МИНИСТЕРСТВО ОБРАЗОВАНИЯ И НАУКИ РОССИЙСКОЙ ФЕДЕРАЦИИ
ФЕДЕРАЛЬНОЕ АГЕНТСТВО ПО ОБРАЗОВАНИЮ
ГОСУДАРСТВЕННОЕ ОБРАЗОВАТЕЛЬНОЕ УЧРЕЖДЕНИЕ ВЫСШЕГО ПРОФЕССИОНАЛЬНОГО ОБРАЗОВАНИЯ
![]() |
КАФЕДРА ЭКОНОМИКО-МАТЕМАТИЧЕСКИХ МЕТОДОВ И МОДЕЛЕЙ
КОНТРОЛЬНАЯ РАБОТА
по дисциплине финансовая математика
Вариант № 6
Задание 1.
Приведены поквартальные данные о кредитах от коммерческого банка на жилищное строительство (в условных единицах) за 4 года (всего 16 кварталов).
Таблица 1
|
Квартал |
1 |
2 |
3 |
4 |
5 |
6 |
7 |
8 |
9 |
10 |
11 |
12 |
13 |
14 |
15 |
16 |
|
Кредит от коммерческого банка на жилищное строительство |
36 |
46 |
55 |
35 |
39 |
50 |
61 |
37 |
42 |
54 |
64 |
40 |
47 |
58 |
70 |
43 |
Требуется:
1. Построить адаптивную мультипликативную модель Хольта-Уинтерса с учетом сезонного фактора, приняв параметры сглаживания α1=0,3;α2=0,6; α3=0,3.
2. Оценить точность построенной модели с использованием средней относительной ошибки аппроксимации.
3. Оценить адекватность построенной модели на основе исследования:
· случайности остаточной компоненты по критерию пиков;
· независимости уровней ряда остатков по d-критерию (критические значения d1=1,10 и d2=1,37) и по первому коэффициенту автокорреляции при критическом значении r1=0,32;
· нормальности распределения остаточной компоненты по R/S-критерию с критическими значениями от 3 до 4,21.
4. Построить точечный прогноз на 4 шага вперед, т.е. на 1 год.
5. Отразить на графике фактические, расчетные и прогнозные данные.
Решение:
1 Мультипликативная модель Хольта-Уинтерса с линейным ростом имеет следующий вид:
где k - период упреждения;
Yp(t) - расчетное значение экономического показателя для t-го периода;
a(t), B(t), F(t) - коэффициенты модели; они адаптируются, уточняются по мере перехода от членов ряда с номером t-1 к t;
F(t+k-L) - значение коэффициента сезонности того периода, для которого рассчитывается экономический показатель;
L - период сезонности (для квартальных данных L=4).
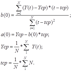
Коэффициенты модели a(t), b(t) и F(t) рассчитываются по формулам:
|
a(t)=α1*Y(t)/F(t-L)+(1-α1)*[a(t 1)+b(t-1)]; |
|
b(t)=α3*[a(t)-a(t-1)]+(1-α3)*b(t-1); |
|
F(t)=α2*Y(t)/a(t)+(1-α2)*F(t-L). |
|
|
Для расчета a(1) и b(1) необходимо оценить значения этих коэффициентов для предыдущего период времени (т.е. для t=1-1=0). Значения a(0) и b(0) имеют смысл этих же коэффициентов для четвертого квартала года, предшествующего коэффициентов для четвертого квартала года, предшествующего первому году, для которого имеются данные (таб. 1).
Для оценки начальных значений a(0) и b(0) применим
линейную модель к первым 8 значениям Y(t) из
таблицы. Линейная модель имеет вид:
Таблица 2
Промежуточные расчеты для вычисления коэффициентов
|
|
t |
Y(t) |
Y(t)-Yср |
t-tср |
(t-tср)2 |
(Y(t)-Yср)*(t-tср) |
Yp(t) |
|
|
1 |
36 |
-8,9 |
-3,5 |
12,3 |
31,1 |
51,4 |
|
|
2 |
46 |
1,1 |
-2,5 |
6,3 |
-2,8 |
46,4 |
|
|
3 |
55 |
10,1 |
-1,5 |
2,3 |
-15,2 |
43,0 |
|
|
4 |
35 |
-9,9 |
-0,5 |
0,3 |
4,9 |
41,3 |
|
|
5 |
39 |
-5,9 |
0,5 |
0,3 |
-2,9 |
41,3 |
|
|
6 |
50 |
5,1 |
1,5 |
2,3 |
7,7 |
43,0 |
|
|
7 |
61 |
16,1 |
2,5 |
6,3 |
40,3 |
46,4 |
|
|
8 |
37 |
-7,9 |
3,5 |
12,3 |
-27,6 |
51,4 |
|
сумму |
|
359 |
|
|
42 |
35,5 |
364,07 |
|
среднее |
4,5 |
44,875 |
|
|
5,25 |
|
|
Метод наименьших квадратов дает возможность определить коэффициенты линейного уравнения a(0) и b(0) по следующим формулам:
Применяя линейную модель к первым 8 значениям ряда из таблицы 1 (т.е. к данным за первые 2 года), находим значения a(0), b(0).

