Содержание
Введение.......................................................................................................... 3
1.Степень эластичности спроса................................................................... 4
2. Коэффициент эластичности предложения............................................. 9
3. Мгновенное и длительное равновесие.................................................. 11
Заключение.................................................................................................. 16
Список литературы..................................................................................... 17
Введение
Приступая к изучению теории спроса и предложения, надо отметить, что она претерпела определенные изменения, которые благоприятно сказались на взаимодействии с другими теоретическими концепциями стоимости, ценности и цены. Первоначально предпринимались попытки обосновать положение, согласно которому цена предопределяется исключительно соотношением спроса и предложения. Однако при таком подходе оставался открытым вопрос о субстанции цены при равенстве спроса и предложения. Кроме того, спрос и предложение, в свою очередь, зависят от рыночных цен. Чем выше цены, тем меньше спрос и больше предложение, чем ниже цены — тем больше спрос и меньше предложение. Поэтому на данном уровне обобщения возникает заколдованный круг, где причина и следствие меняются местами: спрос и предложение формируют цену, в то же время цена определяет соотношение между спросом и предложением. Следовательно, цена выступает составляющей и спроса, и предложения.
В дальнейшем спрос и предложение стали рассматриваться в единстве с полезностью (предельной полезностью) и издержками производства. В результате спрос получил существенное теоретическое подкрепление для обоснования цен спроса на основе учета полезности благ, а предложение получило теоретическое обоснование цен предложения в форме издержек производства.
Что касается трудовой теории стоимости, то в ее рамках спрос и предложение выступают важнейшим инструментом выявления общественной значимости, ценности осуществленных затрат труда на производство тех или иных благ. Как мы уже знаем, именно через спрос и предложение проявляется социальное содержание абстрактного труда. При этом закон стоимости выполняет функцию регулятора общественного производства исключительно через спрос и предложение.
1.Степень эластичности спроса
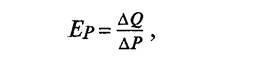
Мера реакции одной величины на изменение другой называется эластичностью. Эластичность показывает, на сколько процентов изменится одна переменная экономическая величина при изменении другой на один процент. Примером может служить эластичность спроса по цене, или ценовая эластичность спроса, которая показывает, на сколько изменится в процентном отношении величина спроса на товар при изменении его цены на один процент.
Если обозначить цену Р, а величину спроса Q, то показатель (коэффициент) ценовой эластичности спроса Ер равен:

где DQ — изменение величины спроса, %; DР — изменение цены, %; «Р» в индексе означает, что эластичность рассматривается по цене.
Аналогично можно определить показатель эластичности по доходам или какой-то другой экономической величине[1].
Показатель ценовой эластичности спроса для всех товаров является отрицательной величиной. Действительно, если цена товара снижается — величина спроса растет, и наоборот. Однако для оценки эластичности часто используется абсолютная величина показателя (знак «минус» опускается).
Например, снижение цены стирального порошка на 5% вызвало увеличение спроса на него на 10%. Показатель эластичности будет равен:
![]()
Если абсолютная величина показателя ценовой эластичности спроса больше 1, то мы имеем дело с относительно эластичным спросом. Иными словами, изменение цены в данном случае приведет к большему количественному изменению величины-спроса.
Если абсолютная величина показателя ценовой эластичности спроса меньше 1, то спрос относительно неэластичен. В этом случае изменение цены повлечет за собой меньшее изменение величины спроса.
При коэффициенте эластичности, равном 1, говорят о единичной эластичности. В этом случае изменение цены приводит к такому же количественному изменению величины спроса.

