Содержание:
Введение. 3
1. Оценка результативности производственно--хозяйственной деятельности, финансовой и инвестиционной деятельности. 5
1.1. Оценка деловой активности. 5
1.2. Оценка рентабельности. 8
1.3. Оценка положения на рынке ценных бумаг. 13
2. Анализ денежных потоков от текущей, инвестиционной и финансовой деятельности. 16
2.1. Приемы и методы анализа денежных потоков. 16
2.2. Оценка денежного потока прямым методом. 19
2.3 Оценка денежного потока косвенным методом. 19
3. Практическое задание. 22
3.1.Анализ динамики активов, обязательств и капитала ООО «Скиф». 30
3.2.Анализ показателей структуры активов и источников ООО Скиф. 32
3.3. Расчет абсолютных показателей ликвидности ООО Скиф. 35
3.4. Расчет относительных показателей ликвидности ООО Скиф. 39
3.5. Расчет показателей эффективности хозяйственной деятельности ООО "СКИФ" 40
3.6. Расчет показателей деловой активности ООО "СКИФ". 42
3.7.............. Анализ структуры и динамики доходов и расходов ООО Скиф. 43
3.8.Расчет абсолютных показателей финансовой устойчивости. 45
3.9. Расчет относительных показателей финансовой устойчивости ООО Скиф. 46
Заключение: 49
Библиографический список. 51
Введение
Рыночная экономика в Российской Федерации набирает все большую силу. Вместе с ней набирает силу и конкуренция как основной механизм регулирования хозяйственного процесса.
В современных экономических условиях деятельность каждого хозяйствующего субъекта является предметом внимания обширного круга участников рыночных отношений, заинтересованных в результатах его функционирования.
Чтобы обеспечить выживаемость предприятия в современных условиях, управленческому персоналу необходимо, прежде всего, на основании доступной отчетно-учетной информации, уметь реально оценивать финансовое состояние, как своего предприятия, так и существующих потенциальных конкурентов.
Финансовое состояние организации является одним из основных стержней, на которых стабильная и успешная работа предприятия. Оно является важнейшей характеристикой деловой активности и надежности, определяет конкурентоспособность, потенциал в деловом сотрудничестве, оценивает в какой степени гарантированы экономические интересы самого предприятия и его партнеров.
Обеспечение устойчивого финансового состояния является первейшей задачей организации.
Чтобы правильно, полно и всесторонне провести оценку финансового состояния организации, недостаточно одного умения реально оценивать финансовое состояние организации. Необходимо овладеть современными методами и приемами экономического анализа, познакомиться с передовыми методиками зарубежных и отечественных экономистов, изучить специальную литературу.
Актуальность темы оценки анализ финансовой отчетности организации подтверждается наличием большого количества экономической литературы по данному вопросу. В ней рассматриваются следующие понятия, используемые в работе: финансы предприятия, финансовое состояние, виды методы и приемы финансового анализа, система показателей характеризующих финансовое состояние предприятия.
Финансовый анализ опирается на показатели квартальной и годовой бухгалтерской отчетности, поэтому качество самого финансового анализа завит от достоверности данных бухгалтерской отчетности и применяемой методики анализа.
Несмотря на огромную значимость самого анализа финансово-экономического состояния, его проведение не должно быть самоцелью, а должно служить построению базы, для выявления достоверной картины результатов деятельности предприятия.
Цель данной работы состоит в изучение методов анализа финансовой отчетности предприятия и выявлению направлений, по которым необходимо вести работу по его улучшению.
Для реализации поставленной цели необходимо решить следующие задачи:
· оценить имущество организации и источников его формирования;
· оценить платежеспособность и финансовую устойчивость;
· оценить ликвидность предприятия;
· оценить производственно-финансовый леверидж предприятия.
Объектом исследования данной дипломной работы является деятельность ООО Скиф.
1. Оценка результативности производственно--хозяйственной деятельности, финансовой и инвестиционной деятельности.
1.1. Оценка деловой активности
Оценка деловой активности направлена на анализ результатов и эффективность текущей основной производственной деятельности
Оценка деловой активности на качественном уровне может быть получена в результате сравнения деятельности данного предприятия и родственных по сфере приложения капитала предприятий. Такими качественными' (т.е. неформализуемыми) критериями являются: широта рынков сбыта продукции; наличие продукции, поставляемой на экспорт; репутация предприятия, выражающаяся, в частности, в известности клиентов, пользующихся услугами предприятия, и др. Количественная оценка делается по двум направлениям:
· степень выполнения плана (установленного вышестоящей организацией или самостоятельно) по основным показателям, обеспечение заданных темпов их роста;
· уровень эффективности использования ресурсов предприятия.
Для реализации первого направления анализа целесообразно также учитывать сравнительную динамику основных показателей. В частности, оптимально следующее их соотношение:
Тпб > Тр >Так >100%,
где Тпб> Тр-, Так - соответственно темп изменения прибыли, реализации, авансированного капитала (Бд).
Эта зависимость означает что: а) экономический потенциал предприятия возрастает; б) по сравнению с увеличением экономического потенциала объем реализации возрастает более высокими темпами, т.е. ресурсы предприятия используются более эффективно; в) прибыль возрастает опережающими темпами, что свидетельствует, как правило, об относительном снижении издержек производства и обращения.
Однако возможны и отклонения от этой идеальной зависимости, причем не всегда их следует рассматривать как негативные, такими причинами являются: освоение новых перспектив направления приложения капитала, реконструкция и модернизация действующих производств и т.п. Эта деятельность всегда сопряжена со значительными вложениями финансовых ресурсов, которые по большей части не дают быстрой выгоды, но в перспективе могут полностью окупиться.
Для реализации второго направления могут быть рассчитаны различные показатели, характеризующие эффективность использования, материальных, трудовых и финансовых ресурсов. Основные из них - выработка, фондоотдача, оборачиваемость производственных запасов, продолжительность операционного цикла, оборачиваемость авансированного капитала.
При анализе оборачиваемости оборотных средств особое внимание должно уделяться производственным запасам и дебиторской задолженности. Чем меньше омертвляются финансовые ресурсы в этих активах, тем более эффективно они используются, быстрее оборачиваются, приносят предприятию все новые и новые прибыли.
Оборачиваемость оценивают, сопоставляя показатели средних остатков оборотных активов и их оборотов за анализируемый период. Оборотами при оценке и анализе оборачиваемости являются:
· для производственных запасов – затраты на производство реализованной продукции;
· для дебиторской задолженности – реализация продукции по безналичному расчету (поскольку этот показатель не отражается в отчетности и может быть выявлен по данным бухгалтерского учета, на практике его нередко заменяют показателем выручки от реализации).[3,59]
Дадим экономическую интерпретацию показателей оборачиваемости:
· оборачиваемость в оборотах указывает среднее число оборотов средств, вложенных в активы данного вида, в анализируемый период;
· оборачиваемость в днях указывает продолжительность (в днях) одного оборота средств, вложенных в активы данного вида.
Обобщенной характеристикой продолжительности омертвления финансовых ресурсов в текущих активах является показатель продолжительности операционного цикла, т.е. того, сколько дней в среднем проходит с момента вложения денежных средств в текущую производственную деятельность до момента возврата их в виде выручки на расчетный счет. Этот показатель в значительной степени зависит от характера производственной деятельности; его снижение - одна из основных внутрихозяйственных задач предприятия.
Показатели эффективности использования отдельных видов ресурсов обобщаются в показателях оборота собственного капитала и оборачиваемости основного капитала, характеризующих соответственно отдачу вложенных в предприятие: а) средств собственника; б) всех средств, включая привлеченные. Различие между этими коэффициентами обусловлено степенью привлечения заемных средств для финансирования производственной деятельности.
К обобщающим показателям оценки эффективности использования ресурсов предприятия и динамичности его развития относятся показатель ресурсоотдачи и коэффициент устойчивости экономического роста.
Ресурсоотдача (коэффициент оборачиваемости авансированного капитала). Характеризует объем реализованной продукции, приходящейся на рубль средств, вложенных в деятельность предприятия. Рост показателя в динамике рассматривается как благоприятная тенденция.
Коэффициент устойчивости экономического роста. Показывает, какими в среднем темпами может развиваться предприятие в дальнейшем, не меняя уже сложившееся соотношение между различными источниками финансирования, фондоотдачей, рентабельностью производства, дивидендной политикой и т.п.
1.2. Оценка рентабельности
К основным показателям этого блока, используемым в странах с рыночной экономикой для характеристики рентабельности вложений в деятельность того или иного вида, относятся рентабельность авансированного капитала и рентабельность собственного капитала. Экономическая интерпретация этих показателей очевидна — сколько рублей прибыли приходится на один рубль авансированного (собственного) капитала.
Относительные показатели финансовых результатов по методике расчета являются показателями эффективности разных видов. Основное их преимущество заключается в том, что они не подвержены влиянию инфляции, так как являются относительными величинами. Все относительные показатели финансовых результатов относятся к прямым показателям эффективности ресурсного либо затратного типа. Поэтому, положительной тенденцией их изменения является тенденция к росту. В качестве эффекта во всех показателях выступают абсолютные показатели финансовых результатов (валовая, чистая прибыль и их со ставные элементы). В связи с этим относительные показатели финансовых результатов иначе называют показателями рентабельности (иногда их классифицируют как разновидность показателей деловой активности).
