Содержание.
Введение………………………………………………………………………...3
Понятие инноваций и инновационной деятельности………………4
Инновационная деятельность в России и за рубежом……………..6
Приложение…………………………………………………………………..29
Заключение…………………………………………………………………...37
Список литературы…………………………………………………………38 Введение.
Проблема выделения приоритетных направлений науки и технологии в России приобрела особую актуальность в 90-е гг. минувшего века в связи с сокращением бюджетного финансирования этой сферы. С тех пор данной проблеме уделяется постоянное внимание на самых различных уровнях управления.
Большой интерес к этому вопросу не случаен, учитывая постоянно возрастающую роль науки и высоких технологий в развитии общества в современных условиях и ту цену, которую общество вынуждено, так или иначе, платить в любом случае — как за освоение новых технологических достижений, так и за отказ от их использования.
Темой данного работы является «Инновации и инновационная деятельность в РФ и за рубежом».
Актуальность данной темы заключается в том, что грамотная инвестиционная политика государства способствует улучшению инвестиционного климата в стране, усилению притока иностранных инвестиций и развитию экономики как основы процветания страны. Если не финансировать свою фундаментальную науку, то с неизбежностью придется финансировать чужую.
Понятие инноваций и инновационной деятельности.
Проблема инноваций, рассматриваемых в качестве основного фактора динамики промышленности, не является новой. Само понятие «innovation» впервые появилось в научных исследованиях зарубежных культурологов в XX в. и означало введение некоторых элементов одной культуры в другую.
Термин «инновация» происходит от латинского слова «innovato», что означает обновление или улучшение. В общем плане этот термин можно понимать как особую культурную ценность — материальную или нематериальную, — которая в данное время и в данном месте воспринимается людьми как новая. Закономерности технических нововведений стали изучаться в начале XX в.
По некоторым источникам обычно отождествляют понятия «новшество», «новация», «нововведение», «инновация». Любые изобретения, новые явления, виды услуг или методы только тогда получат общественное признание, когда будут приняты к распространению (коммерциализации) и уже в новом качестве выступят как нововведения (инновации).
Принято считать, что понятие «нововведение» является русским вариантом английского слова innovation. Буквальный перевод с английского означает «введение новаций» или в нашем понимании этого слова «введение новшеств».
Под новшеством понимается новый порядок, новый обычай, новый метод, изобретение, новое явление. Русское словосочетание «нововведение» означает процесс использования новшества.
Таким образом, с момента принятия к распространению новшество приобретет новое качество — становится нововведением (инновацией).
Инновация — результат творческой и инвестиционной деятельности, направленной на разработку, изготовление и распространение новых видов товаров, услуг и технологий, организационных форм на уровне фирмы. Целью инновации является повышение конкурентности фирмы, товара и услуг и повышение за счет этого прибыли фирмы.
Инновационная деятельность – деятельность, направленная на использование и коммерциализацию результатов научных исследований и разработок для расширения и обновления номенклатуры и улучшения качества выпускаемой продукции, совершенствование технологии их изготовления с последующим внедрением и эффективной реализацией на внутреннем и зарубежных рынках.
Инновационная деятельность, связанная с капитальными вложениями в инновации, называется инновационно-инвестиционной деятельностью.
При осуществлении инновационной деятельности различаются ее объекты и субъекты. Объектами инновационной деятельности являются разработки техники и технологии предприятиями, находящимися независимо от организационно-правовой формы и формы собственности на территории страны.
Субъекты инновационной деятельности — юридические лица независимо от организационно-правовой формы и формы собственности, физические лица Российской Федерации, иностранные организации и граждане, а также лица без гражданства, участвующие в инновационной деятельности. Права субъектов гарантируются Конституцией Российской Федерации. Среди субъектов могут быть и инноваторы. Инноватор — автор инновации (открытия, изобретения, полезной модели, проектного решения, рацпредложения, ноу-хау, промышленного образца или иного вида инновации).
НТД, как правило, осуществляется в научных организациях (или в ИП). Научная организация — организация (учреждение, ИП), выполняющая НИОКР «в качестве основной деятельности независимо от ее принадлежности к той или иной отрасли экономики, организационно-правовой формы и формы собственности».
Инновационная деятельность в России и за рубежом.
Все отрасли народнохозяйственного комплекса страны в зависимости от уровня конкурентоспособности своей продукции можно разделить на три группы:
1. отрасли, имеющие мировую конкурентоспособность;
2. отрасли, потенциально конкурентоспособные на мировом рынке;
3. отрасли, неконкурентоспособные на мировом рынке.
Первая группа отраслей включает в себя отрасли, которые обладают большим конкурентоспособным потенциалом и давно работают на мировом рынке. Они производят конкурентоспособную продукцию. Это отрасли топливно-энергетического комплекса, химическая и алюминиевая промышленность. Они должны постоянно повышать свой производственно-экономический потенциал, чтобы удержаться на мировом рынке в период кризисов.
Отрасли второй группы производят продукцию, которая по многим параметрам близка к конкурентоспособной на мировом рынке. У них есть все возможности, чтобы выйти на мировой рынок и закрепиться на нем. Для этого им нужна определенная поддержка и помощь государства. К этим отраслям относятся оборонная промышленность, машиностроение и др.
Отрасли третьей группы включают в себя агропромышленный комплекс, легкую и пищевую промышленность, промышленность строительных материалов и др. Их продукция на мировом рынке не котируется. Поэтому они ориентированы главным образом на внутренний российский рынок. Как правило, эти отрасли имеют низкий производственно-экономический потенциал, незначительный объем производства, малорентабельны. Поэтому для выхода на мировой рынок им требуются большие затраты капитала, новая кадровая политика и т. п. Инновационная политика государства для каждой из этих групп отраслей должна осуществляться дифференцировано.
К мерам по государственной поддержке отраслей первой и второй группы можно отнести:
1. внутренний спрос на продукцию этого уровня (вооружение, авиация, ракетно-космическая техника, биотехнология, атомная энергетика, микроэлектроника и т.д.) должен генерироваться государством, а продажа на внешний рынок государством должна контролироваться.
2. Государственная поддержка сбыта продукции на внешний рынок.
3. Государственная поддержка формирования совместных предприятий.
4. Создание и организация функционирования совместных предприятий.
5. Формирование и оплата госзаказа на высокотехнологичную продукцию.
6. Оказание государственного содействия при создании вертикально интегрированных холдинговых структур, включающих в себя научно-исследовательские, опытно-конструкторские, опытные и серийные предприятия путем предоставления головной компании пакета акций.
К мерам по государственной поддержке отраслей третьей группы относятся:
1. Стимулирование внутреннего и внешнего спроса на потребительские товары, выпускаемые российскими предприятиями, путем роста заработной платы.
