельности Общества является:
-фармацевтическая деятельность, в том числе и изготовление, закупка, получение, хранение, складирование лекарственных средств, медицинских препаратов, медицинского оборудования, предметов личной гигиены, парфюмерно-косметических средств и оборудования;
-медицинские, стоматологические, косметические, оздоровительные, ветеринарные услуги.
-оптовая и розничная торговля лекарственными средствами, медицинскими препаратами, оборудованием, пара медицинскими изделиями, предметами личной гигиены, парфюмерно-косметическими средствами и оборудованием;
-закупка, хранение, складирование, оптовая и розничная торговля предметами и средствами бытовой химии;
-открытие торгово-сбытовых филиалов для осуществления целей, определенных Уставом вне места нахождения Общества;
-организация лечения методами народной медицины, открытие фитобаров, массажных салонов и др.;
-закупка, заготовка, переработка, оптовая и розничная реализация дикоросов, косметического сырья растительного и животного происхождения, морепродуктов;
-торгово-экономическое и научно-техническое сотрудничество с отечественными и зарубежными предприятиями, высшими и средними учебными заведениями, создание совместных предприятий,
-оформление экспортно-импортных сделок, включая бартер, обмен студентами для прохождения медицинской практики на базе Общества;
-организация курсов повышения квалификации медицинских работников, в том числе провизоров, косметологов, фармацевтов;
-организация учебных курсов по подготовки массажистов, косметологов;
изготовление, издание рекламных, справочных, методических, информационных материалов и иной печатной и полиграфической продукции по медицинским, оздоровительным, косметологическим вопросам, розничная и оптовая торговля этой продукцией и литературой;
предоставление складских и связанных с этим других услуг юридическим и физическим лицам;
открытие магазинов и торговых точек (в том числе оптовых, розничных и комиссионных);
ремонтно – строительные работы;
организация и проведение культурно – массовых, зрелищных, спортивных и других мероприятий;
сбор, переработка и реализация лекарственного сырья и дикоросов;
заготовка, приобретение, переработка и реализация металлов и металлоизделий;
коммерческо – посредническая деятельность в обеспечении предприятий, организаций и граждан продукцией производственно – технического назначения и товарами народного потребления путем заключения и исполнения контрактов, договоров с предприятиями поставщиками, коммерческо – посредническими фирмами, фирмами – производителями продукции, зарубежными фирмами и компаниями, а также приобретение и продажа выше указанной продукции на товарных биржах. Операции по приобретению и продаже акций и иных ценных бумаг государственных и зарубежных фирм и компаний, лизинговая деятельность;
реализация на комиссионных началах, получаемых от предприятий, коммерческо – посредническими фирм и от частных граждан товаров народного потребления путем их продажи через принадлежащие фирме магазины;
производство товаров народного потребления, продукции сельскохозяйственного назначения;
создание предприятий торговли и общественного питания;
туристическая деятельность в странах СНГ, за рубежом, создание зон отдыха и организация гостиничного хозяйства;
совместная деятельность с партнерами СНГ и зарубежными партнерами;
иные виды деятельности, не запрещенные действующим законодательством и не противоречащие договору Учредителей.
Общество имеет право осуществлять деятельность, требующую наличия лицензии только при получении соответствующей лицензии в течение срока, установленного в лицензии.
Цены на продукцию, предлагаемую ООО «Медикаменты плюс» устанавливаются на основе общепринятой структуры оптовой цены:
цена закупки + оптовая надбавка
В свою очередь оптовая надбавка включает в себя: издержки обращения, НДС, прибыль.
На предприятии оптовая надбавка устанавливается как средняя на все предлагаемые товары на уровне 20% от цены закупки.
В компании применяются различные скидки:
- Скидки за объем закупок
Чем больше единовременный объем закупки продукции предприятия конкретным покупателем, тем выше уровень скидки.
