ДИПЛОМНАЯ РАБОТА
АВТОРСКАЯ РАЗРАБОТКА
ДР. ЭиУЗ. 3 – ПК. Р
ОГЛАВЛЕНИЕ
Введение ………………………………………………………………11
ГЛАВА 1. ТЕОРЕТИЧЕСКИЕ ОСНОВЫ ПЛАНИРОВАНИЯ
ДЕЯТЕЛЬНОСТИ ПРЕДПРИЯТИЯ
1.1. Сущность планирования, его цели и роль в системе управления предприятия ………………………………………………14
1.2. Этапы планирования деятельности предприятия ……………19
1.3. Методическое обоснование процесса разработки плана создания предприятия ……………………………………………………21
1.4. Показатели экономической эффективности …………………36
1.5. Правовое обеспечение деятельности предприятия ………….51
Глава 2. АНАЛИЗ ВНЕШНЕЙ И ВНУТРЕННЕЙ СРЕДЫ
ПРЕДПРИЯТИЯ ПО ОКАЗАНИЮ КОСМЕТОЛОГИЧЕСКИХ УСЛУГ
2.1. Анализ внешней среды ………………………………………54
2.1.1. Анализ конкурентов ……………………………………..54
2.1.2. Анализ потребителей …………………………………...57
2.2. Анализ внутренней среды и определение стратегического
потенциала предприятия ………………………………………58
2.2.1. Организационная структура
управления предприятием…………………………………….58
2.2.2. Кадровая политика ………………………………………62
2.2.3. Рекламная деятельность …………………………..…63
2.3. Проведение маркетинговых исследований …………………..65
Глава 3. Разработка БИЗНЕС-ПЛАНА СОЗДАНИЯ
ООО ДЛЯ ЧАСТНОЙ ПРАКТИКИ В ОБЛАСТИ КОСМЕТОЛОГИИ
3.1. Цели, функция и миссия предприятия ………………………..72
3.2. Производственный план ………………………………………73
3.3. Финансовый план ………………………………………………74
3.4. ТЭО проекта ……………………………………………………75
3.5. Анализ рисков …………………………………………………77
ГЛАВА 4. ОCНОВЫ БЕЗОПАСНОСТИ ЖИЗНЕДЕЯТЕЛЬНОСТИ …
4.1. Правила ТБ при эксплуатации технической аппаратуры
при оказании косметологических услуг…………………….79
4.2. Особенности хранения косметологических препаратов ……83
ЗАКЛЮЧЕНИЕ …………………………………………………………84
ЛИТЕРАТУРА ……………………………………………………………86
ПРИЛОЖЕНИЕ ……………………………………………………………90
Введение
В настоящее время в российской экономике действуют наряду с неплатежеспособными предприятиями и вполне благополучные, финансово состоятельные хозяйствующие субъекты, которые смогли прогрессивно воспринять перемены, направленные на многоукладность экономики, широкий спектр форм собственности, неизбежность опережающего наращивания качества и номенклатуры товаров для широкого потребительского спроса.
Уже на первом этапе трансформации российской экономики стало ясно, что при прочих равных условиях шансы предприятия на успех резко возрастают, если оно использует грамотную политику управления внутренними ресурсами. Каждое предприятие обладает определенным капиталом, за счет которого оно и получает основную долю прибыли. Ошибки, связанные с вложением капитала неизбежно приводят к потере финансовой устойчивости и даже банкротству.
Планирование оказывает непосредственное влияние на уровень активизации деятельности руководства и аппарата управления. Высокое качество разработанных программ, их строгая увязка по всем подразделениям организации, согласованность с располагаемыми материальными, финансовыми и трудовыми ресурсами позволяет наиболее эффективно управлять предприятием.
За последнее время в России возник повышенный интерес к разработке бизнес-планов отдельных организаций и предприятий. Однако в публикациях по данному вопросу практически не рассматриваются вопросы определения места бизнес-плана в системе планирования предприятия, его связи с другими планами предприятия.
Постоянное стремление к разработке системы планирования, адекватно отвечающей требованиям рыночной экономики, привело руководство многих хозяйствующих субъектов к внедрению системы бюджетирования деятельности предприятия.
Уровень развития современных предприятий, особенности привлечения финансовых средств, методы и виды финансирования и планирования предприятий, а также, необходимость углубленного изучения проблем, связанных с финансовой деятельностью предприятий в условиях углубления проводимых реформ стали причиной для выбора темы диссертационной работы.
Целью данной работы является изучение методических основ бизнес-планирования и внедрения его на конкретном предприятии.
Достижение цели потребовало постановки и решения следующих задач:
- определение роли и места бизнес-плана в системе планирования;
- анализ источников информационного обеспечения процесса разработки бизнес-плана;
- проведение анализа внутренней и внешней среды предприятия;
- разработка бизнес-плана создания предприятия.
Объектом исследования является создание предприятия по оказанию косметологических услуг.
В соответствии с определенными целями и задачами в диссертационной работе последовательно раскрывается сущность и значение разработки бизнес-плана для деятельности предприятия в условиях рынка, структура бизнес-плана и его назначение, анализируются источники информации, необходимой для составления бизнес-плана (глава I).
Вторая глава посвящена анализу внешней и внутренней среды исследуемого предприятия.
В третьей главе данной работы разрабатывается бизнес-план создания ООО для частной практики в области косметологии.
В четвертой главе рассматриваются основы безопасности проектных решений.
Теоретической и методологической основой для работы послужили труды отечественных и зарубежных авторов: И.Т. Балабанова, В. Беренса, Л.П. Куракова, И.А. Иванниковой, В.М. Попова, В.А. Горемыкина, М.Ш. Левина, А.А. Сергеева, Э.А. Уткина и др.
Информационной базой работы послужили законодательные и нормативные акты РФ.
Структура работы отражает ее общий замысел и логику и определяется целью и задачами, поставленными перед автором. Работа состоит из введения, четырех глав, заключения, списка литературы, приложения.
ГЛАВА 1. ТЕОРЕТИЧЕСКИЕ ОСНОВЫ ПЛАНИРОВАНИЯ
ДЕЯТЕЛЬНОСТИ ПРЕДПРИЯТИЯ
1.1. Сущность планирования, его цели и роль в системе управления предприятия
Содержание внутрифирменного планирования как функции управления компанией состоит в обоснованном определении основных направлений и пропорций развития производства с учетом материальных источников его обеспечения и рыночного спроса. Сущность планирования проявляется в конкретизации целей развития всей фирмы и каждого подразделения в отдельности на установленный период времени; определении хозяйственных задач, средств их достижения, сроков и последовательности реализации; выявлении материальных, трудовых и финансовых ресурсов, необходимых для решения поставленных задач[1].
Таким образом, назначение планирования как функции управления состоит в стремлении заблаговременно учесть по возможности все внутренние и внешние факторы, обеспечивающие благоприятные условия для нормального функционировании и развития предприятия. Оно предусматривает разработку комплекса мероприятий, определяющих последовательность достижения конкретных целей с учетом возможностей наиболее эффективного использования ресурсов каждым производственным подразделением и всей фирмой. Поэтому планированием призвано обеспечить взаимоувязку между отдельными структурными подразделениями фирмы, включающими всю технологическую цепочку: научные исследования и разработки, производство и сбыт, сервис. Эта деятельность опирается на выявление и прогнозирование потребительского спроса, анализ и оценку имеющихся ресурсов и перспектив развития хозяйственной конъюнктуры. Отсюда вытекает необходимость увязки планирования с маркетингом и контролем с целью постоянной корректировки показателей производства и сбыта вслед за изменениями спроса на рынке.
Внутрифирменное планирование охватывает как текущее, так и перспективное планирование, осуществляемое в виде прогнозирования и программирования.
Если перспективное планирование призвано определить общие стратегические цели и направления развития фирмы, необходимые для этого ресурсы и этапы решения поставленных задач, то разрабатываемые на его основе текущие планы ориентированы на фактическое достижение намеченных целей исходя из конкретных условий и состояния рынка на каждом данном этапе развития. Поэтому текущие планы дополняют, развивают и корректируют перспективные направления развития с учетом конкретной обстановки.
Уровень и качество планирования определяются следующими важнейшими условиями:
- компетентностью руководства фирмой на всех уровнях управления;
- квалификацией специалистов, работающих в функциональных подразделениях;
- наличием информационной базы и обеспеченностью компьютерной техникой.
Можно выделить некоторые характерные особенности планирования в зависимости от целей:
- в американских компаниях главное - это объединение стратегий всех подразделений и распределение ресурсов;
- в английских - ориентация на распределение ресурсов;
- в японских - ориентация на внедрение новшеств и повышение качества решений.
Планирование предполагает: обоснованный выбор целей; определение политики; разработку мер и мероприятий (образа действий); методы достижения целей; обеспечение основы для принятия последующих долгосрочных решений.
Планирование заканчивается перед началом действий по реализации плана. Планирование - это начальный этап управления, однако оно представляет собой не единственный акт, а процесс, продолжающийся до завершения планируемого комплекса операций (рис.1.1).
Планирование направлено на оптимальное использование возможностей фирмы, в том числе наилучшее использование всех видов ресурсов и предотвращение ошибочных действий.
![]() |
Рис.1.1. Общая схема процесса управления компанией
В зависимости от направленности и характера решаемых задач различают три вида планирования: стратегическое (перспективное), среднесрочное (бизнес-план), текущее (тактическое).
Стратегическое планирование заключается в основном в определении главных целей деятельности фирмы, охватывает период в 10-15 лет, основывается на глобальных ресурсах.
Текущее планирование заключается в основном в определении промежуточных целей на пути достижения стратегических целей и задач. При этом детально разрабатываются средства и способы решения задач, использование ресурсов, внедрение новой технологии.
Среднесрочное планирование ставит целью дать комплексное научное обоснование проблем, с которыми может столкнуться фирма в предстоящем периоде, и на этой основе разработать показатели развития фирмы на плановый период.
В основу при разработке плана кладется:
- анализ перспектив развития фирмы;
- анализ позиций в конкурентной борьбе;
- выбор стратегии и определение приоритетов по конкретным видам деятельности;
- анализ направлений диверсификации.
Стратегический план выражен стратегией компании. В нем содержатся решения относительно сфер деятельности и выбора новых направлений. В нем могут перечисляться основные проекты и задаваться их приоритеты. Разрабатывается он на уровне высшего звена управления. Обычно стратегический план не содержит количественных показателей.
Среднесрочные планы охватывают пятилетний срок, как наиболее удобный для обновления производственного аппарата и ассортимента продукции. В них формируются основные задачи на установленный период, например, производственная стратегия фирмы, стратегия сбыта, финансовая стратегия и т.п. Среднесрочные планы предусматривают разработку в определенной последовательности мероприятий, направленных на достижение целей, намеченных долгосрочной программой развития.
Среднесрочный план обычно содержит количественные показатели. В нем приводятся детальные сведения о продуктах, капиталовложениях, источниках финансирования. Он разрабатывается в производственных отделениях.
Основным видом среднесрочных планов является бизнес-план, который имеет ряд особенностей, раскрываемых ниже.
Бизнес-план – это категория рыночного хозяйствования. В нем определяются цели деятельности предприятия и пути их достижения. Бизнес-план является проверенным инструментом повышения доходности предприятий в условиях конкуренции и свободного предпринимательства. Хорошо составленный, научно обоснованный бизнес-план необходим многим участникам коммерческого дела: учредителям-собственникам, партнерам и смежникам, инвесторам, банкам, административным органам и другим структурам.
Бизнес-план имеет четко очерченные временные рамки, по истечении которых определенные задачи должны быть решены и поставленные планом цели достигнуты.
Ценность бизнес-плана определяется тем, что он:
- дает возможность определить жизнеспособность проекта в условиях конкуренции;
- содержит ориентир, как должен развиваться проект (предприятие);
- служит важным инструментом получения финансовой поддержки от внешних инвесторов.
При составлении бизнес-плана необходимо оценить возможности и проблемы, которые могут возникнуть в будущем. Этот процесс называется определением (или оценкой) общего положения. Имея такую оценку, приступают к постановке целей и задач.
Установление целей является наиболее легкой задачей. Решив ее, необходимо определить пути достижения этих целей. Для этого необходимо выработать стратегию и составить планы, которые формируют ядро бизнес-плана. Хорошо составленный бизнес-план, как правило, является существенным фактором длительного выживания предприятия и его прибыльности.
