Вместо предисловия.
Инквизиция (от латинского: inquisitio - розыскание, исследование, розыски) - судебно-следственный орган, созданный для выявления в Церкви ее замаскированных врагов, их переубеждения и перевоспитания, а в случае их неисправимости отлучавший их от Церкви в соответствии с указаниями Нового Завета (Тит.3:10; Мф.18:17; 1Кор.5:11-13; Гал.1:8-9). Отлучение от Церкви могло быть подано для обжалования Папе и им отменено. После отлучения врага Церкви от Церкви, он передавался государственной власти и ее судебный орган рассматривал дело отлученного от Церкви с точки зрения государственного права и в соответствии с его законами приговаривал виновного к предусмотренной законом каре. Если государственным правом за преступления против Церкви и государства предусматривалась смертная казнь, то преступник казнился смертью. Таким образом, инквизиция никого к смерти не приговорила. Она только определяла вину человека и при нежелании преступника исправиться, отлучала его от Церкви и передавала государственной власти на ее усмотрение. Казнился же преступник по приговору государственного суда, карательными органами государства.
Так как тема об инквизиции, с точки зрения ее моральной оценки в наше время - очень спорная тема, то ради большей объективности, в пределах наших возможностей, ограниченных недостатком разносторонней информации, хочу осветить ее с позиции нескольких авторов, стоящих на различных идеологических позициях, а именно:
- католических авторов: о. Яниса Павловского (монах-капуцин); о. Болеслава Кумора (священник, доктор теологии и истории); А. Ваплер (священник, доктор теологии); Ю. Данзас (Юрия Николаева) и еще одного неизвестного автора;
- и авторов-масонов: Лозинского и Льоренте - противников католической Церкви.
По ознакомлении с этими материалами, следует рассмотреть:
1) Тогдашнюю историческую обстановку в Европе и ментальность тогдашнего ее населения.
2) Вредоносность враждебных Церкви и тогдашнему обществу сил, с которыми так отчаянно боролась католическая Церковь и государство.
3) Право Церкви и государства на защиту от этих вредоносных сил.
4) Могущие быть катастрофические последствия от бездеятельности Церкви и государства по отношению к этим силам.
5) Злоупотребления инквизиции и субъектов, несущих за это ответственность.
I. Выписки из книг на тему Инквизиции.
1. Из книги:
Я. Павловский "Очерки истории католической Церкви", Резекне, 1994 г., глава "Инквизиция".
В связи с тем, что преступления против религии, в том числе ересь угрожали моральному порядку в обществе, а значит и государственной безопасности, римское уголовное (государственное) право предусматривало за такие преступления телесные наказания, вплоть до смертной казни через сожжение.
Так, император Диоклетиан (язычник) повелел вождей манихейства сжигать, а его последователей казнить обезглавлением, а их имущество конфисковывать. Имп. Феодосий Великий 31 марта 382 г. издал указ о смертной казни энкратитов, а в 435 г. издан указ о смертной казни тех, кто увлекает в секты. В средние века к еретикам вначале применялись сравнительно легкие наказания.
В 1215 г. 12-й Вселенский собор, в связи с ростом еретического движения , постановил, осужденных церковным судом, еретиков передавать государственной власти для заслуженного наказания. При этом, Церковь не определяла еретикам меры наказания, и вообще католические синоды и соборы не назначали смертной казни для еретиков, как это сделал православный Константинопольский синод под председательством патриарха Михаила Оксиста (отказавшегося от кафедры в 1146 г.), постановив еретиков-богомилов в наказание сжигать.
Независимо от Церкви в Германии и в Северной Франции гражданская власть, начиная с XI века требовала сожжения еретиков.
В католической Европе впервые сожжение установлено государственным законом в марте 1224 г. в Ломбардии германским королем, а впоследствии императором Священной Римской империи германского народа Фридрихом II. Позднее подобные законы установлены и в других местах. В Германии в 1232г. Фридрих II издал закон о смерти еретикам, и при этом Фридрих пожелал, чтобы следствие о ереси вести было поручено монахам-доминиканцам. Этот же император в 1224, 1231 и 1238 гг. предусмотрел, чтобы упорствующие еретики сжигались. Папа Иннокентий IV одобрил эти законы, но суровые санкции этих законов никогда не были внесены в кодекс Церковного закона. (Они существовали только в государственном праве и применялись по решению государственного суда, следовавшего после передачи преступников инквизицией государственной власти - примечание составителя).
Ересь в то время считалась большим преступлением, чем политические преступления. (стр.574-576).
Деятельность инквизиторов-следователей была подчинена контролю епископов и Папы. Виенский собор 1311 г. постановил, что для заключения обвиняемого в тюрьму для применения пыток и вынесения приговора необходимо разрешение епископа. Названные обвиняемым его враги в качестве свидетелей не допускались, показания свидетелей проверялись. Для принуждения обвиняемого признаться в преступлении применялись пытки, но их применение было строго ограничено. Не разрешалось подвергать пыткам старых и слабых. Никого не разрешалось подвергать пыткам более одного раза. Подверженный пыткам имел право в течении 24 часов признание под пытками взять обратно. Не разрешалось применение пыток, если, по мнению судьи и епископа, имелось лишь частичное доказательство вины. Ни один виновный не мог быть осужден, если он признался только вследствие пыток, так как он имел возможность отказаться от сказанного во время пытки; если же он действительно был еретик, он мог отказаться от ереси и таким образом избавиться от осуждения.
Различали три вида еретиков:
а) Еретики, отказавшиеся от ереси раскаявшиеся и вернувшиеся в Церковь, подвергались только церковным карам - покаянию.
б) Еретики, в обращении которых были обоснованные сомнения - пожизненно заключались в тюрьму.
в) Еретики, упорствующие в ереси или отказавшиеся от нее, опять вернувшиеся к ней, передавались государственным властям.
Осужденные инквизиционным трибуналом (а не государственным судом) могли обжаловать приговор Папе и он часто отменял или смягчал приговор инквизиции. Инквизиционные трибуналы учреждались только там, где это было необходимо, особенно в Южной Франции, Северной Италии и Ломбардии, где многочисленные катары представляли опасность для Церкви и государства. Режим в инквизиционных тюрьмах был более легкий, чем в тюрьмах государственных; обращение с заключенными было более мягким, гуманным. Заключенным разрешалось принимать добровольные подаяния.
Инквизиция во Франции и Италии была церковной и действовала по постановлениям Церкви. Испанская инквизиция была смешанного характера: церковного и государственного. На ее деятельность большое влияние имела государственная власть. На то имелись важные причины.
а) Первая причина - это деятельность иудеев. Так как иудеи помогли исламу овладеть христианской Испанией, то они имели полную свободу для своей деятельности в Испании, она стала для них второй родиной. Благодаря занятию торговлей (что являлось их любимым занятием) они сильно разбогатели. Постепенно христиане отвоевывали Испанию у ислама, и испанские короли и князья, нуждаясь в деньгах, занимали их у иудеев, за что давали иудеям различные привилегии, например получили право взимать проценты за даваемые займы, что христианам запрещалось. В 1244 г. австрийское правительство разрешило иудеям за даваемые займы брать 170%. Король Богемии (Чехии) - Оттокар в 1254 г. разрешил иудеям брать неограниченные проценты за займы. Во Франции издано постановление, что иудеи не могут брать за займы больше 300%. При таких условиях иудеи легко взяли под контроль все богатство страны и стали оказывать большое влияние на политику христианских королей и привели народ к обнищанию, что вызвало народное недовольство иудеями, приведшее к еврейским погромам.
Причиной враждебности христиан к иудеям была также их ненависть к христианству. Они высмеивали христианскую религию, "иногда даже убивали христиан, особенно детей, с целью получения христианской крови для своих религиозных обрядов. Их обвиняют еще во многих других тяжелых преступлениях" (стр. 578). Подобная деятельность иудеев вызвала ненависть к ним и преследования их. И часто иудеям оставалось или умереть или креститься. И много иудеев притворно принимали христианство, в душе оставаясь его врагами. Таких евреев-лицемеров называли маранос. Они старались занимать высокие государственные и церковные должности и использовали свое богатство и положение, чтобы разрушить христианское государство и католическую Церковь. "Дело дошло до того, что Испания стала перед вопросом: оставаться ли Испании христианским государством или передать власть в стране иудеям и отказаться от христианства" (стр. 578). И испанские короли вынуждены были учредить в Испании инквизицию, чтобы разоблачить проникших на государственные и церковные должности евреев-лицемеров. Не желавшие обратиться в христианство иудеи были изгнаны из Испании в 1492 г.
б) Второй причиной учреждения инквизиции были притворно обратившиеся в христианство мусульмане, называемые морискос, представлявшие опасность для Испании только что отвоеванной от мусульман. Эти мусульмане поддерживали связь с жившими в Африке арабами и подпольно работали в пользу арабов, мечтавших вновь захватить Испанию.
Для предотвращения опасности для Испании от мусульман и иудеев испанские короли решили учредить инквизиционные трибуналы. Инквизиция существовала в Испании до 1820 г., то есть около 400 лет.
При короле Филиппе II инквизиция не допустила распространения в Испании протестантизма, чем сохранила Испанию от гражданской войны, которая произошла в Германии из-за деятельности протестантов (и унесла жизни сотен тысяч людей - прим. составителя).
Позднее обязанностью инквизиции было наказывать виновных в тяжелых нравственных преступлениях, препятствовать распространению атеистической литературы и укреплять власть Бурбонского королевского дома.
Возражения против инквизиции.
а) Инквизицию нельзя оценивать с точки зрения нашего времени, когда значительная часть общества равнодушна к религии или даже враждебна к ней. В те времена христианская идеология была государственной идеологией, религия рассматривалась как основа нравственности и вообще общественного порядка. В те времена спасение души было важнее жизни человеческого тела и нравственная честь была дороже жизни. Отрицание церковного авторитета являлось мятежом также и против государственной власти и угрожало целостности государства. В наши времена за политические преступления во многих государствах наказывают смертью. Поэтому не стоит удивляться, что правители католических государств наказывали смертью опасных преступников в своем государстве.
б) Неправда, что Церковь сжигала еретиков. Инквизиторы, поставленные Церковью, только формально отлучали от Церкви еретиков, которые фактически сами себя ставили вне Церкви своими преступлениями против Церкви. При этом, отлучению предшествовало следствие по доказательству еретиком антицерковной деятельности, попытки перевоспитать его. И только при закоренелости и упорстве еретика он отлучался от Церкви и передавался государственным властям для наказания в соответствии с его виной и законами государства как член государства, по требованию государства. Ни один еретик, отказавшийся от своих убеждений не был отлучен от Церкви и не был осужден государственной властью. А разве в наше время государство прощает преступников, если они признаются в своей вине и обещают исправиться?
в) Еретики, против которых действовала инквизиция (катары и им подобные) не были только религиозными мечтателями. Они организовывали вооруженные банды, грабили и убивали жителей, насиловали женщин, проповедовали восстание против церковных и светских властей. Разве католические руководители, обязанные заботиться о безопасности государства и его жителей, могли дать разбойничьим бандам безнаказанно совершать свои преступления? Разве в таком случае милосердие к бандитам не будет жестокостью к неповинным гражданам, жертвам бандитской деятельности еретиков?
