Содержание
Введение. 3
1. Место ТНК в России и в мире. 4
2. Процесс транснационализации в России. 12
3. Крупнейшие ТНК России и выход их на мировой рынок. 19
4. Привлекательность российской экономики для зарубежных ТНК.. 21
5. Ресурсоэкспортирующие компании – основа российской экономики. 32
6. Основные препятствия для деятельности иностранных ТНК.. 39
7. Крупнейшие иностранные ТНК в Российском экономическом пространстве 42
8. Транснационализация и Россия – вынужденная необходимость или путь развития?. 44
9. Перспективы транснационализации экономики России. 47
Список литературы.. 52
Введение
Реальностью сегодняшнего дня является все возрастающее значение транснациональных корпораций (ТНК) в глобализирующейся экономике. Этот процесс появления транснациональных корпораций называется транснационализацией.
Существуют различные оценки деятельности ТНК: некоторые авторы полагают, что в перспективе ТНК смогут стать доминирующей силой мирового хозяйства, сменив национальные государства в качестве основных его субъектов, другие, напротив, исходят из предположения, что роль ТНК несколько преувеличена. В любом случае можно сделать вывод, что ТНК являются одним из важнейших субъектов мировой экономики, поэтому изучение их роли в современной экономике является актуальным.
Целью данной работы является рассмотрение транснационализации в России и роли транснациональных корпораций в современной национальной экономике.
Для достижения данной цели необходимо решить следующие задачи:
- Рассмотреть сущность ТНК и их место в мире и России;
- Описать процесс транснационализации в России;
- Охарактеризовать крупнейшие ТНК России;
- Описать возможные причины привлекательности российской экономики;
- Рассмотреть основную деятельность российских ТНК: экспорт сырья;
- Описать основные препятствия вхождения иностранных ТНК в российскую экономику;
- Раскрыть направления деятельности основных иностранных ТНК в России;
- Описать характер процесса транснационализации: необходимость, либо естественный процесс;
- Охарактеризовать перспективы транснационализации России.
1. Место ТНК в России и в мире
Транснациональная корпорация – это комплекс, использующий в своей деятельности международный подход и предполагающий формирование транснационального производственного, торгового и финансового комплекса с единым центром принятия решений в стране базирования и с филиалами в других странах.
Роль, которую играют ТНК в системе мирового хозяйства, настолько велика, что уже сейчас можно говорить о том, что система из 500-600 крупнейших компаний и есть мировая экономика. Известно, например, что под их контролем осуществляется около 9/10 всех частных заграничных капиталовложений, 2/3 внешней торговли и чуть ли не весь объем международной передачи технологии.
Однако ТНК не только подчиняют себе мирохозяйственные связи, но и в определенной мере преобразуют экономический характер последних, превращая значительную их часть во внутрикорпорационные поставки. Так, на протяжении почти уже двух десятилетий внутрифирменными являются 1/3 внешней торговли и более 2/3 международной передачи технологии.
Более того, ТНК контролируют не только международные, но фактически все экономические отношения, являясь их центральным субъектом. На долю ТНК приходится около 1/4 валового внутреннего продукта мира, более 1/3 его промышленного производства и около 8/10 разрабатываемой технологии. На долю только 200 крупнейших промышленных фирм приходится от 1/5 до 1/4 стоимости добавленной обработкой в объеме товарного производства всего мира.
Характер деятельности, система организации, управленческие технологии -то, что определяет успех ТНК и их роль в мировом хозяйстве.
Качественные изменения в организационных формах и методах международной деятельности фирм - это результат тех сдвигов, которые происходят в сфере производства, где господствующие позиции принадлежат ТНК. Эти изменения отражают тот факт, что проблема воспроизводства все более превращается в проблему рынка, и, чтобы осуществить производство на расширяющейся основе, ТНК все глубже внедряются в сферу международного обращения путем создания собственной заграничной сети. Это внедрение вместе с тем означает, что сам характер и содержание международной деятельности фирм претерпевают существенные изменения, поскольку она все более отражает результаты производственного кооперирования и производственных связей как между крупными ТНК, так и внутри них.
В соответствии с Докладом о мировых инвестициях (2001 год), подготовленным Конференцией Организации Объединенных Наций по торговле и развитию — ЮНКТАД (United Nations Conference on Trade and Development, UNCTAD), которая традиционно изучает деятельность ТНК, в мире насчитывается 63 тыс. транснациональных корпораций с 800 тыс. зарубежных подразделений1. В середине 90-х годов функционировало 40 тыс. таких корпораций. Они контролировали за пределами своих стран до 250 тыс. дочерних компаний. Количество ТНК за последние тридцать лет увеличилось в 9 раз (в 1970 г. было зарегистрировано лишь 7 тыс. подобных фирм, в 1976 г. их было 11 тысяч с 86 тыс. зарубежных филиалов, а в 1990 г. — 24 тыс. ТНК).[1]
На рис. 1 представлена динамика количества транснациональных компаний и их зарубежных дочерних предприятий и филиалов за последнее десятилетие. График составлен на основе базы данных Организации Объединенных Наций. Информация, содержащаяся в годовых докладах ЮНКТАД о мировых инвестициях, обычно характеризует картину, сложившуюся за один-два года до их опубликования. Поэтому на рисунке, учитывая некоторую неравномерность по времени представляемых данных, год соответствует году опубликования соответствующего доклада.

Рис. 1. Динамика количества ТНК и их зарубежных филиалов[2]
Анализ данных, представленных на рис. 1, показывает, что за последние два-три года наблюдается существенный рост количества зарубежных филиалов ТНК по сравнению с увеличением числа материнских компаний. Так, при темпе прироста транснациональных компаний в 2001 году по сравнению с данными 1999 года на 5%, количество дочерних компаний увеличилось на 60%. Данные, опубликованные по ТНК в 2001 году, совпадают с данными 2000 года, однако, количество зарубежных филиалов возросло на 15,9%. Если в середине 90-х годов в среднем в состав одной транснациональной корпорации входило 6 дочерних компаний, то по данным 2001 года — уже почти 13.
Справедливости ради, следует отметить, что на объективность данных о количестве транснациональных компаний влияет, прежде всего, фактор, заключающийся в том, какие компании исследователи относят к ТНК, с помощью каких критериев определяется степень транснациональности корпорации.
Сосредоточение значительной части международного товарообмена в ТНК и осуществление его в формах и методах, присущих их экономической природе, определяют во многом характер международных экономических связей в современных условиях. Транснационализация производства и капитала стала не только непосредственным условием функционирования и развития ТНК, но и фактором, определяющим в известной мере темпы и пропорции развития всей мировой системы хозяйства. По мере возрастания в деятельности ТНК роли внешнеэкономической сферы она становится все более действенным фактором их экономического роста.
Важнейшие изменения в содержании международной деятельности ТНК проявляют себя прежде всего в том, что наряду с торговлей в ее традиционном виде все большее значение приобретают новые формы обмена, такие, как производственное сотрудничество, обмен научно-техническими знаниями и опытом, другими услугами.
Развиваясь с конца 60-х годов, производственное сотрудничество и тесно связанная с ним торговля научно-техническими знаниями превратились в наиболее интенсивно растущие сферы международных экономических связей между странами и обусловили существенные сдвиги в структуре этих связей. Международный торговый обмен, связанный с реализацией поставок в рамках производственного кооперирования, тесно увязывается с производственными потребностями заинтересованных компаний.
Существенные сдвиги, которые произошли в международном товарообороте, все в большей степени становятся результатом развития международных связей ТНК, складывающихся на основе экономического и научно-технического сотрудничества между ними непосредственно в материальном производстве. Следствием этого явилось значительное усложнение продукции, поступающей в международный товарооборот (уникальное и комплектное оборудование); частая смена и обновление продукции; быстрое расширение ее ассортимента; рост числа взаимозаменяемых продуктов, производимых разными технологическими способами; повышение степени обработанности сырья и материалов; расширение поставок промежуточной продукции - компонентов, частей и деталей. В связи с этим возросли число, сложность, частота и разнообразие коммерческих операций на мировом рынке, что делает их более разносторонними и многогранными.
Происходящие изменения придали качественно новый характер применяемым ТНК формам и методам международной деятельности, которые во многом зависят от характера деятельности ТНК и видов выпускаемых продуктов, от степени диверсификации и структуры производства, масштабов и характера деятельности заграничных дочерних компаний, специфики рынков стран-импортеров и многих других факторов.
Характер международной деятельности ТНК накладывает существенный отпечаток на развитие международного товарообмена поскольку ТНК контролируют более половины мировой торговли и превратили более трети международного товарообмена во внутрикорпорационные поставки неторгового характера. Это значит, что ТНК получили возможность осуществлять регулирующее воздействие на международную торговлю в целом, перенося на нее применяемые ими формы и методы. Поскольку внутрикорпорационный оборот ТНК носит в известной мере планомерный характер, эта планомерность оказывает определенное воздействие на развитие международных экономических связей, содействуя усилению их сбалансированности.
Отношения между крупнейшими фирмами на мировом рынке все более перемещаются в область регулирования номенклатуры и масштабов их производственной деятельности и степени участия в международном разделении труда. Изменение форм и методов осуществления деятельности ТНК на мировом рынке отражает поиск ими путей решения экономических проблем в условиях усиливающейся конкурентной борьбы.
К числу крупнейших по величине зарубежных активов относятся следующие ТНК: «Ройал-Датч_шелл» (Великобритания – Голландия, основная сфера деятельности – нефтепереработка); IBM (США, компьютерная техника); «Дженерал моторз» (США, автомобилестроение); «Хитачи» (Япония, электроника). Однако по объему продаж лидирующие позиции в мировой экономике до начала кризиса 1997г. сохраняли японские ТНК: «Иточи», «Мицуи», «Мицубиси», «Сумитомо», «Марубени». За ними следовали американские ТНК: «Дженерал моторз», «Фрд», «Эксон».
![]() |
Рис. 2. Распределение ТНК по отраслям экономики[3]
Четко обозначилась тенденция увеличения инвестиций в сфере услуг и технологически интенсивном производстве. Одновременно снижается доля в добывающей промышленности, сельском хозяйстве и ресурсоемком производстве.
