ВСЕРОССИЙСКИЙ ЗАОЧНЫЙ ФИНАНСОВО-ЭКОНОМИЧЕСКИЙ ИНСТИТУТ
КОНТРОЛЬНАЯ РАБОТА
по предмету "Эконометрика"
Выполнил:
Обаленская Татьяна Николаевна
Студенческий № 05ффд60032
специальность:
Финансы и кредит
группа № 9/1
Проверил:
Половников Виктор Антонович
МОСКВА
2006
ВАРИАНТ № 32
I
Таблица 1. Исходные данные.
|
t |
1 |
2 |
3 |
4 |
5 |
6 |
7 |
8 |
9 |
|
Y |
26 |
30 |
32 |
30 |
35 |
33 |
35 |
38 |
40 |
На основании данных, приведенных в табл. 1. Требуется:
1) Определить наличие тренда Y(t)
2) построить линейную модель Y(t) = ao + a1t, параметры которой оценить с помощью МНК;
3) оценить адекватность построенной модели на основе исследования:
- случайности остаточной компоненты по критерию пиков;
- независимости уровней ряда остатков по d-критерию (в качестве критических значений следует использовать уровни d1 = 1,08 и d2 = 1,36) и по первому коэффициенту корреляции, критический уровень которого r(1) = 0,36;
- нормальности распределения остаточной компоненты по R/S-критерию с критическими уровнями 2,7 – 3,7;
4) для оценки точности модели используйте среднеквадратическое отклонение и среднюю по модулю относительную ошибку;
5) построить точечный и интервальный прогнозы на два шага вперед (для вероятности Р= 70% используйте коэффициент = 1,12);
5) отобразить на графике фактические данные, результаты расчетов и прогнозирования.
РЕШЕНИЕ
1.1.ОПРЕДЕЛЕНИЕ НАЛИЧИЯ ТРЕНДА Y(t)
Таблица 1.1
|
t |
Y(t) |
U(t) |
l(t) |
S(t) |
d(t) |
|
1 |
26 |
- |
- |
- |
- |
|
2 |
30 |
1 |
0 |
1 |
1 |
|
3 |
32 |
1 |
0 |
1 |
1 |
|
4 |
30 |
0 |
0 |
0 |
0 |
|
5 |
35 |
1 |
0 |
1 |
1 |
|
6 |
33 |
0 |
0 |
0 |
0 |
|
7 |
35 |
0 |
0 |
0 |
0 |
|
8 |
38 |
1 |
0 |
1 |
1 |
|
9 |
40 |
1 |
0 |
1 |
1 |
|
ИТОГО |
299 |
|
|
5 |
5 |
1) Сравним каждый уровень временного ряда со всеми предыдущими уму уровнями ряда
U(t) =![]()
l(t) = ![]()
2) Вычислим значения S и d и занесем значения в таблицу 1.1
S(t) = U(t) + l(t)
d(t) = U(t) – l(t)
3) Для величин S и d вычислим значения статистики t – критерия Стьюдента
Табличные значения:
1 = 1,288
2 = 1,964
3,858
![]()
![]()
<
tтабл (1,383) ⇒ тенденции
в дисперсии временного ряда не наблюдается.
> tтабл (1,383) ⇒ тренд есть.
1.2. оценка параметров модели.
Ввод исходных данных

рис 1.2.1 Таблица с исходными данными.
1.2.1. Оценка параметров модели с помощью надстройки EXCEL Анализ данных.
Построим линейную однопараметрическую модель регрессии Y от t. Для проведения регрессионного анализа выполните следующие действия:
· Выберите команду Сервис Þ Анализ данных.
· В диалоговом окне Анализ данных выберите инструмент Регрессия (рис. 1.2.2), а затем щелкните на кнопке ОК.
· В диалоговом окне Регрессия в поле Входной интервал Y введите адрес одного диапазона ячеек, который представляет зависимую переменную. В поле Входной интервал Х введите адрес диапазона, который содержат значения независимой переменной t (рис. 1.2.3).
· Если выделены и заголовки столбцов, то установить флажок Метки в первой строке.
· Выберите параметры вывода. В данном примере Новая рабочая книга.
· В поле График подбора поставьте флажок.
· В поле Остатки поставьте необходимые флажки и нажмите кнопку ОК.
![]() |
Рис. 1.2.2. Выбран инструмент анализа Регрессия

