Содержание
Задание 1. 3
Задание 2. 8
Задание 3. 11
Задание 5. 12
Список литературы.. 17
Задание 1
УСЛОВИЕ ЗАДАНИЯ
Оценить соответствует ли состав и параметры воздушной среды на рабочем месте (РМ - шофер) требованиям ГОСТ 12.1.005-88, если фактические параметры соответственно равны:
- температура рабочей зоны t рз – 24 0С
- относительная влажность φ – 60 %
- скорость воздуха v - 0,2 м\с
- тепловое излучение – g – 100 Вт\м2
- энергозатраты на выполнение работ – Эз – 300 Вт
- температура наружного воздуха tн – 11-18 0С
- давление – 101,3 кПа
- продолжительность пребывания на рабочем месте в % от смены – П – 90%
- концентрация веществ : Ка (Бензин) – 80 мг\м3 , Кв (СO) – 20 мг\м3 , Кс (NOx ) – 3 мг\м3
Предложить мероприятия по обеспечению здоровых и безопасных условий труда. Определить необходимый воздухообмен на удаление вредных веществ, если объем помещения – V – 10 м3.
РЕШЕНИЕ
Нормы производственного микроклимата установлены системой стандартов безопасности труда ГОСТ 12.1.005-88 "Общие санитарно-гигиенические требования к воздуху рабочей зоны" и СанПиН 2.24.548-96 "Гигиенические требования к микроклимату производственных помещений". Они едины для всех производств и всех климатических зон с некоторыми незначительными отступлениями.
Для выполнения задания используем ГОСТ 12.1.005-88 ССБТ, СанПиН 2.2.4.548-96 и справочник «Вредные вещества в промышленности»
1) В соответствии с приложением 2 ГОСТа определяем ПДК содержащихся в воздухе веществ
Таблица 1
|
Наименование вещества |
Величина ПДК, мг/м3 |
Преимущественное агрегатное состояние в условиях производства |
Класс опасности |
Особенности действия на организм |
|
CO |
20 |
п |
4 |
|
|
NOx |
5 |
п |
2 |
|
|
Бензин |
100 |
п |
4 |
|
В этих нормах отдельно нормируется каждый компонент микроклимата в рабочей зоне производственного помещения: температура, относительная влажность, скорость воздуха в зависимости от способности организма человека к акклиматизации в разное время года, характера одежды, интенсивности производимой работы и характера тепловыделений в рабочем помещении.
Для оценки характера одежды (теплоизоляции) и акклиматизации организма в разное время года введено понятие периода года. Различают теплый и холодный период года. Теплый период года характеризуется среднесуточной температурой наружного воздуха +10oС и выше, холодный -ниже +10oС.
Так как температура наружного воздуха равна 11 - 18 оС, то имеем дело с теплым периодом времени.
При учете интенсивности труда все виды работ, исходя из общих энергозатрат организма, делятся на три категории: легкие, средней тяжести и тяжелые. Характеристику производственных помещений по категории выполняемых в них работ устанавливают по категории работ, выполняемых 50% и более работающих в соответствующем помещении.
К легким работам (категории I) с затратой энергии до 174 Вт относятся работы, выполняемые сидя или стоя, не требующие систематического физического напряжения (работа контролеров, в процессах точного приборостроения, конторские работы и др.). Легкие работы подразделяют на категорию Iа (затраты энергии до 139 Вт) и категорию Iб (затраты энергии 140... 174 Вт).
К работам средней тяжести (категория, II) относят работы с затратой энергии 175...232 Вт (категория IIа) и 233. ..290 Вт (категория IIб). В категорию IIа входят работы, связанные с постоянной ходьбой, выполняемые стоя или сидя, но не требующие перемещения тяжестей, в категорию IIб - работы, связанные с ходьбой и переноской небольших (до 10 кг) тяжестей (в механосборочных цехах, текстильном производстве, при обработке древесины и др.).
К тяжелым работам (категория III) с затратой энергии более 290 Вт относят работы, связанные с систематическим физическим напряжением, в частности с постоянным передвижением, с переноской значительных (более 10 кг) тяжестей (в кузнечных, литейных цехах с ручными процессами и др.).
Так энергозатраты равны 300 Вт, то имеем дело с тяжелыми работами (категория III)
Интенсивность теплового облучения работающих от открытых источников (нагретого металла, стекла, открытого пламени и др.) не должна превышать 140 Вт/м2. Так как интенсивность облучения 100 Вт\м2, то интенсивность соответствует нормам.
