ВСЕРОССИЙСКИЙ ЗАОЧНЫЙ ФИНАНСОВО-ЭКОНОМИЧЕСКИЙ ИНСТИТУТ
КОНТРОЛЬНАЯ РАБОТА
по предмету "Эконометрика"
Выполнил:
специальность:
Бухгалтерский учет, анализ и аудит
группа №
№
МОСКВА
2004
ВАРИАНТ № 28
I
Таблица 1. Исходные данные.
|
t |
1 |
2 |
3 |
4 |
5 |
6 |
7 |
8 |
9 |
|
Y |
32 |
34 |
38 |
40 |
42 |
46 |
50 |
52 |
53 |
На основании данных, приведенных в табл. 1. Требуется:
1) построить линейную модель Y(t) = ao + a1t, параметры которой оценить МНК;
2) оценить адекватность построенной модели на основе исследования:
- случайности остаточной компоненты по критерию пиков;
- независимости уровней ряда остатков по d-критерию (в качестве критических значений следует использовать уровни d1 = 1,08 и d2 = 1,36) и по первому коэффициенту автокорреляции, критический уровень которого r(1) = 0,36;
- нормальности распределения остаточной компоненты по R/S-критерию с критическими уровнями 2,7 – 3,7;
3) для оценки точности модели используйте среднеквадратическое отклонение и среднюю по модулю относительную ошибку;
4) построить точечный и интервальный прогнозы на два шага вперед (для вероятности Р= 70% используйте коэффициент = 1,12);
5) отобразить на графике фактические данные, результаты расчетов и прогнозирования.
РЕШЕНИЕ
Ввод исходных данных

1. оценка параметров модели.
1.1. Оценка параметров модели с помощью надстройки EXCEL Анализ данных.
Построим линейную однопараметрическую модель регрессии Y от t. Для проведения регрессионного анализа выполните следующие действия:
· Выберите команду Сервис Þ Анализ данных.
· В диалоговом окне Анализ данных выберите инструмент Регрессия (рис. 2.8), а затем щелкните на кнопке ОК.
· В диалоговом окне Регрессия в поле Входной интервал Y введите адрес одного диапазона ячеек, который представляет зависимую переменную. В поле Входной интервал Х введите адрес диапазона, который содержат значения независимой переменной t (рис. 2.9).
· Если выделены и заголовки столбцов, то установить флажок Метки в первой строке.
· Выберите параметры вывода. В данном примере Новая рабочая книга.
· В поле График подбора поставьте флажок.
· В поле Остатки поставьте необходимые флажки и нажмите кнопку ОК.
![]() |
Рис. 2.8. Выбран инструмент анализа Регрессия

Рис. 2.9. Ввод исходных данных для Регрессии
Результат регрессионного анализа содержится в нижеприведенных таблицах.
|
ВЫВОД ИТОГОВ |
||||||||
|
Регрессионная статистика |
||||||||
|
Множественный R |
0,9941 |
|||||||
|
R-квадрат |
0,988235 |
|||||||
|
Нормированный R-квадрат |
0,986555 |
|||||||
|
Стандартная ошибка |
0,894427 |
|||||||
|
Наблюдения |
9 |
|||||||
|
Дисперсионный анализ |
||||||||
|
|
df |
SS |
MS |
F |
Значимость F |
|||
|
Регрессия |
1 |
470,4 |
470,4 |
588 |
5,16E-08 |
|||
|
Остаток |
7 |
5,6 |
0,8 |
|||||
|
Итого |
8 |
476 |
|
|
|
|||
|
Таблица 2.5 |
||||||||
|
|
Коэффициенты |
Стандартная ошибка |
t-статистика |
P-Значение |
Нижние 95% |
Верхние 95% |
||
|
Y-пересечение |
a0 |
29 |
0,649786 |
44,63006 |
7,41E-10 |
27,4635 |
30,5365 |
|
|
t |
a1 |
2,8 |
0,11547 |
24,24871 |
5,16E-08 |
2,526957 |
3,073043 |
|
|
ВЫВОД ОСТАТКА |
||||||||
|
Наблюдение |
Предсказанное Y |
Остатки |
||||||
|
1 |
31,8 |
0,2 |
||||||
|
2 |
34,6 |
-0,6 |
||||||
|
3 |
37,4 |
0,6 |
||||||
|
4 |
40,2 |
-0,2 |
||||||
|
5 |
43 |
-1 |
||||||
|
6 |
45,8 |
0,2 |
||||||
|
7 |
48,6 |
1,4 |
||||||
|
8 |
51,4 |
0,6 |
||||||
|
9 |
54,2 |
-1,2 |
||||||
Во втором столбце табл. 2.5 содержатся коэффициенты уравнения регрессии a0, a1, в третьем столбце – стандартные ошибки коэффициентов уравнения регрессии, а в четвертом – t-статистика, используемая для проверки значимости коэффициентов уравнения регрессии.
Уравнение регрессии зависимости Yt, от tt (время) имеет вид:
Y(t) =29+2,8t
При вычислении «вручную» по формуле получаем те же результаты:

![]()
Таблица 2.7
|
|
t |
Y |
t-tcp |
(t-tcp)2 |
y-ycp |
(t-tcp)( y-ycp) |
|
|
1 |
32 |
-4 |
16 |
-11,00 |
44,00 |
|
|
2 |
34 |
-3 |
9 |
-9,00 |
27,00 |
|
|
3 |
38 |
-2 |
4 |
-5,00 |
10,00 |
|
|
4 |
40 |
-1 |
1 |
-3,00 |
3,00 |
|
|
5 |
42 |
0 |
0 |
-1,00 |
0,00 |
|
|
6 |
46 |
1 |
1 |
3,00 |
3,00 |
|
|
7 |
50 |
2 |
4 |
7,00 |
14,00 |
|
|
8 |
52 |
3 |
9 |
9,00 |
27,00 |
|
|
9 |
53 |
4 |
16 |
10,00 |
40,00 |
|
Сумма |
45 |
387 |
0,00 |
60,00 |
344,00 |
168,00 |
|
Среднее |
5 |
43 |
|
|
|
|
2. оценка качества построенной модели. Для этого исследуем адекватность модели. Модель является адекватной, если математическое ожидание значений остаточного ряда близко или равно нулю, и если значения остаточного ряда случайны, независимы и подчинены нормальному закону распределения.
· При проверке независимости (отсутствие автокорреляции) определяется отсутствие в ряду остатков систематической составляющей, например, с помощью d-критерия Дарбина–Уотсона по формуле):

Так как попало в интервал от d2 до 2 (рис. 2.10), значит модель уровня ряда остатков независима, автокорреляции нет, свойство независимости выполняется. Модель по этому критерию адекватна.
Рис. 2.10.
· Проверку случайности уровней ряда остатков проведем на основе критерия поворотных точек (формула (2.6)).

Формула 2.6
· Количество поворотных точек равно 4 (рис. 2.11). Неравенство выполняется (4>2). Следовательно, свойство случайности выполняется. Модель по этому критерию адекватна.

Рис. 2.11. График остатков
· Соответствие ряда остатков нормальному закону распределения определим при помощи RS-критерия:
|
Наблюдение |
Предсказанное Y |
Остатки E(t) |
E(t)-E(t-1) |
(E(t)-(E(t-1))^2 |
E(t)^2 |
|
1 |
31,8 |
0,2 |
|
|
0,04 |
|
2 |
34,6 |
-0,6 |
-0,8 |
0,64 |
0,36 |
|
3 |
37,4 |
0,6 |
1,2 |
1,44 |
0,36 |
|
4 |
40,2 |
-0,2 |
-0,8 |
0,64 |
0,04 |
|
5 |
43 |
-1 |
-0,8 |
0,64 |
1 |
|
6 |
45,8 |
0,2 |
1,2 |
1,44 |
0,04 |
|
7 |
48,6 |
1,4 |
1,2 |
1,44 |
1,96 |
|
8 |
51,4 |
0,6 |
-0,8 |
0,64 |
0,36 |
|
9 |
54,2 |
-1,2 |
-1,8 |
3,24 |
1,44 |
|
СУММА |
|
|
|
10,12 |
5,56 |
![]()
– максимальный уровень ряда остатков,
= 1,4;
– минимальный уровень ряда остатков,
= – 1,2;
– среднеквадратичное отклонение,