Рассмотрим содержание этих показателей и методику их расчета по группам показателей рентабельности, каждая из которых в свою очередь характеризует отдельное направление хозяйственной деятельности предприятия. Все показатели рентабельности условно можно объединить в три группы: рентабельность продукции; рентабельность имущества; рентабельность капитала.
I) Рентабельность продукции.
Рентабельность продаж (норма прибыли, маржа прибыли, доходность продукции) – R пр
R пр = П рп х 100 / Q рп
Является показателем эффективности затратного типа и показывает, сколько в каждой единице дохода от реализации занимает прибыль Рассчитывается на основе "Отчета о прибылях и убытках" Рентабельность продукции (рентабельность затрат) R затр
R затр = П рп х 100 / S рп
Является показателем эффективности затратного типа и отражает, сколько на каждую единицу затрат приходится прибыли и рассчитывается на основе "Отчета о прибылях и убытках"
Рентабельность продаж и рентабельность продукции отражает одно и то же явление: эффективность реализации. Однако они рассчитываются по разным методикам. В хозяйственной практике имеют применение оба показателя, поэтому при оценке эффективности реализации необходимо внимательно оценивать их значения так как показатель рентабельность продукции всегда дает более высокое значение.
Разновидностью показателя рентабельность продаж является рентабельность индивидуальная или рентабельность конкретного изделия (работ, услуг).
Рентабельность продукции индивидуальная (Ri)
Ri = П i х 100 / Рi = (Рi – Si) х 100 / Рi
где Рi - цена i-го изделия (отпускная, договорная в зависимости от вида сделки);
Si - себестоимость изготовления единицы i-го изделия.
Является показателем эффективности затратного типа и показывает долю прибыли в составе цены единицы изделия и рассчитывается на основе калькуляций, расчетов цены, данных первичного учета. [10,115]
Коэффициент чистой выручки (К ч в.)
К ч.в. = (Пч + А) / Qрп
где А - сумма амортизации в составе себестоимости реализованной продукции, определяется расчетным путем по аналитическим данным.
Сумма чистой прибыли и амортизационных отчислении, возмещающих стоимость основных фондов и нематериальных активов, образуют чистую выручку. Является показателем эффективности затратного типа и отражает, какая часть выручки от реализации продукции остается в денежной форме в обороте предприятия. Чем выше К ч.в. , тем больше степень обеспечения обязательств предприятия платежными средствами. Важен при прогнозном анализе платежеспособности.
2) Рентабельность имущества
Рентабельность активов (рентабельность имущества, вложений в предприятие) - R им.:
R им. = (П вал. (Пч) ) х 100 / Б акт. cр.
Содержит в себе признаки показателя эффективности затратного и ресурсного типа, так как в составе активов есть авансированные ресурсы и затраты потребленных ресурсов. Он отражает доходность каждой единицы стоимости активов. Может рассчитываться как по валовой, так и по чистой прибыли. В первом случае характеризует общую отдачу активов (брутто-показатель), во втором - реальную отдачу (нетто-показатель). Источником информации является "Отчет о прибылях и убытках" (по числителю) и "Бухгалтерский баланс" (по знаменателю).
Следующие три показателя являются модификациями показателя рентабельности имущества.
Рентабельность производственных фондов (общая рентабельность, рентабельность предприятия) - R общ.:
R общ. = (Пвал. (Пч) ) х 100 / (F ос.ср + Ом ср.).
Является показателем эффективности ресурсного типа и отражает эффективность функционирования производственных фондов предприятия. Рассчитывается с привлечением данных "Бухгалтерского баланса", "Приложения к балансу" (знаменатель дроби) и "Отчета о прибылях и убытках" (числитель дроби).
Рентабельность текущих активов – R та :
Rта = (П вал. (Пч) ) х 100 / Оакт.ср.
Является показателем эффективности ресурсного типа и отражает отдачу использования оборотных средств предприятия. Рассчитывается на основе данных "Отчета о прибылях и убытках" (числитель дроби) и "Бухгалтерского баланса" (знаменатель дроби).
Рентабельность финансовых вложений - Rф.в.:
Rф.в. = Пф.в.х 100 / Фв.ср.,
где Пф.в. - дивиденды по ценным бумагам, проценты за кредит другим предприятиям, доходы от участия в других предприятиях, кредиты по вкладам и т.п.;
Фв.ср. - средний за анализируемый период размер финансовых вложений. Рассчитывается на основе "Отчета о прибылях и убытках" (числитель дроби) и "Бухгалтерского баланса" (знаменатель дроби). Является показателем эффективности ресурсного типа, однако, при ситуации не возврата вложений может рассматриваться как показатель затратного типа. Отражает эффективность финансовой деятельности предприятия. Сопоставление с показателями первой группы дает возможность выбора наиболее эффективного направления этих вложений. Однако, высокое значение показателя всегда сопряжено с высоким риском финансовых вложений. [9.32]
3) Рентабельность капитала
Рентабельность собственного капитала - Rс соб.:
Rс соб. = Пч х 100 / Ссоб. ср.
Является показателем эффективности ресурсного типа и отражает эффективность использования собственных средств предприятия. Широко используется в финансовом менеджменте при анализе рентабельности имущества и при формировании политики привлечения заемных средств.
Рентабельность инвестиций (перманентного капитала, постоянного и долгосрочного финансирования) - Rинв.:
Rинв. = (Пвал (Пч) ) х 100 / (Ссоб.ср. + ДКЗср.),
где Ссоб.ср. - средняя за анализируемый период величина собственных средств предприятия;
ДКЗср. - средняя за анализируемый период величина привлеченных долгосрочных займов и кредитов.
Показатель является показателем эффективности ресурсного типа. В зарубежной практике финансового анализа используется для оценки "мастерства" управления инвестициями. В российской практике логичнее в качестве эффекта использовать показатель чистой прибыли, так как в ней отражается степень использования предприятием налоговых льгот при направлении собственных средств и привлечении долгосрочных источников для финансирования капитальных вложений.
Для вычисления рентабельности собственного капитала с целью ее дальнейшей экстраполяции на расчетный период необходимо определить эту рентабельность максимально точно и при этом исключить влияние эпизодических факторов, которые имели место в этом году и не повторятся в будущем. Для достижения этой цели необходимо рассчитать несколько показателей рентабельности из разных групп, характеризующих финансовый результат с разных точек зрения, соотнести их между собой, т. е. Рассчитав рентабельность собственного капитала не только по формуле, но и через нормативные соотношения других показателей рентабельности с этим. Нормативные соотношения показателей рентабельности могут быть выведены из соотношения заемных и собственных средств, валовой и чистой прибыли, прибыли от реализации продукции и валовой прибыли, т. е. таких связей показателей, которые характерны для данного предприятия. Эти соотношения определяются субъектом анализа на основе данных за предыдущие периоды. При этом для этих расчетов используются не все показатели рентабельности, а 1-2 из каждой группы. Остальные показатели могут быть использованы для более точного и полного анализа, но в пределах данной работы не могут быть рассмотрены.
Из первой группы наиболее подходящим для наших вычислений является рентабельность продаж. Он характеризует деятельность с точки зрения эффективности реализации. [6,92]
Из второй группы можно взять для анализа два показателя: рентабельность активов и рентабельность текущих активов. Причем второй показатель может дать более точную характеристику, так как текущие активы менее подвержены случайным колебаниям и к тому же они не отражают убытки.
Из третьей группы возьмем непосредственно рентабельность собственного капитала. Следующим этапом анализа показателей рентабельности будет установление взаимосвязей между ними. Рассмотрим основные пары показателей, которые нам необходимо сопоставить:
1) прибыль от реализации продукции и прибыль валовая.
2) прибыль валовая и прибыль чистая.
3) величина имущества и текущие активы.
4) собственные средства и величина имущества.
5) текущие активы и выручка от реализации.
В первом случае нам необходимо установить долю прибыли от реализации продукции (dПрп) в прибыли валовой. d = Прп / Пвал. Во втором случае устанавливается доля прибыли чистой ( d Пч ) в прибыли валовой (в соответствии с российским законодательством это соотношение составляет 2/3 ) d = Пч / Пвал = 2/3. Далее выводим соотношение текущих активов и величины имущества предприятия d = ТА / Бакт. После этого находим долю собственных средств. d = Cсоб. / Бакт. Затем устанавливаем взаимосвязь текущих активов и выручки от реализации, находим коэффициент а. а = ТА / Qрп. На первый взгляд может показаться, что эти показатели мало связаны между собой. Однако на самом деле между ними тесная связь. Qрп как правило зависит от объема производства, а объем производства напрямую зависит от величины оборотных средств. Все эти соотношения устанавливаются по данным за прошлые 2 - 3 года, не включая отчетного, таким образом, они отражают сложившуюся на предприятии практику хозяйствования.
1.3. Оценка положения на рынке ценных бумаг
Данный вид анализа выполняется в компаниях, зарегистрированных на фондовых биржах и котирующих там свои ценные бумаги. Анализ не может быть выполнен непосредственно по данным финансовой отчетности - нужна дополнительная информация. Поскольку терминология по ценным бумагам в нашей стране еще окончательно не сложилась, приводимые названия показателей являются условными.
Доход на акцию. Представляет собой отношение чистой прибыли, уменьшенной на величину дивидендов по привилегированным акциям, к общему числу обыкновенных акций. Именно этот показатель в значительной степени влияет на рыночную цену акций. Основной его недостаток в аналитическом плане - пространственная несопоставимость ввиду неодинаковой рыночной стоимости акций различных компаний.
