Вариант 7
Содержание
1. Раскройте содержание понятия «производственная функция».......... 3
2. Напишите реферат на тему «Основные факторы показателя эластичности спроса и их влияние на объем реализуемого товара».............................. 5
2.1. Измерение эластичности спроса.................................................................................... 5
2.2. Факторы, влияющие на эластичность спроса.......................................................... 10
2.3. Перекрестная эластичность спроса............................................................................ 12
2.4. Эластичность спроса по доходу.................................................................................... 13
3. Выберите номер правильного ответа................................................... 15
4. Объясните: Почему кривые средних и средне переменных издержек имеют U-образную форму?........................................................................................ 16
5. Решите задачу.......................................................................................... 17
Литература................................................................................................... 18
1. Раскройте содержание понятия «производственная функция»
Производственная функция выражает зависимость между объемом получаемой продукции и количеством ресурсов.
Производственная функция обладает рядом свойств:
- производственная функция – модель конкретной технологии;
- производственная функция – модель эффективного производства;
- производственная функция исходит из взаимодополняемости и взаимозаменяемости ресурсов.
Поведение краткосрочной производственной функции выражают три основных показателя: валовый, средний и предельный продукт по переменным ресурсам (все изменения объема производства отслеживаются в зависимости от изменения объема используемых ресурсов).
Валовый продукт по переменным ресурсам – показатель, отражающий зависимость объема производства от изменения количества переменных ресурсов при неизменном количестве постоянных ресурсов.
Средний продукт отражает эффективность использования данного количества ресурса, его среднюю производительность. Средний продукт по переменному ресурсу – средняя производительность труда. Средний продукт по постоянному ресурсу – средняя производительность капитальных ресурсов.
Предельный продукт по переменному ресурсу показывает изменение объема производства, связанное с использованием дополнительной единицы переменного ресурса при неизменном количестве постоянных ресурсов.
Краткосрочная производственная функция делится на три этапа: этап возрастающей отдачи, этап постоянной отдачи и этап убывающей отдачи. На этапе убывающей отдачи функция валового продукта сначала растет быстро замедляющимися темпами, а достигнув максимума становится убывающей. Функция предельного продукта все это время убывает и становится отрицательной. Это значит, что использование дополнительных единиц переменного ресурса приводит сначала к замедлению роста объема производства, а потом и ко все большему его сокращению. Переменный ресурс избыточен по сравнению с постоянным. Падение предельной производительности – характерная черта любого производства, располагающего ограниченным объемом фиксированного ресурса.
2. Напишите реферат на тему «Основные факторы показателя эластичности спроса и их влияние на объем реализуемого товара»
2.1. Измерение эластичности спроса
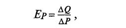
Мера реакции одной величины на изменение другой называется эластичностью. Эластичность показывает, на сколько процентов изменится одна переменная экономическая величина при изменении другой на один процент. Примером может служить эластичность спроса по цене, или ценовая эластичность спроса, которая показывает, на сколько изменится в процентном отношении величина спроса на товар при изменении его цены на один процент.
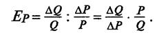
Если обозначить цену Р, а величину спроса Q, то показатель (коэффициент) ценовой эластичности спроса Ер равен:

где DQ — изменение величины спроса, %; DР — изменение цены, %; «Р» в индексе означает, что эластичность рассматривается по цене.
Аналогично можно определить показатель эластичности по доходам или какой-то другой экономической величине[1].
Показатель ценовой эластичности спроса для всех товаров является отрицательной величиной. Действительно, если цена товара снижается — величина спроса растет, и наоборот. Однако для оценки эластичности часто используется абсолютная величина показателя (знак «минус» опускается).
Например, снижение цены стирального порошка на 5% вызвало увеличение спроса на него на 10%. Показатель эластичности будет равен:
![]()
Если абсолютная величина показателя ценовой эластичности спроса больше 1, то мы имеем дело с относительно эластичным спросом. Иными словами, изменение цены в данном случае приведет к большему количественному изменению величины-спроса.
Если абсолютная величина показателя ценовой эластичности спроса меньше 1, то спрос относительно неэластичен. В этом случае изменение цены повлечет за собой меньшее изменение величины спроса.
При коэффициенте эластичности, равном 1, говорят о единичной эластичности. В этом случае изменение цены приводит к такому же количественному изменению величины спроса.

