Федеральное агентство по образованию и науке
ГОУ ВПО
«Новосибирский Государственный Педагогический Университет»
Курсовая работа по математике
Тема: «Задачи с параметрами.
Приложения к решению других задач»
Руководитель:
Иер А.А.
Новосибирск, 2005 Содержание
Введение. 3
1. Общие положения задач с параметрами. 5
2. Тематическое планирование и содержание факультатива по теме «Задачи с параметрами. Приложения к решению других задач». 13
2.1. Задачи с параметрами на составление уравнений и неравенств. 13
2.2. Некоторые задачи с параметрами в анализе. 15
Заключение. 31
Список литературы.. 32
Введение
Есть много уравнений и неравенств, которые считаются для школьников задачами повышенной трудности. Такими задачами являются задачи с параметрами. Для их решения применяются не традиционные методы, а приёмы, которые не совсем привычны для учащихся.
Актуальность представленной работы заключается в том, что задачи с параметрами - самый сложный вопрос математики. При решении задач с параметрами учащимся предстоит применить все умения и навыки, которые они получили, изучая элементарную математику, в целом. Считается, что задачи с параметрами обладают в полной мере диагностической и прогностической ценностью. И не случайно они стали неотъемлемым атрибутом вступительных экзаменов в вузы и контрольных измерительных материалов ЕГЭ. Но в школьных учебниках параметрам, по прежнему почти не уделяется внимания, хотя для достижения хороших результатов знакомство с ними должно состояться как можно раньше, и предпрофильный курс по выбору для этого является очень подходящим моментом.
Цели курса решения параметрических задач заключаются в создании условий и возможности:
оценить обучающимися свой потенциал с точки зрения образовательной перспективы; уточнить готовность и способность осваивать математику на повышенном уровне;
получения обучающимися опыта работы на уровне повышенных требований, что способствует развитию учебной мотивации;
формирования интереса к изучению математики через решение задач повышенной сложности;
развития интеллектуальных умений: логически и аналитически рассуждать при решении нестандартных задач по математике; находить общее и учитывать детали;
развития творческих способностей, умения работать самостоятельно и в группе, вести дискуссию, аргументировать свою точку зрения и уметь слушать другого[1].
Основная цель представленной работы - знакомство с различными методами решения задач с параметрами, основанными на материале программы общеобразовательной школы. Систематизирован ряд приёмов, приводятся методы решения уравнений и неравенств.
Задачи работы - описать основное содержание задач с параметрами, проанализировать тематическое планирование и содержание факультатива по решению задач с параметрами.
1. Общие положения задач с параметрами
Изучение и решение задач с параметрами имеют основной целью следующее:
закрепление навыков и умений, полученных учащимися на уроках математики (и, при необходимости, ликвидацию возможных пробелов), для успешного обучения в профильной школе,
расширение представлений о типах и методах решения математических задач,
выработку умения классифицировать предложенные задачи по методам их решения,
выработку умения работать с условием задачи, сводя ее к более простой и узнаваемой, а также быть внимательными и аккуратными с отбором найденных решений[2].
Рассмотрим несколько примеров:
1. При каких значениях параметра a сумма loga (2x – 1) и loga (2x – 7) равна единице ровно при одном значении x?
Решение. Из условия задачи следует, что loga (2x – 1) + loga (2x – 7) = 1 и это уравнение должно иметь только одно решение.
x > log2 7 при a > 0 и a¹1.
Преобразуя уравнение, получим: (2x – 1)(2x – 7) = a,
(2x)2 – 8·2x + 7 – a = 0.
Пусть 2x = y, y > 0; тогда имеем квадратное уравнение y2 – 8y + 7 – a = 0. D = 36 + 4a. Так как a > 0, то D > 0, то есть квадратное уравнение имеет два корня. Учитывая условие y > 0, из двух корней подойти должен только один, то есть y1 > 0, y2£ 0. Таким образом, должно выполняться условие y1y2=7–a£0, то есть a³7.
Ответ: при aÎ [7; +¥×).
1. При каких значениях параметра a
сумма
не равна
единице ни при каких значениях x?
Решение. Составим
сумму и запишем условие: 
Это условие
равносильно тому, что уравнение
не имеет
решений при любых значениях x.
x³0 при a > 0 и a¹1.
Преобразуя наше уравнение, получим равносильное уравнение