RS=[1,4–(-1,2)] / 0,83= 3,11.
Расчетное значение попадает в интервал (2,7–3,7), следовательно, выполняется свойство нормальности распределения. Модель по этому критерию адекватна.
· Проверка равенства нулю математического ожидания уровней ряда остатков.
В нашем случае
= 0, поэтому гипотеза о равенстве математического ожидания
значений остаточного ряда нулю выполняется.
В табл. 2.8 собраны данные анализа ряда остатков.
Таблица 2.8. Анализ ряда остатков
|
Проверяемое свойство |
Используемые статистики |
Граница |
Вывод |
|||
|
наименование |
значение |
нижняя |
верхняя |
|||
|
Независимость |
d-критерий Дарбина–Уотсона |
d=1,82 |
1,36 |
2 |
адекватна |
|
|
Случайность |
Критерий пиков (поворотных точек) |
4 > 2 |
2 |
адекватна |
||
|
Нормальность |
RS-критерий |
3,11 |
2,6 |
3,7 |
адекватна |
|
|
Среднее = 0 |
t-статистика Стьюдента |
0,000 |
-2,179 |
2,179 |
адекватна |
|
|
Вывод: Модель статистически адекватна |
||||||
3. Построить точечный и интервальный прогнозы на два шага вперед (для вероятности 70% использовать t = 1,12):
Y10= a0 + a1t =29 + 2,8t = 29 + 2,8 x 10 = 57;
Y11= a0 + a1t =29 + 2,8t = 29 + 2,8 x 11 = 59.8;
Для построения интервального прогноза рассчитаем
доверительный интервал. Примем значение уровня значимости α = 0,3, следовательно,
доверительная вероятность равна 70%, а критерий Стьюдента при
= n –2 =7 равен
1,12. Ширину доверительного интервала вычислим по формуле (3.10):
,
где
=0,8944,
= 1,12,
,
(находим из табл. 2.7),
![]()
![]()
Далее вычисляем верхнюю и нижнюю границы прогноза (табл. 2.9):
Таблица 2.9.
|
|
|
Прогноз |
Формула |
Верхняя граница |
Нижняя граница |
|
10 |
U(1)=1,237 |
57 |
Прогноз + U1 |
58,237 |
55,763 |
|
11 |
U(2)=1,309 |
59,8 |
Прогноз – U1 |
61,109 |
58,491 |
4. Отобразить на графике фактические данные, результаты расчетов и прогнозирования.

II
1 – построить матрицу коэффициентов парной корреляции Y(t) с X1(t) и X2(t) и выбрать фактор, наиболее тесно связанный с зависимой переменной Y(t);
2 – построить линейную однопараметрическую модель регрессии Y(t) = ao + a1 X(t);
3 – оценить качество построенной модели, исследовав ее адекватность и точность;
4 – для модели регрессии рассчитать коэффициент эластичности и бета-коэффициент;
5 -
построить точечный и интервальный
прогнозы на два шага вперед по модели регрессии (для вероятности Р = 70%
используйте коэффициент
= 1,12) (прогнозные оценки фактора X(t) на два шага вперед получить на основе
среднего прироста от фактически достигнутого уровня).
Таблица 2. Исходные данные.
|
ФАКТОРЫ |
||
|
Y |
X1 |
X2 |
|
32 |
90 |
55 |
|
34 |
87 |
57 |
|
38 |
85 |
54 |
|
40 |
86 |
59 |
|
42 |
82 |
57 |
|
46 |
80 |
60 |
|
50 |
81 |
63 |
|
52 |
78 |
66 |
|
53 |
76 |
64 |
РЕШЕНИЕ
5. Ввод исходных данных. Результат показан на рис. 3.7.

