Содержание
Введение. 3
1. Понятие и необходимость классификации издержек обращения на постоянные и переменные. 5
2. Проблематика классификации издержек обращения на постоянные и переменные 7
3. Пример расчета переменных издержек обращения. 12
4. Пример расчета постоянных издержек обращения. 14
Заключение. 17
Список литературы.. 19
Задача 19. 21
Приложение 1. 24
Приложение 2. 25
Введение
Для нашего государства с переходной экономикой процесс формирования конечного финансового результата сопряжен с многими проблемами. Резкие колебания цен, непредвиденные изменения в составе поставщиков и покупателей продукции, инфляционные влияния и многие другие негативные факторы не позволяют предприятиям спрогнозировать сколько-нибудь стабильные темпы прироста реализации продукции (работ, услуг). Все выше названные факторы приводят к резкому росту затрат, относимых на издержки обращения, которые самым непосредственным образом влияют на конечный финансовый результат деятельности предприятия.
Торговая деятельность предприятия сопровождается расходами различного вида и относительной значимости. Согласно новому плану счетов возможны два варианта учета затрат на реализацию продукции. Первый, традиционный для отечественной практики, предусматривает исчисление стоимости продукции путем группировки расходов на прямые и косвенные. Второй вариант, широко используемый в экономически развитых странах, предполагает иную группировку затрат – на переменные и условно-постоянные по видам изделия. Основное значение такой системы учета заключается в высокой степени интеграции учета, анализа и принятия управленческих решений, что в итоге позволяет гибко и оперативно принимать решения по нормализации финансового состояния предприятия. Торговая деятельность предприятия сопровождается расходами различного вида и относительной значимости. Согласно новому плану счетов возможны два варианта учета затрат на реализацию продукции. Первый, традиционный для отечественной практики, предусматривает исчисление стоимости продукции путем группировки расходов на прямые и косвенные. Второй вариант, широко используемый в экономически развитых странах, предполагает иную группировку затрат – на переменные и условно-постоянные по видам изделия. Основное значение такой системы учета заключается в высокой степени интеграции учета, анализа и принятия управленческих решений, что в итоге позволяет гибко и оперативно принимать решения по нормализации финансового состояния предприятия.
Порядок формирования состава затрат, относимых на издержки обращения, определяет также и объем налогооблагаемой прибыли.
Издержки обращения в торговой организации классифицируются по различным признакам.
Целью данной работы является исследование классификации постоянных и переменных издержек обращения торгового предприятия.
Поставленная цель конкретизируется рядом задач:
1) рассмотреть понятие и необходимость классификации издержек обращения на постоянные и переменные
2) рассмотреть сущность проблематики классификации издержек обращения на постоянные и переменные
3) рассмотреть пример расчета постоянных и переменных издержек обращения
1. Понятие и необходимость классификации издержек обращения на постоянные и переменные
Издержки обращения, определяющие стоимость товаров, состоят из стоимости природных ресурсов, сырья, основных и вспомогательных материалов, топлива, энергии, основных фондов, трудовых ресурсов и прочих расходов по эксплуатации[3, с. 45].
Состав и структура издержек обращения зависят от характера и условий продажи товаров при той или иной форме собственности, от соотношений материальных и трудовых затрат и других факторов.
Издержки обращения – один из важнейших качественных показателей торговой деятельности.
Реальный состав издержек обращения торгового предприятия регламентируется Положением о составе затрат по реализации продукции и о порядке формирования финансовых результатов, учитываемых при налогообложении прибыли. В соответствии с этим Положением издержки обращения торговой организации, исходя из их экономического содержания, объединяются в пять групп[2, с. 55]:
- Материальные затраты;
- Затраты на оплату труда;
- Отчисления на социальные нужды;
- Амортизация основных фондов;
- Прочие затраты.
Все издержки обращения торгового предприятия можно условно разделить на постоянные и переменные.
Постоянными называются издержки обращения, сумма которых не меняется при изменении товарооборота торговой организации. К этой группе относятся:
- арендная плата;
- амортизация основных фондов;
- износ нематериальных активов;
- износ малоценных и быстро изнашивающихся предметов, расходы по содержанию зданий, помещений;
- затраты по подготовке и переподготовке кадров;
- затраты капитального характера и другие виды затрат.