Таблица заполняется в соответствии с таблицей 1 ГОСТа
Санитарно-гигиеническая оценка параметров воздушной среды
Так как продолжительность пребывания на рабочем месте – 90 % , то рабочее место – постоянное
Таблица 2
Категория тяжести: тяжелые работы (категория III)
Период года: теплый
Постоянство рабочего места: постоянное
|
Параметр |
Единица измерения |
Фактическое значение |
Нормируемое значение |
Выводы |
|
|
оптимальное |
допустимое |
||||
|
Температура |
оС |
24 |
18-21 |
26 |
В пред. нормы |
|
Относительная влажность |
% |
60 |
60-40 |
65 |
В пред. нормы |
|
Скорость движения |
М\с |
0,2 |
0,5 |
0,3-0,7 |
Ниже нормы |
При одновременном содержании в воздухе рабочей зоны нескольких вредных веществ однонаправленного действия (по заключению органов государственного санитарного надзора) отношений фактических концентраций каждого из них {К1, К2 . . . Кп) в воздухе к их ПДК (ПДК1, ПДК2 . . . ПДКn) не должна превышать единицы
.
Таблица 3
Санитарно-гигиеническая оценка состава воздуха рабочей зоны
|
Вещество |
Фактическая концентрация, К, мг\м3 |
ПДК, мг\м3 |
Выводы |
К / ПДК |
|
CO |
20 |
20 |
ПДК |
1 |
|
NOx |
3 |
5 |
Ниже ПДК |
0,6 |
|
Бензин |
80 |
100 |
Ниже ПДК |
0,8 |
|
ИТОГО |
|
|
|
2,4 |
Так сумма итого в таблице больше 1, то величина вредных веществ в воздухе превышает предельные нормы и не соответствует оптимальным условиям.
Таким образом, в целом по составу и параметрам воздушной среды на рабочем месте шофера можно оценить как не соответствующие по санитарно-гигиенической оценке параметров воздушной среды, так и по составу воздуха рабочей зоны.
Необходимо улучшение системы вентиляции помещения рабочей зоны.
Мероприятия по обеспечению здоровых и безопасных условий труда.
Правила по технике безопасности – это система технических мероприятий, обеспечивающих здоровье и безопасные условия труда. Правила и нормы по технике безопасности содержат обязательные требования, которым должны удовлетворять предприятия в целом, производственные помещения, все виды оборудования и технологические процессы с точки зрения безопасности труда.
Факторами метеорологических условий производственной среды являются: температура воздуха, его относительная влажность, скорость перемещения воздуха и наличие теплоизлучений. Для обеспечения нормальных условий деятельности человека параметры микроклимата нормируются. Нормы производственного микроклимата установлены ГОСТ 12.1.005-88 ССПТ. Общие санитарно-гигиенические требования к воздуху рабочей зоны". Они едины для всех производств и всех климатических зон. Параметры микроклимата в рабочей зоне должны соответствовать оптимальным или допустимым микроклиматическим условиям. Оптимальные условия обеспечивают нормальное функционирование организма без напряжения механизмов терморегуляции. При допустимых микроклиматических условиях возможно некоторое напряжение системы терморегуляции без нарушения здоровья человека. Параметры температуры, влажности и скорости движения воздуха регламентируются с учетом тяжести физического труда: легкая, средняя и тяжелая работа. Помимо этого, учитывается сезон года: холодный период года характеризуется среднесуточной температурой наружного воздуха ниже +10°С и теплый период с температурой + 10°С и выше. Для контроля метеоусловий используются приборы: термометры, термограф и парный термометр; актинометр при замерах напряженности излучений; психрометр или гидрограф при измерении относительной влажности; анемометр или кататермометр для замеров скорости движения воздуха. Вентиляция - это комплекс устройств для обеспечения нормальных метеорологических условий и удаления вредных веществ из производственных помещений. Вентиляция может быть естественной (аэрация) и механической в зависимости от способа перемещения воздуха. В зависимости от объема вентилируемого помещения различают обще обменную и местную вентиляцию. Обще обменная вентиляция обеспечивает удаление воздуха из всего объема помещения. Местная вентиляция обеспечивает замену воздуха в месте его загрязнения. По способу действия различают вентиляцию приточную, вытяжную и приточно-вытяжную, а также аварийную. Аварийная предназначена для устранения загазованности помещения в аварийных ситуациях. Независимо от типа вентиляции к ней предъявляются следующие общие требования: объем приточного воздуха должен быть равен объему вытяжного воздуха; элементы системы вентиляции должны быть правильно размещены в помещении; потоки воздуха не должны поднимать пыль и не должны вызывать переохлаждения работающих; шум от системы вентиляции не должен превышать допустимого уровня.