Рис. 3.7. Исходные данные введены в Excel
1. ПОСТРОЕНИЕ СИСТЕМЫ ПОКАЗАТЕЛЕЙ (ФАКТОРОВ). АНАЛИЗ МАТРИЦЫ КОЭФФИЦИЕНТОВ ПАРНОЙ КОРРЕЛЯЦИИ. ВЫБОР НАИБОЛЕЕ СУЩЕСТВЕННОГО ФАКТОРА Х T..
Для того чтобы выбрать фактор наиболее тесно связанный с зависимой переменной, оценим величину влияния факторов при помощи коэффициента корреляции.
Для проведения корреляционного анализа с помощью EXCEL выполните следующие действия:
1) Данные для корреляционного анализа должны располагаться в смежных диапазонах ячеек.
2) Выберите команду СервисÞАнализ данных.
3) В диалоговом окне Анализ данных выберите инструмент Корреляция (рисунок 2.), а затем щелкните на кнопке ОК.
4) В диалоговом окне Корреляция в поле Входной интервал необходимо ввести диапазон ячеек, содержащих исходные данные. Если выделены и заголовки столбцов, то установить флажок Метки в первой строке (рисунок 3.).
5) Выберите параметры вывода.
6) ОК.


|
Результат корреляционного анализа |
|||
|
|
Y |
X1 |
X2 |
|
Y |
1 |
||
|
X1 |
-0,958245799 |
1 |
|
|
X2 |
0,90837152 |
-0,82044571 |
1 |
Анализ матрицы коэффициентов парной корреляции показывает, что зависимая переменная Yt имеет более тесную связь с x1t.
вычисление коэффициентов корреляции без ПЭВМ.
Коэффициент корреляции определяется по формуле (используем данные таблицы 5.2):
=ryx1 = -269/
= -269/280.725=-0,958245799
Аналогично вычисляются остальные коэффициенты корреляции.
Таблица 5.2
|
Y |
X1 |
|
|
|
|
|
|
32 |
90 |
-11 |
121 |
7,22 |
52,16 |
-79,44 |
|
34 |
87 |
-9 |
81 |
4,22 |
17,83 |
-38,00 |
|
38 |
85 |
-5 |
25 |
2,22 |
4,94 |
-11,11 |
|
40 |
86 |
-3 |
9 |
3,22 |
10,38 |
-9,67 |
|
42 |
82 |
-1 |
1 |
-0,78 |
0,60 |
0,78 |
|
46 |
80 |
3 |
9 |
-2,78 |
7,72 |
-8,33 |
|
50 |
81 |
7 |
49 |
-1,78 |
3,16 |
-12,44 |
|
52 |
78 |
9 |
81 |
-4,78 |
22,83 |
-43,00 |
|
53 |
76 |
10 |
100 |
-6,78 |
45,94 |
-67,78 |
|
|
|
0,00 |
476,00 |
0,00 |
165,56 |
-269,00 |
Yср = 43
X1ср= 82,78
6. оценка параметров модели.
6.1. Оценка параметров модели с помощью надстройки EXCEL Анализ данных.
Построим линейную однопараметрическую модель регрессии Y от X. Для проведения регрессионного анализа выполните следующие действия:
· Выберите команду Сервис Þ Анализ данных.
· В диалоговом окне Анализ данных выберите инструмент Регрессия (рис. 3.8), а затем щелкните на кнопке ОК.
· В диалоговом окне Регрессия в поле Входной интервал Y введите адрес одного диапазона ячеек, который представляет зависимую переменную. В поле Входной интервал Х введите адрес диапазона, который содержат значения независимой переменной t (рис. 3.9).
· Если выделены и заголовки столбцов, то установить флажок Метки в первой строке.
· Выберите параметры вывода. В данном примере Новая рабочая книга.
· В поле График подбора поставьте флажок.
· В поле Остатки поставьте необходимые флажки и нажмите кнопку ОК.
![]() |
Рис. 3.8. Выбран инструмент анализа Регрессия