Пусть
Имеем
квадратное уравнение
(6 – a)y2 + (17 – 2a)y + 12 – a = 0 . (1)
D = (17 – 2a2) – 4(6 – a)(12 – a) = 4a + 1.
Так как a > 0, то D > 0 и квадратное уравнение (1) имеет два корня. Учитывая условие y³0, имеем y1<0 и y2<0, то есть y1y2>0, y1+y2<0.
![]()
Значит,


С учетом условия a>0 и a¹1, имеем aÎ(0; 1)È(1; 6)È(12; +¥).
Рассмотрим отдельно случай a=6.
Тогда квадратное уравнение становится линейным: 5y + 6 = 0, то
есть
что не удовлетворяет
условию y³0.
Ответ: при aÎ(0; 1)È(1; 6]È(12; +¥).
3. При каких значениях параметра
a сумма
будет
больше единицы при всех значениях x?
Решение. 
Получили неравенство, которое должно выполняться при всех значениях x при a>0, a¹1.
Перепишем неравенство в виде

При 0 < a
< 1 имеем
Так как 1+x2>0
при xÎR, то (8–a)x4+(22–2a)x2+(15–a)<0.
Пусть x2 = y, y³0. Тогда неравенство (8–a)y2+(22–2a)y+(15–a)<0 должно выполняться при всех yÎ[0;+¥). Это возможно только при 8–a<0, то есть a>8, что не удовлетворяет условию 0<a<1.
При a>1 имеем
то есть (8–a)x4+(22–2a)x2+(15–a)>0
при всех значениях x.
Пусть x2 = y, y³0. Тогда (8–a)y2+(22–2a)y+(15–a)>0 должно выполняться при всех yÎ[0; +¥). Это возможно только при 8–a>0.
D=(22–2a)2–4(8–a)(15–a)=4a+4.
При a>1 D>0, то есть квадратный трехчлен имеет два корня y1 и y2 и при yÎ[y1; y2] принимает неположительные значения. Для того, чтобы квадратный трехчлен был положителен для любого yÎ[0; +¥), необходимо, чтобы y1<0 и y2<0, то есть y1y2>0, y1+y2<0.
![]()
Таким образом, получим систему
неравенств
откуда aÎ(1; 8).
При a=8 имеем 6y + 7>0 при всех yÎ [0; +¥).
Ответ: при aÎ(1; 8].
4. При каких значениях параметра a сумма loga (sin x + 2) и loga (sin x + 3) будет равна единице хотя бы при одном значении x?
Решение. loga (sin x + 2) + loga (sin x + 3) = 1. (1)
Получили уравнение, которое должно иметь хотя бы один корень. a>0, a¹1; xÎR. При этих условиях уравнение (1) равносильно уравнению
(sin x + 2)(sin x + 3) = a,
sin2 x + 5sin x + 6 – a = 0.
Пусть sin x = y, | y | £ 1. Тогда
y2 + 5y + 6 – a = 0. (2)
D = 25 – 4(6 – a) = 4a + 1.
При a > 0 D > 0, то есть уравнение (2) имеет два корня y1 и y2.
Графиком функции f(y) = y2
+ 5y + (6 – a) является парабола,
ветви которой направлены вверх, а абсцисса ее вершины равна –2,5.
Следовательно, меньший корень квадратного уравнения не может принадлежать
отрезку [–1; 1]. Для того, чтобы больший корень принадлежал
отрезку [–1; 1], должны выполняться условия f(–1)£0 и f(1)³ 0, то есть
то
есть aÎ[2; 12].
Ответ: при aÎ [2; 12].
5. При каких значениях параметра a выражение 3 + cos x (a cos x + 4sin x) не равно нулю ни при каких значениях x?
Решение. Перефразируем данное задание: при каких значениях параметра a уравнение
3 + cos x (a cos x + 4sin x) = 0 не имеет решений ни при каких значениях x?
3sin2 x + 4sin x cos x + (a + 3) cos2 x = 0.
Так как cos x = 0 не является решением данного уравнения, то 3tg2 x + 4tg x + (a + 3) = 0. Это квадратное уравнение не имеет решений только если D < 0, то есть D = 16 – 12(a + 3) и 16 – 12(a + 3) < 0,
откуда ![]()
Ответ: при ![]()
6. При каких значениях параметра
a уравнение
имеет
единственное решение?
Решение.
Рассмотрим
условие: 
Решим данное уравнение графически.
Рассмотрим графики функций
Чтобы исходное
уравнение имело единственное решение, графики наших функций должны иметь только
одну точку пересечения.
Графиком функции y = 2 + x является прямая, проходящая через точки (0; 2) и (2; 4).