Рис. 1.2.3. Ввод исходных данных для Регрессии
Результат регрессионного анализа содержится в нижеприведенных таблицах.
|
Таблица 1.2.1 ВЫВОД ИТОГОВ |
|
|
|
|
|
|
|
||
|
Регрессионная статистика |
|
|
|
|
|
|
|
||
|
Множественный R |
0,94 |
|
|
|
|
|
|
|
|
|
R-квадрат |
0,88 |
|
|
|
|
|
|
|
|
|
Нормированный R-квадрат |
0,87 |
|
|
|
|
|
|
|
|
|
Стандартная ошибка |
1,58 |
|
|
|
|
|
|
|
|
|
Наблюдения |
9,00 |
|
|
|
|
|
|
|
|
|
|
|
|
|
|
|
|
|
|
|
|
Таблица 1.2.2 Дисперсионный анализ |
|
|
|
|
|
|
|
||
|
|
df |
SS |
MS |
F |
Значимость F |
|
|
|
|
|
Регрессия |
1,00 |
132,02 |
132,02 |
52,69 |
0,00 |
|
|
|
|
|
Остаток |
7,00 |
17,54 |
2,51 |
|
|
|
|
|
|
|
Итого |
8,00 |
149,56 |
|
|
|
|
|
|
|
|
Таблица 1.2.3 |
|
|
|
|
|
|
|
|
|
|
|
|
Коэффициенты |
Стандартная ошибка |
t-статистика |
P-Значение |
Нижние 95% |
Верхние 95% |
Нижние 95,0% |
Верхние 95,0% |
|
Y-пересечение |
а |
25,81 |
1,15 |
22,44 |
0,00 |
23,09 |
28,52 |
23,09 |
28,52 |
|
t |
b |
1,48 |
0,20 |
7,26 |
0,00 |
1,00 |
1,97 |
1,00 |
1,97 |
|
|
|
|
|
|
|
|
|
|
|
|
Таблица 1.2.4 ВЫВОД ОСТАТКА |
|
|
|
|
|
|
|
||
|
Наблюдение |
Предсказанное Y |
Остатки |
|
|
|
|
|
|
|
|
1 |
27,29 |
-1,29 |
|
|
|
|
|
|
|
|
2 |
28,77 |
1,23 |
|
|
|
|
|
|
|
|
3 |
30,26 |
1,74 |
|
|
|
|
|
|
|
|
4 |
31,74 |
-1,74 |
|
|
|
|
|
|
|
|
5 |
33,22 |
1,78 |
|
|
|
|
|
|
|
|
6 |
34,71 |
-1,71 |
|
|
|
|
|
|
|
|
7 |
36,19 |
-1,19 |
|
|
|
|
|
|
|
|
8 |
37,67 |
0,33 |
|
|
|
|
|
|
|
|
9 |
39,16 |
0,84 |
|
|
|
|
|
|
В третьем столбце табл. 1.2.3 содержатся коэффициенты уравнения регрессии a, b, в четвертом столбце – стандартные ошибки коэффициентов уравнения регрессии, а в пятом – t-статистика, используемая для проверки значимости коэффициентов уравнения регрессии.
Уравнение регрессии зависимости Yt, от tt (время) имеет вид:
Y(t) =25,81+1,48t
При вычислении «вручную» по методу наименьших квадратов получаем те же результаты:
Таблица 1.2.5
|
|
t |
Y |
|
|
|
|
1 |
26 |
26 |
1 |
|
|
2 |
30 |
60 |
4 |
|
|
3 |
32 |
96 |
9 |
|
|
4 |
30 |
120 |
16 |
|
|
5 |
35 |
175 |
25 |
|
|
6 |
33 |
198 |
36 |
|
|
7 |
35 |
245 |
49 |
|
|
8 |
38 |
304 |
64 |
|
|
9 |
40 |
360 |
81 |
|
Сумма |
45 |
299 |
1584 |
285 |
|
Среднее |
5 |
43 |
|
|
Подставляя полученные в таблице 1.2.5. результаты в форму получим:
![]()
a = 25,81 b = 1,48
1.3. оценка АДЕКВАТНОСТИ построенной модели.
Модель является адекватной, если математическое ожидание значений остаточного ряда близко или равно нулю, и если значения остаточного ряда случайны, независимы и подчинены нормальному закону распределения.
· Проверку случайности уровней ряда остатков проведем на основе критерия пиков:

Количество поворотных точек равно 4 (рис. 1.2.4). Неравенство выполняется (4>2,4). Следовательно, свойство случайности выполняется. Модель по этому критерию адекватна.

Рис. 1.3.1. График остатков
· При проверке случайности определяется отсутствием в ряду остатков систематической составляющей, например, с помощью d-критерия Дарбина–Уотсона:
Таблица1.3.1.
|
Наблюдение |
Предсказанное Y |
Остатки |
|
|
|
|
1 |
27,29 |
-1,29 |
|
|
1,66 |
|
2 |
28,77 |
1,23 |
2,52 |
6,33 |
1,51 |
|
3 |
30,26 |
1,74 |
0,52 |
0,27 |
3,04 |
|
4 |
31,74 |
-1,74 |
-3,48 |
12,13 |
3,02 |
|
5 |
33,22 |
1,78 |
3,52 |
12,37 |
3,16 |
|
6 |
34,71 |
-1,71 |
-3,48 |
12,13 |
2,91 |
|
7 |
36,19 |
-1,19 |
0,52 |
0,27 |
1,41 |
|
8 |
37,67 |
0,33 |
1,52 |
2,30 |
0,11 |
|
9 |
39,16 |
0,84 |
0,52 |
0,27 |
0,71 |
|
СУММА |
|
|
|
46,07 |
17,54 |

d'= 4 -2,63=1,37
Так как d' попало в интервал от d2 до 2 (рис. 1.3.2), значит модель отвечает критерию независимости. Модель по этому критерию адекватна.
Рис. 1.3.2.
· Соответствие ряда остатков нормальному закону распределения определим при помощи RS-критерия:
![]()
– максимальный уровень ряда остатков,
= 1,78;
– минимальный уровень ряда остатков,
= – 1,74;
– среднеквадратичное отклонение,

RS=[1,78–(-1,74)] / 1,48= 2,38.
Расчетное значение не попадает в интервал (2,7–3,7), следовательно, гипотеза о нормальном распределении остаточной компоненты не принимается. Модель по этому критерию не адекватна.
В табл. 1.3.2. собраны данные анализа ряда остатков.
Таблица 1.3.2. Анализ ряда остатков
|
Проверяемое свойство |
Используемые статистики |
Граница |
Вывод |
||
|
наименование |
значение |
нижняя |
верхняя |
||
|
Случайность |
Критерий пиков (поворотных точек) |
4 > 2,4 |
- |
адекватна |
|
|
Независимость |
d-критерий Дарбина–Уотсона |
d=1,37 |
1,36 |
2 |
адекватна |
|
Нормальность |
RS-критерий |
RS=2,38 |
2,6 |
3,7 |
не адекватна |
|
Вывод: Модель статистически не адекватна |
1.4. ОЦЕНКА ТОЧНОСТИ ПОСТРОЕННОЙ МОДЕЛИ (используя среднеквадратическое отклонение и среднюю по модулю относительную ошибку)

