ВСЕРОССИЙСКИЙ ЗАОЧНЫЙ ФИНАНСОВО-ЭКОНОМИЧЕСКИЙ ИНСТИТУТ
Контрольная работа
По дисциплине «Финансовая Математика»
|
Исполнитель: |
|
|
Специальность |
|
|
Группа |
|
|
№ зачетной книжки |
|
|
Вариант |
|
|
Руководитель: |
|
Уфа
2006г.
ЗАДАЧА 1 ЗАДАЧА 1 (ИЗ КОНТГОЛЬНОЙ РАБОТЫ)
Приведены поквартальные данные о кредитах коммерческого банка, выданных на жилищное строительство (в у. е.) за 4 года (всего 16 кварталов, первый столбец соответствует первому кварталу первого года).
|
квартал t |
1 |
2 |
3 |
4 |
5 |
6 |
7 |
8 |
9 |
10 |
11 |
12 |
13 |
14 |
15 |
16 |
|
Y(t) |
33 |
42 |
50 |
33 |
36 |
46 |
56 |
34 |
39 |
50 |
59 |
37 |
44 |
54 |
65 |
40 |
Требуется
1) Построить адаптивную мультипликативную модель Хольта-Уинтерса с учетом сезонного фактора, приняв параметры сглаживания a1=0.3, a2=0.6, a3=0.3.
2) Оценить точность построенной модели, вычислив среднюю относительную ошибку аппроксимации.
3) Проверить адекватность построенной модели на основе исследования:
- случайности остаточной компоненты по критерию числа точек поворота;
- независимости уровней ряда остатков по d-критерию (критические значения d1=1,10, d2=1,37) и по первому коэффициенту автокорреляции при критическом значении r1=0,32;
- нормальности распределения остаточной компоненты по R/S-критерию с критическими значениями 3 и 4,21.
4) Отразить на графике фактические, расчетные и прогнозные данные.
РЕШЕНИЕ:
Для построения модели Хольта-Уинтерса проведем основные вычисления в таблице 1, а вспомогательные вычисления в таблице 2.
Сначала заполним вспомогательную таблицу.
В графу Y(t) вспомогательной таблицы внесем первые 8 значений исходных данных
Во вспомогательной таблице 2 для t и Y(t) вычислим средние значения.
Проведем вычисления t-tср, Y-Yср, (t-tср)*(Y(t)-Yср), (t-tср)2 и внесем в соответствующие графы таблицы 2
Затем, для вычисленных значений сосчитаем их суммы и перейдем к вычислениям в основной таблице 1.
Таблица 2 (вспомогательная)
|
t |
Y(t) |
Yr1(t) |
t-tsr |
Y-Ysr |
(t-tsr)(Y(t)-Ysr) |
(t-tsr)*(t-tsr) |
|
|
1 |
33 |
38,4167 |
-3,5 |
-8,25 |
28,875 |
12,25 |
|
|
2 |
42 |
39,2262 |
-2,5 |
0,75 |
-1,875 |
6,25 |
|
|
3 |
50 |
40,0357 |
-1,5 |
8,75 |
-13,125 |
2,25 |
|
|
4 |
33 |
40,8452 |
-0,5 |
-8,25 |
4,125 |
0,25 |
|
|
5 |
36 |
41,6548 |
0,5 |
-5,25 |
-2,625 |
0,25 |
|
|
6 |
46 |
42,4643 |
1,5 |
4,75 |
7,125 |
2,25 |
|
|
7 |
56 |
43,2738 |
2,5 |
14,75 |
36,875 |
6,25 |
|
|
8 |
34 |
44,0833 |
3,5 |
-7,25 |
-25,375 |
12,25 |
|
|
СУММА |
|
|
|
0 |
0 |
34 |
42 |
|
СР.ЗНАЧ |
4,5 |
41,25 |
В столбец Y(t), строки 1-16 основной таблицы внесем исходные данные.