Необходимый воздухообмен на удаление вредных веществ:

где
- объем помещения, м3;
,
- концентрация вредных
веществ в приточном и удаляемом воздухе,
.
Тогда, G = 10/(80*20*3) = 0,002 (м3)
Задание 2
Оценить шум и вибрацию на рабочем месте
Фактические параметры шума и вибрации приведены в таблицах ниже. Определить требуемое снижение шума, вибрации и время, в течение которого вибрация не будет оказывать вредного воздействия на работающих. Подобрать средства индивидуальной защиты от шума.
Таблица 4
Фактические параметры шума
|
Рабочее место |
Уровни звукового давления (дБ) в октавных полосах со среднегеометрическими частотами , Гц |
Уровень звука, дБА |
||||||||
|
|
31,5 |
63 |
125 |
250 |
500 |
1000 |
2000 |
4000 |
8000 |
|
|
Шофера |
90 |
78 |
74 |
65 |
63 |
64 |
60 |
55 |
54 |
70 |
Таблица 5
|
Источник вибрации (рабочее место) |
Параметр по оси |
Значение в нормируемом диапазоне октавных полос соответственно |
Корректированное по частоте значение |
|
Водитель, самосвал |
Виброускорение (а), м/с2 по оси Z |
1,5; 0,8; 0,7; 0,8; 1,2; 2,5; 4,5. |
0,9 |
РЕШЕНИЕ
Для выполнения задания используем СН 2.2.4\2.1.8.562-96 и СН 2.2.4\2.1.8.566-96.
Предельно допустимый уровень (ПДУ) шума – это уровень фактора, который при ежедневной (кроме выходных дней) работе, но не более 40 часов в неделю в течение всего рабочего стажа, не должен вызывать заболеваний или отклонений в состоянии здоровья, обнаруживаемых современными методами исследований в процессе работы или в отдаленные сроки жизни настоящего и последующих поколений. Соблюдение ПДУ шума не исключает нарушения здоровья у сверхчувствительных лиц .
Таблица 6
Санитарно- гигиеническая оценка шума
|
Параметр |
Значение параметра в октавных полосах со среднегеометрической частотой, Гц |
Уровень звука, дБА |
||||||||
|
31,5 |
63 |
125 |
250 |
500 |
1000 |
2000 |
4000 |
8000 |
|
|
|
Фактический |
90 |
78 |
74 |
65 |
63 |
64 |
60 |
55 |
54 |
70 |
|
УЗД (Lp),дБ |
107 |
99 |
92 |
86 |
83 |
80 |
78 |
76 |
74 |
85 |
|
Оценка |
Нет превышения |
Нет превышения |
Нет превышения |
Нет превышения |
Соответствие уровню |
превышение |
превышение |
Нет превышения |
Нет превышения |
превышение |
|
ПДУ, дБ |
135 |
134 |
133 |
132,5 |
132 |
132 |
132 |
131 |
131 |
132,5 |
|
∆Lтр, дБ |
-45 |
-56 |
-59 |
-67,5 |
-69 |
-68 |
-72 |
-76 |
-77 |
-62,5 |
Значение УЗД в строке 1 таблицы определяем по исходным данным
В соответствии с таблицей 2 СН 2.2.4\2.1.8.562-96 определяем уровень звукового давления УЗД для рабочего места шофера.
Для определения предельно допустимого уровня используем формулу:
ПДУ = 20 lg Р/Р0, где
Р - среднеквадратичная величина звукового давления, Па;
P0 - исходное значение звукового давления в воздухе, равное 2х10-5 Па.
∆Lтр определяется как разница между фактическим и предельно допустимым уровнем ПДУ. В случае если величина имеет знак +, то наблюдается превышение фактического давления над допустимым. Если имеет знак -, то наблюдается соответствие давления норме.
Как видно из таблицы во всех случаях наблюдается соответствие предельно допустимому уровню звукового давления. Значит, снижение уровня шума на рабочем месте не требуется.
