Министерство образования РФ
Всероссийский заочный финансово-экономический институт
Кафедра статистики
КУРСОВАЯ РАБОТА
по дисциплине «Статистика»
на тему:
«Статистическое изучение затрат на рабочую силу»
Вариант № 12
Исполнитель: Заложина Е.М.
Специальность:
Бухгалтерский учёт, анализ и аудит
3 курс, вечер
№ зачётной книжки: 07УББ01736
Руководитель: Гореева Н.М.
Калуга
2009
Оглавление
Введение………………………………………………………………….……3
Глава 1. Теоретическая часть…………………………………………….….5
1.1. Статистическая методология заработной платы…………….…5
1.2. Заработная плата и стоимость рабочей силы ………………….…6
1.3. Формы и системы оплаты труда ………………………..………...7
1.4. Состав фонда заработной платы и выплат социального характера..8
1.5. Средний уровень заработной платы……………………………….11
1.6. Состав затрат на рабочую силу……...……………………………..16
Глава 2. Расчетная часть…………………...………………………………...20
Глава 3. Аналитическая часть………...…………………………………......45
Заключение…………………………………………………………………….50
Список использованной литературы………………………...………………52
Введение
Тема данной курсовой работы является статистическое изучение затрат на рабочую силу и оплаты труда в условиях рыночной экономики. Ввиду многоплановости темы, в работе сосредоточено внимание на исследование следующие вопросов: состав затрат на рабочую силу, фонда заработной платы и виды заработной платы. Особое внимание уделено статистическому изучению заработной платы в условиях трансформационных процессов в России.
Актуальность данной темы курсовой работы заключаемся в том, что структура и динамика заработной платы представляют собой чрезвычайно важные элементы, приобретающие в России особую значимость с точки зрения как развития отечественной экономики, так и успешного ее вхождения в глобальную экономику. Рост заработной платы во многом определяет динамику платежеспособности спроса населения, объем внутреннего рынка, увеличение размеров которого является условием экономического развития, роста инвестиций.
Целью курсовой работы является статистическое изучение затрат на рабочую силу и оплаты труда, рассмотрение структуры затрат на рабочую силу и методика сбора информации и анализа затрат на рабочую силу, а также анализ заработной платы в России.
Цель исследования в работе заключается в статистическом изучении затрат на рабочую силу.
Задачи:
· изучить статистическую методологию заработной платы;
· изучить заработную плату и стоимость рабочей силы;
· изучить формы и систему оплаты труда
· изучить состав фонда заработной платы и выплаты социального характера
· изучить средний уровень заработной платы
· изучить состав затрат на рабочую силу
Основными методами являются:
· графический метод;
· метод группировок;
· метод анализа взаимосвязи;
· корреляционный метод.
Курсовая работа состоит из введения, трех глав, заключения.
Глава 1.Теоретическая часть
1.1.Статистическая методология заработной платы
Статистическая методология – система приемов, способов и методов, направленных на изучение количественных закономерностей, которые проявляются в структуре, динамике и взаимосвязях социально-экономических явлений. Она – основа статистического исследования.
Стадии статистического исследования:
1) статистическое наблюдение, или сбор информации;
2) сводка и группировка результатов статистического наблюдения, или обработка информации;
3) анализ полученной информации.
Статистическое наблюдение – это массовое, планомерное, научно-организованное наблюдение за явлениями социальной и экономической жизни, которое заключается в регистрации отобранных признаков у каждой единицы совокупности. Процесс проведения статистического наблюдения включает следующие этапы:
1) подготовка наблюдения;
2) проведение массового сбора данных;
3) подготовка данных к автоматизированной обработке;
4) разработка предложений по совершенствованию статистического
наблюдения.
Сводка – комплекс последовательных операций по обобщению данных статистического наблюдения для характеристики статистической совокупности в целом и отдельных ее частей (подсчет промежуточных и общих итогов).
Группировка – разграничение общей статистической совокупности на группы качественно однородных единиц.
Анализ или исследование сущности изучаемых явлений, имеет следующие этапы:
1) констатация фактов и их оценка;
2) установление характерных черт и причин каждого явления;
3) сопоставление одного явления с другими (в том числе с эталоном);
4) формулирование гипотез, выводов и предложений.
1.2.Заработная плата и стоимость рабочей силы
В отечественной и международной статистической практике понятие «заработная плата» охватывает все виды заработков, включая премии, доплаты, надбавки, компенсационные выплаты, прямо или косвенно связанные с результатами труда наемных работников и выплачиваемые им, как правило, через регулярные промежутки времени. К заработной плате не относятся страховые взносы работодателей на социальное обеспечение своих работников, в пенсионные фонды, а также суммы, полученные работниками по договорам страхования или в виде социальных пособий из государственных и негосударственных внебюджетных фондов, в частности пособия по временной нетрудоспособности, уходу за ребенком, беременности и родам и т.п.
При проведении статистического наблюдения по труду учету подлежит совокупность начисленных работникам по месту работы денежных сумм до каких-либо вычетов в связи с налогообложением, взносами в фонды социального обеспечения и пенсионные фонды, профсоюзными взносами и других удержаний из заработной платы в соответствии с законодательством.
При выплате вознаграждений за труд в натуральной форме и предоставлении социальных льгот суммы, подлежащие учету в составе заработной платы, должны определяться исходя из рыночных цен на товары и услуги, сложившиеся на момент начисления в данном регионе.
Категория «заработная плата» имеет двойственный характер: для наемного работника она является доходом, а для предприятия — частью издержек производства. Вместе с тем затраты, которые несет предприниматель или общество при использовании наемного труда, не ограничиваются только выплатой заработной платы. К ним относятся и расходы предприятия на социальную защиту работников, обеспечение их жильем и социально-бытовое обслуживание, налоги, связанные с использованием рабочей силы. Затраты предприятия в расчете на одного работника за единицу времени представляют собой стоимость рабочей силы для работодателя.[2]
1.3.Формы и системы оплаты труда
Различают две формы оплаты труда: сдельную и повременную. При повременной форме заработная плата начисляется за фактически отработанное время в соответствии с принятой тарифной ставкой или должностным окладом. При сдельной форме заработная плата начисляется за фактически выполненный объем работы по установленным сдельным расценкам за единицу работы.