Переменные издержки обращения – это издержки, сумма которых изменяется пропорционально изменению товарооборота торговой организации. Эта группа включает[6, с. 136]:
- расходы на сырье;
- транспортные расходы;
- расходы на оплату труда;
- топливо, газ и электроэнергию для торговых целей;
- расходы на тару и упаковку;
- отчисления в различные фонды.
Деление издержек обращения на постоянные и переменные позволяет четко показать зависимость между товарооборотом организации и размером прибыли от продажи товаров. Эта зависимость отражается с помощью графика безубыточности (Приложение 1, 2).
Точка К в Приложении 1, 2 является точкой безубыточности. Она показывает ту предельную сумму доходов от продажи товаров в стоимостной оценке (Ом) и в натуральных единицах (Оn), ниже которой деятельность хозяйствующего субъекта будет убыточной, так как линия издержек обращения выше линии доходов о продаж товаров.
Расчет точки безубыточности можно производить аналитическим методом. Он заключается в определении минимального объема дохода от продажи товаров, при котором уровень рентабельности хозяйствующего субъекта будет больше 0,00 %. [1]
Размер прибыли как конечного финансового результата хозяйственной деятельности работы торгового предприятия зависит и от второй, не менее важной величины-товарооборота торговой организации.
Размер товарооборота и соответственно прибыли зависит не только от количества и качества проданных товаров, но и от уровня применяемых цен торгового предприятия.
Исходя из выше указанного постановления товарооборот в соответствующих ценах может определяться различными методами в зависимости от рыночных условий хозяйствования, наличия или отсутствия договоров, путей внедрения товаров на рынок и т. д.
Тот или иной метод определения дохода от продаж в зависимости от договорных условий, форм сбыта продукции и иных хозяйственных проблем устанавливается самим предприятием на длительный период для целей налогообложения.
Итак, виды и уровень применяемых цен определяют в конечном счете объем товарооборота, а следовательно прибыли.
2. Проблематика классификации издержек обращения на постоянные и переменные
Для торгового предприятия, работающего в условиях рыночной экономики, часто имеют место экономические ситуации, связанные с колебаниями загрузки торговых мощностей, что влечет за собой изменение объема товарооборота и продаж, а это, в свою очередь, существенно влияет на издержки обращения, и, следовательно, на финансовые результаты. В управленческом (производительном) учете существуют хорошо разработанная теория классификации издержек обращения на постоянные и переменные.
Здесь можно выделить три группы вопросов[3, с. 145]:
- поведение издержек обращения в зависимости от изменения объема товарооборота; - относительность (условность) классификации издержек обращения на постоянные – переменные
- методы деления издержек обращения на постоянные – переменные.
К постоянным издержкам обращения принято относить такие издержки обращения, величина которых не меняется с изменением степени загрузки торговых мощностей или изменением объема товарооборота (например, начисляемая за период амортизация основного капитала, арендная плата, процент на заемный капитал и другие). Под переменными понимают издержки обращения, величина которых изменяется с изменением степени загрузки торговых мощностей или объемов товарооборота. К ним относятся, например, затраты на сырье и основные материалы, заработная плата основных производственных рабочих и другие). В зависимости от процентного соотношения изменения издержек обращения и изменения объема товарооборота переменные затраты, в свою очередь, подразделяются на пропорциональные, прогрессивные и дегрессивные. Это явление, характеризующее различное поведение издержек обращения и связь их с общими издержками, можно представить уравнением (4).
ИО = ИОпост + ИОпер, (4)
Кроме этих двух групп издержек обращения существует большая группа издержек обращения смешанного типа – полупеременных (полупостоянных). Поведение такого рода издержек обращения может быть описано уравнением: Y = a + aX, (5)
где a – коэффициент, характеризующий долю постоянных (не зависящих от объема или загрузки) издержек обращения;
a – коэффициент, представляющий величину переменных (изменяющихся с изменением объема или загрузки) издержек обращения в расчете на единицу объема производства;
Y – величина совокупных издержек;
Х - объем товарооборота.
Немецкий ученый К. Меллерович для описания соотношения процента изменения издержек обращения и процента изменения товарооборота ввел понятие коэффициента реагирования издержек обращения (Крио), который определяется по формуле (6).