Бизнес-план помогает решить вопросы финансирования, то есть он может стать средством привлечения капитала, необходимого для осуществления проекта (развития предприятия).
Таким образом, бизнес-план дает возможность понять общее состояние дел на данный момент; ясно представить тот уровень, которого может достичь проект (предприятие), планировать процесс перехода от одного состояния в другое.
1.2. Этапы планирования деятельности предприятия
Рассмотрим основные этапы планирования деятельности организации.
Первый этап планирования - анализ внешней среды:
· экономической и политической ситуации в стране (экономическая политика государства, политическая стабильность, культурные особенности);
· отрасли (темпы роста, цикличность, международные воздействия, финансовые характеристики);
· рынка (изменения и тенденция развития конъюнктуры, альтернативные технологии, конкуренты, тактика продаж, реклама, цены);
· спроса (изменяемость, формируемость, длительность, устойчивость);
· ресурсов (доступность, заменяемость, изменение цен, воздействие на окружающую среду).
Анализ внешней среды представляет собой процесс, посредством которого разработчики плана контролируют внешние по отношению к предприятию факторы, чтобы определить возможности и угрозы для фирмы. Анализ внешней среды помогает получить важные результаты. Он дает организации время для прогнозирования возможностей, время для составления плана на случай возможных угроз и время на разработку стратегий, которые могут превратить прежние угрозы в любые выгодные возможности.
С точки зрения оценки этих угроз и возможностей роль анализа внешней среды в процессе стратегического планирования заключается по существу в ответе на три конкретных вопроса:
· где сейчас находится предприятие;
· где, по мнению высшего, руководства должно находится предприятие в будущем;
· что должно сделать руководство, чтобы предприятие переместилось из того положения, в котором находится сейчас, в то положение, где его хочет видеть руководство?
Угрозы и возможности, с которыми сталкивается предприятие, обычно можно выделить в семь областей (см. рис.1.2).

Рис.1.2. Угрозы для предприятия
Второй этап планирования - оценка возможностей (прежде всего, с точки зрения прибыльности, жизнеспособности, риска). Оценка потенциальных возможностей предприятия позволяет обеспечить баланс рыночных запросов с реальными возможностями самого предприятия, выработать обоснование производственной программы и поведение на рынке, а также обеспечить принятие грамотных управленческих решений.
С целью упрощения в оценку возможностей рекомендуется включить пять функций - маркетинг, финансы (бухгалтерский учет), операции (производство), человеческие ресурсы, а также культура и образ предприятия.
Третий этап - выбор вариантов развития предприятия. Предпринимательский сектор национального хозяйства обычно насчитывает огромное количество предприятий, которые для целей экономического анализа группируются по ряду существенных признаков. Наиболее распространенными является классификация по формам собственности, размерам, характеру деятельности, отраслевой принадлежности, доминирующему фактору производства, правовому статусу.
1.3. Методическое обоснование процесса разработки плана создания предприятия
Бизнес-планы российских предприятий разрабатываются в соответствии с Методическими рекомендациями по реформе предприятий (организаций), утвержденными приказом Минэкономики РФ от 01.10.97 № 118.
В пятом разделе Методических рекомендаций «Организация разработки бизнес-планов» указано, что «бизнес - план включает следующие разделы:
- вводная часть;
- обзор состояния отрасли (производства), к которой относится предприятие;
- производственный план реализации проекта;
- план маркетинга и сбыта продукции предприятия;
- организационный план реализации проекта;
- финансовый план реализации проекта;
- оценка экономической эффективности затрат, осуществленных в ходе реализации проекта.
Ключевым разделом бизнес-плана предприятия является его раздел, посвященный финансовому управлению реализацией инвестиционного проекта (финансовый план реализации проекта)[2]».
Среди зарубежных методик по разработке бизнес-планов известны следующие:
— UNIDO (Организация объединенных наций по промышленному развитию) для развивающихся стран по подготовке промышленных технико-экономических обоснований и её электронная версия COMFAR;
— World Bank (Всемирный банк реконструкции и развития);
— фирмы «Goldman, Sachs & Co» (крупнейший банковской дом Уолл-стрит, один из лидеров мирового инвестиционного бизнеса);
— фирмы «Ernst & Young» (интернациональная консультационно-аудиторская фирма).
Получившей наибольшее распространение в России является методика Организации по промышленному развитию ООН (так называемая методика ЮНИДО). Подход к построению типового бизнес-плана, предложенный экспертами ЮНИДО, позволяет специалисту, создающему этот документ, не упустить существенных моментов в описании текущей или планируемой деятельности предприятия и представить результаты в виде, наиболее подходящим для восприятия западными финансистами. Не являясь, по сути, своей догмой, данная методика выполняет роль единой базы, некоего универсального языка, позволяющего общаться между собой специалистам в области инвестиционного проектирования, финансового анализа, менеджерам компаний из различных стран мира. Большинство известных на данный момент компьютерных систем для бизнес-планирования опираются на методику ЮНИДО.
Организация по промышленному развитию, являясь подразделением Организации Объединенных Наций, сама ведет работу как по совершенствованию и вопросам всемирного использования своей методики, так и ее реализации в форме компьютерных программ. Результатом подобной деятельности стало программное средство КОМФАР (COMFAR), созданное непосредственно ЮНИДО и распространяемого ей же на коммерческой основе.
Бизнес-план по рассматриваемой методике состоит из одиннадцати глав, посвященных следующим вопросам[3]:
Глава 1. Резюме исследования.
Глава 2. Предыстория и основная идея проекта.
Глава 3. Анализ рынка и стратегия маркетинга.
Глава 4. Сырье и материалы.
Глава 5. Место осуществления, строительная площадка и экологическая оценка.
Глава 6. Инженерное проектирование и технология.
Глава 7. Организация производства и накладные расходы.
Глава 8. Человеческие ресурсы.
Глава 9. Планирование и сметная стоимость работ по проекту.
Глава 10. Финансовая оценка.
Глава 11. Экономический анализ издержек и прибыли.
Первые десять глав подготавливаются в соответствии с частью II Руководства, и в каждой из них дается подробный анализ и информация, как это указано ниже. В главе 11 характеризуется вклад проекта в достижение национальных социально-экономических целей.
Основные разделы бизнес-плана следующие:
Резюме (глава № 1).
В резюме исследования кратко излагаются выводы и рекомендации, касающиеся всех основных аспектов исследования. Его структура должна соответствовать структуре самого технико-экономического обоснования.
Предыстория и основная идея проекта (глава № 2).
В данной главе описываются предыстория проекта, наименования и адреса учредителей проекта, стратегия проекта, история проекта, меры экономической и промышленной политики, способствующие осуществлению проекта.
Анализ рынка и стратегия маркетинга (глава № 3).
В данной главе обобщаются результаты анализа рынка, спрос, прогнозируемый объем продаж, целевые рынки, стратегия маркетинга.
Сырье и материалы (глава № 4).
Приводятся общие данные о наличии: сырья (необработанного сырья и полуфабрикатов), обработанных промышленных материалов и комплектующих изделий, вспомогательных материалов, вспомогательных производственных ресурсов, коммунальных услуг, запасных частей. Перечисляются годовые потребности в материальных ресурсах и укажите сметные расходы.
Место осуществления, строительная площадка и экологическая оценка (глава № 5).
Описывается место осуществления проекта. Кратко характеризуются экологические последствия.
Инженерное проектирование и технология (глава № 6).
Излагается производственная программа и указывается производственная мощность предприятия. Кратко характеризуются основные виды производственных активов (оборудование и т.д.), их наличие и стоимость. Описывается схема расположения объектов и охват проекта, основные необходимые инженерные сооружения.
Организация производства и накладные расходы (глава № 7).
Описываются основные элементы организационной структуры и управления.
Человеческие ресурсы (глава № 8).
Указывается необходимый состав и численность рабочей силы, необходимый состав и численность конторского персонала. Приводятся данные о стоимости и наличии таких ресурсов, потребностях в профессиональной подготовке и т.д.
Планирование и сметная стоимость работ по проекту (глава № 9).
Указываются сроки строительства и монтажа оборудования, сроки ввода в эксплуатацию и достижения проектной мощности, принципиально важные меры для своевременного осуществления проекта.
Финансовая оценка (глава № 10).
Приводятся основные показатели необходимых инвестиционных затрат по следующим статьям:
- земля и подготовленные строительные площадки;
- производственные объекты и инженерные сооружения;
- производственное оборудование;
- вспомогательное и эксплуатационное оборудование;
- основные корпоративные активы;
- капитальные затраты на подготовку производства;
- потребности в чистом оборотном капитале;
- общие инвестиционные затраты.
В данной главе также указываются источники финансирования, характер расходов, связанных с финансированием и погашением задолженности; полная себестоимость реализованной продукции; приводятся годовые показатели по следующим статьям:
- производственная себестоимость;
- административные накладные расходы;
- издержки производства расходы на маркетинг;
- амортизационные отчисления;
- затраты на финансирование;
- полная себестоимость реализованной продукции.
Экономический анализ издержек и прибыли (глава № 11).
В данной главе приводится резюме выводов оценки проекта с точки зрения национальной экономики. Излагаются наиболее важные доводы в пользу или против осуществления проекта, которые позволили бы убедить тех, кто будет принимать решение, в достоинствах или недостатках данного проекта.
Несмотря на разнообразие методик разработки бизнес-планов их анализ обычно следует некоторой общей схеме, которая включает специальные разделы, оценивающие маркетинговую, техническую, финансовую, экономическую и институциональную выполнимость проекта. Добропорядочный, с точки зрения стратегического инвестора, бизнес-план должен оканчиваться анализом риска. На рис. 1.3 представлена общая схема анализа бизнес-плана.
|
|
|
|
|
|
Да
![]() |
![]() |
Рис. 1.3. Общая последовательность анализа проекта
Рассмотрим подробнее указанные на рис. 1.3 разделы бизнес-плана.
Маркетинговый анализ
Принципиально суть маркетингового анализа заключается в ответе на два простых вопроса:
1. Сможет ли предприятие продать продукт, являющийся результатом реализации проекта?
2. Сможет ли предприятие получить от этого достаточный объем прибыли, оправдывающий проект?
Так как проекты осуществляются при уже существующих рынках, в проекте должна быть приведена их характеристика. Маркетинговый анализ должен также включать анализ потребителей и конкурентов. Анализ потребителей должен определить потребительские запросы, потенциальные сегменты рынка и характер процесса покупки. Для этого разработчик проекта должен провести детальное исследование рынка. Кроме того, необходимо провести анализ основных конкурентов в рамках рыночной структуры и институциональных ограничений, на нее влияющих. На основе результатов маркетингового анализа разрабатывается маркетинговый план. В нем должны быть определены стратегии разработки продукта, ценообразования, продвижения товара на рынок и сбыта. Эти элементы маркетинговой смеси должны быть объединены в единое целое, которое должно обеспечить продукту наиболее выгодное конкурентное положение на рынке. Маркетинговый план должен также учитывать наличие других продуктов в ассортиментном наборе фирмы, а также организационные, финансовые, производственные и снабженческие аспекты ее деятельности. В рамках маркетингового плана следует спрогнозировать реакцию конкурентов и ее последующее влияние на возможность выполнения маркетингового плана.
Маркетинговый раздел имеет определяющее значение при анализе проектов, так как позволяет получить рыночную информацию, необходимую для оценки жизнеспособности проекта. Очень часто случается, что фирма расходует значительные средства и усилия на осуществление все разрастающихся снабженческих и сбытовых операций только ради того, чтобы никогда не получить ожидаемую выгоду, упущенную из-за плохого маркетингового анализа.
Технический анализ
Задачей технического анализа бизнес-плана является:
- определение технологий, наиболее подходящих с точки зрения целей проекта,
- анализ местных условий, в том числе доступности и стоимости сырья, энергии, рабочей силы,
- проверка наличия потенциальных возможностей планирования и осуществления проекта.
Технический анализ обычно производится группой собственных экспертов предприятия с возможным привлечением узких специалистов. Стандартная процедура технического анализа начинается с анализа собственных существующих технологий. При этом необходимо руководствоваться следующими критериями: (1) технология должна себя хорошо зарекомендовать ранее, то есть быть стандартной, (2) технология не должна быть ориентирована на импортное оборудование и сырье.
Если оказывается невозможным использовать собственную технологию, то проводится анализ возможности привлечения зарубежной технологии.