В рамках каждой формы оплаты труда могут использоваться различные системы оплаты труда. Так, выделяют простую повременную и повременно-премиальную системы оплаты труда. Последняя предусматривает добавление к основному заработку за отработанное время премий за производственные результаты, надбавки за профессиональное мастерство, совмещение профессий и должностей и т.п.
В рамках сдельной формы оплаты труда различают прямую сдельную систему оплаты труда, сдельно-премиальную систему (при которой заработная плата состоит из основного заработка за проделанную работу и премий за производственные результаты), сдельно-прогрессивную систему (предусматривающую повышенные расценки за продукцию, произведенную сверх установленных норм), аккордную систему (при которой заработок начисляется по окончании работы за весь объем произведенной продукции).
Для характеристики степени распространения различных форм и систем оплаты труда могут быть использованы следующие показатели:
• доля отработанного времени в рамках определенной формы или системы оплаты труда в общем количестве отработанного времени;
• доля работников, получающих заработную плату по той или иной форме или системе оплаты труда в общей их численности;
• доля заработной платы, начисленной по соответствующей форме или системе оплаты труда, в общем фонде заработной платы наемных работников.
1.4.Состав фонда заработной платы и выплат
социального характера
При проведении федерального государственного статистического наблюдения по труду различают фонд заработной платы и выплаты социального характера.
В состав фонда заработной платы включаются начисленные предприятием, учреждением, организацией суммы оплаты труда в денежной и натуральной формах, премии, поощрительные выплаты, стимулирующие доплаты и надбавки, компенсационные выплаты, связанные с режимом работы и условиями труда, а также выплаты на питание, жилье, топливо, носящие регулярный характер. При этом в отчетности по труду показываются все начисленные суммы в качестве оплаты труда независимо от источника их финансирования.
Суммы, начисленные за ежегодные и дополнительные отпуска, подлежат включению в фонд заработной платы текущего периода в той части, которая приходится на дни отпуска в данном периоде.
В составе фонда заработной платы выделяют четыре группы выплат: прямую заработную плату за отработанное время или проделанную работу, выплаты за неотработанное время, единовременные поощрительные выплаты, а также выплаты на питание, жилье и топливо.
Прямая заработная плата включает:
• заработную плату, начисленную за отработанное время или про деланную работу по тарифным ставкам, окладам, сдельным расценкам, в процентах от объема реализованной продукции или оказанных услуг;
• стоимость продукции, выданной в порядке натуральной оплаты труда;
• выплаты стимулирующего характера, исчисленные в соответствии с принятыми на предприятии системами оплаты труда, доплаты и надбавки за профессиональное мастерство, совмещение профессий и др.;
• премии и вознаграждения, носящие регулярный или периодический характер;
• выплаты компенсирующего характера, связанные с режимом работы и условиями труда, в частности: за работу в ночное время, во вредных или опасных условиях и на вредных производствах, за работу в выходные и праздничные дни, выплаты, обусловленные районным регулированием оплаты труда;
• оплату труда квалифицированных рабочих и специалистов, привлекаемых для подготовки, переподготовки и повышения квалификации работников предприятия;
• оплату труда работников несписочного состава и лиц, принятых на работу по совместительству (начисленные им суммы в отчетности по труду не включаются в фонд заработной платы работников списочного состава и отражаются отдельной строкой).
Выплаты за неотработанное время охватывают: оплату ежегодных и дополнительных отпусков; оплату льготных часов подростков; оплату учебных отпусков, предоставляемых работникам, обучающимся в образовательных учреждениях; выплаты работникам, направленным на профессиональную подготовку, повышение квалификации или обучение вторым профессиям; выплаты работникам, привлекаемым к выполнению государственных или общественных обязанностей или направляемым на сельскохозяйственные работы; суммы, выплаченные за время вынужденных простоев, а также за не проработанное работниками время в тех случаях, когда они заняты неполное рабочее время по инициативе администрации.
К единовременным поощрительным выплатам относятся единовременные премии независимо от источников их выплат, вознаграждения по итогам работы за год, вознаграждение за выслугу лет, материальная помощь, предоставляемая всем или большинству работников, денежная компенсация за неиспользованный отпуск и другие единовременные поощрения, включая стоимость подарков.
Выплаты на питание, жилье, топливо представляют собой стоимость продуктов питания, жилья и коммунальных услуг, бесплатно предоставленных в соответствии с законодательством работникам отдельных отраслей экономики (включая суммы денежной компенсации за их непредставление), а также средства на возмещение расходов на эти цели сверх сумм, предусмотренных законодательством.
К выплатам социального характера относят предоставляемые работникам в денежной и натуральной формах компенсации и социальные льготы на лечение, отдых, проезд, трудоустройство и другие цели. В частности, в состав выплат социального характера включаются:
• надбавки к пенсиям работающим на предприятии, единовременные пособия уходящим на пенсию ветеранам труда;
• страховые платежи, уплачиваемые предприятием по договорам личного, имущественного, добровольного медицинского и иного страхования в пользу своих работников;
• оплата путевок работникам и членам их семей на лечение, отдых, экскурсии, путешествия и стоимости их проезда к месту отдыха и обратно, включая стоимость провоза багажа;
• возмещение родителям платы за детей в дошкольных учреждениях; компенсации женщинам, находившимся в частично оплачиваемом отпуске по уходу за ребенком (без пособий по социальному страхованию);
• выходное пособие при прекращении трудового договора, суммы, выплачиваемые уволенным работникам на период трудоустройства в связи с ликвидацией предприятия, сокращением численности работников;
• оплата проезда к месту работы транспортом общего пользования, специальными маршрутами, ведомственным транспортом;
• оплата абонементов в группы здоровья, занятий в спортивных секциях, оплата расходов на протезирование и другие подобные расходы;
• стипендии работникам списочного состава, направленным предприятием на обучение в учебные заведения, и некоторые другие расходы и выплаты, предусмотренные соответствующей инструкцией.
Целый ряд расходов предприятия не относится ни к фонду заработной платы, ни к выплатам социального характера: командировочные расходы, расходы на профессиональное обучение и культурно-бытовое обслуживание работников, обязательные отчисления в государственные социальные фонды, дополнительные доходы работников от участия в собственности предприятия (дивиденды, проценты и т.д.) и некоторые другие.