2. Ипотечное кредитование в целях стимулирования спроса на жилье и товары длительного пользования.
3. Предоставление населению кредитов.
4. Направление бюджетных средств только на приобретение отличной продукции.
5. Развитие лицензионных и сборочных производств предметов потребления совместно с ведущими зарубежными фирмами.
6. Содействие в формировании собственной сбытовой сети.
7. Создание в России информационных систем по всем видам выпускаемой продукции.
В целях государственной поддержки важнейших инновационных проектов по приоритетным направлениям научно-технического прогресса, освоения конкурентоспособных технологий и производств, а также мероприятий по освоению новых видов продукции в 1995г. был создан Федеральный фонд производственных инноваций в соответствии с постановлением Правительства РФ от 26.08.1995г. №827 «О Федеральном фонде производственных инноваций». (1)
Федеральный фонд производственных инноваций – государственная некоммерческая организация. Основными задачами фонда являются:
содействие государственной структурной, научно-технической и промышленной политике на основе поддержки инновационных проектов по приоритетным направлениям научно-технического прогресса;
участие в разработке, в проведении экспертизы и конкурсного отбора и в реализации инновационных проектов, направленных на структурную перестройку экономики и подлежащих реализации при поддержке данного фонда;
поддержка инновационной деятельности, подготовки и освоения производства принципиально новых видов продукции и технологий путем финансирования строительства, реконструкции и технического перевооружения объектов, создания уникальных научно-исследовательских и испытательных установок;
содействие строительству и реконструкции наукоемких производств.
При
Правительстве РФ действует Правительственная комиссия по научно-инновационной
политике В
На 1998-2000 гг. были установлены следующие направления инновационной политики государства.
1. Разработка и усовершенствование нормативно-правового обеспечения инновационной деятельности, механизма ее стимулирования, системы институционных преобразований, защиты интеллектуальной собственности в инновационной сфере и введение ее в хозяйственный оборот.
2. Создание системы комплексной поддержки инновационной деятельности, развития производства, повышения конкурентоспособности и экспорта наукоемкой продукции. В процессе активизации инновационной деятельности необходимо участие не только органов государственного управления, коммерческих структур, финансовых учреждений, но и общественных организаций как на федеральном, так и на региональном уровнях.
3. Развитие инфраструктуры инновационного процесса, включая систему информационного обеспечения, систему экспертизы, финансово-экономическую систему, производственно-технологическую поддержку, систему сертификации и продвижения разработок, систему подготовки и переподготовки кадров. Практика показывает, что причиной отставания является не низкий потенциал отечественных исследований и разработок, а слабая инфраструктура инновационной деятельности, отсутствие мотиваций товаропроизводителей к реализации новшества как способа конкурентной борьбы. Это приводит к невостребованности потенциала отечественной прикладной науки и техники.
4. Развитие малого инновационного предпринимательства путем формирования благоприятных условий для образования и успешного функционирования малых высокотехнологических организаций и оказания им государственной поддержки на начальном этапе деятельности.
5. Совершенствование конкурсной системы отбора инновационных проектов и программ. Реализация в отраслях экономики относительно небольших и быстро окупаемых инновационных проектов с участием частных инвесторов при поддержке государства позволит поддержать наиболее перспективные производства и организации, усилить приток в них частных инвестиций.
6. Реализация критических технологий, приоритетных направлений, способных преобразовать соответствующие отрасли экономики страны и ее регионов. Ключевой задачей формирования и реализации инновационной политики является выбор относительно небольшого числа важнейших базовых технологий, оказывающих решающее влияние на повышение производства и конкурентоспособности продукции в отраслях экономики и обеспечивающих переход к новому технологическому укладу.
7. Использование технологий двойного назначения. Такие технологии могут применяться как для производства вооружений и военной техники, так и для продукции гражданского назначения.
Государственная инновационная политика в базовых отраслях и производствах будет направлена на ускоренное промышленное освоение отечественных и зарубежных научно-технических и технологических достижений мирового уровня, воспроизводство природных ресурсов (минерального сырья, ресурсов питьевых и промышленных вод, ресурсов флоры и фауны и др.)
К формам государственной поддержки научной и инновационной деятельности можно отнести следующее:
прямое финансирование;
предоставление индивидуальным изобретателям и малым внедренческим предприятиям беспроцентных банковских ссуд;
создание венчурных инновационных фондов, пользующихся значительными налоговыми льготами;
отсрочка уплаты патентных пошлин по ресурсосберегающим изобретениям;
реализация права на ускоренную амортизацию оборудования;
создание сети технополисов, технопарков и т. п. (2)
Основными направлениями государственной поддержки инновационной политики являются следующие:
а) содействие повышению инновационной активности, обеспечивающей рост конкурентоспособности отечественной продукции на основе освоения научно-технических достижений и обновления производства;
б) ориентация на всемерную поддержку базисных и улучшающих инноваций, составляющих основу современного технологического уклада;
в) сочетание государственного регулирования инновационной деятельности с эффективным функционированием конкурентного рыночного инновационного механизма, защитой интеллектуальной собственности;
г) содействие развитию инновационной деятельности в регионах России, межрегиональному и международному трансферту технологий, международному инвестиционному сотрудничеству, защита интересов национального инновационного предпринимательства. (2)
В России уже введен ряд льгот по инновационной деятельности малых предприятий. В частности, исключается из налогообложения прибыль, направленная на строительство, реконструкцию и обновление основных производственных фондов, освоение новой техники и технологий. Освобождены от НДС лизинговые платежи малых предприятий, действует упрощенный порядок налогообложения. Малым предприятиям разрешено списывать в первый год эксплуатации до 50% первоначальной стоимости основных фондов со сроком службы более трех лет в качестве амортизационных отчислений.
Созданы специализированные государственные органы – Госкомитет РФ по поддержке и развитию малого предпринимательства, а также Федеральный фонд поддержки малого предпринимательства, главной функцией которого является финансовое обеспечение соответствующих мероприятий, предоставление государственных гарантий под кредиты коммерческих банков и других финансовых структур малых предприятий. Правительством РФ утверждена Федеральная программа государственной поддержки малого предпринимательства, включающая разработку подпрограммы развития и реконструкции малых предприятий, осваивающих новые технологии.
К государственной поддержке инновационной деятельности можно также отнести финансирование НИОКР и инновационных проектов из бюджетных средств. Государственные ассигнования и субсидии могут предоставляться государственному и негосударственному секторам на собственно инновационные цели или на обеспечение инновационной составляющей инвестиций многоцелевого характера. В целях диверсификации инновационных вложений государства возможно создание специализированных государственных холдинговых и инновационных компаний. Важное значение для генерирования нововведений и создания первоначального спроса на инновации имеют государственные контракты на выполнение НИОКР и государственные заказы на инновационную продукцию. Эффективность инновационных процессов повышается при использовании механизмов конкурсности в распределении бюджетных средств.