Значения а(0) и b(0) основной таблицы рассчитаем по формулам:
.
Таблица 1(основная)
|
t |
Y(t) |
Yr(t) |
a(t) |
b(t) |
F(t) |
|
-3 |
|
|
|
|
0,8616 |
|
-2 |
|
|
|
|
1,0770 |
|
-1 |
|
|
|
|
1,2715 |
|
0 |
|
|
37,60714 |
0,8095 |
0,7896 |
|
1 |
33 |
33,1007 |
38,3816 |
0,7990 |
0,8605 |
|
2 |
42 |
42,1970 |
39,1257 |
0,7825 |
1,0749 |
|
3 |
50 |
50,7427 |
39,733 |
0,7300 |
1,2636 |
|
4 |
33 |
31,9494 |
40,8621 |
0,8497 |
0,8004 |
|
5 |
36 |
35,8939 |
41,7488 |
0,8608 |
0,8616 |
|
6 |
46 |
45,7999 |
42,6654 |
0,8776 |
1,0768 |
|
7 |
56 |
55,0224 |
43,7751 |
0,9472 |
1,2730 |
|
8 |
34 |
35,7955 |
44,0493 |
0,7453 |
0,7833 |
|
9 |
39 |
38,5945 |
44,9358 |
0,7876 |
0,8654 |
|
10 |
50 |
49,2369 |
45,936 |
0,8514 |
1,0838 |
|
11 |
59 |
59,5610 |
46,6552 |
0,8118 |
1,2680 |
|
12 |
37 |
37,1797 |
47,3981 |
0,7911 |
0,7817 |
|
13 |
44 |
41,7020 |
48,9859 |
1,0301 |
0,8851 |
|
14 |
54 |
54,2083 |
49,9583 |
1,0128 |
1,0821 |
|
15 |
65 |
64,6295 |
51,0588 |
1,0391 |
1,2710 |
|
16 |
40 |
40,7241 |
51,82 |
0,9557 |
0,7758 |
Во вспомогательной таблице вычислим значения Yr1(t). Для этого воспользуемся формулой Yr1(t) =a(0)+t*b(0)
Получаем линейную модель Yr1(t) = 37,607 + 0,809t
Для визуальной проверки полученных значений построим графики Y(t), Yr1(t).
Получим:

Для исчисления F(-3) воспользуемся формулой
,
F(-2), F(-1), F(0) рассчитаем по аналогии.
В основной таблице 1 a(t), b(t), F(t), и Yr(t) рассчитаем по соответствующим формулам:
![]()
![]()
![]()
![]()
Мы построили мультипликативную модель Хольта-Уинтерса.
Теперь проверим нашу модель на точность, качество и адекватность. Для этого все необходимые расчеты проведем в таблице 3.
Графы Y(t) и Yr(t) заполним из таблицы 1.