1.5.Средний уровень заработной платы
Для аналитических целей может быть исчислен средний уровень оплаты труда в единицу времени: среднечасовая, среднедневная и среднемесячная заработная плата.
Основой для расчета среднечасового заработка является часть начисленного за месяц фонда заработной платы, представляющая собой прямую заработную плату за фактически отработанные часы или проделанную работу. Эта часть фонда заработной платы называется часовым фондом заработной платы (ФЧЗП). Среднечасовая заработная плата fчас исчисляется путем деления часового фонда заработной платы на отработанные человеко-часы.
В основе расчета среднедневного заработка лежит дневной фонд заработной платы (ФДЗП), представляющий собой суммы оплаты труда, начисленные за отработанное время, учтенное в человеко-днях. В его состав входит прямая заработная плата за отработанное время или проделанную работу, а также выплаты за неотработанные часы в течение рабочего дня, предусмотренные законодательством, в частности: оплата льготных часов подростков, оплата внутрисменных часов, связанных с выполнением государственных и общественных обязанностей, оплата внутрисменных простоев не по вине работников.
Среднедневная заработная плата fдн исчисляется как отношение дневного фонда заработной платы к отработанному времени, учтенному в человеко-днях. Взаимосвязь между среднедневным и среднечасовым заработком
fдн = fчас a k1 (1)
где а — средняя фактическая продолжительность рабочего дня;
к[ — коэффициент увеличения дневного фонда заработной платы за счет доплат
(2)
Аналогично связаны между собой индексы среднечасовой и среднедневной заработной платы
I f дн = I f час Ia Ik1 (3)
Среднемесячная заработная плата исчисляется как отношение фонда заработной платы, начисленного за месяц (ФМЗП), к среднесписочной численности работников. В составе месячного фонда заработной платы можно выделить три группы выплат:
• дневной фонд заработной платы;
• выплаты за неотработанные дни, а именно: оплата очередных и учебных отпусков; оплата дней, не отработанных в связи с выполнением государственных и общественных обязанностей; суммы, выплачиваемые за счет средств предприятия за неотработанные дни работникам, вынужденно работавшим неполное рабочее время по инициативе администрации; оплата целодневных простоев не по вине работника;
• прочие выплаты, включаемые в соответствии с установленным порядком в состав фонда заработной платы, в том числе: денежная компенсация за неиспользованный отпуск, вознаграждение за выслугу лет, единовременные премии и другие поощрения и т.д.
Взаимосвязь между уровнями и индексами среднемесячного и среднедневного заработка отражается формулой
fмес = fдн bk2; I f мес = I f дн Ib Ik2 (4)
где b — средняя фактическая продолжительность рабочего периода, дни;
к2 — коэффициент увеличения фонда заработной платы, начисленного за месяц, за счет доплат
(5)
Изучение соотношения между уровнями оплаты труда позволяет получить представление об организации труда и степени использования рабочего времени. Например, более высокие темпы роста среднечасовой заработной платы по сравнению с темпом роста среднедневной могут свидетельствовать об увеличении потерь рабочего времени или сокращении доли выплат за неотработанное время внутри рабочего дня.
Для изучения динамики среднего уровня оплаты труда используются индексы переменного, постоянного состава и влияния структурных сдвигов.
Индекс переменного состава показывает динамику среднего уровня оплаты труда под влиянием двух факторов:
а) изменения заработной платы у различных групп и категорий работников;
б) структурных изменений в составе работающих, т.е. соотношения между численностью работников с высоким и низким уровнем оплаты труда.
Индекс постоянного состава отражает среднее изменение заработной платы у отдельных групп работников. Индекс структурных сдвигов характеризует влияние структурных изменений в составе работающих на динамику среднего уровня оплаты труда.
Между средним уровнем оплаты труда, численностью работающих и фондов заработной платы существует зависимость:
F=f * Т. (6)
Влияние каждого фактора на изменение фонда заработной платы определяют следующим образом:
а) прирост или уменьшение фонда заработной платы в связи с изменением численности работающих
(7)
б) прирост или уменьшение фонда заработной платы за счет изменения уровня оплаты труда
(8)
![]()
![]()
Увеличение или уменьшение
фонда заработной платы в связи изменением
численности работающих ∆FT, в свою очередь,
можно разложить на две составляющие:
• прирост в связи с изменением объема продукции (при базисном уровне производительности труда):
(9)
• прирост за счет изменения производительности труда, что приводит к относительному высвобождению численности работников:
(10)
где T1 – T0 IQ — относительная экономия рабочей силы.
Сопоставление динамики производительности
труда и средней заработной платы проводится либо путем сравнения индексов
заработной платы и производительности труда
, либо путем сравнения темпов прироста заработной платы и
производительности труда
. Опережение роста производительности труда по сравнению
с ростом заработной платы свидетельствует об уменьшении
доли расходов на оплату труда в стоимости произведенной продукции и наоборот.[2]
1.6.Состав затрат на рабочую силу
Одним из важнейших направлений исследований в статистике труда и занятости является изучение уровня, структуры и динамики затрат на рабочую силу, имеющих большое значение при определении политики заработной платы, при заключении тарифных соглашений и решении других задач.
Затраты на рабочую силу могут изучаться в двух направлениях: издержки предприятия в связи с использованием наемного труда и расходы на рабочую силу на уровне экономики в целом. В первом случае основное внимание уделяется изучению тех издержек на рабочую силу, которые несет непосредственно работодатель. Во втором случае при определении расходов на рабочую силу в расчет принимаются и затраты государства в части финансирования социального обеспечения, пенсионных и других программ. В статистической практике предпочтение отдается концепции издержек работодателя на рабочую силу. Вместе с тем для международных сопоставлений данные о расходах работодателей на рабочую силу должны дополняться информацией об участии государства в финансировании этих затрат.
Согласно международным стандартам изучение затрат на содержание рабочей силы проводится на основе специальных единовременных выборочных обследований один раз в два года. В качестве периода наблюдения выбирается календарный год, с тем чтобы учесть все затраты на рабочую силу — регулярные (ежемесячные) и нерегулярные. Программа таких обследований позволяет увязать затраты на рабочую силу с видом деятельности, отраслью или сектором экономики, уровнем рентабельности, фондовооруженности и другими характеристиками предприятий.