г) Еретики не имеют право осуждать католическую Церковь за инквизицию. Руководство Церкви неоднократно напоминало инквизиторам об их обязанности воздерживаться от жестокости и слишком сурового обращения с обвиняемыми. Виновные инквизиторы отлучались Папой от Церкви. Осужденные имели право жаловаться на инквизиторов. Сами противники католической Церкви более жестоко обращались с католиками. Например, когда по вине Лютера, в Германии крестьяне восстали против своих князей, Лютер призывал князей убивать крестьян как бешеных собак и те убили около 150 тыс. крестьян. 50 тыс. крестьян были вынуждены покинуть родину. Эти цифры больше числа жертв-еретиков от государственной власти в Европе за 700 лет.
Лютер, Меланхтон, Бугенгаген и Кройцигер писали ландграфу Гессенскому 5 июня 1536 г., что еретиков следует физически наказывать, а в случае надобности убивать.
В протестантской Дании в 1777 и 1779 годах были изданы законы, согласно которым католическим монахам под страхом смерти запрещался въезд в страну. В Англии, Ирландии, Шотландии, Дании и Швеции наказывали смертью даже за совершение католического богослужения.
д) В Испании в обязанность инквизиторов входило также предохранять государство от атеистической литературы и тайных организаций, работавших во вред государству и Церкви. Справиться с этой обязанностью инквизиторы не могли. В Испании распространялись атеистические сочинения Вольтера и других авторов. Много членов тайных антихристианских организаций сумели поселиться в Испании и даже занять высокие церковные должности. Это им удалось потому, что в Испании всех духовных лиц поставлял король. Врагам Церкви удалось подчинить своему влиянию даже инквизицию. Масон Антон Льоренте даже стал каноником и был назначен королем секретарем главного инквизитора. Таким образом, инквизиция в Испании попала в руки масонов, самых яростных врагов Церкви и государства. Впоследствии Льоренте был изгнан из Испании за преступления против государства. Он поселился в Париже, где писал безнравственные романы и получал пособие от масонов. Он писал также об инквизиции в Испании, пытаясь представить инквизицию, как учреждение, позорящее Церковь. Он пишет о жестокости инквизиторов и об очень большом числе осужденных. Понятно, что его писания не содержат истины.
Согласно протестантскому автору Шеферу, исследовавшему историю инквизиции в Испании в XVI веке, обращение инквизиторов с подсудимыми было гуманным. Тюрьмы, в которых находились обвиняемые во время следствия, были очень легкого режима, настолько, что теперь об этом даже трудно иметь правильное представление. Заключенным было разрешено получать подарки, было достаточно света, имелась необходимая мебель, так что заключенные могли читать и писать (стр. 581).
е) Церковь критически относилась к деятельности инквизиции, особенно к пыткам. Применяемые инквизиторами пытки отличались от пыток, применяемых теперь судами нашего времени. Применяемые пытки не увечили обвиняемых и не вредили их здоровью, а только причиняли им временную боль. Пытка к обвиняемому могла быть применена только один раз. В силовых же органах современных государств применение пыток менее ограничено. Конечно в земной деятельности людей не все идеально, не исключение из этого и деятельность инквизиторов, но следует признать, что благодаря деятельности инквизиции удалось предотвратить множество плохих дел. Там, где деятельность еретиков не была своевременно прекращена - там произошли трагические события. Например в Чехии гуситы восстали против короля и развязали в стране гражданскую войну, длившуюся 17 лет (1419-1436). Запоздание вмешательства Церкви и государственных властей для запрета деятельности лютеранской ереси, дало возможность ей так окрепнуть, что она развязала в Германии и соседних странах гражданскую войну, длившуюся 30 лет (1618-1648), во время которой погибло 2/3 немецкого народа и объединение Германии было задержано на целые столетия.
ж) Церковь в своей материнской заботе о спасении душ своих детей была вынуждена иногда применять меры, связанные с причинением физических страданий (пытка, заключение), но упрекать ее в этом несправедливо, как несправедливо упрекать в жестокости и бессердечности хирурга, который, заботясь о физическом здоровье больного, бывает принужден причинить ему боль (стр. 574-582).
О Николае Копернике, Галилео Галилее, Джордано Бруно, Яне Гусе - "жертвах" церковной инквизиции (?).
Католическую Церковь ее противники очень часто обвиняют в жестоком преследовании инакомыслящих церковной инквизицией, в частности крупных ученых и общественных деятелей. При этом обвинения в ее адрес крайне невежественны: извращены и неверно истолкованы. Поговорим о таких "жертвах" подробно.
Н. Коперник (1473-1543).
Враги Церкви упрекают, что католическая Церковь осудила Коперника как основоположника современных представлений о Солнечной системе. А некоторые даже говорят, что Церковь его за научные взгляды сожгла.
Что было на самом деле? Коперник был человеком Церкви, занимавший ответственные церковные должности, помогая епископам. Кроме исполнения своих основных обязанностей он занимался астрономическими исследованиями. Результаты этих его исследований были использованы для реформы в 1582 г. календаря. Кроме того, Коперник много работал над новой теорией строения Солнечной системы, о которой уже знали многие влиятельные лица и противоречащей в то время господствовавшей с языческих времен системе Птоломея. Об этой теории Коперника знал и Папа Климент VII. Католические епископы уговорили Коперника напечатать в 1543 г. свой труд "Де революционибус орбиум целестиум либри VI" и Коперник посвятил его Папе Павлу VI.
Если система Птоломея считала, что центром Вселенной является Земля, вокруг которой вращаются планеты и звезды, то Коперник считал, что в центре Вселенной находится неподвижное Солнце, вокруг которого вращаются земля и другие планеты со звездами. Притом Земля движется вокруг своей оси, вокруг Солнца с наклоном оси своей орбиты вокруг Солнца, что обуславливает на земле времена года. Орбиты других небесных тел, законы и причины их движения Копернику известны не были и были открыты позднее. Эта теория Коперника была его гипотезой, научное же обоснование она получила только после открытий Галилея, Кеплера и Ньютона.
Католическая Церковь с Папой отнеслась к гипотезе Коперника терпимо и доброжелательно, и с 1543 по 1616 г. труд Коперника разрешено было читать и распространять, хотя большинство христианского общества было против теории Коперника, т.к. оно было новым учением и противоречило устоявшейся веками системе Птоломея. В связи с защитой Галилеем системы Коперника и попыткой его использовать теорию Коперника для вольного истолкования Священного Писания, Церковь во избежание преждевременного волнения умов от такого свободного толкования Священного Писания (ведь теория Коперника еще не стала научной истиной) до окончательного выяснения истины, запретила распространение труда Коперника. С установлением истинности учения Коперника запрет на его распространение был снят. Лютер и протестантские богословы более резко и дольше отвергали учение Коперника.
Следует также сказать, выводы церковной комиссии об ошибочности учения Коперника делались на основе экспертов-ученых астрономов, державшихся в то время ошибочных взглядов. И конечно церковные власти не могли лучше разбираться в астрономии, чем ученые-астрономы. Правильно будет поэтому сказать, что борьба шла не между научными представлениями Коперника и Церкви, а борьба шла между двумя различными астрономическими школами: Птоломея и Коперника, и как известно все новое утверждается в жизни в борьбе со старым. (см.: Я. Павловский, "Очерки истории католической Церкви, стр. 530-535).
Галилео Галилей (1564-1642).
Учение Галилея и открытые им законы расходились с учением ученых и философов его времени. Галилей разделял учение Коперника, но еще не осмеливался отвергнуть систему Птоломея. Вскоре он сконструировал телескоп и с его помощью сделал важные открытия в астрономии и в частности опровергнул неизменность Вселенной и пришлось признать, что земля тоже вращается. Научные успехи Галилея и поддержка его руководством Церкви мобилизовали против него противников его учения. В своих спорах с противниками несмотря на предупреждения своих друзей, он совершил ошибки: требовал решения Церкви по своим вопросам и ограничивал права богословов на вмешательство их в науку. Таким поведением он раздражал своих противников.
10 февраля 1616 г. советники св. Оффиция (министерства по делам веры) определили, что: гелиоцентризм и неподвижность солнца ошибочны, а земля - центр вселенной и неподвижна. На основе этого кардиналы инквизиции запретили Галилею распространять свое учение. Галилей согласился на это, но продолжал свои исследования и написал новый труд "Диалоги", в котором отстаивал учение Коперника, чем нарушил свое обещание не распространять свои взгляды. За это Галилея вызвали в суд и заявили, что его учение противоречит св. Писанию. Галилей отказался от своего учения и подчинился решению суда. Галилей был признан "подозреваемым в ереси" и приговорен к тюремному заключению с наказанием отговаривать 3 года каждую неделю по 7 покаянных псалмов. Но на следующий день Папа отменил тюремное заключение и заменил его ссылкой на виллу герцога на Тринита деи Монти, а затем он получил право поселиться на своей вилле около Флоренции и заниматься научными трудами. Галилей умер на своей вилле, как верный католик, получивший святые таинства и благословение от Папы. Слова Галилея о Земле: "А все таки она вертится!" - сказка, придуманная примерно через 100 лет после смерти Галилея.
Относительно ошибочного решения трибунала инквизиции по делу Галилея, следует иметь в виду:
а) Система Птоломея согласовывалась с философией Аристотеля, считавшегося крупным авторитетом в области философии, взятой в значительной своей части на вооружение Церковью. Противники же Галилея были поклонниками Аристотеля.
б) Почти все были убеждены, что система Коперника противоречит Библии. Церкви в борьбе с лютеранством, отвергавшим Коперника, приходилось быть очень осторожной в истолковании Библии в связи с новыми научными учениями, чтобы не скомпрометировать себя перед протестантами.
в) Доказательства Галилея в защиту учения Коперника не были достаточны. Система Коперника получила научное подтверждение после открытия Ньютоном закона всемирного тяготения, кроме того, в учении Галилея были ошибки: Солнце не есть центр Вселенной и морские приливы и отливы возникают не как следствие вращения земли вокруг своей оси.
Осуждения Галилея - не доказательство ошибочности Папы в вопросах веры и морали. Дело Галилея - это вопрос не веры и морали, а астрономии, математики и т.п. Кроме того, ошибочное решение вынесено не Папой, а Конгрегацией инквизиции. И в деле Галилея борьба шла не между Церковью и наукой, а между двумя научными школами. (Я. Павловский, "Очерки истории католической Церкви", стр. 535-541).
Джордано Бруно (1548-1600).
Бруно не был ученым. Он не был даже христианином, т.к. отрицал Божество Христа, называл Христа обманщиком, считал, что мир вечен, учил пантеизму. Он исповедывал не только ересь, но и опасные принципы для человеческого общества: отрицал право на личную собственность, считая ее воровством; требовал многоженства; отвергал происхождение человечества от одной человеческой пары; он учил об эволюции без участия Бога; он отрицал Св. Причастие; признавал реинкарнацию человеческих душ в души животных; он был антисемитом.
Будучи арестован в 1592 г. его 8 лет терпеливо убеждали отречься от своих заблуждений. Но он упорствовал. Как неисправимый еретик он был передан светской власти и по государственному закону того времени, как общественно опасный преступник был казнен через сожжение. Перед смертью ему было предложено раскаяться перед распятием Христа, но он с презрением отверг от себя распятие. (Я. Павловский, "Очерки истории католической Церкви", стр. 541-543).
Иоанн Гус (1369-1415).
Гус - сторонник учения Виклифа, проповедовал его учение в Пражском университете и вне его. Вследствие этого возникли беспорядки. Пражский епископ запретил ему проповедовать, но Гус не повиновался и тогда был вызван в Рим, но туда не явился и, имея покровительства короля Вацлава, продолжал нападать на установления Церкви, за что Папа отлучил Гуса от Церкви, а на Прагу наложил интердикт - запрет совершать в ней богослужения. Тогда Гус отправился на место своего рождения - в Гуслицы, где подстрекал население против Церкви.