Крио=% изменения издержек обращения/ % изменения объема товарооборота, (6)
Данный коэффициент принимает различные значения в зависимости от вида издержек обращения: для постоянных Крио=0; для пропорциональных Крио=1; для прогрессивных – Крио>1; для дегрессивных – Крио изменяется в пределах от 0 до 1.
Помимо поведения издержек обращения в зависимости от изменения объема товарооборота, важным аспектом теории классификации издержек обращения на постоянные и переменные является условность такого их подразделения.
Существует большое количество видов издержек обращения, которые определяют величину совокупных издержек при изменении объема товарооборота (затраты на сырье, основные и вспомогательные материалы, транспортные расходы и другие). Поскольку коэффициент реагирования этих переменных издержек обращения определяет решения об увеличении или снижении объема товарооборота, такие издержки обращения называются решающими[8,с . 187].
Издержки обращения других видов (заработная плата администрации предприятия, охраны, плата за арендованные основные средства и другие) не зависят от объема товарооборота. Они просто являются условием функционирования предприятия. Их принято называть издержками обращения, не определяющими решения.
Однако сделать вывод о том, что все переменные издержки обращения влияют на решения об объемах товарооборота, а все постоянные не влияют, нельзя.
Существуют издержки обращения, которые в определенной ситуации могут быть постоянными, а в другой – переменными. Ответ на вопрос, считать данные издержки обращения постоянными или переменными, зависит от двух факторов: длительности периода, рассматриваемого для принятия решения и делимости производственных факторов.
На длительный период времени все издержки обращения становятся переменными.
Постоянные издержки обращения могут возникать в результате юридических или договорных отношений, например договоры на лизинг, договоры о найме, законодательные сроки подачи заявления об увольнении, арендные договоры и так далее.
Поэтому бесполезно делить издержки обращения на постоянные и переменные по их сущности. В теории классификации издержек обращения на постоянные – переменные управленческого (производственного) учета утверждается, что характер поведения издержек обращения (переменный или постоянный) зависит от соответствующей торговой ситуации, в которой принимаются решения.
Даже если торговое предприятие не работает, оно все равно должно выплачивать проценты на заемный капитал; эти проценты представляют собой постоянные издержки, так как их величина не зависит от степени загрузки или объема товарооборота. Эти же проценты становятся переменными, когда меняется ситуация для принятия решения, например предполагается продать торговое предприятие. Если встал вопрос, продавать, например, 1000 шт. конкретных изделий или закрыть предприятие, то все издержки становятся переменными[10, с. 124].
Другая причина возникновения постоянных издержек - недостаточная делимость факторов. Следствием ее является то, что многие издержки обращения возрастают не постепенно с увеличением загрузки, а скачкообразно. Эти издержки постоянные для определенного интервала загрузки мощностей, затем они резко повышаются и снова остаются неизменными на определенном интервале. Такие издержки называют скачкообразными или постоянными для данного интервала. Чем меньше становятся интервалы загрузки, тем ближе издержки по своему характеру к переменным.
Постоянные издержки, возникающие из-за неделимости факторов, состоят из "холостых", не используемых в торговом процессе, и полезных издержек обращения.
При снижении объемов товарооборота все равно уплачиваются проценты на вложенный капитал и начисляется амортизация, которые только частично являются полезными, а частично – "холостыми" издержками вследствие неделимости факторов.
Таким образом, постоянные издержки, возникающие из-за неделимости факторов состоят из "холостых", не используемых в производственном процессе, и полезных издержек:
ИОпост = ИОполезн +ИО"холост", (7)
Итак, важным положением теории классификации издержек является условность этой классификации. Не существует таких издержек, которые по существу можно отнести к постоянным или переменным. Разделение издержек на постоянные и переменные во многом определяется конкретной ситуацией или проблемой по принятию решений.
Можно выделить два направления практического развития классификации издержек обращения: деление издержек обращения на постоянные – переменные в случае необходимости и совершенствование методов и способов такого деления.
Существуют два подхода к изучению поведения издержек: микроэкономический и бухгалтерский[10, с. 55].
