Вариант №8
Исходные данные:
|
Фактор |
Период |
Вариант 8 |
|
N, тыс. руб. |
910 |
|
|
P, % в год |
20 |
|
|
I, % в год |
1-й купон |
45 |
|
2-й купон |
120 |
|
|
3-й купон |
45 |
|
|
d, дней |
до июня |
90 |
|
с июня |
25 |
|
|
J, % в год |
до августа |
10 |
|
с августа |
49 |
|
|
m,% |
до марта |
6 |
|
с марта |
2 |
|
|
i, % в год |
1 квартал |
75 |
|
2 квартал |
54 |
|
|
3 квартал |
30 |
|
|
4 квартал |
3 |
|
|
v, млн. руб. |
до февраля |
215 |
|
с февраля |
200 |
|
|
u, млн. руб. |
до ноября |
40 |
|
с ноября |
45 |
В силу того, что рассматриваемые долговые обязательства кроме накопительной доходности выполняют функцию платежного средства с заранее заданной пропускной способностью (v#0, u#0), то при построении графика доходности необходимо рассматривать данное обязательство с точки зрения "покупки под доходность" и "покупка под клиента".
Для составления таблицы доходности и построения графика нам необходимо составить функциональную зависимость наполнения от времени погашения долгового обязательства. С этой целью будем использовать стандартные выражения для доходности и наполнения.

где S - наполнение по долговому обязательству, в процентах;
С - цена покупки долгового обязательства, в рублях;
N - номинал долгового обязательства, в рублях.

где P - годовая доходность по долговому обязательству, в процентах;
t - время между покупкой и гашением долгового обязательства, в днях;
Со - сумма получаемая при гашении долгового обязательства в рублях;
С - цена покупки долгового обязательства, в рублях.
![]()
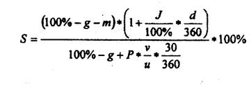
Преобразовывая эти выражения получим формулу наполнения.
Сначала рассмотрим стратегию покупки «под клиента»:

где g – подоходный налог (примем его за 20%)
Подставляя исходные данные рассчитаем наполнение по долговому обязательству для каждого отдельного промежутка времени и сведем рассчеты в таблицу:
|
Месяц |
Наполнение, S |
|
январь |
85,26% |
|
февраль |
85,87% |
|
март |
90,51% |
|
апрель |
90,51% |
|
май |
90,51% |
|
июнь |
88,92% |
|
июль |
88,92% |
|
август |
91,31% |
|
сентябрь |
91,31% |
|
октябрь |
91,31% |
|
ноябрь |
92,27% |
|
декабрь |
92,27% |
На основании таблицы построим график:

Теперь рассмотрим вариант покупки долговых обязательств «под доходность»:

Аналогично составим таблицу:
|
Месяц |
Наполнение, S |
|
январь |
80,15% |
|
февраль |
80,72% |
|
март |
88,70% |
|
апрель |
88,70% |
|
май |
88,70% |
|
июнь |
87,14% |
|
июль |
87,14% |
|
август |
89,48% |
|
сентябрь |
89,48% |
|
октябрь |
89,48% |
|
ноябрь |
90,43% |
|
декабрь |
90,43% |
На основании таблицы построим график:

Важным моментом является то, что возможности получения прибыли по долговым обязательствам на доходность зависят только от срока его погашения и репутации эмитента, а по долговому обязательству под клиента - от количества этих обязательств на рынке, их среднемесячными потреблением и эмиссией. Учитывая эти факторы можно самостоятельно организовать изменение цен на долговые обязательства по различным вариантам покупок,
И как бы не складывалась ситуация на рынке, всегда очень важно анализировать возможную норму прибыли и уже исходя из конкретных результатов анализа предпринимать практические шаги. При этом также необходимо анализировать возможности получения прибыли по долговым обязательствам и с точки зрения «покупки под доходность» и с точки зрения «покупки под клиента», и сопоставляя те и другие возможности формировать комплексные стратегии поведения.
Список литературы
1. Бобылева. А.З. Финансовый менеджмент. Москва 2001
2. Д. К. Шим, Д. Г. Сигел. Финансовый менеджмент. Москва 2003
3. Джон Ф. Берджес, Дэн Штайнхофф. Основы управления малым бизнесом. Москва 2001
4. Основы предпринимательской деятельности. Под ред. В.М. Власовой. Москва 2001
5. Методические указания по выполнению контрольных работ «Инструменты финансового рынка» под редакцией Волосского А.А., Н.:2002