Таблица 3 (проверка точности и адекватности)
|
t |
Y(t) |
Yr(t) |
E(t) |
отн. погр. |
т. Поворота |
E(t)**2 |
(E(t)-E(t-1))**2 |
E(t)*E(t-1) |
|
1 |
33 |
33,1007 |
-0,1007 |
0,30528 |
|
0,010 |
|
|
|
2 |
42 |
42,197 |
-0,197 |
0,46913 |
0 |
0,039 |
0,00927212 |
0,01985 |
|
3 |
50 |
50,7427 |
-0,7427 |
1,48547 |
1 |
0,552 |
0,29778761 |
0,14634 |
|
4 |
33 |
31,9494 |
1,05056 |
3,18353 |
1 |
1,104 |
3,21591667 |
-0,7803 |
|
5 |
36 |
35,8939 |
0,10606 |
0,2946 |
1 |
0,011 |
0,8920936 |
0,11142 |
|
6 |
46 |
45,7999 |
0,20009 |
0,43499 |
0 |
0,040 |
0,00884308 |
0,02122 |
|
7 |
56 |
55,0224 |
0,97759 |
1,7457 |
1 |
0,956 |
0,60450593 |
0,19561 |
|
8 |
34 |
35,7955 |
-1,7955 |
5,28086 |
1 |
3,224 |
7,69000448 |
-1,7553 |
|
9 |
39 |
38,5945 |
0,40548 |
1,0397 |
0 |
0,164 |
4,84428308 |
-0,728 |
|
10 |
50 |
49,2369 |
0,76308 |
1,52615 |
1 |
0,582 |
0,12787371 |
0,30941 |
|
11 |
59 |
59,561 |
-0,561 |
0,95086 |
1 |
0,315 |
1,75320329 |
-0,4281 |
|
12 |
37 |
37,1797 |
-0,1797 |
0,48573 |
0 |
0,032 |
0,14538275 |
0,10082 |
|
13 |
44 |
41,702 |
2,29805 |
5,22283 |
1 |
5,281 |
6,13932357 |
-0,413 |
|
14 |
54 |
54,2083 |
-0,2083 |
0,38581 |
1 |
0,043 |
6,28194789 |
-0,4788 |
|
15 |
65 |
64,6295 |
0,37047 |
0,56995 |
1 |
0,137 |
0,33501157 |
-0,0772 |
|
16 |
40 |
40,7241 |
-0,7241 |
1,81013 |
|
0,524 |
1,19796975 |
-0,2682 |
|
СУММ |
|
|
|
|
10 |
13,01 |
33,5434191 |
-4,0242 |
|
СРЗНАЧ |
|
|
|
1,57442 |
|
|
|
|
|
17 |
|
46,71088 |
|
|
|
|
|
|
|
18 |
|
58,14114 |
|
|
|
|
|
|
|
19 |
|
69,50804 |
|
|
|
|
|
|
|
20 |
|
43,16863 |
|
|
|
|
|
|
Рассчитаем отклонения Е(t) = Y(t) - Yr(t) и квадрат отклонений E(t)2
Относительную погрешность рассчитаем как частное абсолютных значений отклонений Е(t) и фактических значений Y(t) выраженное в процентах.
Таким образом, средняя относительная ошибка аппроксимации это есть среднее арифметическое найденных относительных погрешностей.
Относительная ошибка аппроксимации равна 1,57 %, она не превышает 5 %, что позволяет сделать вывод о выполнении условия точности.
Проверим адекватность модели на основе исследования:
· случайности остаточной компоненты по критерию числа точек поворота
Для этого, каждый уровень ряда Е(t) сравнивается с двумя соседними. Если он больше (меньше) обоих соседних уровней, то точка считается поворотной.
В графе «Точки поворота» будем ставить 1, если точка поворотная и 0 в противном случае.
Для наглядности можно ряд Е(t) изобразить графически, экстремумы графика будут соответствовать точкам поворота:

Вычисляем число точек поворота (в нашем примере их 10) и сравниваем с пороговым значением q.
= 6
Так как p > q, то условие случайности уровней выполнено.
· независимости уровней ряда остатков
- по d-критерию
Вычислим величину d-критерия по формуле: 
Так как все необходимы значения мы вычислили в таблице 3, то подставив их в формулу, получим, что d-критерий равен 2,57. Так как он больше двух, то имеет место отрицательная автокорреляция и следует уточнить значение d, вычитая его из 4. Получим d' = 1,423.
Так как расчетное значение больше 1-ой границы критического интервала и больше 2, проверим независимость по первому коэффициенту автокорреляции.
- по первому коэффициенту автокорреляции
Вычислим величину r1 по формуле:
= - 0,257
Так как Ιr1Ι = 0,257 и он меньше критического уровня r1 = 0,32, теперь можно сделать вывод, что уровни ряда остатков независимы.
· нормальности распределения остаточной компоненты
Вычислим величину RS-критерия по формуле:
, где S –
среднеквадратическое отклонение, рассчитываемое по формуле:
=0,931
Тогда расчетный RS = 4,395.