Затраты предприятия (организации) на рабочую силу — это суммы вознаграждений в денежной и натуральной формах, начисленные наемным работникам за выполненную работу, и дополнительные расходы, произведенные организацией в пользу своих работников. Они рассматриваются, с одной стороны, как часть фактических издержек работодателя, связанных с использованием наемного труда, а с другой стороны, как доходы работников предприятия.3
В составе затрат на рабочую силу согласно международной стандартной классификации выделяют 10 групп затрат:
• первые четыре группы охватывают расходы на оплату труда, входящие в состав фонда заработной платы: оплату за отработанное время, оплату за неотработанное время, единовременные поощрительные выплаты, регулярные выплаты в натуральной форме (на питание, жилье, топливо);
• расходы предприятия по обеспечению работников жильем: стоимость жилья, переданного в собственность работникам; расходы на содержание ведомственного жилого фонда; суммы, предоставленные работникам для первоначального взноса на жилищное строительство или на погашение кредита, выданного на эти цели; расходы на погашение ссуд, выданных работникам на улучшение жилищных условий;
• расходы на социальную защиту работников. В составе этой группы можно выделить четыре группы затрат: обязательные отчисления в государственные социальные фонды; взносы в негосударственные пенсионные фонды; расходы, являющиеся частью выплат социального характера, например: надбавки к пенсиям работающим на предприятии, оплата путевок работникам и членам их семей на лечение и отдых, оплата услуг, оказываемых работникам предприятия учреждениями и организациями здравоохранения и др.; расходы на содержание медпунктов, профилакториев, домов отдыха, находящихся на балансе предприятия или организации;
• расходы на профессиональное обучение, включающие затраты на содержание и аренду учебных помещений, расходы на платное обучение работников, стипендии за счет средств организации работникам, направленным на обучение и другие расходы по подготовке и переподготовке кадров;
• расходы на культурно-бытовое обслуживание, в том числе расходы на проведение вечеров отдыха и других культурно-массовых и спортивных мероприятий, на содержание столовых, библиотек, клубов, спортивных сооружений, расходы по организации работы кружков, курсов, студий и т.п., оплата путевок на экскурсии, путешествия, расходы по обустройству садоводческих товариществ, расходы по возмещению ценовой разницы на продукцию, отпускаемую подсобными хозяйствами для общественного питания работников предприятия;
• прочие затраты, не отнесенные к вышеперечисленным группам, но связанные с использованием наемного труда (оплата проезда к месту работы или отдыха, стоимость выданной бесплатно форменной одежды, обмундирования, спецодежды, спецобуви, других средств индивидуальной защиты, командировочные расходы, включая суточные или расходы, выплачиваемые взамен суточных);
• налоги, связанные с использованием рабочей силы (налог с суммы превышения фактических расходов на оплату труда работников по сравнению с их нормируемой величиной, плата за привлечение иностранной рабочей силы).
Не включаются в затраты организаций на рабочую силу пособия по временной нетрудоспособности, беременности и родам, уходу за ребенком и другие выплаты из внебюджетных фондов, расходы на капитальное строительство жилья и объектов социальной сферы, доходы по акциям и другие доходы от участия работников в собственности организации (дивиденды, проценты и др.).
Для характеристики эффективности использования живого труда служат показатели средних затрат в расчете на единицу отработанного времени (среднечасовые затраты) и в расчете на одного работника за месяц (среднемесячные затраты). Интерес представляет также сопоставление издержек, которые несет работодатель при использовании наемного труда, с объемом произведенной продукции.
Среднечасовые затраты на рабочую силу исчисляют путем сопоставления суммы затрат на рабочую силу с количеством отработанных человеко-часов, характеризующих реальные затраты труда в текущем периоде в процессе производства и реализации продукции. Взаимосвязь между среднечасовыми и среднемесячными затратами на рабочую силу:
Змес = Зчас a b, (11)
где Змес — затраты на одного работника в месяц (цена рабочей силы);
Зчас — затраты в расчете на один отработанный человеко-час;
a — средняя фактическая продолжительность рабочего дня;
b — средняя фактическая продолжительность рабочего периода (месяца), дни.
Глава 2. Расчётная часть.
Имеются следующие выборочные данные по предприятиям отрасли промышленности региона в отчетном году (выборка 10%-ная механическая) за отчётный период:
|
№ пред-приятия п/п |
Среднесписочная численность населения, чел. |
Среднемесячные затраты на рабочую силу в расчёте на 1-ого работника, тыс. руб. |
№ пред-приятия п/п |
Среднесписочная численность населения, чел. |
Среднемесячные затраты на рабочую силу в расчёте на 1-ого работника, тыс. руб. |
|
1 |
140 |
8.3 |
16 |
344 |
12.2 |
|
2 |
236 |
9.8 |
17 |
320 |
14.1 |
|
3 |
180 |
12.0 |
18 |
226 |
10.3 |
|
4 |
220 |
10.4 |
19 |
190 |
8.3 |
|
5 |
300 |
12.5 |
20 |
244 |
11.7 |
|
6 |
240 |
10.3 |
21 |
110 |
8.4 |
|
7 |
256 |
12.0 |
22 |
330 |
12.7 |
|
8 |
310 |
13.9 |
23 |
450 |
16.2 |
|
9 |
150 |
10.4 |
24 |
230 |
12.0 |
|
10 |
80 |
6.2 |
25 |
170 |
6.3 |
|
11 |
340 |
14.3 |
26 |
208 |
10.1 |
|
12 |
232 |
10.1 |
27 |
255 |
10.3 |
|
13 |
160 |
10.5 |
28 |
214 |
10.1 |
|
14 |
50 |
7.9 |
29 |
265 |
12.1 |
|
15 |
238 |
10.3 |
30 |
212 |
10.3 |
Задание 1
Признак – среднесписочная численность работников..
Число групп – пять.
Задание 2
Связь между признаками – среднесписочная численность работников и среднемесячные затраты на рабочую силу в расчёте на одного работника.
Задание 3
По результатам выполнения задания 1 с вероятностью 0,683 определите:
1. Ошибку выборки среднесписочной численности работников и границы, в которых будет находиться средняя и генеральной совокупности.
