Содержание
Введение. 3
1. Эластичность спроса и предложения. 4
2. Задание. 13
Заключение. 15
Список литературы.. 16
Введение
В настоящее время экономике с его не причинно-следственными, а функциональными связями между переменными занимает господствующее положение в западной системе экономического образования, что привело к возрастанию роли формально-математической аксиоматики, в которой не находит отражения воспроизводящееся в природной среде человеческое общество. Однако надо признать, что выдвижение на первый план Экономикса было обусловлено тем, что классическая политическая экономия в свое время не смогла решить важные теоретические задачи, тогда как экономике предложил свое, в значительной степени прагматическое видение предмета исследования и добился определенных результатов.
В итоге политическая экономия оказалась оттесненной на задний план и стала как бы историей экономической мысли. Это привело к тому, что перестали заниматься разрешением проблем стоимости, взаимосвязей стоимости, ценности и цены, а увлечение феномено-событийной интерпретацией предмета экономической теории — к выхолащиванию ее мировоззренческого философского, социологического и исторического содержания.
Цель данной работы изучение эластичности спроса и предложения в теоретическом аспекте и выполнение практических заданий. .
Задачи данной работы:
1. Теоретическое изучение эластичности спроса
2. Теоретическое изучение эластичности предложения
3. Решение задание
1. Эластичность спроса и предложения
Рассмотрев основы рыночного равновесия, мы пока еще не выяснили, почему кривая предложения выглядит таким, а не иным образом, и почему именно таким, а не иным образом выглядит кривая спроса. В свою очередь, если мы не выясним этого, то не поймем, отчего кривая предложения пересекается с кривой спроса в данной, а не в другой точке. В связи с этим зависимость величины спроса и предложения от соответствующей рыночной цены товара нуждается в более детальном рассмотрении.
Различные товары отличаются друг от друга по степени реакции спроса и предложения на изменение цены. Рассмотрим три варианта кривой спроса (рис. 1). Основным моментом, на который нужно обратить внимание, является здесь общая сумма денег, которую покупатели уплачивают продавцам. Общая выручка продавца всегда равна цене, умноженной на количество проданного товара, или произведению РхQ. На рис. 1а представлен случай, когда падение цены в 3 раза вызвало рост спроса тоже в 3 раза, и общая выручка не изменилась. На рис. 1б снижение цены в 3 раза сопровождалось ростом закупок лишь в 2 раза, и общая выручка сократилась. Другая ситуация представлена на рис. 1в. Выручка возрастает, потому что объем спроса вырос больше, чем упала цена.

Рис. 1. Эластичность спроса
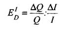
То, в какой мере объем спроса на рынке возрастает при данном снижении цены или сокращается при данном повышении цены, характеризует степень эластичности спроса в зависимости от цены. Коэффициент эластичности спроса в зависимости от цены (P) представляет собой отношение изменения спроса к вызвавшему его изменению цены:

Коэффициент эластичности показывает, на сколько процентов меняется размер спроса на товар в результате изменения его цены на один процент. Когда снижение цены в точности компенсируется соответствующим ростом спроса, так что общая выручка остается неизменной (рис. 1а), мы говорим о единичной эластичности спроса (Е0= 1). Когда снижение цены вызывает меньший рост спроса (рис. 1б), спрос неэластичен (Е0< 1). Когда снижение цены вызывает больший рост спроса (рис. 1в), мы говорим об эластичном спросе (Е0> 1). Коэффициент эластичности спроса по цене, как правило, является отрицательной величиной; однако в экономической теории принято пользоваться абсолютным значением этого показателя, не принимая во внимание знак «минус». На степень эластичности спроса влияет целый ряд факторов: наличие товаров-субститутов (т. е. взаимозаменяемых товаров, например, чай и кофе), размер дохода потребителя, качество товара, удельный вес товара в бюджете потребителя, является ли товар предметом роскоши или предметом первой необходимости, ожидания потребителя и т. д. [2.c.78]
Как уже отмечалось, спрос на данный товар зависит не только от его цены, но и от цен на другие товары. Здесь нужно отметить, что помимо товаров-субститутов, существуют и товары - комплементы (взаимодополняемые товары, например, фотоаппараты и фотопленка). Помимо этих групп товаров, существуют и независимые товары (например, карандаши и молоко). Эластичность спроса на один товар относительно цены на другой товар называется перекрестной эластичностью. Коэффициент перекрестной эластичности спроса представляет собой отношение изменения спроса : на товар I к вызвавшему его изменению цены на товар:

При изменении цены на товар-субститут перекрестный коэффициент эластичности оказывается больше нуля (рост цен на кофе вызовет рост спроса на чай); при изменении цены товара-комплемента перекрестный коэффициент эластичности оказывается меньше нуля (рост цены на фотопленку ведет к уменьшению спроса на фотоаппараты). При изменении цены независимого товара перекрестный коэффициент эластичности равен нулю (рост цены на карандаши не изменит спрос на молоко).
Следует также отметить, что колебания цен товаров с различной эластичностью спроса по-разному влияют на изменение цен остальных товаров. Так, если цена товара с неэластичным спросом возрастает, то общие расходы на покупку этого товара растут, что при неизменном доходе приводит к сокращению спроса на другие товары, а следовательно, и к снижению их цен.
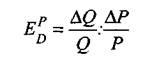
Когда мы говорим о спросе, то подразумеваем, конечно, платежеспособный спрос. Поэтому, как уже было показано ранее, одним из важнейших факторов, влияющих на спрос, является уровень доходов. При изменении доходов спрос на товары изменяется по-разному. В связи с этим мы говорим об эластичности спроса в зависимости от дохода. В частности, хорошо известно, что изменение доходов покупателей оказывает гораздо большее воздействие на покупки товаров длительного пользования, чем на покупки продовольственных товаров. Другими словами, эластичность спроса на промышленные товары обычно бывает больше. [2.c.80]
Влияние дохода на спрос определяют коэффициентом эластичности:

где EID - коэффициент эластичности спроса в зависимости от дохода,
Q - величина спроса,
I - доход покупателей.
Для большинства товаров зависимость между доходами и спросом прямая, г. е. с ростом доходов спрос увеличивается. Однако в некоторых случаях зависимость может быть обратной. Обычно это касается, как отмечалось в товаров низкого качества, с низкими потребительскими свойствами, которые потребляют наиболее бедные слои населения. С ростом доходов также обычно падает спрос на такие продукты питания, как хлеб и картофель, поскольку потребители получают возможность включать в свой рацион больше мяса, овощей и фруктов.
На основе анализа взаимосвязи между изменением дохода и спросом на разные товары можно построить график «доход-расходы» для отдельного блага (при предположении, что цена блага остается неизменной). Такие графики называют кривыми Энгеля. На рис. 2. показан примерный вид кривых Энгеля для нормальных товаров (кривая Е1), предметов роскоши (кривая Е2) и низкокачественных товаров (кривая Е3). На оси абсцисс откладывается уровень дохода (I), а на оси ординат - расходы на потребление данного блага (С). [2.c.81]
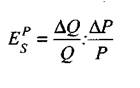
Рассуждения относительно эластичности спроса в целом могут быть применены и при анализе воздействия цены на предложение. Эластичность предложения - это показатель относительного изменения предлагаемого на рынке количества товара в соответствии с относительным изменением конкурентной цены. Коэффициент эластичности предложения (EIS) представляет собой отношение изменения предложения к вызвавшему его изменению цены:

На рис. 3 показаны три линии предложения с разной эластичностью.
Эластичность предложения товара зависит от многих факторов: от структуры издержек на разных предприятиях, степени загрузки производственных мощностей, наличия свободной рабочей силы, быстроты перелива капитала из одной отрасли в другую и т. д.