Рис. 1. Относительно эластичный (а) и относительно неэластичный (б) спрос
На рис. 1. изображены два варианта графиков спроса. На рис. 1,а снижение цены с Р0 до Р1 на 100 тыс. руб. (на 33%) приведет к росту величины спроса с Q0 до Q1 на 20 ед. (на 200%). Коэффициент эластичности будет равен 6 (200:33), т. е. больше 1, и спрос эластичен. А что произойдет с выручкой от реализации продукции? Она увеличится с 3000 тыс. (300тыс.х10) до 6000 тыс. руб. (200 тыс. х 30), т. е. вырастет в два раза. Заштрихованные прямоугольники 0 и 1 наглядно показывают увеличение выручки от реализации продукции при снижении цены в условиях эластичного спроса. Площадь прямоугольника 1 заметно больше площади прямоугольника 0.
Рис. 1,б иллюстрирует графически пример неэластичного спроса. Снижение цены на 100 тыс. руб. с Р0 до Р1 увеличит величину спроса лишь на 2 ед. При этом выручка от реализации упадет с 3000 тыс. (300 тыс. х 10) до 2400 тыс. руб. (200 тыс. х 12). Естественно, что при такой ситуации фирма не будет снижать цену своей продукции, не без основания опасаясь снижения своих доходов[2].
Существует два крайних случая. В первом возможно существование только одной цены, при которой товар будет приобретаться покупателями. Любое изменение цены приведет либо к полному отказу от приобретения данного товара (если цена повысится), либо к неограниченному увеличению спроса (если цена снизится). При этом спрос является абсолютно эластичным, показатель эластичности бесконечен. Графически этот случай можно изобразить в виде прямой, параллельной горизонтальной оси. (рис. 2,а). Например, спрос на помидоры, продаваемые отдельным торговцем на городском рынке, абсолютно эластичен. Однако рыночный спрос на помидоры не является эластичным.

Рис. 2. Крайние случаи эластичности: а — спрос абсолютно эластичен, б — спрос абсолютно неэластичен
Другой крайний случай представляет собой пример абсолютно неэластичного спроса: изменение цены не отражается на величине спроса. График абсолютно неэластичного спроса (рис. 2,б) выглядит как прямая, перпендикулярная горизонтальной оси. Примером может служить спрос на отдельные виды лекарств, без которых больной не может обойтись, и т. п.
Таким образом, абсолютная величина показателя ценовой эластичности спроса может изменяться от нуля до бесконечности:
1 < | Ер | <
— спрос эластичен;
0 £ | Ер | < 1 — спрос неэластичен;
| Ер|=1 — спрос с единичной эластичностью.
Как измерить эластичность спроса по цене? Для этого необходимо подсчитать процентное изменение величины спроса, процентное изменение цены и соотнести их:

Из этой формулы видно, что показатель эластичности зависит не только от соотношения приростов цены и объема, или от наклона кривой спроса (см. рис. 1), но и от их фактических значений. Даже если наклон кривой спроса является постоянным, показатель эластичности будет различным для разных точек на этой кривой[3].
Существует еще одно обстоятельство, которое следует учитывать при определении эластичности. Какой объем продукции и какой уровень цены следует использовать при расчете? Существовавший до изменения или полученный после него?
Допустим, что небольшая булочная выпекает батоны и продает их по свободной цене. Чем ниже будет выбрана цена, тем большее количество батонов булочная сможет продать. Зависимость цены и объема продаж известна (табл. 1). Нас интересует, какова эластичность спроса и как ее измерить в различных интервалах, выбранных нами для анализа.
Таблица 1.
Расчет коэффициента ценовой эластичности спроса

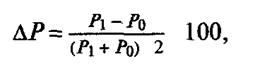
Как измерить изменение величины спроса? Возьмем второй интервал от 1000 до 1500 батонов. Величина спроса изменилась на 500 батонов, или на 50% (500:1000=0,5). Однако если мы рассмотрим изменение величины спроса в обратном направлении, т.е. с 1500 до 1000 батонов, то в процентном отношении это составит лишь 33% (500:1500=0,33). Такие различия создают сложности при расчете коэффициента эластичности. Поэтому для измерения процентного изменения каждой рассматриваемой величины используется средняя точка интервала, выбранного нами. В нашем примере это (1000+1500):2=1250 батонов[4].
Изменение величины спроса в интервале от 1000 до 1500 батонов составит 500:1250=0,4 (или 40%).
В общем виде формула для определения процентного изменения величины спроса Д0 будет выглядеть:

где Q0, Q1 — величина спроса до и после изменения цены, шт.
Аналогично для определения процентного изменения цены ЛР в выбранном интервале получаем:

где Р0, P1 — начальная и новая цена, руб.
Коэффициент эластичности определяем как отношение прироста величины спроса к приросту цены:

Рассчитав коэффициенты эластичности (см. табл. 1), получим количественные характеристики ценовой эластичности спроса в различных ценовых интервалах. В пределах первых трех интервалов спрос эластичен, в четвертом интервале — неэластичен.
На участках эластичного спроса снижение цены и рост объема продаж приводят к увеличению общей выручки от реализации продукции фирмы, на участке неэластичного спроса — к уменьшению выручки. Поэтому каждая фирма будет стремиться избегать того участка спроса на свою продукцию, где коэффициент эластичности меньше единицы.
2. Коэффициент эластичности предложения.
Эластичность предложения по цене показывает, как изменится количество товаров, предлагаемых к продаже в ответ на изменение цены этих товаров.
Таким образом, ценовая эластичность спроса — это реакция покупателей на изменение цены, а ценовая эластичность предложения — это реакция на изменение цен со стороны продавца.
Если при изменении цены объем предложения изменится I меньшей степени, чем цена, то предложение товара неэластично. Если при изменении цены объем предложения изменится в большей степени, чем цена, то предложение товара эластично.
Коэффициент эластичности предложения по цене рассчитывается по формуле, аналогичной формуле коэффициента эластичности спроса по цене.
Коэффициент эластичности предложения по цене показывает относительное изменение объема предложения при относительном изменении цены на товар.
где
Es— коэффициент эластичности предложения по цене,
Р1 — первоначальная цена,
Р2 — новая цена,
Q 1 -первоначальный объем предложения,
Q 2 - объем предложения после изменения цены.
Другими словами, коэффициент эластичности предложения по цене показывает на сколько процентов изменится объем предложения товара в результате изменения цены этого товара на 1 %.
|
|
Рис. Эластичность предложения относительно цены.
Коэффициент эластичности предложения по цене в отличие от коэффициента эластичности спроса по цене всегда имеет положительное значение, поскольку цена и предложение всегда изменяются в одном и том же направлении — при росте цены растет и предложение.
На рисунке представлены: неэластичное предложение по цене — линия S1 так как рост цен с 2 до 3 денежных единиц приводит к незначительному увеличению объема предложения; эластичное предложение — линия S3 поскольку такое же увеличение цен приводит к значительному увеличению объема предложения; предложение с единичной эластичностью — линия S 2, когда изменение цен вызывает пропорциональное изменение объема предложения.
На рис. также показаны два экстремальных случая: абсолютно неэластичное предложение и абсолютно эластичное предложение.
3. Мгновенное и длительное равновесие
Рассмотрим подробнее основной фактор, влияющий на эластичность предложения — период времени, которым располагают продавцы, чтобы отреагировать на повышение цены на рынке.
При анализе эластичности предложения различают три временных рыночных периода.: мгновенный, короткий и длительный.
Мгновенный рыночный период - период времени, в течение которого все факторы производства (труд, земля, капитал постоянны, т.е. их количество не может быть изменено.
Мгновенный период настолько мал, что производители не имеют возможности нанять дополнительное количество рабочих, закупить больше сырья или оборудования. Поэтому, в случае, если произойдет увеличение спроса на выпускаемый ими товар, продавцы не смогут увеличить предложение своей продукции, а отреагируют только повышением цен. Линия предложения в мгновенном периоде представлена на рисунке.
Например, фермер осенью привез на рынок весь свой урожай картофеля (Q1). При этом линия его предложения будет совершенно неэластична, поскольку как бы не изменялась цена на рынке, фермер будет предлагать только количество картофеля, равное Q1. Если произойдет увеличение спроса (линия спроса сдвинется из положения D1 в D2), фермер отреагирует повышением цены с Р1 до Р2.
Короткий рыночный период — это период времени, в течение которого одни факторы производства постоянные, а другие — переменные (т.е. можно изменить их количество).

Рис. Предложение в мгновенном периоде (абсолютно неэластичное предложение
В коротком периоде к постоянным факторам производства можно отнести научно-технические разработки, оборудование, высококвалифицированных работников (чья подготовка требует длительного времени), здания и др. К переменным факторам производства в коротком периоде относят: работников с невысокой квалификацией, сырье и материалы, применяемые в производстве незадействованное оборудование и др. Линия предложения в коротком рыночном периоде представлена на рисунке.
Например, если увеличение спроса на картофель произойдет в коротком периоде, то наш фермер постарается задействовать всю имеющуюся у него землю, применить соответствующие удобрения, нанять дополнительное число работников и тем самым увеличить объем продаж с Q1 до Q2,. В этом случае также произойдет повышение цены с Р1 до Р2 однако оно не будет таким значительным, как в мгновенном периоде.
Длительный рыночный период — период времени, в течение которого все факторы производства переменные.
У производителей достаточно времени, чтобы закупить больше оборудования, подготовить высококвалифицированных