Правило выбора технологии предусматривает комплексный анализ некоторых альтернативных технологий и выбор наилучшего варианта на основе какого-либо агрегированного критерия.
Ключевые факторы выбора среди альтернативных технологий сводятся к анализу следующих аспектов использования технологий.
1. Прежнее использование выбранных технологий в сходных масштабах (масштабы могут быть слишком велики для конкретного рынка).
2. Доступность сырья (сколько потенциальных поставщиков, какие их производственные мощности, качество сырья, каково количество других потребителей сырья, стоимость сырья, метод и стоимость доставки, риск в отношении окружающей среды).
3. Коммунальные услуги и коммуникации.
4. Нужно быть уверенным, что организация, которая продает технологию, имеет на нее патент или лицензию.
5. По крайней мере начальное сопровождение производства продавцом технологии.
6. Приспособленность технологии к местным условиям (температура, влажность и т.п.).
7. Загрузочный фактор (в процентах от номинальной мощности по условиям проекта) и время для выхода на устойчивое состояние, соответствующее полной производительности.
8. Безопасность и экология.
9. Капитальные и производственные затраты.
Финансовый анализ
Данный раздел бизнес-плана является наиболее объемным и трудоемким.
Общая схема финансового раздела проекта следует такой последовательности:
1. Анализ финансового состояния предприятия в течение трех (лучше пяти) предыдущих лет работы предприятия.
2. Анализ финансового состояния предприятия в период подготовки проекта.
3. Анализ безубыточности производства основных видов продукции.
4. Прогноз прибылей и денежных потоков в процессе реализации проекта.
5. Оценка эффективности проекта.
Остановимся кратко на ключевых вопросах финансового раздела бизнес-плана. Финансовый анализ работы предприятия сводится к расчету и интерпретации основных финансовых коэффициентов, отражающих ликвидность, кредитоспособность, прибыльность предприятия и эффективность его менеджмента. Важно также представить в финансовом разделе основную финансовую отчетность предприятия за ряд предыдущих лет и сравнить основные показатели по годам.
Анализ безубыточности включает в себя систематическую работу по анализу структуры себестоимости изготовления и продажи основных видов продукции и разделение всех издержек на переменные (которые изменяются с изменением объема производства и продаж) и постоянные (которые остаются неизменными при изменении объема производства). Основная цель анализа безубыточности - определить точку безубыточности, т.е. объема продаж товара, который соответствует нулевому значению прибыли. Важность анализа безубыточности заключается в сопоставлении реальной или планируемой выручки в процессе реализации проекта с точкой безубыточности и последующей оценки надежности прибыльной деятельности предприятия.
Наиболее ответственной частью финансового раздела бизнес-плана является его инвестиционная часть, которая включает:
- определение инвестиционных потребностей предприятия по проекту,
- установление (и последующий поиск) источников финансирования инвестиционных потребностей,
- оценка стоимости капитала, привлеченного для реализации проекта,
- прогноз прибылей и денежных потоков за счет реализации проекта,
- оценка показателей эффективности проекта.
Наиболее методически сложным является вопрос оценки окупаемости проекта в течение его срока реализации. Объем денежных потоков, которые получаются в результате реализации проекта должен покрывать величину суммарной инвестиции с учетом принципа «стоимости денег во времени». В качестве характеристики, измеряющей временную значимость денежных потоков, выступает норма доходности от инвестирования полученных в ходе реализации проекта денежных потоков.
Экономический анализ
Экономический анализ бизнес-плана состоит в оценке влияния вклада проекта в увеличении богатства государства.
В процессе экономического анализа необходимо выяснить прибыльность государства, а не владельцев компании от реализации этого проекта.
Укрупнено процедура оценки экономической эффективности может быть представлена в виде следующей последовательности:
1. Представить результаты финансового анализа.
2. Сделать новую классификацию затрат и доходов с точки зрения экономического анализа.
3. Перевести финансовые значения в экономические (они не совпадают по причине несоответствия цен и затрат для внешнего и внутреннего рынка).
4. Оценить стоимость других возможностей для использования ресурсов и получения такого же продукта.
5. Исключить все расчеты по внутренним платежам (так как они не изменяют общего богатства страны).
6. Сопоставить ежегодные экономические потоки средств с исходным объемом инвестиции (это будет конечный итог).
Следует подчеркнуть, что экономический анализ обычно проводится для крупных проектов, которые разрабатываются по заказу правительства и призваны решить какую-либо национально значимую задачу. Если предприятие разрабатывает проект по своей собственной инициативе, самостоятельно привлекая инвестора, оно в конечном итоге фокусирует общий интерес проекта на выгодах его участников, главным образом тех физических и юридических лиц, которые предоставили финансовые ресурсы для проекта. И если в число этих лиц не входит государство, экономический анализ проекта можно не производить.
Институциональный анализ
Институциональный анализ бизнес-плана оценивает возможность успешного выполнения проекта с учетом организационной, правовой, политической и административной обстановки. Этот раздел является не количественным и не финансовым. Его главная задача - оценить совокупность внутренних и внешних факторов, сопровождающих проект.
Оценка внутренних факторов производится по следующей схеме:
1. Анализ возможностей производственного менеджмента. Анализируя производственный менеджмент предприятия, необходимо сфокусироваться на следующих вопросах:
- опыт и квалификация менеджеров предприятия,
- их мотивация в рамках проекта (например в виде доли от прибыли),
- совместимость менеджеров с целями проекта и основными этическими и культурными ценностями проекта.
2. Анализ трудовых ресурсов. Трудовые ресурсы, которые планируется привлечь для реализации проекта должны соответствовать уровню используемых в проекте технологий. Данный вопрос становится актуальным в случае использования принципиально новой для предприятия зарубежной или отечественной технологии.
3. Анализ организационной структуры. Принятая на предприятии организационная структура не должна тормозить развитие проекта. Необходимо проанализировать, как происходит на предприятии процесс принятия решений и как осуществляется распределение ответственности за их выполнение. Не исключено, что управление реализацией разрабатываемого проекта следует выделить в отдельную управленческую структуру, перейдя от иерархической к матричной структуре управления в целом по предприятию.
Основные приоритеты в плане анализа внешних факторов главным образом обусловлены следующими двумя аспектами:
1. Политика государства, в которой выделяются для детального анализа следующие позиции:
- условия импорта и экспорта сырья и товаров,
- возможность для иностранных инвесторов вкладывать средства и экспортировать товары,
- законы о труде,
- основные положения финансового и банковского регулирования.
Данные вопросы наиболее важны для тех проектов, которые предполагают привлечение стратегического инвестора.
2. Одобрение государства. Данный фактор следует рассматривать главным образом для крупных проектов, направленных на решение крупной задачи в масштабах экономики страны в целом. Здесь наиболее важным является фактор времени для одобрения. Наиболее опасной выглядит ситуация, когда проект безупречен в техническом, финансовом и экономическом отношении, есть инвесторы, готовые сейчас вложить деньги в проект, но решение государства задерживается или откладывается на 1-2 года. В результате инвестор вкладывает деньги в другой проект.
Анализ риска
Суть анализа риска состоит в следующем. Вне зависимости от качества допущений, будущее всегда несет в себе элемент неопределенности. Большая часть данных, необходимых, например, для финансового анализа (элементы затрат, цены, объем продаж продукции и т. п.) являются неопределенными. В будущем возможны изменения прогноза как в худшую сторону (снижение прибыли), так и в лучшую. Анализ риска предлагает учет всех изменений, как в сторону ухудшения, так и в сторону улучшения.
В процессе реализации проекта подвержены изменению следующие элементы: стоимость сырья и комплектующих, стоимость капитальных затрат, стоимость обслуживания, стоимость продаж, цены и так далее. В результате выходной параметр, например прибыль, будет случайным. Риск использует понятие вероятностного распределения и вероятности. Например, риск равен вероятности получить отрицательную прибыль, то есть убыток. Чем более широкий диапазон изменения факторов проекта, тем большему риску подвержен проект.
Иногда в процессе анализа риска ограничиваются анализом сценариев, который может быть проведен по следующей схеме:
1. Выбирают параметры проекта в наибольшей степени неопределенные.
2. Производят анализ эффективности проекта для предельных значений каждого параметра.
3. В проекте представляют три сценария:
- базовый,
- наиболее пессимистичный,
- наиболее оптимистичный (необязательно).
Стратегический инвестор обычно делает вывод на основе наиболее пессимистичного сценария.
1.4. Показатели экономической эффективности
Для оценки эффективности бизнес-планов определяются: результаты реализации проекта; затраты, связанные с его реализацией; эффект, получаемый при реализации. Результаты и затраты могут представляться в натуральной и стоимостной формах. В натуральной форме каждый вид результатов и затрат измеряется соответствующими натуральными единицами. В стоимостной форме результат, затраты и эффект измеряются в соответствующих денежных единицах, с последующим приведением к какой-либо одной валюте.
В стоимостной форме результат - это доход, то есть сумма выручки от продажи продукции, услуг, созданных в результате реализации рассматриваемого проекта. При этом в состав результата не включаются доходы, получаемые одними участниками проекта от продажи своей продукции другим участникам того же проекта в ходе его реализации (то есть, внутренние по отношению к данному проекту платежи).
Эффект - это разность выраженных в стоимостной форме результата и затрат.
Оценка результата и затрат при определении показателей эффективности осуществляется за весь жизненный цикл проекта. При сравнении двух и более вариантов проекта оценка результата и затрат по всем вариантам производится за один и тот же расчетный период, включающий все предстоящие этапы жизненных циклов всех вариантов проекта. Начало расчетного периода определяется моментом времени, начиная с которого выбор варианта влияет на будущие затраты и результаты. Конец расчетного периода - момент, начиная с которого затраты и результаты по всем сравниваемым вариантам практически неразличимы или несущественны (с учетом дисконтирования).
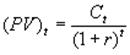
Если в числе объектов проекта, приобретение и (или) использование которых предусмотрено рассматриваемым проектом, имеются такие, срок службы которых не исчерпывается на момент окончания расчетного периода, то их остаточная стоимость прибавляется к стоимостной оценке результатов реализации проекта. Остаточная стоимость объекта определяется по следующей формуле[4]:
(1.1)
![]()
где: Ф0 - первоначальная стоимость объекта;
Флик - ликвидационное сальдо объекта, то есть выручка от реализации ликвидируемого объекта за вычетом затрат на подготовку его к ликвидации;
E - дисконт;
tсл - нормативный срок службы объекта, лет;
t - возраст объекта на момент окончания расчетного периода, лет.
Значения величин результатов, затрат и эффекта определяются по интервалам времени в пределах расчетного периода, в качестве таких интервалов могут быть приняты месяц, квартал или год.
Для стоимостной оценки результатов и затрат могут использоваться различные виды цен, отличающиеся:
· по временной базе цен - базисные, прогнозные и расчетные цены;
· по сфере формирования цен - внутренние и мировые цены;
· по использованию в финансовом или экономическом анализе проектов - рыночные (в отдельных случаях - регулируемые) и так называемые «теневые» цены;
· по виду валюты - в отечественной валюте, в иностранных (как правило в свободно конвертируемых) валютах.
Базисные цены - цены, сложившиеся в экономике данной страны или на мировом уровне на определенный момент времени tб . Базисная цена на любой вид продукции, услуг или ресурса считается неизменной в течение всего жизненного цикла проекта.
Прогнозные цены - цены, отражающие предполагаемые изменения текущих цен на каждом шаге расчета в течение всего жизненного цикла проекта (базисные цены, скорректированные с учетом предполагаемого их изменения).
Расчетные цены - прогнозные цены, которые приводятся к любому заданному моменту времени (в рамках расчетного периода) с учетом индекса общей инфляции. Приведение цен к одному моменту времени осуществляется путем деления их на индекс цен, равный отношению уровня текущих цен к уровню цен того момента, к которому осуществляется приведение.
Внутренние цены - цены на товары и услуги на внутреннем рынке.
Мировые цены - цены на товары и услуги, включенные во внешнеторговый оборот, выраженные во внутренней или соответствующей иностранной валюте.
Рыночные цены - складывающиеся на рынке цены.
«Теневые» цены - специальным образом откорректированные рыночные цены (за вычетом трансфертов, с включением «внешних» эффектов и т.д.). «Теневые цены» могут применяться как альтернатива прямому расчету совокупности величин всех внешних эффектов.