Предельно допустимый уровень (ПДУ) вибрации - это уровень фактора, который при ежедневной (кроме выходных дней) работе, но не более 40 часов в неделю в течение всего рабочего стажа, не должен вызывать заболеваний или отклонений в состоянии здоровья, обнаруживаемых современными методами исследований в процессе работы или в отдаленные сроки жизни настоящего и последующих поколений. Соблюдение ПДУ вибрации не исключает нарушение здоровья у сверхчувствительных лиц.
Таблица 7
Санитарно- гигиеническая оценка вибрации
Вид вибрации: непостоянная
Направление действия: по оси Х
|
Параметр |
Значение параметра в нормируемом диапазоне октавных полос со среднегеометрическими частотами, Гц |
Корректированное по частоте значение |
|||||
|
2 |
4 |
8 |
16 |
31,5 |
63 |
||
|
Фактическое значение, ед. изм. |
1,5 |
0,8 |
0,7 |
1,2 |
2,5 |
4,5 |
0,9 |
|
ПДЗ, ед. изм. при т = 480 мин |
0,8 |
0,9 |
1,3 |
1,7 |
3 |
5,3 |
2 |
|
Превышение |
да |
нет |
нет |
нет |
Нет |
нет |
Нет |
В таблице строка фактических значений заполняется исходя из исходных данных задачи. Строка со значениями ПДЗ заполняется с применением таблицы 4 из СН 2.2.4\2.1.8.566-96
Из таблицы видно, что превышения по значениям параметра практически отсутствуют, значит вибрацию можно оценить как допустимую.
![]()
где Uk – корректированное значение уровня виброускорения по ПДК
U ф – корректированное значение уровня виброускорения по факту
Т - время безвредного воздействия
Т = Uф:Uk2
Т = 2 : 0,92 = 2,5 (ч.)
Задание 3
А) Дать санитарно- гигиеническую оценку искусственного освещения (общего) газоразрядными лампами, если в помещении гаража выполняются работы разряда IV. Фон средний. Малый контраст, если фактическая освещенность Е = 200 лк. Коэффициент пульсации Кп = 10. Показатель ослепленности Р = 40.
РЕШЕНИЕ
При решении задач используем СНиП 23-05-95:
- для работ IV разряда среднего фона и малого контраста общего освещения Ен должна быть равна 200 лк
- Фактическое освещение составляет 200 лк, значит фактическое значение соответствует требуемой норме.
- Коэффициент пульсации Кп для четвертого разряда зрительной работы равен 20. Фактическое значение – 10. Кп в в пределах нормы.
- Показатель ослепленности равен 40. Фактическое значение – 40. Р в пределах нормы.
Освещение соответствует нормам.
Б) Правильно ли спроектировано естественное освещение в аудитории для выполнения работ Б1 (>70%), если светопроникающий проем – окно ориентирован по сторонам света на В, помещение находится в городе Чита, фактическая освещенность внутри помещения равна 90, 110, 120, 100 при наружной Ен = 10000 лк.
РЕШЕНИЕ
1) из приложения Д определяем номер группы административного района города Чита. Он равен 2.
2) Из таблицы 4 при группе административного района 2, при светопроникающем проеме – окно и ориентации на В значение коэффициента светового климата равно 0,9.
3) Из таблицы 2 для работ Б1 и продолжительности работы более 70 % КЕО при боком естественном освещении равен 3,5; а требуемое значение искусственной освещенности рабочей поверхности равно 1250 лк.
4) Естественное освещение в аудитории равно: 10000*0,035 = 350 (лк)
5) Общее освещение в помещении при условии, что коэффициент светового климата равен 0,9:
(90+110+120+100+350)*0,9 = 693 (лк)
6) Таким образом, естественного освещения недостаточно для освещения аудитории и необходимо дополнительное искусственное освещение.
Задание 5
Охарактеризуйте условия труда на своем рабочем месте с точки зрения возможных заболеваний, травматизма, пожароопасности (т. е. укажите санитарно-гигиенические условия, режимы труда и отдыха, психологический климат в коллективе, вредные, опасные, пожароопасные факторы, классы и категории электро- и пожаровзрывоопасности и т. д.). Заполните карту условий труда на рабочем месте. Определите интегральные показатели тяжести (Ит) и работоспособности (К1) категорию тяжести, льготы и компенсации за вредные условия труда. Наметьте первоочередные мероприятия по улучшению условий труда. Определите интегральные показатели Ит2 и К2 после внедрения мероприятий и возможный рост производительности труда при внедрении мероприятий.
