Содержание
1. Найти среднее арифметическое, медиану, моду, среднее геометрическое, размах, среднее квадратическое отклонение, дисперсию, коэффициент вариации. 5
2. Построить гистограмму, предварительно разбив выборку на 5 интервалов. 6
3. Проверка гипотезы о среднем значении нормально распределенной генеральной совокупности при известной дисперсии. 9
4. Проверка гипотезы о среднем значении нормально распределенной генеральной совокупности при неизвестной дисперсии. 10
5. Проверка гипотезы о дисперсии нормально распределенной генеральной совокупности. 11
6. Осуществить проверку гипотезы о нормальном распределении генеральной совокупности с использованием критерия χ2 • 12
7. Осуществить проверку гипотезы о нормальном распределении генеральной совокупности с использованием непараметрических критериев Колмогорова, Смирнова, ω2, Ω2 Мизеса. 14
Список литературы.. 16
Вариант 1
1. Найти среднее арифметическое, медиану, моду, среднее геометрическое, размах, среднее квадратическое отклонение, дисперсию, коэффициент вариации.
2. Построить гистограмму, предварительно разбив выборку на 5 интервалов.
3. Осуществить проверку гипотезы о среднем значении нормально распределенной генеральной совокупности при известной дисперсии.
4. Осуществить проверку гипотезы о среднем значении нормально распределенной генеральной совокупности при неизвестной дисперсии.
5. Осуществить проверку гипотезы о дисперсии нормально распределенной генеральной совокупности.
6. Осуществить проверку гипотезы о согласии с нормальным распределением с
параметром сдвига 15, параметром масштаба 0.8 с использованием критерия χ2 Пирсона.
7. По выборке из первых 10 наблюдений осуществить проверку гипотезы о согласии с нормальным распределением с параметром сдвига 15, параметром масштаба 0.8 с
использованием непараметрических критериев Колмогорова, Смирнова, ω2, Ω2 Мизеса.
|
14.70 |
14.31 |
14.40 |
14.81 |
13.33 |
14.36 |
14.94 |
16.18 |
15.18 |
15.19 |
|
14.07 |
14.83 |
16.09 |
14.31 |
16.32 |
15.39 |
15.09 |
13.98 |
15.59 |
15.18 |
|
14.16 |
15.31 |
13.53 |
15.74 |
16.38 |
15.75 |
15.27 |
13.58 |
14.87 |
15.25 |
|
14.53 |
15.32 |
14.60 |
15.14 |
12.93 |
15.73 |
14.04 |
13.95 |
15.69 |
14.48 |
|
15.01 |
14.88 |
14.54 |
13.92 |
15.30 |
14.58 |
14.67 |
15.69 |
15.01 |
14.87 |
Решение
|
|
14,70 |
14,31 |
14,40 |
14,81 |
13,33 |
14,36 |
14,94 |
16,18 |
15,18 |
15,19 |
|
|
14,07 |
14,83 |
16,09 |
14,31 |
16,32 |
15,39 |
15,09 |
13,98 |
15,59 |
15,18 |
|
|
14,16 |
15,31 |
13,53 |
15,74 |
16,38 |
15,75 |
15,27 |
13,58 |
14,87 |
15,25 |
|
|
14,53 |
15,32 |
14,60 |
15,14 |
12,93 |
15,73 |
14,04 |
13,95 |
15,69 |
14,48 |
|
|
15,01 |
14,88 |
14,54 |
13,92 |
15,30 |
14,58 |
14,67 |
15,69 |
15,01 |
14,87 |
|
Средне арифметическая |
14,49 |
14,93 |
14,63 |
14,78 |
14,85 |
15,16 |
14,80 |
14,68 |
15,27 |
14,99 |
|
медиана |
14,53 |
14,88 |
14,54 |
14,81 |
15,30 |
15,39 |
14,94 |
13,98 |
15,18 |
15,18 |
|
мода |
#Н/Д |
#Н/Д |
#Н/Д |
#Н/Д |
#Н/Д |
#Н/Д |
#Н/Д |
#Н/Д |
#Н/Д |
#Н/Д |
|
средняя геометрическая |
14,49 |
14,93 |
14,61 |
14,77 |
14,78 |
15,15 |
14,80 |
14,64 |