Все результаты и затраты, получаемые (совершаемые) в различные моменты времени, приводятся к единому моменту (обычно - к началу расчетного периода) путем умножения их на дисконтирующий множитель, определяемый нормой дисконта E.
Структура и общая величина дисконта зависят от его базовой величины, а также от применяемой системы цен и способа учета риска.
Если используются базовые цены, а существенного риска нет или же вероятные потери, связанные с риском, в явной форме включаются в учитываемые затраты, то в качестве дисконта применяется его базовая величина, то есть E=Eбаз.
В случае наличия существенного риска потерь при реализации проекта или при отказе от него, причем эти потери в явной форме в затраты не включены, общая величина дисконта складывается из его базового значения и добавки, определяемой уровнем риска проекта:
(1.2)
E=Eбаз + Eр
где: Eбаз - базовая норма дисконта;
Eр - добавка к дисконту, определяемая уровнем риска проекта.
Если расчет производится в текущих ценах в условиях значительных темпов инфляции и потери, связанные с риском, не включены в явном виде в учитываемые затраты, то дисконт определяется по формуле:
(1.3)
E= (Eбаз + Eр )×I1+ (I1-1)
где: I1 - индекс роста цен за 1 год, то есть отношение уровня цен в текущем году к их уровню в предыдущем году.
Значение базовой нормы дисконта либо устанавливаются государством (Министерством экономики) как специфический социально-экономический норматив, обязательный для оценки проектов с позиций общества в целом, либо его значение должно быть установлено и принято каждым хозяйственным субъектом, исходя из собственного финансового состояния и цены капитала на рынке.
Величина безрискового дисконта, а также ожидаемые годовые индексы инфляции принимаются по данным прогноза Министерства экономики. Значение же связанной с риском надбавки к дисконту Ер должно устанавливаться разработчиком проекта с учетом уровня риска конкретного проекта. Рекомендуемые значения Ер приведены ниже:
очень низкий риск 7 %
низкий риск 10 %
средний риск 15%
высокий риск 20%
очень высокий риск 25%
В зависимости от прогнозируемых общеэкономических условий, способов учета прогнозируемой динамики цен и уровня риска проекта значения дисконта E могут оставаться постоянными или меняться некоторым известным образом на протяжении расчетного периода рассматриваемого проекта.
По уровню субъекта, интересы которого отражает понятие эффективности, различаются:
· общественная (народнохозяйственная) эффективность[5], отражающая весь комплекс связанных с реализацией проекта последствий (в том числе финансовых, социальных, экологических) и определяющие допустимость реализации проекта с позиций общенациональных интересов;
· бюджетная эффективность, отражающая связанные с реализацией проекта финансовые интересы бюджетов всех уровней;
· коммерческая эффективность, отражающая финансовые интересы каждого из хозяйствующих субъектов.
Международная практика оценки эффективности инвестиций существенно базируется на концепции временной стоимости денег и основана на следующих принципах:
1. Оценка эффективности использования инвестируемого капитала производится путем сопоставления денежного потока (cash flow), который формируется в процессе реализации проекта и исходной инвестиции. Проект признается эффективным, если обеспечивается возврат исходной суммы инвестиций и требуемая доходность для инвесторов, предоставивших капитал.
2. Инвестируемый капитал равно как и денежный поток приводится к настоящему времени или к определенному расчетному году (который как правило предшествует началу реализации проекта).
3. Процесс дисконтирования капитальных вложений и денежных потоков производится по различным ставкам дисконта, которые определяются в зависимости от особенностей проектов. При определении ставки дисконта учитываются структура инвестиций и стоимость отдельных составляющих капитала.
Суть всех методов оценки базируется на следующей простой схеме: Исходные инвестиции при реализации какого-либо проекта генерируют денежный поток CF1, CF2, ... , CFn. Инвестиции признаются эффективными, если этот поток достаточен для
- возврата исходной суммы капитальных вложений и
- обеспечения требуемой отдачи на вложенный капитал.
Наиболее распространены следующие показатели эффективности капитальных вложений[6]:
- дисконтированный срок окупаемости (DPB).
- чистое современное значение инвестиционного проекта (NPV),
- внутренняя норма прибыльности (доходности, рентабельности) (IRR),
Данные показатели, равно как и соответствующие им методы, используются в двух вариантах:
- для определения эффективности независимых проектов (так называемая абсолютная эффективность), когда делается вывод о том принять проект или отклонить,
- для определения эффективности взаимоисключающих друг друга проектов (сравнительная эффективность), когда делается вывод о том, какой проект принять из нескольких альтернативных.
Рассмотрим подробнее выше указанные показатели эффективности проектов.
Метод дисконтированного периода окупаемости
В практике оценки проектов используется простой и дисконтированный показатель периода окупаемости.
Период окупаемости инвестиций (Payback period) — это период, за который отдача на капитал достигает значения суммы первоначальных инвестиций.
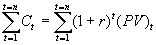
Под отдачей на капитал в случае реальных инвестиций (инвестиций в материальные (вещественные) активы) понимается сумма дисконтированных финансовых итогов по годам, подсчитанных без первоначальных инвестиций:
(1.4)
где
-
финансовый итог в году t, подсчитанный без
первоначальных инвестиций (если они приходятся на этот год). В случае
финансовых инвестиций отдачу капитала подсчитывают по аналогичному выражению:
(1.5)
где
—
финансовый итог в году t, считая от даты покупки
финансовых активов.
К первоначальным реальным инвестициям относят затраты на капитальное строительство и эксплуатационные расходы, финансируемые за счет уставного фонда и заемных средств.
К первоначальным финансовым инвестициям относят затраты на покупку акций, векселей, облигаций и иных ценных бумаг.
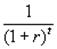
При подсчете Payback period учитывают все первоначальные Дисконтированный период окупаемости рассчитывается аналогично простому периоду окупаемости, однако при суммировании чистого денежного потока производится его дисконтирование.
Расчет показателя:
(1.6)
![]()
где Investments - начальные инвестиции
CFt - чистый денежный поток месяца t
r - месячная ставка дисконтирования
DPB - дисконтированный период окупаемости
Существенным недостатком метода дисконтированного периода окупаемости является то, что он учитывает только начальные денежные потоки, именно те потоки, которые укладываются в период окупаемости. Все последующие денежные потоки не принимаются во внимание в расчетной схеме.
Метод чистого современного значения (NPV - метод)
Этот метод основан на использовании понятия чистого современного значения (Net Present Value).
Термин «чистое» имеет следующий смысл: каждая сумма денег определяется как алгебраическая сумма входных (положительных) и выходных (отрицательных) потоков.
В соответствии с сущностью метода современное значение всех входных денежных потоков сравнивается с современным значением выходных потоков, обусловленных капитальными вложениями для реализации проекта. Разница между первым и вторым есть чистое современное значение, величина которого определяет правило принятия решения.
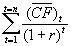
Показатель NPV представляет собой сумму дисконтированных финансовых итогов за все годы проекта, считая от даты начала инвестиций:
(1.7)
где (CF)t — финансовый итог в году t с учетом первоначальных инвестиций (если они приходятся на этот год).
Если в формуле (1.3) выделить первоначальные инвестиций (инвестиций, финансируемые из уставного фонда и заемных средств), то она принимает иной вид:
(1.8)
где (C0)t — первоначальные инвестиций (original capital) в году t, считая от даты начала инвестиций;
—
вложенный капитал (первоначальные инвестиций в проект);
(CF)t — финансовый итог в году t, подсчитанный без первоначальных инвестиций(если они приходятся на этот год);
— отдача
на вложенный капитал (на первоначальные инвестиции).
Таким образом, согласно формуле (1.8) NPV может быть определен еще и как разность между отдачей капитала и вложённым капиталом. Формула (1.3) предназначена для подсчета NPV в проектах с многолетними первоначальными инвестициями в строительстве новых предприятий.
Для разовых инвестиций в финансовые активы формула (1.8) приобретает более простой вид:
(1.9)
,
где C0 — разовые инвестиций в финансовые активы (вложенный капитал);
(1.10)
![]()
— сумма финансовых итогов по годам, считая с даты покупки финансовых активов(отдача на капитал).
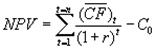
NPV характеризует общий экономический эффект от проекта, но без увязки с длительностью получения этого эффекта.
Правило NPV: принимаются проекты, которые имеют NPV со знаком плюс. Это правило означает, что в приемлемом проекте отдача на капитал должна превышать вложенный капитал (см. формулы (1.8) и (1.9)).
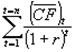
Внутренняя норма прибыльности (IRR)
По определению, внутренняя норма прибыльности (доходности) (IRR) - это такое значение показателя дисконта, при котором современное значение инвестиции равно современному значению потоков денежных средств за счет инвестиций, или значение показателя дисконта, при котором обеспечивается нулевое значение чистого настоящего значения инвестиционных вложений.
Показатель IRR представляет собой поверочный дисконт, при котором отдача от инвестиционного проекта равна первоначальным инвестициям в проект.
В данном определении IRR ключевым словом является «дисконт». С учетом этого обстоятельства ниже приведены необходимые сведения о дисконте.
В технико-экономических обоснованиях к проектам обычно подсчитывают будущие расходные, приходные и итоговые денежные суммы по формуле
(1.11)
(1.12)
где t — порядковый номер года с начала реализации проекта (даты начала инвестиций или даты государственной регистрации намеченного к строительству предприятия);
Ct - Capital - денежное выражение капитала в году t (расходного, приходного или итогового; финансового и/или материального);
(PV)t - Present value - текущая (сегодняшняя) стоимость капитала, относящегося к году t;
r - Rate – уровень предполагаемых ежегодных начислений на текущую стоимость капитала при его альтернативном использовании;
(1+r)t - коэффициент пересчета текущей стоимости в будущую стоимость.
За альтернативу для финансовых инвестиций (покупки акций, векселей и других ценных бумаг) обычно принимают банковские депозиты или вложения в самые надежные ценные бумаги (например, государственные облигации).
За альтернативу для инвестиций в земельные участки, здания и сооружения, машины и оборудование, запасы сырья (в странах с рыночной экономикой их принято называть реальными инвестициями или инвестициями в реальный (вещественный) основной капитал) принимают финансовые инвестиций, которые по риску примерно соответствуют реальным инвестициям.
Уровень (ставку) дохода от указанных предполагаемых альтернативных инвестиций используют в формулах (1.11) и (1.12).
При обратном же процессе, т. е. при определении сегодняшней ценности будущих сумм, используют ту же самую величину r (не меняя ее обозначения), но под другим названием — дисконт (от англ. discount — скидка, процент скидки):
(1.13)
(1.14)
, где
-
коэффициент пересчета ценности будущей суммы в сегодняшнюю ценность или иначе
коэффициент дисконтирования. Такую же роль (роль дисконта) r
играет в расчетах показателя NPV:
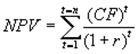
(1.15)
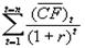
, где NPV —
чистая текущая (сегодняшняя) стоимость общего финансового итога от проекта за n лет; (CF)t —
финансовый итог в году t с учетом первоначальных
инвестиций (если они приходятся на этот год).
Важной разновидностью формулы (1.15) является следующая:
(1.16)
В этой формуле все первоначальные инвестиции (С0 — original capital) дисконтируются и суммируются отдельно, и поэтому финансовый итог [CF]t подсчитывается без них. Формула (1.16) выражает разность между отдачей на капитал (отдачей от первоначальных инвестиции) и вложенным капиталом (первоначальными инвестициями).
Формулы (1.15) и (1.16) предназначены для подсчета NPV в проектах с многолетними первоначальными инвестициями в реальные (материальные) активы.
Для финансовых инвестиции формула (1.16) принимает более простой вид:
(1.17)
где С0 инвестиции в финансовый капитал (в акции, векселя, облигации и другие ценные бумаги);
(CF)t - финансовый итог в году t (за начало первого года следует принимать дату покупки ценных бумаг).
Согласно правилу NPV принимаются лишь те проекты, для которых значения NPV имеют положительное значение. Это означает, что в приемлемом инвестиционном проекте отдача на капитал должна превышать вложенный капитал (см. формулы (1.16) и (1.17)).
To же самое требование к проекту можно выразить и через дисконт. Для этого по формуле (1.16) или (1.17) простым подбором находят такое значение дисконта r, при котором отдача на капитал равна вложенному капиталу, a NPV = 0. Эту однозначную величину r принято называть «Internal rate of return» (IRR). Правило NPV при этом заменяется на правило IRR: принимаются проекты, в которых значение дисконта r (равное обоснованному и использованному в расчетах уровню r ежегодных начислений на вложенный капитал при его предполагаемом альтернативном использовании) не достигает IRR.