Табличное значение границ для RS-критерия для N=16 и 5%-ого уровня значимости есть интервал от 3,00 до 4,21
Наше расчетное значение не входит в этот интервал, значит, уровни ряда остатков не подчиняются нормальному распределению.
Для вычисления прогнозных значений Yr(t), t=17 рассчитаем по формуле:
Yr(17)=(a(16)+(t-16)*b(16))*F(t-4) = 46,71
Yr(18,19,20) рассчитаем аналогично. (см. таблица 3)
Отразим на графике фактические, расчетные и прогнозные значения:
ЗАДАЧА 2
Даны цены (максимальная, минимальная, закрытия) за 10 дней. Интервал сглаживания принять равным пяти дням. Рассчитать:
- экспоненциальную скользящую среднюю,
- момент,
- скорость изменения цен,
- индекс относительной силы
- %R, %K, %D.
Расчеты проводить для всех дней, для которых эти расчеты можно выполнить на основании имеющихся данных.
РЕШЕНИЕ:
Сформируем таблицу исходных данных:
|
Дни |
Цены |
||
|
Макс. |
Мин. |
Закр. |
|
|
1 |
744 |
705 |
709 |
|
2 |
743 |
675 |
738 |
|
3 |
750 |
700 |
735 |
|
4 |
759 |
707 |
751 |
|
5 |
770 |
740 |
755 |
|
6 |
776 |
661 |
765 |
|
7 |
756 |
715 |
720 |
|
8 |
745 |
685 |
739 |
|
9 |
758 |
725 |
740 |
|
10 |
730 |
673 |
678 |
С помощью Мастера Диаграмм построим биржевую диаграмму для набора из трех значений ( максимальной цены, минимальной цены и цены закрытия)

СКОЛЬЗЯЩИЕ СРЕДНИЕ:
Затем рассчитаем экспоненциальную скользящую среднюю ЕМА по формуле: EMAi=k*Ci+(1-k)*EMAi-1. при i=6,…,10, n=5, k=2/(n+1)=1/3
Значение EMA5 принимается равным средней цене закрытия за 1-5 дни.
Результаты вычислений занесем в таблицу:
|
Дни |
Макс. |
Мин. |
Закр. |
ЕМА |
|
1 |
744 |
705 |
709 |
|
|
2 |
743 |
675 |
738 |
|
|
3 |
750 |
700 |
735 |
|
|
4 |
759 |
707 |
751 |
|
|
5 |
770 |
740 |
755 |
737,60 |
|
6 |
776 |
661 |
765 |
746,73 |
|
7 |
756 |
715 |
720 |
737,82 |
|
8 |
745 |
685 |
739 |
738,21 |
|
9 |
758 |
725 |
740 |
738,81 |
|
10 |
730 |
673 |
678 |
718,54 |
Построим графики цены закрытия и экспоненциальной средней (в одной системе координат).

ОСЦИЛЛЯТОРЫ:
Для
вычисления осцилляторов сформируем таблицу и проведем необходимые вычисления по
формулам: MOMi=Ci – Ci-5,
(i=6,7,8,9,10),
Понижение и Повышение (i=2,3,…,10)
Вычислим при i=6,…,10 AU и AD, где:
AUi - суммы повышений за предшествующие 5 дней, ADi - суммы понижений за предшествующие 5 дней,), RSIi=100-
.