Рис. 3.9. Ввод исходных данных для Регрессии
Результат регрессионного анализа содержится в нижеприведенных таблицах.
|
ВЫВОД ИТОГОВ |
|||||||||||
|
Регрессионная статистика |
|||||||||||
|
Множественный R |
0,958245799 |
||||||||||
|
R-квадрат |
0,918235012 |
||||||||||
|
Нормированный R-квадрат |
0,9065543 |
||||||||||
|
Стандартная ошибка |
2,357969291 |
||||||||||
|
Наблюдения |
9 |
||||||||||
|
Дисперсионный анализ |
|||||||||||
|
|
df |
SS |
MS |
F |
Значимость F |
||||||
|
Регрессия |
1 |
437,0798658 |
437,0799 |
78,61122 |
4,7E-05 |
||||||
|
Остаток |
7 |
38,92013423 |
5,560019 |
||||||||
|
Итого |
8 |
476 |
|
|
|
||||||
|
Таблица 3.5. |
|||||||||||
|
Переменная |
Коэффициенты |
Стандартная ошибка |
t-статистика |
P-Значение |
Нижние 95% |
Верхние 95% |
Нижние 95,0% |
Верхние 95,0% |
|||
|
Y-пересечение |
a0 |
177,5 |
15,19015457 |
11,6852 |
7,6E-06 |
141,581 |
213,419 |
141,581 |
213,419 |
||
|
X1 |
a1 |
-1,624832215 |
0,183259402 |
-8,8663 |
4,7E-05 |
-2,05817 |
-1,19149 |
-2,05817 |
-1,19149 |
||
|
Таблица 3.6. ВЫВОД ОСТАТКА |
|||||||||||
|
Наблюдение |
Предсказанное Y |
Остатки |
|||||||||
|
1 |
31,26510067 |
0,734899329 |
|||||||||
|
2 |
36,13959732 |
-2,139597315 |
|||||||||
|
3 |
39,38926174 |
-1,389261745 |
|||||||||
|
4 |
37,76442953 |
2,23557047 |
|||||||||
|
5 |
44,26375839 |
-2,263758389 |
|||||||||
|
6 |
47,51342282 |
-1,513422819 |
|||||||||
|
7 |
45,8885906 |
4,111409396 |
|||||||||
|
8 |
50,76308725 |
1,236912752 |
|||||||||
|
9 |
54,01275168 |
-1,012751678 |
|||||||||
Во втором столбце табл. 3.5 содержатся коэффициенты уравнения регрессии a0, a1, в третьем столбце – стандартные ошибки коэффициентов уравнения регрессии, а в четвертом – t-статистика, используемая для проверки значимости коэффициентов уравнения регрессии.
Уравнение регрессии зависимости Yt, (прибыль коммерческого банка) от tt (время) имеет вид:
Y(X) = 177,5 -1,62X
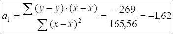
При вычислении «вручную» по формуле (3.4) получаем те же результаты:
![]() |
|||
7. оценка качества построенной модели. Для этого исследуем адекватность модели. Модель является адекватной, если математическое ожидание значений остаточного ряда близко или равно нулю, и если значения остаточного ряда случайны, независимы и подчинены нормальному закону распределения.
8.
· При проверке независимости (отсутствие автокорреляции) определяется отсутствие в ряду остатков систематической составляющей, например, с помощью d-критерия Дарбина–Уотсона по формуле (3.7):
|
Наблюдение |
Предсказанное Y |
Остатки E(t) |
E(t)-E(t-1) |
(E(t)-(E(t-1))^2 |
E(t)^2 |
|
1 |
31,265 |
0,735 |
0,540 |
||
|
2 |
36,140 |
-2,140 |
-2,874 |
8,263 |
4,578 |
|
3 |
39,389 |
-1,389 |
0,750 |
0,563 |
1,930 |
|
4 |
37,764 |
2,236 |
3,625 |
13,139 |
4,998 |
|
5 |
44,264 |
-2,264 |
-4,499 |
20,244 |
5,125 |
|
6 |
47,513 |
-1,513 |
0,750 |
0,563 |
2,290 |
|
7 |
45,889 |
4,111 |
5,625 |
31,639 |
16,904 |
|
8 |
50,763 |
1,237 |
-2,874 |
8,263 |
1,530 |
|
9 |
54,013 |
-1,013 |
-2,250 |
5,061 |
1,026 |
|
СУММА |
87,735 |
38,380 |
d'= 4 -2,2859=1,714
Так как d' попало в интервал от d2 до 2 (рис. 3.10), значит модель уровня ряда остатков независима, автокорреляции нет, свойство независимости выполняется. Модель по этому критерию адекватна.
Рис. 3.10.
· Проверку случайности уровней ряда остатков проведем на основе критерия поворотных точек.
В случайном ряду чисел должно выполняться строгое неравенство: р > [2(N-2)/3-2Ö(16N-29)/90]. Количество поворотных точек равно 4 (рис. 3.11). Неравенство выполняется (4>2). Следовательно, свойство случайности выполняется. Модель по этому критерию адекватна.