РЕШЕНИЕ
Карта условий труда на рабочем месте
Предприятие ______________ Цех __________________________
Производство ______________ Профессия (должность) Корректор
Участок _____________________ Средняя тарифная ставка________
Количество рабочих мест ______ мужчин______ женщин _________
Численность рабочих _________
А. Санитарно-гигиенические производственные факторы на рабочем месте
|
Фактор производственной |
Предельно |
Величина |
Длительность |
Балл с |
||
|
среды |
допустимое |
фактора |
действия |
учетом |
||
|
|
значение. |
|
фактора |
времени |
||
|
|
Норматив- |
Абсо- |
В бал- |
мин |
доли |
дейст |
|
|
ный доку- |
лют- |
лах |
|
единиц |
вия |
|
|
мент |
ное |
|
|
от 480 |
|
|
|
|
зна- |
|
|
минут |
|
|
|
|
чение |
|
|
|
|
|
1. Микроклимат помещения: |
(ГОСТ 12.1 005-88) |
|
|
|
|
|
|
теплый период |
|
|
|
|
|
|
|
- температура, °С |
22-28 |
23 |
3 |
480 |
1 |
3 |
|
- скорость воздуха, м/с |
0,1…0,2 |
0,1 |
|
|
|
|
|
- относительная влажность, % |
55 |
50 |
|
|
|
|
|
холодный период |
|
|
|
|
|
|
|
- температура, °С |
21-25 |
20 |
1 |
|
|
|
|
- скорость воздуха, м/с |
0,1 |
0,1 |
|
|
|
|
|
- относительная влажность, % |
75 |
65 |
|
|
|
|
|
2. Вредные химические веще |
|
|
|
|
|
|
|
ства, мг/м : |
нет |
|
1 |
|
|
|
|
а) |
|
|
|
|
|
|
|
б) |
|
|
|
|
|
|
|
в) |
|
|
|
|
|
|
|
3. Промышленная пыль, мг/м |
2 (ГОСТ 12,1,007-76) |
нет |
1 |
|
|
|
|
4. Вибрация, дБ |
|
|
|
|
|
|
|
5. Промышленный шум, дБА |
50 (ГОСТ 12.1.003-76) |
нет |
1 |
|
|
|
|
6. Ультразвук, дБ |
|
нет |
1 |
|
|
|
|
7. Инфразвук, дБ |
|
нет |
1 |
|
|
|
|
8. Неионизирующие излучения |
|
нет |
1 |
|
|
|
|
(В/м; А/м; Вт/м): |
|
|
|
|
|
|
|
- радиочастотный диапазон |
|
|
|
|
|
|
|
- диапазон промышлен ной час |
|
|
|
|
|
|
|
тоты |
|
|
|
|
|
|
|
- оптический диапазон |
|
|
|
|
|
|
|
9. Ионизирующие излучение, |
|
нет |
1 |
|
|
|
|
Зв |
|
|
|
|
|
|
|
10. Инфракрасное (тепловое) |
|
нет |
1 |
|
|
|
|
излучение, Вт/м |
|
|
|
|
|
|
|
11. Биологические факторы: |
|
Нет |
1 |
|
|
|
|
а) микроорганизмы |
|
|
|
|
|
|
|
б) макроорганизмы |
|
|
|
|
|
|
|
12. Освещение, лк |
200 |
200 |
1 |
|
|
|
Б. Психофизические производственные факторы на рабочем месте
|
Фактор производственной среды |
Величина фактора |
Длительность действия фактора |
Балл с учетом времени действия |
||
|
Абсолютное значение |
В баллах |
мин |
доли единиц от 480 минут |
||
|
13. Физическая динамическая нагрузка за смену, Дж: |
|
||||
|
а) общая (при работе мышц всего тела) |
35*104 |
1 |
|||
|
б) региональная (с преимуществом участием мышц рук и плечевого пояса) |
19*104 |
1 |
|||
|
14. Статическая физическая нагрузка в течение смены (при удержании груза или приложении усилий), Н-с: |
|||||
|
на одну руку |
10*104 |
1 |
|
|
|
|
на две руки |
15*104 |
1 |
|
|
|
|
на все тело(корпус, руки,ноги) |
21*104 |
1 |
|
|
|
|
15. Рабочее место, рабочая поза и перемещение в пространстве |
Поза не свобоная, кор-пус и конеч-ности в удоб. положении |
3 |
480 |
1 |
3 |
|
16. Сменность |
2 смены |
2 |
|
|
|
|
17. Продолжительность непрерывной работы в течение суток, ч |
8 |
2 |
|
|
|
|
18. Напряженность зрения (размер объекта различия, мм) |
0,4 |
4 |
480 |
1 |
4 |
|
19. Длительность сосредоточения, наблюдения, % от времени смены |
80 |
4 |
480 |
1 |
4 |
|