Таблица 1.4.1
|
t |
|
|
|
|
1 |
27,29 |
-1,29 |
-0,050 |
|
2 |
28,77 |
1,23 |
0,041 |
|
3 |
30,26 |
1,74 |
0,055 |
|
4 |
31,74 |
-1,74 |
-0,058 |
|
5 |
33,22 |
1,78 |
0,051 |
|
6 |
34,71 |
-1,71 |
-0,052 |
|
7 |
36,19 |
-1,19 |
-0,034 |
|
8 |
37,67 |
0,33 |
0,009 |
|
9 |
39,16 |
0,84 |
0,021 |
|
СУММА |
|
|
-0,017 |
Для расчета воспользуемся данными таблицы 1.4.1
![]()
Так как S < 5% модель считается точной.
1.5. Построить точечный и интервальный прогнозы на два шага вперед (для вероятности 70% использовать t = 1,12):
Y(t) =25,81+1,48t
Y10= a0 + a1t =25,81 + 1,48t = 25,81 + 1,48 x 10 = 40,61;
Y11= a0 + a1t =25,81 + 1,48t = 25,81 + 1,48 x 11 = 42,09;
Для построения интервального прогноза рассчитаем
доверительный интервал. Примем значение уровня значимости α = 0,3,
следовательно, доверительная вероятность равна 70%, а критерий Стьюдента при
= n –2 =7 равен
1,12. Ширину доверительного интервала вычислим по формуле (3.10):
; 
где
=
, m = 2,
= 1,12,
,
(находим из табл. 1.4.1),
Далее вычисляем верхнюю и нижнюю границы прогноза (табл. 1.5.1):
Таблица 1.5.1.
|
|
|
Прогноз |
Формула |
Верхняя граница |
Нижняя граница |
|
10 |
1,95 |
40,61 |
|
42,79 |
38,43 |
|
11 |
2,07 |
42,09 |
|
44,4 |
39,77 |
1.6. Отобразить на графике фактические данные, результаты расчетов и прогнозирования.

Рис 1.6.1. График подбора
II
1 – построить матрицу коэффициентов парной корреляции Y(t) с X1(t) и X2(t) и выбрать фактор, наиболее тесно связанный с зависимой переменной Y(t);
2 – построить линейную однопараметрическую модель регрессии Y(t) = ao + a1 X(t);
3 – оценить качество построенной модели, исследовав ее адекватность и точность;
4 – для модели регрессии рассчитать коэффициент эластичности и бета-коэффициент;
5 -
построить точечный и интервальный
прогнозы на два шага вперед по модели регрессии (для вероятности Р = 70%
используйте коэффициент
= 1,11) (прогнозные оценки фактора X(t) на два шага вперед получить на основе
среднего прироста от фактически достигнутого уровня).
Таблица 2 Исходные данные.
|
|
ФАКТОРЫ |
|
|
Y |
X1 |
X2 |
|
26 |
62 |
18 |
|
30 |
67 |
21 |
|
32 |
80 |
24 |
|
30 |
81 |
26 |
|
35 |
85 |
25 |
|
33 |
87 |
29 |
|
35 |
84 |
34 |
|
38 |
88 |
38 |
|
40 |
91 |
41 |
РЕШЕНИЕ
2.1. Ввод исходных данных. Результат показан на рис. 2.1.1.

Рис. 2.1.1. Исходные данные введены в Excel
2.2. ПОСТРОЕНИЕ СИСТЕМЫ ПОКАЗАТЕЛЕЙ (ФАКТОРОВ). АНАЛИЗ МАТРИЦЫ КОЭФФИЦИЕНТОВ ПАРНОЙ КОРРЕЛЯЦИИ. ВЫБОР НАИБОЛЕЕ СУЩЕСТВЕННОГО ФАКТОРА Х T..
Для того чтобы выбрать фактор наиболее тесно связанный с зависимой переменной, оценим величину влияния факторов при помощи коэффициента корреляции.
Для проведения корреляционного анализа с помощью EXCEL выполните следующие действия:
1) Данные для корреляционного анализа должны располагаться в смежных диапазонах ячеек.
2) Выберите команду СервисÞАнализ данных.
3) В диалоговом окне Анализ данных выберите инструмент Корреляция (рисунок 2.2.1.), а затем щелкните на кнопке ОК.
4) В диалоговом окне Корреляция в поле Входной интервал необходимо ввести диапазон ячеек, содержащих исходные данные. Если выделены и заголовки столбцов, то установить флажок Метки в первой строке (рисунок 2.2.2.).
5) Выберите параметры вывода.
6) ОК.