В своем учении Гус отрицал власть Папы, признавая главою Церкви только Христа. Истинными членами Церкви считал только праведников и поэтому они не могут быть отлучены от Церкви никакою властью. Священник и всякий начальник, совершивший смертный грех, якобы теряет свою власть и не может требовать себе послушания.
В 1414 г. в Констанце состоялся Вселенский собор и Гус обратившийся к собору, получил от имп. Сигизмунда охранную грамоту для проезда на собор. Для свободного общения Гуса на соборе с него было снято отлучение от Церкви. Но Гус воспользовался этой свободой для проповеди своего учения и тогда за это был посажен в тюрьму. Собор рассмотрел дело Гуса и призвал его несколько раз отказаться от заблуждений. Но Гус отказался. Тогда собор признал его еретиком и передал в руки светской власти с просьбой не предавать его смерти, но ограничиться пожизненным заключением. Светский суд, руководствуясь законами того времени против еретиков, приговорил Гуса к сожжению. (Я. Павловский, "Очерки истории католической Церкви", стр. 612-613).
2. Из книги:
С.Г. Лозинский "История инквизиции в Испании".
В 1215 г. 12-й Вселенский собор упрекнул испанское духовенство за пассивное отношение к нехристианам (ввел особые знаки на одежде мусульман и иудеев и запретил строить новые синагоги). В 1312 г. Виенский, 15-й Вселенский собор вновь потребовал ограничения свобод для нехристиан. Но власти Испании игнорировали требования соборов об ограничении свобод для нехристиан. Тем временем иудейские финансисты грабили испанский народ, а некоторые иудеи были у власти, около короля.
При короле Генрихе II Трастамаре началось решительное наступление на иудеев. Антииудейское движение возглавил генеральный викарий Севильского архиепископа - Феран Мартинес. Севильские иудеи жалуются в Рим, Папе на их преследование и в 1378-80 гг. Папа запрещает преследование иудеев. От гонений и ограничений многие иудеи, ради материального процветания, принимают христианство.
В 1391 г. вновь начинается антииудейское движение, в нем участвует много ремесленников. Это движение позднее историками названо социальной революцией. Под влиянием этого движения крестилось свыше 10 тыс. иудейских семей, около 1 млн. человек. Очень многие крестились под влиянием миссионера-доминиканца Виссенте Ферера (1350-1419). Крестившихся иудеев называли мараны. Но многие иудеи крестились лицемерно, тайно исповедуя иудаизм. Своим бессовестным поведением они вызвали ненависть народа (стр. 25). Благодаря еврейской солидарности и предприимчивости иудеи при короле Фердинанде и его жене Изабелле заняли в Испании господствующее положение. Так, двое из них заседали в высшей королевской канцелярии, один был генеральным судьей в Арагонии, другой генеральным казначеем. Маранами-лицемерами были губернатор Арагонии, хранитель печати Арагонии, секретарь министерства юстиции. Были из их числа епископы, генеральные викарии и т.д. Многие мараны, тайно исповедуя иудаизм, распространяли еретические взгляды. С маранами-лицемерами началась борьба, так как их поведение угрожало государству и Церкви. В 1476 г. издан особый катехизис для маранов, духовенство получило указания наблюдать за искренностью маранов в вере.
Тем временем, ересь, распространяемая выходцами из маранов охватила Севилью, Андалузию и Кастилию. Фердинанд и Изабелла просят Папу Сикста IV учредить в Испании инквизицию, но при этом король требовал от Папы, чтобы назначение инквизиторов зависело от светской власти, а не от Церкви и чтобы конфискованное имущество шло в доход государству, чтобы инквизиторы были орудием светской власти, и лишь епископы-еретики подлежали папскому суду. В 1481 г. инквизиция начала действовать. Диего де Сусан - миллионер, призвал к вооруженному сопротивлению инквизиции в Севилье, создал заговор с целью убийства инквизиторов, но заговор был раскрыт.
В январе 1482 г. Папа Сикст IV порицает действия инквизиции, сожалеет о ее введении и требует ограничения ее деятельности, угрожает санкциями (стр. 53-54). В апреле 1482 г. Сикст IV издает вторую буллу против инквизиции для Арагонии (стр. 57-58). Но король Фердинанд противится требованиям Сикста IV. В мае 1483 г. Сикст уступает Изабелле в недопущении жалоб в Рим на приговоры испанской инквизиции и поручает прием жалоб Севильскому архиепископу Иньиго Манрике (стр. 61-62). Но и Сикст IV продолжает принимать жалобы на испанскую инквизицию и отменяет некоторые ее приговоры (стр. 62). Папа говорит, что богоугодное дело - это не чрезмерная строгость к виновным, а снисходительность, мягкость и сострадание. Он желает, чтобы раскаявшихся не преследовали (стр. 62) и дали им все права, как будто бы они и не грешили (стр. 62).
Устройство инквизиции.
Супрема - высший генеральный совет инквизиции. Создан в 1483 г. Во главе его Президент - Генеральный инквизитор. Он назначает и смещает инквизиторов. Сам же президент назначается королем и утверждается Папой. Король не мог его сместить, но мог заставить его сложить полномочия. В Супрему входили несколько духовных лиц и 2 человека из Государственного Совета. Задачи Супремы: обнародование общих правил по деятельности инквизиции, контроль за деятельностью трибуналов, решение спорных вопросов, ревизия трибуналов. Супрема могла остановить следственный процесс (стр. 62-63). В Супрему обращались с обжалованием приговора и за помилованием (стр. 64).
Король Фердинанд запрещает насильственно обращать в христианство (стр. 128) и запрещает преследование лиц, советующих не принимать христианство (стр. 128-129).
Иудейство поддерживало маранов-еретиков, тайно проповедовало иудаизм, оскорбляло христианство. Кроме того, возникла опасность союза иудейства с исламом. Все это поставило вопрос о необходимости выселения иудеев из Испании. 31 марта 1492 г. был издан эдикт выселения не принявших христианство евреев из Испании. Всего выехало около 800 тыс. человек.
После взятия Гранады христианами, маврам предложено покинуть Испанию или принять христианство. Принявшие христианство назывались морисками. Они подлежали наблюдению со стороны инквизиции, но к ним, как к новообращенным относились снисходительно. Инквизиция тратила много средств на религиозное образование морисков, но мориски упорствовали в исламе. Опасаясь их размножения и усиления влияния в стране и союза их с зарубежными мусульманами-врагами Испании, решено в начале 17 века их выселить из Испании в Африку. Выселено около 500 тыс. человек.
Выезд из Испании иудеев, мавров, морисков подорвал экономику Испании, так как среди выехавших было много ремесленников и торговцев.
Толедский архиепископ Силицео доказывает с помощью переписки испанских иудеев с иудеями константинопольскими (захвачены их письма) о заговоре иудеев против Испании (стр. 216-218).
Мараны пытаются реформировать инквизицию (либерализовать ее): они подкупают вождя восстания "коммунерос" - Падильо (его мать еврейка), чтобы тот лозунги либерализации инквизиции включил в требования восставших и жалуются Папе Льву X. Папа готовит буллу о либерализации инквизиции, но Карл V противостоит этому и доказывает, что еретики обманывают Папу. Папа верит и отменяет реформу инквизиции в Испании.
Король Португалии Мануель в 1497 г. издает эдикт о выселении иудеев из Португалии, но затем решает насильно отобрать у них их детей от 4-20 лет и отдать их на воспитание в христианские семьи. Церковь в лице епископа Фернандо Котиньу против этого. Король же делает по своему. Взрослые иудеи просят короля исполнить эдикт о выезде их из страны, но король отказывает им и крестит их насильно. Мавров же из страны отпускают. Крестившиеся насильно евреи-мараны тайно иудействуют. Инквизиция относится к этому терпимо, считая маранов еще "зелеными" христианами.
Папа Климент VII, 7 апреля 1533 г. издает буллу, что насильно крещеные не являются христианами и за отпадение от христианства преследоваться не должны. Папа отменяет все репрессии и конфискации имущества маранов и требует высылки ему дел обвиненных в ереси. Но опираясь на поддержку короля и народа, трибуналы не всегда слушались Папы и продолжали судить маранов. Папа Павел III продолжает линию Климента VII к маранам Португалии, но затем частично уступает доводам имп. Карла V и португальского короля Иоанна III. Но все же Павел III гумманизирует инквизицию. Однако инквизиция, поддержанная королем, преследует маранов. 23 августа 1604 г. маранам дана амнистия.
Кроме борьбы с тайно иудействующими, исламствующими, инквизиция борется с протестантизмом (лютеранством). Но испанцев за лютеранство пострадало мало, больше пострадало иностранцев-лютеран, приехавших в Испанию проповедовать лютеранство.
Подвергались преследованиям иллюминаты, учившие, что "подвигнутые" Духом Святым (харизматики, пророки и т.п.) могут не совершать религиозных обрядов. Так как трудно было определить "подвигнуты" они Духом Cв. или дьяволом, то инквизиция их проверяла. Но в целом относилась к ним терпимо и если наказывала их, то легко.
С конца 17 века инквизиция стала преследовать молинизм. В 1559 г. она начинает преследовать духовенство по обвинению в соблазне женщин и мужчин на исповеди их духовником к половой жизни с ними. За это наказывались: лишением права исповедывать, заключением и эпитимией. Инквизиция преследовала двоеженство христиан, вступление в брак духовенства. Наказание за это: каторга 3-5 лет, высылка и лишение сана.
С 1500 г. инквизиция преследует за гадание, магию (если в них есть элементы ереси), колдунов, астрологов, ведьм. Первый случай преследования ведьм был в 1498 г. Супрема считала, что вера в ведьм и колдовство это болезнь, а не преступление и надо за это наказывать умеренно. Показания ведьм об их преступлениях считали больным воображением.
В 18 веке инквизиция начинает борьбу с масонством (в 1726 г. масонская ложа в Гибралтаре, затем в Мадриде). 28 апреля 1738г. Папа Климент XII призвал к борьбе с масонством. В этом же веке инквизиция борется с ересью натурализма - французским просветительством, особенно распространенной среди аристократии. Инквизиция занималась цензурой книг, живописи, медалей и т.п.
Для смягчения деятельности испанской инквизиции Римская Курия давала индульгенции, исповедные грамоты, рескрипты, буллы от Сикста IV, Иннокентия VIII, которые освобождали людей от наказаний, возложенных на них инквизицией. Испанский король Фердинанд в июне 1485 г. письменно известил высшее духовенство о непризнании этих папских документов до выяснения их подлинности. Впоследствии между папами и королями с переменным успехом шла борьба за влияние на испанскую инквизицию. В 1705 г. в Испании издан закон, запрещающий опубликование без разрешения короля любых папских постановлений и булл и не допускать никаких апелляций в Рим.
Папами Иннокентием IV и Григорием X, 4.07.1247г. и 7.07.1273г. в защиту евреев от обвинения их в употреблении христианской крови на Пасху (с.465-467) были изданы буллы.
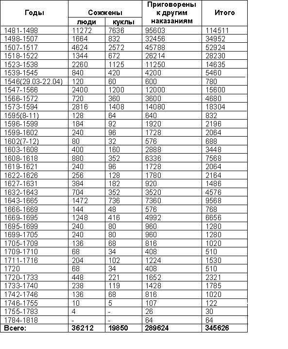
Жертвы испанской инквизиции по годам:

3. Из книги:
Антоний Ваплер, "История римско-католической Церкви", Одесса, 1899 г., стр.158-162.