Графиком функции
является
кривая, полученная из графика функции
сдвигом
его на | a | единиц
вправо вдоль оси Ox, если a > 0; на | a |
единиц влево вдоль оси Ox, если a<0.
Единственная точка пересечения получается при a³–2.
Ответ: при aÎ [2; +¥).
7. При каких значениях параметра
a уравнение
имеет
единственное решение?
Решение.
.
Рассмотрим условие: 
Рассмотрим графики функций
Графиком
функции y = x + a является прямая,
параллельная прямой y = x и проходящая через точку (0;
a).

Единственная точка пересечения A при D
= 0, то есть ![]()
При
—
две точки пересечения, а при a Î (–¥; 1) — одна точка пересечения.

Ответ: при 
8. При каких значениях параметра
a уравнение
имеет
ровно четыре корня?
Решение.
x
> 0.
Пусть
Тогда
уравнение 2y2 – y + a = 0
должно иметь два положительных корня, то есть при D>0 y1>0
и y2>0. Таким образом 
откуда
.
Ответ: при ![]()
2. Тематическое планирование и содержание факультатива по теме «Задачи с параметрами. Приложения к решению других задач»
2.1. ЗАДАЧИ С ПАРАМЕТРАМИ НА СОСТАВЛЕНИЕ УРАВНЕНИЙ И НЕРАВЕНСТВ
Пример[3]
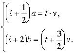
Из одного пункта одновременно и в одном направлении выехали два велосипедиста, первый со скоростью a км/ч, а второй со скоростью b км/ч. Через полчаса в том же направлении выехал третий велосипедист, который, после того как обогнал первого велосипедиста, находился в пути ещё полтора часа пока догнал второго. Определить скорость третьего велосипедиста.
Решение
Заметим сначала, что из условия задачи видно, что b>a. Далее, пусть v – скорость третьего велосипедиста, а t – время, за которое он догнал первого. Тогда имеем систему уравнений

Из первого уравнения находим t=a/(2(x-a)).
Подставляя это t во второе уравнение, приходим к уравнению
.
Дискриминант этого уравнения всегда положителен, так как при b>a
.
Следовательно, само уравнение имеет два вещественных корня
.
Однако, поскольку a<b, то корень уравнения
![]()
оказывается меньше b, что противоречит смыслу задачи. Поэтому это значение v не является решением задачи.
Ответ:
.
Пример[4]
Имеется два раствора йода в спирте. В первом растворе отношение веса йода к весу растворителя равно p, во втором -q. В каком отношении нужно взять эти растворы, чтобы получить раствор, в котором отношение веса йода к весу растворителя было бы равно r?
При каких соотношениях между p, q, r задача имеет решение?
Решение
Пусть требуется взять m первого раствора и n г второго раствора.
Если