По данным американского журнала «Fortune», главную роль среди 500 крупнейших ТНК мира играют четыре комплекса: электроника, нефтепереработка, химия и автомобилестроение. Весьма характерна регионально-отраслевая направленность инвестиций ТНК. Как правило, они делают капиталовложения в отрасли обрабатывающей промышленности новых индустриальных и относительно развитых и развивающихся стран. В этом случае идет конкурентная борьба за инвестиции государств-получателей капитала. Для беднейших стран политика иная – ТНК считают целесообразным осуществлять там капиталовложения в добывающую промышленность, но главным образом они наращивают товарный экспорт. В этом случае развертывается жесткая конкурентная борьба между ТНК за продвижение своих товаров на местные рынки.
Основная часть ТНК сосредоточена в США, странах ЕС и Японии. Распределение крупнейших компаний по странам в соответствии с вышеприведенными рейтингами представлено на рисунках 3 и 4.[4]

Рис. 3. Распределение 500 крупнейших ТНК по странам (в соответствии с рейтингом "Financial times" за 2003 год)

Рис.4. Распределение 1000 крупнейших ТНК производственной сферы по странам (в соответствии с рейтингом “Industry Week” за 2002 год)
По данным западных экономистов, в XXI веке в условиях глобальной экономики установится господство 300-600 ТНК. При этом 300 корпораций будут распоряжаться 75% валового продукта мира, осуществлять значительную диверсификацию своего производства и услуг.
Борясь за рынки сбыта в глобальном масштабе, ТНК обеспечивают потребности в постоянных инновациях, смене технологий и научно-техническом прогрессе. Транснациональные компании создают скелет мировой экономики, кровь и плоть которой – средние и малые формы.
Между тем, на фоне этих глобальных перемен в последние годы появился исключительно важный, но пока еще малоизученный феномен, который можно охарактеризовать как возникновение самостоятельного транснационального капитала, начинающего жить своей собственной жизнью. Количество глобальных экономических изменений переросло в качество и транснациональный капитал стал самостоятельным экономическим организмом со своей оригинальной структурой и внутренними целями развития.
Свободно перемещаемый в современном экономическом пространстве транснациональный капитал находится вне юрисдикции национальных государств. Естественно, он ищет наиболее доходные рынки и по большей части является спекулятивным. Реальной силы, способной противостоять транснациональному капиталу, сегодня в мире не существует.
В 90-е годы мы имеем совершенно новую историческую ситуацию, когда государства уже не обладают достаточной мощью для крупномасштабных финансовых интервенций, противодействующих движениям спекулятивного транснационального капитала.
Колоссальный разрыв между реальным и фиктивным капиталом не дает возможности правительствам национальных государств осуществлять капитальные вложения, что приводит к снижению производства и заставляет искать новых заемных средств для покрытия государственных расходов. Большинство государств уже попало в безвыходную долговую яму, во многом организованную транснациональным капиталом.
По существу применяемые ТНК формы и методы международных экономических связей содействовали превращению их в ТНК. Возрастание мощи ТНК и их господствующей роли на мировом рынке было предопределено развитием организационных форм и методов их международной деятельности. Это свидетельствует о том, что развитие форм и методов международной деятельности ТНК представляет собой диалектический процесс, который ведет к возникновению у них качественно новых черт и вместе с тем требует дальнейшего изменения форм и методов с целью приспособления к условиям и потребностям мирового рынка.
2. Процесс транснационализации в России
До образования ФПГ в России уже существовали собственные транснациональные корпорации. В качестве примера российской ТНК можно назвать государственный концерн “Нафта Москва” (бывший Союзнефтеэкспорт) со своими дочерними компаниями в Финляндии, Бельгии, Великобритании, Дании, Италии и других странах.
Некоторые российские ТНК появились сравнительно недавно. К их числу можно отнести “Микрохирургию глаза” с большим количеством своих отделений по всему миру, “АвтоВАЗ”, “ЛУКойл” (в ее состав входят российские нефтедобывающие, нефтеперерабатывающие предприятия и предприятия нефтяного машиностроения) и ряд других.
Приватизация в России сопровождается возникновением достаточно мощных организационно-хозяйственных структур нового типа (государственных, смешанных и частных корпораций, концернов), способных успешно действовать на внутреннем и внешнем рынках, например, “Газпром”, “Вымпел” и др. Так, “Газпром” обеспечивает почти пятую часть всех потребностей Западной Европы в природном газе. Именно “Газпром” в 1996 году был единственной российской компанией, нашедшей отражение в рейтинге, публикуемом “Financial Times”. [5]
Причем за последний год “Газпром” умудрился подняться с 421-го места на 91-е, а в списке 500 крупнейших европейских компаний в 1997 году занял почетное 23 место. Одним из факторов, укрепившим позиции “Газпрома”, явился его союз с англо-голландской группой “Шелл”. В соответствии с данными, опубликованными “Financial Times”, рыночная капитализация “Газпрома” составляет 31,9 млрд. долл. (по оценке самого “Газпрома” – 2,3 млрд. долл.). Кроме “Газпрома”, в рейтинге 500 крупнейших компаний мира в 1997 году дебютировало еще два представителя Российской Федерации – крупнейшая российская нефтяная компания “ЛУКойл” и “РАО ЕЭС России”.
Что же понимается под финансово-промышленными группами в России?
Финансово-промышленная группа (ФПГ) – это совокупность юридических лиц, действующих как основное и дочерние общества, либо полностью или частично объединивших свои материальные и нематериальные активы (система участия) на основе договора о создании ФПГ в целях технологической и экономической интеграции для реализации инвестиционных и иных проектов и программ, направленных на повышение конкурентоспособности и расширение рынков сбыта товаров и услуг, повышение эффективности производства, создание новых рабочих мест.
Среди участников ФПГ обязательно наличие организаций, действующих в сфере производства товаров и услуг, а также банков или иных кредитных организаций.
Концепция создания финансово-промышленных групп заключается в объединении предприятий одной технологической цепочки, смежных и связанных производств, снабженческих и торгово-сбытовых предприятий и, что особенно важно, организаций, способных обеспечить финансирование, привлечь сторонних инвесторов. Одной из приоритетных задач ФПГ является координация деятельности входящих в нее предприятий, проведение единой ценовой политики, перераспределение финансовых и управленческих ресурсов, разработка инвестиционных программ, рассчитанных на улучшение состояния группы в целом, а не только отдельных предприятий.
Важным является выделение в российском законодательстве понятий “транснациональная финансово-промышленная группа” и “межгосударственная финансово-промышленная группа”.
ФПГ, среди участников которых имеются юридические лица, находящиеся под юрисдикцией государств-участников Содружества Независимых Государств, имеющие обособленные подразделения на территории указанных государств либо осуществляющие на их территории капитальные вложения, регистрируются как транснациональные финансово-промышленные группы (ТФПГ).
Роль ТФПГ велика в интеграции экономик государств – участников СНГ. Они должны способствовать восстановлению и развитию в рамках новых хозяйственных структур исторически сложившейся кооперации промышленного производства.
В случае создания ТФПГ на основе межправительственного соглашения ей присваивается статус межгосударственной (международной) финансово-промышленной группы.
Практика показывает, что формирование транснациональных и международных ФПГ должно проходить два этапа. На первом создается российская ФПГ, на втором прорабатываются вопросы ее расширения за счет включения предприятий и финансово-кредитных структур других государств.
В группе развивающихся стран Россия, как всегда, оказалась в положении совершенно особенном. На пороге реформ наша страна, ее научно-технический потенциал и экономика были выше других развивающихся стран. По своим историческим корням, вкладу в мировую цивилизацию, промышленному и интеллектуальному потенциалу Россия должна была занять место в группе развитых стран. Однако в результате недостаточно эффективной реструктуризации экономики она по большинству показателей была отброшена в середину списка развивающихся стран. Вместе с отжившими формами забюрократизированной директивной экономики пошли на слом вполне жизнеспособные мощные отраслевые промышленные группы.
Первые попытки организационной взаимоувязки крупных хозяйственно-технологических комплексов были приняты в СССР при организации совнархозов, когда многие министерства упразднялись и вводилась комплексная организация управления взаимосвязанными производствами на территориальной основе.
Развитие процесса по устранению межведомственной разобщенности и организации народнохозяйственных технологических комплексов выразилось образовании научно-производственных объединений (НПО), торгово-производственных объединений (ТПО), агропромышленных комплексов (АПК), территориально-производственных комплексов (ТПК) и, наконец, государственно-производственных объединений (ГПО). Все эти образования были главным образом и прежде всего нацелены на решение внутриэкономических задач без широких планов внешнеэкономической ориентации. В начале 90-х гг. сложилось понимание того, что наиболее эффективным путем создания и развития российских транснациональных компаний является институт финансово-промышленных групп (ФПГ). ФПГ представляет собой совокупность юридических лиц, действующих как основное и дочерние общества, полностью или частично объединивших свои активы. В состав ФПГ могут входить коммерческие и некоммерческие организации, в том числе и иностранные, за исключением общественных и религиозных организаций. Среди участников ФПГ обязательно наличие организаций, действующих в сфере производства, а также банков.
Общеэкономическая причина появления ФПГ – необходимость новых организационно-хозяйственных форм высокоинтегрированных межотраслевых корпораций в российской экономике. Другая группа причин связана с выходом России на международный рынок. Российские предприятия сталкиваются с возросшей конкуренцией на всех направлениях внутреннего и внешнего рынка. Реальная открытость российского рынка и не всегда адекватная открытость многих зарубежных рынков ставит задачу создания мощных хозяйственных структур, которые могли бы не только охватить внутренний национальный рынок, но и успешно конкурировать с международными корпорациями на внешнем рынке. Требования международной конкуренции диктуют необходимость коренной реорганизации предприятий. Их технологического перевооружения. Для этого в первую очередь необходима концентрация инвестиционных ресурсов.
В современных ТНК в России уже благодаря новым компьютерным технологиям превалирует сетевая организация с базами транснационального капитала и узлами управления в крупных городах различных стран. Развитие мировых коммуникационных сетей и глобальных ТНК с сетевой структурой управления проходило параллельно, и эти процессы, безусловно, взаимодополняли и стимулировали друг друга.