...Все упомянутые секты разрослись в конце ХII века, в особенности в юго-западной Франции, где от города Альби получили общее название альбигойцев. Пользуясь покровительством некоторых графов и местных вельмож, сектанты стали поступать все более дерзко и явно проповедывать свое учение. Не ограничиваясь одним распространением своего учения, они грабили и истребляли храмы, издевались над священными сосудами, нападали на священников и убивали их; словом поступали с католиками "с большей жестокостью, чем магометане". Отлучение их на многих синодах не исправляло их, а делало еще более враждебными. Папа Иннокентий III посылал к ним благоразумных священников, старавшихся их образумить путем бесед и вернуть их в лоно Церкви. Но эти усилия были бесплодны и сектанты убили папского легата Петра Кастельнау. После этого сектанты образовали вооруженный союз. Католики при угрозе их истребления были вынуждены прибегнуть к самообороне и предприняли крестовый поход на альбигойцев и их защитников. Война длилась 20 лет (1209-1229). По уничтожении союза сектантов следовало, во избежание новых кровавых войн, предотвратить новое образование тайных сектантских обществ. В связи с этим, согласно одобренному на IV Латеранском Соборе постановлению, Тулузкий Синод, в 1229 г. учредил епископский суд против еретиков, получивший название инквизиции. На обязанности епископов было: производить расследование о лицах, обвиняемых в сектантстве, иметь над ними надзор и стараться беседами и поучениями обратить их на путь истины и вернуть в лоно Церкви, а упорных в своих заблуждениях и враждебно относящихся к католикам, предавать в руки светской власти, для поступления с ними в соответствии с существовавшими тогда государственными законами.
В средние века на еретиков смотрели как на политических преступников. В христианских царствах государственная власть опиралась на власть Церкви и обе власти состояли в неразрывном единстве. Поэтому каждое покушение на Церковь признавалось и за покушение против общественного спокойствия и против государственной власти. Государство наказывало виновных как бунтовщиков и изменников: конфискацией имений, пожизненным заключением в тюрьму и даже смертной казнью сожжением на костре. Столь строгое наказание еретиков может быть оправдываемо только характером тогдашних сект, несдерживавшихся ни в чем в ненависти и поставивших себе целью полное истребление христиан-католиков. Они отвергали не только определенные пункты учения Церкви, но все христианство, провозглашая взамен его уничтожение нравственности и разрушение основ общественной жизни. Погрязнув в пороках, они стремились к ниспровержению церковного и политического порядка. Смело можно утверждать, что сектанты, с такими стремлениями и в настоящее время не были бы пощажены. Если некоторые из протестантских писателей возлагают на католическую Церковь ответственность за суровое преследование сектантов, то это происходит потому, что эти писатели, сами относясь враждебно к католической Церкви, не желают принимать во внимание особых условий тогдашней жизни и характера тогдашних ересей.
Обвинения Церкви в допущении и оправдании жестоких кар против еретиков преувеличены, хотя, к сожалению, злоупотребления со стороны некоторых работников инквизиции были. Однако инквизиция несомненно положила предел массовому истреблению сектантов, спасла многих от неминуемой смерти от светских людей, ибо тогдашнее государственное законодательство сурово карало за преступление против Церкви.
Инквизиционно-церковный суд не был так страшен, как представляют его враги Церкви. Суд этот предоставлял обвиняемому время вникнуть в самого себя, принимал в основу оправдание и, по сознанию в вине и изъявлении готовности исправиться, ограничивался назначением лишь эпитемии и осуждал только упорствующих виновных, распространявших свое лжеучение с помощью насилия. Приговор над такими сектантами всегда основывался или на собственном признании виновного или на несомненных свидетельских и других доказательствах. Признанных инквизиционным судом виновных в ереси, затем еще предавали светскому суду, определявшим меру наказания. Некоторые инквизиторы, возмущенные коварством сектантов были к ним слишком суровы, но обвинять Церковь в этом несправедливо, ибо папы всегда сдерживали излишнюю ревность таких инквизиторов, обязуя их руководствоваться долгом справедливости, снисхождения и милосердия. Так, например папа Григорий IХ воспретил всякое преследование мирно проживающих еретиков; он писал: "Воля Бога в том, чтобы Церковь была свободна, Церковь должна защищаться; но оборона не должна превышать пределов человеколюбия". "Бог не желает смерти, но желает исправления заблудшихся" Так же поступали Иннокентий IV, Бонифаций VIII и другие.
Новые исторические исследования показали, что описание жестокостей некоторых инквизиторов, например, Конрада Марбургского, исповедника святой Елизаветы или целиком вымышлено или же преувеличено.
Возвращаясь еще раз к упрекам в адрес Церкви, надо разъяснить, что вводя инквизицию Церковь не проявила "тиранства духа" и "кровавой мести". Ибо основные начала тогдашних сектантов не были цветом духовного развития человечества; а инквизиция, на жестокость которой враги Церкви делают указания, никогда и нигде не служила преградою к истинному развитию и прогрессу человечества. Церковь никогда и нигде не домагалась введения смертной казни, совершавшейся в средние века над еретиками, в силу только тяжести их преступлений и считавшейся необходимым средством к ограждению общества от уничтожения в нем нравственного и общественного порядка. После вековой борьбы, когда наконец было признано возможным прекратить преследование смертью за отступничество, со стороны вождей протестантизма не только оправдывалась смертная казнь над признаваемыми ими еретиками, но на самом деле казнь многократно приводилась в исполнение и совершалась с неумолимой жестокостью не смотря на то, что эти вожди одновременно проповедывали свободу совести и свободу вероисповеданий. Впрочем, и даже в том случае, если бы признали за истину преувеличенные описания жестокостей, будто бы совершавшихся во время инквизиции, то и тогда в результате, все таки,оказалось бы, что инквизиция не истребила столько людей, сколько их погибло в странах, где протестантизм вводился силою государственной власти; например: в Великобритании, Голландии, в Северных немецких странах, где губили католиков только за их веру.
Однако, следует отличать церковную инквизицию от испанской инквизиции, которая была преимущественно политическим учреждением, верховным государственным судом. Правда, эта инквизиция производила суд над еретиками и за известного рода преступления их против нравственности; но главною целью этих судов было служить политическому абсолютизму, служить средством для истребления морисков и маранов (лицемерно крестившихся мавров и евреев - примечание составителя), имевших тайные сношения с мусульманами, населявшими Африку. Кроме того, испанская инквизиция была орудием к удержанию в повиновении дворянства и духовенства и посредством конфискации имущества служила обогащению государственной казны. Если в инквизиционном суде были представители духовенства, как например Торквемада, то они имели власть не как члены католической Церкви, а как назначаемые и увольняемые королем королевские чиновники. Жестокость испанской инквизиции критикуется справедливо, но и об ней враги Церкви распространяют преувеличения. Наконец, ни под каким предлогом, нельзя относить жестокостей испанской инквизиции к действиям церковной инквизиции, ибо сами папы, как например: Сикст IV, Лев X, Григорий XIII, Павел III своим авторитетом и властью мешали введению испанской инквизиции в Неаполе. Инквизиция в Венеции, подобно испанской, также была чисто политическим учреждением, с помощью которой вожди политических партий старались укрепить свою тираническую власть, которая не имела ничего общего с Церковью.
4. Из книги на польском языке.
(фамилия автора и название книги не сохранились).
Для отделения христиан от еретиков нужен был компетентный орган в этих вопросах. Таким органом был инквизиционный-сыскной трибунал из теологов и апологетов. Он возник в период альбигойских войн.
Процесс тамплиеров в 1312 г. был проведен не через инквизицию, а через королевских чиновников. Суд над Жанной д`Арк также проведен был не инквизицией. Это был суд посредством самозванного трибунала, подкупленного Англией. В XV веке инквизиция возрождается в Испании. Инквизиционные трибуналы имели своей целью не только осуществление справедливости, но и, главным образом,- спасение душ. Инквизиторы были не только судьями, но и исповедниками. Поэтому на должности инквизиторов подбирались лучшие люди из наиболее любимых народом орденов: доминиканцев и францисканцев. Многие из них стали героями. Примеры: Конрад из Марбурга, Роберт-"горожанин", Деза, Торквемада и др. Многие канонизированы, например св. Петр из Вероны мученик 1252 г.
По приказу из Рима инквизитор приезжает на свое место, заручается содействием местных духовных и светских властей и приступает к созданию трибунала. Он приглашает 2-х судей асессоров (один местный епископ, другой из монахов, затем нотариуса с секретарями, писарями, затем выбирают заседателей - лавников в количестве 6-8 или 12 человек из честных местных жителей. Заседатели обязаны были выражать свое мнение о нравственности и искренности всех свидетелей, а также контролировать с правом "вето" все показания, акты, протоколы, просьбы и т.д. Затем принадлежали к трибуналу многочисленные законоведы духовные и светские часто числом до 50 человек. Такой состав трибунала давал гарантию полной справедливости в пределах человеческих возможностей.
Перед началом действия трибунала давалось "время благодати". Оно длилось не менее 30 дней, широко рекламировалось, сопровождалось лекциями и диспутами об истинах веры. И каждый раскаявшийся еретик за это время, добровольно явившийся в трибунал, освобождался от ответственности за свои прежние ошибки и не мог быть арестован светскими властями. Нераскаявшиеся враги святой веры за "время благодати" могли убежать с территории действия трибунала (что и сделал Лютер). После "времени благодати" начинала действовать справедливость, народ сам сообщал о врагах веры. Инквизиционный трибунал имел свою сыскную полицию, содержащуюся за плату. Среди них были часто грубияны, насильники и искатели наживы. Их наглость происходила от их неприкосновенности за принадлежность к инквизиции. Но и они подлежали суровой ответственности при раскрытии их недобросовестности.
В отличие от светских судов инквизиция изучала и выслушивала свидетелей от еретиков и фамилии этих свидетелей не разглашались. Кроме того, наиболее достойные граждане, знавшие свидетелей обязаны были присягать о положительной характеристике свидетелей. Лжесвидетели наказывались смертью, так как средние века были временем веры и нравственной чести. Малейшая недобросовестность в показаниях свидетелей вела следствие в пользу обвиняемого. Нельзя было судить не заслушав всех свидетелей со стороны обвиняемого. Не явившийся в трибунал по его требованию, арестовывался. Предварительного заключения, как теперь, не было. Если вызванный еретик признавался в заблуждениях и раскаивался, то место суда занимал исповедник и на этом дело кончалось. Упорствующие подлегали суду и они получали адвоката. Во время процесса обвиняемый мог усомниться в беспристрастности судей и даже самого инквизитора. Наконец обвиняемый имел право апелляции в Рим и это надолго останавливало действие местной инквизиции. Пытки вначале были запрещены каноническим правом, но с 1252 г. их было разрешено применять в исключительных случаях при следующих условиях:
- Никогда по желанию инквизитора и никогда в его присутствии.
- Пытки применялись как крайность с согласия местного епископа и только через посредство светских властей.
- Применять их следовало так, чтобы они не вели к потере здоровья или к калечению. Каждое признание от боли не считалось действительным, если обвиняемый его не повторил добровольно перед судом не менее, чем через 24 часа.
В те времена пытки были повсеместным явлением и не считались чем то необычным, ибо люди были более мужественны. Наконец, в те времена люди больше ценили достоинство души, чем удовольствия тела и спасение души, по мнению большинства верующих, оправдывало страдание тела. Наконец, пытки применялись очень редко. В период ведения следствия, заключенному создавали условия разувериться в своих заблуждениях. Например: одиночное заключение, диспуты с епископом, даже с главным инквизитором.