Исследования поведения издержек с позиций микроэкономического анализа носят в основном теоретический характер, и в силу сложности и малой практической применимости они не получили широкого распространения. Бухгалтерский подход во многом прагматический. Согласно этому подходу издержки упрощенно делятся, как правило, на две группы: переменные и постоянные. Но даже при использовании данного подхода нельзя игнорировать факт существования смешанного типа большого числа видов издержек обращения, которые носят полупеременный характер. Поэтому в рамках бухгалтерского подхода в теории и практике управленческого (производственного) учета применяется ряд методов разделения издержек обращения на постоянную переменную части. Например таких, как метод корреляции, метод наименьших квадратов и другие. Что касается метода наименьших квадратов, то он чувствителен к значительным отклонениям от средних, и иногда более грубые методы могут давать более точные результаты.
Данные методы относятся к категории наиболее простых и доступных методов. А их надежность можно обеспечить, проводя предварительный качественный анализ данных.
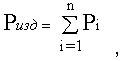
3. Пример расчета переменных издержек обращения
С целью определения переменных издержек необходимо рассчитать величину отдельных статей и элементов затрат [2, 7 и др.] . 3.1. Стоимость материалов вычисляется по формуле (8).
(8)
где Ц - цена за 1 кг материала , руб.;
Мизд - масса изделия , кг;
Кисп.мат. - коэффициент использования материала ;
Нтзр - норма транспортно- заготовительных расходов (2%).
3.2. Затраты на оплату труда производственных рабочих рассчитываются в следующем порядке:
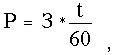
Вычисляются сдельные расценки для каждой операции по формуле (9).
(9)
где Р - расценка на данной операции ,руб.;
З - часовая тарифная ставка рабочего, выполняющего данную операцию, руб.; t - время обработки изделия на этой операции, мин.
Часовые тарифные ставки всех рабочих рассчитываются по формуле(10). З = З1 * Кт , (10)
где З1 - часовая тарифная ставка рабочих 1-го разряда, руб.;
Кт - тарифный коэффициент соответствующего разряда.
Затем определяется расценка на изделие по формуле (1).
(11)
где n - количество операций технологического процесса изготовления изделия. Премия производственным рабочим рассчитывается по формуле (12).
(12)
где Нпр - норма премии.
Норма премии примем равной 50%.
Отчисления на социальные нужды производственных рабочих считаются по формуле (13).
(13)
где Носн - норма отчислений на социальные нужды, %.
В России норма отчислений на социальные нужды равна 35,6%.
ПРИМЕР
Пусть ЗОТ пр.р равен 145 тыс. руб., Нос = 35,6 %, тогда:
ОСН пр.р = 145 *35,6:100 = 51,62 (тыс. руб.)
Годовой фонд оплаты труда производственных рабочих определяется по формуле (14).
(14)
где Пг - производственная программа.
Годовые отчисления на социальные нужды производственных рабочих рассчитываются по формуле (15).
(15)
Результаты расчетов заносим в таблицу 1.
Таблица 1
Переменные издержки на единицу изделия
|
№ п/п |
Наименование статьи расходов |
Условное обозначение |
|
1 |
Материальные затраты |
СМ |
|
2 |
Затраты на оплату труда производственных рабочих |
ЗОТпр.р |
|
3 |
Отчисления на социальные нужды производственных рабочих |
ОСН |
|
4 |
Коммерческие расходы |
Красх |
|
Итого переменные издержки на 1 изделие |
4. Пример расчета постоянных издержек обращения
4.1. Расходы на содержание и эксплуатацию оборудования [9, с. 97]
Вспомогательные рабочие относятся к категории работников, труд которых оплачивается по повременной системе оплаты.
Фонд оплаты труда вспомогательных рабочих определяется для каждой категории рабочих отдельно по формуле (16):
ФОТвсп.раб. = ТФОТвсп.раб. + ПР + Д , (16)
где ТФОТвсп.раб. - тарифный фонд оплаты труда вспомогательных рабочих; ПР - премия вспомогательных рабочих, руб.;
Д - доплата вспомогательных рабочих, руб.
ФОТвсп.раб.
=
Ч
всп.раб.i Фэф Зi , (17)
где Фэф. - эффективный фонд рабочего времени вспомогательных рабочих в год, час;
Чвсп.раб.- численность вспомогательных рабочих соответствующей профессии, чел.;
i - номер профессии.
Годовой эффективный фонд рабочего времени вспомогательных рабочих рассчитывается по формуле (18).
(18)
где а - процент невыходов на работу по уважительным причинам.