Рис 2.2.1.

Рис. 2.2.2.
Таблица 2.2.1.
|
Результат корреляционного анализа |
|
|
|
|
|
|
|
|
|
|
Y |
X1 |
X2 |
|
Y |
1 |
|
|
|
X1 |
0,874078 |
1 |
|
|
X2 |
0,920169 |
0,832068 |
1 |
Анализ матрицы коэффициентов парной корреляции показывает, что зависимая переменная Yt имеет более тесную связь с x2t.
вычисление коэффициентов корреляции без ПЭВМ.
Коэффициент корреляции определяется по формуле (используем данные таблицы 2.2.2):
= ![]()
= ![]()
= ![]()
Аналогично вычисляются остальные коэффициенты корреляции.
Таблица 2.2.2.
|
Y |
X1 |
|
|
|
|
|
|
26 |
62 |
-7,22 |
52,16 |
-18,56 |
344,31 |
134,01 |
|
30 |
67 |
-3,22 |
10,38 |
-13,56 |
183,75 |
43,68 |
|
32 |
80 |
-1,22 |
1,49 |
-0,56 |
0,31 |
0,68 |
|
30 |
81 |
-3,22 |
10,38 |
0,44 |
0,20 |
-1,43 |
|
35 |
85 |
1,78 |
3,16 |
4,44 |
19,75 |
7,90 |
|
33 |
87 |
-0,22 |
0,05 |
6,44 |
41,53 |
-1,43 |
|
35 |
84 |
1,78 |
3,16 |
3,44 |
11,86 |
6,12 |
|
38 |
88 |
4,78 |
22,83 |
7,44 |
55,42 |
35,57 |
|
40 |
91 |
6,78 |
45,94 |
10,44 |
109,09 |
70,79 |
|
|
|
0,00 |
149,56 |
0,00 |
766,22 |
295,89 |
Yср = 33,22 X1ср = 80,56
Таблица 2.2.3.
|
Y |
X2 |
|
|
|
|
|
|
26 |
18 |
-7,22 |
52,16 |
-10,44 |
109,09 |
75,43 |
|
30 |
21 |
-3,22 |
10,38 |
-7,44 |
55,42 |
23,99 |
|
32 |
24 |
-1,22 |
1,49 |
-4,44 |
19,75 |
5,43 |
|
30 |
26 |
-3,22 |
10,38 |
-2,44 |
5,98 |
7,88 |
|
35 |
25 |
1,78 |
3,16 |
-3,44 |
11,86 |
-6,12 |
|
33 |
29 |
-0,22 |
0,05 |
0,56 |
0,31 |
-0,12 |
|
35 |
34 |
1,78 |
3,16 |
5,56 |
30,86 |
9,88 |
|
38 |
38 |
4,78 |
22,83 |
9,56 |
91,31 |
45,65 |
|
40 |
41 |
6,78 |
45,94 |
12,56 |
157,64 |
85,10 |
|
|
|
0,00 |
149,56 |
0,00 |
482,22 |
247,11 |
Yср = 33,22 X2ср = 28,44
Таблица 2.2.4.
|
X1 |
X2 |
|
|
|
|
|
|
62 |
18 |
-18,56 |
344,31 |
-10,44 |
109,09 |
193,80 |
|
67 |
21 |
-13,56 |
183,75 |
-7,44 |
55,42 |
100,91 |
|
80 |
24 |
-0,56 |
0,31 |
-4,44 |
19,75 |
2,47 |
|
81 |
26 |
0,44 |
0,20 |
-2,44 |
5,98 |
-1,09 |
|
85 |
25 |
4,44 |
19,75 |
-3,44 |
11,86 |
-15,31 |
|
87 |
29 |
6,44 |
41,53 |
0,56 |
0,31 |
3,58 |
|
84 |
34 |
3,44 |
11,86 |
5,56 |
30,86 |
19,14 |
|
88 |
38 |
7,44 |
55,42 |
9,56 |
91,31 |
71,14 |
|
91 |
41 |
10,44 |
109,09 |
12,56 |
157,64 |
131,14 |
|
|
|
0,00 |
766,22 |
0,00 |
482,22 |
505,78 |
Выбираем фактор X2, так как у этого фактора значение парной корреляции по модулю больше.
2.3. оценка параметров модели.
Оценка параметров модели с помощью надстройки EXCEL Анализ данных.
Построим линейную однопараметрическую модель регрессии Y от X. Для проведения регрессионного анализа выполните следующие действия:
· Выберите команду Сервис Þ Анализ данных.
· В диалоговом окне Анализ данных выберите инструмент Регрессия (рис. 2.3.1.), а затем щелкните на кнопке ОК.
· В диалоговом окне Регрессия в поле Входной интервал Y введите адрес одного диапазона ячеек, который представляет зависимую переменную. В поле Входной интервал Х введите адрес диапазона, который содержат значения независимой переменной t (рис. 2.3.2.).
· Если выделены и заголовки столбцов, то установить флажок Метки в первой строке.
· Выберите параметры вывода. В данном примере Новая рабочая книга.
· В поле График подбора поставьте флажок.
· В поле Остатки поставьте необходимые флажки и нажмите кнопку ОК
![]() |