2. Ошибку выборки доли предприятий со среднесписочной численностью работников менее 130 человек и границы, в которых будет находиться генеральная доля.
Задание 4
Имеются следующие данные о среднесписочной численности работников и затрат на рабочую силу в расчёте на одного работника:
|
№ предприятия п/п |
Среднесписочная численность работников, чел. |
Затраты на рабочую силу в расчёте на одного работника, тыс.руб. |
||
|
Базисный период |
Отчётный период |
Базисный период |
Отчётный период |
|
|
1 |
140 |
150 |
8,5 |
10,4 |
|
2 |
170 |
160 |
8,2 |
7,4 |
Определите:
1.Общие затраты на рабочую силу по каждому предприятию и в целом по двум предприятиям в каждом периоде.
Результаты расчётов представьте в таблице
2.Абсолютное и относительное изменения общих затрат на рабочую силу в отчётном периоде по сравнению с базисным по двум предприятиям в целом вследствие изменения среднесписочной численности работников, затрат на рабочую силу в расчёте на одного работника и двух факторов вместе. Сделайте выводы.
Решения
Задание 1
По исходным данным:
1. Постройте статистический ряд распределения организаций по признаку среднегодовая стоимость основных производственных фондов, образовав 5 групп с равными интервалами.
2. Постройте графики полученного ряда распределения. Графически определите значения моды и медианы.
3. Рассчитайте характеристики интервального ряда распределения: среднюю арифметическую, среднее квадратическое отклонение, коэффициент вариации.
4. Вычислите среднюю арифметическую по исходным данным, сравните ее с аналогичным показателем, рассчитанным в п. 3 для интервального ряда распределения. Объясните причину их расхождения.
Сделайте выводы по результатам выполнения задания.
1) Проранжируем среднесписочную численность работников (таб.1)
Таблица 1: « Ранжированный ряд среднесписочной численности работников, чел. »
|
№ пред-приятия п/п |
Среднесписочная численность работников, чел. |
Среднемесячные затраты на рабочую силу в расчёте на 1-ого работника, тыс. руб. |
|
14 |
50 |
7,9 |
|
10 |
80 |
6,2 |
|
21 |
110 |
8,4 |
|
1 |
140 |
8,3 |
|
9 |
150 |
10,4 |
|
13 |
160 |
10,5 |
|
25 |
170 |
6,3 |
|
3 |
180 |
12,0 |
|
19 |
190 |
8,3 |
|
26 |
208 |
10,1 |
|
30 |
212 |
10,3 |
|
28 |
214 |
10,1 |
|
4 |
220 |
10,4 |
|
18 |
226 |
10,3 |
|
24 |
230 |
12,0 |
|
12 |
232 |
10,1 |
|
2 |
236 |
9,8 |
|
15 |
238 |
10,3 |
|
6 |
240 |
10,3 |
|
20 |
244 |
11,7 |
|
27 |
255 |
10,3 |
|
7 |
256 |
12,0 |
|
29 |
265 |
12,1 |
|
5 |
300 |
12,5 |
|
8 |
310 |
13,9 |
|
17 |
320 |
14,1 |
|
22 |
330 |
12,7 |
|
11 |
340 |
14,3 |
|
16 |
344 |
12,2 |
|
23 |
450 |
16,2 |
H = 450-50/5=400/5=80
1гр. = 50-130
2гр. = 130-210
3гр. = 210-290
4гр. = 290-370
5гр. = 370-450
Значение Моды (Мо) показывает, что наиболее часто в совокупности предприятий встречаются значения среднесписочной численности работников соответствующие ~~250 чел.
2) Таблица 2: «Расчётные данные кумулятивно накопленных частот в ряде распределения.»
|
Границы группы |
Наполненность групп |
∑F |
|
50-130 |
3 |
3 |
|
130-210 |
7 |
10 |
|
210-290 |
13 |
23 |
|
290-370 |
6 |
29 |
|
370-450 |
1 |
30 |
|
Итого |
30 |
- |
1/2∑F=15
Значение Медианы (Ме) показывает, что половина предприятий выборочной совокупности имеют среднесписочную численность работников менее 213 чел. Остальная половина предприятий более 213 чел.
Построим гистограмму ряда распределения по среднесписочной численности работников (рис.1)
Рисунок 1: «Гистограмма распределения среднесписочной численности работников, чел.»

Рисунок 2 «Полигон распределения среднесписочной численности работников»

Рисунок 3 «Полигон распределения кумулятивных частот среднесписочной численности работников, чел.»

3) Для расчета среднее значение признака и среднее квадратическое отклонение составим расчетную таблицу.
Таблица 3: «Расчётная таблица»
|
Группы |
Число предприятий |
Середина интервала |
Xf |
X-Xср. |
(Х-Хср.)2 |
(Х-Хср.)2*f |
|
50-130 |
3 |
90 |
270 |
-146,667 |
21511,209 |
64533,627 |
|
130-210 |
7 |
170 |
1190 |
-66,667 |
4444,489 |
31111,423 |
|
210-290 |
13 |
250 |
3250 |
13,333 |
177,769 |
2310,997 |
|
290-370 |
6 |
330 |
1980 |
93,333 |
8711,049 |
52266,294 |
|
370-450 |
1 |
410 |
410 |
173,333 |
30044,329 |
30044,329 |
|
Итого |
30 |
|
7100 |
|
|
180266,67 |
Xср.= ∑Xf/∑f=7100/30 = 236,667
В совокупности среднесписочная численность работников составляет 236,667 чел.
Дисперсия:
Среднее квадратичное отклонение:
Коэффициент вариации:
4) Вычислим среднюю арифметическую простую по исходным данным для среднесписочной численности работников.
Средняя арифметическая простая:
Средняя арифметическая взвешенная:
Среднее значение арифметической взвешенной больше, чем значение средней арифметической простой, данное значение можно объяснить неравномерностью распределения фактических данных внутри каждой интервальной группы.
Среднее арифметическое простое наилучшим образом отражает среднее значение по данным в выборочной совокупности.