Рис. 3.11. График остатков
· Соответствие ряда остатков нормальному закону распределения определим при помощи RS-критерия:
![]()
– максимальный уровень ряда остатков,
= 4,1114;
– минимальный уровень ряда остатков,
= – 2,2637;
– среднеквадратичное отклонение,
![]()
=
= =2,19;
RS=[4,1114–(-2,2637)] / 2,19= 2,91.
Расчетное значение попадает в интервал (2,7–3,7), следовательно, выполняется свойство нормальности распределения. Модель по этому критерию адекватна.
· Проверка равенства нулю математического ожидания уровней ряда остатков осуществляется с использованием t-критерия Стьюдента
,
где
– среднее значение
уровней остаточного ряда , Sе -
среднее квадратичное отклонение уровней остаточного ряда
В нашем случае
= 0, поэтому гипотеза о равенстве математического ожидания
значений остаточного ряда нулю выполняется.
Для расширенной характеристики модели регрессии вычислим несколько дополнительных показателей: коэффициент детерминации R2 и коэффициент множественной корреляции R. Эти характеристики приведены в таблице 3.7 протокола ЕХСЕL.
Таблица 3.7
|
Регрессионная статистика |
|
Множественный R |
0,958245799 |
|
R-квадрат |
0,918235012 |
|
Нормированный R-квадрат |
0,9065543 |
|
Стандартная ошибка |
2,357969291 |
|
Наблюдения |
9 |
Коэффициент детерминации:

R2 показывает долю вариации результативного признака под воздействием изучаемых факторов. Следовательно, более 91.8 % вариации зависимой переменной учтено в модели и обусловлено влиянием включенного фактора.
R - коэффициент множественной корреляции. R = 0.9582 показывает тесноту связи зависимой Y c факторами Х, включенными в модель. в случае однофакторной модели R совпадает с ryx1.
В табл. 3.8 собраны данные анализа ряда остатков.
Таблица 3.8. Анализ ряда остатков
|
Проверяемое свойство |
Используемые статистики |
Граница |
Вывод |
|||
|
наименование |
значение |
нижняя |
верхняя |
|||
|
Независимость |
d-критерий Дарбина–Уотсона |
d=2,2859 dn =4 -2,285=1,714 |
1,36 |
2 |
адекватна |
|
|
Случайность |
Критерий пиков (поворотных точек) |
4 > 2 |
2 |
адекватна |
||
|
Нормальность |
RS-критерий |
2,91 |
2,6 |
3,7 |
адекватна |
|
|
|
t-статистика Стьюдента |
0,000 |
-2,179 |
2,179 |
адекватна |
|
|
Вывод: Модель статистически адекватна |
||||||
9. ОПРЕДЕЛИМ КОЭФФИЦИЕНТ ЭЛАСТИЧНОСТИ И β-КОЭФФИЦИЕНТ
8.1 Коэффициент эластичности показывает, на сколько процентов изменится Y если X1 изменится на 1%.
%
Таким образом, при изменении X1 на 1% Y изменится на -3.127%
8.2 β-коэффициент показывает, на какую долю в среднем изменится среднеквадратическое отклонение зависимой переменной Y при изменении X1 на одно свое среднеквадратическое отклонение при фиксированных значениях остальных объясняющих переменных.
![]()