Ценность акции. Рассчитывается как частное от деления рыночной цены акции на доход на акцию. Этот показатель служит индикатором спроса на акции данной компании, поскольку показывает, как много согласны платить инвесторы в данный момент на один рубль прибыли на акцию. Относительно высокий рост этого показателя в динамике указывает на то, что инвесторы ожидают более быстрого роста прибыли данной фирмы по сравнению с другими. Этот показатель уже можно использовать в пространственных (межхозяйственных) сопоставлениях. Компаниям, имеющим относительно высокое значение коэффициента устойчивости экономического роста, характерно, как правило, и высокое значение показателя «ценность акции».
Дивидендная доходность акции. Выражается отношением дивиденда, выплачиваемого на акции, к ее рыночной цене. В компаниях, расширяющих свою деятельность путем капитализирования большей части прибыли, значение этого показателя относительно невелико. Дивидендная доходность акции характеризует процент возврата на капитал, вложенный в акции фирмы. Это прямой эффект. Есть еще и косвенный (доход или убыток), выражающийся в изменении рыночной цены акций данной фирмы.
Дивидендный выход. Рассчитывается путем деления дивиденда, выплачиваемого по акции, на доход на акцию. Наиболее наглядное толкование этого показателя — доля чистой прибыли, выплаченная акционерам в виде дивидендов. Значение коэффициента зависит от инвестиционной политики фирмы. С этим показателем тесно связан коэффициент реинвестирования прибыли, характеризующий ее долю, направленную на развитие производственной деятельности. Сумма значений показателя дивидендного выхода и коэффициента реинвестирования прибыли равна единице.
Коэффициент котировки акции. Рассчитывается отношением рыночной цены акции к ее учетной (книжной) цене. Книжная цена характеризует долю собственного капитала, приходящегося на одну акцию. Она складывается из номинальной стоимости (т.е. стоимости, проставленной на бланке акции, по которой она учтена в акционерном капитале), доли эмиссионной прибыли (накопленной разницы между рыночной ценой акций в момент их продажи и их номинальной стоимостью) и доли накопленной и вложенной в развитие фирмы прибыли. Значение коэффициента котировки больше единицы означает, что потенциальные акционеры, приобретая акцию, готовы дать за нее цену, превышающую бухгалтерскую оценку реального капитала, приходящегося на акцию на данный момент. [6,351]
В процессе анализа могут использоваться жестко детерминированные факторные модели, позволяющие идентифицировать и дать сравнительную характеристику основных факторов, повлиявших на изменение того или иного показателя.
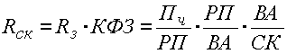
В основе приведенной системы действует следующая жестко детерминированная факторная зависимость:
,
где КФЗ - коэффициент финансовой зависимости, ВА - сумма активов предприятия, СК - собственный капитал.
Из представленной модели видно, что рентабельность собственного капитала зависит от трех факторов: рентабельности хозяйственной деятельности, ресурсоотдачи и структуры авансированного капитала. Значимость выделенных факторов объясняется тем, что они в определенном смысле обобщают все стороны финансово-хозяйственной деятельности предприятия, в частности бухгалтерскую отчетность: первый фактор обобщает форму №2 «Отчет о прибылях и убытках», второй - актив баланса, третий - пассив баланса.
2. Анализ денежных потоков от текущей, инвестиционной и финансовой деятельности.
2.1. Приемы и методы анализа денежных потоков.
Оценка движения денежных средств предприятия за отчетный период, а также планирование денежных потоков на перспективу является важнейшим дополнением анализа финансового состояния предприятия и выполняет следующие задачи:
- определение объема и источников, поступивших на предприятие денежных средств;
- выявление основных направлений использования денежных средств;
-оценка достаточности собственных средств предприятия для осуществления инвестиционной деятельности;
- определение причин расхождения между величиной полученной прибыли и фактическим наличием денежных средств.
Чтобы раскрыть реальное движение денежных средств на предприятии, оценить синхронность поступлений и платежей, а также увязать величину полученного финансового результата с состоянием денежных средств, следует выделить и проанализировать все направления поступления, а также их выбытие. Направления движения денежных средств принято рассматривать в разрезе основных видов деятельности - текущей, инвестиционной, финансовой.
Схема движения денежных потоков
Совокупный денежный поток должен стремиться к нулю.
Основополагающие принципы управления потоком денежных средств:
1. ПРОДАВАТЬ как можно больше и по разумным ценам. Цена продажи включает в себя не только реальные денежные затраты, но и амортизацию (некассовую статью), которая на деле увеличивает денежный поток.
2. Как можно больше ускорять оборачиваемость всех видов запасов, избегая их дефицита, который может привести к падению объема продаж.
3. Как можно быстрее собирать деньги у дебиторов, не забывая, что чрезмерное давление на всех без исключения потребителей может привести к снижению объема будущих продаж.
4. Постараться достичь разумных сроков выплаты кредиторской задолженности без ущерба для дальнейшей деятельности компании.
Разделение всей деятельности предприятия на три самостоятельные сферы очень важно в российской практике, поскольку хороший (т.е. близкий к нулю) совокупный поток может быть получен за счет элиминирования или компенсации отрицательного денежного потока по основной деятельности притоком средств от продажи активов (инвестиционная деятельность) или привлечением кредитов банка (финансовая деятельность). В этом случае величина совокупного потока маскирует реальную убыточность предприятия.
Текущая деятельность включает поступление и использование денежных средств, обеспечивающих выполнение основных производственно-коммерческих функций. При этом в качестве «притока» денежных средств будут выручка от реализации продукции в текущем периоде, погашение дебиторской задолженности, поступления от продажи бартера, авансы, полученные от покупателя. «Отток» денежных средств происходит в связи с платежами по счетам поставщиков и подрядчиков, с выплатой заработной платы, отчислениями в бюджет и внебюджетные фонды, уплатой процентов за кредит, отчисления на социальную сферу.
Поскольку основная деятельность компании является главным источником прибыли, она должна являться и основным источником денежных средств.
Инвестиционная деятельность включает поступление и использование денежных средств, связанные с приобретением, продажей долгосрочных активов и доходы от инвестиций. В этом случае «притоки» денежных средств связаны с продажей основных средств, нематериальных активов, с получением дивидендов, процентов от долгосрочных финансовых вложений, с возвратом других финансовых вложений. «Оттоки» денежных средств объясняются приобретением основных средств, нематериальных активов, капитальными вложениями, долгосрочными финансовыми вложениями. [8,111]
Поскольку при благополучном ведении дел компания стремится к расширению и модернизации производственных мощностей, инвестиционная деятельность в целом приводит к временному оттоку денежных средств.
Финансовая деятельность включает поступление денежных средств в результате получения кредитов или эмиссии акций, а также оттоки, связанные с погашением задолженности по ранее полученным кредитам, и выплату дивидендов.
«Притоки» денежных средств могут быть за счет краткосрочных кредитов и займов, долгосрочных кредитов и займов, поступлений от эмиссии акций, целевого финансирования. «Оттоки» средств происходят в связи с возвратом краткосрочных кредитов и займов. Возвратом долгосрочных кредитов и займов, выплатой дивидендов, погашением векселей.
Финансовая деятельность призвана увеличивать денежные средства в распоряжении компании для финансового обеспечения основной и инвестиционной деятельности.
Основными методами расчета величины денежного потока являются прямой, косвенный методы.
2.2. Оценка денежного потока прямым методом
Анализ движения денежных средств прямым методом позволяет судить о ликвидности предприятия, поскольку он детально раскрывает движение денежных средств на его счетах, что дает возможность делать оперативные выводы относительно достаточности средств для уплаты по счетам текущих обязательств, а также осуществления инвестиционной деятельности.
Прямой метод основан на анализе движения денежных средств по счетам предприятия:
· Позволяет показать основные источники притока и направления оттока денежных средств.
· Дает возможность делать оперативные выводы относительно достаточности средств для платежей по текущим обязательствам.
· Устанавливает взаимосвязь между реализацией к денежной выручкой за отчетный период.
В оперативном управлении прямой метод может использоваться для контроля за процессом формирования прибыли и выводов относительно достаточности средств для платежей по текущим обязательствам.
Недостатком этого метода является то, что он не раскрывает взаимосвязи полученного финансового результата и изменения абсолютного размера денежных средств предприятия. Кроме того, данный метод требует больших затрат времени, чем другие методы оценки денежного потока, а полученная с его использованием отчетность менее полезна. [3,59]
2.3 Оценка денежного потока косвенным методом
Суть косвенного метода состоит в преобразовании величины чистой прибыли в величину денежных средств. При этом исходят из того, что в деятельности каждого предприятия имеются отдельные, нередко значительные по величине виды расходов и доходов, которые уменьшают (увеличивают) прибыль предприятия, не затрагивая величину его денежных средств. В процессе анализа на сумму указанных расходов (доходов) производят корректировку величины чистой прибыли таким образом, чтобы статьи расходов, не связанные с оттоком средств, и статьи доходов, не сопровождающиеся их притоком, не влияли на величину чистой прибыли.
Косвенный метод основан на анализе статей баланса и отчета о финансовых результатах, и:
· позволяет показать взаимосвязь между разными видами деятельности предприятия;
· устанавливает взаимосвязь между чистой прибылью и изменениями в активах предприятия за отчетный период.
При анализе взаимосвязи полученного финансового результата и изменения денежных средств следует учитывать возможность получения доходов, отражаемых в учете реального поступления денежных средств.