a(0) = Yср – b(0)*tср = 44,9 - 0,845*4,5=41,07.
Тогда линейное уравнение будет иметь вид: Yp(t)=41,07+0,845*t
Из этого уравнения находим расчетные значения Yp(t) и сопоставляем их с фактическими значениями.
(таб. 3).
Таблица 3
Сопоставление фактических данных Y(t) и рассчитанных по линейной модели значений Yp(t)
|
t |
1 |
2 |
3 |
4 |
5 |
6 |
7 |
8 |
|
Y(t) |
36 |
46 |
55 |
35 |
39 |
50 |
61 |
37 |
|
Yp(t) |
41,92 |
42,76 |
43,61 |
44,45 |
45,30 |
46,14 |
46,99 |
47,83 |
Такое сопоставление позволяет оценить приближенные значения коэффициентов сезонности I-IV кварталов F(-3), F(-2), F(-1) и F(0) для года, предшествующего первому году, по которому имеются данные в таблице 1. Эти значения необходимы для расчета коэффициентов сезонности первого года F(1), F(2), F(3), F(4) и других параметров модели Хольта-Уинтерса. Коэффициент сезонности есть отношение фактического значения экономического показателя к значению, рассчитанному по линейной модели. Поэтому в качестве оценки коэффициента сезонности I квартала F(-3) может служить отношение фактических и расчетных значений Y(t) I квартала первого года, равное Y(1)/Yp(1), и такое же отношение для I квартала второго года (т.е. за V квартал t=5) Y(5)/Yp(5). Для окончательной, более точной, оценки этого коэффициента сезонности можно использовать среднее арифметическое значение этих двух величин. F(-3)=[Y(1)/Yp(1)+Y(5)/Yp(5)]/2= 0,8599,
Аналогично находим оценки коэффициента сезонности для II, III и IV кварталов:
F(-2)=[Y(2)/Yp(2)+Y(6)/Yp(6)]/2=1,0797;
F(-1)=[Y(3)/Yp(3)+Y(7)/Yp(7)]/2=1,2797$
F(0)=[Y(4)/Yp(4)+Y(8)/Yp(8)]/2=0,7804;
Оценив значения a(0), b(0), а также F(-3), F(-2), F(-1), F(0), можно перейти к построению адаптивной мультипликативной модели Хольта-Уинтерса с помощью формул.
Рассчитаем значения Yp(t), a(t), b(t) и F(t) для t=1.
Полагая что t=0, k=1, находим Yp(1):
Yp(0+1)=Yp(1)=[a(0)+1*b(0)]*F(0+1-4)=[a(0)+1*b(0)]*F(-3)=36,04
Из уравнений, полагая, что t=1, находим:
a(1)=α1*Y(1)/F(-3)+(1-α1)*[a(0)+b(0)]=41,90
b(1)=α3*[a(1)-a(0)]+(1-α3)*b(0)= 0,84
F(1)=α2*Y(1)/a(1)+(1-α2)*F(-3)=0,8595;
Аналогично рассчитаем значения Yp(T), a(t). B(t) и F(t) для t=2
Yp(2)=[a(1)+1*b(1)]*F(-2)=46,15
a(2)=α1*Y(2)/F(-2)+(1-α1)*[a(1)+b(1)]=42,70
b(2)=α3*[a(2)-a(1)]+(1-α3)*b(1)=0,83
F(2)=α2*Y(2)/a(2)+(1-α2)*F(-2)=1,0782;
для t=3:
Yp(3)=[a(2)+1*b(2)]*F(-1)=55,71
a(3)=α1*Y(3)/F(-1)+(1-α1)*[a(2)+b(2)]=43,36
b(3)=α3*[a(3)-a(2)]+(1-α3)*b(2)=0,78
F(3)=α2*Y(3)/a(3)+(1-α2)*F(-1)=1,2729;
для t=4:
Yp(4)=[a(3)+1*b(3)]*F(0)=35,27
a(4)=α1*Y(4)/F(0)+(1-α1)*[a(3)+b(3)]=44,35
b(4)=α3*[a(4)-a(3)]+(1-α3)*b(3)=0,84
F(4)=α2*Y(4)/a(4)+(1-α2)*F(0)=0,7856
для t=5:
Yp(5)=[a(4)+1*b(4)]*F(1)=38.84
a(5)=α1*Y(5)/F(1)+(1-α1)*[a(4)+b(4)]=45,25
b(5)=α3*[a(5)-a(4)]+(1-α3)*b(4)=0,86
F(5)=α2*Y(5)/a(5)+(1-α2)*F(1)=0,8609;
Продолжая аналогично для t=6,7,8,…16, строится модель Хольта-Уинтерса. При использовании MS Office Excel составим следующую таблицу с введением соответствующих формул в нужные ячейки, что облегчит процесс вычисления (таб. 4).
Таблица 4
|
t |
Y(t) |