|
Дни |
MOM |
ROC |
Пониж |
Повыш. |
AU |
AD |
RSI |
|
1 |
|
|
|
|
|
|
|
|
2 |
|
|
|
29 |
|
|
|
|
3 |
|
|
3 |
|
|
|
|
|
4 |
|
|
|
16 |
|
|
|
|
5 |
|
|
|
4 |
49 |
3 |
94 |
|
6 |
56 |
108 |
|
10 |
30 |
3 |
91 |
|
7 |
-18 |
98 |
45 |
|
30 |
45 |
40 |
|
8 |
4 |
101 |
|
19 |
33 |
45 |
42 |
|
9 |
-11 |
99 |
|
1 |
30 |
45 |
40 |
|
10 |
-77 |
90 |
62 |
|
20 |
107 |
16 |
Построим графики МОМ, ROC, RSI

СТОХАСТИЧЕСКИЕ ЛИНИИ:
Для вычисления стохастических линий сформируем таблицу и произведем необходимые вычисления :
Н5 – Максимальная цена за 5 дней
L5 – Минимальная цена за 5 дней
%K=100(Ct - L5)/ (H5 - L5),
%R=100(H5 - Ct)/ (H5 - L5) или100-%K (вычисления проводятся при i=5,6,…,10),
%D (вычисления проводятся при i=7,8,9,10) равен отношению сумм цена закрытия – минимальная цена и максимальная - минимальная цена за три предшествующих дня.
|
Дни |
цена закрытия |
Макс. |
Мин. |
%K |
%R |
%D |
|
1 |
709 |
744 |
705 |
|
|
- |
|
2 |
738 |
743 |
675 |
|
|
- |
|
3 |
735 |
750 |
700 |
|
|
|
|
4 |
751 |
759 |
707 |
|
|
|
|
5 |
755 |
770 |
740 |
84,21 |
15,7895 |
|
|
6 |
765 |
776 |
661 |
89,11 |
9,57 |
|
|
7 |
720 |
756 |
715 |
51,30 |
48,70 |
39,07 |
|
8 |
739 |
745 |
685 |
67,83 |
32,17 |
31,47 |
|
9 |
740 |
758 |
725 |
68,70 |
31,30 |
23,90 |
|
10 |
678 |
730 |
673 |
14,78 |
85,22 |
6,89 |
ЗАДАЧА 3
Выполнить различные коммерческие расчеты, используя данные приведенные в таблице.
|
Сумма |
Дата превоначальная |
Дата конечная |
Время в днях |
Время в годах |
Ставка |
Число начислений |
|
S |
Tн |
Tк |
Tдн |
Tлет |
i |
m |
|
2000 000 |
16.01.02 |
14.03.02 |
180 |
4 |
25 |
2 |
РЕШЕНИЕ:
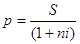
3.1. Банк выдал ссуду, размером S руб. Дата выдачи ссуды - Тн, возврата - Тк. День выдачи и день возврата считать за 1 день. Проценты рассчитываются по простой процентной ставке i % годовых. Найти:
1. точные проценты с точным числом дней ссуды;
2. обыкновенные проценты с точным числом дней ссуды;
3. обыкновенные проценты с приближенным числом дней ссуды.
Формула расчета процентов по простой процентной ставки S = p(1 + ni), где S – сумма к получению, p – вложенная сумма, i – процентная ставка, n – срок вклада в годах.
Таким образом:
1) S = 2000 000*( 1 + 0,25*57/365) = 2078082,19 руб.
Следовательно проценты будут равны 2078082,19 – 2000 000= 78082,19 руб.
2) S = 2000 000*( 1 + 0,25*57/360) = 2079166,67 руб.
Следовательно проценты будут равны 2079166,67 – 2000 000= 79166,
67 руб.
3) S = 2000000*( 1 + 0,25*59/360) = 2081944,44 руб.
Следовательно проценты будут равны 2081944,44 – 2000000= 81944,44 руб.
3.2. Через Тдн дней после подписания договора должник уплатит S руб. Кредит выдан под i% годовых (проценты обыкновенные). Какова первоначальная сумма и дисконт?
Первоначальную сумму р можно найти из формулы простых процентов:
![]()
, где n - срок вклада в годах
Таким образом р = 2000 000/ ( 1 + 180/360 *0,25) = 1777777,78 руб.
Сумма дисконта считается как разница между уплаченной в конце и в начале суммой:
D = S – P
D = 2000000– 1777777,78 = 222222,22 руб
3.3 Через Тдн дней предприятие должно получить по векселю S руб. Банк приобрел этот вексель с дисконтом. Банк учел вексель по учетной ставке i% годовых (год равен 360 дням). Определить полученную предприятием сумму и дисконт.