15,26 |
14,99 |
|
размах |
0,94 |
1,01 |
2,56 |
1,82 |
3,45 |
1,39 |
1,23 |
2,60 |
0,82 |
0,77 |
|
средне квадратическое отклонение |
0,30 |
0,31 |
0,58 |
0,54 |
1,38 |
0,55 |
0,36 |
1,01 |
0,30 |
0,26 |
|
дисперсия |
0,15 |
0,17 |
0,85 |
0,50 |
2,68 |
0,43 |
0,23 |
1,38 |
0,13 |
0,10 |
|
коэффициент вариации |
2,09 |
2,06 |
3,99 |
3,62 |
9,28 |
3,65 |
2,42 |
6,86 |
1,95 |
1,70 |
|
Максимальная |
15,01 |
15,32 |
16,09 |
15,74 |
16,38 |
15,75 |
15,27 |
16,18 |
15,69 |
15,25 |
|
Минимальная |
14,07 |
14,31 |
13,53 |
13,92 |
12,93 |
14,36 |
14,04 |
13,58 |
14,87 |
14,48 |
|
μ |
0,17 |
0,19 |
0,41 |
0,32 |
0,73 |
0,29 |
0,21 |
0,52 |
0,16 |
0,14 |
|
Su |
213,01 |
190,18 |
37,37 |
64,29 |
11,80 |
78,13 |
141,96 |
23,00 |
262,65 |
317,65 |
|
Su |
94,46 |
95,74 |
48,76 |
54,06 |
20,50 |
53,72 |
81,59 |
28,10 |
101,53 |
116,37 |
|
P1 |
10,19 |
-30,19 |
-5,97 |
0,04 |
-16,57 |
-21,73 |
5,79 |
22,40 |
-4,44 |
11,52 |
|
P2 |
-31,17 |
25,32 |
43,47 |
-13,32 |
32,56 |
27,91 |
6,29 |
-32,76 |
20,67 |
-0,59 |
|
P3 |
14,64 |
-6,82 |
-71,81 |
40,12 |
-15,92 |
-11,98 |
13,34 |
16,44 |
-40,73 |
15,63 |
|
P4 |
-12,86 |
25,81 |
70,99 |
-30,14 |
-5,01 |
27,37 |
-45,30 |
-27,25 |
62,00 |
-45,85 |
|
P5 |
25,53 |
-2,44 |
-2,37 |
-24,22 |
4,88 |
-15,77 |
-5,54 |
15,10 |
-13,00 |
-7,29 |
|
Сумма Р |
6,33 |
11,69 |
34,31 |
-27,52 |
-0,07 |
5,80 |
-25,42 |
-6,08 |
24,50 |
-26,57 |
|
|
0,25 |
0,47 |
1,37 |
-1,10 |
0,00 |
0,23 |
-1,02 |
-0,24 |
0,98 |
-1,06 |
|
Sk |
0,75 |
0,76 |
|
|
|
|
|
|
|
|
|
Sм |
0,67 |
0,85 |
|
|
|
|
|
|
|
|
|
Sw |
0,07 |
0,07 |
|
|
|
|
|
|
|
|
|
Sd |
0,51 |
0,49 |
|
|
|
|
|
|
|
|
1. Найти среднее арифметическое, медиану, моду, среднее геометрическое, размах, среднее квадратическое отклонение, дисперсию, коэффициент вариации.
Среднее арифметическое.
Хср = ∑Хi/n
Где хi – число
n – количество чисел
Медиана
Ме = хме*iмe*1/2∑f+1-Sme-1/fme
Где хме – начало медианного интервала, ime – величина медианного интервала, Sme-1 – сумма накопленных частот в домедианном интервале.
Мода
Мо = хмо+iмо*fmo-fmo-1/( fmo-fmo-1)+( fmo-fmo+1)
Где хмо- нижняя граница модального интервала, imo – величина модального интервала. -fmo-1,fmo,fmo+1 – частоты соответственно модального, домодального и послемодального интервалов.
Если множество данных не содержит одинаковых данных, то функция МОДА возвращает значение ошибки #Н/Д
Среднее геометрическое
СРГЕОМ = n√х1*х2*…*х3
Размах
Размах = хмакс-хмин
Среднее квадратическое отклонение
σ = 1/n∑х-хср
Дисперсия
σ2
Коэффициент вариации.
σ/хср *100
2. Построить гистограмму, предварительно разбив выборку на 5 интервалов.
|
1 интервал |
2 интервал |
3 интервал |
4 интервал |
5 интервал |
|||||
|
14.70 |
14.31 |
14.40 |
14.81 |
13.33 |
14.36 |
14.94 |
16.18 |
15.18 |
15.19 |
|
14.07 |
14.83 |
16.09 |
14.31 |
16.32 |
15.39 |
15.09 |
13.98 |
15.59 |
15.18 |
|
14.16 |
15.31 |
13.53 |
15.74 |
16.38 |
15.75 |
15.27 |
13.58 |
14.87 |
15.25 |
|
14.53 |
15.32 |
14.60 |
15.14 |
12.93 |
15.73 |
14.04 |
13.95 |
15.69 |
14.48 |
|
15.01 |
14.88 |
14.54 |
13.92 |
15.30 |
14.58 |
14.67 |
15.69 |
15.01 |
14.87 |