Нормы премии и допалат равны соответственно 25% и 5%.
Отчисления на социальные нужды вычисляются по формуле (19).
(19)
Расчет ОСН осуществляется для каждой категории работников отдельно.
Затраты на технологическую электроэнергию вычисляются по формуле (20).
(20)
где Тэ - тариф на 1 кВт/ч электроэнергии , руб.;
Руст - мощность установленного оборудования , кВт;
Фд - действительный фонд работы времени работы оборудования, час;
Ко - коэффициент одновременной работы оборудования ;
КПД - коэффициент полезного действия оборудования ;
Кп - коэффициент потерь в сети .
Амортизация оборудования рассчитывается на основе балансовой стоимости оборудования и годовых норм амортизации по формуле (21).
(21)
где Sб - балансовая стоимость , руб.;
Nа - норма амортизационных отчислений , %.
В данном случае балансовую стоимость надо умножить на количество оборудования.
Балансовая стоимость транспортных средств составляет 40% от балансовой стоимости оборудования, норма амортизации транспортных средств 12,5%. Затраты на вспомогательные материалы рассчитываются по формуле (22).
СМвсп = М * Чст , (22)
где М - затраты на вспомогательные материалы на один станок, руб.; Чст - Число станков, шт.
Расходы на эксплуатацию транспортных средств (Зтр) составляют 10% от их балансовой стоимости.
Расходы на ремонт технологического оборудования (Роб) составляют 18% от их первоначальной стоимости.
Расходы на ремонт транспортных средств (Ртр) - 9% от их балансовой стоимости.
Результаты расчетов поместим в таблицу 2.
Таблица 2
|
|
Статья расходов |
Условное обозначение |
|
1 |
Фонд оплаты труда вспомогательных рабочих |
ФОТвсп.раб |
|
2 |
Отчисления на социальные нужды вспомогательных рабочих |
ОСНвсп.раб |
|
3 |
Стоимость технологической электроэнергии |
Сэ |
|
4 |
Амортизационные отчисления по технологическому оборудованию |
А |
|
5 |
Амортизационные отчисления по транспортным средствам |
Атр |
|
6 |
Стоимость вспомогательных материалов |
СМвсп |
|
7 |
Расходы на эксплуатации транспортных средств |
Зтр |
|
8 |
Расходы на ремонт оборудования |
Роб |
|
9 |
Расходы на ремонт транспортных средств |
Ртр |
|
10 |
Износ малоценных и быстроизнашивающихся предметов |
Имбп |
|
|
Итого: расходы по содержанию и эксплуатации оборудования |
Заключение
Издержки обращения, определяющие стоимость товаров, состоят из стоимости природных ресурсов, сырья, основных и вспомогательных материалов, топлива, энергии, основных фондов, трудовых ресурсов и прочих расходов по эксплуатации.
Состав и структура издержек обращения зависят от характера и условий продажи товаров при той или иной форме собственности, от соотношений материальных и трудовых затрат и других факторов.
Издержки обращения – один из важнейших качественных показателей торговой деятельности.
Деление издержек обращения на постоянные и переменные позволяет четко показать зависимость между товарооборотом организации и размером прибыли от продажи товаров. Эта зависимость отражается с помощью графика безубыточности.
Для торгового предприятия, работающего в условиях рыночной экономики, часто имеют место экономические ситуации, связанные с колебаниями загрузки торговых мощностей, что влечет за собой изменение объема товарооборота и продаж, а это, в свою очередь, существенно влияет на издержки обращения, и, следовательно, на финансовые результаты. В управленческом (производительном) учете существуют хорошо разработанная теория классификации издержек обращения на постоянные и переменные.
К постоянным издержкам обращения принято относить такие издержки обращения, величина которых не меняется с изменением степени загрузки торговых мощностей или изменением объема товарооборота (например, начисляемая за период амортизация основного капитала, арендная плата, процент на заемный капитал и другие). Под переменными понимают издержки обращения, величина которых изменяется с изменением степени загрузки торговых мощностей или объемов товарооборота. К ним относятся, например, затраты на сырье и основные материалы, заработная плата основных производственных рабочих и другие). В зависимости от процентного соотношения изменения издержек обращения и изменения объема товарооборота переменные затраты, в свою очередь, подразделяются на пропорциональные, прогрессивные и дегрессивные.