Наказания осужденных были разнообразны:
- жертва свечи для алтаря и участие в крестном ходе,
- денежный штраф,
- телесное наказание,
- выставление у позорного столба,
- клеймование,
- наказание заключением,
- конфискация имущества,
- изгнание,
- передача преступника в руки светской власти, ведущую часто к смертной казни. Но в последнем случае требовалось осужденного церковным судом судить еще государственным трибуналом. Таким образом, смерти подлегали только закоренелые еретики.
Передача осужденного светской власти сопровождалась торжественной церемонией с богослужением, выступлением миссионеров и раскаявшихся вождей еретиков. Осужденных снова призывали к покаянию и при их отказе от покаяния, начиналось, после зачтения дела и приговора, отлучение от Церкви. Затем шел государственный суд, где отлученному от Церкви добавлялись политические обвинения. Наказание наступало не раньше следующего дня. Первая часть церемонии называлась "auto dafe" - акт веры. Это религиозная церемония и при ней никого не сжигали.
5. Из книги:
Х. А. Льоренте "История испанской инквизиции" (Москва, 1999 г.).
Уже император Восточной Римской империи Феодосий (379-395) в 382 г. издал закон против манихеев, повелевавший подвергать их высшей мере наказания, конфисковать их имущество в пользу государства и поручал префекту претории учредить инквизиторов и доносчиков, чтобы обнаруживать тайных манихеев (том 1, стр.57). Преемники Феодосия видоизменяли эти законы сообразно с обстоятельствами времени. Бывали законы угрожавшие еретикам преследованием, если они не отрекутся добровольно от ереси, но прежде их предупреждали, что если они обратятся в определенный срок, то будут допущены к примирению с Церковью и понесут лишь каноническое наказание. Им помогали разувериться в своих заблуждениях (там же стр.58). Отказавшиеся примириться с Церковью наказывались: штрафами, изгонялись из городов, подвергались ссылке, лишались имущества, повергались порке кожаными ремнями, иногда карались смертью (стр.58).
Император Гонорий (393-423), сын Феодосия I в 408 г. приказал казнить смертью донатистов. Вернувшихся от христианства к язычеству король Рекаред I (586-601) на 3-м Толедском соборе в 589 г. предложил разыскивать и наказывать соразмерно с преступлением, но без приговора к смертной казни. На 4-м Толедском соборе в 633 г. постановлено с согласия короля Сисенанда, что иудействующие еретики будут отданы в распоряжение епископов для наказания, чтобы они под страхом вновь второй раз отреклись от иудаизма, у них должны отбирать их детей и освобождать их рабов.
В 655 г. 9-й Толедский собор постановил, что крещенные евреи должны праздновать христианские праздники. Не подчинившиеся этому должны наказываться кнутом или постом, в зависимости от возраста виновных. На 12-м Толедском соборе 681 г. постановлено, что виновный дворянин подвергнется отлучению от Церкви и изгнанию, а раб - наказанию кнутом; если же господин не может за него отвечать, то он делается собственностью короля.
В 693 г. на 16 Толедском соборе добавлен закон, по которому сопротивляющийся епископам и судьям оставить идолопоклонство должен быть отлучен от Церкви и оштрафован в 3 фунта золотом, если он дворянин; а если он человек низкого происхождения, то должен получить 100 ударов кнутом, быть обрит и лишен половины своего имущества (с.59-60).
В 811 г. Византийский император Михаил I (811-813) возобновил законы о присуждении манихеев к смертной казни (с.63). В 1022 г. во Франции разоблачили еретиков-манихеев. Епископы пытались их примирить с Церковью, но они не согласились. Тогда их отлучили от Церкви, священников лишили сана, а король, прибывший в Орлеан повелел их предать сожжению (с.64).
В связи с вооруженным восстанием альбигойцев против католической Церкви на Латеранском (11-ом Вселенском) соборе в 1179 г. члены собора заявили, что хотя Церковь не одобряет наказаний, при которых проливается кровь еретиков, она не отказывается от предлагаемой ей христианскими государями помощи для их наказания, потому что страх смертной казни является иногда душеполезным средством.
Папа Лука III в 1184 г. собрал поместный собор в Вероне, на котором присутствовал император Фридрих I. На этом соборе ввиду распространившегося равнодушия к церковной дисциплине постановлено передавать в руки светского правосудия всех отлученных от Церкви еретиков (с.69-70).
9 марта 1208 г. альбигойцами был убит Пьер де Кастельно - представитель Папы в апостольстве по обращению альбигойцев (с.78).
В 1215 г. созван 12 Вселенский собор, который в связи с вооруженными насильственными действиями альбигойцев против католиков, постановил: нераскаявшиеся еретики должны передаваться светской власти для наказания, сеньоры должны изгнать еретиков из своих владений, и проч. (с. 80-83).
В 1224 г. 22 февраля германский король, будущий император Священной Римской империи германского народа Фридрих II издал закон, по которому, отлученные Церковью еретики будут наказываться соответственно их преступлению вплоть до смертной казни. Раскаявшиеся под страхом смерти еретики примут каноническую эпитимию (с.85-86).
В период Папы Григория IX (1227-1241) Фридрих II возобновил закон 1224 г. против еретиков наказанием их через сожжение или отрезание языка (с.93).
Инквизиция и иудаизм.
Огромная торговля, ведомая испанскими евреями, сосредоточила в их руках в XIV веке большую часть богатств Испании и благодаря этому они приобрели большое влияние на управление страной в Кастилии в царствование королей: Альфонса ХI (1312-1350), Педро I (1350-1369), Генриха II (1369-1379), a в Арагоне при Педро IV (1336-1387) и Хуане I (1387-1395).
Христиане, не смогшие соперничать с евреями в промышленности, почти все стали их должниками, и эта их зависимость от евреев сделала их врагами своих заимодавцев. Это стало причиной народных антиеврейских волнений почти во всех городах обеих королевств вплоть до Наварры. В 1391 г. от народной ярости погибло около 5 тыс. евреев, некоторые из них избежали смерти, став христианами. Другие евреи спешили принять крещение и вскоре более 100 000 еврейских семейств, это около 1 млн. человек, отказались от иудаизма и стали христианами. Число обращений значительно выросло за первое десятилетие XV века, благодаря миссионерской деятельности св. Висенте Ферреры и других миссионеров, критиковавших иудейский закон. Им помогли происходившие в 1423 г. знаменитые диспуты между некоторыми раввинами и обращенными в христианство евреями: Иеронимо де Санта-Фе, бывшим талмудистом и другими талмудистами, ставшими христианами: раввином Соломоном Леви, Астрюком Раймундом и прочими.
Эти крестившиеся евреи стали называться новохристианами. Оставшиеся верными иудаизму евреи называли евреев-христиан маранами и презирали их.
Многие евреи крестились из-за страха и карьеризма, ибо крестившись они получали доступ к высоким должностям. Многие из крестившихся евреев раскаялись в этом и вернулись к иудаизму, исповедуя его тайно, а внешне прикидывались христианами. Лицемерие и коварство этих евреев было раскрыто и послужило причиной введения в Испании инквизиции для разоблачения вредоносной деятельности тайных, лицемерствующих иудеев в христианской Церкви и в государстве и исключения их из Церкви. (см. том I, стр.143-145).
Распространялись слухи, что во многих местах королевства новохристиане вместе с некрещенными евреями издеваются над иконами Иисуса Христа и даже распинают христианских детей, чтобы представить страдания и смерть, которым был подвергнут Спаситель мира.
Альфонсо де Охеда рассказал Фердинанду (королю) и Изабелле (королеве), что один рыцарь из семьи де Гусман, тайно спрятавшись в семье одного еврея, дочь которого он любил, видел там совершение этого преступления в день, когда христиане празднуют установление Евхаристии (там же стр.146).
В 1480 г. один еврей обнародовал сочинение, в котором нападал на управление Фердинанда и Изабеллы и говорил много дурного о христианской религии. Духовник Изабеллы на следующий год опубликовал ответ на это сочинение под заглавием: "Католическое опровержение еретического пасквиля, вышедшего в Севилье в 1480 г." (там же, стр.147).
В начале 1480 г. в Толедо состоялось общее собрание кортесов королевства. На нем занялись делами религии и особенно средствами воспрепятствовать злу, которое может быть причинено католической вере общением иудеев с христианами. Были возобновлены старинные узаконения, между прочим то, которое обязывало некрещенных евреев носить на одежде отличительный знак, помогавший их распознавать, жить в отдельных кварталах, называемых еврейскими, и возвращаться в них до полуночи, и запрещало им профессии медика, хирурга, купца, цирюльника и кабатчика (там же стр.148).
При организации инквизиции было решено не допускать в среду судей и к делам святого трибунала ни одного епископа, ни наместника или генерального викария, происходящих из евреев, независимо по мужской или женской линии (там же стр.159).
Евреи Арагона противились деятельности инквизиционного трибунала и организовали ему вооруженное сопротивление, проявившееся в частности в заговоре на преднамеренное убийство доктора Педро Арбуеса д`Эпилы, главного инквизитора Сарагоссы. Заговорщики обложили налогом всех арагонцев еврейского происхождения для финансирования убийства Педро Арбуеса. Хуан де ла Абадиа, арагонский дворянин еврейского происхождения, возглавил заговор по убийству. Исполнение убийства поручено группе лиц. Покушения несколько раз не удавались. 15 сентября 1485 г. после 11 часов вечера, когда инквизитор молился, убийцы закололи его шпагой и Педро Арбуес 17 сентября умер. Старохристиане (христиане не еврейского происхождения) начали преследование еврейских убийц, и лишь епископ Альфонс Арагонский сдержал толпу жаждавшую мести (там же стр.175-177). Впоследствии мученик Педро Арбуес был причислен к лику святых.
В 1492 г. некрещенные евреи были изгнаны из Испанского королевства. Иудеев обвиняли в подстрекательстве к вероотступничеству евреев-христиан. Им приписывали много преступлений против христианской религии и спокойствия государства. Вспоминали закон из, так называемого, "Свода частей", изданного в 1255 г. Альфонсом Х, в котором говорится об еврейском обычае похищать христианских детей и распинать их в великую Пятницу для осмеяния воспоминаний о Спасителе мира. Рассказывали историю св. Доминика де Валя, ребенка из Сарагоссы, распятого в 1250 г.; говорили о краже св. Причастия в Сеговии в 1406 г. и об издевательствах евреев над ним; говорили о заговоре в Толедо в 1445 г. с целью организовать пороховые взрывы на улицах при праздновании Св. Евхаристии; о заговоре в Таваре, в местечке между Саморой и Бенавенте, где видели как иудеи разбрасывали железные капканы на улицах, по которым должны были бежать без обуви жители при пожаре их домов. Вспоминали мученическую смерть детей, похищенных в 1452 г. в Вальядолиде и умерщвленных подобно Христу, а также в 1468 г. в Сепульведе, в епархии Сеговии. Припоминали издевательства над крестом в 1488 г. на поле "Убежище лани", между местечками Касар и Гранадилья, в епархии Кории; похищение ребенка из города Ла-Гуардия, в провинции Ла-Манча, в 1489 г. и его распятие в 1490 г.; попытку подобного же преступления в Валенсии. Обвиняли врачей, хирургов и аптекарей из иудеев в злоупотреблении профессией для причинения смерти множеству христиан; смерть короля Энрике III приписывали его врачу Маиру.