Единые для всего мира финансовые инструменты, стандарты передачи и обработки информации, единообразные финансовые и информационные институты создают идеальную среду для транснационализации бизнеса и свободного движения его капитала. Технологическое совмещение магистральных информационных и финансовых коммуникаций и сетей способствовало созданию нового информационно-финансового института и привело к сближению и постепенному слиянию информационной и финансовой сфер деятельности. Транснациональный капитал, в технологическом плане базирующийся на глобальных информационно-финансовых сетях и добивающийся мирового господства через информационные и финансовые рынки, породил новую транснациональную информационно-финансовую олигархию.
Важным стимулом для роста числа российских ФПГ стало Положение о финансово-промышленных группах и порядке их создания, утвержденное Указом Президента РФ 5 декабря 1993 г. Расширение экономической деятельности этих групп за границы России фактически превращает их в средние и крупные по мировым стандартам ТНК.
Формирование и развитие российских международных корпораций может, таким образом, осуществляться двумя путями:
- образование мощных национальных корпораций – ФПГ с последующей их экспансией на мировой рынок;
- на базе имеющейся системы разделения труда и соответствующей ей кооперации производства между странами СНГ создание транснациональных ФПГ с участием финансово-экономических ресурсов партнеров из стран Содружества.
На начальном этапе создания и функционирования ФПГ определенное предпочтение отдается второму подходу. Во-первых, это объясняется нехваткой собственных средств и возможностей; во- вторых, создание таких компаний способствует поддержанию исторически сложившейся кооперации промышленного производства хозяйствующих субъектов стран Содружества, восстановлению и развитию интеграционных процессов между странами СНГ. Межгосударственный экономический комитет стран СНГ разработал Конвенцию о транснациональных корпорациях в странах СНГ. Ее цель – содействовать формированию транснациональных производственных структур в странах СНГ, проведению активной промышленной политики, привлечению инвестиций и др. Общим базовым нормативно-правовым документом считается подписанное в 1994 г. Соглашение о содействии в создании и развитии производственных, коммерческих кредитно-финансовых, страховых и смешанных транснациональных объединений.[6]
В развитие его положений Россия заключила двусторонние соглашения с Белоруссией, Казахстаном, Узбекистаном, Киргизией и Таджикистаном.
Отдельными решениями Правительства РФ одобрено создание транснациональных ФПГ, например «Российский авиационный консорциум», «Международные авиадвигатели», в которую входят 50 предприятий оборонных комплексов Украины и России. В качестве транснациональной группы зарегистрирована ФПГ «Нижегородские автомобили» с участием 8 предприятий из пяти государств СНГ и Латвии. Готово к подписанию соглашение между Россией и Казахстаном о мерах по созданию ТФПГ «Сокол», а также соглашение о создании подобных групп с Белоруссией, Узбекистаном и др. Активно реализуется программа создания ТФПГ в атомной энергетике, в которой участвуют Россия, Украина, Казахстан, в металлургии – меду Украиной, Россией, Казахстаном.
Большую активность в формировании транснациональной корпорации проявляет Ингосстрах. В 1997 г. было подписано соглашение о создании Транснациональной страховой группы Ингосстрах. В нее объединились 27 страховых компаний из России, 16 стран ближнего и дальнего зарубежья. Суммарные активы участников группы составляют 600 млн. долларов. Компании обладают разветвленной сетью из 131 филиала и представительства. Создание группы может позволить страховать крупные риски, а также составит серьезную конкуренцию крупным западным страховым компаниям.
При превалирующей сейчас сетевой системе организации терминальные звенья современных ТНК представляют собой, говоря языком компьютерных сетевых технологий, своеобразные «порты», открытые для подсоединения к корпоративной сети взаимосвязей новых элементов через механизмы транснациональных стратегических альянсов, благодаря которым границы компаний и промышленных групп размываются или приобретают форму «созвездий», включающих связанные между собой, но до известной степени независимые, компании различных размеров и отраслей.
В последние годы наряду с традиционным вывозом капитала в форме прямых инвестиций ТНК все более практикуют экспорт организационных технологий, ноу-хау и целых фрагментов развившихся в других странах пребывания корпорации или зародившихся в недрах самой ТНК неформальных институтов в сфере организации и управления. Постепенно руководители передовых ТНК начали понимать, что инновации являются лишь видимой вершиной айсберга социокультурных институтов, и для обеспечения их непрерывного и успешного производства необходимо научиться переносить крупные институциональные методы в «принимающие» страны.
3. Крупнейшие ТНК России и выход их на мировой рынок
В России ТНК пока ещё в стадии формирования и укрепления своих позиций. Правда, небольшое число компаний, аналогичных ТНК, сформировалось ещё в СССР ("Аэрофлот", "Ингосстрах"). ТНК стали например и крупные российские компании "Газпром", "ЛУКойл", "Алроса". Наиболее мощные российские ТНК функционируют в ТЭК. Примером является гигантская организационное - хозяйственная структура РАО "Газпром" – 100% монополист в добыче и экспорте газа, контролирующий 34% мировых разведательных запасов природного газа и обеспечивающий около 20% западноевропейских потребностей в этом сырье. "Газпром" является самым крупным в России источником поступления конвертируемой валюты, экспортируя ежегодно газа на сумму от 6 до 7 млрд. долл. Деятельность этой компании простирается далеко за пределы государственных границ. Эта ТНК имеет фирмы со своим участием в 12 странах, закупающих российский газ. Главным центром зарубежной деятельности стала Германия. Ценность германского рынка заключается в том, что через эту страну проходят все основные трансевропейские газотранспортные потоки. "Газпром" через совместное предприятие с дочерней компанией концерна "БАСФ" контролирует на германском рынке газа 12% продаж. В стратегию "Газпрома" входит участие в приватизационных процессах в Чехии, Словакии, Венгрии, Австрии, Литве и Эстонии.
В целом, динамика развития ТНК в России положительная. На начало 2003 г. в России зарегистрировано 75 ФПГ. В их состав вошли 1150 промышленных предприятий и организаций, 160 финансово-кредитных институтов. Общая численность персонала приближается к 5 млн. человек. (см. рис.5.)
В перспективе с учетом потенциала российской экономики следует ориентироваться на становление в ней 10-20 особо мощных универсальных ТФПГ, 100-150 крупных групп, сопоставимых по размерам с зарубежными корпоративными объединениями и способных контролировать до 50% промышленного производства, а входящие в их состав банки – до 70% банковских активов.

Рис. 5. Динамика появления российских ФПГ с 1997 по 2003 годы[7]
К российским ТНК в добывающей промышленности следует отнести акционерную компанию "Алроса". В 1992 г. она выиграла тендер на разработку алмазного месторождения в Анголе, опередив южно-африканский концерн "Де-Бирс". Совместно с ангольской государственной компанией она участвовала там в строительстве горно-обогатительного комбината производительностью 1,6 млн. т. руды в год. В 1998 г. "Алроса" приступил к разработке месторождений алмазов в Намибии.
В наши дни базой для создания российских ТНК становятся финансово-промышленные группы (ФПГ). В Федеральном законе "О финансово-промышленных группах" от октября 1995г. финансово-промышленная группа определяется как совокупность юридических лиц, объединяющих свои активы в целях экономической или технологической интеграции для реализации инвестиционных проектов.
ФПГ, объединяющие юридических лиц, находящихся под юрисдикцией государств – членов СНГ, регистрируются как транснациональные ФПГ (ТФПГ). При создании их на основе межправительственных соглашений им присваивается статус межгосударственных финансово-промышленных групп (МФПГ). По состоянию на 1 января 1998г. в реестр ФПГ включена одна МФПГ и семь ТФПГ.
4. Привлекательность российской экономики для зарубежных ТНК
В группе развивающихся стран Россия, как всегда, оказалась в положении совершенно особенном. На пороге реформ наша страна, ее научно-технический потенциал и экономика были выше других развивающихся стран. По своим историческим корням, вкладу в мировую цивилизацию, промышленному и интеллектуальному потенциалу Россия должна была занять место в группе развитых стран. Однако в результате недостаточно эффективной реструктуризации экономики она по большинству показателей была отброшена в середину списка развивающихся стран. Вместе с отжившими формами забюрократизированной директивной экономики пошли на слом вполне жизнеспособные мощные отраслевые промышленные группы.
В современных ТНК в России уже благодаря новым компьютерным технологиям превалирует сетевая организация с базами транснационального капитала и узлами управления в крупных городах различных стран. Развитие мировых коммуникационных сетей и глобальных ТНК с сетевой структурой управления проходило параллельно, и эти процессы, безусловно, взаимодополняли и стимулировали друг друга.
Реальностью сегодняшнего дня является все возрастающее значение транснациональных корпораций (ТНК) в глобализирующейся экономике России. Существуют различные оценки деятельности ТНК в России: некоторые авторы полагают, что в перспективе ТНК смогут стать доминирующей силой мирового хозяйства, сменив национальные государства в качестве основных его субъектов, другие, напротив, исходят из предположения, что роль ТНК несколько преувеличена. В любом случае можно сделать вывод, что ТНК являются одним из важнейших субъектов мировой экономики.
В любой метакорпорации можно выделить две основные функции внутреннего рынка:
1) внутренний рынок способствует максимизации доходов метакорпорации и достижению большей эффективности ее функционирования, при этом особенно важной становится система трансфертных цен;
2) внутренний рынок представляет собой один из механизмов интеграции отдельных предприятий в рамках макроструктуры. Так, еще в начале 90-х гг. многие исследователи отмечали снижение роли акционерной формы контроля (холдингов, перекрестных владений акциями) в бизнес-группах и повышение роли внутрифирменных поставок. В формирующихся сегодня сетевых компаниях роль холдинговой составляющей вообще отходит на второй план, в то время как система внутренних рынков становится главным интегрирующим элементом. В рамках уже существующих компаний важнейшую роль играет контроль за распределением ресурсов, осуществляемый головной компанией объединения, что также доказывает значение интернальных рынков, на которых и происходит движение ресурсов и услуг. Внутренние рынки ТНК России обладают также еще одной специфической функцией: именно на них осуществляется значительная часть мировой торговли (по некоторым данным, до трети стоимостного объема).[8]
Исходной теоретической базой анализа внутренних рынков ТНК стала контрактная теория фирмы Р.Коуза, основанная на представлении о фирме как об альтернативной по отношению к рынку системе трансакций, регулируемых посредством команд. В рамках этого подхода А.Алчян и Х.Демсету рассматривают фирму как приватизированный рынок ресурсов; при этом принципиальным отличием интервального рынка от внешнего становится «свобода доступа» экономических агентов на последний. На основе рассматриваемой теории сложилась целостная концепция интернализации, анализирующая внутренние рынки как одну из предпосылок возникновения и основ деятельности ТНК (А.Рагмен). Если в теории Коуза под экономическими агентами понимались индивиды, которые и составляют фирму, то в ТНК-метакорпорации место индивидов занимают отдельные юридические лица и используется механизм трансфертных цен, однако суть остается той же — необходимость повышения эффективности.