Анализ движения денежных потоков дает возможность сделать более обоснованные выводы о том, в каком объеме и из каких источников были получены поступившие на предприятия денежные средства и каковы основные направления их использования; способно ли предприятие отвечать по своим текущим обязательствам; достаточно ли собственных средств предприятия для осуществления инвестиционной деятельности; чем объясняются расхождения величины полученной прибыли и наличия денежных средств и др.
Преимуществом косвенного метода при использовании в оперативном управлении является то, что он позволяет установить соответствие между финансовым результатом и собственными оборотными средствами. В долгосрочной перспективе косвенный метод позволяет выявить наиболее проблемные "места скопления" замороженных денежных средств и, исходя из этого, разработать пути выхода из сложившейся ситуации.
Подготовка отчета о движении денежных средств на основе косвенного метода проходит в несколько этапов:
· расчет изменений по статьям баланса и определение факторов, влияющих на увеличение или уменьшение денежных средств предприятия;
· анализ ф. № 2 и классификация источников поступления денежных средств и направлений использования;
· объединение полученных данных в отчете о движении денежных средств (таблица 2).
Поскольку в новом формате баланса не предусмотрена статья "Амортизация", то ее величина определяется как разность между остаточной стоимостью внеоборотных активов (основных средств и нематериальных активов) на начало и конец периода.
Косвенный метод направлен на получение данных, характеризующих чистый денежный поток предприятия в отчетном периоде. Источником информации для разработки отчетности о движении денежных средств предприятия этим методом являются отчетный баланс и отчет о финансовых результатах. Расчет чистого денежного потока предприятия косвенным методом осуществляется по видам хозяйственной деятельности и предприятию в целом.
По операционной деятельности базовым элементом расчета чистого денежного потока предприятия косвенным методом выступает его чистая прибыль, полученная в отчетном периоде. Путем внесения соответствующих корректив чистая прибыль преобразуется затем в показатель чистого денежного потока. [8,116]
Использование косвенного метода расчета движения денежных средств позволяет определить потенциал формирования предприятием основного внутреннего источника финансирования своего развития — чистого денежного потока по операционной и инвестиционной деятельности, а также выявить динамику всех факторов, влияющих на его формирование. Кроме того, следует отметить относительно низкую трудоемкость формирования отчетности о движении денежных средств, так как подавляющее большинство необходимых для расчета косвенным методом показателей содержится в иных формах действующей финансовой отчетности предприятия.
Прямой метод направлен на получение данных, характеризующих как валовой, так и чистый денежный поток предприятия в отчетном периоде. Он призван отражать весь объем поступления и расходования денежных средств в разрезе отдельных видов хозяйственной деятельности и по предприятию в целом. Различия полученных результатов расчета денежных потоков прямым и косвенным методом относятся только к операционной деятельности предприятия. При использовании прямого метода расчета денежных потоков используются непосредственные данные бухгалтерского учета, характеризующие все виды поступлений и расходования денежных средств.
Расчеты суммы чистого денежного потока предприятия по инвестиционной и финансовой деятельности, а также по предприятию в целом осуществляются по тем же алгоритмам, что и при косвенном методе.
В соответствии с принципами международного учета метод расчета денежных потоков предприятие выбирает самостоятельно, однако предпочтительным считается прямой метод, позволяющий получить более полное представление об их объеме и составе.
3. Практическое задание.
Проведем анализ ООО Скиф
Бухгалтерский баланс ООО "СКИФ" (10 вариант)
Таблица 3.1.
|
АКТИВ |
Код строки |
на начало периода |
на конец периода |
|
1 |
2 |
3 |
4 |
|
|
|
|
|
|
Нематериальные активы |
110 |
7488,50 |
0,00 |
|
в том числе: |
|
|
|
|
организационные расходы |
112 |
7488,50 |
0,00 |
|
Основные средства |
120 |
60648,50 |
70857,50 |
|
в том числе: |
|
|
|
|
здания, машины и оборудование |
122 |
60648,50 |
70857,50 |
|
Незавершенное строительство |
130 |
4591,00 |
2242,50 |
|
Долгосрочные финансовые вложения |
140 |
889,00 |
922,00 |
|
в том числе: |
|
|
|
Продолжение таблицы 3.1.
|
инвестиции в дочерние общества |
141 |
18,00 |
18,00 |
|
инвестиции в зависимые общества |
142 |
15,00 |
15,00 |
|
инвестиции в другие организации |
143 |
5,00 |
5,00 |
|
прочие долгосрочные финансовые вложения |
145 |
851,00 |
884,00 |
|
Прочие внеоборотные активы |
150 |
|
|
|
ИТОГО по разделу I |
190 |
73617,00 |
74022,00 |
|
II. Оборотные активы |
|
|
|
|
Запасы |
210 |
9833,00 |
19567,50 |
|
в том числе: |
|
|
|
|
сырье, материалы и другие аналогичные ценности |
211 |
4801,00 |
6887,50 |
|
затраты в незавершенном производстве |
213 |
4653,00 |
6851,50 |
|
расходы будущих периодов |
216 |
127,00 |
5828,50 |
|
прочие запасы и затраты |
217 |
252,00 |
0,00 |
|
Налог на добавленную стоимость по приобретенным ценностям |
220 |
260,00 |
897,50 |
|
Дебиторская задолженность (платежи по которой ожидаются более чем через 12 месяцев после отчетной даты) |
230 |
542,00 |
304,50 |
|
в том числе: |
|
|
|
|
покупателя и заказчики |
231 |
322,00 |
304,50 |
|
прочие дебиторы |
235 |
220,00 |
0,00 |
Продолжение таблицы 3.1.
|
Дебиторская задолженность (платежи по которой ожидаются в течение 12 месяцев после отчетном даты) |
240 |
17833,50 |
19097,50 |
|
покупатели и заказчики |
241 |
1 1 492.00 |
1 1239,00 |
|
авансы выданные |
245 |
962,50 |
7294,00 |
|
прочие дебиторы |
246 |
5379.00 |
564,50 |
|
Краткосрочные финансовые вложения |
250 |
0,00 |
50.00 |
|
в том числе. |
|
|
|
|
прочие краткосрочные финансовые вложения |
253 |
0,00 |
50,00 |
|
Денежные средства |
260 |
32997.00 |
19246,00 |
|
в том числе |
|
|
|
|
касса |
261 |
90,00 |
39,50 |
|
расчетные счета |
262 |
1367,50 |
1200,00 |
|
валютные счета |
263 |
65,50 |
223,50 |
|
прочие денежные средства |
264 |
31465,00 |
17783,00 |
|
Прочие оборотные активы |
270 |
|
|
|
Итого по разделу 11 |
290 |
61465,50 |
59163,00 |
|
БАЛАНС (сумма строк 190 + 290) |
300 |
135082,50 |
133185,00 |
|
Уставный капитал |
410 |
150.00 |
150,00 |
|
Добавочный капитал |
420 |
1438.00 |
1438,00 |
|
Резервный капитал |
430 |
30.00 |
30,00 |
|
в том числе: |
|
|
|
Продолжение таблицы 3.1.
|
резервы, образованные в соответствии с законодательством |
431 |
22,50 |
22,50 |
|
резервы, образованные в соответствии с учредительными документами |
432 |
7.50 |
7,50 |
|
Нераспределенная прибыль (непокрытый убыток) |
- |
3368,00 |
39887,50 |
|
в том числе: |
|
|
|
|
Нераспределенная прибыль прошлых лет |
460 |
21609,50 |
3045330 |
|
Непокрытый убыток прошлых лет |
465 |
-18241.50 |
-14257,50 |
|
Нераспределенная прибыль отчетного года |
470 |
0,00 |
23691,50 |
|
Непокрытый убыток отчетного года |
475 |
|
|
|
Итого по разделу 111 |
490 |
4986.00 |
41505,50 |
|
IV. Долгосрочные обязательства |
|
|
|
|
Займы и кредиты |
510 |
44293.00 |
0,00 |
|
в том числе: |
|
|
|
|
Кредитыбанков, подлежащие погашению более чем через 12 месяцев после отчетной даты |
511 |
|
|
|
займы, подлежащие погашению более чем через 12 месяцев после отчетной даты |
512 |
|
|
|
Прочие долгосрочные обязательства |
520 |
|
|
|
Итого по разделу IV |
590 |
44293.00 |
0.00 |
|
V. Краткосрочны* обязательства |
|
0,00 |
0,00 |
|
Займы и кредиты |
610 |
1570,50 |
17362.00 |
|
в том числе: |
|
|
|
Продолжение таблицы 3.1.
|
кредиты банков, подлежащие погашению в течение 12 месяцев после отчетной латы |
611 |
1500.00 |
17291,50 |
|
займы, подлежащие погашению в течение 12 месяцев после отчетной даты |
612 |
70,50 |
70.50 |
|
Кредиторская задолженность. |
620 |
84233.00 |
74317,50 |
|
в том числе: |
|
|
|
|
поставщики и подрядчики |
621 |
67955.50 |
40855.50 |
|
векселя к уплате |
622 |
|
|
|
Задолженность перед зависимыми и дочерними обществами |
623 |
|
|
|
задолженность перед персоналом организации |
624 |
552,50 |
972,50 |
|
задолженность перед государственными внебюджетными фондами |
625 |
258,50 |
255,00 |
|
задолженность перед бюджетом |
626 |
4508,50 |
6725,50 |
|
авансы полученные |
627 |
8402,00 |
23400.00 |
|
прочие кредиторы |
628 |
2556,00 |
2109,00 |
|
Задолженность участникам (учредителям) по выплате доходов |
630 |
|
|
|
Доход ы будущих периодов |
640 |
|
|
|
Резервы предстоящих расходов |
650 |
|
|
|
Прочие краткосрочные обязательства |
660 |
|
|
|
ИТОГО по разделу V |
690 |
85803,50 |
91679,50 |
|
БАЛАНС (сумма строк 490+590+690) |
700 |
135082,50 |
133185,00 |
Отчет о прибылях и убытках ООО "СКИФ» (10 вариант)
Таблица 3.2.
