Содержание
Введение. 3
Глава 1. Вхождение личности в организацию. 4
1.1 Определение сущности, понятие личности. 4
1.2 Этапы, механизмы, факторы и методы. 8
Глава 2. Исследование межличностных отношений в фирме “Вольт”. 14
2.1 Характеристика исследуемого объекта. 14
2.2 Исследование ценностно-мировозренческой сферы персонала организации. 14
2.3 Анализ межличностных отношений организации. 20
Глава 3. Совершенствование организационных отношений. 26
Заключение. 32
Список литературы.. 33
ПРИЛОЖЕНИЕ А.. 34
ПРИЛОЖЕНИЕ Б. 35
ПРИЛОЖЕНИЕ В.. 41
ПРИЛОЖЕНИЕ Г. 46
Введение
Изучение любого социального явления начинается с определения его объекта. Это значит, важно очертить границы того феномена (явления), который необходимо понять, и тех лиц, которых надо изучать. В данном случае объектом организационного поведения являются работники организаций, представленные руководителями, специалистами, работниками вспомогательных служб. Организации могут быть индивидуально-частными, паевыми, акционерными, государственными, кооперативными, коллективно-долевыми. Отсюда следует, что работающие в них люди по своему правовому статусу могут быть владельцами, совладельцами, акционерами, имеющими различные пакеты акций, наемными и бюджетными работниками, кооператорами и пайщиками, а также коллективными совладельцами, если предприятие выкуплено ими в собственность в случае его банкротства, как это имеет место в США.
При написании курсовой работы были использованы литературы таких авторов, как Веснин Р.В., Виханский О.С., Наумов А.И., Гупзлов В.К., Карташова П.В., Красовский Ю.Д., Молл Е.Г., Охотский Е.В. Основная часть работы была основана на двух авторах Доблаева В.Л. и Красовского Ю.Д. эти авторы наиболее широко рассмотрели проблему поведения в организации, ее связь с другими факторами производства.
Целью курсовой работы является изучение дисциплины организационное отношения, на основании этих знаний написать курсовую работу по методическому указанию.
Согласно цели задачей будет в первой части курсовой работы привести теорию с учебников разных авторов, во второй главе применение теории в практике, третья глава полностью будет по совершенствованию организационных отношений.
Глава 1. Вхождение личности в организацию.
1.1 Определение сущности, понятие личности.
Личность - это целостная система, объединяющая в себе множество психосоциальных качеств, характеризующих конкретного человека (индивидуума). Главнейший признак личности - целостность Она проявляется в устойчивой предрасположенности одинаково вое принимать и последовательно реагировать на меняющиеся ситуации стимулирующие воздействия, ценности, мотивы, защиты, разные характеры и индивидуальные манеры поведения других.
Хотя личность можно представить себе как самодостаточную систему, ее формирование и поведение определяется общими объективными причинами - детерминантами. Они несут в себе определенную информацию о поведенческих качествах той или иной личности.
Личность — итог развития индивида, наиболее полное воплощение всех человеческих качеств.
Личность, с точки зрения этого подхода, рассматривается как целостность социальных качеств человека, как выражаются авторы учебника «Социология» под ред. Г. В. Осипова: «Определенным образом реализованная в индивиде интеграция социальных отношений данного общества», продукт исторического развития, результат включения индивида в социальную систему посредством активной предметной деятельности и общения.[1]
Личность как субъект социальных отношений, прежде всего, характеризуется автономностью, определенной степенью независимости от общества, способной противопоставить себя обществу. Личная независимость сопряжена с умением властвовать над собой, а это, в свою очередь, предполагает наличие у личности самосознания, т. е. не просто сознания, мышления и воли, а способность к самоанализу, самооценке, самоконтролю.
Личность – результат общественного развития на данном этапе, результат социализации
Личности - это категорический императив человеческого достоинства, без чего наша цивилизация потеряла бы право называться человеческой
Личности - это совокупность таких психологических качеств индивида как:
1. Отношение к чему - либо.
2. Нормы поведения, взглядов.
3. Ценности.
В социологии - личность - совокупность статусно - ролевых характеристик. Личность - это автономная система, которая может быть независима от общества. Эта независимость проявляется в собственном мировоззрении личности, в её самосознании.
Субъективная информация о поведении не всегда точна и надежна поэтому часто используется сложное тестирование. В итоге выявляются скрытые от непосредственного наблюдения существенные свойств, личности - характеристики, которые могут быть положены в основном типологий личности (например, экстравертивность, интровертивность, самооценка, авторитарность и др.).