Рис. 1. Относительно эластичный (а) и относительно неэластичный (б) спрос
На рис. 1. изображены два варианта графиков спроса. На рис. 1,а снижение цены с Р0 до Р1 на 100 тыс. руб. (на 33%) приведет к росту величины спроса с Q0 до Q1 на 20 ед. (на 200%). Коэффициент эластичности будет равен 6 (200:33), т. е. больше 1, и спрос эластичен. А что произойдет с выручкой от реализации продукции? Она увеличится с 3000 тыс. (300тыс.х10) до 6000 тыс. руб. (200 тыс. х 30), т. е. вырастет в два раза. Заштрихованные прямоугольники 0 и 1 наглядно показывают увеличение выручки от реализации продукции при снижении цены в условиях эластичного спроса. Площадь прямоугольника 1 заметно больше площади прямоугольника 0.
Рис. 1,б иллюстрирует графически пример неэластичного спроса. Снижение цены на 100 тыс. руб. с Р0 до Р1 увеличит величину спроса лишь на 2 ед. При этом выручка от реализации упадет с 3000 тыс. (300 тыс. х 10) до 2400 тыс. руб. (200 тыс. х 12). Естественно, что при такой ситуации фирма не будет снижать цену своей продукции, не без основания опасаясь снижения своих доходов[2].
Существует два крайних случая. В первом возможно существование только одной цены, при которой товар будет приобретаться покупателями. Любое изменение цены приведет либо к полному отказу от приобретения данного товара (если цена повысится), либо к неограниченному увеличению спроса (если цена снизится). При этом спрос является абсолютно эластичным, показатель эластичности бесконечен. Графически этот случай можно изобразить в виде прямой, параллельной горизонтальной оси. (рис. 2,а). Например, спрос на помидоры, продаваемые отдельным торговцем на городском рынке, абсолютно эластичен. Однако рыночный спрос на помидоры не является эластичным.

Рис. 2. Крайние случаи эластичности: а — спрос абсолютно эластичен, б — спрос абсолютно неэластичен
Другой крайний случай представляет собой пример абсолютно неэластичного спроса: изменение цены не отражается на величине спроса. График абсолютно неэластичного спроса (рис. 2,б) выглядит как прямая, перпендикулярная горизонтальной оси. Примером может служить спрос на отдельные виды лекарств, без которых больной не может обойтись, и т. п.
Таким образом, абсолютная величина показателя ценовой эластичности спроса может изменяться от нуля до бесконечности:
1 < | Ер | <
— спрос эластичен;
0 £ | Ер | < 1 — спрос неэластичен;
| Ер|=1 — спрос с единичной эластичностью.
Как измерить эластичность спроса по цене? Для этого необходимо подсчитать процентное изменение величины спроса, процентное изменение цены и соотнести их:

Из этой формулы видно, что показатель эластичности зависит не только от соотношения приростов цены и объема, или от наклона кривой спроса (см. рис. 1), но и от их фактических значений. Даже если наклон кривой спроса является постоянным, показатель эластичности будет различным для разных точек на этой кривой[3].
Существует еще одно обстоятельство, которое следует учитывать при определении эластичности. Какой объем продукции и какой уровень цены следует использовать при расчете? Существовавший до изменения или полученный после него?
Допустим, что небольшая булочная выпекает батоны и продает их по свободной цене. Чем ниже будет выбрана цена, тем большее количество батонов булочная сможет продать. Зависимость цены и объема продаж известна (табл. 1). Нас интересует, какова эластичность спроса и как ее измерить в различных интервалах, выбранных нами для анализа.
Таблица 1.
Расчет коэффициента ценовой эластичности спроса