|
тыс.руб. |
|||
|
Наименование показателя |
Код строки |
За период, предшествующий отчетному |
За отчетный период |
|
1 |
2 |
3 |
4 |
|
|
|
|
|
|
Выручка (нетто) от продажи товаров, продукции, работ (за минусом налога на добавленную стоимость) |
010 |
122680,5 |
132110,5 |
|
в том числе от продажи: |
|
|
|
|
реализация готовой продукции |
011 |
102564 |
109795 |
|
реализация услуг арендаторам |
012 |
19146,5 |
21264 |
|
реализация услуг вспомогательных производств |
013 |
970 |
1051,5 |
|
Себестоимость проданных товаров, продукции, работ, услуг |
020 |
81076,5 |
92549 |
|
в том числе проданных: |
|
0 |
0 |
|
себестоимость готовой продукции |
021 |
61291,5 |
69811,5 |
|
себестоимость услуг арендаторам |
022 |
19469 |
22304,5 |
|
себестоимость услуг вспомогательных производств |
023 |
316 |
433 |
|
Валовая прибыль |
029 |
41604 |
39561,5 |
|
Коммерческие расходы |
030 |
5592 |
6352 |
|
Управленческие расходы |
040 |
|
|
|
Прибыль (убыток) от продаж (строки 010-020-030-040) |
050 |
36012 |
33209,5 |
|
П. Операционные доходы и расходы |
|
|
|
|
Проценты к получению |
060 |
28,5 |
16 |
|
Проценты к уплате |
070 |
3613 |
2175,5 |
|
Доходы от участия в других организациях |
080 |
|
|
|
Прочие операционные доходы |
090 |
429,5 |
0 |
|
Прочие операционные расходы |
100 |
|
|
|
Внереализационные доходы и расходы |
|
|
|
|
Внереализационные доходы |
120 |
7497 |
0 |
|
Внереализационные расходы |
130 |
10045,5 |
0 |
|
Прибыль (убыток) до налогообложения (строки 050+060-070+080+090-1 00+1 20-1 30) |
140 |
25800 |
34195,5 |
|
Налог на прибыль и иные аналогичные обязательные платежи |
150 |
4190,5 |
10504 |
|
Прибыль (убыток) от обычной деятельности |
160 |
21609,5 |
23691,5 |
|
IV. Чрезвычайные доходы и расходы |
|
|
|
|
Чрезвычайные доходы |
170 |
|
|
|
Чрезвычайные расходы |
180 |
|
|
|
Чистая прибыль (нераспределенная прибыль (убыток) отчетного периода (строки 160+170-180) |
190 |
21609,5 |
23691,5 |
Справочная информация для проведения анализа деловой активности ООО "СКИФ"
тыс.руб.
|
Показатели |
|
|
|
10 |
||
|
Средний размер оборотных средств за период, предшествующий отчетному |
50000 |
|
|
Средний размер запасов за период, предшествующий отчетному периоду |
20000 |
|
|
Средний размер дебиторской задолженности за период, предшествующий отчетному |
20000 |
|
|
Средний размер кредиторской задолженности за период, предшествующий отчетному |
70000 |
3.1.Анализ динамики активов, обязательств и капитала ООО «Скиф»
Таблица 3.3.
|
Показатели |
Код строки |
На начало периода |
на конец периода |
изменения за период |
||
|
сумма |
темп роста |
Абсол. Величина |
В % к общей сумме |
|||
|
АКТИВ |
|
|
|
|
|
|
|
1. Внеоборотные активы |
|
|
|
|
|
|
|
Нематериальные активы |
110 |
7488,5 |
0 |
0,00 |
-7488,5 |
0 |
|
Основные средства |
120 |
60648,5 |
70857,5 |
116,83 |
10209 |
95,72 |
|
Незавершенное производство |
130 |
4591 |
2242,5 |
48,85 |
-2348,5 |
3,03 |
|
Долгосрочные фин.вложения |
140 |
889 |
922 |
103,71 |
33 |
1,25 |
|
Прочие внеоборотные активы |
150 |
|
|
|
0 |
0 |
|
Итого по разделу 1 |
190 |
73617 |
74022 |
100,55 |
405 |
100 |
|
2. Оборотные ктивы |
|
|
|
|
|
|
|
Запасы |
210 |
9833 |
19567,5 |
199,00 |
9734,5 |
33,07 |
Продолжение таблицы 3.3.
|
НДС |
220 |
260 |
897,5 |
345,19 |
637,5 |
1,52 |
|
Краткосрочная дебиторская зад. |
230 |
17833,5 |
19097,5 |
107,09 |
1264 |
32,28 |
|
Долгосрочные дебиторская зад. |
240 |
542 |
304,5 |
56,18 |
-237,5 |
0,51 |
|
Краткосрочная фин.вложения |
250 |
|
50 |
|
50 |
0,08 |
|
Денежные средства |
260 |
32997 |
19246 |
58,33 |
-13751 |
32,53 |
|
Прочие оборотные активы |
270 |
|
|
|
0 |
0 |
|
Итого по разделу 2 |
290 |
61465,5 |
59163 |
96,25 |
-2302,5 |
100 |
|
Баланс (сумма строк 190+290) |
|
135082,5 |
133185 |
98,60 |
-1897,5 |
|
|
ПАССИВ |
300 |
|
|
|
|
|
|
3. Капитал и резервы |
|
|
|
|
|
|
|
Уставный капитал |
410 |
150 |
150 |
100,00 |
0 |
0,36 |
|
Добавочный капитал |
420 |
1438 |
1438 |
100,00 |
0 |
3,46 |
|
Резервный капитал |
430 |
30 |
30 |
100,00 |
0 |
0,07 |
|
Нераспределенная прибыль |
|
3368 |
39887,5 |
1184,31 |
36519,5 |
96,10 |
|
Итого по разделу 3 |
490 |
4986 |
41505,5 |
832,44 |
36519,5 |
100,00 |
|
4. Долгосрочные обязательства |
|
|
|
|
|
|
|
Займы и кредиты |
510 |
44293 |
0 |
0,00 |
-44293 |
100,00 |
|
Прочие долгосрочные обязат. |
520 |
|
|
|
0 |
|
|
Итого по разделу 4. |
590 |
44293 |
0 |
0,00 |
-44293 |
100,00 |
|
5. Краткосрочные обязательства |
|
|
|
|
|
|
|
Займы и кредиты |
610 |
1570,5 |
17362 |
1105,51 |
15791,5 |
18,94 |
|
Кредиторская задолженность |
620 |
84233 |
74317,5 |
88,23 |
-9915,5 |
81,06 |
|
Задолженность участникам |
630 |
|
|
|
0 |
|
|
Доходы будущих периодов |
640 |
|
|
|
0 |
|
|
Резервы предстоящих расходов |
650 |
|
|
|
0 |
|
|
Прочие краткосрочные обязат. |
660 |
|
|
|
0 |
|
|
Итого по разделу 5 |
690 |
85803,5 |
91679,5 |
106,85 |
5876 |
100,00 |
|
Баланс (сумма строк 490+590+690) |
700 |
135082,5 |
133185 |
98,60 |
-1897,5 |
|
3.2.Анализ показателей структуры активов и источников ООО Скиф
Таблица 3.4.