Задание 2
По исходным данным:
1. установите наличие и характер связи между среднесписочной численностью населения и среднемесячными затратами на рабочую силу в расчёте на 1-ого работника, образовав заданное число групп с равными интервалами по обоим признакам, методами:
а) аналитической группировки
б) корреляционной таблицы
А) Рассчитаем итоговые и средние значения признаков в таблице 4.
Таблица 4: «Аналитическая группировка среднесписочной численности работников»
|
Границы группы |
Наполненность групп |
Среднесписочная численность работников |
Среднемесячные затраты на рабочую силу в расчёте на 1-ого работника, тыс.руб. |
||
|
Всего |
В среднем в группе |
Всего |
В среднем в группе |
||
|
50-130 |
3 |
240 |
80 |
22,5 |
7,5 |
|
130-210 |
7 |
1198 |
171,143 |
65,9 |
9,4 |
|
210-290 |
13 |
3068 |
236 |
139,7 |
10,7 |
|
290-370 |
6 |
1944 |
324 |
79,7 |
13,3 |
|
370-450 |
1 |
450 |
450 |
16,2 |
16,2 |
|
Итого |
30 |
6900 |
1261,143 |
324 |
57,1 |
Анализ таблицы показывает, что с ростом среднесписочной численности работников от группе к группе возрастают и среднемесячные затраты на рабочую силу, следовательно между ними существует прямая корреляционная связь.
С помощью аналитической группировки можно рассчитать показатель эмпирического корреляционного отклонения и коэффициента детерминации, который покажет силу взаимосвязи группировочного признака среднесписочной численности работников, чел. и результативного признака среднемесячные затраты на рабочую силу в расчёте на 1-ого работника и вклад группировочного признака в изменения результативного показателя. Для этого составим вспомогательную таблицу (таб.5)
Таблица 5: «Вспомогательная таблица для расчёта дисперсии»
|
Группа предприятий среднесписочной численности работников |
Число предприятий в группе |
Среднемесячные затраты на рабочую силу в расчёте на 1-ого работник, тыс.руб. |
(хi – хi)² |
δ² |
(хi – х)² |
σ²общ. |
|
50-130 |
3 |
7,9 |
0,16 |
(7,5-57,1)2 |
(7,9-57,1)2 |
2420,64 |
|
6,2 |
1,69 |
(6,2-57,1)2 |
2590,81 |
|||
|
8,4 |
0,81 |
(8,4-57,1)2 |
2371,69 |
|||
|
Итого 1 гр. |
- |
7,5 |
2,66 |
2460,16 |
7383,14 |
|
|
130-210 |
7 |
8,3 |
1,21 |
(9,4-57,1)2 |
(8,3-57,1)2 |
2381,44 |
|
10,4 |
1 |
(10,4-57,1)2 |
2180,89 |
|||
|
10,5 |
1,21 |
(10,5-57,1)2 |
2171,56 |
|||
|
6.3 |
9,61 |
(6,3-57,1)2 |
2580,64 |
|||
|
12,0 |
6,76 |
(12-57,1)2 |
2034,01 |
|||
|
8,3 |
1,21 |
(8,3-57,1)2 |
2381,44 |
|||
|
10,1 |
0,49 |
(10,1-57,1)2 |
2209 |
|||
|
Итого 2гр. |
- |
9,4 |
21,49 |
2275,29 |
15938,98 |
|
|
210-290 |
13 |
10,3 |
0,16 |
(10,7-5,7)2 |
(10,3-57,1)2 |
2190,24 |
|
10,1 |
0,36 |
(10,1-57,1)2 |
2209 |
|||
|
10,4 |
0,09 |
(10,4-57,1)2 |
2180,89 |
|||
|
10,3 |
0,16 |
(10,3-57,1)2 |
2190,24 |
|||
|
12,0 |
1,69 |
(12-57,1)2 |
2034,01 |
|||
|
10,1 |
0,36 |
(10,1-57,1)2 |
2209 |
|||
|
9,8 |
0,81 |
(9,8-57,1)2 |
2237,29 |
|||
|
10,3 |
0,16 |
(10,3-57,1)2 |
2190,24 |
|||
|
10,3 |
0,16 |
(10,3-57,1)2 |
2190,24 |
|||
|
11,7 |
1 |
(11,7-57,1)2 |
2061,16 |
|||
|
10,3 |
0,16 |
(10,3-57,1)2 |
2190,24 |
|||
|
12,0 |
1,69 |
(12-57,1)2 |
2034,01 |
|||
|
12,1 |
1,96 |
(12,1-57,1)2 |
2025 |
|||
|
Итого 2 гр. |
- |
10,7 |
8,76 |
2152,96 |
27941,56 |
|
|
290-370 |
6 |
12,5 |
0,64 |
(13,3-57,1)2 |
(12,5-57,1)2 |
1989,16 |
|
13,9 |
0,36 |
(13,9-57,1)2 |
1866,24 |
|||
|
14,1 |
0,64 |
(14,1-57,1)2 |
1849 |
|||
|
12,7 |
0,36 |
(12,7-57,1)2 |
1971,36 |
|||
|
14,3 |
1 |
(14,3-57,1)2 |
1831,84 |
|||
|
12,2 |
1,21 |
(12,2-57,1)2 |
2016,01 |
|||
|
Итого 4 гр. |
- |
13,3 |
4,21 |
11523,61 |
||
|
370-450 |
1 |
16,2 |
0 |
(16,2-57,1)2 |
(16,2-57,1)2 |
1672,81 |
|
Итого 5 гр. |
- |
16,2 |
0 |
1672,81 |
16,72,81 |
Хср.=(7,5*3+9,4*7+10,7*13+13,36+16,2):30=(22,5+65,9+139,7+79,7 +16,2):30=324:30=10,8
=(2,66+21,49+10,7+13,3+16,2):30=64,35:30=21,45
=((7,5-57,1)2*3+(9,4-57,1)2*7+(10,7-57,1)2*13+(13,3-57,1)2*6+(16,2-57,1)2):30=(2460,16*3+15927,03+27988,48+11510,64+1672,81):30=64479,44:30=2149,31467
=2,145+2149,31467=2151,45967
= 2149,31467:2151,45967=0,999
=0,9995
Связь очень сильная.