В табл. 1.1. приведены показатели, характеризующие эффективность бизнеса, на который направлен проект. К ним относятся показатели рентабельности, ликвидности и оборачиваемости активов.
Таблица 1.1.
Показатели финансовой оценки проекта
|
Наименование показателя |
Расчетное отношение |
|
Рентабельность активов |
чистая прибыль балансовая стоимость активов |
|
Рентабельность акционерного капитала |
чистая прибыль стоимость акционерного капитала |
|
Рентабельность продаж |
чистая прибыль объем реализации (продаж) |
|
Коэффициент текущей ликвидности |
денежные средства+запасы и затраты краткосрочные пассивы |
|
Коэффициент быстрой ликвидности |
денежные средства краткосрочные пассивы |
|
Коэффициент финансовой автономности |
собственные средства краткосрочные и долгосрочные пассивы |
|
Коэффициент обеспеченности собственными средствами |
собственные средства – стоимость основных средств оборотные средства |
|
Общая оборачиваемость активов |
объем реализации (продаж) балансовая стоимость активов |
|
Оборачиваемость акционерного капитала |
объем реализации (продаж) стоимость акционерного капитала |
|
Себестоимость к выручке от реализации |
себестоимость производства объём реализации продаж |
Показатели рентабельности проекта рассчитываются как доля чистой прибыли (в %) в объеме продаж, объеме активов, объеме инвестиций и собственного капитала.
Коэффициенты ликвидности характеризуют возможность погашения краткосрочных обязательств проекта (краткосрочные кредиты, кредиторская задолженность) за счет созданных в процессе реализации проекта оборотных средств в виде производственных запасов, готовой продукции, денежных средств, дебиторской задолженности.
На основе коэффициентов ликвидности определяются оценки восстановления/утраты платежеспособности, характеризующие возможность восстановления (утраты) платежеспособности в процессе реализации проекта в течение определенного периода.
Коэффициент обеспеченности собственными средствами характеризует наличие собственных оборотных средств, необходимых для финансовой устойчивости проекта.
1.5. Правовое обеспечение деятельности предприятия
Основными формами осуществления предпринимательской деятельности, как известно, являются акционерные общества и общества с ограниченной ответственностью.
Именно такие организационно-правовые формы являются наиболее распространенными, и вот по каким причинам:
- быстрота и эффективность управления компанией,
- наименьшая имущественная ответственность за долги,
- возможность привлечения сторонних инвестиций для развития бизнеса.
Порядок создания и деятельности ООО регулируется следующими нормативными актами:
- Первой частью Гражданского кодекса Российской Федерации,
- Федеральным законом от 8 февраля 1998г. №14-ФЗ «Об обществах с ограниченной ответственностью»,
Согласно Статье 2 Федерального закона об ООО, Обществом с ограниченной ответственностью признается учрежденное одним или несколькими лицами хозяйственное общество, уставный капитал которого разделен на доли определенных учредительными документами размеров; участники общества не отвечают по его обязательствам и несут риск убытков, связанных с деятельностью общества, в пределах стоимости внесенных ими вкладов.
Это главный признак такого общества, определивший его название и составляющий его важнейшее преимущество.
Участники Общества не отвечают своим личным имуществом по его обязательствам (п.2 ст.3 Федерального закона об ООО), что так и привлекает внимание бизнесменов к этой организационно-правовой форме. Но в определенных случаях на участников Общества может быть возложена субсидиарная ответственность по обязательствам ООО. Таким случаем может стать банкротство, вызванное действиями участников или руководителей предприятия, а имущества Общества недостаточно, чтобы погасить задолженность.
Создателями Общества с ограниченной ответственностью могут быть как граждане - физические лица, так и другие предприятия - юридические лица, а также те и другие одновременно.
Участников Общества не должно быть более 50. Если число участников превышает этот предел, тогда Общество должно в течение года быть преобразовано в Открытое Акционерное Общество.
Участник Общества имеет право в любое время выйти из Общества путем продажи или уступки иным образом своей доли другим участникам Общества, либо третьим лицам. При регистрации ООО могут быть составлены такие Устав и Учредительный договор, по которым передача доли в уставном капитале третьим лицам не разрешена.
Уставной капитал ООО является единственной гарантией интересов кредиторов ООО. Размер уставного капитала на дату представления учредительных документов для регистрации ООО должен превышать 100 минимальных размеров оплаты труда.
Участники ООО сами определяют доли уставного капитала и порядок внесения вкладов, формируют структуру и органы управления созданного ими общества.
Собственность ООО представляет собой общую долевую собственность его членов. Участник ООО не может передать свой пай в капитале общества другим физическим или юридическим лицам без ведома и согласия прочих участников.
Учредителям ООО не обязательно принимать личное участие в работе предприятия, достаточно только нести риск убытков (утраты внесенных вкладов).
На основании теоретических аспектов планирования деятельности предприятия в следующих главах будет рассмотрено его практическое применение на примере создания предприятия по оказанию косметологических услуг.
Глава 2. АНАЛИЗ ВНЕШНЕЙ И ВНУТРЕННЕЙ СРЕДЫ ПРЕДПРИЯТИЯ ПО ОКАЗАНИЮ КОСМЕТОЛОГИЧЕСКИХ УСЛУГ
2.1. Анализ внешней среды
Анализ внешней среды предприятия по оказанию косметологических услуг включает в себя анализ конкурентов и анализ потребителей.
2.1.1. Анализ конкурентов
В качестве конкурентов рассматриваемого предприятия было выбрано два косметологических салона г. Кемерово – салон «Фит» и салон «Ремикс».
Для проведения сравнительного анализа деятельности конкурентов рассматриваемого предприятия были выбраны количественные и качественные показателя, характеризующие конкурентов. Необходимо построить таблицу «Сравнительная характеристика конкурентов предприятия».
Таблица 2.1.
Сравнительная характеристика конкурентов предприятия
|
№ п/п |
Показатели |
Конкуренты |
|
|
«Фит» |
«Ремикс» |
||
|
1. Факторы, характеризующие предприятие |
|||
|
1.1. |
Репутация (имидж) предприятия |
Очень известная |
Удовл. |
|
1.2. |
Квалификация топ-менеджеров |
Средняя |
Средняя |
|
1.3. |
Квалификация менеджеров |
Высокая |
Средняя |
|
1.4. |
Качество обслуживания |
Удовл. |
Удовол. |
|
2. Факторы, характеризующие реализацию услуг |
|||
|
2.1. |
Качество услуг |
Высокое |
Удовл. |
|
2.2. |
Средние затраты времени на обслуживание одного клиента, мин. |
20 |
30 |
|
2.3. |
Средняя цена услуг |
70 |
80 |
|
3. Факторы, характеризующие маркетинговую политику |
|||
|
3.1. |
Исследование рынка |
Проводятся постоянно |
Раз в полгода |
|
3.2. |
Организация рекламы |
В течение всего года |
В течение всего года |
Для трансформации показателей табл. 2.1, выраженных в различных единицах измерения в одну – балльную оценку строится табл. 2.2.
Таблица 2.2.
Трансформация показателей, выраженных в различных единицах
изменения, в бальную оценку
|
№ п/п |
Показатели |
Ед. изм. |
Количественная или качественная оценка |
Бальная оценка |
|
1. Факторы, характеризующие предприятие |
||||
|
1.1. |
Репутация (имидж) предприятия |
- |
Очень известная Удовл. |
5 3 |
|
1.2. |
Квалификация топ-менеджеров |
- |
Высокая Средняя |
5 4 |
|
1.3. |
Квалификация менеджеров |
- |
Высокая Средняя |
5 4 |
|
1.4. |
Качество обслуживания |
- |
Высокое Удовл. |
5 3 |
|
2. Факторы, характеризующие реализацию услуг |
||||
|
2.1. |
Качество услуг |
- |
Высокое Удовл. |
5 3 |
|
2.2. |
Средние затраты времени на обслуживание одного клиента |
мин. |
20 30 |
5 4 |
|
3. Факторы, характеризующие маркетинговую политику |
||||
|
2.3. |
Средняя цена услуги |
Руб. |
70 80 |
4 3 |
|
3.1. |
Исследование рынка |
- |
Проводятся постоянно Раз в полгода |
5 4 |
|
3.2. |
Организация рекламы |
- |
В течение всего года |
5 |
Для проведения сравнительного анализа конкурентов предприятия с целью получения балльной оценки конкурентоспобности салонов строится табл. 2.3, в которой определяются весовые коэффициенты по каждому показателю исходя из его значимости для данного вида бизнеса таким образом, чтобы сумма значений весовых коэффициентов по каждой группе факторов была равна единице.
Взвешенная оценка определяется как произведение балльной оценки по показателю на его весовой коэффициент по показателю.
Таблица 2.3.
Оценка конкурентоспособности конкурентов предприятия
|
№ п/п |
Показатели |
Весовой коэффициент |
Конкуренты |
|||
|
«Фит» |
«Ремикс» |
|||||
|
балл |
взвеш. оценка |
Балл |
взвеш. оценка |
|||
|
1 |
2 |
3 |
4 |
5 |
6 |
7 |
|
1. Факторы, характеризующие предприятие |
||||||
|
1.1. |
Репутация (имидж) предприятия |
0,1 |
5 |
0,5 |
3 |
0,3 |
|
1.2. |
Квалификация топ-менеджеров |
0,1 |
3 |
0,3 |
3 |
0,3 |
|
1.3. |
Квалификация менеджеров |
0,1 |
5 |
0,5 |
3 |
0,3 |
|
1.4. |
Качество обслуживания |
0,1 |
3 |
0,3 |
3 |
0,3 |
|
2. Факторы, характеризующие реализацию услуг |
||||||
|
2.1. |
Качество услуг |
0,15 |
5 |
0,75 |
3 |
0,45 |
|
2.2. |
Средние затраты времени на обслуживание одного клиента |
0,05 |
5 |
0,25 |
4 |
0,2 |
|
2.3. |
Средняя цена услуг |
0,15 |
3 |
0,45 |
5 |
0,75 |
|
3. Факторы, характеризующие маркетинговую политику |
||||||
|
3.1. |
Исследование рынка |
0,1 |
5 |
0,5 |
4 |
0,4 |
|
3.2. |
Организация рекламы |
0,1 |
5 |
0,5 |
4 |
0,4 |
|
|
Итого: |
1 |
45 |
4,3 |
40 |
3,6 |
Из данных табл. 2.3 видно, что салон «Фит» набрал большее количество баллов (4,3), чем салон «Ремикс» (3,6).
Следовательно, конкурентный профиль рассматриваемого предприятия будет строиться по отношению к салону «Фит», имеющему лучшие конкурентные позиции.
2.1.2. Анализ потребителей
Для того чтобы определить контингент потребителей, было произведено анкетирование, что помогло в дальнейшем сориентироваться в спросе и предпочтениях клиентов. В результате анкетирования была выяснена возрастная структура потребителей. Она представлена в виде диаграммы на рис. 2.1.

Рис. 2.1. Структура клиентов предприятия (по возрасту)
Как видно из диаграммы, представленной на рис. 2.1 наибольший удельный вес занимают люди в возрасте до 40 лет – 55% от общего количества опрошенных. Эта тенденция совпадает с общей тенденцией по отрасли, в котором также преобладает группа лиц до 40 лет.
Для разработки обоснованной стратегии важно понимать не только структуру клиентов по возрасту а также по уровню доходов приходящемуся на одного члена семьи. Структура клиентов предприятия по уровню доходов представлена в виде диаграммы на рис. 2.2.
Рис.2.2. Распределение ответов клиентов
предприятия на вопрос «Какой среднемесячный доход в Вашей семье?»
Как видно по данным рис. 2.2, наибольшая доля клиентов предприятия имеет доход до 350 долларов США на одного члена семьи. Вместе с тем, вторая половина клиентов имеет доход выше 350 долларов США. Так же не малый процент клиентов предприятия (24%) имеет доход до 350 долларов США. 8% клиентов имеет доход свыше 1000 долларов США. Доход клиентов немаловажный фактор, который необходимо учитывать при разработке стратегии предприятия.