20. Число важных объектов наблюдения |
6-10 |
2 |
|
|
|
|
21. Число движений в час (темп): |
|
|
|
|
|
|
- мелких (пальцев, кисти) |
1000 |
3 |
480 |
1 |
3 |
|
- крупных (рук, плечевого пояса) |
240 |
1 |
|
|
|
|
22. Число информационных сигналов в час |
150 |
2 |
|
|
|
|
23. Монотонность: |
|
|
|
|
|
|
- число приемов в операции |
3 |
3 |
480 |
1 |
3 |
|
- длительность повторяющихся операций, с |
20 |
3 |
480 |
1 |
3 |
|
24. Режим труда и отдыха |
Отсутствие обоснованного режима труда и отдыха |
3 |
480 |
1 |
3 |
|
25 Нервно-эмоциональная нагрузка |
Сложные действия по заданному плану с возможностью коррекции. |
3 |
480 |
1 |
3 |
Число факторов, формирующих тяжесть труда п (факторов с балльной оценкой > 2); n = 9
Сумма баллов (∑хi); 29
(учитываются факторы с хi > 2)
Средний балл (хср) 3,2
Оценка тяжести труда (Ит) 50,4
Категория тяжести труда ____четвертая
Выработка за смену (натуральная единица или руб.) ________
Время занятости основной работой, мин ___ Дата заполнения
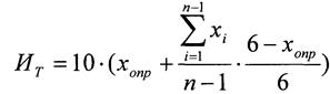
Интегральный показатель тяжести труда:

где xопр - балльная оценка фактора, определяющего условия труда (с максимальным значением);
xопр = 4, определяющий фактор – длительность сосредоточения, наблюдения;
xi - балльные оценки значительных факторов (влияющих на условия труда и состояние работающих, формирующих функциональные состояния организма; п - число значимых факторов; - сумма баллов значимых факторов без xопр.
Ит = 10*(4 + (25 / 8)*(6-4)/6) = 50,4
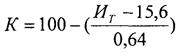
Интегральный показатель работоспособности:

К1 = 100 – (50,4 - 15,6) / 0,64 = 45,625
В результате расчетов можно сделать вывод, что категория тяжести труда работника четвертая и требуется доплата тарифной ставке 12% и дополнительный отпуск 6 дней. (Табл. 8)
В первоочередные мероприятия по улучшению условий труда можно включить только регулирование режима труда и отдыха. (введение плановых перерывов, использование музыки и т.д.) т.к. остальные факторы непосредственно связаны с данной профессией.
Определим интегральные показатели Ит2 и К2 после внедрения мероприятий:
Ит2 = 10*(4 + (22 / 7)*(6-4)/6) = 50,4
К2 = 100 – (50,4 - 15,6) / 0,64 = 45,625
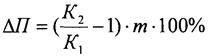
Возможный рост производительности труда:

где т - коэффициент учитывающий разное влияние факторов на организм т=0,12..0,4. При усредненных расчетах применяется т =0,2.
Показатели практически не изменились. Поэтому рост производительности труда соответственно не может быть осуществлен.
Список литературы
1. ГОСТ 12.1.005-88. ССБТ. Воздух рабочей зоны. Общие санитарно-гигиенические требования
2. ГОСТ 12.1.007-88. ССБТ. Вредные вещества. Классификация и общие требования безопасности.
3. СН 2.2.4/2.1.8.562-96. Шум. Общие требования безопасности.
4. СН 2.2.4/2.1.8.566-96. Вибрация. Общие требования безопасности.
5. СНиП 23-05-95. Естественное и искусственное освещение.
6. Кузьминов Л.А., Швалева Л.Н. Экономическая оценка работы по охране труда в строительстве. М.: 1982
7. Данисенко Г.Ф. Охрана труда. М.: 1985
8. Долин П.А. Справочник по технике безопасности. М.: Энергоатомиздат, 1984
9. Кукин П.П., Лапин В.Л. и др. Безопасность жизнедеятельности. Безопасность технологических процессов и производств (Охрана труда). М.: Высш. шк., 2001