a(t) |
b(t) |
F(t) |
Yp(t) |
Абсолютная погрешность Е(t) |
Относительная погрешность в % |
|
|
1 |
2 |
3 |
4 |
5 |
6 |
7 |
8 |
|
|
-3 |
|
|
|
0,8599 |
|
|
|
|
|
-2 |
|
|
|
1,0797 |
|
|
|
|
|
-1 |
|
|
|
1,2797 |
|
|
|
|
|
0 |
|
|
|
0,7804 |
|
|
|
|
|
1 |
36 |
41,90 |
0,84 |
0,8595 |
36,04 |
-0,0445 |
-0,001237 |
|
|
2 |
46 |
42,70 |
0,83 |
1,0782 |
46,15 |
-0,1464 |
-0,003183 |
|
|
3 |
55 |
43,36 |
0,78 |
1,2729 |
55,71 |
-0,7059 |
-0,012835 |
|
|
4 |
35 |
44,35 |
0,84 |
0,7856 |
35,27 |
-0,2726 |
-0,007790 |
|
|
5 |
39 |
45,25 |
0,86 |
0,8609 |
38,84 |
0,1558 |
0,003995 |
|
|
6 |
50 |
46,19 |
0,88 |
1,0808 |
49,72 |
0,2848 |
0,005697 |
|
|
7 |
61 |
47,33 |
0,96 |
1,2825 |
59,92 |
1,0848 |
0,017783 |
|
|
8 |
37 |
47,93 |
0,85 |
0,7775 |
37,93 |
-0,9344 |
-0,025254 |
|
|
9 |
42 |
48,78 |
0,85 |
0,8610 |
41,99 |
0,0052 |
0,000123 |
|
|
10 |
54 |
49,73 |
0,88 |
1,0838 |
53,64 |
0,3554 |
0,006582 |
|
|
11 |
64 |
50,40 |
0,82 |
1,2749 |
64,91 |
-0,9141 |
-0,014282 |
|
|
12 |
40 |
51,29 |
0,84 |
0,7789 |
39,82 |
0,1801 |
0,004502 |
|
|
13 |
47 |
52,87 |
1,06 |
0,8778 |
44,88 |
2,1214 |
0,045137 |
|
|
14 |
58 |
53,80 |
1,02 |
1,0803 |
58,45 |
-0,4457 |
-0,007685 |
|
|
15 |
70 |
54,85 |
1,03 |
1,2757 |
69,90 |
0,1018 |
0,001454 |
|
|
16 |
43 |
55,68 |
0,97 |
0,7750 |
43,53 |
-0,5271 |
-0,012258 |
|
|
Итого: |
779 |
|
|
|
|
0,30 |
8,00 |
|
2 Проверка точности модели
Условие точности выполняется, если относительная погрешность в среднем не превышает 5%. Суммарное значение относительных погрешностей составляет 8,00, что дает среднюю величину 8,00/16=0,5%. -0,5<5%
Следовательно, условие точности выполнено.
3 Проверка условия адекватности.
Проверка случайности уровней. Проверку случайности уровней остаточной компоненты проводим на основе критерия поворотных точек (табл.5).
Таблица 5
Промежуточные расчеты для оценки адекватности модели
|
t |
E(t) |
Точки поворота |
E(t)2 |
[E(t)-E(t-1)]2 |
E(t)*E(t-1) |
|
1 |
2 |
3 |
4 |
5 |
6 |
|
1 |
-0,045 |
- |
0,002 |
- |
- |
|
2 |
-0,146 |
1 |
0,021 |
0,010 |
0,007 |
|
3 |
-0,706 |
0 |
0,498 |
0,313 |
0,103 |
|
4 |
-0,273 |
0 |
0,074 |
0,188 |
0,192 |
|
5 |
0,156 |
0 |
0,024 |
0,184 |
-0,042 |
|
6 |
0,285 |
0 |
0,081 |
0,017 |
0,044 |
|
7 |
1,085 |
1 |
1,177 |
0,640 |
0,309 |
|
8 |
-0,934 |
1 |
0,873 |
4,077 |
-1,014 |
|
9 |
0,005 |
0 |
0,000 |
0,883 |
-0,005 |
|
10 |
0,355 |
1 |
0,126 |
0,123 |
0,002 |
|
11 |
-0,914 |
1 |
0,835 |
1,612 |
-0,325 |
|
12 |
0,180 |
0 |
0,032 |
1,197 |
-0,165 |
|
13 |
2,121 |
1 |
4,500 |
3,769 |
0,382 |
|
14 |
-0,446 |
1 |
0,199 |
6,590 |
-0,946 |
|
15 |
0,102 |
1 |
0,010 |
0,300 |
-0,045 |
|
16 |
-0,527 |
- |
0,278 |
0,396 |
-0,054 |
|
Сумма |
2,298 |
8 |
12,733 |
25,297 |
-1,555 |
Общее число поворотных точек в нашем примере равно p=8
Рассчитаем значение q:
![]()
Если количество поворотных точек p больше q, то условие случайности уровней выполнено. В нашем случае p=8, q=6, значит условие случайности уровней ряда выполнено.
Проверка независимости уровней ряда остатков.
а) по d-критерию Дарбина-Уотсона