В условиях ограниченных возможностей бюджетного финансирования инноваций возросла необходимость привлечения средств из дополнительных источников (собственных средств организаций, частных инвестиций и т.д.) то есть внебюджетных средств.
Часто
в средствах массовой информации и даже в научной экономической литературе можно
услышать и прочитать, что СССР (в том числе и Россия) вплоть до начала
экономических реформ в
Советские люди (особенно в России) жили в условиях сплошного дефицита всего (включая свободу), что необходимо для нормальной жизни. В стране не было дефицита только в оружии разного рода, т.е. в средствах уничтожения людей, в том числе массового. Страна имела мощные ракеты, но не имела приличных утюгов. Запад боялся CCCР, но прежде всего потому, что ЦК КПСС и Советское правительство настолько низко ценили жизнь своих людей и, тем более, жизнь народов других стран, что для них ничего не стоило бросить народы даже в пучину войны. Огромные людские потери (около 30 млн. человек) в ВОВ 1941-1945 гг., балансирование на грани ядерной войны во время Карибского кризиса, Афганская война и так называемые локальные конфликты — тому примеры. Такую страну с милитаризованной экономикой и чрезвычайно низким уровнем жизни населения едва ли можно назвать великой экономической державой.
Однако именно милитаризация советской экономики, вызванная стремлением КПСС и Советского правительства обеспечить военное превосходство СССР фактически над всем остальным миром и создать мировую систему социализма советского образца, способствовала мощному развитию не только военной промышленности и научно-исследовательских работ военного назначения в области как технико-технологических, так и естественных наук, но и всей системы общего и профессионального (начального, среднего и высшего) образования в СССР. В соответствии с названными выше целями СССР обязан был производить и производил лучшую в мире (конкурентоспособную на мировых рынках) военную продукцию. Мощные и продуктивные научные исследования в военных целях в значительной мере тянули за собой исследования и разработки гражданского назначения. Что же касается гуманитарных наук, то им фактически отводилась роль идеологического обеспечения этой политики.
Авторитарный советский режим выдохся. Послевоенный патриотизм населения изжил себя: люди хотели жить достойно, как все нормальные люди. Возникла объективная необходимость экономических, социальных и политических реформ в стране.
Как только рухнул тоталитарный правящий режим в лице КПСС, тотчас же развалился и СССР. Режим не выдержал натиска создаваемой демократической политической системы, необходимой для становления и развития социально ориентированной рыночной экономики. Произошли перемены в иерархии нравственных ценностей, непривычные для российских людей. Такая ситуация в России вызвала социально-психологический стресс у населения и пассивное отношение к проводимым экономическим и политическим преобразованиям в государстве.
Вместе с тем, необходимо отметить, что в результате экономических, социальных и политических реформ страна переходит (к сожалению, с большим трудом и серьезными ошибками) к социальной рыночной экономике. Сейчас в стране реально существует институт частной собственности. Граждане России становятся собственниками земли, средств производства, жилья, хозяевами интеллектуальной собственности. Деньги, наконец-то, приобрели реальный смысл и содержание. Создана коммерческая банковская система. Наши магазины по наполнению товарами и качеству обслуживания покупателей сейчас мало чем отличаются от европейских. В стране существует реальная свобода слова, многопартийная политическая система, выборность (пока) практически всех органов власти, свобода передвижения российских граждан по всему миру. Совершенствуется судебная система. Происходит постепенное становление гражданского общества в России. Однако из-за серьезных экономических, социальных и политических ошибок, допущенных властью в ходе проведения реформ, величайшее значение вышеназванных достижений в результате реформ еще не совсем понято и оценено широкими слоями населения.
В последнее десятилетие основным источником пополнения государственного бюджета России является экспорт сырьевых ресурсов (нефти, газа, леса, металлов и др.).
В соответствии с данными Всемирного банка и ООН (табл. 1.1), Россия занимает первое место в мире по объему природного капитала, приходящемуся на душу населения. В России он в 8,6 раза выше, чем в США, в 38 раз выше, чем в Японии, и в 80 раз выше, чем в Китае. Но по эффективности использования природного капитала, оцененной как объем ВВП на душу населения, Россия занимает 57- место в мире, в то время как США занимает 2-е, Япония — 11-е, Китай - 94-е место.
На 9.12.2004 г. золотовалютные резервы России составляют 121,6 млрд. долл. По этому показателю Россия, имея нищее население, находится на втором месте среди ведущих стран мира, уступая только Японии. Кроме того, золотовалютные запасы в нашей стране растут на данном этапе ежегодно на несколько десятков процентов, в основном (к сожалению), за счет экспорта природных ресурсов. Необходимо иметь в виду, что в России имеется еще стабилизационный фонд, составляющий более 500 млрд. руб. Все эти огромные для России средства используются крайне неэффективно. За счет золотовалютных резервов и стабилизационного фонда, находящихся, главным образом, в виде ценных бумаг за рубежом, Россия кредитует экономику западных стран, прежде всего США, Германии, Великобритании, под 2-4% в год, в то время как стоимость валютных кредитов в России для отечественной экономики составляет 7-10 % годовых.
Таблица 1.1.
Величина природного капитала и ВВП, приходящихся на душу населения, в России, США, Японии и Китае.
![]() |
Убытки в экономике России из-за неправильных действий руководства РФ и коррупции покрываются фактически за счет крайне низкого уровня жизни основной массы населения. В развитых странах доля заработной платы составляет около 70% от ВВП, в России — около 30%. Вместе с тем, российский рабочий на 1 доллар заработной платы производит продукции на 4,6 доллара, а американский — на 1,7 доллара. Это значит, что степень эксплуатации рабочей силы в России примерно в 3 раза выше степени эксплуатации рабочей силы в США.
Выше была кратко изложена сложившаяся к настоящему времени экономическая ситуация в России. Ее нельзя назвать радужной. Возможно, ли ее изменить радикально в лучшую сторону в ближайшие 5-7 лет? Представляется, что это возможно сделать, если доминирующим вектором развития экономики России будет инновационная экономика — экономика, основанная на современных знаниях, научных достижениях, на вложении инвестиций в развитие и внедрение инновационных технологий производства товаров и услуг, на эффективном использовании мощных природно-сырьевых ресурсов страны.