Рис. 2.3.2. Ввод исходных данных для Регрессии
Результат регрессионного анализа содержится в нижеприведенных таблицах.
|
ВЫВОД ИТОГОВ |
|
|
|
|
|
|
|
|
|||
|
Таблица 2.3.1 |
|
|
|
|
|
|
|
|
|||
|
Регрессионная статистика |
|
|
|
|
|
|
|
||||
|
Множественный R |
0,9202 |
|
|
|
|
|
|
|
|||
|
R-квадрат |
0,8467 |
|
|
|
|
|
|
|
|||
|
Нормированный R-квадрат |
0,8248 |
|
|
|
|
|
|
|
|||
|
Стандартная ошибка |
1,8097 |
|
|
|
|
|
|
|
|||
|
Наблюдения |
9,0000 |
|
|
|
|
|
|
|
|||
|
Таблица 2.3.2 Дисперсионный анализ |
|
|
|
|
|
|
|||||
|
|
df |
SS |
MS |
F |
Значимость F |
|
|
|
|||
|
Регрессия |
1,0000 |
126,6302 |
126,6302 |
38,6651 |
0,0004 |
|
|
|
|||
|
Остаток |
7,0000 |
22,9253 |
3,2750 |
|
|
|
|
|
|||
|
Итого |
8,0000 |
149,5556 |
|
|
|
|
|
|
|||
|
Таблица 2.3.3. |
|
|
|
|
|
|
|
||||
|
Переменная |
Коэффициенты |
Стандартная ошибка |
t-статистика |
P-Значение |
Нижние 95% |
Верхние 95% |
Нижние 95,0% |
Верхние 95,0% |
|||
|
Y-пересечение |
a0 |
18,6461 |
2,4205 |
7,7034 |
0,0001 |
12,9225 |
24,3697 |
12,9225 |
24,3697 |
||
|
X1 |
a1 |
0,5124 |
0,0824 |
6,2181 |
0,0004 |
0,3176 |
0,7073 |
0,3176 |
0,7073 |
||
|
Таблица 2.3.4. ВЫВОД ОСТАТКА |
|
|
|
|
|
|
|
||||
|
Наблюдение |
Предсказанное Y |
Остатки |
|
|
|
|
|
|
|||
|
1 |
27,87 |
-1,87 |
|
|
|
|
|
|
|||
|
2 |
29,41 |
0,59 |
|
|
|
|
|
|
|||
|
3 |
30,94 |
1,06 |
|
|
|
|
|
|
|||
|
4 |
31,97 |
-1,97 |
|
|
|
|
|
|
|||
|
5 |
31,46 |
3,54 |
|
|
|
|
|
|
|||
|
6 |
33,51 |
-0,51 |
|
|
|
|
|
|
|||
|
7 |
36,07 |
-1,07 |
|
|
|
|
|
|
|||
|
8 |
38,12 |
-0,12 |
|
|
|
|
|
|
|||
|
9 |
39,66 |
0,34 |
|
|
|
|
|
|
|||
Во втором столбце табл. 2.3.3. содержатся коэффициенты уравнения регрессии a0, a1, в третьем столбце – стандартные ошибки коэффициентов уравнения регрессии, а в четвертом – t-статистика, используемая для проверки значимости коэффициентов уравнения регрессии.
Уравнение регрессии зависимости Yt, (прибыль коммерческого банка) от tt (время) имеет вид:
Y(X) = 18,65 + 0,51X
При вычислении «вручную» по формуле (3.4) получаем те же результаты:
![]() |
|||
2.4.оценка качества построенной модели. Для этого исследуем адекватность модели. Модель является адекватной, если математическое ожидание значений остаточного ряда близко или равно нулю, и если значения остаточного ряда случайны, независимы и подчинены нормальному закону распределения.
· При проверке независимости (отсутствие автокорреляции) определяется отсутствие в ряду остатков систематической составляющей, например, с помощью d-критерия Дарбина–Уотсона:
Таблица 2.4.1.
|
Наблюдение |
Предсказанное Y |
|
|
|
|
|
|
1 |
27,87 |
-1,87 |
|
|
3,50 |
|
|
2 |
29,41 |
0,59 |
2,46 |
6,06 |
0,35 |
-1,11 |
|
3 |
30,94 |
1,06 |
0,46 |
0,21 |
1,11 |
0,63 |
|
4 |
31,97 |
-1,97 |
-3,02 |
9,15 |
3,88 |
-2,08 |
|
5 |
31,46 |
3,54 |
5,51 |
30,39 |
12,55 |
-6,98 |
|
6 |
33,51 |
-0,51 |
-4,05 |
16,40 |
0,26 |
-1,80 |
|
7 |
36,07 |
-1,07 |
-0,56 |
0,32 |
1,14 |
0,54 |
|
8 |
38,12 |
-0,12 |
0,95 |
0,90 |
0,01 |
0,13 |
|
9 |
39,66 |
0,34 |
0,46 |
0,21 |
0,12 |
-0,04 |
|
СУММА |
|
|
|
63,65 |
22,93 |
-10,71 |