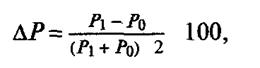
Как измерить изменение величины спроса? Возьмем второй интервал от 1000 до 1500 батонов. Величина спроса изменилась на 500 батонов, или на 50% (500:1000=0,5). Однако если мы рассмотрим изменение величины спроса в обратном направлении, т.е. с 1500 до 1000 батонов, то в процентном отношении это составит лишь 33% (500:1500=0,33). Такие различия создают сложности при расчете коэффициента эластичности. Поэтому для измерения процентного изменения каждой рассматриваемой величины используется средняя точка интервала, выбранного нами. В нашем примере это (1000+1500):2=1250 батонов[4].
Изменение величины спроса в интервале от 1000 до 1500 батонов составит 500:1250=0,4 (или 40%).
В общем виде формула для определения процентного изменения величины спроса Д0 будет выглядеть:

где Q0, Q1 — величина спроса до и после изменения цены, шт.
Аналогично для определения процентного изменения цены ЛР в выбранном интервале получаем:

где Р0, P1 — начальная и новая цена, руб.
Коэффициент эластичности определяем как отношение прироста величины спроса к приросту цены:

Рассчитав коэффициенты эластичности (см. табл. 1), получим количественные характеристики ценовой эластичности спроса в различных ценовых интервалах. В пределах первых трех интервалов спрос эластичен, в четвертом интервале — неэластичен.
На участках эластичного спроса снижение цены и рост объема продаж приводят к увеличению общей выручки от реализации продукции фирмы, на участке неэластичного спроса — к уменьшению выручки. Поэтому каждая фирма будет стремиться избегать того участка спроса на свою продукцию, где коэффициент эластичности меньше единицы.
2.2. Факторы, влияющие на эластичность спроса
Важным моментом, оказывающим воздействие на эластичность спроса, является эластичность спроса? наличие товаров-заменителей. Чем больше на рынке продуктов, призванных удовлетворять одну и ту же потребность, тем больше возможностей для покупателя отказаться от приобретения данного конкретного продукта в случае повышения его цены, тем выше эластичность спроса на данный товар[5].
Например, спрос на хлеб относительно неэластичен. В то же время спрос на отдельные сорта хлеба является относительно эластичным, так как с повышением цены, к примеру, на бородинский хлеб покупатель может перейти на другой сорт ржаного хлеба и т. п. Спрос на сигареты, лекарства, мыло и другие подобные продукты относительно неэластичен. Однако если рассматривать эластичность по отношению к отдельным видам сигарет, сортам мыла и т.п., то она будет выше.
Та же закономерность применима к изделиям, выпускаемым отдельной фирмой. Если на рынке присутствует значительное число конкурентов, выпускающих аналогичную или близкую по назначению продукцию, то спрос на продукцию этой фирмы будет относительно эластичным. В условиях совершенной конкуренции, когда много продавцов предлагают одинаковую продукцию, спрос на товар каждой отдельной фирмы будет абсолютно эластичным[6].
Другим важным обстоятельством, влияющим на ценовую эластичность, является фактор времен и. В краткосрочном периоде спрос имеет тенденцию быть менее эластичным, чем в долгосрочном. Например, спрос на бензин со стороны индивидуальных владельцев автомобилей относительно неэластичен, и повышение цены, особенно в летний сезон, вряд ли сократит спрос. Однако можно предположить, что осенью значительная часть автовладельцев поставит свои машины в гараж, спрос на бензин сократится, сократится и объем продаж. А к следующему лету часть из них начнет пользоваться пригородными электричками. Несмотря на то, что спрос на бензин относительно, неэластичен в обоих случаях, в долгосрочном периоде эластичность выше.
Такая тенденция изменения эластичности во времени объясняется тем, что с течением времени каждый потребитель имеет возможность изменить свою потребительскую корзину, найти товары-заменители.
Различия в эластичности спроса объясняются также значимостью того или иного товара для потребителя. Спрос на предметы первой необходимости неэластичен; спрос на товары, не играющие важной роли в жизни потребителя, обычно эластичен. Действительно, при повышении цен мы можем отказаться от дополнительной пары обуви, драгоценностей, мехов, но вряд ли сократим покупки хлеба, мяса и молока. Как правило, спрос на продукты питания неэластичен, и сейчас, при снижающемся уровне жизни населения, на их приобретение тратится все большая часть доходов средней российской семьи.
2.3. Перекрестная эластичность спроса
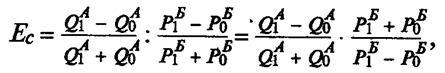
Понятие перекрестной эластичности спроса используется для определения степени влияния эластичности спроса на величину спроса на данный товар изменения цены другого товара. Коэффициент перекрестной эластичности — это отношение процентного изменения спроса на товар А к процентному изменению цены товара Б:

где-«с» в индексе означает перекрестную эластичность (англ. cross). Значение коэффициента перекрестной эластичности зависит от того, какие товары рассматривают — взаимозаменяемые или взаимодополняемые.
Если товары являются взаимозаменяемыми, коэффициент перекрестной эластичности будет положительным. Так, подорожание сливочного масла вызовет увеличение спроса на маргарин, снижение цены на бородинский хлеб приведет к сокращению спроса на другие сорта черного хлеба. Если товары являются взаимодополняемыми, как, например, бензин и автомобили, фотоаппараты и фотопленка, величина спроса будет изменяться в направлении, противоположном изменению цен, а коэффициент эластичности будет отрицательным.[7]
Например, цена батона белого хлеба повысилась с 4 тыс. до 5 тыс. руб., в результате спрос на черный хлеб увеличился с 2000 до 3000 буханок. Рассчитав коэффициент перекрестной эластичности, который в данном случае равен 1,8, можно сделать вывод, что эти два вида хлеба являются взаимозаменяемыми товарами.
Измерив перекрестную эластичность, можно определить, являются ли выбранные товары взаимодополняемыми или взаимозаменяемыми и соответственно, как изменение цены на какой-то один вид продукции, производимой фирмой, может отразиться на спросе на другие виды продукции той же фирмы. Такие расчеты помогут оценить решения по изменению цен на выпускаемую продукцию.
2.4. Эластичность спроса по доходу
Для оценки эластичности спроса может быть выбрана не только цена, но и другие экономические переменные. Эластичность спроса по доходу измеряется как отношение изменения спроса на товар к изменению доходов потребителей. Измерив эластичность по доходу, можно определить, относится ли данный товар к категории нормальных (когда рост доходов приводит к росту спроса) или низших (когда реакция обратная).
Основная масса потребительских товаров относится к категории нормальных. С ростом мы больше покупаем одежды и -обуви, высококачественных продуктов питания, товаров длительного пользования. Однако есть товары, спрос на которые обратно пропорционален доходам потребителей. К ним относится вся продукция «second hand», некоторые виды продовольствия (крупы, сахар, хлеб и т.п.).
Таким образом, спрос – это потребности, обеспеченные платежеспособностью покупателей. Согласно закону спроса повышение цены вызывает сокращение спроса, а повышение спроса ведет к росту цен. Поэтому функциональная зависимость между ценой (независимая переменная) и спросом (зависимая переменная) имеет обратный характер.
Эластичность спроса выражает реакцию спроса (покупателей) на изменение цены. Эластичность спроса по цене показывает, на сколько процентов изменится спрос при изменении цены товара на 1%. Коэффициент эластичности спроса может быть равным единице (единичная эластичность), больше единицы (высокая эластичность) меньше единицы (низкая эластичность). Кроме того, различают эластичность спроса по доходу и перекрестную. Коэффициент эластичности по доходу показывает, насколько изменится спрос при изменении дохода на 1%. Перекрестная эластичность выражает степень чувствительности спроса на определенный товар при изменении цены на другой.