- Скидки за предоплату
На предприятии устанавливается скидка в 3 % за авансовую оплату продукции. То есть при перечислении покупателем денег на счет ООО «Медикаменты плюс» до фактической отгрузки продукции, ему предоставляется скидка в размере 3 %
В своей финансово-хозяйственной деятельности ООО «Медикаменты плюс» используют нейтральную ценовую стратегию, то есть установление цен примерно на уровне конкурентов. Такая ценовая стратегия не является достаточно эффективной для данного рынка, так как здесь присутствует очень жесткая конкуренция, а цена является одним из важнейших факторов, определяющих конкурентное положение предприятия.
Самый важный момент в ценообразовании определение целей ценовой политики предприятия. Обычно этих целей несколько. Среди таковых ООО «Медикаменты плюс выделяет:
· обеспечение существования предприятия на рынке. Проблемы могут возникнуть из-за конкуренции или изменившихся запросов потребителей.
· максимизация прибыли. Хотелось бы установить на свой товар цену, которая обеспечивала бы максимум прибыли. Для этого определяют возможный спрос и предварительные издержки по каждому варианту цен. Из альтернатив выбирается та, которая принесет в краткосрочной перспективе максимальную прибыль. В реализации данной цели ориентируются на краткосрочные ожидания прибыли и не учитываются долгосрочные перспективы, определяемые использованием всех других элементов маркетинга, политикой конкурентов, регулирующей деятельностью государства;
· максимальное расширение оборота. Цену, направленную на максимизацию оборота, применяют тогда, когда продукт производится корпоративно и сложно определить всю структуру и функции издержек. Здесь же важно оценить спрос. Реализовать данную цель можно посредством установления процента комиссионных от объема сбыта
В целом необходимо отметить, действующая стратегия и тактика ценообразования на предприятии не предусматривает анализ конъюнктуры рынка, конкурентоспособности производимой продукции, покупательских предпочтений.
Поэтому для данного предприятия целесообразно будет стратегия установления цен несколько ниже, чем у конкурентов. Для этого предприятию необходимо пересмотреть свои издержки обращения и установить цены на продукцию снизив уровень прибыли с единицы изделия, но увеличив её абсолютный размер за счет увеличения объемов продаж.
Основными источниками изменения цен на продукцию данного предприятия выступают издержки обращения. Как правило, снижение затрат на ООО «Медикаменты плюс» обусловлено:
уменьшением размера амортизационных отчислений, приходящихся на единицу продукции;
снижением расхода заработной платы на единицу продукции;
сокращением административно-управленческих расходов;
снижение транспортных расходов.
Для этого также необходимо использования комплекса стимулирования сбыта. Также для увеличения объема продаж целесообразным будет использование сети сбытовых агентов, которые бы осуществляли поиск новых покупателей и работали от процента с продаж
Задача 4
Ваша фирма занимается экспортом хлопка, используя морской путь доставки товара. Выберите вид транспортных расходов и объясните свой выбор.
Решение:
Транспортный фактор имеет существенное влияние при установлении цены на товар. Прежде всего, это учет транспортной составляющей в цене товара, исходя из географического расположения партнеров по отношению друг к другу и центрам международной, торговли товаром, а также установление экономически обоснованных тарифов на перевозку грузов, отражающих представительный уровень мировых цен в транспортной сфере.
При этом могут действовать два принципа учета в ценах взаимного расположения производителей и потребителей: принцип взаимной выгоды, когда выгоды или невыгоды расположения относительно центров мировой торговли могут делиться между партнерами поровну, и конкурентный принцип, когда производят деление выгод и невыгод местоположения на мировом рынке в зависимости от конкуренции или соотношения между спросом и предложением на обмениваемый товар. При превышении спроса основная нагрузка транспортных расходов ложится на покупателя.
Следует отметить, что конкурентный принцип для мировой торговли является наиболее распространенным и характерным[4].
На экспортируемые товары в мировой системе действует два вида цен, различающихся методами возмещения транспортных расходов:
— цена франко-станция отправления;
— цена франко-станция назначения.
Франко-станция отправления - базис поставки, согласно которому продавец несет издержки доставки товаров до станции (морского порта) отгрузки, где и происходит переход права собственности на товар. Покупатель самостоятельно оплачивает стоимость погрузки и транспортные тарифы, или поставщик включает их в счет покупателя сверх стоимости товара[5].