Иудеи знали об угрозе их высылки из Испании и пытались подкупить Фердинанда и Изабеллу. И короли хотели принять предложение иудеев. Но об этом узнал инквизитор Торквемада, явившийся в королевский дворец и сказавший государям: "Иуда первый предал своего Господа за 30 сребрянников; Ваши высочества думают продать его вторично за 30 тысяч монет. Вот он, возьмите его и поторопитесь продать". Слова доминиканца изменили настроенность короля и королевы и они 31 марта 1492 г. издали декрет о выселении из Испании всех евреев обоего пола до 31 июля этого же года под угрозой смерти и потери имущества. Разрешалось остаться только евреям принявшим христианство (см. там же стр.219-222).
6. Из книги:
Болеслав Кумор, "История Церкви", часть 3, Люблин, 1976
Уже в христианской древности Церковь боролась с ересями. Но эта борьба была прежде всего литературной борьбой и физическое насилие в ней отвергалось. С тех пор как Римская Империя гарантировала свободу Церкви интересы церковные и государственные стали совпадать и религиозное единство империи гарантировало ее политическое единство. По этой причине императоры IV и V веков стали издавать антиеретические законы против ариан, донатистов, манихеев. Против последних даже была применена кара смертью. Против антиобщественной ереси циркумцелионов св. Августин пожелал применения физической силы, а Оптат Милевский - кары смертью. Законодательство Юстиниана Великого (+567) и императора Карла Великого (+814) также имело антиеретические законы. Почему? Потому, что при взаимосвязи церковных дел с государственными делами отлучение еретиков от Церкви было недостаточно. Ереси рассматривались самой жизнью не только как выступление против совести - Божественного права, но и как антиобщественная деятельность. Однако, Церковь всегда осуждала жестокие меры светской власти против еретиков, ибо "вера, как говорил св. Бернард Клервоский, должна основываться на убеждении, а не на насилии".
Предписания имп. Юстиниана Великого о сжигании еретиков впервые применены были на Западе в XI веке. Так в 1017 г. король Франции Роберт II приказал сжечь 13 еретиков в Орлеане, а император Генрих III "по согласию многих приказал повесить много еретиков в Госляже" (1051). Богословы протестовали против таких действий.
В период крестовых походов ради обеспечения внутренней безопасности в христианской Европе победили новые взгляды на борьбу с ересями. Первые законы против еретиков на Западе издал император Фридрих Барбаросса в ХII веке (1183 г.) как "против врагов общественного порядка", а затем Арагонское королевство (1197), где введена смерть сожжением за ересь, считавшуюся "преступлением против величия". Кару смертью приняло законодательство императора Фридриха II декретом от 1231 г. для Сицилии, а затем в 1232 г. - для Империи.
Еще во второй половине ХIII века св. Фома Аквинский говорил, что "язычников и иудеев нельзя принуждать к принятию веры, ибо принятие веры является актом воли. Можно лишь их, если это возможно, принудить к тому, чтобы они не мешали распространению веры богохульством, двуличием и коварством или даже открытым преследованием." ...нельзя применять силу и принуждение к еретикам "для исполнения ими того, к чему они обязались соблюдать принятое" (с.182).
Среди канонических сборников XII века, Декрет Грациана, получивший всеобщее признание, представлял ряд правовых текстов Отцов Церкви и древних христианских синодов, ясно говорящих о том, что в случае ереси Церковь может желать помощи государства, и что ради спасения еретиков их можно, даже против их воли "принуждать к возвращению в Церковь". Появление в Италии и во Франции еретического движения возродили эти принципы. Вероятно под их влиянием оказался правовед Папа Александр III (1159-1181), высказавшийся на Вселенском Соборе 1179 г., чтобы светская власть карала еретиков конфискацией имущества, заключением, а по отношению к упорным применила физическую силу. Предпринявших же крестовый поход против еретиков он одарил индульгенциями.
Постановления синода в Вероне (1184 г.) при Папе Луциане III и имп. Фридрихе Барбароссе имели решающее значение. Хотя папская булла и императорский декрет не упоминают кару смертью, тем не менее Церковь обратилась за помощью против еретиков к светской власти. В декрете Ad abolendum Папа приказал дословно, что "кто будет публично пойман в ереси, тот, если он принадлежит к духовенству будет устранен с должности и тому будет запрещено отправление священных действий, если же это будет мирянин, то будет отдан под суд светской власти для вынесения ему определенного наказания. Епископы были обязаны хотя бы раз в год лично или через своего комиссара разыскивать в своей епархии еретиков и передавать их светской власти. Светские власти: князья, бароны, городские советы обязаны помогать Церкви в отыскании еретиков, не хотящие же это делать должны быть лишены общественных должностей и подлежат церковным наказаниям. Все защитники еретиков подвергались бесславию и лишению публичных прав."
Большое значение для утверждения этого в жизни имели крестовые походы против альбигойцев, - еретиков, угрожавших как государству и обществу, так и религиозной жизни. XII Вселенский Собор 1215 г. подтвердил постановления предыдущих синодов о выдаче еретиков светской власти и об исключении духовенства, призвал на помощь светскую власть и признал последние распоряжения Веронского синода 1184 г.
Большое значение для формирования церковной инквизиции имел синод в Тулузе в 1229 г., который в 18 канонах рекомендовал ряд средств для подавления ереси после крестовых походов. По решению этого синода еретики, их покровители и сторонники должны были караться карами animadversione debita. Каждый, укрывавший еретика, подлегал конфискации имущества и телесному наказанию. Дом, в котором проживал еретик подлегал сожжению, а решение по этому делу принадлежит епископу. Раскаявшимся еретикам следует даровать жизнь и наложить соответствующее наказание и выдать для ношения особую одежду.
От правления Папы Григория IX инквизиционный трибунал был подчинен непосредственно Апостольской Столице, а буллой от 22 ноября 1231 г. Папа доверил его доминиканцам.
15 мая 1252 г. Папа Иннокентий IV ввел в инквизиционный процесс из древнего Римского права пытки как средство получения доказательств, что в 866 г. отвергнуто было Папой св. Николаем I (858-867) в письме Ad consultata Buigarorum. Булла Папы говорила: "власть обязана еретиков, как истинных бандитов и убийц человеческих душ и воров святых таинств и веры христианской, принудить признаться в заблуждении и к выдаче им известных еретиков даже через отсечение членов или посредством угрозы смертью."
Организованные в XIII веке трибуналы инквизиции утвердились в романских странах. К их компетенции относились, кроме ереси, преступления против святотатства, богохульства, волшебства, магии, алхимии.
Инквизиционный трибунал никого не карал смертью, но передавал преступника светской власти с просьбой о сохранении ему жизни. Кары преступникам были различны: от сожжения на костре, пожизненного заключения с конфискацией имущества до наложения публичного покаяния, поста, милостыни и паломничества (стр.181-184).
7. Из книги:
Ю. Данзас (Юрий Николаев), "Католическое богопознание и марксистское безбожие", Рим, 1941 г.
...Преследование ереси является вообще одним из главных обвинений, бросаемых Церкви ее врагами, и притом в такой форме, будто под видом ереси преследовалось научное познание и вообще усилия человеческого разума... Но вопрос о религиозной ереси стоит совсем особо: то был вопрос не столько религиозный по существу, сколько социальный. В течении веков над христианским миром... носился идеал полного духовного единства, и на этом идеале строилось все здание общественных отношений. Человеческое общество мыслилось как монолит, и восстание против этого понятия рассматривалось как общественное преступление. Чтобы понять эту психологию, надо ее сравнить с нынешним отношением к патриотическому долгу и к измене родине, которая карается неизбежной смертью. В те времена, когда не было такой резкой национальной обособленности, у людей была общая духовная родина, и измена ей была самым тяжким преступлением. Поэтому ересь преследовалась не только церковным законодательством, но и гражданскими законами; более того, именно гражданскими законами, еще в IV-м веке ...ересь рассматривалась как государственное преступление, между тем как... сама Церковь не принимала участия в этих мерах гражданской власти. Ее средствами борьбы против еретиков были только церковное покаяние и отлучение, а отдельные случаи казней за религиозные убеждения вызывали протест у представителей самой Церкви. Так продолжалось... приблизительно до XI-XII века. Но именно в эти века возникло и быстро распространилось еретическое движение мистически-анархического характера, занесенное с Востока и грозившее потопить еще не окрепшие устои европейской цивилизации. Эта фанатичная и антиобщественная секта была сперва известна в Восточной империи, где подвергалась самым суровым репрессиям со стороны государственной власти (в Константинополе происходили не раз массовые казни этих сектантов-павликиан), а затем перебросилась в разные страны восточной и южной Европы, где стала известной под разными наименованиями: в славянских странах эти сектанты были известны под названием богомилов, а в западной Европе они назывались катарами, позже альбигойцами... Антиобщественный характер секты всюду вызывал против нее гонения со стороны гражданских властей; и не Церковью, а именно гражданскими властями были зажжены первые костры для истребления этих еретиков. Гражданские власти сами требовали вмешательства Церкви в это дело, а кроме того раздражение народных масс против... сектантов выливалось в формы иногда жестоких самосудов. Фактически к началу XII века некоторые страны южной Европы, и в особенности южная Франция, были почти в состоянии гражданской войны, причем к борьбе за религиозные идеи примешивались, как всегда, и разные другие поводы к взаимной ненависти. Вмешательство Церкви, как общепризнанной тогда высшей духовной власти, было неизбежно и необходимо: для выяснения точных фактов отступления от веры помимо прочих обвинений. С этой целью была учреждена в 1184 г. Инквизиция, название которой означало "Розыск". Она так была названа потому, что инквизиторам поручалось расследование дел об ереси; если обвиняемый оказывался... по мнению судей, еретиком, то на него налагались различные церковные взыскания и обязательство покаяния, а в случае упорства он передавался гражданским властям для предусмотренного законом наказания.
Быть может нет такого исторического явления, о котором было бы написано столько злобного вздора, как об инквизиции. На нее сваливают все грехи тогдашнего... времени, все жестокости тогдашнего не ею установленного законодательства. Антирелигиозная литература вымышляет совершенно фантастические цифры ее жертв, говорит о миллионах несчастных замученных ею! И притом на католическую инквизицию валят все эксцессы когда-либо совершенные не только над еретиками, но позже и над колдунами.
Во всем этом надо разобраться. Во-первых, в истории инквизиции следует различать несколько периодов охарактеризованных разными условиями ее деятельности. Во-вторых, надо твердо понять, что инквизиционный суд был не более суров, чем гражданские суды того времени, а наоборот часто оказывался более мягким. Из множества дошедших до нас протоколов этих судов видно, что дела большей частью заканчивались наложением покаяния, а смертный приговор выносился сравнительно редко. Так например из 75 приговоров вынесенных за 100 лет инквизиционным трибуналом города Памье (в южной Франции) только 5 закончились передачей гражданским властям для казни. Из 930 приговоров произнесенных знаменитым инквизитором Бернаром Гвидонским, лишь 42 завершились этой формулой... Имелось не мало случаев оправдания обвиняемых. Наконец, надо добавить, что по своему составу инквизиционный суд был окружен кое-какими гарантиями от абсолютного произвола: решение выносилось инквизитором не единолично, к участию в рассмотрении доказательств виновности приглашались заседатели из местных граждан, и т.д. Но главное, следует различать разные периоды и разные условия действия инквизиционных судов.