В нашем случае d2<d<2, 1,37<1,987<2. Уровни ряда остатков являются независимыми.
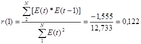
б) по первому коэффициенту автокорреляции
![]() |
Если модуль рассчитанного значения первого коэффициента автокорреляции меньше критического значения r(1)<r табл., то уровни ряда остатков независимы. В нашей задаче |r(1)|=0,122<rтаб=0,32 – условие независимости выполняется.
Проверка соответствия ряда остатков нормальному распределению определяем по RS –критерию. Рассчитаем значение RS:
RS=(Emax – Emin)/S,
где Emax - максимальное значение уровней ряда остатков E(t),
Emin - минимальное значение уровней ряда остатков E(t),
S - среднее квадратическое отклонение;

Emax=2,121
Emin=-0,934
RS= (2,121-(-0,934))/0,92=3,41
Полученное значение попадает в заданный интервал, уровни ряда остатков подчиняются нормальному распределению остаточной компоненты по R/S-критерию с критическими значениями от 3 до 4,21.
4 Построение точечного прогноза
Составим прогноз на 4 квартала вперед (т.е. на 1 год, с t=17 по t=20).
Максимальное значение t, для которого могут быть рассчитаны коэффициенты a(t), b(t) определяется количеством исходных данных и равно 16.
Рассчитав значения a(16), b(16) можно определить прогнозные значения экономического показателя Yp(t).
Для t=17 имеем:
Yp(17)=Yp(16+1)=[a(16)+1*b(16)]*F(16+1-4)=49,7
Yp(18)=Yp(16+2)=[a(16)+2*b(16)]*F(16+2-4)=62,2
Yp(19)=Yp(16+3)=[a(16)+3*b(16)]*F(16+3-4)=74,7
Yp(20)=Yp(16+4)=[a(16)+4*b(16)]*F(16+4-4)= 46,2
Рис. 1