Находим сумму дисконта D = Sni, где n - срок вклада в годах, который можно найти как:
![]()
D = 2000 000* 180/360 * 0,25 = 250 000 руб.
Таким образом, полученная предприятием сумма по векселю составит :
Р = S – D = 2000 000 – 250 000 = 1750 000 руб.
3.4. В кредитном договоре на сумму S руб. и сроком на Тлет лет, зафиксирована ставка сложных процентов, равная i% годовых. Определить наращенную сумму.
Формула расчета по сложной процентной ставке S = p(1 + i)n, где S – сумма к получению, p – вложенная сумма, i – процентная ставка, n – срок вклада в годах.
Таким образом, сумма к получению составит:
S = 2000 000 * (1 + 0,25)4 = 4882812,5 руб
Сумма процентов по вкладу составит 4882812,5 – 2000 000 = 2882812,5 руб.
3.5. Ссуда, размером S руб. предоставлена на Тлет. Проценты сложные, ставка - i% годовых. Проценты начисляются m раз в году. Вычислить наращенную сумму.
Воспользуемся формулой для исчисления номинальной процентной ставки:
![]()
где S – сумма к получению, p – вложенная сумма, i(m) – процентная ставка выплачиваемая m раз в год, n – срок вклада в годах.
Таким образом, сумма к получению составит:
S = 2000 000 (1 + 0,25/2)2*4 = 5131569,03 руб.
Сумма процентов по вкладу составит 5131569,03 - 2000 000 = 3131569,03руб.
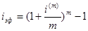
3.6. Вычислить эффективную ставку процента, если банк начисляет проценты m раз в году, исходя из номинальной ставки i% годовых.
Для вычисления воспользуемся формулой:
![]()
Таким образом, эффективная процентная ставка составит ( 1 + 0,25/2)2 – 1 = 0,2656 или 26,56 %
3.7. Определить, какой должна быть номинальная ставка при начислении процентов m раз в году, чтобы обеспечить эффективную ставку i% годовых.
Преобразуем формулу для исчисления эффективной ставки и получим:

Таким образом, номинальная ставка будет равна 2[(1+0,25)0,5 – 1] = 0,2361 или 23,61 %
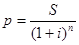
3.8. Через Тлет„ предприятию будет выплачена сумма S руб. Определить ее современную стоимость при условии, что применяется сложная процентная ставка i% годовых.
Воспользуемся формулой S = p(1 + i)n для расчета по сложной процентной ставке, и преобразовав её получим формулу:
![]()
Таким образом, современная стоимость вклада будет равна:
р = 2000 000/ (1 + 0,25)4 = 819200 руб.
3.9. Через Тлет по векселю должна быть выплачена сумма S руб. Банк учел вексель по сложной учетной ставке i% годовых. Определить дисконт.
Воспользуемся формулами: P = S(1 – d)n и D = S – P, где S – сумма к получению, p – вложенная сумма, d – процентная ставка
Получим:
Первоначальная сумма составит 2000 000( 1- 0,25)4 = 632812,5 руб.
Дисконт равен 2000 000 – 632812,5 = 1367187,5 руб.
3.10. В течение Тлет лет на расчетный счет в конце каждого года поступает по S руб., на которые m раз в году начисляются проценты по сложной годовой ставке i %. Определить сумму на расчетном счете к концу указанного срока.
Имеем поток платежей постнумерандо, где R = 2000 000 руб.
Конечная сумма определяется по формуле: S = RsnΙiэф, где snΙiэф = ((1 + iэф)n-1) / iэф
Эффективную процентную ставку возьмём из задачи 3.6. Она равна 26,56 %
Таким образом, получим:
S = 2000 000 * ((1+ 0,2656)4-1)/ 0,2656 = руб.