В... течении всего XIII века эти суды ведали только борьбой против грозно развившейся антиобщественной секты, подавление которой состоялось лишь после длительной и кровавой борьбы между южной и северной Францией. Автор нашумевшей в наше время Истории Инквизиции, Ли, крайне враждебный Церкви, принужден все же признать, что торжество... секты привело бы Европу к одичанию, и добавляет: "Какой бы ужас нам ни внушали средства борьбы, и какую бы жалость мы бы не испытывали к людям павшим жертвой за свои убеждения, мы должны все же признать без колебания, что здесь борьба за Церковь была борьбой за цивилизацию и прогресс..."
Как последствие этой борьбы, в следующем, XIV веке инквизиция действовала особенно во Франции, но здесь, к сожалению, она подпала под фактическую власть французских королей и не раз была ими использована в борьбе против их врагов (например в печально известном процессе духовного ордена Тамплиеров, осужденных церковным судом под давлением короля). А в конце следующего XV века в Испании королевская власть добилась учреждения особой инквизиции, ей подведомственной, для борьбы с пережитками мусульманства и с частыми тогда совращениями в иудейство. Эта испанская инквизиция допустила много злоупотреблений и эксцессов, порицаемых самими Папами римскими; большинство нареканий против инквизиции относится именно к ней, но и эти нарекания непомерно преувеличены.
Наконец, в конце того же XV века, инквизиционным судам в Германии, а затем в Италии, была поручена борьба с колдовством, принявшим тогда форму грозной эпидемии. Европа тогда была охвачена почти повальным увлечением колдовскими действиями отнюдь не безвредного вида. Вероятно на то были причины и физиологические (ряд неурожаев и голодовок,... эпидемия чумы, унесшая треть населения Европы в XIV веке и поразившая воображение масс), и психологические, связанные с первыми открытиями некоторых тайн природы, возбудившими одновременно и суеверный страх, и мечтания о безграничной власти человека над материальными силами. Как бы то ни было массовое увлечение колдовством и применение магических действий к сведению личных счетов было тогда повсеместным явлением, принявшим действительно опасные размеры. Это и вызвало приравнение колдовства к ереси, не допустимой ни церковными, ни гражданскими законами. Но здесь надо оговориться, что преследование колдунов вовсе не было делом одной только инквизиции: им ведали и гражданские суды, и особо учреждаемые экстраординарные суды в особо громких делах. Во Франции ведение колдовскими делами потребовал для себя парламент, и преследовал колдунов с беспощадной жестокостью. А в Германии, Англии и прочих странах, оторванных от Церкви Реформацией,... развернулись поистине страшные, массовые "процессы ведьм" XVI и XVII веков. Когда ныне в антирелигиозной литературе говорится об этих процессах, то неизменно связывают их с инквизицией, умалчивая о том, что борьба против колдунов достигла своего апогея именно там, где Церковь и ее суды были уже бессильны. И конечно никто не вспоминает или не знает о том, что именно представители (католической) Церкви протестовали против вопиющих злоупотреблений, допущенных в этих процессах, против недоказанности обвинений, против ...суеверий, приведших к смерти на костре тысячи невинных или больных женщин. Первым горячим защитником этих несчастных жертв выступил в начале XVII века иезуит Фридрих фон-Шпее, и его благородный голос был подхвачен иезуитами Таннером, Бузеем, Роберти, Пинамонти и др.
Значит ли это, что мы отрицаем возможность злоупотреблений и ...ошибок в процессах разбиравшихся церковными судами? Конечно нет ...церковные суды могли ошибаться как всякие иные суды: судьи были на уровне знаний и мнений своей эпохи. Но при всяком разборе исторических фактов, относящихся к колдовским процессам, надо прежде всего иметь ввиду следующие принципы:
Во-первых: судебный приговор не есть выражение вероучения Церкви, а лишь применение такового в меру разумения самих судей, почему тут и возможны ошибки, отнюдь не колеблющие авторитета Церкви, - непогрешимого в вопросах догматических, а не дисциплинарных.
Во-вторых: в колдовских процессах преследовались злонамеренные действия, а не научные занятия.
В-третьих: колдовство действительно часто носило злонамеренный характер, о чем свидетельствуют многочисленные процессы с неопровержимыми фактами отравлений, убийства младенцев с целью использования их крови для магических заклинаний, отвратительного разврата и садизма при совершении колдовских действий, и т.д. Все это засвидетельствовано и процессами гражданских судов, как например известным процессом конца XVII века во Франции (так называемое "дело отравителей"), руководимым знаменитым министром Кольбером без всякого участия духовных лиц, и на котором выявились возмутительные, непередаваемые подробности всяких извращений под формой магических действий.
В-четвертых: вера в магические чары тогда была всеобщей и разделялась самыми умными учеными и трезвыми людьми того времени. Усматривать в ней... суеверие начали только в XVIII веке, но именно это огульное отрицание всякой возможности злостного внушения, действия на расстоянии и т.п. было ошибкой. В эту ошибку впали все "просветители" XVIII века, ее повторяла вся позитивная наука XIX века, пока научное изучение нервно-психической жизни человека не показало, какие бездны неведомого содержатся в нас... незрячими фанатиками оказываются... при свете наших теперешних знаний, именно те люди, которые на основании кое-каких то скудных знаний о природе человека решали сплеча все связанные с этой природой вопросы, и слепо отвергали всякую возможность нахождения в ней сил им непонятных. В этом - главное оправдание тех судей, которые наоборот в эту возможность верили, хотя в практическом применении своего мнения они может быть и иногда тяжко ошибались.
Мы долго задержались на обвинениях, кидаемых Церкви, чтобы показать, насколько преувеличены в них размеры ошибок или злоупотреблений. Это вовсе не означает, что мы отрицаем самый факт злоупотреблений и заблуждений. Они были неизбежны на долгом историческом пути Церкви, от них не мог быть свободный ее человеческий, земной лик. Но есть у ней иной лик, мир духовного света, и его отражением была и остается великая культурная роль Церкви, отрицать которую могут только люди вообще не знакомые с историей. Мы здесь вкратце напомнили лишь историю развития под ее сенью человеческих знаний; но нельзя забывать, что она давала не только знания: она одухотворяла само человеческое познание, учила усваивать не одни только чувственные восприятия, и этим возносила человеческий разум до высот, достигнутых лучшими ее сынами и святыми. Она показала чем может стать человек, если развитие ума у него идет параллельно с развитием духовной жизни... (стр.287-294).
II. Оценка деятельности инквизиции.
1. Исторические условия деятельности католической инквизиции.
При оценке всяких моральных действий всегда следует принимать во внимание:
а) степень их необходимости, если эти действия сопряжены с ущербом для других людей;
б) мотивы (побудительные причины), лиц, совершающих данные действия.
Оба условия зависят от исторической обстановки и ментальности того времени.
Что представляло собой средневековое общество Европы в наиболее активный период (XII-XVI века) деятельности католической инквизиции?
В это время население Европы представляло собой Corpus micstrum - "смешанное тело". В Европе в этот период проживали католики, православные, иудеи, мусульмане и широко распространялись еретические движения, среди которых наибольшим было движение катаров, иначе называемых альбигойцами или неоманихейцами, а также вальденсы. В Испании и Португалии, только что освободившихся от ига Ислама возникала опасность иудейско-исламского реванша по уничтожению на Пиренейском полуострове христианских государств. В начале ХVI века в Европе появился протестантизм различных исповеданий. Внешними врагами Западной Европы в это время были мусульмане в лице арабов и турок, с которыми шла борьба на Ближнем Востоке (крестовые походы для освобождения "Святой Земли"), в Испании и на Балканском полуострове.
Хотя влияние католической Церкви в Средние века было сильным, но не полным и потому государства управлялись не церковным правом, а римским гражданским правом с свойственными ему карательными санкциями.
Появление весьма широкого еретического движения с его агрессивным характером вынудило Церковь прибегнуть к самозащите вначале посредством проповеди против еретических заблуждений, а затем, после убийства еретиками папского посла-монаха Петра Кастельнского, посредством организации крестового похода против катаров. В процессе борьбы с катарами для борьбы с сектантством Церковь призвала на помощь государственную власть и организовала трибуналы инквизиции. На протяжении всего данного исторического периода шли гражданские войны с еретиками: во Франции, в Центральной Европе и на Ближнем Востоке и в Испании с Исламом.
Наши современники - либеральные демократы и современные сектанты конечно возмущаются запретами на пропаганду ереси, отлучение за это от Церкви и смертельными карами активистов еретического движения. Но не следует забывать, что в средние века у населения была совершенно другая иерархия ценностей, чем у наших современников. Те времена были временем нравственной чести, а не жизни "любой ценой". Свобода понималась не как "делай, что хочешь", а как внутренняя и внешняя независимость человека от греха и греховных желаний во имя реализации врожденной Богом человеку цели - участия человека в природе Бога. В те времена государственные власти и общество больше понимали чем наши современники - либеральные демократы, что уничтожение христианской религии, к чему стремились ереси, является разрушением человеческого общества.
2. Цели еретического движения.
Родиной катаров был Балканский полуостров, откуда они распространились в Кельн (Германия), в Англию, Испанию, в Южную Францию и в Северную Италию. Главным их опорным центром был город Альби в Южной Франции. В основе вероучения катаров лежал теистический дуализм. Бога Ветхого Завета они считали сатаной, которому противостоял "добрый" Бог Нового Завета, пославший на землю Христа. Катары отвергали Святые Таинства, в том числе и св. Евхаристию. К католической Церкви катары относились очень враждебно, критиковали обмирщенность духовенства, разрушали и грабили монастыри и церкви, издевались над христианскими святынями.
Французский историк Мишле пишет, что еретическое дворянство Южной Франции находилось в дружеских отношениях с катарами и наводило ужас на все католическое население юга Франции. Они грабили и избивали духовенство и крестьян-католиков, не щадя ни возраста, ни пола, врывались в храмы, срывали церковные службы, пачкали и разбивали кресты, обламывали руки и ноги на распятиях Христа ([8], с.137-138).
Автор нашумевшей в свое время "Истории инквизиции", Ли, крайне враждебный Церкви, принужден все же признать, что торжество...секты привело бы Европу к одичанию, и добавляет: "Какой бы ужас нам ни внушали средства борьбы, и какую бы жалость мы бы не испытывали к людям павшим жертвой за свои убеждения, мы должны все же признать без колебания, что здесь борьба за Церковь была борьбой за цивилизацию и прогресс..." ([7], с.290).
Кроме катаров большое распространение получила секта вальденсов, родиной которой была Франция. Они распространились во Франции, Северной Италии, а позднее в Германии и Чехии. Они отрицали учение о чистилище, молитвы за умерших, индульгенции, наказание смертью, военную службу, таинства покаяния и св. Евхаристии.
Победа катаров и вальденсов угрожали гибелью христианской цивилизации.
На Пиренейском полуострове возникло подпольное иудейское государство, угрожавшее разрушением христианских государств: Испании и Португалии, опасностью возвращения на Пиренейский полуостров исламского владычества, а также распространением ересей.
3. Право Церкви и государства на защиту от еретического движения.
А. Священное Писание предусматривает право и обязанность Церкви на свою самозащиту от ереси, что Церковь и делала с помощью трибуналов инквизиции.
Как известно, задача трибуналов инквизиции было расследование дел членов католической Церкви, подозреваемых в ереси и скрывающих это ради достижения ими враждебных целей. В таких случаях трибунал должен был разоблачить среди членов Церкви еретика убедить его в ошибочности его еретических убеждений, а если тот не послушает Церкви, то предать его отвержению, на что дают право и к чему обязывают тексты Священного Писания:
1) "Еретика, после первого и второго вразумления, отвращайся" (Тит.3:10).