3. Выберите номер правильного ответа
В случае потоварного налога на производителя при эластичном предложении налоговое бремя распределиться следующим образом:
А. Большую часть налогового бремени понесет производитель;
Б. Большую часть налогового бремени понесет покупатель;
В. Все налоговое бремя понесет покупатель;
Г. Все налоговое бремя понесет производитель.
Правильный ответ: а)
4. Объясните: Почему кривые средних и средне переменных издержек имеют U-образную форму?
Это объясняется тем, что при большем производстве количества товара происходит эффект на масштабе, т.е., в частности происходит снижение доли постоянных затрат, следовательно средние издержки также падают
5. Решите задачу
В набор потребителя входят два товара: пиво и раки. Общая полезность характеризуется следующими данными:
|
Количество кружек пива |
1 10 |
2 18 |
3 24 |
4 28 |
5 31 |
6 33 |
|
Общая полезность |
||||||
|
Количество раков |
10 |
20 |
30 |
40 |
50 |
60 |
|
Общая полезность |
7 |
13 |
18 |
22 |
25 |
27 |
Известно, что цена одной кружки пива составляет 10 рублей, цена одного рака - 0,5 рубля, общий доход потребителя, который он тратит на пиво и раков составляет 25 рублей. Какое количество кружек пива и раков покупает потребитель в состоянии равновесия?
Решение:
Равновесное состояние потребителя можно определить по следующей формуле:
I = QА * PА + QВ * PB.
В условии задачи сказано, что I = 25 руб.
Произведем расчет соотношения объемов товаров и располагаемого дохода потребителя.
QА = 2 и QВ = 10.
РА = 10 и РВ = 0,5.
2 * 10 + 10 * 0,5 = 25.
QА = 1 и QВ = 30.
1 * 10 + 30 * 0,5 = 25.
Ответ: 1) QА = 1 и QВ = 30., 2) QА = 1 и QВ = 30.
Литература
Брю С., Макконнелл К. Экономикс: принципы, проблемы и политика. - М.:Республика, 2000.
Видяпина В.И., Журавлева Г.П. Общая экономическая теория. - М., 1995.
Гуськова М.Ф. Стерликов П.Ф. Экономика: 100 вопросов-100 ответов. - М.: Владос, 1999.
Курс экономической теории. Общие основы экономической теории, микроэкономика, макроэкономика. Переходная экономика: Учебное пособие /Под ред. А. В. Сидоровича. - М.: ДИС, 1997. - 374 с.
Курс экономической теории: Учебник под ред. Чепурина М.Н., Киселевой Е.А. - Киров: АСА, 1999. - 480 с.
Микроэкономика. Теория и российская практика: Учебник студентов вузов, обучающихся по экономическим специальностям и направлениям/Под редакцией А.Г. Грязноваой и А.Ю. Юданова. 2 изд. – М.: ИТД «КноРус», «Издательство ГНОМ и Д»,2000. – 544с.
Фишер С., Дорнбуш Р., Шмалензи Р. Экономика: Пер. с англ. 2-го изд. - М.: Дело ЛТД, 1995. - 352 с.
Экономика: Учебник /Под ред. А.С. Булатова. - М.: БЕК, 1997. - 350 с.
[1] Брю С., Макконнелл К. Экономикс: принципы, проблемы и политика. - М.:Республика, 2000. – С. 231.
[2] Брю С., Макконнелл К. Экономикс: принципы, проблемы и политика. - М.:Республика, 2000. – С. 234.
[3] Камаев В.Д.. Учебник по основам экономической теории. - М.:Владос, 1998. – С. 297.
[4] Камаев В.Д.. Учебник по основам экономической теории. - М.:Владос, 1998. – С. 299.
[5] Камаев В.Д.. Учебник по основам экономической теории. - М.:Владос, 1998. – С. 301.
[6] Хейне П. Экономический образ мышления, 1999. – С. 128.
[7] Булатов А.С. Экономика. - М.:БЕК, 1999. – С. 312.