Гистограмма 1 интервала

Гистограмма 2 интервала

Гистограмма 3 интервала

Гистограмма 4 интервала

Гистограмма 5 интервала
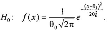
3. Проверка гипотезы о среднем значении нормально распределенной генеральной совокупности при известной дисперсии
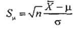
Пусть для нормально распределенной случайной величины ξ с известной дисперсией σ2 и неизвестным средним θ необходимо проверить гипотезу: Н0: θ = μ. Для проверки такой гипотезы можно воспользоваться критерием, статистика которого имеет вид:

где n - объем выборки, Х- выборочное среднее (среднее арифметическое). Данная статистика при верности нулевой гипотезы подчиняется стандартному нормальному распределению: G(Sμ│H0) = Ф(Sμ ).
Если вычисленное по выборке значение статистики не превышает критического, тогда проверяемая гипотеза о согласии не отвергается.
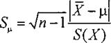
4. Проверка гипотезы о среднем значении нормально распределенной генеральной совокупности при неизвестной дисперсии
Пусть для нормально распределенной случайной величины ξ , с неизвестным средним θ1, и неизвестной дисперсией θ22 необходимо проверить гипотезу: Н0: θ1 = μ. Для проверки такой гипотезы можно воспользоваться критерием, статистика которого имеет вид:

где n- объем выборки, X - выборочное среднее (среднее арифметическое), S(X) -среднее квадратическое отклонение. Данная статистика при верности нулевой гипотезы подчиняется t- распределению Стьюдента с n-1 степенями свободы.
Если вычисленное по выборке значение статистики не превышает критического, тогда проверяемая гипотеза о согласии не отвергается.
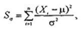
5. Проверка гипотезы о дисперсии нормально распределенной генеральной совокупности
Пусть для нормально распределенной случайной величины ξ, с известным математическим ожиданием μ. неизвестной дисперсией θ2 необходимо проверить гипотезу: H0: θ2 = σ2. Для проверки такой гипотезы можно воспользоваться критерием, статистика которого имеет вид:

где n - объем выборки, Х - выборочное среднее (среднее арифметическое). Данная статистика при верности нулевой гипотезы подчиняется распределению хиквадрат с числом степеней свободы, равным п : G(Sσ │ H0) = χ2(n).
Если вычисленное по выборке значение статистики не превышает критического, тогда проверяемая гипотеза о согласии не отвергается.
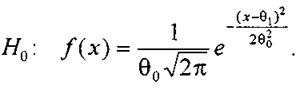
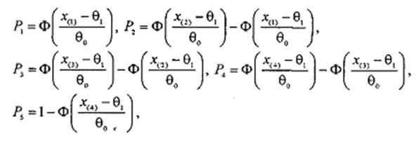
6. Осуществить проверку гипотезы о нормальном распределении генеральной совокупности с использованием критерия χ2 •
Проверяемая гипотеза имеет вид

В качестве значений параметров θl и θ0 следует выбрать среднее арифметическое и среднее квадратическое отклонение соответственно (см. п.1).
Для проверки данной гипотезы зададимся уровнем значимости а = 0.05
Для вычисления значения статистики χ2 Пирсона по формуле
χ2 = ∑(ni-n*(Pi(θ))2/n* Pi(θ)
необходимо воспользоваться результатом, полученным в п.2 при разбиении области определения случайной величины на k = 5 интервалов группирования. Значения вероятностей попадания в интервалы группирования рассчитываются следующим образом (рассмотрим случай k = 5):