|
|
|
|
|
|
|
|
|
Код строки |
На начало периода |
На конец периода |
||
|
АКТИВ |
|
Сумма |
% |
Сумма |
% |
|
1. Внеоборотные активы |
|
|
|
|
|
|
Нематериальные активы |
110 |
7488,50 |
10,17 |
0,00 |
0,00 |
|
Основные средства |
120 |
60648,50 |
82,38 |
70857,50 |
95,72 |
|
Незавершенное производство |
130 |
4591,00 |
6,24 |
2242,50 |
3,03 |
|
Долгосрочные фин.вложения |
140 |
889,00 |
1,21 |
922,00 |
1,25 |
|
Прочие внеоборотные активы |
150 |
|
|
|
|
|
Итого по разделу 1 |
190 |
73617,00 |
54,50 |
74022,00 |
55,58 |
|
2. Оборотные активы |
|
|
|
|
|
|
Запасы |
210 |
9833,00 |
16,00 |
19567,50 |
33,07 |
|
НДС |
220 |
260,00 |
0,42 |
897,50 |
1,52 |
|
Краткосрочная дебиторская зад. |
230 |
17833,50 |
29,01 |
19097,50 |
32,28 |
|
Долгосрочные дебиторская зад. |
240 |
542,00 |
0,88 |
304,50 |
0,51 |
|
Краткосрочная фин.вложения |
250 |
|
0,00 |
50,00 |
0,08 |
|
Денежные средства |
260 |
32997,00 |
53,68 |
19246,00 |
32,53 |
|
Прочие оборотные активы |
270 |
|
|
|
|
|
Итого по разделу 2 |
290 |
61465,50 |
45,50 |
59163,00 |
44,42 |
|
Баланс (сумма строк 190+290) |
|
135082,50 |
100,00 |
133185,00 |
100,00 |
|
ПАССИВ |
300 |
|
|
|
|
|
3. Капитал и резервы |
|
|
|
|
|
|
Уставный капитал |
410 |
150,00 |
3,01 |
150,00 |
0,36 |
|
Добавочный капитал |
420 |
1438,00 |
28,84 |
1438,00 |
3,46 |
|
Резервный капитал |
430 |
30,00 |
0,60 |
30,00 |
0,07 |
|
Нераспределенная прибыль |
|
3368,00 |
67,55 |
39887,50 |
96,10 |
|
Итого по разделу 3 |
490 |
4986,00 |
3,69 |
41505,50 |
31,16 |
|
4. Долгосрочные обязательства |
|
|
|
|
|
|
Займы и кредиты |
510 |
44293,00 |
0,00 |
0,00 |
0,00 |
|
Прочие долгосрочные обязат. |
520 |
|
|
|
|
|
Итого по разделу 4. |
590 |
44293,00 |
32,79 |
0,00 |
0,00 |
|
5. Краткосрочные обязательства |
|
|
|
|
|
|
Займы и кредиты |
610 |
1570,50 |
1,83 |
17362,00 |
18,94 |
|
Кредиторская задолженность |
620 |
84233,00 |
98,17 |
74317,50 |
81,06 |
|
Задолженность участникам |
630 |
|
|
|
|
|
Доходы будущих периодов |
640 |
|
|
|
|
|
Резервы предстоящих расходов |
650 |
|
|
|
|
|
Прочие краткосрочные обязат. |
660 |
|
|
|
|
|
Итого по разделу 5 |
690 |
85803,50 |
63,52 |
91679,50 |
68,84 |
|
Баланс (сумма строк 490+590+690) |
700 |
135082,50 |
100,00 |
133185,00 |
100,00 |
Как видно из таблиц 3.3.,3.4. имущество ООО Скиф за отчетный период представлено в большей части внеоборотными активами. Их сумма выросла с 74022 тыс. руб. до 73617 тыс. руб., или на0,55%.
Мобильные средства понизились на 23025 тыс. руб. или на 3,75 %. Их снижение произошло за счет понижения доли денежных средств в отчетном периоде на 13751 тыс. руб. или на 41,67 %, нужно отметить что произошло повышение доли запасов в ООО Скиф на 99% это очень положительный фактор, так как означает, что в связи с конкуренцией, произошло приобретение новых рынков сбыта, повысилась покупательная способность населения, ожидается понижение себестоимость продукции.
Положительной тенденцией в изменение структуры оборотных средств является снижение в отчетном году долгосрочной дебиторской задолженности в сумме 237,50 тыс.руб.
Для ООО Скиф такое снижение благоприятно, так как эта задолженность не может перерасти в просроченную, а это означает, что для предприятия не наступят финансовые затруднения, т.е. оно не будет чувствовать недостаток финансовых ресурсов для приобретения производственных запасов, выплаты заработной платы и на другие цели. Краткосрочная дебиторская задолженность по сравнению с предшествующем периодом повысилась на 1264 тыс. руб. или на 7,09 %,.
Привлечение заемных средств в оборот это нормальное явление, так как оно содействует временному улучшению финансового состояния предприятия при условии, что средства не замораживаются на продолжительное время в обороте и своевременно возвращаются. В противном случае может возникнуть просроченная кредиторская задолженность, что в конечном итоге приводит к выплате штрафов, применению санкций и ухудшению финансового состояния предприятия.
В течение отчетного периода претерпел изменения состав краткосрочных заемных средств, который возрос в 11 раз. Следует обратить внимание на то, что величина кредиторской задолженности и по удельному весу, и по приросту в абсолютном выражении значительно превышает объем кредитования, которое ООО Скиф предоставляет своим покупателям (дебиторская задолженность).
Поэтому в процессе анализа необходимо изучить состав, давность появления кредиторской задолженности, наличие, частоту и причину образования просроченной задолженности поставщикам ресурсов, персоналу предприятия по оплате труда, бюджету, установить сумму выплаченных санкций за просрочку платежей.
Положительным моментом является погашение долгосрочных кредитов и займов.
Также положительной тенденцией для ООО Скиф является уменьшение непокрытого убытка прошлых лет на 3984 тыс. руб., то есть по сравнению с предшествующим периодом он снизился на 21,84 %.
Обобщая сказанное можно сделать следующие выводы:
· В течение анализируемого периода политика ООО Скиф была верной, так как она привела к повышению оборотных средств в частности запасов – товарно-материальных ценностей;
· Обращает на себя внимание высокая доля денежных средств - 53,68 % в общем объеме оборотных средств, что свидетельствует об отсутствии дефицита;
· Кредиторская задолженность превышает дебиторскую задолженность, что является отрицательным фактором для ООО Скиф;
· В целом валюта баланса снизилась на 1897,5 тыс.руб. или на 1,4 %.
3.3. Расчет абсолютных показателей ликвидности ООО Скиф.
Для проведения анализа актив и пассив баланса группируются по следующим признакам (рис.1.):
- по степени убывания ликвидности – актив;
- по степени срочности оплаты (погашения) – пассив.
К наиболее ликвидным активам относятся денежные средства организации и краткосрочные финансовые вложения (стр.260+стр.250 актива баланса).
Быстрореализуемые активы – это дебиторская задолженность и прочие активы (стр240+стр.270 актива баланса).
К медленно реализуемым активам относятся статьи из 2 раздела баланса «Оборотные активы» (стр.210+стр.220-стр.217) и статья «Долгосрочные финансовые вложения» из 1 радела актива баланса.
![]() ![]() |
![]() |
![]() ![]() |
||||
![]() |
||||||
![]() |
||||||
![]() |
||||||
|
Рис.1. Группировка статей актива и пассива для анализа ликвидности баланса.
Труднореализуемые активы – это статьи 1 раздела баланса «Внеоборотные активы» (СТР.110+СТР.120-СТР140).
Группировка пассивов происходит по степени срочности их возврата :
К наиболее краткосрочным обязательствам относятся статьи «Кредиторская задолженность» и «Прочие краткосрочные пассивы» (стр.620+стр.670 пассива баланса).
Краткосрочные пассивы включают в себя статьи «Заемные средства» и другие статьи 4 раздела баланса «Краткосрочные пассивы» (стр.610+стр.630+стр.640+стр.650+стр.660).
В долгосрочные пассивы входят долгосрочные кредиты и заемные средства (стр.510+стр.520).
Постоянные пассивы содержат статьи 3 раздела баланса «Капитал и резервы» (стр.490-стр.217).
При определение ликвидности баланса группы актива и пассива сопоставляются между собой.
Условие абсолютной ликвидности баланса:
А1 > П1 А2 > П2
А3 > П3 А4 < П4
Необходимым условием абсолютной ликвидности баланса является выполнение первых трех неравенств. Четвертое неравенство носит так называемый балансирующий характер : его выполнение свидетельствует о наличие у организации собственных оборотных средств. Если любое из неравенств имеет знак противоположный зафиксированному в оптимальном варианте, то ликвидность баланса отличается от абсолютной.
Теоретически недостаток средств по одной группе активов компенсируется избытком по другой, но на практике менее ликвидные средства не могут заменить более ликвидные.
Анализ ликвидности баланса ООО Скиф
Таблица 3.5.
|
Актив |
Алгори Тм расчета |
Знач. На начал |
Знач. На конец |
Пассив |
Алгори Тм расчета |
Знач. На начал |
Знач. На конец |
Платежный излишек (недост.) |
Условие Платеже- Способ- Ностью |
|
|
А1 |
Стр.250 + Стр.260 А.б-са. |
32997 |
19296 |
П1 |
С.620+ С.660 П. б-са |
234550, 29 |
217277, 08 |
201553,29 |
197981,08 |
А1 < П1 |
|
А2 |
С.240+ С.270 А. б-са |
17833, 50 |
19097, 50 |
П2 |
С.610+ С.630+ С.640+с. С.650 |
155715, 44 |
152240, 42 |
137881.94 |
133142.92 |
А2 <П2 |
|
А3 |
С.210+ С.220+ С.230 |
10635 |
20769, 50 |
П3 |
Итог 4р. Пасси. баланса |
90599, 32 |
0 |
79964.34 |
-20769.50 |
А3 < П3 |
|
А4 |
С.110+ С.120+ С.140 А. б-са |
69026 |
71779, 50 |
П4 |
С.490 |
-34363, 27 |
69296, 01 |
34662.73 |
-2483.49 |
А4 > П4 |
|
Баланс |
|
13508 2.50 |
13318 5,00 |
Баланс |
|
13508 2.50 |
13318 5,00 |
- |
- |
- |
Исходя из выше сказанного, был проведен анализ ликвидности баланса ООО Скиф.
Из таблицы видно, что баланс ООО Скиф как в предыдущем, так и в отчетном году не является абсолютно ликвидным, так как А1 < П1, А2 < П2, А3 < П3, А4 > П4.
Из-за не соблюдения четвертого условия (А4 < П4), можно сделать вывод, что у ООО Скиф не хватает собственных средств, а значит не соблюдается даже минимальное условие финансовой устойчивости.