Задача
удвоения ВВП к
Однако,
во-первых, это вовсе не означает, что уровень жизни населения возрастет в два
раза. Во-вторых, вопреки правительственным заявлениям задача удвоения ВВП на
самом деле не является амбициозной, так как существующий объем ВВП в расчете на
душу населения для такой страны, как Россия с ее богатейшими природными и
интеллектуальными ресурсами, чрезвычайно мал (табл. 1.1). Необходимый для решения этой задачи
темп роста ВВП был достигнут уже в
Одним
из основных направлений инвестирования должны быть фундаментальные научные
исследования и разработка на их основе принципиально новых (прорывных)
наукоемких технологий производства товаров и услуг. Сейчас Россия еще реально
способна бороться за приоритет 12-17 наукоемких технологий из тех примерно 50,
которые определяют стратегический потенциал развитых стран. Распад СССР
сократил экспорт российской наукоемкой продукции примерно в 10 раз. Если в
начале 1990-х гг. доля России в мировом объеме заявок на изобретения составляла
16,2%, а выданных патентов — 33,4 %, то к концу десятилетия доля заявок на
изобретения снизилась в 6,6 раза (2,9%), а патентов — почти в 13 раз (2,6%).
Объем нашего внутреннего рынка инновационной продукции составляет всего лишь
40 млн. долл. Это чрезвычайно мало (
0,07%) на
фоне мирового, равного 60 млрд. долл. Встает вопрос, чего в России сегодня
недостает: нет достаточного количества и качества наукоемких инновационных
технологий, способных успешно конкурировать на соответствующих мировых рынках,
внедрения соответствующих средств? Представляется, что пока есть и то и другое.
А вот чего нет, так это проведения российским правительством в жизнь
последовательной государственной инновационной политики в сфере экономики. И
это при том, что задача развития отечественной науки и технологий отнесена
Президентом РФ к числу высших приоритетов Российского государства и имеются
основательно разработанные и одобренные на совместном заседании Совета
Безопасности РФ, президиума Государственного совета и Совета при Президенте РФ
по науке и высоким технологиям и утвержденные Президентом РФ 30 марта
Если
по объему ВВП в
Таблица 1.2.
Внутренние затраты на исследования и разработки,
численность и рейтинг по уровню жизни населения в России и странах ОЭСР среди 173 стран мира в

В
табл. 1.2 приведены также численность населения, внутренние затраты на
исследования и разработки (ИР) в государствах Организации экономического
сотрудничества и развития (ОЭСР) в
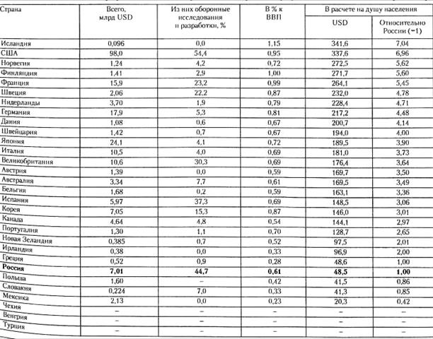
Что касается средств, выделяемых на исследования и разработки из государственного бюджета, то по этим показателям картина примерно такая же (табл. 1.3): в расчете на душу населения Россия вновь находится в конце списка стран ОЭСР.
Таблица 1.3.
![]()
![]()


Ассигнования
на исследования и разработки в России и странах ОЭСР из средств
государственного бюджета в
Кроме того, российские ученые и специалисты активно уезжают из страны. Это происходит, прежде всего, из-за низкой заработной платы, отсутствия необходимых условий для научно-исследовательской работы (недостатка современных приборов и оборудования, зарубежной и отечественной научной литературы и т. п.) и др. Заработная плата ученых за рубежом, даже с учетом патента покупательной способности валют, в десятки раз выше заработной платы ученых такого же уровня в России. Так, в США заработная плата молодых специалистов с ученой степенью магистра по специальностям «химия», «химическая технология» составляет 3000-4000 долл. в месяц, в области космонавтики и аэронавтики до 35000 долл. в месяц; молодые доктора наук получают 4000-5000 долл. в месяц.
В
табл. 4 приведены данные по общей численности, а также в расчете на 10 000
человек экономически активного населения персонала, занятого исследованиями и
разработками, и исследователей из них. Как видно из таблицы, Россия по общей
численности персонала находится на 1-м месте среди стран ОЭСР, по численности
исследователей — на 3-м месте и по общей численности персонала в расчете на 10
000 человек экономически активного населения занимает 3-е место (с учетом
данных для США эти благоприятные для России показатели ухудшатся на единицу). А
вот по числу исследователей на 10 000 человек экономически активного населения
Россия занимает 10-е место и существенно отстает от Финляндии, Швеции, Японии,
США и др. инновационно активных стран. А ведь именно эта категория работников
научно-технической сферы играет ведущую роль в развитии науки и технологий. В связи
с этим настораживает одна из рекомендаций Международной комиссии ОЭСР, выданная
в
Таблица 1.4
Персонал, занятый исследованиями и разработками, в России и странах ОЭСР (в эквиваленте полной занятости).
Данные по России представлены за
![]() |
Число исследователей в России продолжает снижаться. Только за
последние 10 лет Россию покинуло около 7 млн. человек, в основном, специалисты с высшим образованием. Среди них, по оценке Центра исследований статистики и науки (ЦИСН), за период 1995-2002 гг. заграницу уехало 10,4 тыс. ученых из сферы «Наука и научное обслуживание». Разумеется, уехали не худшие кадры. Уехал даже Нобелевский лауреат. В стратегическом плане Российское государство от эмиграции квалифицированных специалистов потерпело убытки в размере сотен миллиардов долларов США и, следовательно, на эту же сумму оказало гуманитарную помощь зарубежным странам в развитии науки и экономики. Если бы вложить эти деньги в российское образование, науку и инновации, то Россия пошла бы резко в гору в социально-экономическом развитии.
Слабое финансирование НИОКР привело к тому, что доля России на мировом рынке наукоемкой продукции составляет мизерную величину (0,13%). Она в 192 раза меньше, чем доля США, в 84,6 раза меньше, чем доля Японии, и в 15,4 раза ниже, чем доля Китая (табл. 1.5). Даже если учесть разницу в численности населения стран, то картина качественно не изменится.
Таблица 1.5
Доля наукоемкой продукции некоторых стран на мировых рынках
|
Страны |
Россия |
Китай |
Южная Корея |
Сингапур |
Япония |
США |
Евросоюз |
|
Доля наукоемкой продукции на мировых рынках, % |
0,13 |
2,0 |
4,0 |
7,0 |
11,0 |
25,0 |
35,0 |
|
Доля наукоемкой продукции на мировых рынках относительно России (=1,0) |
1,0 |
15,4 |
30,8 |
53,8 |
84,6 |
192 |
269 |
Снижение финансирования фундаментальных исследований привело к снижению
инновационных технологических разработок в России. В
Чтобы реализовать инновационно-технологический путь развития России, необходимо разрабатывать свои, принципиально новые технологии по всем видам экономической деятельности на основе новых знаний, добытых в результате фундаментальных научных исследований, и внедрять их в опытное, серийное или промышленное производство или (что хуже) покупать чужие технологии. Для этого в субъектах Российской Федерации должны быть созданы и развиты региональные инновационные структуры как составные части национальной инновационной системы России, которые могли бы оказывать исследователям, разработчикам, менеджерам, властным структурам, всем, кто, так или иначе, связан с инновационно-технологической деятельностью, следующие услуги: информационные, организационные, инвестиционные, экспертные, консалтинговые, юридические, аудиторские и образовательные.