Список литературы
1. Приказ Минфина РФ “О годовой бухгалтерской отчетности организации” и “Инструкция о порядке заполнения форм годовой бухгалтерской отчетности” от 12 ноября 1996 г. № 97.
2. Артеменко В.Г., Беллендир М.В. Финансовый анализ: Учебное пособие. - М.: ДИС, НГАЭ и У, 2002. – 364 с.
3. Барановский Н.И., Благодер Г.П. Планирование деятельности малых строительных организаций// Экономика строительства.- 2001.- № 12.- С.26-37.
4. Басапов М.И. Анализ хозяйственной деятельности. - М.: Экономика, 2001. - 437 с.
5. Бука Л.Ф., Зайцева О.П., Финансовый анализ в потребительской кооперации. Новосибирск: СибУПК, 2001. – 168с.
6. Бука Л.Ф., Зайцева О.П., Экономический анализ. - Новосибирск: СибУПК, 2002. – 140с.
7. Гиляровская Л.Т. Экономический анализ: Учебник для вузов / - 2-е изд., доп. - М.: ЮНИТИ-ДАНА, 2002. - 615с.
8. Ефимова О.В. Финансовый анализ. - М.: Бухгалтерский учет, 2002. – 359 с.
9. Ковалев А. И., Привалов В.П. Анализ финансового состояния предприятия. Издание 2-е, переработанное и дополненное. - М.: Центр экономики и маркетинга, 2001. – 285 с.
10. Ковалев В.В. Финансовый анализ. Издание 2-е, переработанное и дополненное. - М.: Финансы и статистика, 2003. – 438 с.
11. Методические положения по оценке финансового состояния предприятий и установлению неудовлетворительной структуры баланса/ Утверждены распоряжением Федерального управления по делам о несостоятельности (банкротстве) при Государственном комитете РФ по управлению государственным имуществом от 12.08.1994 № 31-р*//Экономика и жизнь .- 1994.- №№ 44,45.
12. Налоговый Кодекс Российской Федерации. – М.:Вече, Поматур, 2003. – 448 с.
13. Трудовой кодекс Российской Федерации : Федеральный закон Российской Федерации от 1.02.2002 № 197-ФЗ//Консультант Плюс. Версия Проф.
Задача 19
УСЛОВИЕ ЗАДАЧИ
Имеется следующий информационный банк данных:
Таблица 3
|
Показатели |
Отчетный год |
Планируемый год |
Темп роста, % |
||
|
сумма, тыс. руб. |
уровень, % к обороту |
сумма, тыс. руб. |
уровень, % к обороту |
||
|
Переменные издержки |
4526,33 |
11,01 |
5069,5 |
11,01 |
1,12 |
|
Постоянные издержки |
3198,5 |
7,78 |
3450,5 |
7,49 |
1,08 |
|
ИТОГО ИЗДЕРЖЕК |
7724,8 |
18,79 |
8520 |
18,5 |
1,10 |
|
Выручка, к которой исчислены издержки обращения |
41111 |
100 |
46054,1 |
100 |
1,12 |
Рис. 1. Динамика переменных затрат в отчетном и планируемом году
Как видно из рисунка 1, в планируемом году переменные затраты вырастут с 4526,33 до 5069,5 тыс. руб. или на 12 %

Рис. 2. Динамика постоянных затрат в отчетном и планируемом году
Как видно из рисунка 2, в плановом году постоянные затраты вырастут с 3190,5 до 3450,5 тыс. руб. или на 8 %.

Рис. 3. Динамика общих затрат в отчетном и планируемом году
Как видно из рисунка 3, в плановом году общие затраты организации вырастут с 7724,8 до 8520 тыс. руб. или на 10 %.

Рис. 4. Динамика выручки в отчетном и планируемом году
Как видно из рисунка 4, в плановом году в организации выручка вырастет с 41111 до 46054,054 тыс. руб. или на 12 %.
Рост всех показателей в организации в плановом году является тем фактом, что организация планирует расширить свою деятельность и увеличить объемы оборота.
Приложение 1
График безубыточности: зависимость абсолютных показателей
Приложение 2
График безубыточности: зависимость относительных издержек обращения
![]() |
[1] Ковалева А. М. Финансы в управлении предприятием. - М.: Финансы и статистика, 2001. - 380 с.