Вывод: эмпирическое корреляционное отношение рассчитанное по расходам бюджета показывает сильную тесную взаимосвязь между среднесписочной численностью работников и среднемесячными затратами на рабочую силу в расчёте на 1-ого работника. Коэффициент детерминации равен 0,999 и показывает, что изменение выпуска продукции на 99,95% обусловлено изменением среднемесячных затрат на рабочую силу в расчёте на 1-ого работника, остальные 0,05% другими факторами (территориальное расположение, экономическое положение, отраслевая принадлежность и т.п.)
Б) Построим ранжированный ряд совокупности предприятий по признаку среднемесячными затратами на рабочую силу в расчёте на 1-ого работника
Таблица 6: «Корреляционная таблица»
|
Группа предприятий среднесписочной численности работников, чел. |
Группа предприятий среднемесячных затрат на рабочую силу в расчёте на одного работника, тыс.руб. |
|||||
|
6,2-8,2 |
8,2-10,2 |
10,2-12,2 |
12,2-14,2 |
14,2-16,2 |
Итого |
|
|
50-130 |
2 |
1 |
|
|
|
3 |
|
130-210 |
1 |
3 |
3 |
|
|
7 |
|
210-290 |
|
3 |
10 |
|
|
13 |
|
290-370 |
|
|
|
5 |
1 |
6 |
|
370-450 |
|
|
|
|
1 |
1 |
|
Итого |
3 |
7 |
13 |
5 |
2 |
30 |
H=(16,2-6,2):5=2
1гр.=6,2-8,2
2гр.=8,2-10,2
3гр.=10,2-12,2
4гр.12,2-14,2
5гр.=14,2-16,2
С помощью аналитической группировки выявлена прямая тесная взаимосвязь между среднесписочной численностью работников и среднемесячных затрат на рабочую силу в расчёте на одного человека.
Корреляционная таблица показала наличие прямой тесной взаимосвязи между среднесписочной численностью работников и среднемесячных затрат на рабочую силу в расчёте на одного работника.
Задание 3
По результатам выполнения задания 1 с вероятностью 0,683 определите:
1. Ошибку выборки среднесписочной численности работников и границы, в которых будет находиться средняя и генеральной совокупности.
2. Ошибку выборки доли предприятий со среднесписочной численностью работников менее 130 человек и границы, в которых будет находиться генеральная доля.
1)По результатам выполнения задания 1 установлено, что среднесписочная численность работников составляет 236,667 чел.
Вероятность Р=0,683
При Р=0,683 t=1
Найти ошибку выборки ∆
Выборка бесповторная
Ошибка средней величины
С вероятностью 68,3% можно утверждать, что ошибка выборки среднесписочной численности работников будет находиться в в пределах от 223,24 до 250,1
2) Определим количество предприятий со среднесписочной численностью работников менее 130 человек.
С вероятностью 68,3% можно утверждать, что пределы в которых будет находиться доля предприятий со среднесписочной численностью работников менее 130 человек будет находиться в пределах от 5% до 15%.
Задание 4
Имеются следующие данные о среднесписочной численности работников и затрат на рабочую силу в расчёте на одного работника:
|
№ предприятия п/п |
Среднесписочная численность работников, чел. |
Затраты на рабочую силу в расчёте на одного работника, тыс.руб. |
||
|
Базисный период |
Отчётный период |
Базисный период |
Отчётный период |
|
|
1 |
140 |
150 |
8,5 |
10,4 |
|
2 |
170 |
160 |
8,2 |
7,4 |
Определите:
1.Общие затраты на рабочую силу по каждому предприятию и в целом по двум предприятиям в каждом периоде.
Результаты расчётов представьте в таблице
2.Абсолютное и относительное изменения общих затрат на рабочую силу в отчётном периоде по сравнению с базисным по двум предприятиям в целом вследствие изменения среднесписочной численности работников, затрат на рабочую силу в расчёте на одного работника и двух факторов вместе. Сделайте выводы.
Решение: 1)Определим общие затраты на рабочую силу по каждому предприятию.
А)По предприятию №1
В базисном году
В отчётном году
Индекс затрат на рабочую силу
Затраты на рабочую силу на предприятии №1 упали на 13% в базисном году по сравнению с отчётным годом.
Б) по предприятию№2
В базисном году
В отчётном году
Индекс затрат на рабочую силу
Затраты на рабочую силу увеличились на 4%
2) Определим затраты на рабочую силу по двум предприятиям.
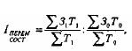
А) индекс среднемесячных затрат на рабочую силу переменного состава
Б) индекс среднемесячных затрат на рабочую силу постоянного состав
В) индекс влияния структурных сдвигов за счёт изменения среднесписочной численности работников
Взаимосвязь индексов:
Среднемесячные затраты на рабочую силу в расчёте на 1-ого человека на двух предприятиях в отчётном году по сравнению с базисным годом уменьшились на 1,15 тыс.руб., в том числе за счёт уменьшения среднесписочной численности работников в среднем на 0,83 чел. и уменьшения структуры на 0,36.
Глава 3. Аналитическая часть.
Ежемесячный анализ изменения заработной платы может быть осуществлён на основе унифицированной формы статистической отчётности № П-4 «Сведения о численности, заработной плате и движении работников». В разделе 1 «Численность и начисленная заработная плата» содержатся сведения о средней численности, фонде начисленной заработной платы и выплатах социального характера в целом по предприятию и по отдельным категориям персонала: работникам списочного состава, внешним совместителя, работникам, выполнявшим работы по договору гражданско-правового характера, и другим лицам несписочного состава.
Для характеристики заработной платы рассчитывают среднюю заработную плату одного работника за различные единицы времени: среднечасовую, среднедневную, среднемесячную заработную плату. В данном случае заработная плата будет вычислена как среднемесячная номинальная. Расчёты могут быть выполнены по всему персоналу и по отдельным категориям персонала.
Зависимость между средней заработной платой (З), среднесписочной численностью работников (Т) и фондом заработной платы (Ф) можно представить в виде следующей формулы:
Ф=З*Т (12)
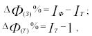
т. е. изменение фонда заработной платы на предприятии происходит за счет одновременного изменения двух факторов: уровня оплаты труда работников и изменения численности работников. Оценить действие каждого из факторов в абсолютном выражении позволяют расчеты по формулам:
(13)
(14)
где ΔФ(3),ΔФ(Т) - абсолютный прирост (сокращение) фонда заработной платы за счет роста (уменьшения) средней заработной платы и среднесписочной численности работников;
3 1 , 3 0 -средняя заработная плата работников предприятия в отчетном и базисном периодах;
Т1 , Т0 — среднесписочная численность работников предприятия в от-
четном и базисном периодах.