Рис. 2. Кривые Энгеля Рис. 3. Эластичность предложения
Говоря об эластичности спроса и предложения, т. е. о том, насколько при изменении цены изменяются спрос и предложение, мы должны иметь в виду, что эти изменения происходят во времени и, следовательно, время становится одним из факторов эластичности. Особенно большое значение фактор времени имеет для характеристики эластичности предложения: прежде чем предложение полностью приспособится к новому уровню цен, должен пройти определенный промежуток времени.
Исходя из этого, наше понимание рыночного равновесия должно быть дополнено анализом согласования спроса и предложения с учетом элемента времени. [2.c.83]
Предположим, спрос на какой-либо товар вырос. Поскольку предложение этого товара сразу возрасти не сможет, ситуация мгновенного равновесия будет характеризоваться лишь повышением цены (рис. 4). Кривая предложения S, представляет собой вертикальную линию с нулевой эластичностью, и сдвиг кривой спроса в положение Q2 увеличивает цену равновесия до р1
В условиях краткосрочного равновесия (рис. 4б) число предприятий, работающих на данном рынке, еще не меняется. Однако предложение несколько увеличивается, и кривая S2 становится слегка наклонной, поскольку предприниматели могут более интенсивно использовать имеющиеся производственные мощности. В этом случае объем предложения немного возрастает до P2 а цена равновесия Р3 становится ниже.
Наконец, когда рассматриваем длительное равновесие (рис. 4в), предложение полностью приспосабливается к изменившемуся спросу. Высокие цены позволили создать новые мощности, в отрасль пришли новые предприниматели, объем предложения вырос до P4, а цена равновесия еще более снизилась.

Рис. 4. Согласование спроса и предложения с учетом фактора времени
Таким образом, эластичность предложения растет по мере увеличения рассматриваемого периода времени, что способствует установлению нормальных цен. То, насколько быстро предложение может приспособиться к изменившимся ценам в конечном итоге зависит от степени мобильности экономических ресурсов.
С понятием эластичности спроса и предложения связано понятие гибкости цены, которая может быть определена как величина, обратная эластичности. Она измеряет влияние данного изменения спроса и предложения на цену.
Понятия эластичности спроса и предложения по цене имеют большое практическое значение не только для понимания поведения потребителя на рынке или ценовой стратегии фирм, но и для анализа последствий экономической политики государства, в частности, политики налогообложения. Одним из важнейших здесь является вопрос распределения налогового бремени, т. е. кто реально уплачивает тот или иной налог. Проиллюстрируем это на условном примере (см. рис. 5). Предположим, равновесная цена товара на рынке составляет 1 долл., и государство вводит дополнительный налог на производителя в размере 50 центов на каждую единицу данного товара. Кривая предложения в этом случае сдвигается вверх на величину налога, и цена товара должна возрасти.