2) "...если Церкви (ее член) не послушает, то да будет он тебе, как язычник и мытарь" (Мф.18:17).
3) "я писал вам не сообщаться с тем, кто называясь братом, остается блудником, или лихоимцем, или идолослужителем, или злоречивым, или пьяницею, или хищником; с такими даже и не есть вместе. Ибо что мне судить внешних? Не внутренних ли вы судите? Внешних же судит Бог. Итак извергните развращенного из среды вас" (1Кор.5:11-13).
4) "Но если бы даже мы или Ангел с неба стал благовествовать вам не то, что мы благовествовали вам, да будет проклят (то есть отлучен от Церкви). Как прежде мы сказали, так и теперь еще говорю: кто благовествует вам не то, что вы приняли, да будет проклят" (Гал.1:8-9).
На основании вышеприведенных текстов инквизиция и отлучала (извергала) от Церкви еретиков. Следовательно, поступала в соответствии со Священным Писанием.
Такое отлучение от Церкви члена Церкви - еретика вполне справедливо и соответствует здравому смыслу, так как отлучение от Церкви трибуналом инквизиции было чисто формальным актом, ибо фактически еретик уже сам отлучил себя от Церкви своими антицерковными делами, что было доказано в процессе расследования.
Б. Священное Писание предусматривает право и обязанность государства, как органа власти, на защиту общества от ереси.
В средние века подавляющая часть человеческого общества рассматривало католическую Церковь как основание общественного и нравственного правопорядка. Поэтому преступление против католической Церкви рассматривалось как тяжелое преступление. В средние века люди больше дорожили своей нравственной честью, спасением своей души, чем жизнью своего тела, и если убийство одного человека рассматривалось как тяжкое преступление в соответствии с заповедью Священного Писания: "не убей", то тем более обрекание множества человеческих душ, соблазненных ересью,- аду, рассматривалось как тяжелейшее преступление. Ведь ересь - это не только пропаганда словом антихристианского поведения, но это и само поведение, это греховная жизнь, обрекавшая людей:
а) на ад;
б) и кроме того, на общественные конфликты и часто уголовные преступления и войны.
На этом основании государственная власть законодательно запрещала ересь и наказывало за нее. Священное же Писание наделило власть, правами по поддержанию общественного и нравственного порядка, (а следовательно, и учения католической Церкви как основание общественного и нравственного правопорядка) с правом наказания виновных в преступлении, а гражданам повелевает власти подчиняться. Следующие тексты Священного Писания говорят об этом.
1. "Итак будьте покорны всякому человеческому начальству, для Господа: царю ли как верховной власти, правителям ли, как от него посылаемым для наказания преступников и для поощрения делающих добро. Ибо такова воля Божия, чтобы мы, делая добро, заграждали уста невежеству безумных людей,- как свободные, не как употребляющие свободу для прикрытия зла, но как рабы Божии" (1П.2:13-16).
2. "Всякая душа да будет послушна высшим властям; ибо нет власти не от Бога, существующие же власти от Бога установлены. Посему противящийся власти противится Божию установлению; а противящиеся сами навлекут на себя осуждение. Ибо начальствующие страшны не для добрых дел, но для злых. Хочешь ли не бояться власти? Делай добро, и получишь похвалу от нее; ибо начальник есть Божий слуга, тебе на добро. Если же делаешь зло, бойся, ибо он не напрасно носит меч: он Божий слуга, отмститель в наказание делающему злое" (Рим.13:1-4).
Следовательно, власть имела право наказывать за ересь преступников даже лишением их жизни. Ибо как говорит священное Писание:
1) "Уже и секира при корне дерев лежит; всякое дерево, не приносящее доброго плода, срубают и бросают в огонь" (Мф.3:10;Лк.3:9).
2) "Берегитесь лжепророков, которые приходят к вам в овечьей одежде, а внутри суть волки хищные; по плодам их узнаете их. Собирают ли с терновника виноград или с репейника смоквы? Так всякое дерево доброе приносит и плоды добрые, а худое дерево приносит и плоды худые... Всякое дерево, не приносящее плода доброго, срубают и бросают в огонь. Итак по плодам их узнаете их" (Мф.7:15-20).
3) "Если же рука твоя или нога твоя соблазняет тебя, отсеки их и брось от себя: лучше тебе войти в жизнь без руки или без ноги, нежели с двумя руками и двумя ногами быть ввержену в огонь вечный. И если глаз твой соблазняет тебя, вырви его и брось от себя; лучше тебе с одним глазом войти в жизнь, нежели с двумя глазами быть ввержену в геену огненную" (Мф.18:8-9).
На основании этих текстов Священного Писания власть в гражданских судах рассматривала дела отлученных от Церкви, как преступников против общества и государства и приговаривала их в соответствии с тогдашними антиеретическими законами к наказанию, ибо считала, что лучше обществу наследовать вечную жизнь "без руки, ноги, глаза" (то есть без преступников), чем вместе с ними быть " ввержену в огонь вечный".
4. Последствия, могущие быть от бездействия Церкви и государственной власти по отношению к деятельности ересей.
Последствия от бездеятельности Церкви и государства по отношению к ересям можно классифицировать на ближние последствия и дальние.
А. Ближние последствия.
К ним можно отнести:
а) Последствия от деятельности ереси гуситов, с которой своевременно не боролись и которая привела к жертвам гражданской войны в Чехии, длившейся 17 лет (1419-1436).
б) Последствия от распространения лютеранства (из-за промедления осуждения Папой Львом X Лютера и нерасторопности императора в прекращении распространения лютеранства), приведших к 30 летней гражданской войне, при которой погибло 2/3 населения Германии и было задержано объединение Германии на несколько столетий.
Подобные последствия могли произойти и от пренебрежения борьбой с катарами во Франции и в Северной Италии или с иудаизмом или ересями на Пиренейском полуострове.
Б. Дальние последствия.
К дальним последствиям следует отнести большую часть неудач европейских народов:
1) Раскол христианства на множество религиозных исповеданий из-за правила Лютера: произвола в личном толковании Священного Писания.
2) Распространение деизма, пантеизма и атеизма в Европе и как следствие этого нравственный упадок населения.
3) Как следствие нравственного упадка: создание колониальной системы и угнетение мало развитого населения (негров, индейцев и т.п.), Французская революция 1789 г. и других подобных революций, создание "дикого" капитализма и как следствие этого - марксистского движения с его учением о классовой ненависти, образование нацистских и расистских режимов, приведших в частности к физическому уничтожению около 6,5 млн. евреев (по еврейским источникам). Жертвы двух мировых войн и множества войн местного характера, жертвы марксистского режима в России и в других местах, где победу одержали коммунисты.
4) Как следствие нравственного упадка населения: многочисленные убийства детей (аборты), сексуальная революция, порнография, сексуальные извращения, пьянство, наркомания, воровство и прочие уголовные преступления, многочисленные болезни - все это привело в некоторых странах к биологическому вырождению населения.
Всех перечисленных последствий могло бы не быть, если бы Церковь и государственные власти своевременно и более последовательно боролись против еретического движения.
5. О злоупотреблениях инквизиции.
Злоупотребления в службе инквизиции столь же неизбежны, как неизбежен грех среди христиан: идеальных людей вообще нет. Если бы идеал был достижим, то прекратилось бы у людей стремления к совершенству.
О злоупотреблениях следует сказать следующее:
Во-первых, обвинения в злоупотреблениях со стороны работников инквизиции в значительной степени преувеличены, так как писались врагами Церкви, особенно масонами и еврейскими писателями, так как среди жертв испанской инквизиции было много евреев, а солидарность и активность евреев в самозащите хорошо известна.
Во-вторых, одной из главных причин злоупотреблений было вмешательство, влияние на деятельность инквизиционных трибуналов светской власти, в частности королей (о чем говорится в вышеприведенных выписках из книг на тему инквизиции), неоднократно критикуемом папами.
В-третьих, злоупотребления происходили не от религиозности инквизиторов, а от недостатка религиозности у некоторых из них. Церковь боролась с злоупотреблениями и виновных в них инквизиторов отлучала от Церкви. Известно (в том числе и из приведенных выше выписок из книг по инквизиции), что папы многократно выступали против злоупотреблений со стороны королевской власти и работников инквизиции, издавали церковные документы на эту тему, отменяли приговоры трибуналов, выносили смягчения приговорам. К таким папам следует отнести пап: Сикста IV, Климента VII, Павла III и других.
В-четвертых, выдача преступников в руки светской власти для наказания смертью не была предопределенной. Преступник всегда мог раскаяться и тогда не передавался государственной власти, а подвергался только воспитательным карам.
В- пятых, пытки, в сравнении с сегодняшними временами, были очень ограничены (смотри вышеприведенные выписки), но к сожалению в процессуальной методике того времени были неизбежны по причине упорства нераскаявшихся еретиков и необходимости раскрытия их преступлений.
В-шестых, способ казни преступника через сожжение или удушение в те времена был обычным способом казни без пролития крови, как в наше время казнь без пролития крови: способом повешения, на электрическом стуле или уколами ядовитых веществ. К такому способу казни прибегали даже самоубийцы (например: русские староверы в Российском государстве прибегали к коллективному самосожжению, в советское время в Чехословакии и в Советском Союзе самосожжение совершалось отдельными лицами, в ХХ веке монахи-буддисты самосжигали себя во Вьетнаме).
В заключение, при моральной оценке деятельности инквизиции, следует всегда помнить:
а) Инквизиция не казнила смертью ни одного человека, ибо в церковном праве нет наказания смертной казнью, и кроме того задача деятельности инквизиции состояла в раскрытии преступлений, в перевоспитании преступников и в отлучении от Церкви опасных и нераскаявшихся преступников, а не в их умерщвлении.
б) Что милосердие к негодяю очень часто становится жестокостью по отношению к невинным людям со всеми вытекающими из этого последствиями.
в) И наконец, жертвы выданные инквизицией государственной власти для совершения над ними смертной казни несравнимы с жертвами от антихристианских режимов духовных наследников ересиархов и их единомышленников.
Даже в Испании, где инквизиция особенно "свирепствовала", под руководствам испанских монархов, за 337 лет (с 1481 г. по 1818 г.) существования испанской инквизиции, по решению государственных судов было сожжено 36 212 человек, выданных инквизицией в руки государственной власти. А за 2 года Французской революции 1789 г. было уничтожено около 300 тыс. человек. За 3 года гражданской войны в Советской России только от революционных трибуналов погибло около 2 млн. человек. От рук германского национал-социализма только за годы второй мировой войны погибло (по еврейским источникам) около 6,5 млн. евреев. А сколько погибло людей от войн, болезней, нищеты, голода и других бедствий, наступивших от господства в Европе идеологий деизма, пантеизма, атеизма, расизма, сексуальной революции, абортов (в СССР перед "перестройкой" - 7 млн., в США - 1,5-2 млн. в год), наркомании, бесправия!!! Это наверно трудно подсчитать!
А ведь руководители режимов Французской революции 1789 г., большевистской революции в России, руководители всех безнравственных идеологий и теорий и доныне господствующих в Европе - это духовные наследники бывших ересиархов, масонов с которыми сравнительно так мягко боролась инквизиция. Они возмущаются деятельностью инквизиции, но они в своем ослеплении кажется не замечают, что настоящими преступниками являются - они!
И очень возможно, что если бы инквизиция не боролась с духовными отцами позднейших противников католической Церкви, то перечисленные последствия нравственного растления человечества наступили бы значительно раньше.