При производстве и реализации инновационной продукции предприятиям на определенный начальный период должны быть предоставлены налоговые льготы, стимулирующие их инновационную деятельность.
Должна быть развита система подготовки и переподготовки научных,
инженерно-технических и рабочих кадров. Российская система высшего образования
за годы экономических реформ не ухудшила своих показателей по численности
студентов. Напротив, их число увеличивается из года в год. По численности
студентов, аспирантов и докторантов в расчете на 10 000 человек населения
Россия «окружена» такими развитыми странами, как Великобритания и Франция, но
отстает в 1,8 раза от Финляндии и в 1,62 раза от США. Однако в качественном
отношении уровень подготовки российских специалистов с высшим образованием (за
исключением специалистов по теоретическим дисциплинам) традиционно остается
ниже уровня подготовки соответствующих специалистов в европейских странах. Это
является следствием, прежде всего, слабой технической оснащенности вузов
России. Кроме того, вопреки распространенному в России мнению доступность
образования в России на самом деле остается одной из самых низких среди 30
стран ОЭСР. Главными причинами этого явления по-прежнему остаются низкое
финансирование образования в России (относительно ВВП (около 3% в
На данном этапе Российское государство обязано радикально (в несколько раз) увеличить государственное финансирование системы высшего образования в рамках Министерства образования и науки РФ с его университетами, институтами и научно-исследовательскими подразделениями в вузах. Государство обязано поддержать Российскую академию наук с ее исследовательскими институтами в стремлении быть лидером не только в области фундаментальных научных исследований, но и в создании на базе этих институтов государственных академических университетов и интеграции науки и высшего образования. Необходимо помнить, что и сейчас, в трудные для России годы, фундаментальные научные исследования, особенно в области естественных наук, держатся, главным образом, на академических государственных учреждениях с их высоким интеллектуальным потенциалом. К делу развития и финансирования профессионального (не только начального и среднего, но и высшего) образования и исследований в области естественных и гуманитарных наук должны подключиться регионы страны с их региональными бюджетами.
В табл. 6 приведены некоторые параметры экономического и социального развития России и их рейтинги среди других государств мира. Как видно, Россия занимает 1-е место по величине территории, 7-е место по численности населения, 1-е место по объему природного капитала в расчете на душу населения. Россия имеет 99,6% грамотного населения. Россия — одна из немногих стран мира, имеющая столь благоприятные «природные» параметры для своего экономического процветания. На самом деле в настоящее время в экономическом отношении она находится, как следует из данных табл. 20, на обочине европейской цивилизации. Уже около 15 лет Россия стремится построить социально ориентированную рыночную экономику.
Пока имеем весьма скромные результаты и рост ВВП всего лишь около 7%. Это обусловлено, прежде всего, непоследовательностью и серьезными ошибками в проведении экономических реформ, грабительской приватизацией государственной собственности, чудовищной коррупцией в органах государственной власти и управления, мощным оттоком капитала за границу, низкой инвестиционной привлекательностью России для отечественных и иностранных инвесторов, резким снижением финансирования образования, фундаментальных и прикладных научных исследований, отсутствием развитой национальной инновационной структуры и др. Однако, эти негативные явления могут и должны быть исключены при соответствующей политической воле руководства страны. Властные структуры обязаны, наконец, обеспечить приоритетное вложение средств в образование и науку (т. е. в знания), в разработку и внедрение инновационных (прорывных) наукоемких (особенно информационных) технологий в машиностроение, приборостроение, перерабатывающие отрасли промышленности и сельского хозяйства, легкую промышленность, медицину и др., в закупку новейших технологий за рубежом.
Таблица 1.6
Некоторые параметры экономического и социального развития России
![]()

Для этого необходимо эффективно использовать доходы от сырьевых отраслей экономики, природную ренту, золотовалютные резервы, внебюджетные фонды. Стабильная макроэкономическая политика государства, открытость международной торговли, надлежащее управление, учреждения, свободные от коррупции и чрезмерного бюрократизма, а также развитая рыночная инфраструктура — все это будет способствовать улучшению инвестиционного климата в России, усилению притока иностранных инвестиций и обеспечит инновационный путь развития экономки как основы процветания нашей страны.
ПРИЛОЖЕНИЕ.
Постановление правительства РФ
“Об утверждении федеральной целевой программы “Российская инжиниринговая сеть технических нововведений”
В целях создания межрегиональной и межотраслевой сети инжиниринговыхцентров, обеспечивающих разработку и реализацию инновационных проектов, повышение наукоемкости производственной сферы и конкурентоспособность инновационных секторов экономики в регионах России, Правительство Российской Федерации постановляет:
1. Утвердить прилагаемую федеральную целевую программу “Российская инжиниринговая сеть технических нововведений” (далее именуется - программа “Инжинирингсеть России”), представленную Министерством экономики Российской Федерации и согласованную с Министерством финансов Российской Федерации, Министерством науки и технической политики Российской Федерации, заинтересованными федеральными органами исполнительной власти и органами исполнительной власти субъектов Российской Федерации.
2. Возложить функции государственного заказчика программы “Инжинирингсеть России” на Министерство экономики Российской Федерации.
3. Министерству экономики Российской Федерации и Министерству финансов Российской Федерации предусмотреть выделение средств на финансирование мероприятий программы “Инжинирингсеть России” при разработке проекта федерального бюджета на очередной финансовый год.
Федеральная целевая программа
“Российская инжиниринговая сеть технических нововведений” (выдержки)
Федеральная целевая программа “Росссийская инжиниринговая сеть технических нововведений” (далее именуется - Программа) разработана в соответствии с поручением Правительства Российской Федерации от 4 августа 1995г. N АЗ-П8-23700 и является развитием одноименной федеральной инновационной программы, одобренной постановлением Правительства Российской Федерации от 15 апреля 1994г. N 322 (Собрание актов Президента и Правительства Российской Федерации, 1994, N17,ст.1438).
Основные исполнители:
Предприятия и организации Государственного комитета Российской Федерации по высшему образованию, Государственному комитету Российской Федерации по оборонным отраслям промышленности, Комитета Российской Федерации по машиностроению, а также органы исполнительной власти субъектов Российской Федерации.