2.2. Анализ внутренней среды и определение стратегического
потенциала предприятия
Анализ внутренней среды предприятия включает в себя анализ организационной структуры управления предприятием, анализ состава и структуры персонала, анализ рекламной деятельности, анализ сбыта.
2.2.1. Организационная структура управления предприятием
Под организационной структурой управления предприятием понимается совокупность управленческих звеньев, расположенных в строгой соподчиненности и обеспечивающих взаимосвязь между управляющей и управляемой системами. Организационная структура управления складывается из состава, соотношения, расположения и взаимосвязи отдельных подсистем организации. Создание такой структуры направлено, прежде всего, на распределение между отдельными подразделениями организации прав и ответственности.
На рассматриваемом предприятии предлагается применить функциональную организационную структуру управления. Она характеризуется тем, что выполнение отдельных функций по конкретным вопросам возлагается на специалистов, т.е. каждый орган управления специализирован на выполнении отдельных видов деятельности. Функциональная специализация управления значительно повышает результативность деятельности организации1.
На рис. 2.3 приведена проектируемая организационная структура предприятия.
|
|
|
|
|
|
|
|
отделы
Рис. 2.3. Проектируемая
организационная структура предприятия
Организационная структура формируется в зависимости от функций предприятия.
Организационно-правовой формой предприятия выбираем общество с ограниченной ответственностью (ООО).
Общество с ограниченной ответственностью является одной из наиболее популярных во всем мире и в России организационно-правовых форм предпринимательства. Обществом с ограниченной ответственностью (ООО) признается учрежденное одним или несколькими лицами общество, уставный капитал которого разделен на доли, размеры которых определены учредительными документами. Участники общества с ограниченной ответственностью не отвечают по его обязательствам и несут риск убытков, связанных с деятельностью ООО, в пределах стоимости внесенных ими вкладов. Участники общества с ограниченной ответственностью, внесшие вклады не полностью, несут солидарную ответственность по обязательствам ООО в пределах стоимости неоплаченной части вкладов каждого из участников. Участник общества с ограниченной ответственностью вправе в любое время выйти из данного общества независимо от согласия других его участников, при этом ему должна быть выплачена стоимость части имущества, соответствующей его доле в уставном капитале ООО. Он может также продать или уступить свою долю в уставном капитале общества или ее часть одному или нескольким участникам данного общества, а также третьим лицам. В случае несостоятельности (банкротства) общества с ограниченной ответственностью по вине его участников или по вине других лиц, которые имеют право давать обязательные для общества указания (или другим образом определять его действия), на указанных участников или других лиц в случае недостатка имущества ООО может быть возложена субсидиарная ответственность по его обязательствам.
Прежде чем общество с ограниченной ответственностью начнет свою деятельность, оно должно быть учреждено. Следовательно, участники такого общества, договаривающиеся между собой о его создании, становится учредителями общества с ограниченной ответственностью.
Учредители ООО заключает между собой учредительный договор (если общество создается одним-единственным учредителем, он учредительный договор сам с собой, разумеется, не заключает). Принятые в дальнейшем в ООО участники учредителями данного ООО не становятся ни при каких обстоятельствах, и это рождает возможность существенного разграничения прав учредителей и участников в учредительном договоре.
Кроме учредительного договора учредители общества с ограниченной ответственностью в обязательном порядке утверждают устав ООО. И в уставе, и в учредительном договоре общества с ограниченной ответственностью, помимо других сведений, обязательно должно быть указано на условия
- о размере уставного капитала общества с ограниченной ответственностью;
- о размере долей каждого из участников общества с ограниченной ответственностью;
- о размере, составе, сроках и порядке внесения ими вкладов в уставный капитал ООО, а также об ответственности их за нарушение обязанностей по внесению указанных вкладов;
- о составе и компетенции органов управления обществом с ограниченной ответственностью и порядке принятия ими решений, в том числе о вопросах, решения по которым принимаются единогласно или квалифицированным большинством голосов.
2.2.2. Кадровая политика
Кадры и трудовые ресурсы – представляют собой совокупность работников различных профессионально - квалификационных групп, занятых на предприятии, и входящих в его списочный состав. Это очень важный ресурс каждого предприятия, от качества и эффективности которого во многом зависит результаты деятельности предприятия его успех и конкурентоспособность. Все работники предприятия подразделяются на группы: руководящий и обслуживающий персонал.
На рассматриваемом предприятии к обслуживающему персоналу относятся 11 работников, к административно-управленческому аппарату – директор, администратор, бухгалтер (см. табл. 2.4).
Заработанная плата – это вознаграждение, которое получает работник предприятия в зависимости от количества и качества затраченного им труда и результатов деятельности всего коллектива предприятия. Она является важным стимулом для работников предприятия, поскольку выполняет стимулирующую (мотивационную) функцию.
На предприятии для обслуживающего персонала предлагается использовать сдельную оплату труда. Для оплаты труда руководящего состава используется окладная система оплаты труда.
Подбор персонала будет осуществляться с учетом следующих требований:
1. Наличие профессиональной подготовки и квалификации по данной специальности.
2. Наличие опыта работы в сфере и знание нормативно-правовой документации.
3. Наличие опыта работы, умение работать с клиентом.
Таблица 2.4.
Штатное расписание предприятия
|
№ |
Должность |
Кол-во физ.лиц |
Размер заработной платы, руб./месяц |
|
|
Административно-управленческий аппарат |
|
|
|
1 |
Директор |
1 |
20 000 |
|
2 |
Администратор |
2 |
30 000 |
|
3 |
Бухгалтер |
1 |
15 000 |
|
|
Обслуживающий персонал |
|
|
|
4 |
Косметолог |
3 |
34 000 |
|
5 |
Визажист |
1 |
10 000 |
|
6 |
Массажист |
2 |
28 000 |
|
Итого |
137 000 |
2.2.3. Рекламная деятельность
Реклама представляет собой мероприятия по ознакомлению потребителя с производимыми и продаваемыми продуктами и услугами, по созданию особой атмосферы благожелательности со стороны потенциальных покупателей товаров, по позитивному выделению определенных вещей и услуг из общего объема аналогичных товаров на рынке.
Рассматриваемому предприятию предлагается размещать рекламы в специализированных газетах, журналах, Интернете.
Предприятием был проведен опрос потребителей, с целью получить представление об источниках получения информации потенциальными клиентами.

Рис. 2.4. Распределение ответов потенциальных клиентов предприятия на вопрос: «В каких источниках Вы обычно ищете информацию о данных услугах?»
Данная диаграмма показывает, что информацию о фирме клиенты получают из различных источников.
Анализ этого опроса позволяет сделать вывод о том, что недостаточно опубликовано информации о косметологических салонах по радио и телевидению. Это следует учесть при разработке стратегии.
На рекламные акции тратятся немалые суммы. Такие расходы называются коммерческими.
Ниже приведена таблица предлагаемого размещения рекламы организацией в различных источниках.
Таблица 2.5.
Размещение рекламы ежемесячно
|
Издания |
Цены на размещение рекламы, руб. |
|
Журнал |
16100 |
|
Газета |
6450 |
|
Телевидение |
15000 |
|
Радио |
6450 |
|
Итого: |
44000 |
Данные табл. 2.5 показывают, что предприятие будет затрачивать на рекламу своей деятельности 44000 руб. в месяц.
2.3. Проведение маркетинговых исследований
Рассматриваемое предприятие планирует предоставлять следующие виды косметологических услуг (табл. 2.6).
Таблица 2.6.
Косметологические услуги предприятия
|
Наименование услуги |
Цена, руб. |
|
Косметология |
|
|
Чистка лица |
200 |
|
Глубокая чистка лица |
270 |
|
Омолаживающая маска |
150 |
|
Эпиляция |
350 |
|
Макияж |
250 |
|
Массаж |
|
|
Классический |
150 |
|
Локальный |
90 |
|
Спортивный |
250 |
|
Антицелюлитный |
250 |
|
Солярий |
150 |
Рассматриваемому предприятию предлагается провести исследование по «Потребительской оценке видов косметологических услуг в системе маркетинга».
Потребительская оценка – это количественно выраженное каждым конкретным покупателем отношение к ассортименту, товару или его отдельному свойству, которое складывается на рынке под влиянием объективных и субъективных факторов, характеризуется рядом параметров и обладает определенной устойчивостью.
Для проведения анкетирования предприятию предлагается разработать анкету (см. Приложение), которая отражает потребительскую оценку спроса на виды косметологических услуг.
Например, выбираются 6 потребителей, ранжируются 6 видов услуг.
Анкета предоставляется каждому участнику опроса и заполняется индивидуально. При заполнении анкеты необходимо ответить на альтернативные вопросы и определить рейтинг каждого вида услуг. При этом каждому виду, указанному в анкете, присваивается номер в порядке убывания спроса на вид для данного потребителя. Наиболее важному, с точки зрения потребителя свойству присваивается ранг «1», менее важному – ранг «2» и так далее до самого незначительного с его точки зрения, которому будет присвоен ранг «6».
Определение наиболее важного вида косметологической услуги для данной группы потребителей производится на основе коэффициентов весомости, которые рассчитываются как отношение суммы рангов, поставленных всеми опрошенными по каждому виду, к общей сумме рангов, поставленных всеми потребителями по всем видам услуг.
Коэффициент весомости I-го вида услуги Квес(I) рассчитывается по следующей формуле:
Квес(I) = ![]()
, (2.1)
где
- сумма
рангов, поставленных всеми потребителями по I–му виду;
(2.2)
Кобщ
=
– общая сумма рангов,
поставленных всеми потребителями по всем видам услуг.
Меньший коэффициент соответствует наиболее значимому виду услуги. Следовательно, в данном случае для потребителей наиболее важным является вид 1 (Квес=0,040).
Отклонение I-го вида услуги от среднего значения рассчитывается по формуле:
D(I)=Кобщ /S – K(I), (2.3)
где S – число вида.
Степень согласованности мнений потребителей может быть рассчитана с помощью коэффициента конкордации:
W=12*(
(I)2)/(N2*(S3-S)), (2.4)
где N – число экспертов (потребителей);
S – число наблюдений (видов);
D (I)- отклонение I-го вида от среднего значения.
Так как коэффициент конкордации меньше единицы (0,110118), то мнение потребителей полностью не совпадают. Степень согласованности невелика.
После проведенных расчетов проводится математико-статистическая обработка полученных данных. В качестве примера может быть взята важнейшая характеристика – средних арифметических по каждому виду косметологических услуг:
X(I)=K(I)/N (2.5)
Наименьшее значение имеет среднее арифметическое для вида 2 (Х(I)=3,6).
Результаты опроса обрабатываются на ЭВМ с помощью программы Excel, позволяющей проектировать электронные таблицы и решать математические задачи.
Ниже в табл. 2.7 – 2.9 приводится обработка данных, полученных в результате опроса.
Таблица 2.7.
Результаты обработки анкетных данных
|
№ п/п |
Вид косметологических услуг |
Порядковый номер вида по значимости |
|||||
|
1 |
2 |
3 |
4 |
5 |
6 |
||
|
1 |
Чистка лица |
6 |
4 |
5 |
3 |
2 |
6 |
|
2 |
Маски для лица |
4 |
3 |
3 |
5 |
2 |
5 |
|
3 |
Макияж |
4 |
3 |
3 |
6 |
5 |
2 |
|
4 |
Массаж |
6 |
2 |
2 |
5 |
4 |
5 |
|
5 |
Солярий |
2 |
6 |
3 |
4 |
6 |
4 |
|
6 |
Эпиляция |
6 |
2 |
2 |
5 |
4 |
5 |
Таблица 2.8.
Результаты обработки анкетных данных
|
№ п/п |
Вид косметологических услуг |
Баллы сумма рангов |
Сумма общая |
Коэфф. весом. Квес |
Мин. Квес |
Отклон. I-го вида |
Квадрат отклонен. |
|
1 |
Чистка лица |
26 |
186 |
0,040 |
0,040 |
1 |
1 |
|
2 |
Маски для лица |
22 |
|
0,118 |
|
4 |
16 |
|
3 |
Макияж |
23 |
|
0,124 |
|
4 |
16 |
|
4 |
Массаж |
24 |
|
0,129 |
|
3 |
9 |
|
5 |
Солярий |
25 |
|
0,134 |
|
2 |
4 |
|
6 |
Эпиляция |
27 |
|
0,145 |
|
-1 |
1 |
Таблица 2.9.