Таким
образом, в m г первого раствора содержится
г
йода и
г растворителя.
Аналогично в n г второго раствора содержится
г
йода и
г
растворителя.
В задаче
требуется найти отношение
. По
условию имеем
Отсюда
;
.
Так как
, то
задача имеет решение, когда
или
.
2.2. НЕКОТОРЫЕ ЗАДАЧИ С ПАРАМЕТРАМИ В АНАЛИЗЕ
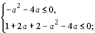
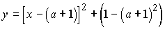
Найти все
значения параметра a, при которых вершины двух парабол
и
лежат по
разные стороны от прямой y=3/4.
Решение
Найдем
координаты вершин. Ясно, что
,
,
.
Вершины лежат по разные стороны от прямой y=3/4, если a удовлетворяет неравенству
.
Отсюда
.
Ответ: Следовательно, условиям задачи удовлетворяют такие a: a>1; --1/4<a<0; -3/2<a<-1/2.
Пример
Решить уравнение
.
Решение
Здесь
контрольными будут те значения параметра, при которых коэффициент при x
обращается в ноль, т.е. решения квадратного уравнения
, a=-1,
a=3. При этих значениях a невозможно деление обеих частей уравнения на
коэффициент при x. Если же
, то
деление возможно. Таким образом, уравнение (1) целесообразно решить отдельно
при:
1) a=-1; 2)
a=3; 3)
.
Рассмотрим эти случаи.
1) При a=-1 уравнение (1) принимает вид 0x=8. Это уравнение не имеет корней.
2) При a=3 уравнение (1) принимает вид 0x=0. Решением уравнения будет любое число.
3) При
получаем
;
, откуда
x=(a-1)/(a+1).
Ответ: при a=-1 корней нет;
при a=3 x – любое;
при
x=(a-1)/(a+1).
Пример
Решить уравнение
.
Решение
При a=0 уравнение (3) теряет смысл и, следовательно, не имеет корней.
При
получим
,
.
Корнями
числителя будут
.
Исключим из этих значений те, при которых знаменатель равен нулю.
Если a=1, то 1-a =0 и корнем уравнения будет только x = - 3/2 .
Если -1-a/2=a, т.е. a=-2/3, то уравнение(3) будет иметь корнем только x=1.
Ответ: 1) если a=-2/3, то x=1;
2) если a=0, то корней нет;
3) если a=1, то x=-3/2.
Пример
Решить неравенство
.
Решение
Рассматриваемое неравенство равносильно следующему
.
Контрольным значением параметра будет a=-1. Нужно рассмотреть следующие случаи: 1) a<-1; 2) a=-1; 3) a>-1.
1) При
a<-1 неравенство равносильно неравенству
или
x>1-a.
2) При a=-1
получаем
, решений
нет.
3) При a>-1 будем иметь a+1>0, и следовательно, неравенство (4) равносильно неравенству x<1-a.
Ответ: 1)
если
, то
;
2) если a=-1, то решений нет;
3) если
, то
.
Пример
Решить неравенство
.
Решение
При a=1 неравенство (5) теряет смысл и, следовательно, не имеет решений.
При
неравенство (5) равносильно неравенству
.
Контрольным
значением параметра будет a=0. В этом случае неравенство (5) верно при
любом
.
Если
,
неравенство (5) равносильно неравенству
.
Значение a=1 также контрольное.
1) Рассмотрим
случай a>1. В этом случае a-1>0 и неравенство равносильно
неравенству
.
Так как при a>1, 1/a<1, то решением неравенства будет
.
2) В случае a<1 неравенство равносильно неравенству
.
Если
0<a<1, то
и
решением неравенства будет
.
Если a<0,
то
и
решением неравенства (5) будет
.
Ответ: 1)
если
, то
;
2) если a=0, то
;
3) если
, то
;
4) если a=1, то решений нет;
5) если
, то
.
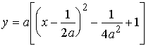
Пример[5]
Найти все значения параметра a, для которых неравенство

выполнено при
всех x, удовлетворяющих условию
.
Решение
Применяя формулы приведения, получим
![]()
;
.
Так как
и
при
,
,
следовательно, sinx+cosx>0.
Так как
, то
неравенство принимает вид
.
Пусть
sin2x=t, тогда при
,
,
.
Таким
образом, задача сводится к нахождению значений a, при которых квадратный
трехчлен
для
всех
. В силу
утверждения 7 это будет выполняться, если

![]()

![]()
.
Ответ:
.
Пример
Для всех значений параметра a решить неравенство
.
Решение
После умножения неравенства на -1 получим
.
Обозначим
.
Корнями
уравнения
будут
и
.
Тогда при a>0 решим неравенство (t+a)(t-a/9)<0 методом интервалов
0<t<a/9,
откуда
.
Прологарифмировав
по основанию, равному 3, получим
.
При a<0
решением неравенства (t+a)(t-a/9)<0 будет интервал (0;-a)
,
. При a=0
неравенство
решений не
имеет.
Ответ: при
a<0
;
при a>0
;
при a=0 решений нет.
Пример
Решить уравнение
.
Решение
Ясно, что параметр a должен удовлетворять неравенству a>1.
Область допустимых значений определяется неравенствами