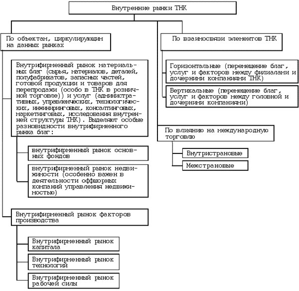
При анализе интервальных рынков необходимым становится введение определенной классификации рынков в корпорациях, приведенной на рис. 6.
Нужно отметить, что специфической особенностью внутрифирменной торговли является использование так называемых трансфертных (условно-расчетных) цен. Последние отражают переход продукта в границах собственности одной ТНК, в значительной степени отличаются от мировых цен на данный вид продукции, поскольку устанавливаются в рамках единой ценовой политики, носящей, как правило, глобальный характер.
Основные механизмы, цели и факторы внутрифирменного ценообразования приведены на рис. 7. Особо хотелось бы отметить внеэкономические (социальные, имиджевые) факторы формирования трансфертных цен. Для ТНК государства базирования до сих пор играют первостепенное значение — так, две трети сотрудников ТНК являются гражданами стран базирования, в них же производится больше двух третей продукции ТНК. По мнению журнала The Economist, для большинства крупных международных компаний угрозой является в первую очередь не противодействие за рубежом, а протест в государствах базирования. Трансфертные цены активно используются ТНК на рынках благ и технологий. Методология определения трансфертных цен в ТНК является коммерческой тайной. В то же время весьма важными при внутреннем ценообразовании являются правовые факторы — например, нормы налогообложения «центра производства и прибыли».

Рис.6. Классификация внутренних рынков[9]

Рис.7. Цели, факторы и механизмы трансфертного образования
При анализе внутренних рынков благ (кроме рынков недвижимости, основных фондов и некоторых других) можно отметить, что в большинстве случаев внутренняя торговля представляет собой разновидность внутриотраслевой торговли. При анализе внутренних рынков ТНК речь идет в первую очередь о так называемой вертикальной внутриотраслевой торговле, когда поставки осуществляются по технологической цепочке. При этом основным объектом внутренней торговли становятся полуфабрикаты, материалы и сырье. Можно утверждать и обратное: в настоящее время, особенно в условиях функционирования международных стратегических альянсов в различных отраслях большая часть внутриотраслевой вертикальной торговли осуществляется в пределах ТНК. В то же время в ряде случаев внутренняя торговля ТНК осуществляется и в рамках межотраслевой международной торговли. Межотраслевая торговля традиционно играла значительную роль в международных конгломератах, однако сегодня, по оценке многих западных исследователей, конгломераты уступают место узкоспециализированным ТНК, что может привести к снижению роли межотраслевой торговли. Последняя, по всей видимости, будет сохранять свое значение при торговле готовой продукцией в ТНК, специализирующихся на розничной торговле. Повышается роль горизонтальной внутриотраслевой торговли, представляющей собой торговлю сходными, но все же обладающими определенными различиями товарами (на рынках монополистической конкуренции) — ведь узкая специализация нередко дополняется стремлением охватить как можно в большей степени рынок данной отрасли. В то же время, по некоторым данным, доля вертикальной торговли в общей стоимости внутриотраслевой торговли (например, между Западной Европой и странами ЦВЕ) составляет 80-90%.
Количественный анализ динамики внутренней торговли является достаточно сложной проблемой, что связано с недостатками внешнеторговой статистики. Поскольку большая часть внутриотраслевой вертикальной торговли является внутренней для ТНК, в качестве базовых можно использовать показатели международных поставок запасных частей и полуфабрикатов. Важной особенностью внутрифирменной торговли является вовлечение через интернальные рынки в мировую торговлю многочисленных мелких фирм, являющихся субподрядчиками и подрядчиками ТНК. Особенный размах данный процесс приобретает в интеграционных группировках, где во все большем количестве появляются т.н. «малые ТНК», однако и в прочих регионах ТНК играют роль своеобразных связующих звеньев между многими фирмами, не имеющими доступа на мировой рынок, используя модели организации отношений со внешней средой «стабильная» и «динамическая сеть».
Помимо этого, внутренние рынки ТНК играют существенную роль в развитии внутрирегиональной торговли, так как филиалы ТНК значительную часть потребностей в деталях и комплектующих удовлетворяют за счет поставок из материнской компании. Одной из новейших тенденций в развитии внутрифирменной торговли является использование глобальной компьютерной сети Интернет для организации внутренних рынков. Наконец, помимо поставок материальных благ, важное значение имеет внутренняя торговля услугами. Тенденцией сегодняшнего дня является формирование в составе ТНК специализированных дочерних компаний, ориентированных на предоставление специфических услуг и нередко не участвующих в капитале других дочерних обществ. К ним относятся менеджмент-компании, домицильные и вспомогательные общества, базисные компании.
Особо хотелось бы выделить внутрикорпоративный рынок технологий — 70% платежей на мировом рынке обмена технологий осуществлялось в конце 1990-х гг. между головной и дочерними компаниями ТНК, в США их доля составила 80%, в Великобритании — 90%. Передача технологий идет как в рамках собственно ТНК, так и международных стратегических альянсов. Особенный интерес вызывает политика ТНК США в области НИОКР. Важным направлением передачи технологий является создание исследовательских центров за рубежом и передача ими технологий материнской компании — в США в 1995 г. доля НИОКР, осуществляемых в таких центрах, достигла 13%. В то же время трансферт технологий (в т.ч. управленческих) из своих зарубежных филиалов является особенностью деятельности и т.н. «новых международных компаний» — ТНК развивающихся стран. Важнейшими аспектами внутрифирменной передачи технологий является сохранение коммерческой тайны, а также учет жизненного цикла продуктов в различных принимающих странах. Заметим, что международный трансферт технологий в рамках ТНК тесно связан с внутриотраслевой торговлей в международных компаниях, в особенности при трансферте технологий из развитых стран в развивающиеся. Трансферт технологий на внутренних рынках становится основой международных структур нового рода — т.н. олигополий знаний, а также служит одним из эффективных методов интеграции метакорпораций (лицензионные соглашения).
Важнейшим элементом деятельности ТНК является установление единой финансовой политики и формирование внутрикорпоративных рынков капитала. Чаще всего управление финансами осуществляется централизованно, т.е. внутреннее движение капитала совершается по заранее намеченной схеме, определенной «сверху». Данная система, однако, не является оптимальной, особенно в условиях множества различных проектов и вариантов развития, между которыми необходимо распределить ресурсы. Бюрократические задержки и консерватизм могут оказаться фатальными для компании. В связи с этим необходимым, по мнению К.Шпремана, становится формирование новой системы внутрифирменного рынка капитала, основанного на конкуренции проектов, информационной и коммуникационных системах. Заметим, что внутренние рынки товаров и капитала тесно взаимосвязаны, т.к. трансфертные цены являются элементом финансовой политики ТНК.
Одним из формирующихся внутренних рынков является рынок рабочей силы. По аналогии с внутрифирменным рынком капитала рынок рабочей силы можно определить как систему циркуляции кадров между различными филиалами и подразделениями ТНК, в рамках которой персонал из различных стран переводится на различные должности в различных элементах ТНК. Однако об окончательном формировании системы внутрифирменного перемещения кадров между отдельными странами, в которых функционируют ТНК, говорить еще преждевременно. Можно выделить две необходимые предпосылки функционирования подобных рынков. Во-первых, речь идет об использовании геоцентрической модели формирования международного коллектива. В то же время ее использование в современных ТНК является достаточно ограниченным, хотя геоцентрический коллектив все активнее используется — особенно новыми высокотехнологичными глобальными компаниями. Во-вторых, существенным элементом внутреннего рынка рабочей силы является система «Пульсар», внедренная впервые японскими ТНК, — она обеспечивает регулярный обмен сотрудниками между предприятиями ТНК (в первую очередь, расположенными в Японии). Значительное влияние на развитие внутрифирменных рынков рабочей силы может оказать такое явление, как «телеработа» (teleworking) — когда услуги предоставляются потребителю на большом расстоянии через электронные сети; при этом используются дифференциация заработной платы и различия в часовых поясах.
Несмотря на существование жесткого регулирования внутренних рынков ТНК со стороны руководства корпорации, на практике можно говорить о существовании в международных компаниях «смешанной среды» внутренних рынков.
В настоящее время важнейшей тенденцией является децентрализация внутренних рынков, основанная на концепции внутрифирменного предпринимательства. Одним из направлений анализа внутрифирменной торговли в ТНК является концепция внутрифирменного расчета, выделяющегося из коммерческого расчета в связи с выделением отдельных дочерних фирм в составе ТНК в центры ответственности и формированием в составе ТНК полусамостоятельных бизнес-единиц.
На практике это означает создание принципиально новых структур внутренних рынков. Все более важную роль играют горизонтальные рынки ТНК. Возрастают и масштабы привлечения прочих предприятий к внутрифирменным поставкам. В реальности это означает менее жесткое ограничение участников «внутреннего рынка», что ставит вопрос о правомерности использования в сегодняшних условиях критерия «ограниченного доступа» Алчяна. Степень децентрализации и механизмы конкуренции на внутренних рынках различны в различных странах. В то же время формирование «бизнеса внутри бизнеса» может само по себе породить целый ряд проблем. Так, возникает необходимость в специальном маркетинге внутри компании. При этом необходимо заметить, что если ранее внутрифирменный расчет использовался лишь в метакорпорациях при взаимосвязи с юридическими лицами в составе ТНК, сегодня субъектами данного расчета становятся и филиалы и подразделения в составе самой компании. Еще одним направлением является формирование межкорпоративных внутренних рынков. Речь идет о рынках, существующих в рамках объединений нескольких ТНК и международных стратегических альянсах. Заметим, что поскольку большинство альянсов объединяет лишь определенные сферы деятельности ТНК, то и межфирменные интервальные рынки носят сегодня ограниченный характер. В перспективе можно предполагать, что в рамках всей мировой системы метакорпораций начнется формирование интегрированных рынков.