Рис. 5. Эластичность и распределение налогового бремени
Если бы увеличение цены в точности соответствовало размеру налога, то это бы означало, что производитель полностью перекладывает уплату налога на покупателя (это возможно в случае нулевой эластичности спроса). На рисунках 5а и 5б показано, что реальное распределение налогового бремени между продавцом и покупателем зависит от эластичности спроса и предложения. При неэластичном спросе и эластичном предложении (рис. 5а) цена сильно увеличивается и большую часть налога уплачивает покупатель (в нашем примере 35 центов из общей суммы налога фактически платит покупатель и только 15 центов - производитель). При эластичном спросе и неэластичном предложении (рис. 5б) повышение цены приводит к тому, что потребители существенно сокращают закупки данного товара, переключая свой спрос на товары-субституты, и производителю уже не удается переложить на покупателя бремя уплаты налога (цена возрастает только на 15 центов, а остальную сумму налога платит сам производитель). [2.c.85]
2. Задание
Выберите правильный ответ.
1. Величина эластичности спроса по цене Ed характеризует:
а) чувствительность спроса на изменение вкусов потребителей;
б) как меняется предложение товара с изменением цены;
в) степень сдвига кривой D при изменении цены;
г) зависимость рынка от уровня заработной платы;
д) реакцию производителей на рост издержек производства;
е) все ответы неверны.
Ответ: б) как меняется предложение товара с изменением цены;
2. Фирма продавала 10 тыс. единиц товара по цене 100 тыс. руб. Когда цена понизилась до 90 тыс. руб. она смогла реализовать 12 тыс. единиц. Данные цифры свидетельствуют, что:
а) спрос по цене неэластичен;
б) фирма понесла убытки;
в) суммарная выручка фирмы увеличилась на 100 млн рублей;
г) суммарная выручка фирмы возросла на 870 млн руб.;
д) все ответы неверны.
Ответ: д) все ответы неверны.
3. Если перекрестная эластичность спроса по цене между товарами X и Y равна - 2,3, то можно сделать вывод, что X и Y:
а) субституты;
б) нормальные товары;
в) низшие товары;
г) комплиментарные товары.
Ответ: а) субституты;
4. Главный фактор эластичности по цене:
а) доход потребителя;
б) нормальный товар;
в) принадлежность товара к товарам первой необходимости или предметам роскоши;
г) наличие заменителей.
Ответ: а) доход потребителя;
5. Если увеличение дохода на 1% приводит к снижению потребления товара на 3%, то это товар:
а) нормальный:
б) предмет первой необходимости;
в) предмет роскоши;
г) низший.
Ответ: в) предмет роскоши;
Заключение
Центральной проблемой экономической теории становится переосмысление значимости материально-технических и товарно-денежных факторов в хозяйственной жизни общества и переориентация экономического мышления на человека, который занимает в ней центральное место. Следовательно, речь должна идти о социологизации экономической теории во всех аспектах жизнедеятельности и жизнеобеспечения человека в будущем, о «низвержении с пьедестала» «экономического человека» и восстановлении естественного человека, который, как считал Ф. Хайек, не вписывается в «расширенный порядок». Очевидно, неестественному порядку необходим и неестественный человек, каким и является экономический человек. Поэтому наступлению рынка как неестественного порядка с неестественным человеком не может не противостоять естественный человек и порядок. Против экономического человека, космополитического, бездуховного экономизированного монстра, восстает естественный человек с его традиционной компонентой высшей ценности — идентификацией со своим народом, Родиной, Отечеством. Это противоборство общественного и эгоцентрического начал.
Из изученного можно сделать вывод, что на степень эластичности спроса влияет целый ряд факторов: наличие товаров-субститутов (т. е. взаимозаменяемых товаров, например, чай и кофе), размер дохода потребителя, качество товара, удельный вес товара в бюджете потребителя, является ли товар предметом роскоши или предметом первой необходимости, ожидания потребителя и т. д.
Список литературы
1. Куликов П.М. Основы экономической теории: Учебное пособие – М.: Финансы и статистика, 2001 – 400 с.
2. Курс экономической теории. Общие основы экономической теории, микроэкономика, макроэкономика, переходная экономика: Учебное пособие / Рук. авт. кол. и науч. ред. А.В.Сидорович – М.: МГУ им. М.В.Ломоносова, Изд-во "ДИС", 1997. - Гл. 8.
3. Макконнелл Кемпбелл Р., Брю Стенли Л. Экономикс: Принципы, проблемы и политика: В 2 т. / Пер. с англ. - М: Прогресс, 1992. - Т.2, Гл.22.
4. Николаев И.П. Экономическая теория – М.: «КноРус», 1998. – с.224
5. Носова С.С. Экономическая теория. – М.: Изд-во. «Дашков и Ко», 2003. – 864с.
6. Самуэлъсон П.А., Нордхаус В.Д. Экономика - М.: Изд-во Бином-Кно-Рус, 1997. - Гл. 4.
7. Фишер С., Дорнбуш Р., Шмаяензи Р. Экономика / Пер. с англ, со 2-го изд. - М.: Дело ЛТД, 1993. – гл. 5