Результаты обработки анкетных данных
|
№ п/п |
Вид косметологических услуг |
Сумма квадр. отклон. |
Число эксперт. N |
Число видов S |
Коэфф. конкор. W |
Средн. арифм. видов |
Наимен. среднее арифмет. |
|
1 |
Чистка лица |
111 |
6 |
7 |
0,110118 |
4,3 |
3,6 |
|
2 |
Маски для лица |
|
|
|
|
3,6 |
|
|
3 |
Макияж |
|
|
|
|
3,8 |
|
|
4 |
Массаж |
|
|
|
|
4 |
|
|
5 |
Солярий |
|
|
|
|
4,2 |
|
|
6 |
Эпиляция |
|
|
|
|
4,5 |
|
По результатам вычислений строятся диаграммы по каждому исследуемому виду косметологических услуг.

Рис.2.5. Значимость чистки лица для потребителей

Рис.2.6. Значимость масок для лица для потребителей

Рис.2.7. Значимость макияжа для потребителей

Рис.2.8. Значимость массажа для потребителей

Рис.2.9. Значимость солярия для потребителей

Рис.2.10. Значимость эпиляции для потребителей
На основе полученных результатов можно сделать вывод о том, что наиболее важным потребительским видом косметологических услуг для определенных групп потребителей является чистка лица. Другие виды также имеют немаловажное значение, что будет учитываться при реализации косметологических услуг рассматриваемого предприятия.
Глава 3. Разработка БИЗНЕС-ПЛАНА СОЗДАНИЯ
ООО ДЛЯ ЧАСТНОЙ ПРАКТИКИ В ОБЛАСТИ КОСМЕТОЛОГИИ
3.1. Цели, функция и миссия предприятия
Целями данного проекта являются:
— разработка и описание путей создания предприятия, предоставляющего косметологические услуги;
— анализ целесообразности создания предприятия по оказанию косметологических услуг с точки зрения рентабельности и прибыльности.
Данная концепция предусматривает создание предприятия по оказанию косметологических услуг, способного эффективно работать на открытом для всех, в том числе и для конкурентов, поле деятельности. Создание подобного предприятия предполагает грамотный выбор такой рыночной ниши, где предприятие могло бы строить свою долгосрочную стратегию, установив перспективную схему налаживания деловых связей, ведя оптимальную ценовую политику, заботясь о поощрении и поддержке своих постоянных клиентов, расширяя спектр своей деятельности и, тем самым, снижая риски в своей деятельности.
Дата начала проекта – 01.06.2005.
Сумма инвестиций составляет 510 000 руб.
Для реализации проекта планируется использовать собственный капитал.
Продолжительность расчетов – 19 мес.
Цель предприятия – это его желаемое состояние через определенный промежуток времени. Если миссия определяет предназначение предприятия, то стратегические цели обозначают его состояние на период действия разрабатываемой стратегии. Стратегические цели ориентируют менеджеров предприятия на получение конкретных результатов в конкретный отрезок времени.
Целями и задачами создания предприятия по оказанию косметологических услуг являются:
— создание новой «ниши» на существующем сегменте рынка в г. Кемерово,
— получение дохода на вложенные средства не менее 100% в год,
— создание новых рабочих мест.
3.2. Производственный план
Производственный план дает информацию о потребности предприятия в основных средствах, в персонале и заработной плате, о калькуляции себестоимости продукции и услуг.
Определим валовые издержки при сроке службы оборудования 1 год, включающие в себя постоянные и переменные затраты.
Постоянные затраты (см. табл. 3.2) включают затраты на регистрацию и получение лицензии предприятия, затраты на рекламу, непредвиденные затраты, затраты на оборудование (см. табл.3.1).
Таблица 3.1.
Затраты на оборудование
|
Профессиональное оборудование |
Количество, шт. |
Сумма, руб. |
|
Мойка |
1 |
16 000 |
|
Рабочий стол для массажа |
1 |
7 000 |
|
Косметическое кресло |
1 |
12 000 |
|
Солярий |
1 |
42 000 |
|
Эпиляционное оборудование |
1 |
38 000 |
|
Диван для посетителей |
1 |
9 000 |
|
Настенные зеркала |
4 |
14 000 |
|
Кресла |
3 |
8 000 |
|
Стулья |
4 |
4 000 |
|
Итого |
|
150 000 |
Таблица 3.2.
Постоянные затраты
|
Статьи затрат |
Сумма, руб. |
|
Затраты на регистрацию и получение лицензии |
6 000 |
|
Затраты на рекламу |
44 000 |
|
Непредвиденные затраты |
15 000 |
|
Затраты на оборудование |
150 000 |
|
Итого |
215 000 |
В табл. 3.3 представлены переменные затраты рассматриваемого предприятия.
Таблица 3.3.
Переменные затраты
|
Статьи затрат |
Сумма, руб. |
|
Арендные платежи |
32 000 |
|
Материалы |
18 000 |
|
Зарплата сотрудников, в том числе: Зарплата административного персонала Затрата обслуживающего Персонала |
137 000 72 000 65 000 |
|
Итого |
187 000 |
Таким образом, сумма постоянных затрат составляет 215 000 руб., сумма переменных затрат – 187 000 руб.
3.3. Финансовый план
Общая потребность в инвестициях, в соответствии с настоящим бизнес-планом, определена в 510 000 руб.
Для реализации проекта планируется использовать собственный капитал.
Финансовый план включает в себя: прогноз прибылей и убытков (см. Приложение 2, табл. 3.4), отчет о движении денежных средств (см. Приложение 3, табл. 3.5), баланс (см. Приложение 4, табл. 3.6), финансовые показатели (табл. 3.7).
Прогноз прибылей и убытков, приведенный в табл. 3.4 (см. Приложение 2) показывает, как будут меняться результаты деятельности предприятия за 2005 -2006 гг.
Таблица 3.7.
Динамика финансовых показателей
|
Финансовый показатель |
2005 |
2006 |
|
Коэффициент текущей ликвидности, % |
764 |
365 |
|
Коэффициент срочной ликвидности, % |
764 |
365 |
|
Чистый оборотный капитал, руб. |
58 621 |
181 506 |
|
Коэфф. оборачиваем. кредиторской задолженности |
70 |
29 |
|
Коэфф. оборачиваем. рабочего капитала |
4 |
13 |
|
Коэфф. оборачиваем. основных средств |
1 |
10 |
|
Коэфф. оборачиваем. активов |
1 |
5 |
|
Суммарные обязательства к активам, % |
4 |
14 |
|
Суммарные обязательства к собств. кап., % |
4 |
16 |
|
Коэфф. рентабельности валовой прибыли, % |
81 |
81 |
|
Коэфф. рентабельности операц. прибыли, % |
-265 |
28 |
|
Коэфф. рентабельности чистой прибыли, % |
-265 |
21 |
|
Рентабельность оборотных активов, % |
-854 |
194 |
|
Рентабельность внеоборотных активов, % |
-331 |
198 |
|
Рентабельность инвестиций, % |
-239 |
98 |
|
Рентабельность собственного капитала, % |
-248 |
114 |
3.4. ТЭО проекта
Оценка эффективности проекта произведена на основании интегральных показателей, отражающих экономическую эффективность, которую намечается достигнуть в результате его реализации.
В результате расчетов были получены следующие показатели эффективности проекта представлены в табл. 3.8.
Таблица 3.8.
Показатели эффективности проекта
|
Показатель |
Руб. |
|
Ставка дисконтирования, % |
2,00 |
|
Период окупаемости – PP, мес. |
18 |
|
Дисконтированный период окупаемости – DPP, мес. |
20 |
|
Средняя норма рентабельности – ARR, % |
152,99 |
|
Чистый приведенный доход – NPV |
986 426 |
|
Индекс прибыльности – PI |
4,42 |
|
Внутренняя норма рентабельности – IRR, % |
137,20 |
|
Модифицированная внутренняя норма рентабельности – MIRR, % |
66,03 |
Период расчета интегральных показателей – 19 месяцев.
PI – индекс доходности. Он показывает норму отдачи на вложенный капитал. PI = 4,42>1, это значит, что сумма результатов по проекту больше, чем сумма вложенных средств, следовательно, проект является выгодным.
PP (период окупаемости) – период, в котором итог от операционной и инвестиционной деятельности нарастающим итогом переходит с «+» на «-».
Данный проект начинает приносить прибыль после 18 мес. работы, отсюда следует, что период окупаемости данного проекта равен 18 мес.; внутренняя норма доходности предприятия равна 137,20%.
3.5. Анализ рисков
Таблица 3.9.
Финансово-экономические риски
|
Простые риски |
Веса Wi |
|
Неустойчивость спроса |
1/7 |
|
Появление альтернативной услуги |
1/7 |
|
Снижение цен конкурентами |
1/7 |
|
Рост налогов |
1/7 |
|
Неплатежеспособность потребителей |
1/7 |
|
Рост цен на материалы |
1/7 |
|
Снижение цен конкурентами |
1/7 |
Таблица 3.10.
Социальные риски
|
Простые риски |
Веса Wi |
|
Трудности с набором квалифицированной рабочей силы |
1/4 |
|
Угроза забастовки |
1/4 |
|
Недостаточный уровень зарплаты |
1/4 |
|
Квалификация кадров |
1/4 |
Оценка рисков (см. Приложение 5, табл. 3.9) проводилась по 100 бальной системе тремя экспертами:
0 – риск несущественен
25 - риск, скорее всего не реализуется
50 - о наступлении события ничего сказать нельзя
75 - риск, скорее всего появится
100 – риск наверняка реализуется
Уменьшить влияние рисков можно следующим образом:
- постоянный контроль за качеством услуг;
- материальное поощрение тех работников, которые работают с постоянно высоким качеством;
- цены рассматриваемого предприятия ниже, чем у конкурентов, поэтому уменьшение покупателей услуг маловероятно.
Для страхования рисков предусматривается создание страхового фонда в размере 3% от себестоимости услуг, заключение договоров страхования имущества.
ГЛАВА 4. ОCНОВЫ БЕЗОПАСНОСТИ ЖИЗНЕДЕЯТЕЛЬНОСТИ
4.1. Правила ТБ при эксплуатации технической аппаратуры при
оказании косметологических услуг
Косметический салон оснащен электрическими приборами и оборудованием.
Электроснабжение салона по степени обеспечения надежности относится ко II-III категории с оборудованием электропитания на напряжении 380\220 в соответственно по двум или одному фидеру.
Устройство (установка), эксплуатация и ремонт электрических сетей, электрооборудования, переносных электроаппаратов и электроинструментов в салоне должно производиться согласно ГОСТу 12.1.019-79 «ССБТ. Электробезопасность. Общие требования», «Правилам технической безопасности при эксплуатации электроустановок потребителей» (ПТБЭЭП).
Настоящие Правила распространяются на стационарную и переносную электроаппаратуру и электроинструмент, применяемые в косметическом салоне.
Электроаппаратура и электроинструмент должны соответствовать ГОСТу 12.2.013.0-91 «ССБТ. Машины ручные, электрические. Общие требования безопасности», ГОСТу 12.1.030-81 «ССБТ. Электробезопасность. Защитное заземление. Зануление» и следующим основным требованиям:
В электроустановках напряжением выше 1000 В в сети должно быть выполнено защитное заземление, при этом рекомендуется предусматривать устройства автоматического отыскания замыкания на «землю». Защиту от замыканий на «землю» рекомендуется устанавливать с действием на отключение (по всей электрически связанной сети), если это необходимо по условиям безопасности.
Наибольшее сопротивление заземляющего устройства R в Ом не должно быть более
(4.1)
![]()
где I - расчетная сила тока заземления на землю, А.
При использовании заземляющего устройства для электроустановок напряжением до 1000 В
(4.2)
![]()
Расчетная сила тока замыкания на землю должна быть определена для той из возможных в эксплуатации схемы сети, при которой сила токов замыкания на землю имеет наибольшее значение.
При удельном сопротивлении земли r, большем 500 Ом·м, допускается вводить на указанные значения сопротивлений заземляющего устройства повышающие коэффициенты, зависящие от r.
Штепсельные соединения, предназначенные для подключения электроинструмента, должны иметь недоступные для прикосновения токоведущие части и дополнительный заземляющий контакт.
Контроль за сохранностью и исправностью электроинструмента и переносных электрических светильников должен осуществляться лицом, специально уполномоченным на это.