Основные разработчики:
Ассоциация центров инжиниринга и автоматизации, Центр наукоемкого инжиниринга при Санкт-Петербургском государственном техническом университете Государственного комитета Российской Федерации по высшему образованию.
Цели и задачи Программы, важнейшие целевые показатели:
Создание инжиниринговой сети технических нововведений федерального, регионального и отраслевого уровней. Сокращение сроков разработки и реализации инновационных проектов, повышение наукоемкости производственной сферы промышленности и конкурентоспособности изготовляемой продукции.
Решение задач по созданию организационной, методической, инструментальной и технологической базы для оснащения инжиниринговых центров сети и проведения отработки основных решений в региональных и отраслевых пилотных проектах.
Перечень основных направлений Программы:
Программа включает в себя четыре направления:
-создание федеральной инжинирингсети;
- формирование организационной и научно-технической базы инжинирингсети России;
- создание инжинирингсетей регионов;
- создание отраслевых инжинирингсетей.
Ожидаемые конечные результаты:
Формируемая федеральная инфраструктура инжинирингсети будет содержать не менее 30-40 региональных инжиниринговых сетей, оснощенных организационно-техническими средствами, что позволит содействовать экспорту отечественных наукоемких видов продукции и услуг. Будет создано около 80-100 тыс. престижных рабочих мест для ИТР и будут созданы условия инвестиционной активности из внебюджетных источников финансирования в ценре и на местах. Достижение объема выполняемых инжиниринговых проектов каждым центром инжинирингсети до 800-1000 млн. рублей в год.
Система контроля за исполнением Программы:
Контроль за исполнением Программы осуществляет Министерство экономики Российской Федерации (Департамент машиностроения и Департамент структурной и инновационной политики).
Создаваемая инфраструктура должна способствовать разрушению межотраслевых барьеров, развивать взаимодействие между различными областями и направлениями науки, техники, отраслей, активизировать инновационную деятельность в регионах. Инновационное развитие может прогрессировать лишь в условиях взаимообогащения идеями, знаниями без географических и ведомственных ограничений. Создаваемая инфраструктура инжинирингсети выполняет роль интеграционной составляющей в инновационной сфере на международном, федеральном, региональном и отраслевом уровнях. Инжиниринговые центры инфраструктуры накапливают результаты инновационной деятельности, делая их доступными, и обеспечивают связь между субъектами экономических процессов.
При выполнении заказа центрами инжинирингсети обеспечивается оптимальная интеграция специалистов, технологий организаций для каждого конкретного проекта. Распределенная база данных позволяет в кротчайшие сроки с помощью компьютеризированной информационной системы сделать необходимый выбор высокоэффективных технологий и оборудования, сформировать наилучший временный коллектив специалистов и комплекс предприятий для создания в кратчайшие сроки системы “под ключ”.Такая организация инновационного процесса позволяет быстро получать экономические результаты.
Особую актуальность приобретает задача формирования инжинирингсети России в условиях дефицита инвестиций. Быстрое увеличение объема выпускаемых товаров и услуг в таких условиях невозможно. В подобной ситуации стратегически перспективными являются инвестиции, направленные не на прямое увеличение объемов товаров и услуг, а значительно меньше инвестиции, направляемые на создание инфраструктур, определяющих не объемы, а темпы роста производства. Именно такой, обеспечивающей темпы развития, должна стать инжиниринговая сеть технических нововведений.
Основной целью Программы является создание инжиниринговой сети технических нововведений федерального, регионального и отраслевого уровней. Созданные и создаваемые в будущем инжиниринговые центры предназначены для разработки и реализации инновационных проектов, связанных с повышением технического уровня производственного потенциала и качества выпускаемой продукции.
Программа является необходимым компонентом в системе мероприятий по структурной реорганизации экономики страны и государственной инновационной политике.
Кроме того, при реализации Программы достигается:
ускоренное создание предприятий малого бизнеса;
активизация конверсируемых предприятий за счет формирования холдингинжиниринговых сетей, а с их помощью - производственных холдинговых объединений на базе подразделений конверсируемых предприятий;
формирование распределенной среды для подготовки кадров нового поколения постиндустриального развития в XXI веке;
создание условий для системного и ускоренного решения проблемы экологического обеспечения;
международная интеграция научных и технических достижений в инжинирингсети, обеспечивающая ускорение интеллектуально-технического развития.
Программа предусматривает концентрацию государственных, региональных и международных научно-технических ресурсов на создании принципиально новой сетевой инфроструктуры, оснащенной интеллектуально, технически, инструментарием и способной проводить государственную научно-техническую политику.
Основными чертами создаваемой инфроструктуры инжиниринга являются высококачественное обслуживание заказчика и нацеленность на реализацию объекта “под ключ” с оптимальной интеграцией уже существующих высокоэффективных технологий и знаний, принадлежащим различным школам и странам.
Управлени Программой построено по иерархическому принципу. Оперативное руководство, коорджинация и контроль за исполнением программы осуществляет государственный заказчик Программы — Министерство экономики РФ (Департамент машиностроения и Департамент структурной и инновационной политики).
Генеральным подрядчиком по реализации заданий, предусмотренных Программой, определена государственным заказчиком Ассоциация центров инжиниринга и автоматизации с возложением на нее функций Дирекции Программы. Дирекция организует выполнение работ по Программе и обеспечит функционирование инжиниринговой сети и ее центров. Вцелях рационального использования средств, выделяемых на Программу, и достижения высокого качества исполнений Дирекция организует тендер заказных проектов среди потенциальных исполнителей, использую для этого создаваемые по согласованию с государственным заказчиком Эксперной Программы.
Решение о создании регионального (отраслевого) инжинирингового центра принемается Дирекцией Программы совместно с администрации региона (отрасли, предприятия) и закрепляется совместным приказом и другими учредительными документами. Организационное, финансовое, правовое воздействие Дирекции Программы с каждым участником Программы определяется контактно. Взаимодействие с контрагентами, юридическими и физическими лицами регламентируется договорами установленной формы.
Для контроля за ходом выполнения Программы будут использованны машинно-ориентированные документы, которые позволяют фиксировать завершение работы с регистрацией плановых и учетных значений в реальном времени.
В целом инжинирингсеть России строится как открытая система, организационное и количественное наполнение которой будет продолжаться и за рамками 1998 года.
Председатель Правительсва РФ В. Черномырдин
Москва, 4 декабря 1995 года, № 1207.