где x(1),. x(2),.х(3),.х{4) - граничные точки (см. п.2), Ф(t) - стандартное нормальное распределение (см. таблицу 1).
Вычислив значение статистики х2 Пирсона по формуле (1), необходимо сравнить полученное значение с критическим значением статистики. Для уровня значимости а = 0.05 и k = 5 критическое значение статистики S, равно 9,4877. Если вычисленное по выборке значение статистики не превышает критического, тогда проверяемая гипотеза о согласии не отвергается.
7. Осуществить проверку гипотезы о нормальном распределении генеральной совокупности с использованием непараметрических критериев Колмогорова, Смирнова, ω2, Ω2 Мизеса.
Проверяется простая гипотеза о принадлежности выборки нормальному закону. Упорядоченная выборка объемом 100 наблюдений имеет вид: 1
Проверяемая гипотеза имеет вид

при значении параметра θ0 = 0,5; θ1 = 1. ;
Для проверки данной гипотезы зададимся уровнем значимости а = 0.05
A) Критерий Колмогорова
Вычисляем значение статистики Колмогорова по формуле :
SK = 6*n*Dn+1/6√n
SK =0,7410. Критическое значение статистики SK при уровне значимости а = 0.05 равно, 1,3581. Поскольку полученное по выборке значение статистики не превышает критического, гипотеза о согласии с нормальным распределением с параметрами 00 = 0,5; Oj = 1 не отвергается при уровне значимости а = 0.05.
Б) Критерий Смирнова
Вычисляем значение статистики Смирнова по формуле
Sm = (6*n*Dn+1)2/9n
Sm =2,1964. Критическое значение статистики Sm при уровне значимости а = 0.05 равно 5,9915. Поскольку полученное по выборке значение статистики не превышает критического, гипотеза о согласии с нормальным распределением с параметрами 00 =0,5; В} = 1 не отвергается при уровне значимости а = 0.05.
B) Критерий ω2 Мизеса
Вычисляем значение статистики ω2 Мизеса по формуле
Sω = nω2n = 1/12n+∑(F(xi,θ)-2i-1*2n)2
Sω =0,1148. Критическое значение статистики Sω при уровне значимости а = 0.05 равно 0,4614. Поскольку полученное по выборке значение статистики не превышает критического, гипотеза о согласии с нормальным распределением с параметрами 00 =0,5; Oj = 1 не отвергается при уровне значимости а = 0.05.
Г) Критерий Ω2 Мизеса
Вычисляем значение статистики Ω2 Мизеса по формуле
SΩ = nΩ2n = -n-2∑(2i-1/2n*ln(Fxi,θ)+(1-2i-1/2n)ln(1 - Fxi,θ))
SΩ = 0,7577. Критическое значение статистики Sn при уровне значимости а = 0.05 равно 2,4924. Поскольку полученное по выборке значение статистики не превышает критического, гипотеза о согласии с нормальным распределением с параметрами 00 =0,5; Ql = 1 не отвергается при уровне значимости а = 0.05.
Как видим, при задании уровня значимости нет оснований для отклонения проверяемой гипотезы по всем критериям согласия.
Список литературы
1. Национальное счетоводство: Учебник / Под ред. Б. И. Башкатова. - 2-е издание. перераб. и доп. - М.: Финансы и статистика, 2002.
2. Национальные счета в переходный период. - М.: Госкомстат России, 1994. – с. 63
3. Экономическая статистика: Учебник. 2-е изд.. доп. / Под ред. Иванова Ю. Н. — М.: ИНФРА-М, 2002.
4. Макроэкономическая статистика: Учеб. пособие / Салин В. Н., Медведев В Г. к др. -М. : Дело. 2001.
5. Башкатов Б.И. Социально-экономическая статистика – М.: ЮНИТИ-ДАНА 2002. – 703 с.
6. Боярский А.Я., Громыко Г.Л.
“Общая теория статистики” М.: изд. Московские университеты,
7. Васильева Э.К.
“Социально-демографический портрет студента” М.: Мысль,
8. Кильдишев и др. “Статистика
населения с основами демографии” М.: Финансы и Статистика,