Задание № 2.
Даны цены (открытия, максимальная, минимальная и закрытия) за 10 дней. Интервал сглаживания принять равным пяти дням. Рассчитать:
- экспоненциальную скользящую среднюю;
- момент;
- скорость изменения цен;
- индекс относительной силы;
- %R, %K, %D.
Расчеты проводить для всех дней, для которых эти расчеты можно выполнить на основании имеющихся данных (таб. 6).
Таблица 6
|
Дни |
Цены |
||
|
макс. |
мин. |
закр. |
|
|
1 |
600 |
550 |
555 |
|
2 |
560 |
530 |
530 |
|
3 |
536 |
501 |
524 |
|
4 |
545 |
521 |
539 |
|
5 |
583 |
540 |
569 |
|
6 |
587 |
562 |
581 |
|
7 |
582 |
561 |
562 |
|
8 |
573 |
556 |
573 |
|
9 |
610 |
579 |
592 |
|
10 |
645 |
585 |
645 |
Решение:
1. Экспоненциальная скользящая средняя.
EMAt= Ct*k+EMAt-1*(1-k),
где k=2/(n+1)
Ct – цена закрытия t-го дня
Таблица 7
Расчет 10-дневной ЕМА и ее сравнение с МА
|
Дни |
Цены |
МАt |
EMAt |
(графа4-графа5) (Ct- МАt) |
(графа4-графа6) (Ct- ЕМАt) |
||
|
макс. цена Ht |
мин. цена Lt |
цена закрытия Ct |
|||||
|
1 |
2 |
3 |
4 |
5 |
6 |
7 |
8 |
|
1 |
600 |
550 |
555 |
|
|
|
|
|
2 |
560 |
530 |
530 |
|
|
|
|
|
3 |
536 |
501 |
524 |
|
|
|
|
|
4 |
545 |
521 |
539 |
|
|
|
|
|
5 |
583 |
540 |
569 |
543,4 |
543,4 |
25,6 |
25,6 |
|
6 |
587 |
562 |
581 |
548,6 |
555,9 |
32,4 |
25,1 |
|
7 |
582 |
561 |
562 |
555 |
558,0 |
7 |
4,0 |
|
8 |
573 |
556 |
573 |
564,8 |
563,0 |
8,2 |
10,0 |
|
9 |
610 |
579 |
592 |
575,4 |
572,6 |
16,6 |
19,4 |
|
10 |
645 |
585 |
645 |
590,6 |
596,8 |
54,4 |
48,2 |
2. Момент
MOMt=Ct – Ct-n
Положительные значения МОМ свидетельствуют об относительном росте цен, отрицательные – о снижении
3. Скорость изменения цен
![]()
ROC является отражением скорости изменения цены, а также указывает направление этого изменения.
4. Индекс относительной силы
,
где AU – сумма приростов конечных цен за n последних дней;
AD – сумма убыли конечных цен за n последних дней.
Таблица 8
Расчет МОМ, ROC и RSI
|
Дни |
Цена закрытия Ct |
МОМ |
ROC |
повышение цены |
понижение цены |
Сумма повышения AU |
Сумма понижения AD |
RSI |
|
1 |
555 |
|
|
|
|
|
|
|
|
2 |
530 |
|
|
|
25 |
|
|
|
|
3 |
524 |
|
|
|
6 |
|
|
|
|
4 |
539 |
|
|
15 |
|
|
|
|
|
5 |
569 |
14 |
102,5 |
30 |
|
|
|
|
|
6 |
581 |
51 |
109,6 |
12 |
|
57 |
31 |
64,8 |
|
7 |
562 |
38 |
107,3 |
|
19 |
57 |
25 |
69,5 |
|
8 |
573 |
34 |
106,3 |
11 |
|
68 |
19 |
78,2 |
|
9 |
592 |
23 |
104,0 |
19 |
|
72 |
19 |
79,1 |
|
10 |
645 |
64 |
111,0 |
53 |
|
95 |
19 |
83,3 |
5. Стохастические линии (таб. 9).
%Kt=100*(Ct – L5)/(H5 – L5);
%Rt=100*(H5 – Ct)/(H5 – L5);
;
где Ct – цена закрытия текущего дня.
L5 и H5 – минимальная и максимальная цены за 5 предшествующих дней, включая текущий.
Таблица 9