Проверка состояния изоляции проводов, заземляющей жилы (провода) электроинструмента, переносных электрических светильников, а также изоляции понижающих трансформаторов и преобразователей частоты производится мегометром не реже одного раза в месяц лицом с квалификационной группой не ниже III.
Электроинструмент, переносные электросветильники и преобразователи частоты тщательно проверяются внешним осмотром, причем, обращается внимание на исправность заземления и изоляции проводов, отсутствие оголенных токоведущих частей и соответствие инструмента условиям работы.
Перед выдачей косметологу электроинструмент должен быть проверен на стенде или прибором типа нормометра. Запрещается выдавать электроинструмент, имеющий дефекты.
Для присоединения электроинструмента к сети должен применяться шланговый провод; допускается применение многожильных проводов марки ПВ-3 с изоляцией на напряжение не ниже 500 в, заключенных в резиновый шланг.
Соприкосновение проводов с влажными и масляными предметами не допускается.
При обнаружении каких-либо неисправностей работа с электроинструментом или переносными электрическими светильниками должна быть немедленно прекращена.
При прекращении подачи тока во время работы с электроинструментом или во время перерыва электроинструмент должен быть отключен от электросети.
Лицам, пользующимся электроинструментом, запрещается:
- передавать электроинструменты другим лицам;
- разбирать электроинструмент и производить ремонт (как самого инструмента, так и проводов, штепсельных соединений и т.п.);
- держаться за провод электроинструмента или касаться режущей части его.
Для обеспечения безопасности при эксплуатации электроинструмента необходимо:
- обучать основам безопасности всех работающих с проведением аттестации и присвоением не ниже I квалификационной группы;
- на рабочих местах иметь инструкции по эксплуатации электроустановки вменить в обязанность обслуживающему персоналу ознакомление клиентов с этими инструкциями;
- поддерживать в исправном состоянии сопротивление изоляции электропроводов, которое во всех случаях должно быть не менее 500 Ом, а также осуществлять надежное присоединение электроинструмента к защитному заземлению;
- в местах размещения электроустановок изолировать все металлические детали, в том числе трубопроводы систем отопления, канализации и т.д., которые имеют связь с землей, с таким расчетом, чтобы клиент не мог к ним прикоснуться, причем под ногами должны находиться изолирующие подставки;
- осуществлять ежедневный контроль за состоянием и параметрами защитного заземления в сроки, установленные ПТБЭЭП.
Для размещения вводно-распределительного устройства надлежит организовать изолированное помещение - электрощитовую. Все помещения должны быть оборудованы автоматической пожарной сигнализацией.
Для обслуживания электрохозяйства в штате предприятия следует предусмотреть должность электромонтера третьего разряда (по совместительству), на которого возложить функции по наблюдению за состоянием электрохозяйства косметического салона.
4.2. Особенности хранения косметологических препаратов
При хранении косметологических препаратов должны соблюдаться условия, обеспечивающие сохранность исходного качества препаратов; препараты должны быть предохранены от воздействия изменяемой температуры окружающей среды, от разрушения и повреждения упаковок, расплескивания и т.д.
Требования к хранению косметологических препаратов определены ГОСТ 27429-87 «Изделия парфюмерно-косметические жидкие. Упаковка, маркировка, транспортирование и хранение» и ГОСТ 28303-89 «Изделия косметические. Упаковка, маркировка, транспортирование и хранение».
Температурный режим (в интервале 5-25 °С) – обязательное условие и требование по хранению косметологических препаратов. Этот показатель установлен Ростестом (органом по сертификации).
Гарантийный срок хранения, в течение которого не происходит существенного падения активности биологически активных веществ (БАВ), установлен:
- для препаратов в диспенсерах всех типов - один год;
- для препаратов в баночках всех типов - шесть месяцев.
Вскрытый диспенсер любого типа позволяет хранить его в удобных условиях, благодаря наличию клапана, который препятствует окислению содержимого.
Вскрытые банки необходимо хранить в холодильнике, из-за возможного окисления содержимого (особенно при повышенной температуре).
ЗАКЛЮЧЕНИЕ
Целью данной работы явилась разработка бизнес-плана создания ООО для частной практики в области косметологии.
Целями и задачами создания предприятия по оказанию косметологических услуг являются:
— создание новой «ниши» на существующем сегменте рынка в г. Кемерово,
— получение дохода на вложенные средства не менее 100% в год,
— создание новых рабочих мест.
В результате анализа внешней среды рассматриваемого предприятия, который включает в себя анализ конкурентов и анализ потребителей, было выявлено, что основными конкурентами предприятия являются косметические салоны «Фит» и «Ремикс». Конкурентный профиль предприятия должен строиться по отношению к салону «Фит», имеющему лучшей конкурентные позиции.
Была выявлена также структура клиентов предприятия по различным признакам, что имеет особую важность и должно быть обязательно учтено при разработке стратегии предприятия.
Анализ внутренней среды предприятия включает в себя анализ организационной структуры управления предприятием, анализ состава и структуры персонала, анализ рекламной деятельности.
На предприятии предлагается применить функциональную организационную структуру управления. Она характеризуется тем, что выполнение отдельных функций по конкретным вопросам возлагается на специалистов, т.е. каждый орган управления специализирован на выполнении отдельных видов деятельности. Специалисты одного профиля объединяются в специализированные структурные подразделения. Функциональная специализация управления значительно повышает результативность деятельности организации.
Предприятию предлагается размещать рекламы в газетах, журналах, на телевидении, радио.
В результате проведения маркетинговых исследований было выявлено, что наиболее важным потребительским видом косметологических услуг для определенных групп потребителей является чистка лица. Другие виды также имеют немаловажное значение, что должно быть учтено при реализации услуг предприятия.
Основными стратегическими направлениями развития предприятия являются: закрепление и усиление в Кемерово позиции; вывод на рынок новых видов услуг.
Общая потребность в инвестициях, в соответствии с настоящим бизнес-планом, определена в 510 000 руб. Для реализации проекта планируется использовать собственный капитал.
Анализ эффективности проекта показал, что он является экономически эффективным и финансово привлекательным.
ЛИТЕРАТУРА
1. Алексеева М.М. Планирование деятельности фирмы. М.: Финансы и статистика, 2000.
2. Ансофф И. Стратегическое управление. Сокр. пер. с англ. М.: Экономика, 1999.
3. Байдакова Н.И., Костина Г.П. Экономический анализ деятельности предприятия. М.: АМИ, 2000.
4. Балабанов И.Т. Анализ и планирование финансов хозяйствующего субъекта. М.: Финансы и статистика, 1999.
5. Беренс В. Хавранек П.М. Руководство по оценке эффективности инвестиций, перевод с англ. «Manual for the Preparation of Industrial Feasibilty Studies» - UNIDO, М.: Интерэксперт, 1999.
6. Бизнес-план инвестиционного проекта: Отечественный и зарубежный опыт: Современная практика и документация. Учеб.-практ. пособие / Под общ. ред. В.М.Попова. Изд. 4-е. М.: Финансы и статистика, 1999.
7. Бизнес-план инвестиционного проекта: Практич. пособие./ Под ред. И.А. Иванниковой. М.: Эксперт-бюро, М, 2001.
8. Бизнес-план. /Кураков Л.П., Ляпунов С.И., Мингазов Х.Х., Попов В.М. Изд. 2-е. Ч. 1. Зарубежный и отечественный опыт. М.: Финансы и статистика, 2000.
9. Бирман А.М. Экономические рычаги повышения эффективности производства. - М.: Мысль, 2000.
10. Виханский О.С., Наумов А.И. Менеджмент. М.: Гардарики, 2002.
11. Герчикова И.Н. Менеджмент: Учебник. М.: ЮНИТИ, 2001.
12. Голубков Е.П., Жандаров А.М. Проблемы планирования и управления. Опыт системных исследований. М., 1999.
13. Гольдштейн Г.Я., Гуц А.Н.. Экономический инструментарий принятия управленческих решений. Таганрог: ТРТУ, 2002.
14. Горемыкин В.А., Богомолов А.Ю. Планирование предпринимательской деятельности предприятия: Метод пособие / Ин-т междунар. экон. связей. М.: ИНФРА – М, 2002.
15. ГОСТ 12.1.019-79. ССБТ. Электробезопасность. Общие требования.
16. ГОСТ 12.1.030-81. ССБТ. Электробезопасность. Защитное заземление. Зануление.
17. ГОСТ 12.2.013.0-91. ССБТ. Машины ручные, электрические. Общие требования безопасности.
18. ГОСТ 27429-87. Изделия парфюмерно-косметические жидкие. Упаковка, маркировка, транспортирование и хранение.
19. ГОСТ 28303-89. Изделия косметические. Упаковка, маркировка, транспортирование и хранение.
20. Гражданский Кодекс Российской Федерации. Часть первая от 21 октября 2001г.
21. Деловое планирование: Методы. Организация. Современная практика. М.: Финансы и статистика, 2002.
22. Дэвид Г. Бэнгз. Руководство по составлению бизнес-плана. Серия «Маркетинг и менеджмент за рубежом» / Пер. с англ. М.: Финпресс, 1999.
23. Ефремов В.С. Стратегия бизнеса. Учеб. пособие. М.: ДИС, 1999.
24. Ильенкова Н.Д. Спрос: анализ и управление. М.: Финансы и статистика, 1999.
25. Ковалев В.В., Волкова О.Н. Анализ хозяйственной деятельности предприятия. М.: Проспект, 2001.
26. Козловский В.Л., Маркина Г.В., Макаров В.М. Производственный и операционный менеджмент. Учебник. СПб: Специальная литература, 1999.
27. Круглов М. И. Стратегическое управление компанией. Учебник для ВУЗов. М.: РДЛ, 1999.
28. Куксов А. Планирование деятельности предприятия // Экономист. М., 2000, № 6.
29. Курач Л.А., Лепе Л.Н., Семенов П.М. Разработка бизнес-плана предприятия. М., 1999.
30. Лобанова Е.Н. Ключевая структура управления на предприятии // Экономика и жизнь. - 2001. - № 7.
31. Львов Ю.А. Основы экономики и организации бизнеса. СПб.: ГМП «Формика», 1999.
32. Мескон М. Х., Альберт М., Хедоури Ф. Основы менеджмента. М.: Дело, 1999.
33. Мирзоев Р.Г. Методология эффективности в менеджменте и маркетинге. Учебное пособие. СПб, 1999.
34. Сергеев А.А. Экономические основы бизнес - планирования. М.: ЮНИТИ, 1999.
35. Смирнов Э.А. Теория организации. М.: Инфра – М, 2000.
36. Томилов В.В., Крупанин А.А. Экономико-организационные основы предпринимательства / Под общ. ред. акад. Г.Л. Багиева. СПб.: СПбУЭФ, 1999.
37. Томпсон А.А., Стрикленд А. Дж. Стратегический менеджмент. Искусство разработки и реализации стратегии. Учебник для вузов./ Пер. с англ. М.: Банки и биржи, ЮНИТИ, 2003.
38. Тян Р.Б. Планирование деятельности предприятия. Научное пособие. М., 1999.
39. Управление по результатам: Пер. с финск. / Общ. ред. и предисл. Я.А. Леймана. – М., 1999.
40. Федеральный закон № 14-ФЗ «Об обществах с ограниченной ответственностью» от 8 февраля 1998г. №14-ФЗ.
41. Четыркин Е.М. Методы финансовых и коммерческих расчетов. М.: Дело, 2001.
[1] Герчикова И.Н. Менеджмент: Учебник. - М.: Банки и биржи, ЮНИТИ, 2001. - С. 685
[2] Приказ Минэкономики РФ от 1 октября 1997 г. № 118 «Об утверждении Методических рекомендаций по реформе предприятий (организаций)».
[3] Дэвид Г. Бэнгз. Руководство по составлению бизнес-плана. Серия «Маркетинг и менеджмент за рубежом» / Пер. с англ. М., 2003.
[4] Гарнер Д., Оуэн Р., Конвей Р. Привлечение капитала, изд-во Д. Уайли анд Санз, М., 2001.
[5] В большей части литературы этому понятию соответствует термин «экономическая эффективность».
[6] Беренс В. Хавранек П.М. Руководство по оценке эффективности инвестиций, перевод с английского «Manual for the Preparation of Industrial Feasibilty Studies» - UNIDO, М., 2002.
1 Смирнов Э.А. Теория организации. М.: Инфра – М, 2000. С. 27.