Система внутренних рынков складывается и в российских ТНК. Поэтому уже сегодня можно выделить целый ряд их существенных особенностей. Во-первых, несмотря на огромный научно-технический потенциал некоторых отраслей, сравнительно низкой остается роль рынка технологий. Российские компании не обладают достаточными средствами для организации дорогостоящих НИОКР или же для приобретения их за рубежом.
Во-вторых, не наблюдается и предпосылок для формирования внутрифирменного (тем более международного) рынка рабочей силы, мобильность которой внутри компании не столь высока. В то же время роль внутренних рынков как инструментов корпоративной интеграции достаточно высока, а некоторые элементы (как, например, давальческие схемы) используются гораздо активнее, чем на Западе (ресурсообеспечивающие контракты). К давальческим контрактам можно отчасти отнести толлинговые схемы, хотя их роль в современной российской экономике, как и сам факт — являются ли они элементом внутрикорпоративной интеграции — представляются спорными.
Уже к 1998 г. в России существовали компании, интеграция в которых была основана на системах внутренних рынков. Сложности возникают и в связи с формированием полноценного внутрифирменного рынка капитала. В России уже существуют схемы формирования внутренних цен, адаптированные к особенностям национальной экономики. Трансфертные цены используются российскими ТНК и при международных операциях. При этом отсутствие в России четкой системы контроля за возможным переводом прибылей с использованием внутрифирменных операций делает их особенно привлекательным. В результате российские ТНК добиваются почти полного устранения налогообложения в России (за исключением НДС) — в мире же снижение налогов хотя бы на 10-15% считается достаточно удачным. Таким образом, встает вопрос о более четком правовом регулировании функционирования внутренних рынков. Можно выявить их взаимосвязь со столь важным явлением, как «бегство капитала». Можно предположить, что в перспективе и в российских компаниях будут не только созданы более совершенные схемы внутренних рынков, но и возможно будет реализовать и систему внутренней конкуренции, однако сегодня речь идет, скорее, о росте уровня интеграции и подконтрольности предприятий центральным компаниям. Наконец, перспективным является стимулирование участия российских ТНК в международном трансферте технологий.
В настоящее время деятельность российских ТНК и ТФПГ является одним из важнейших аспектов развития России и формирования государственной политики.
5. Ресурсоэкспортирующие компании – основа российской экономики
Таблица 1
Доля России в мировом экспорте отдельных видов ресурсов
по натуральному объему, %[10]
|
Ресурс |
2002 г. |
2003 г. |
2004 г. |
|
Сырая нефть |
8 |
9 |
9 |
|
Нефтепродукты |
13 |
13 |
13 |
|
Природный газ |
62 |
61 |
50 |
|
Промышленные алмазы |
16 |
19 |
14 |
|
Алмазы необработанные, несортированные |
19 |
19 |
12 |
|
Прочие драгоценные и полудрагоценные камни обработанные |
4 |
6 |
7 |
|
Фосфаты кальция |
11 |
13 |
14 |
|
Калийные удобрения |
14 |
17,5 |
19 |
|
Азотные удобрения |
17 |
14 |
16 |
|
Смешанные удобрения |
11 |
12 |
15 |
|
Сера |
7 |
12 |
17 |
|
Алюминий необработанный |
20 |
20 |
21 |
|
Алюминиевые отходы и лом |
2 |
12 |
12 |
|
Кобальтовые руды и концентраты |
2 |
53 |
16 |
|
Медь рафинированная, необработанная |
9 |
8 |
9 |
|
Медные отходы и лом |
9 |
15 |
8 |
|
Отходы и лом черных металлов |
6 |
15 |
14,5 |
|
Молибденовые руды и концентраты |
3 |
5 |
7 |
|
Молибден необработанный и отходы |
15 |
17 |
15 |
|
Никель необработанный |
32 |
34 |
33 |
|
Оловянные руды и концентраты |
8 |
8 |
10 |
|
Руды и концентраты ниобия, тантала, ванадия |
55 |
49 |
51,5 |
|
Вольфрамовые руды и концентраты |
36 |
50 |
57 |
|
Серебряные руды и концентраты |
0 |
10 |
8 |
|
Металлы платиновой группы, необработанные или полуфабрикаты |
20 |
26 |
23 |
|
Платиновые отходы и лом |
9 |
11 |
17 |
Россия — крупнейший поставщик энергетического сырья на мировой рынок. В настоящее время экспортируется 45,1% добываемой нефти, 34,3% газа, 9,5% угля, 9,8% автомобильного бензина, 52,2% дизельного топлива, 31,1% топочного мазута и около 0,7% производимой электроэнергии. ТЭК — это “валютный цех” страны, он обеспечивает почти половину всего российского экспорта. Начиная с 70-х годов валютная выручка за экспорт топливно-энергетических ресурсов стала своеобразной палочкой-выручалочкой, позволяющей смягчать последствия сбоев в отечественной экономике, латать социальные “дыры”.
Исходя из того что экспорт ТЭР - это «валютный цех» страны, считаю целесообразным наглядно продемонстрировать влияние этих валютных поступлений на формирование бюджета страны и зависимость бюджетосостовляющих элементов от цен на нефть. Динамика российской экономики в 2003-2004 годах действительно довольно сильно зависела от цен на нефть (табл.2.). Высокие мировые цены, а также значительный прирост физического объема экспорта в 2003 и 2004 годах привели к увеличению валютной выручки от продажи нефти на $60 млрд. 30% этой суммы было использовано для увеличения импорта. Остальные средства пошли в накопление: около $24 млрд. осело в резервах ЦБ, $ 10 млрд. осталось в корпоративном секторе и еще $8 млрд. попало в государственные резервы. Именно эти 70%, или свыше $40 млрд., различным образом впитавшиеся в экономику страны с уже почти рыночной инфраструктурой, сделали ее другой.
Таблица 2
Гибкость бюджета
|
Цена Urals $/барр. |
>23,5 |
>18 |
>14 |
<14 |
|
|
Резерв заложенный в бюджет 2002 года, $ 3,5 млрд. (профицит) |
Будет сформирован |
Не будет сформирован |
Не будет сформирован |
Не будет сформирован |
|
|
Незащищенные расходы, $2 млрд. |
Будут осуществлены |
Будут осуществлены |
Не будут осуществлены |
Не будут осуществлены |
|
|
Общий профицит бюджета 2001 года, $4,5 млрд. |
Не будет израсходован |
Будет израсходован |
Будет израсходован |
Будет израсходован |
|
|
Выпуск еврооблигаций на сумму $2 млрд. |
Нет необходимости |
Нет необходимости |
Необходим |
Необходим |
|
|
Продажа активов, $1,5 млрд. |
Нет необходимости |
Нет необходимости |
Необходима |
Необходима |
|
|
Списание или реструктуризация необходимости долга Парижскому клубу или иное исключительное финансирование |
Нет необходимости |
Нет необходимости |
Нет необходимости |
Нет необходимости |
|
|
Резервы ЦБ |
Рост на сумму $5 млрд. |
Стабильны |
Снижение на $2 млрд. |
Снижение более чем на $4 млрд. |
|
|
Обменный курс руб./$ |
Реальное укрепление на 5-10 |
Реальное укрепление на 2-5% |
Рост обменного курса в соответствии с темпом инфляции |
Рост обменного курса в соответствии с темпом инфляции |
|
Закон о Государственном бюджете России на текущий год рассчитывался, опираясь на среднегодовую цену нефти Urals на уровне $23,5/барр. Однако в него встроен целый ряд механизмов, позволяющих бюджету приспосабливаться к изменению нефтяных цен в довольно широком диапазоне. Все, как это часто бывает а последнее время в России, будет зависеть от наличия политической воли пожертвовать некоторыми важными статьями бюджета.
При среднегодовой цене нефти на уровне $18/барр. бюджет будет сведен без профицита и запланированные резервы в размере $3,5 млрд., переходящие на будущий финансовый год, сформированы не будут. Более того, $2,5 млрд. резервов, доставшихся в наследство от 2001 года, придется потратить на финансирование расходных статей. И, наконец, правительству потребуется разместить еврооблигации на запланированную сумму в $2 млрд. Этот сценарий совсем не выглядит катастрофичным для бюджета.
При средней цене нефти выше $14/барр. потребуется уже реальное сокращение расходов. В дополнение к уже перечисленным источникам финансирования придется воспользоваться возможностью сокращения незащищенных расходных статей бюджета на сумму $2 млрд. и выставить на продажу государственную собственность на сумму $ 1,5 млрд. Сокращение расходов может отразиться на политической поддержке нынешнего руководства страны.
Только при цене Urals ниже $14/барр. придется задействовать не только все источники финансирования и пойти на все возможные сокращения расходов, но вновь вернуться к теме списания или реструктуризации долга Парижскому клубу. Иначе стабильность экономики окажется под угрозой. Чтобы успешно договориться с кредиторами, России необходимо сохранить хорошие отношения с крупнейшими странами-членами клуба, особенно с Германией.
Если России удастся успешно исполнить бюджет при всех описанных уровнях цены на нефть, то макроэкономические показатели страны останутся вполне приемлемыми. При средней цене нефти выше $23,5/барр. мы увидим возобновление роста резервов ЦБ и дальнейшее укрепление реального обменного курса рубля (превышение внутренней рублевой инфляции над темпами девальвации национальной валюты). Если же нефть подешевеет до уровня ниже $14/барр. (и если Россия добьется облегчения долгового бремени), то золотовалютные резервы несколько сократятся, а рубль будет девальвироваться вместе с инфляцией.
Важной является и роль ТЭК в формирование операций по экспорту, соответственно, затем формирующего текущий счет платежного баланса страны. И с этой точки зрения прогноз мировых цен на нефть в краткосрочном и долгосрочном аспекте, формирование текущего счета платежного баланса, то есть формирование позиций по экспорту и импорту нашей страны, и роль ТЭК, конечно, очень существенны. Прогнозы могут быть разные, но с немалой степенью неопределенности.