Также в отчетном году снизился недостаток по группе быстро реализуемых активов. Несоблюдение последнего условия говорит о том, что в ООО Скиф нет собственного оборотного капитала.
В общем можно сделать вывод, что на анализируемом предприятие не хватает денежных средств для погашения наиболее срочных обязательств. И даже быстро реализуемых активов недостаточно.
Сопоставление наиболее ликвидных средств и быстро реализуемых активов с наиболее срочными обязательствами и краткосрочными пассивами позволяет выявить текущую ликвидность и платежеспособность, а также на перспективу. Для качественной оценки платежеспособности и ликвидности организации кроме анализа ликвидности баланса необходим расчет показателей ликвидности.
3.4. Расчет относительных показателей ликвидности ООО Скиф.
Таблица 3.6.
|
Показатель |
Алгоритм расчета |
Значение на начало периода |
Значение на конец периода |
|
1 |
2 |
3 |
4 |
|
Коэффициент абсолютной ликвидности |
С.260А.+с.250А./с.690П.-с.640 П.-с.650П-с.660 П |
0,39 |
0,21 |
|
Коэффициент быстрой ликвидности |
С.290 А-с.210А./ с.690П.-с.640 П.-с.650П-с.660 П |
0,6 |
0,43 |
|
Коэффициент текущей ликвидности |
С.290 А./ с.690П.-с.640 П.-с.650П-с.660 П |
0,72 |
0,64 |
Коэффициент текущей ликвидности характеризует имеющийся запас прочности, возникающий в следствии превышения ликвидных активов над имеющимися обязательствами. Определяются как отношение фактической стоимости оборотных активов к наиболее срочным обязательствам.
К т.л. = стр.290/ стр.690-стр.640-стр.650-стр.660
В ООО Скиф данный коэффициент показывает, что оборотные активы не превышают краткосрочные обязательства, а значит предприятие рационально вкладывает свои средства
Коэффициент быстрой ликвидности определяется как отношение средств, высоко ликвидных, ценных бумаг и дебиторской задолженности к текущим пассивам.
К б.л.=стр.290-стр210/стр690-стр640-стр650-стр660
С помощью этого коэффициента можно определить два значения, относящейся к наиболее ликвидной части оборотного капитала.
Первое значение коэффициента показывает, какую долю краткосрочных обязательств способна погасить наиболее ликвидная часть оборотного капитала при ее обращении в денежную массу. Второе – путем отношения коэффициента ликвидности вычислить, какую долю составляют наиболее ликвидные средства в составе всего ликвидного (оборотного) капитала.
Коэффициент абсолютной ликвидности, в какой – то степени устраняет недостатки второго и третьего коэффициента, так как он учитывает соотношение активов, обладающих абсолютной ликвидностью и раскрывает отношение абсолютно ликвидной части оборотного капитала – денежных средств на счетах организации к краткосрочным обязательствам.
К а.л.= стр.260+стр.250/стр.690-стр.640-стр.650-стр.660
В ООО Скиф данный показатель снижается, что говорит о понижение платежеспособности.
3.5. Расчет показателей эффективности хозяйственной деятельности ООО "СКИФ"
Таблица 3.7
|
Показатели |
Алгоритм расчета |
за отчетный период |
за период, предшествующий отчетному |
|
1 |
2 |
3 |
4 |
|
Прибыль (убыток) от продаж |
стр.010 гр.3 ф.2 – стр.020гр.3 ф.2-030 гр.3 ф.2-040 гр.3ф.2 |
33209,50 |
36012 |
|
Чистая прибыль (убыток) |
стр.140 гр.3 ф.2 – стр.№150 гр.3 ф.2 |
21609,50 |
23691,50 |
|
Коэффициент рентабельности продаж |
(стр.№050 гр.3 ф.2 / стр.№010 гр.3 ф.2) * 100% |
25,14 |
29,35 |
|
Коэффициент общей рентабельности |
((стр. №140 гр.3 ф.2 – стр.№150 гр.3 ф.2) / стр.№010 гр.3 ф.2) * 100% |
17,93 |
17,61 |
|
Коэффициент рентабельности собственного капитала |
Прибыль/ среднегодовая ст-ть собственного капитала |
92,96 |
101,92 |
|
Коэффициент рентабельности производства |
(стр.№050 гр.3 ф.2 / стр.№020 гр.3 ф.2) * 100% |
35,88 |
44,42 |
|
Коэффициент рентабельности чистых активов |
((стр.140 гр.3 ф.2 – стр.№150 гр.3 ф.2) / СЧА) * 100% |
29,86 |
27,23 |
Расчет величины чистых активов ООО "СКИФ"
Таблица 3.8.
|
Показатель |
Алгоритм расчета |
Значение на начало периода |
Значение на конец периода |
|
1 |
2 |
3 |
4 |
|
Величина чистых активов |
стр.№190 гр.4 ф.1+ стр.№290 гр.4 ф.1 – стр.№220 гр.4 ф.1 – стр.№244 гр.4 ф.1 – стр.№252 гр.4 ф.1 – стр.№460 гр.4 ф.1 – стр.№590 гр.4 ф.1 – стр.№690 гр.4 ф.1 + стр.№640 гр.4 ф.1 + стр.№650 гр.4 ф.1 |
-168835 |
10154,50 |
Рентабельность продаж и рентабельность продукции отражает одно и то же явление: эффективность реализации. В хозяйственной практике имеют применение оба показателя, поэтому при оценке эффективности реализации необходимо внимательно оценивать их значения так как показатель рентабельность продукции всегда дает более высокое значение. 3) Рентабельность капитала является показателем эффективности ресурсного типа и отражает эффективность использования собственных средств предприятия ООО Скиф. Широко используется в финансовом менеджменте при анализе рентабельности имущества и при формировании политики привлечения заемных средств.
3.6. Расчет показателей деловой активности ООО "СКИФ"
Таблица 3.9.
|
Показатель |
Алгоритм расчета |
Значении |
|
|
за период, предшествующий отчетному |
за отчетный период |
||
|
1 |
2 |
3 |
4 |
|
Оборачиваемость оборотных фондов |
Выручка /ср. величину основных фондов |
1,87 |
2,01 |
|
Период оборота текущих активов |
ср. величину основных фондов* к-во дней периода / выручка |
193 |
179 |
|
Оборачиваемость запасов |
Выручка /ср. величину запасов |
8,34 |
8,98 |
|
Период оборота запасов и затрат |
ср. величину запасов* к-во дней периода / выручка |
43 |
40 |
|
Оборачиваем ость кредиторской задолженности |
Выручка /ср. величину кредиторской задолженности |
1,55 |
1,67 |
|
Оборачиваемость дебиторской задолженности |
ср. величину кредитор.задол* к-во дней периода / выручка |
233 |
216 |
Деловая активность организации характеризуется широтой рынков сбыта продукции, включая наличие поставок на экспорт репутацией организации, выражающейся, в частности, в известности клиентов, пользующихся услугами организации; степень* выполнения плановых показателей, обеспечения заданных темпов их роста (снижения); уровнем эффективности использования ресурсов. В широком смысле деловая активность оценивается данными о динамике важнейших экономических и финансовые показателей работы организации за ряд лет, описанием будущих капиталовложений, осуществляемых экономических мероприятий, природоохранных мероприятий и другой информацией о деятельности организации, интересующей возможных показателей бухгалтерской отчетности и включаемой в пояснительную записку к бухгалтерской отчетности.
Деловая активность организации в финансовом аспекте является в оборачиваемости ее средств и их источников,
3.7. Анализ структуры и динамики доходов и расходов ООО Скиф.
Таблица 3.10.
|
Показатели |
За период предшествующий отчетному |
За отчетный период |
по отношению к предыдущему периоду |
||||
|
Сумма |
% |
Сумма |
% |
Темп роста |
Отклонение |
Откл.% |
|
|
1 |
2 |
3 |
4 |
5 |
6 |
7 |
9 |
|
ДОХОДЫ |
|
|
|
|
|
|
|
|
Доходы от обычных видов деятельности |
|
|
|
|
|
|
|
|
выручка от продажи продукции |
122680,50 |
93,91 |
132110,50 |
99,99 |
107,69 |
9430,00 |
6,08 |
|
прочие операционные доходы |
458,00 |
0,35 |
16,00 |
0,01 |
3,49 |
-442,00 |
-0,34 |
|
прочие внереализационные доходы |
7497,00 |
5,74 |
|
0,00 |
0,00 |
-7497,00 |
-5,74 |
|
Итого доходов |
130635,50 |
100,00 |
132126,50 |
100,00 |
101,14 |
1491,00 |
0,00 |
|
РАСХОДЫ |
|
|
|
|
|
0,00 |
0,00 |
|
Себестоимость продаж |
81076,50 |
80,81 |
92549,00 |
91,56 |
114,15 |
11472,50 |
10,75 |
|
себестоимость готовой продукции |
|
|
|
|
|
0,00 |
0,00 |
|
Коммерческие расходы |
5592,00 |
5,57 |
6352,00 |
6,28 |
113,59 |
760,00 |
0,71 |
|
Управленческие расходы |
|
|
|
|
|
0,00 |
0,00 |
|
Прочие операционные расходы |
3613,00 |
3,60 |
2175,50 |
2,15 |
60,21 |
-1437,50 |
-1,45 |
|
Прочие внереализационные расходы |
10045,50 |
10,01 |
|
0,00 |
0,00 |
-10045,50 |
-10,01 |
|
Итого расходов |
100327,00 |
100,00 |
101076,50 |
100,00 |
100,75 |
749,50 |
0,00 |
|
|
|
|
|
|
|
|
|
По результатам таблицы можно сделать вывод о том, что ООО Скиф увеличило размер своих доходов на 1491 тыс.руб. или на 1,14%, соответственно увеличились и расходы на 749,50 тыс.руб.