Франко-станция назначения - базис поставки, при котором продавец несет коммерческие издержки транспортировки товара или продукции до станции назначения, а также разгрузочных работ. Покупатель получает товары под подпись в накладной транспортной организации и принимает на себя право собственности на станции назначения, неся расходы по доставке товара на свой склад.
Расходы по транспортировке могут быть довольно значительны. Потому-то и необходимо еще до подписания контракта рассчитать возможные затраты по всем звеньям транспортных операций по перемещению товара.
Таким образом, прежде чем определиться с выбором транспортных расходов, необходимо изучить спрос на экспортируемый товар. Согласно данным Международного консультативного комитета по хлопку[6] , в настоящее время мировое производство хлопка оценивается в 19,1 млн. т, что на 2,4 млн. т (11%) меньше рекордного показателя за прошедший сезон и на 1,7 млн. т меньше ожидаемого объема потребления. Как результат, мировые запасы на конец сезона могут сократиться до 8,9 млн. т. В настоящее время на мировом рынке отмечается нехватка волокна высокого качества и, в связи с этим, повышенный спрос на заменяющий его хлопок более низких сортов. Это способствует тому, что до появления на рынке нового урожая будет поддерживаться относительно высокий уровень цен.
Тогда целесообразно выбрать вид транспортных расходов франко-станция отправления. Себестоимость перевозок на большие расстояния на морском транспорте более низкая по сравнению с другими видами транспорта, поэтому увеличение стоимости товара за счет включения в стоимость транспортных издержек не повлияет на уровень спроса.
Список литературы
1. Дихтль Е., Хершген Х. Практический маркетинг: Учеб. пособие / Пер. с нем. А.М.Макарова; - М. ПРИОР, 2004 – 456 с.
2. Минько И.С. Основы маркетинга: Учебное пособие для вузов - М.: Высш. шк. 2002. - 255 с.
3. Завьялов П.С., Демидов В.Е. Формула успеха: Маркетинг, сто вопросов - сто ответов. - М.: МО. 2003. – 350 с.
4. Котлер Ф.Основы маркетинга. Санкт-Петербург: АО "КОРУНА", АОЗТ "Литера плюс". 2004. - 699 с.
5. Липсиц И.В. Коммерческое ценообразование. — М.: БЕК, 2000.
6. Митрофанова А.В. Мировой рынок хлопка // Легпромбизнес, 2003. - № 4.
7. Михайлова Е.А. Ценовые стратегии: современные мировые тенденции // Маркетинг в России и зарубежом. — 1999. — № 5.
8. Порошина Н. Новые аспекты ценообразования // Маркетинг. — 1996. — №6. — С. 50—55.
9. Портер М. Международная конкуренция: конкурентные преимущества стран: Пер. с англ. - М., 2003. – 458 с.
10. Родионова А.Н., Руднева Ю.Р., Пашин С.Т. Методы расчета цены на новый товар // Маркетинг в России и зарубежом. — 2001. — №2 . — С. 34—45.
11. Солошенко М.В. Контрактно-ценовая политика в маркетинге: http:/www.marketing.spb.ru/read/kurs/index.htm.
12. Транспортное обслуживание международных экономических связей - Алматы:Казак университети, 1998. -194 с.
13. Цены и ценообразование / Под ред. В.Е. Есипова. — СПб.: Питер, 2000.
1. [1] Дихтль Е., Хершген Х. Практический маркетинг: Учеб. пособие / Пер. с нем. А.М.Макарова; - М. ПРИОР, 2004 – 456 с.
[2] Цены и ценообразование / Под ред. В.Е. Есипова. — СПб.: Питер, 2000.
2. [3] Родионова А.Н., Руднева Ю.Р., Пашин С.Т. Методы расчета цены на новый товар // Маркетинг в России и зарубежом. — 2001. — №2 . — С. 34—45.
[4] Портер М. Международная конкуренция: конкурентные преимущества стран: Пер. с англ. - М., 2003. – 458 с.
[5] Солошенко М.В. Контрактно-ценовая политика в маркетинге: http:/www.marketing.spb.ru/read/kurs/index.htm.
[6] Митрофанова А.В. Мировой рынок хлопка // Легпромбизнес, 2004. - № 4.