Нефтедобывающая промышленность является для наших кредиторов, да и не только для них, одним из наиболее привлекательных объектов размещения средств. По состоянию на 1 сентября 2000 года предприятия отрасли привлекли около 20 процентов всей величины банковских ссуд и займов нашей промышленности и по удельному весу фактически были первыми. Ну может быть, такой же удельный вес есть только у машиностроительных предприятий, приблизительно такой же. Но несмотря на то что привлекаются такие кредиты в нефтегазовом комплексе накопился ряд серьезных проблем, которые требуют существенных ресурсов, для того чтобы эта отрасль была эффективной на протяжении многих следующих лет.
Топливно-энергетическая отрасль является очень важной в российской экономике, и в последние годы благодаря именно этой отрасли, а во многом и благоприятной конъюнктуре цен на мировых рынках, в России наметилось существенное улучшение общей макроэкономической ситуации. Необходимо заметить, что период, который мы прожили после кризиса 1998 года, был трудным и стабильность, которая появилась в этом году, есть результат действий и правительства, и Центрального банка, когда проводилась достаточно взвешенная политика в области бюджетных расходов, налогов, денежно-кредитная, валютная политика, и все это дало результат, который мы сейчас наблюдаем. А наблюдаем мы в общем-то очень неплохие показатели, свидетельствуют о достаточно определенных, высоких показателях российской экономики за последние более чем 20 лет.
Говоря о существенной роли этого комплекса в формировании многих макроэкономических показателей, хотелось бы подчеркнуть, что не только эти структурные меры в последнее время составляют положительные сдвиги. К таковым надо отнести и увеличение расчетов деньгами в ряде секторов этого комплекса (а не путем заключния бартерных договоров и использования неденежных форм расчета). Это, бесспорно, способствовало некоторому улучшению состояния отрасли. И все-таки эти структурные меры (имеются в виду структурные с полным набором налоговых, инвестиционных моментов) должны быть дополнены. Эта отрасль должна с точки зрения и производительности труда, и научно-технического потенциала выйти на хороший мировой уровень. Ибо она составляет на сегодняшний день в нашей стране значительную долю в формировании очень многих показателей.
В целом, хотелось бы отметить, что роль топливно-энергетического сектора для нашей экономики, и не только экономики, а для всех наших людей, огромна. Через макроэкономические показатели видно, насколько существенна эта роль во всей экономике страны. Думаю, что функционирование отрасли на современных структурных началах, финансовых началах и формирование максимально эффективной научно-технической политики имеет очень важное значение для всей страны и в конечном счете для всего человеческого общества. Через инфляцию, через цены, которые формируют издержки во многих отраслях в последующем, мы во многом зависим от этого комплекса. Поэтому так важно, чтобы это понимание было у всех и чтобы все приложили достаточно усилий для того, чтобы в ближайшие годы мы обеспечили не только долгосрочный экономический рост в стране, но и снижение при этом инфляции. Это очень сложная, но выполнимая задача. При условии её выполнения повысятся реальные доходы населения.
Но, к сожалению, в силу конкурентных факторов Россия на сегодняшний день не способна существенно увеличить долю готовых изделий и, прежде всего машинотехнических, в своем экспорте. Несмотря на разговоры о распродаже невосполнимых природных ресурсов России, экспорт жидких углеводородов останется в ближайшем будущем основным источником внешнеторговых валютных поступлений, и следовательно, основным источником финансирования импорта. Без валютных поступлений от экспорта в России будет затруднено ускорение технического прогресса и проведение структурных преобразований, что предполагает импорт различных машин, оборудования, комплектующих узлов и агрегатов. Импорт необходим не только для наполнения потребительского сектора экономики страны, но и для обеспечения развития промышленной и сельскохозяйственной базы за счет ввоза современных высокотехнологичных и эффективных инвестиционных товаров. Но чтобы обеспечить этот импорт, необходимо в значительных масштабах осуществлять экспорт продукции. В то же время отечественная обрабатывающая промышленность не готова взять на себя те объемы производства экспортной продукции, которые дают сырьевые отрасли экономики.
На данном этапе экономического развития нашей страны вопрос заключается не в том: вывозить или не вывозить топливно-энергетические ресурсы, а в обеспечении максимально возможной эффективности экспорта жидких углеводородов, угля и электроэнергии.
После акционирования предприятий ТЭК обеспечение максимально возможной эффективности реализации жидких углеводородов становится не только общегосударственной задачей, но и проблемой, которую, ради обеспечения собственных интересов, должна решать каждая из новых компаний нефтяной промышленности России.
Традиционно в СССР и в России проблемы торговли нефтью и газом были не только и не столько экономическими, сколько политическими. Стратегия развития отрасли и экспортной политики определяется исходя из интересов сиюминутной внешней и внутренней политики страны и правящих групп. В настоящее время в стране отсутствует долгосрочная стратегия использования топливно-энергетических ресурсов. Правительство России не осознало необходимость проведения целенаправленной политики защиты интересов своих нефтегазовых компаний за рубежом. Руководители исполнительной власти еще не привыкли рассматривать топливно-энергетический комплекс как средоточие рабочих мест, как один из немногих конкурентоспособных сегментов отечественной экономики.
Топливные богатства российских недр — мощный рычаг, который можно и нужно использовать, но не для “латания дыр”, а для подъема экономики, коренного обновления технической базы, импорта новейших технологий, в том числе ресурсосберегающих и природоохранных, отвечающих вызовам современности.
6. Основные препятствия для деятельности иностранных ТНК
Препятствиями для деятельности иностранных ТНК в России являются: политическая нестабильность, инфляция, несовершенство законодательства, неразвитость производственной и социальной инфраструктуры, недостаточное информационное обеспечение. Взаимосвязь этих проблем усиливает их негативное влияние на интеграцию иностранных ТНК в Российскую экономику. С этим же связан слабый приток прямых иностранных инвестиций в российскую экономику. Он объясняется разногласиями между исполнительной и законодательной властями, Центром и объектами Федерации, наличием межнациональных конфликтов в самой России и войн непосредственно на ее границах, социальной напряженностью (забастовки, недовольство широких слоев общества ходом реформ), разгулом преступности и бессилием властей, неблагоприятным для инвесторов законодательством, инфляцией, спадом производства, непрерывным падением курса рубля и его неконвертируемостью и др.
Российское правительство в последние годы проявляло в отношении зарубежных компаний скорее двойственность, чем радушие. Официальная политика предписывает оказывать поддержку деятельности иностранных ТНК, но на практике зарубежные фирмы испытывают невероятные трудности, пытаясь вложить капитал в российскую экономику. Российское законодательство нестабильно, коммерческая деятельность наталкивается на множество бюрократических препон, а, кроме того, складывается впечатление, что многие российские политики просто боятся воздействия иностранных ТНК на Российскую экономику. Некоторые в России убеждены, что иностранные инвестиции - это не более чем "надувательство", и зарубежные компании откровенно эксплуатируют российскую экономику.
Все эти факторы перевешивают такие привлекательные черты России, как ее природные ресурсы, мощный, хотя технически устаревший и хронически недогруженный производственный аппарат, наличие дешевой и достаточно квалифицированной рабочей силы, высокий научно-технический потенциал. В рыночной экономике совокупность политических, социально-экономических, финансовых, социокультурных, организационно-правовых и географических факторов, присущих той или иной стране, привлекающих и отталкивающих крупные иностранные компании, принято называть ее инвестиционным климатом.
Ранжирование стран мирового сообщества по индексу инвестиционного климата или обратному ему показателю индекса риска служит обобщающим показателем привлекательности страны для иностранных ТНК и "барометром" для иностранных инвесторов. Зависимость потока иностранных инвестиций от индекса инвестиционного климата или его отдельных составляющих носит почти линейный характер. Например, в 1992 г. общая сумма накопленных инвестиций в мире достигала 1,9 трлн. долл., в том числе США принадлежит 489 млрд. долл., Японии 248 млрд. долл., Великобритании 243 млрд. долл. На долю этих трех стран приходится 980 млрд. долл., или около 50% общей суммы иностранных инвестиций. При этом наблюдается тенденция взаимного инвестирования наиболее развитых стран, что объясняется высоким рейтингом их инвестиционного климата. Поток иностранных инвестиций зависит и от отдельных факторов, определяющих инвестиционный климат в стране. Сейчас правовые условия для деятельности иностранных инвесторов в России являются наихудшими по сравнению с другими государствами на территории бывшего СССР. В итоге Россия в конкуренции за сотрудничество с иностранными ТНК и ее инвестициями в национальную экономику начинает уступать не только балтийским государствам, но и Казахстану. В сентябре 1999 г. эксперты "Эуромаки" поставили Россию в своем ранжированном перечне на 137 место из 170 стран, Латвию на 132-е Литву на 130-е, Казахстан на 129-е, а Эстонию на 122-е.
В России до сих пор отсутствует своя система оценки инвестиционного климата и ее отдельных регионов. Иностранные ТНК ориентируются на оценки многочисленных фирм, регулярно отслеживающих инвестиционный климат во многих странах мира, в том числе и в России. Однако оценки инвестиционного климата в России, даваемые зарубежными экспертами на их регулярных заседаниях, проводимые вне Российской Федерации и без участия российских экспертов, представляются мало достоверными. В связи с этим встает задача формирования на основе ведущихся в Институте экономики РАН исследований Национальной системы мониторинга инвестиционного климата в России, крупных экономических районов и субъектов Федерации. Это обеспечит приток и оптимальное использование иностранных инвестиций, послужит ориентиром российским банкам в собственной кредитной политике.
Таким образом, препятствия для деятельности иностранных ТНК в Российской Федерации следующие:
- Отсутствие правовой государственности и правовой защиты;
- Налоги и таможенные сборы;
- Валютное законодательство;
- Корпоративное право;
- Банкротство российских предприятий и банков.
7. Крупнейшие иностранные ТНК в Российском экономическом пространстве
Деятельность иностранных ТНК в России размещена географически крайне неравномерно. Основное количество международных компаний сосредоточено прежде всего в регионах с высокоразвитой инфраструктурой – Москве, Санкт-Петербурге. Сравнительно небольшое количество предприятий с иностранным капиталом размещается в промышленно развитых областях – Московской, Ленинградской, Нижегородской, а также в регионах с преобладанием экспортноориентированной добывающей промышленности – Тюменской и Магаданских областях, Приморском крае.