Постановление Правительства РФ
“О федеральной инновационной программе “Российская инжиниринговая сеть технических нововведений”
В целях создания сети инжиниринговых центров по внедрению научно-технических нововведений, повышение темпов научно-технического прогресса и соджействия ускорению структурной перестройке экономики России Правительство РФ постановляет:
1. Одобрить представленный Министерством экономики РФ и согласованный с Министерством науки и технической политики РФ, Министерством финансов РФ, Государственным комитетом РФ по промышленной политики, Государственным комитетом РФ по высшему образованию, Государственным комитетом РФ по оборонным отраслям промышленности, Комитетом РФ по машиностроению и соответствующими органанами госуударственой власти заинтересованных субъектов РФ проект федеральнеой инновационной программы “Российская инжиниринговая сеть технических нововведений” (далее именуется — программа “Инжинирингсеть России”).
2. Определить в качестве государственного заказчика, обеспечивающего выполнение программы “Инжинирингсеть России”, Министерство экономики РФ.
3. Министерству экономики РФ подготовить необходимые материалы для внесения проекта программы “Инжинирингссеть России” Федеральное Собрание для утверждения в установленном порядке.
Председатель Правительства РФ В. Черномырдин.
Москва, 15 апреля 1994 года, № 322.
ПОСТАНОВЛЕНИЕ ПРАВИТЕЛЬСТВА РФ
"О Федеральном фонде производственных инноваций"
В целях государственной поддержки важнейших инновационных проектов по приоритетным направлениям научно-технического прогресса, освоения конкурентоспособных технологий и производств, а также мероприятий по освоению новых видов продукции Правительство Российской Федерации постановляет:
1. Принять предложение Министерства экономики Российской Федерации, согласованное с Министерством юстиции Российской Федерации, Министерством финансов Российской Федерации, Государственным комитетом Российской Федерации по управлению государственным имуществом, Государственным комитетом Российской Федерации по промышленной политике, Министерством науки и технической политики Российской Федерации, Государственным комитетом Российской Федерации по высшему образованию и Комитетом Российской Федерации по патентам и товарным знакам, о создании Федерального фонда производственных инноваций (далее именуется - Фонд) в качестве государственной некоммерческой организации.
Основными задачами Фонда являются:
содействие государственной структурной, научно-технической и промышленной политике на основе поддержки инновационных проектов по приоритетным направлениям научно-технического прогресса;
участие в разработке, проведении экспертизы и конкурсного отбора и реализации инновационных проектов, направленных на структурную перестройку экономики и подлежащих реализации при поддержке Фонда;
поддержка инновационной деятельности, подготовки и освоения производства принципиально новых видов продукции и технологий путем финансирования строительства, реконструкции и технического перевооружения объектов, создания уникальных научно-исследовательских и испытательных установок;
содействие строительству и реконструкции наукоемких производств.
2. Министерству экономики Российской Федерации и Министерству финансов Российской Федерации предусматривать начиная с 1996 года выделение государственных инвестиций для Фонда отдельной строкой в Федеральной инвестиционной программе в размере 1,5 процента государственных централизованных капитальных вложений.
3.
Министерству финансов Российской Федерации обеспечить выделение в1995 году
Фонду 10 млрд. рублей за счет средств Федеральной инвестиционной программы,
направляемых на реализацию быстроокупаемых коммерческих проектов в соответствии
с Указом Президента Российской Федерации от 17 сентября
4. Согласиться с предложением Государственного комитета Российской Федерации по управлению государственным имуществом и Государственного научного центра Российской Федерации — Всероссийского научно-исследовательского и проектно-конструкторского института металлургического машиностроения имени А.И. Целикова о размещении Фонда на условиях аренды по адресу: г. Москва, Рязанский проспект, д. 8-а.
5. Министерству экономики Российской Федерации совместно с Министерством финансов Российской Федерации в месячный срок разработать и утвердить устав Фонда. Министерству юстиции Российской Федерации в установленном порядке осуществить его регистрацию.
Председатель Правительства РФ В. Черномырдин.
Москва, 26 августа 1995 года, № 827
ПОСТАНОВЛЕНИЕ ПРАВИТЕЛЬСТВА РФ
Положение
“О Фонде содействия развитию малых форм предприятий в научно-технической сфере”
1. Фонд содействия развитию малых форм предприятий в научно-технической сфере (далее именуется - Фонд) образован для развития малого предпринимательства в научно-технической сфере (создание малых наукоемких фирм инкубаторов бизнеса, инновационных, инжиниринговых центров и др.), а также поощрения конкуренции в научно-технической сфере путем оказания финансовой поддержки высокоэффективным наукоемким проектам, разрабатываемым малыми предприятиями.
2. Фонд является государственной некоммерческой организацией и осуществляет свою деятельность совместно с Министерством науки и технической политики Российской Федерации и Фондом поддержки предпринимательства и развития конкуренции Государственного комитета Российской Федерации по антимонопольной политике и поддержке новых экономических структур в рамках федеральной и региональных программ государственной поддержки малого предпринимательства в Российской Федерации.
3. Фонд является юридическим лицом, имеет расчетный и иные счета в учреждениях банков, в том числе зарубежных, печать с изображением Государственного герба Российской Федерации и со своим наименованием. Фонд имеет свой баланс и право оперативного управления находящимся в его распоряжении государственным имуществом. Фонд отвечает по своим обязательствам находящимися в его распоряжении имуществом и денежными средствами.
4. В своей деятельности Фонд руководствуется Конституцией Российской Федерации, другими законодательными актами Российской Федерации, указами и распоряжениями Президента Российской Федерации, постановлениями и распоряжениями Правительства Российской Федерации, а также настоящим Положением.
5. Основными задачами Фонда являются:
содействие проведению государственной политики формирования рыночных отношений в научно-технической сфере путем поддержки создания и развития инфраструктуры малого инновационного предпринимательства, поощрения конкуренции через привлечение финансовых ресурсов и их целевое и эффективное использование для реализации программ и проектов по созданию производства наукоемких продуктов;
участие в разработке, проведении экспертизы, конкурсном отборе и реализации федеральных, отраслевых, региональных программ и проектов, обеспечивающих демонополизацию процесса создания и освоения новых технологий, насыщение рынка произведенными на их основе конкурентоспособными товарами;
содействие созданию новых рабочих мест для эффективного использования имеющегося в Российской Федерации научно-технического потенциала;
поддержка освоения и внедрения новых технологий и "ноу-хау" с использованием патентов и лицензий;
привлечение на конкурентной основе субъектов малого предпринимательства, отечественных и иностранных инвесторов к реализации государственных научно-технических программ и заказов.