β1= - 0.958
10. ОПРЕДЕЛИМ ТОЧЕЧНЫЕ И ИНТЕРВАЛЬНЫЕ ПРОГНОЗНЫЕ ОЦЕНКИ ПРИБЫЛИ КОММЕРЧЕСКОГО БАНКА НА ДВА КВАРТАЛА ВПЕРЕД (T0,7 = 1,12 для n-2= 9-2 =7).
Для вычисления прогнозных оценок Y на основе построенной модели необходимо получить прогнозные оценки фактора Х.
Получим прогнозные оценки фактора на основе величины его среднего абсолютного прироста САП.
;
CАП = (76-90)/(9-1) = -1.75
Xp(N+l) = X(N) + l ∙ САП;
l=1
Xp(10) = Х(9) -1.75 ∙ 1 = 76 -1,75 ∙ 1 =74.25
l=2
Xp(11) = Х(9) -1,75 ∙ 2 = 76 -1,75 ∙ 2 =72.5;
Для получения прогнозных оценок зависимой переменной подставим в модель
Yt = 177,5-1,62*X1 найденные прогнозные значения фактора Х:
Y10 = =177,5-1,62* X10=177,5-1,62*74.25=57.215
Y11 = =177,5-1,62* X11=177,5-1,62*72.5=60.05
Определим доверительный интервал прогноза, который будет иметь следующие границы:
- Верхняя граница прогноза: Yp(N+l) + U(l);
- Нижняя граница прогноза: Yp(N+l) - U(l).
Величина U(l) имеет вид:
и(l) = S
ta
, где
- стандартная ошибка - эта
характеристика приведена в таблице
протокола ЕХСЕL и равна 2,357969291;
ta -является табличным значением критерия Стьюдента для уровня значимости a и для числа степеней свободы, равного N-2. В нашем примере t0,7 = 1,12;
![]()
|
Y |
X1 |
|
|
|
|
|
|
32 |
90 |
-11 |
121 |
7,22 |
52,16 |
-79,44 |
|
34 |
87 |
-9 |
81 |
4,22 |
17,83 |
-38,00 |
|
38 |
85 |
-5 |
25 |
2,22 |
4,94 |
-11,11 |
|
40 |
86 |
-3 |
9 |
3,22 |
10,38 |
-9,67 |
|
42 |
82 |
-1 |
1 |
-0,78 |
0,60 |
0,78 |
|
46 |
80 |
3 |
9 |
-2,78 |
7,72 |
-8,33 |
|
50 |
81 |
7 |
49 |
-1,78 |
3,16 |
-12,44 |
|
52 |
78 |
9 |
81 |
-4,78 |
22,83 |
-43,00 |
|
53 |
76 |
10 |
100 |
-6,78 |
45,94 |
-67,78 |
|
|
745 |
0,00 |
476,00 |
0,00 |
165,56 |
-269,00 |
Хср=745/9=82.78
Для прогноза на два шага имеем:
U(1) = 2,357969291∙ 1,12
= 3.2589
U(2) = 2,357969291∙ 1,12
= 3.4615
Результаты прогнозных оценок по модели регрессии представим в таблице:
|
Время t |
Шаг k |
Прогноз Yp(t) |
Нижняя граница |
Верхняя граница |
|
10 |
1 |
57,215 |
53,929 |
60,501 |
|
11 |
2 |
60,05 |
56,56 |
63,540 |
11. Отобразить на графике фактические данные, результаты расчетов и прогнозирования.

Рис. 3.16. Результаты моделирования и прогнозирования