В конце 90-х годов ряд регионов активно начал проводить политику привлечения иностранных инвесторов, предоставляя им дополнительные налоговые льготы. Например, администрация Новгородской области решила с одобрения областного законодательства освободить иностранных инвесторов от всех видов налогов до полной окупаемости проекта в согласованные сроки. В результате таких мероприятий к концу 90-х годов около 50% всей производимой в области промышленной продукции выпускалось с участием иностранного капитала.
Транснациональные корпорации на российском рынке функционируют согласно своей традиционной географической стратегии. В частности, западноевропейские ТНК размещают свои капиталы в Москве и Северо-Западном регионе России, а американские и японские компании расширяют свою деятельность в центральных районах, на Урале в Сибири и Приморье. К российским добывающим предприятиям ТЭК наибольший интерес проявляют американские и японские ТНК. Примером может служить российско-американскаое предприятие "Полярное сияние" на Ардалинском месторождении Тимано-Печорского нефтегазового района. Подсчитано, что в виде налогов в бюджет РФ будет перечислено около 1 млрд. долл.
В течение последних лет с топливно-энергетическим комплексом соперничает пищевая промышленность по привлекательности иностранных ТНК. Например, швейцарская корпорация "Нестле" использует на российском рынке ускоренную скупку контрольных пакетов акций у находящихся в тяжелом финансовом положении кондитерских фабрик. Так, в 1995 г. "Нестле" приобрела контрольный пакет акций самарской фабрики "Россия". Некоторые ТНК в сфере пищевой промышленности идут по другому пути. Вместо скупки акций действующих предприятий и их коренной реконструкции они строят новые, оборудованные по последнему слову техники фабрики. Тщательно изучив особенности российского спроса и вкусы россиян они выпускают изделия. Так поступила, например, английская компания "Кэдбери".
Таблица 3
Показатели, характеризующие привлекательность отдельных отраслей промышленности для иностранных ТНК в 2003 г.[11]
|
|
Прирост промышленного производства в % к предыдущему году |
Рентабельность реализованной продукции*, % |
Рентабельность активов*, % |
Степень износа основных фондов основного вида деятельности, на начало года**, % |
Удельный вес материальных затрат в общем объеме затрат на производство и реализацию продукции, % в т.ч. |
Удельный вес затрат на оплату труда в общем объеме затрат на производство и реализацию продукции, % |
||
|
сырье и материалы |
топливо |
энергия |
||||||
|
Топливная |
7.0 |
20.1 |
3.2 |
53 |
22.8 |
1.2 |
6.7 |
10.3 |
|
Электроэнергетика |
-0.7 |
8 |
0.5 |
56 |
6.3 |
30.1 |
21.4 |
10.8 |
|
Нефтедобывающая |
8.7 |
17.3 |
2.5 |
55 |
19.7 |
1 |
5.2 |
8.3 |
|
Нефтеперерабатывающая |
4.7 |
21.3 |
4.7 |
52.5 |
36.9 |
0.6 |
15.3 |
8.5 |
|
Газовая |
3.2 |
47.8 |
6.9 |
24.7 |
18.1 |
1 |
4 |
13.5 |
|
Угольная |
-3.6 |
3.8 |
1.4 |
44.4 |
26.5 |
2.7 |
6.2 |
22.4 |
|
Черная металлургия |
3 |
11.4 |
1.3 |
53.6 |
53.3 |
8 |
6.7 |
9.8 |
|
Цветная металлургия |
6 |
29.8 |
3.9 |
45.4 |
37 |
5.5 |
9 |
14.2 |
|
Химическая и нефтехимическая |
1.6 |
9.4 |
1.7 |
58.1 |
50.5 |
2.7 |
11.5 |
10 |
|
Машиностроение и металлообработка |
2 |
12.5 |
1.6 |
54.8 |
27.3 |
2.1 |
3.9 |
15.3 |
|
Лесная, деревообрабатывающая и целлюлозно-бумажная |
2.4 |
10.7 |
2.9 |
45.8 |
43.8 |
7 |
4.9 |
14.4 |
|
Промышленность стройматериалов |
3 |
8.9 |
2.1 |
49.2 |
41.5 |
8.5 |
7.5 |
15.3 |
|
Легкая промышленность |
-3.4 |
3.2 |
-0.5 |
50.9 |
53.1 |
2.1 |
5.4 |
17.5 |
|
Пищевая промышленность |
6.5 |
11.3 |
3.4 |
36.3 |
66.3 |
3.2 |
1.5 |
8.8 |
Свои производства и предоставление услуг в России развернули фирмы, специализирующиеся на торговле и общественном питании. Их деятельность способствует конвергенции потребностей и вкусов потребителей. Показателем успеха распространения стандартных услуг компании "МакДональдс" может служить открытие в России 25 фирменных ресторанов. К 2003 г. инвестиции этой компании в России достигли 180 млн. долл., а налоговые отчисления превысили 250 млрд. долл. С середины 90-х годов международные компании активизировались и на российском фондовом рынке. Приватизация государственных предприятий даёт возможность использовать такой метод привлечения иностранных инвесторов, как продажа им акций и ценных бумаг. Отсюда всё большее значение приобретает становление фондового рынка на федеральном и региональном уровнях.
8. Транснационализация и Россия – вынужденная необходимость или путь развития?
Появление транснациональных компаний и корпораций (ТНК) - закономерное явление происходящих в последнее время процессов глобализации. Их финансовые интересы часто переплетаются с экономическими интересами различных государств и регионов. Тенденция к постоянному расширению экономического взаимодействия и взаимозависимости различных государств стала проявляться после второй мировой войны. В этом процессе огромную роль играли и продолжают играть международные компании. Их власть и влияние обусловливаются концентрацией контроля над стратегически важными сферами существования человеческого общества - финансами, рабочей силой, технологией, поставками сырья и компонентов, услугами и их реализацией.
Транснациональные корпорации в России укрепляют позиции своего государства на территории других стран, создавая там анклавы своей собственности в виде филиалов и дочерних предприятий. Такая система собственности за рубежом обеспечивает реальное международное влияние государства.
Однако, рост экономической мощи ТНК неизбежно влечет за собой усиление глобального политического влияния корпораций на мировой арене и соответственно ослабление политической власти правительств государств.
Транснациональные корпорации оказывают благоприятное влияние на международные отношения, прежде всего, на состояние международной безопасности, так как они способствуют развитию взаимозависимости различных государств, делая любую агрессию стран, связанных системой транснациональных компаний, по отношению друг к другу невозможной или по крайней мере невыгодной.
Политическое и экономическое значение транснациональных корпораций столь велико, что в обозримом периоде времени они останутся одним из важных факторов усиления воздействия промышленно развитых стран на многие регионы мира. Отсюда вытекает очевидный вывод, что забота о превращении ведущих отечественных корпораций в транснациональные стала осознанной целью внешней политики государств, стремящихся к усилению своего влияния в международном масштабе. В этом плане Россия не должна быть исключением. Создание российских транснациональных корпораций в рамках СНГ и в дальнем зарубежье представляется не только экономически, но и политически важной задачей промышленной политики России.
Смысл глобализации сводится к постулированию неизбежности полной планетарной интеграции, перехода от множества государств, народов, наций и культур к единому мировому государству.
Процессы транснационализации производства и капитала являются основой современной глобализации мировой экономики. Международной торговле в данном случае предписана роль выполнения задачи специализации и кооперирования. Примечателен факт, что в значительной мере данная задача выполняется в рамках одной и той же ТНК.
Главной формой интернационализации хозяйственной жизни длительное время была международная торговля. На нынешнем этапе мирового развития международных экономических отношений основой глобализации стала интернационализация не обмена, а производства.
Расширение сферы приложения своей активности позволяет ТНК в России иметь следующие преимущества:
- ТНК используют в своих интересах не только природные и людские ресурсы, но и научно-технический потенциал других стран;
- ТНК проникают на рынки других стран и, становясь «своими», минуют таможенные барьеры зарубежных стран;
- имея филиалы в разных странах, ТНК преодолевают ограниченность внутреннего рынка стран базирования;
- ТНК увеличивают размеры предприятий и масштабы производимой продукции до наиболее прибыльного уровня.[12]
Транснациональные корпорации получают преимущества и вследствие извлечения выгоды из разницы в экономическом положении стран приложения своего капитала. Располагая филиалами и дочерними компаниями в других странах, ТНК в России получат возможность:
- получать преимущества, сосредоточивая те или иные производства в странах с дешевым сырьем и низкими ставками заработной платы;
- планировать и получать прибыли в различных странах в зависимости от уровня налогообложения на доходы;
- приспосабливать свои производственные и сбытовые схемы применительно к специфическим условиям национальных рынков разных стран;
- осуществлять политику бухгалтерского учета операций дочерних компаний и филиалов, выгодную центральной компании.
Влияние транснациональных корпораций на экономику отдельных государств иногда действительно впечатляюще. Особенно это касается развивающихся государств. Обычно, в эти страны ТНК переносят трудоемкие, энергоемкие и материалоемкие производства, а также экологически опасные производства.
Таким образом, для России ТНК – это закономерный путь развития в направлении интеграции в мировое хозяйство.