Относительный прирост (сокращение) за счет каждого из факторов определяется по формулам:
(15)
(16)
где ΔФ(3),ΔФ(Т) % —прирост (сокращение) фонда заработной платы в процентах за счет изменения средней заработной платы и среднесписочной численности;
Iф —темп роста (индекс) фонда заработной платы на предприятии в отчетном периоде по сравнению с базисным;
IТ— темп роста (индекс) среднесписочной численности работников.
Изучение динамики номинальной заработной платы происходит при помощи индексов (темпов роста). Номинальная заработная плата характеризует сумму денег, начисленную работнику за выполненную работу, и определяется исходя из начисленного фонда заработной платы и соответствующей численности работников.
Для изучения динамики среднего уровня заработной платы и пользуется система индексов переменного, постоянного состава структурных сдвигов. Индекс переменного состава представляет собой соотношение средних ровней заработной платы в отчетном и базисном периодах:
(17)
где З1 , З2 - средняя заработная плата отдельных категорий работников (по профессиям, видам деятельности, отраслям, предприятиям, формам собственности, структурным подразделениям предприятий и т. д.) в отчетном и базисном периодах;
Т1, Т0 — среднесписочная численность отдельных категорий персонала в отчетном и базисном периодах.
Изменение среднего уровня заработной платы происходит под влиянием
двух факторов:
-изменения средней заработной платы отдельных категорий работников;
- структурных сдвигов в составе работников, т. е. изменения удельных весов категорий работников с разным уровнем средней заработной платы в общей численности работников.
Раздельное влияние каждого из этих двух факторов на динамику среднего уровня заработной платы отражают индексы постоянного состава и структурных сдвигов:
(18)
(19)
Все три вида индексов увязаны в систему
(20)



Заключение
Термин «заработная плата» охватывает все виды заработков, включая премии, доплаты, надбавки, компенсационные выплаты, прямо или косвенно связанные с результатами труда наемных работников и выплачиваемые им, как правило, через регулярные промежутки времени. К заработной плате не относятся страховые взносы работодателей на социальное обеспечение своих работников, в пенсионные фонды, а также суммы, полученные работниками по договорам страхования или в виде социальных пособий из государственных и негосударственных внебюджетных фондов, в частности пособия по временной нетрудоспособности, уходу за ребенком, беременности и родам и т.п.
Различают две формы оплаты труда: сдельную и повременную. При повременной форме заработная плата начисляется за фактически отработанное время в соответствии с принятой тарифной ставкой или должностным окладом. При сдельной форме заработная плата начисляется за фактически выполненный объем работы по установленным сдельным расценкам за единицу работы.
При проведении федерального государственного статистического наблюдения по труду различают фонд заработной платы и выплаты социального характера.
В состав фонда заработной платы включаются начисленные предприятием, учреждением, организацией суммы оплаты труда в денежной и натуральной формах, премии, поощрительные выплаты, стимулирующие доплаты и надбавки, компенсационные выплаты, связанные с режимом работы и условиями труда, а также выплаты на питание, жилье, топливо, носящие регулярный характер. При этом в отчетности по труду показываются все начисленные суммы в качестве оплаты труда независимо от источника их финансирования.
Для аналитических целей может быть исчислен средний уровень оплаты труда в единицу времени: среднечасовая, среднедневная и среднемесячная заработная плата.
Основой для расчета среднечасового заработка является часть начисленного за месяц фонда заработной платы, представляющая собой прямую заработную плату за фактически отработанные часы или проделанную работу.
Для изучения динамики среднего уровня оплаты труда используются индексы переменного, постоянного состава и влияния структурных сдвигов.
Статистика изучает дифференциацию заработной платы работников. Размер заработной платы зависит от уровня квалификации работника, интенсивности труда, условий труда, а также от отрасли, в которой занят работник, территориального размещения предприятий и организаций и других факторов.
Затраты на рабочую силу могут изучаться в двух направлениях: издержки предприятия в связи с использованием наемного труда и расходы на рабочую силу на уровне экономики в целом. В первом случае основное внимание уделяется изучению тех издержек на рабочую силу, которые несет непосредственно работодатель. Во втором случае при определении расходов на рабочую силу в расчет принимаются и затраты государства в части финансирования социального обеспечения, пенсионных и других программ. В статистической практике предпочтение отдается концепции издержек работодателя на рабочую силу. Вместе с тем для международных сопоставлений данные о расходах работодателей на рабочую силу должны дополняться информацией об участии государства в финансировании этих затрат.
Список использованной литературы
1. Официальный сайт Федеральной службы государственной статистики (www.gks.ru)
2. Курс социально-экономической статистики: Учебник для вузов / Под ред. проф. М.Г.Назарова. – М.: Финстатинформ, 2002. – 976 с.
3. Дубянская Г.Ю. Экономико-статистический анализ заработной платы в России. – М.: Финансы и статистика, 2003. – 256 с.
4. Перова М.Б., Перов Е.В. Социальная статистика: мини-словарь. – М.: Финансы и статистика, 2005. – 176 с.
5. Экономическая статистика. Учебник. / Под ред. Иванова Ю.Н. – М.: Инфа-М, 2002. – 480 с.
6. Промышленность России. 2002: Стат.сб./ Госкомстат России. - М., 2002. - 453 c.
7. Райзберг Б. А. Современный экономический словарь. – М.: Инфа-М, 2005. – 480 с.
[2] Экономическая статистика. Учебник. / Под ред. Иванова Ю.Н. – М.: Инфа-М, 2002. – 480 с.
[2] Дубянская Г.Ю. Экономико-статистический анализ заработной платы в России. – М.: Финансы и статистика, 2003. – 256 с.
3 Курс социально-экономической статистики: Учебник для вузов / Под ред. проф. М.Г.Назарова. – М.: Финстатинформ, 2002. – 976 с