d'= 4 -2,77=1,23
Так
как d' попало в интервал от d1 до d2, значит окончательного решения о том,
что модель уровня ряда остатков независима сделать нельзя. Требуется
привлечение других критериев. Используем распределение коэффициента автокорреляции
при

Так как
, сравнивая получим что
, следовательно модель по данному критерию не адекватна.
Рис. 2.4.1.
· Проверку случайности уровней ряда остатков проведем на основе критерия поворотных точек.
В случайном ряду чисел должно выполняться строгое неравенство:

Количество поворотных точек равно 4 (рис. 2.4.2). Неравенство выполняется (4>2,4). Следовательно, свойство случайности выполняется. Модель по этому критерию адекватна.

Рис. 2.4.2. График остатков
· Соответствие ряда остатков нормальному закону распределения определим при помощи RS-критерия:
![]()
– максимальный уровень ряда остатков,
= 3,54;
– минимальный уровень ряда остатков,
= – 1,97;
– среднеквадратичное отклонение,

RS=[3,54 – (-1,97)] / 1,69= 3,26.
Расчетное значение попадает в интервал (2,7–3,7), следовательно, гипотеза о нормальном распределении остаточной компоненты принимается. Модель по этому критерию адекватна.
Для расширенной характеристики модели регрессии вычислим несколько дополнительных показателей: коэффициент детерминации R2 и коэффициент множественной корреляции R. Эти характеристики приведены в таблице 2.3.1. протокола ЕХСЕL.
Таблица 2.4.2.
|
Регрессионная статистика |
|
Множественный R |
0,9202 |
|
R-квадрат |
0,8467 |
|
Нормированный R-квадрат |
0,8248 |
|
Стандартная ошибка |
1,8097 |
|
Наблюдения |
9,0000 |
Коэффициент детерминации:

R2 показывает долю вариации результативного признака под воздействием изучаемых факторов. Следовательно, более 84,7 % вариации зависимой переменной учтено в модели и обусловлено влиянием включенного фактора.
R - коэффициент множественной корреляции. R = 0.92 показывает тесноту связи зависимой Y c факторами Х, включенными в модель. в случае однофакторной модели R совпадает с ryx1.
В табл. 2.4.3. собраны данные анализа ряда остатков.
Таблица 2.4.3. Анализ ряда остатков
|
Проверяемое свойство |
Используемые статистики |
Граница |
Вывод |
|||
|
наименование |
значение |
нижняя |
верхняя |
|||
|
Независимость |
d-критерий Дарбина–Уотсона |
dn =4 -2,77=1,23
|
1,36 |
2 |
не адекватна |
|
|
Случайность |
Критерий пиков (поворотных точек) |
4 > 2,4 |
2 |
адекватна |
||
|
Нормальность |
RS-критерий |
3,26 |
2,6 |
3,7 |
адекватна |
|
|
Вывод: Модель статистически не адекватна |
||||||
2.5.ОПРЕДЕЛИМ КОЭФФИЦИЕНТ ЭЛАСТИЧНОСТИ И β-КОЭФФИЦИЕНТ
2.5.1. Коэффициент эластичности показывает, на сколько процентов изменится Y если X2 изменится на 1%.
%
Таким образом, при изменении X2 на 1% Y изменится на 0,44%
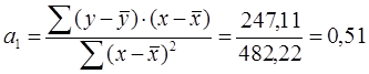
2.5.2. β-коэффициент показывает, на какую долю в среднем изменится среднеквадратическое отклонение зависимой переменной Y при изменении X2 на одно свое среднеквадратическое отклонение при фиксированных значениях остальных объясняющих переменных.
; 
β2= 0,92
2.6.ОПРЕДЕЛИМ ТОЧЕЧНЫЕ И ИНТЕРВАЛЬНЫЕ ПРОГНОЗНЫЕ ОЦЕНКИ ПРИБЫЛИ КОММЕРЧЕСКОГО БАНКА НА ДВА КВАРТАЛА ВПЕРЕД (T0,7 = 1,11 для n-2= 9-2 =7).
Для вычисления прогнозных оценок Y на основе построенной модели необходимо получить прогнозные оценки фактора Х.
Получим прогнозные оценки фактора на основе величины его среднего абсолютного прироста Ux
;
Ux = (41-18)/(9-1) =2.88
Xp(N+l) = X(N) + l ∙ Ux;
l=1
Xp(10) = Х(9) +2.88 ∙ 1 = 41 +2.88 ∙ 1 =43.88
l=2
Xp(11) = Х(9) +2.88 ∙ 2 =41+2.88 ∙ 2 =46.76;
Подставляя расчетное значение Х в уравнение Y(X) = 18,65 + 0,51X получим прогнозное значение Y:
18,65 + 0,51*43,88 = 41,03
18,65 + 0,51*46,76 = 42,50
Для получения прогнозных оценок зависимой переменной воспользуемся следующей формулой:
![]()
; 
- стандартная ошибка - эта
характеристика приведена в таблице
протокола ЕХСЕL и равна 1,8097;
![]()


ta -является табличным значением критерия Стьюдента для уровня значимости a и для числа степеней свободы, равного N-2. В нашем примере t0,7 = 1,11;
Таблица 2.6.1.
|
|
|
Прогноз |
Формула |
Верхняя граница |
Нижняя граница |
|
10 |
2,27 |
41,03 |
|
43,55 |
38,53 |
|
11 |
2,43 |
42,50 |
|
45,20 |
39,80 |
2.7.Отобразить на графике фактические данные, результаты расчетов и прогнозирования.
Рис. 2.7.1. Результаты моделирования и прогнозирования