9. Перспективы транснационализации экономики России
В развитии российских ТНК приоритетными для России следует считать следующие направления их деятельности:
- увеличение принадлежащих ТНК сетей распределения газа и нефтепродуктов (вплоть до розничных) как на традиционных рынках СНГ и Европы, так и на новых для них рынках Азии, Ближнего Востока и Северной Америки;
- увеличение числа газоперерабатывающих предприятий непосредственно в странах СНГ и Европы;
- формирование собственных танкерных флотов нефтегазовых компаний и сухогрузных флотов горнодобывающих компаний;
- приобретение прав на разведку и эксплуатацию месторождений стратегических видов минерального сырья, импортируемого в Россию (бокситов, марганцевых и хромитовых руд, титанового и циркониевого концентратов, крупнокускового флюорита, щелочных бентонитов, высококачественных каолинитов и т.д.), с ориентацией их транспортных потоков на российские предприятия;
- приобретение прав на разведку и эксплуатацию месторождений (газа, нефти, алмазов, платиноидов, золота, бокситов, меди, никеля, молибдена, фосфоритов и др.) в странах с экономически благоприятной ситуацией - традиционных экономических и политических партнерах России (Вьетнам, Ангола, Куба, Индия, Иран, Ирак, Ливия, Алжир и др.), а по политической обстановке - в странах с условно повышенным риском инвестиций (Намибия, Мозамбик, Лаос, Камбоджа и др.);
- реализация проектов коротких транспортных схем потоков минерального сырья в Россию (например, строительство уральскими металлургическими комбинатами новых рудников на железорудных месторождениях в Курганской области Казахстане для самообеспечения высококачественными концентратами; освоение угольных месторождений китайской Манчжурии для нужд Дальнего Востока России и др.).[13]
Не всегда экономическая и политическая обстановка благоприятствует развитию российских ТНК. Например, на Кубе, традиционном партнере России, в период либерализации экономики страны вследствие инертности российских дипломатических и внешнеэкономических служб, сырьевой рынок был захвачен канадскими компаниями (Shtrritt International Corp.) Крупную концессию на разведку золота получила Holmen Gold Mines. На ранних этапах освоения "Газпромом" проекта Южный Парс в Иране началось резкое противодействие этому со стороны США (по политическим мотивам). Лишь в 1998 г. ЕС (с подачи европейских участников проекта) достиг с США договоренности о неприменении экономических санкций в отношении компаний, участвующих в этом проекте. Однако соглашение о поставках газа из России в Израиль, замороженное из-за контактов "Газпрома" с Ираном, не реализовано до сих пор.
В текущих условиях глобализации мировой экономики российские ТНК обязательно должны участвовать в приобретении свободных дешевых природных и трудовых ресурсов, иначе после имеющегося передела мира экономическое пространство России окажется зажатым в границах только собственной суверенной территории. Хотя продукция зарубежных предприятий (дивиденды) и операции с финансовыми деривативами (акциями, фьючерсами и др.) способствуют формированию российского валового национального продукта. Стабилизация российскими ТНК транспортных потоков стратегического минерального сырья в Россию будет способствовать устойчивости импортозависимых российских предприятий, работающих уже только на российский ВВП.
Государству следует всеми способами поддерживать российские ТНК в приобретении зарубежных активов и поисках новых форм международного экономического сотрудничества. Это особенно актуально в условиях реструктуризации государственных долгов третьих стран России, которые могут быть погашены активами их предприятий, предоставлением концессий и лицензий на разработку месторождений.
В историческом развитии международного бизнеса важную роль сыграли компании, занимавшиеся освоением природных ресурсов. В большинстве случаев они начинали с импорта сельскохозяйственных продуктов и минерального сырья, потом перешли к организации их иностранного производства и сбыта, что повлекло за собой установление контроля над горнодобывающей и нефтяной промышленностью, а также над сельским хозяйством, и было тесно связано с системой колониализма.
Глобальные ТНК монополизировали не только производство информационных продуктов и промышленных товаров, они доминируют и в разработке полезных ископаемых (где шесть крупнейших ТНК контролируют 75% добываемой нефти и 95% поступающей на рынок железной руды) и торговле сельскохозяйственными продуктами.
Следствием распада колониальных империй стали усилия правительств новых государств по установлению контроля над национальными природными ресурсами путем экспроприации и национализации собственности. Некоторые из них стремились увеличить доходы за счет организации у себя отдельных стадий первичной переработки минерального сырья. Это изменило условия функционирования ТНК. В ряде случаев последние утратили прямой контроль над добычей полезных ископаемых, но их господствующее положение в сфере международных продаж в основном укрепилось, так как транспортировка, большая часть технологических переделов (переработки) и продажа минерального сырья по-прежнему контролировались ими. Они также обладали значительным весом на товарных биржах и в создании материальных запасов.
В 90-е гг. XX в. на стратегию этой группы ТНК влиял ряд факторов - прежде всего, спрос, цены, научно-технические достижения и тенденции, конкуренция. В целом они перспективны, т.к. природные ресурсы распределены в мире весьма неравномерно: в результате более половины стран мира и 2/3 промышленных мощностей зависят от импорта материалов. Влияние ТНК на территориальное размещение производительных сил становится все более сложным ввиду сочетания конгломерации и вертикальной интеграции. Кроме этого, необходимо учитывать то, что сырьевая и добывающая отрасли всегда капиталоемки. В настоящее время они требуют еще больших и длительных инвестиций, в силу чего уйти из них труднее, чем из другого промышленного производства. Это обстоятельство заставляет инвесторов особенно остро реагировать на политические изменения, неблагоприятные подвижки в налоговой и правовой сферах, а в последнее время - на мероприятия по охране окружающей среды.
Суммарные активы 12 крупнейших минерально-сырьевых ТНК составляют 672 млрд. $ (13% суммы активов 100 крупнейших ТНК), годовой объем продаж - 604 млрд. $ (14,3%), их ИТН - достигает в среднем 52,8.
Сегодня из всех ТНК только Rio Tinto Plc занимается добычей твердых полезных ископаемых (черные, цветные и благородные металлы, уголь), все остальные сырьевые ТНК - из нефтегазового (добывающего, перерабатывающего и распределяющего) сектора.
Российские минерально-сырьевые компании также участвуют в международном разделении труда и создают свои зарубежные филиалы. Наиболее интенсивно формирование ТНК идет в нефтяном и газовом секторах минерально-сырьевого комплекса, намечаются также прецеденты создания зарубежных производств в алмазном секторе, алюминиевой и золотодобывающей отраслях промышленности, а также проекты транснационализации в никелевом секторе.
Перспективными стратегическими задачами российских "минерально-сырьевых" ТНК являются:
- доступ к дешевым природным и трудовым ресурсам (в Африке, на Ближнем Востоке и в Юго-Восточной Азии);
- приобретение перспективных месторождений ликвидного сырья;
- сохранение и закрепление устоявшихся сырьевых потоков на территорию России (из Монголии, Гвинеи и других стран);
- снижение финансовых потерь путем диверсификации производства в разных странах с различными уровнями политического (станового) и экономического рисков.
Процессы глобализации в чем-то сродни движению автотранспорта. Автомобильное движение может осуществляться по минимальным правилам (как, например, в Афганистане) или строго по специально разработанным правилам (большинство западных стран), может быть лево- или правосторонним. Четко разработанные правила и их неукоснительное соблюдение - залог эффективного и безопасного движения. Так же обстоит дело и с глобализацией. Ее нужно рассматривать как реальную объективность, которая не может быть ни хорошей, ни плохой. Она уже существует. Чем быстрее мы разработаем правила функционирования в подобной среде и согласуем их с другими независимыми государствами (в первую очередь со странами СНГ), тем быстрее, а главное, с выигрышем мы войдем в этот процесс.
Список литературы
1. Cавин А.Ю. Финансово-промышленные группы в России. — М.: Финстатинформ, 2004.
2. Беляева И.Ю., Эскиндаров М.А. Капитал финансово-промышленных корпоративных структур: Теория и практика. — М.: Финансовая академия при Правительстве РФ, 2003.
3. Грязнов Э.А. ТНК в России. Позиции крупнейших в мире транснациональных корпораций в российской экономике. — М.: Инфограф, 2004.
4. Кругман П., Обстфельд М. Международная экономика: Теория и политика./пер. с англ. — М.: Экономический факультет МГУ, ЮНИТИ, 2003.
5. Международные валютно-кредитные и финансовые отношения./Под ред. Красавиной Л.Н. — М.: Финансы и статистика, 2003.
6. Эскиндаров М.А. Развитие корпоративных отношений в современной российской экономике. — М.: Республика, 2004.
7. Авдашева С., Дементьев В. Акционерные и неимущественные механизмы интеграции в российских бизнес-группах // Российский экономический журнал. — 2004. — № 1. — С. 15 - 26.
8. Владимирова И.Г. Компании будущего: Организационный аспект // Менеджмент в России и за рубежом. — 2003. — № 2. — С. 49—60.
9. Драчева Е.Л., Либман А.М. Проблемы глобализациии и интеграции международного бизнеса и их влияние на российскую экономику // Менеджмент в России и за рубежом. — 2003. — №4. – с. 91 – 112.
10. Шпреман К. ТНК в России. // Проблемы теории и практики управления. — 2002. — № 3. – с. 54 – 71.
[1] Владимирова И.Г. Компании будущего: Организационный аспект // Менеджмент в России и за рубежом. — 2003. — № 2. — С. 49—60.
[2] Владимирова И.Г. Компании будущего: Организационный аспект // Менеджмент в России и за рубежом. — 2003. — № 2. — С. 49—60.
[3] Кругман П., Обстфельд М. Международная экономика: Теория и политика./пер. с англ. — М.: Экономический факультет МГУ, ЮНИТИ, 2003. – с. 214.
[4] Международные валютно-кредитные и финансовые отношения./Под ред. Красавиной Л.Н. — М.: Финансы и статистика, 2003. – с. 325.
[5] Шпреман К. ТНК в России. // Проблемы теории и практики управления. — 2002. — № 3. – с. 54 – 71.
[6] Cавин А.Ю. Финансово-промышленные группы в России. — М.: Финстатинформ, 2004. – с. 66.
[7] Грязнов Э.А. ТНК в России. Позиции крупнейших в мире транснациональных корпораций в российской экономике. — М.: Инфограф, 2004. – с. 86.
[8] Драчева Е.Л., Либман А.М. Проблемы глобализациии и интеграции международного бизнеса и их влияние на российскую экономику // Менеджмент в России и за рубежом. — 2003. — №4. – с. 91 – 112.
[9] Беляева И.Ю., Эскиндаров М.А. Капитал финансово-промышленных корпоративных структур: Теория и практика. — М.: Финансовая академия при Правительстве РФ, 2003. – с. 158.
[10] Беляева И.Ю., Эскиндаров М.А. Капитал финансово-промышленных корпоративных структур: Теория и практика. — М.: Финансовая академия при Правительстве РФ, 2003. – с. 244.
[11] Cавин А.Ю. Финансово-промышленные группы в России. — М.: Финстатинформ, 2004. – с. 117.
[12] Грязнов Э.А. ТНК в России. Позиции крупнейших в мире транснациональных корпораций в российской экономике. — М.: Инфограф, 2004. – с. 217.
[13] Эскиндаров М.А. Развитие корпоративных отношений в современной российской экономике. — М.: Республика, 2004. – с. 229.