3.8.Расчет абсолютных показателей финансовой устойчивости
Таблица 3.11.
|
Показатели |
Значения на начало |
Значения на конец |
Изменения за период |
|
|
1 |
2 |
3 |
4 |
|
|
1.Источники формирования собственных оборотных средств (итог 3р.П- итог 1 р.А) |
-68631 |
-32516,50 |
36164,50 |
|
|
2.Наличие собственных оборотных средств и долгосрочных заемных средств ( стр.1 + итог 4 р. П) |
21968,32 |
-32516,50 |
-54484,80 |
|
|
3. Краткосрочные заемные средства (стр.610, 5р. П) |
|
|
|
|
|
4.Общие источники формирования запасов ( стр.3 + стр.4) |
21968,32 |
-32516,50 |
-54484,80 |
|
|
5. Излишек (+), недостаток (-) собственных оборотных средств (стр.1 – стр. 210 А) |
-78464 |
-52084 |
-26380 |
|
|
6. Излишек (+), недостаток (-) собственных и заемных источников формирования запасов (стр.2 – стр. 210 А) |
12135,32 |
-52084 |
-64219,30 |
|
|
7. Излишек (+), недостаток (-) общей величины основных источников формирования запасов (стр.4 – стр. 210 А) |
12135,32 |
-52084 |
-64219,30 |
|
По данным таблицы 3.11. можно сделать вывод, что ООО Скиф находится не в очень хорошем состоянии, так как денежные средства, дебиторская задолженность на конец перида не покрывают его кредиторской задолженности. ООО Скиф не обеспечено не одним из предусмотренных источников формирования запасов . Можно предположить, что кредиторская задолженность используется не по назначению – как источник формирования запасов. В случае одновременного востребования кредиторами погашения долгов этого источника формирования запасов может и не быть вовсе. Равновесие платежного баланса в данной ситуации обеспечивается за счет просроченных платежей по оплате труда, ссудам банкам, поставщикам, бюджету и так далее.
Для более углубленного анализа финансовой устойчивости проанализируем относительные показатели финансовой устойчивости ООО Скиф.
3.9. Расчет относительных показателей финансовой устойчивости ООО Скиф.
Таблица 3.12.
|
Показатели |
Условное обозначе- ние |
По состоянию на |
Измене- ния (+, -) |
Предпо- лагае- мые нормы |
|
||||
|
начало |
конец |
|
|||||||
|
1 |
2 |
3 |
4 |
5 |
6 |
|
|||
|
1.Коэффициент автономии( 3р. П / ВБ) |
Ка |
0,04 |
0,31 |
0,27 |
0,5-0,6 |
|
|||
|
2.Коэффициент обеспеченности собственными средствами ((3р.П. – 1р. А)/3р.П) |
Косс |
-13,76 |
-0,78 |
12,98 |
0,1 |
|
|||
|
3.Коэффициент обеспеченности материальных запасов собственными средствами(3р.П- 1р.А.)/ стр.210, 2р.А |
Ксма |
-6,97 |
-1,66 |
5,31 |
0,6-0,8 |
|
|||
|
4.Коэффициент маневренности собственного капитала (3р.П – 1р.А)/3р.П |
Км |
-13,76 |
-0,78 |
12,98 |
0,2-0,5 |
|
|||
|
6.Коэффициент реальной стоимости имущества (стр122+стр.211+ стр.213 +стр.214/ВБ) |
Крси |
0,52 |
0,64 |
0,12 |
0,5 |
|
|||
|
7.Коэффициент индекса постоянного актива (1р.А/3р.П) |
Кп |
14,76 |
1,78 |
-12,98 |
- |
|
|||
|
8.Коэффициент долгосрочного привле- чения заемных средств (4р.П/4р.П+3р.П) |
Кдпа |
0,9 |
1 |
0,1 |
- |
|
|||
|
9. Коэффициент состояния заемных и собственных средств (3р.П +4р.П/4р.П) |
Ксас |
1,11 |
1 |
-0,11 |
<1 |
||||
По данным таблицы можно сделать следующие выводы. В ООО Скиф нет почти ни одного показателя в норме, что подтверждает ранее высказанное утверждение о нестабильном финансовом положение предприятия. Коэффициент обеспеченности собственными средствами с отрицательным значением, характеризует кризисную ситуацию на предприятии. Коэффициент маневренности говорит о немобильности собственных финансовых источников.
Коэффициент реальной стоимости имущества показывает, что предприятие обеспечено производственными средствами, то есть производственный потенциал нормальный.
Заключение:
В современных экономических условиях деятельность каждого хозяйствующего субъекта является предметом внимания обширного круга участников рыночных отношений, заинтересованных в результатах его функционирования.
При анализе оборачиваемости оборотных средств особое внимание должно уделяться производственным запасам и дебиторской задолженности. Чем меньше омертвляются финансовые ресурсы в этих активах, тем более эффективно они используются, быстрее оборачиваются, приносят предприятию все новые и новые прибыли.
Оборачиваемость оценивают, сопоставляя показатели средних остатков оборотных активов и их оборотов за анализируемый период. Оборотами при оценке и анализе оборачиваемости являются:
· для производственных запасов – затраты на производство реализованной продукции;
· для дебиторской задолженности – реализация продукции по безналичному расчету (поскольку этот показатель не отражается в отчетности и может быть выявлен по данным бухгалтерского учета, на практике его нередко заменяют показателем выручки от реализации).
Анализ движения денежных средств прямым методом позволяет судить о ликвидности предприятия, поскольку он детально раскрывает движение денежных средств на его счетах, что дает возможность делать оперативные выводы относительно достаточности средств для уплаты по счетам текущих обязательств, а также осуществления инвестиционной деятельности.
Прямой метод основан на анализе движения денежных средств по счетам предприятия:
· Позволяет показать основные источники притока и направления оттока денежных средств.
· Дает возможность делать оперативные выводы относительно достаточности средств для платежей по текущим обязательствам.
· Устанавливает взаимосвязь между реализацией к денежной выручкой за отчетный период.
В оперативном управлении прямой метод может использоваться для контроля за процессом формирования прибыли и выводов относительно достаточности средств для платежей по текущим обязательствам.
Недостатком этого метода является то, что он не раскрывает взаимосвязи полученного финансового результата и изменения абсолютного размера денежных средств предприятия. Кроме того, данный метод требует больших затрат времени, чем другие методы оценки денежного потока, а полученная с его использованием отчетность менее полезна.
Мобильные средства понизились на 23025 тыс. руб. или на 3,75 %. Их снижение произошло за счет понижения доли денежных средств в отчетном периоде на 13751 тыс. руб. или на 41,67 %, нужно отметить что произошло повышение доли запасов в ООО Скиф на 99% это очень положительный фактор, так как означает, что в связи с конкуренцией, произошло приобретение новых рынков сбыта, повысилась покупательная способность населения, ожидается понижение себестоимость продукции.
Положительной тенденцией в изменение структуры оборотных средств является снижение в отчетном году долгосрочной дебиторской задолженности в сумме 237,50 тыс.руб.
Библиографический список
1. Закон РФ «О бухгалтерском учете» от 24.06.1998г. №123 ФЗ с последующими изменениями.
2. Положение по бухгалтерскому учету «Бухгалтерская отчетность организации» ( ПБУ 4/99 приказ МФ РФ от 06.07.99г. №43н ).
3. Положение о ведение учета и отчетности в РФ ( приказ МФ РФ от 29.07.98г. №34н ).
4. Закон РФ «Об инвестиционной деятельности в РФ» от 19.06.95. №89-ФЗ
5. Закон РФ «Об иностранных инвестициях в РФ» от 9.07.99. №160-ФЗ
6. Закон РФ «Об инвестиционной деятельности в РФ, осуществляемой в форме капитальных вложений» от 25.02.99.
7. Абрамов А.Е. «Основы анализа финансово-хозяйственной деятельности предприятий» / М.: Экономика и финансы, 2004г.-150 с.
8. Артеменко В.Г. «Финансовый анализ» / М.: Издательство «ДИС», 2003г.
9. Астахов В.П. «Анализ финансовой устойчивости фирмы» / М.: Ось, 2003г.-250 с.
10. Баканов М.И., Шеремет А.Д. « Теория экономического анализа» / М.: Экономика и финансы, 2000г. – 340 с.
11. Баканов А.С. «Годовая отчетность коммерческой организации» / М.: Изд-во «Бухгалтерский учет», 2000г.
12. Балабанов И.Т. «Анализ и планирование финансов хозяйствующего субъекта» / М.: финансы и статистика, 1997г.
13. Бернстайн Л.А. « Анализ финансовой отчетности» / Пер. с англ. - М.: финансы и статистика, 1997г
14.
Бука Л.Ф., Зайцева О.П. «Экономический анализ» /
Новосибирск,
15.
Донцова Л.В., Никифорова Н.А. «Комплексный анализ
бухгалтерской отчетности» / М.: Дело и Сервис,
16. Романовский М.В., Финансы предприятий: Учебник. – СПб.: «Издательский дом «Бизнес-пресса»», 2001. с.