Рис. Предложение в короткий период (неэластичное предложение).
специалистов, использовать новые достижения научно-технических разработок.
График предложения в длительном рыночном периоде представлен на рисунке.
Как видим, в длительном периоде линия предложения имеет более пологий наклон, чем в коротком. Это объясняется тем, что в длительном периоде производители имеют возможность увеличить объем предложения своего товара на большее количество, чем в коротком периоде. И в случае, если произойдет увеличение спроса на товар, повышение цены в длительном периоде будет меньше, чем в коротком.
Рыночные периоды неодинаковы для разных отраслей производства. В одних отраслях производители могут достаточно быстро изменять объемы применяемых ресурсов, в других — производителям потребуется достаточно длительное время, чтобы построить новые сооружения, установить оборудование (например, в тяжелой, добывающей, химической промышленностях для этого понадобится несколько лет). Чтобы проанализировать, как изменяется ситуация на рынке определенного товара с течением времени, совместим линии предложения в мгновенном, коротком и длительном периодах на одном графике.

Рис. Предложение в длительный период (эластичное предложение).
На рисунке совмещены линии предложения в мгновенном, коротком и длительном периодах:
линия S1 — линия предложения в мгновенном периоде, линия
S2 — линия предложения в коротком периоде, линия
S3 — линия предложения в длительном периоде.
Представим, что произошло увеличение спроса, и линия D1 сместилась в положение D2. Сначала, в мгновенном периоде точка равновесия Е1 займет положение Е2 а цена равновесия повысится с P1 до Р2 Далее, в коротком периоде точка равновесия сместится в точку Е3 и равновесная цена снизится с Р2 до Р3 И, наконец в длительном периоде точка равновесия займет положение Е4 цена снизится с Р3 до Р4 объем увеличится с Q3 до Q4 Таким образом, при увеличении спроса сначала происходит резкое повышение цены при том же объеме продаж, а затем происходит постепенное понижение цены и увеличение объема продаж.

Рис. Совмещение линий предложения в мгновенном, коротком и длительном рыночных периодах
Заключение
Подведем итоги вышесказанного:
Спрос — это потребности, обеспеченные платежеспособностью покупателей. Согласно закону спроса повышение цены вызывает сокращение спроса, а повышение спроса ведет к росту цен. Поэтому функциональная зависимость между ценой (независимая переменная) и спросом (зависимая переменная) имеет обратный характер.
Эластичность спроса выражает реакцию спроса (покупателей) на изменение цены. Эластичность спроса по цене показывает, на сколько процентов изменится спрос при изменении цены товара на 1%. Коэффициент эластичности спроса может быть равным единице (единичная эластичность), больше единицы (высокая эластичность) меньше единицы (низкая эластичность). Кроме того, различают эластичность спроса по доходу и перекрестную. Коэффициент эластичности по доходу показывает, насколько изменится спрос при изменении дохода на 1%. Перекрестная эластичность выражает степень чувствительности спроса на определенный товар при изменении цены на другой.
Предложение — это товары, поступившие на рынок. Зависимость между ценой и предложением прямая: чем выше цены на рынке, тем больше будет предложено данного товара. В этом проявляется экономический интерес товаропроизводителя и суть закона предложения. Эластичность предложения выражается в изменении предлагаемых к продаже благ при изменении цены на 1%.
Список литературы
1. Булатов А. С. Экономика. - М.: БЕК, 1995.
2. Грегори Н. Мэнкью. Принципы экономикс. – СПб, М., Минск, Харьков, 1999.
3. Долан Э. Дж., Линдсей Д. Рынок: микроэкономическая модель. — М., 1996.
4. Камаев В. Д.. Учебник по основам экономической теории. - М.: Владос, 1994.
5. Курс экономической теории / Под. ред. М. Н. Чепурина, Е. А. Киселевой. — Киров: АСА, 1999.
6. Лившиц А. Я. Введение в рыночную экономику. - М.: Высшая школа, 1994.
7. Макконнелл К.Р., Брю С.Л. Экономикс. – М.: Дело, 2000.
8. Самуэльсон П. Экономика. - М.: Машиностроение, 1994.
9. Сидорович А.С. Экономическая теория - М., 1995.
[1] Брю С., Макконнелл К. Экономикс: принципы, проблемы и политика. - М.:Республика, 2000. – С. 231.
[2] Брю С., Макконнелл К. Экономикс: принципы, проблемы и политика. - М.:Республика, 2000. – С. 234.
[3] Камаев В.Д.. Учебник по основам экономической теории. - М.:Владос, 1998. – С. 297.
[4] Камаев В.Д.. Учебник по основам экономической теории. - М.:Владос, 1998. – С. 299.