Рис. 2

Рис. 3

Рис. 4

Рис. 5

Рис. 6
Задание №3
Выполнить различные коммерческие расчеты, используя данные, приведенные в таблице 10. В условии задачи значения параметров приведены в виде переменных. По именам переменных из таблицы необходимо выбрать соответствующие численные значения параметров и выполнить расчеты.
Таблица 10
|
сумма |
Дата начальная |
Дата конечная |
Время в днях |
Время в годах |
ставка |
Число начислений |
|
S |
Тн |
Тк |
Тдн |
Тлет |
i |
m |
|
3 000 000 |
|
|
90 |
5 |
35 |
4 |
1.
Банк выдал ссуду,
размером 3 000 000 руб. Дата выдачи ссуды
· точные проценты с точным числом дней ссуды;
· обыкновенные проценты с точным числом дней ссуды;
· обыкновенные проценты с приближенным числом дней ссуды.
Решение:
I = S·n·i
где n = t/K
· t=17+28+17+1=63
К = 365; t = 63; I = 3 000 000 · 63 / 365 · 0,35 = 181 232,88 руб.;
· К = 360; t = 53; I = 3 000 000 · 63 / 360 · 0,35 = 183 750 руб.;
· t = 16 + 30 + 18 = 64
К = 360; t = 64; I = 3 000 000 · 64 / 360 · 0,35 = 186 666,67 руб.
2 Через 90 дней после подписания договора должник уплатит 3 000 000 руб. Кредит выдан под 35% годовых (проценты обыкновенные). Какова первоначальная сумма и дисконт?
Решение:
- первоначальная сумма;
D = S – P - дисконт.
2 758 620,69 руб.
D = 3 000 000 – 2 758 620,69 = 241 379,31 руб.
3 Через 9 дней предприятие должно получить по векселю 3 000 000 руб. Банк приобрел этот вексель с дисконтом. Банк учел вексель по учетной ставке 35% годовых (год равен 360 дням). Определить полученную предприятием сумму и дисконт.
Решение:
D = S·n·d - дисконт;
P = S – D - полученная сумма.
D = 3 000 000 ·
P = S – D = 3 000 000 – 262 500 = 2 737 500 руб.
4 В кредитном договоре на сумму 3 000 000 руб. и сроком 5 года, зафиксирована ставка сложных процентов, равная 35% годовых. Определить наращенную сумму.
Решение:
S = P(1+i)n
S = 3 000 000 · (1 + 0.35)5 = 13 452 099 руб.
5 Ссуда, размером 3 000 000 руб. предоставлена на 5 года. Проценты сложные, ставка – 35% годовых. Проценты начисляются 4 раза в год. Вычислить наращенную сумму.
Решение:
S = P(1+j/m)N
Число периодов начисления в году m=4
S = 3 000 000 · (1+0,35 / 4)20 = 16 058 552 руб.
6 Вычислить эффективную ставку процента, если банк начисляет проценты 4 раза в году, исходя из номинальной ставки 35% годовых.
Решение:
iэ = (1+j/m)m – 1
Эффективная ставка показывает, какая годовая ставка сложных процентов дает тот же финансовый результат, что и m-разовое наращение в год по ставке j/m.
iэ = (1+0,35/4)4 – 1 = 0,3986 или 39,86%
7 Определить, какой должна быть номинальная ставка при начислении процентов 4 раза в году, чтобы обеспечить эффективную ставку 35% годовых.
Решение:
j = m[( 1+iэ )1/m – 1]
j = 4·[( 1+0.35)1/4 – 1] = 0,3116 т.е. 31,16%
8 Через 5 лет предприятию будет выплачена сумма 3 000 000 руб. Определить ее современную стоимость при условии, что применяется сложная процентная ставка 35% годовых.
Решение:

669 040,5 руб.
9 Через 5 года по векселю должна быть выплачена сумма 3 000 000 руб. Банк учел вексель по сложной учетной ставке 35% годовых. Определить дисконт.
Решение:
P = S(1 - dсл)n
где dсл – сложная годовая учетная ставка
P = 3 000 000 · (1 – 0,35)5 = 348 087 руб.
D = S – P = 3 000 000 – 348 087 = 2 651 913 руб.
10 В течение 5 лет на расчетный счет в конце каждого года поступает по 3 000 000, на которые 4 раза в году начисляются проценты по сложной годовой ставке 35%. Определить сумму на расчетном счете к концу указанного срока.

25 061 522 млн. руб.