6. Для реализации основных задач Фонд имеет право:
предоставлять для реализации федеральных, региональных и отраслевых программ и высокоэффективных проектов малого инновационного предпринимательства финансовую помощь на возвратной основе с оплатой за использование средств федерального бюджета в размере до 1/2 действующей учетной ставки Центрального банка Российской Федерации, выступать залогодателем, поручителем, гарантом по обязательствам юридических и физических лиц;
контролировать целевое использование финансовых средств, выделяемых Фондом хозяйствующим субъектам или получаемых ими при содействии Фонда, и приостанавливать финансирование в случае выявления нарушений целевого использования средств;
принимать долевое участие в создании хозяйствующих субъектов, в том числе с иностранным участием, специализированных учебных и консультационных организаций;
создавать временные творческие коллективы, в том числе с привлечением иностранных специалистов;
финансировать мероприятия по подготовке и повышению квалификации кадров для малого предпринимательства в научно-технической сфере;
финансировать научные исследования, экспертизу проектов, научно-практические конференции, симпозиумы, выставки и другие мероприятия, в том числе международные, связанные с основными направлениями деятельности Фонда;
осуществлять рекламно-издательскую деятельность и иметь свой печатный орган;
осуществлять в установленном порядке внешнеэкономическую деятельность, участвовать в международных программах и соглашениях;
организовывать обучение, переподготовку и повышение квалификации специалистов за рубежом;
открывать отделения, филиалы и представительства Фонда в порядке, установленном действующим законодательством;
осуществлять иную деятельность в соответствии со своими задачами.
7. Источниками формирования средств Фонда являются:
бюджетные ассигнования в размере 0,5 процента средств, предусматриваемых ежегодно в федеральном бюджете на финансирование науки;
добровольные взносы предприятий, учреждений, организаций и граждан, в том числе иностранных юридических и физических лиц;
иные поступления от деятельности Фонда.
8. Фонд не имеет целью своей деятельности извлечение прибыли. Поступления от деятельности Фонда остаются в его распоряжении и направляются на реализацию задач, предусмотренных настоящим Положением. Не использованные в отчетном году бюджетные средства Фонда изъятию не подлежат.
9. Средства Фонда используются только на цели, предусмотренные настоящим Положением, а также на содержание аппарата Фонда.
10. Контроль за деятельностью дирекции Фонда осуществляет наблюдательный совет Фонда, действующий на коллегиальной основе.
В состав наблюдательного совета Фонда входят представители Министерства науки и технической политики Российской Федерации, Министерства экономики Российской Федерации, Министерства финансов Российской Федерации, Государственного комитета Российской Федерации по высшему образованию, Государственного комитета Российской Федерации по промышленной политике, Комитета Российской Федерации по патентам и товарным знакам, Российской академии наук.
Наблюдательный совет Фонда возглавляется председателем совета. Член наблюдательного совета Фонда одновременно не может входить в состав дирекции Фонда.
11. Наблюдательный совет Фонда:
определяет основные направления и порядок использования средств Фонда;
осуществляет контроль за деятельностью дирекции Фонда с точки зрения ее правомерности, целесообразности, коммерческой необходимости;
заслушивает отчеты о деятельности дирекции Фонда;
рассматривает результаты ревизий деятельности Фонда;
разрабатывает предложения по выделению бюджетных ассигнований, в том числе валютных ресурсов, по направлениям деятельности Фонда.
Решения наблюдательного совета Фонда принимаются большинством голосов. Заседания наблюдательного совета Фонда правомочны, если на них присутствовало не менее четырех его членов.
12. Генеральный директор Фонда и его заместители назначаются, а персональный состав наблюдательного совета Фонда утверждается решением Правительства Российской Федерации.
13. Постоянно действующим исполнительным и распорядительным органом Фонда является дирекция Фонда. В состав дирекции входят генеральный директор Фонда, его заместители и руководители основных подразделений Фонда.
14. Генеральный директор Фонда организует деятельность Фонда и несет ответственность за ее результаты, обеспечивает выполнение решений дирекции и наблюдательного совета Фонда, принятых в соответствии с их компетенцией, принимает на работу и увольняет сотрудников Фонда, утверждает положения о филиалах, отделениях и представительствах Фонда, без доверенности действует от имени Фонда, совершает сделки, выступает в суде, арбитражном суде и третейском суде, выполняет другие функции по вопросам деятельности Фонда.
15. Структура, штатное расписание, условия оплаты труда работников Фонда устанавливаются дирекцией Фонда в пределах средств Фонда и сметы расходов на содержание аппарата Фонда, согласованной с наблюдательным советом Фонда.
16. Ежегодное проведение ревизий финансово-хозяйственной деятельности Фонда организует Министерство финансов Российской Федерации.
17. Бухгалтерский учет и отчетность Фонда ведутся в порядке, установленном законодательством Российской Федерации.
18. Деятельность Фонда прекращается по решению Правительства Российской Федерации.
Правительство РФ.
Москва, 3 февраля 1994 года, №65.
Заключение.
В настоящее время инновационная деятельность является одной из наиболее слабых звеньев в формировании рыночной инфраструктуры России, а это, в свою очередь, напрямую влияет на уровень конкурентоспособности отечественных товаров на внутреннем и внешнем рынке.
Чтобы реализовать инновационно-технологический путь развития России, необходимо разрабатывать свои, принципиально новые технологии по всем видам экономической деятельности на основе новых знаний, добытых в результате фундаментальных научных исследований, и внедрять их в опытное, серийное или промышленное производство или покупать чужие технологии. Для этого в субъектах Российской Федерации должны быть созданы и развиты региональные инновационные структуры как составные части национальной инновационной системы России.
Список литературы.
1. Гражданский кодекс Российской Федерации. – М.: ИНФРА-М, 1996.
2. Инновационный менеджмент: Справ. пособие / под ред. П.Н. Завлина, А.К. Казанцева, Л.Э. Миндели. – СПб.: Наука, 1997.
3. Инновационный менеджмент. Учебник для вузов / С.Д. Ильенкова, Л.М. Гохберг, С.Ю. Ягудин и др.; Под ред. С.Д. Ильенковой. – М.: Банки и биржи, ЮНИТИ, 1997.
4. “Инновационный
процесс в странах развитого капитализма”, МГУ,
5. “Коммерческая
реализация новшеств”, М.,
6. “Необходимость
и предпосылки новой инновационной политики” // Вопросы экономики,
7. Положение “О Фонде содействия развитию малых форм предприятий в научно-технической сфере”, Москва, 26.08.1995 года, № 827
8. Постановление Госстроя РФ "О сопровождении государственных инвестиционных программ", Москва, 3.06.1993 г. , № 18-19.
9. Постановление Правительства РФ "О Государственном комитете Российской Федерации по поддержке и развитию малого предпринимательства", Москва, 28.11.1995 г. , №1045
10. Постановление Правительства РФ “О федеральной инновационной программе “Российская инжиниринговая сеть технических нововведений”, Москва, 15.04.1994 г. , №322.
11. Постановление Правительства РФ “Об утверждении федеральной целевой программы “Российская инжиниринговая сеть технических нововведений”, Москва, 4.12.1995 г. , №1207.