![]()
На ОДЗ исходное уравнение равносильно уравнению
,
откуда
.
И после перехода к десятичному логарифму

или
.
Дискриминант последнего уравнения D=4(4-lga), таким образом, при ![]()
и
уравнение имеет решения
,
.
при
всех
входит в
ОДЗ,
при
равен 1 и
в ОДЗ не входит.
Ответ:
при
,
при
.
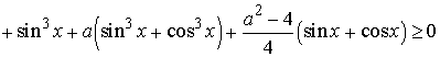
Пример[6]
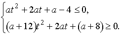
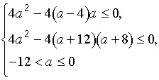
Найти все значения параметра a, при которых неравенство выполняется при всех x
.
Решение
При cosx=0 получаем неравенство
.
Его решения
дают ограничения на a:
.
При
разделим
обе части неравенства на
и сделаем
замену t=tgx, получим систему

Таким образом, чтобы исходное неравенство выполнялось при всех x, параметр a должен удовлетворять системе

![]()

![]()

Ответ:
.
Пример
Пусть f(x)=ax2+bx+c имеет действительные корни x1 и x2, а M – какое-нибудь действительное число, D=b2 -4ас
Утверждение 1. Для того чтобы оба корня квадратного трехчлена были меньше, чем число M (т.е. лежали на числовой оси левее, чем точка M), необходимо и достаточно выполнение следующих условий:
или


Утверждение 2. Для того чтобы один из корней квадратного трехчлена был меньше, чем число M, а другой больше, чем число M (т.е. точка M лежала бы между корнями), необходимо и достаточно выполнение условий:

Или


Утверждение 3. Для того чтобы оба корня квадратного трехчлена были больше, чем число M (т.е. лежали на числовой оси правее, чем точка M), необходимо и достаточно выполнение условий:

Или
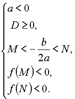
Утверждение 4. Для того чтобы оба корня квадратного трехчлена были больше, чем число M, но меньше, чем число N (M<N), т.е. лежали в интервале между M и N, необходимо и достаточно:

Или


Утверждение 5. Для того чтобы только больший корень квадратного трехчлена лежал в интервале [M,N] (M < N), необходимо и достаточно:

Или
(при этом меньший корень лежит вне отрезка [M, N]).

Утверждение 6. Для того чтобы только меньший корень квадратного трехчлена лежал в интервале [M, N], необходимо и достаточно:

Или

(при этом больший корень лежит вне отрезка [M, N]).

Утверждение 7. Для того чтобы один из корней квадратного трехчлена был меньше, чем M, а другой больше, чем N (M < N), т.е. отрезок [M, N] целиком лежал внутри интервала между корнями, необходимо и достаточно:

Или


Заключение
В процессе обучения учащиеся приобретают умения разбираться в типах и методах решения задач по темам, ставшим популярными в последние годы и на вступительных экзаменах в вузы, и в контрольных измерительных материалах ЕГЭ (текстовые задачи на проценты, на составление системы уравнений и неравенств; задачи с параметрами и модулями).
Решение подобного рода задач открывает перед учащимися значительное число эвристических приемов общего характера, ценных для математического развития личности, применимых в исследованиях и на любом другом математическом материале.
Кроме того, с помощью задач с параметрами обучающемуся на курсе можно проверить свое знание основных разделов элементарной математики, уровень математического и логического мышления, первоначальные навыки исследовательской деятельности, а главное, перспективные возможности успешного овладения курсом математики в профильной школе и, как следствие, в высшем учебном заведении[7].
Список литературы
1. Алгебра и начала анализа 10-11. Учебник для средних школ под редакцией А.Н. Колмогорова. – М.: «Просвещение», 1999.
2. Ангеловски К. Учителя и инновации. М.: «Наука»,1991.
3. Батурина Г., Кузина Т. Традиционная культура воспитания в национальной школе. Педагогика,1995,№2.
4. Башмаков М.И. Уравнения и неравенства. М.: Высшая школа, 1971.
5. Блох А.Ш., Неверов Г.С. Решение неравенств. Минск, 1962.
6. Борисенков В.П., Краевский В.В., Кутьев В.О., Турбовский Я.С. Философия образования. Педагогика,1995, № 4 с.3
7. Волошинов А. В. Математика и искусство. – М.: «Народное образование», 1999.
8. Дорофеев Г.В., Потопов М.К., Розов Н.Х. Пособие для поступающих в ВУЗы. М.: Высшая школа, 1970.
9. Ерина Т.М. Задачи с параметрами. М.: ЮНИТИ-ДАНА, 2004.
10. Зильберберг Н.И. Приобщение к математическому творчеству. Уфа: Башкирское книжное издательство, 1988.
11. Газман О.С. Базовая культура и самоопределение личности. Базовая культура личности: теоретические и методологические проблемы. Сб.науч. тр. Под ред.Газманова О.С. М., Изд.АПН СССР, 1989,
12. Груденов Я.И. Совершенствование методики работы учителя математики. - М.: «Педагогика», 2003.
13. Ивлев Б.М., Саакян С.М., Шварцбург С.И. Дидактические материалы по алгебре и началам анализа для 11 класса. – М.: «Просвещение», 1999.
14. Карп А.П. Даю уроки математики. – М.: «Проспект», 1999.
15. Крылова Н.В. Ребенок в пространстве культуры. М., «Мысль», 1994.
16. Культурология. Под ред. Драча Г.В. Р.-на-Д., Изд. Феникс,1995
17. Математика. Программа для школы, работающей по базисному учебному плану. - М., 1999.
18. Математика. Программа для школ (классов) с углубленным изучением математики. — М., 1994.
19. Математика. Программы для общеобразовательных учреждений. — М.,1994.
20. Метельский Н.В. Психолого-педагогические основы дидактики математики. – М.: «Луч», 1997.
21. Методика преподавания математики в средней школе. Сборник статей. Составитель Петрова М.И. — М.: Учпедгиз, 1997.
22. На путях обновления школьного курса математики. М.: «Педагогика», 2002.
23. Новиков Л.С. Элементы математической логики. М.: Просвещение, 1959.
24. Новые педагогические и информационные технологии в системе образования // Под ред. Е.С. Полат. – М., ACADEMIA, 2001.
25. Савитская Т.П. Ребенок в культуре ХХ века. Знание-сила,1995,№4.
26. Селевко Г.К. Современные образовательные технологии. – М.: «Народное образование», 2002.
27. Столяр А.А. Методы обучения математики. М.: Наука, 1966.
28. Столяр А.А. Педагогика математики. М.: Минск, 1969.
29. Психология. Словарь. М., 1990.
30. Учебные стандарты школ России под ред. В.С Леднева, Н.Д.Никандрова, М.Н. Лазутовой. – М., "Прометей", 1998.
31. Шарыгин И.Ф. Математика для школьников старших классов. — М.: «Просвещение», 1999.
32. Щадриков В.Д. Философия образования и образовательные политики. М., 1993.
33. Якиманская А.В. Способности к усвоению математики/ В кн. Развивающее обучение. – М.: «Просвещение», 2001.
34. Янченко М.М. Задачи с параметрами. М.: Издательство «ДРОФА», 2004.
35. Ястребицкий Г.А. Уравнения и неравенства, содержащие параметры. М.: Высшая школа, 1972.
[1] Янченко М.М. Задачи с параметрами. М.: Издательство «ДРОФА», 2004. С. 12.
[2] Ерина Т.М. Задачи с параметрами. М.: ЮНИТИ-ДАНА, 2004. С. 8.
[3] См.: Ястребицкий Г.А. Уравнения и неравенства, содержащие параметры. М.: Высшая школа, 1972. С. 142.
[4] См.: Башмаков М.И. Уравнения и неравенства. М.: Высшая школа, 1971. С. 66.
[5] Дорофеев Г.В., Потопов М.К., Розов Н.Х. Пособие для поступающих в ВУЗы. М.: Высшая школа, 1970. С. 112.
[6] Блох А.Ш., Неверов Г.С. Решение неравенств. Минск, 1962. С. 176.
[7] Столяр А.А. Методы обучения математики. М.: Наука, 1966. С. 33.