Изучение поведения личности мы начнем с детерминантов личности, затем рассмотрим поведенческие черты личности и характеристики, лежащие в основе типологии личности,
Личность является объектом изучения ряда гуманитарных наук, прежде всего, философии, психологии и социологии. Философия рассматривает личность с точки зрения ее положения в мире как субъекта деятельности, познания и творчества. Психология изучает личность в качестве устойчивой целостности психических процессов, свойств и отношений: темперамента, характера, способностей, волевых качеств и т. д.
Социологический же подход выделяет в личности социально типическое. Основная проблематика социологической теории личности связана с процессом формирования личности и развития ее потребностей в неразрывной связи с функционированием и развитием социальных общностей, изучением закономерной связи личности и общества, личности и группы, регуляции и саморегуляции социального поведения личности. Здесь сформулированы некоторые наиболее общие принципы подхода к изучению личности в социологии. Однако социология содержит множество теорий личности, которые отличаются друг от друга кардинальными методологическими установками. Теория личности как субъекта и объекта деятельности и общения в марксистской социологии, ролевая теория личности Ч. Кули, Р. Дарендорфа, Р. Минтона, Р. Мертона и др.
В марксистской теории личности главный акцент смещен в сторону взаимодействия личности и общества. Личность, с точки зрения этого подхода, рассматривается как целостность социальных качеств человека, как выражаются авторы учебника «Социология» под ред. Г. В. Осипова: «Определенным образом реализованная в индивиде интеграция социальных отношений данного общества», продукт исторического развития, результат включения индивида в социальную систему посредством активной предметной деятельности и общения. Общие социальные условия, прежде всего, представлены экономическими отношениями, от которых зависит социальная структура общества, т. е. разделение на классы, социальная дифференциация, закрепление общественного разделения труда. Социальная структура общества - это основа социальных отношений.[2]
Далее даны идеологические отношения как компонент общих социальных условий, а также духовная культура аккумулирующая исторически сложившиеся традиции и обычаи данного общества. Социальная структура и общественное разделение труда, по мнению марксистской социологии, является главным элементом обусловливающим все социальные отношения и отношения в духовной сфере, ибо они определяют специфику интересов различных классов и социальных слоев общества. Личность как субъект социальных отношений, прежде всего, характеризуется автономностью, определенной степенью независимости от общества, способной противопоставить себя обществу. Личная независимость сопряжена с умением властвовать над собой, а это, в свою очередь, предполагает наличие у личности самосознания, т. е. не просто сознания, мышления и воли, а способность к самоанализу, самооценке, самоконтролю.
Самосознание личности трансформируется в жизненную позицию. Жизненная позиция представляет собой принцип поведения, основанный на мировоззренческих установках, социальных ценностях, идеалах и нормах личности, готовности к действию. Значение мировоззренческих и ценностно-нормативных факторов в жизни личности разъясняет диспозиционная теория саморегуляции социального поведения личности. Зачинателями этой теории были американские социологи Т. Знанецкий и Ч. Томас, в советской социологии эту теорию активно разрабатывал В. А. Ядов. Диспозиционная теория позволяет установить связи между социологическим и социально-психологическим поведением личности. Диспозиция личности означает предрасположенность личности к определенному восприятию условий деятельности и к определенному поведению в этих условиях. Диспозиции делят на высшие и низшие. Высшие регулируют общую направленность поведения. Они включают в себя: 1) концепцию жизни и ценностные ориентации; 2) обобщенные социальные установки на типичные социальные объекты и ситуации; 3) ситуативные социальные установки как предрасположенность к восприятию и поведению в данных конкретных условиях, в данной предметной и социальной среде. Низшие — поведение в определенных сферах деятельности, направленности поступков в типичных ситуациях. Высшие личностные диспозиции, будучи продуктом общих социальных условий и отвечая наиболее важным потребностям личности, потребностям гармонии с обществом, активно воздействуют на низшие диспозиции.
1.2 Этапы, механизмы, факторы и методы.
Образ организации субъективно начинает формироваться с представлений о том, что есть человек работающий и каково его социокультурное окружение, т.е. социальные нормы, ценностные ориентации, этические взгляды, социальные ожидания и оценки, образцы поведения, уровни бытовой воспитанности, социально-психологический фон деловых отношений и творческая атмосфера, компетентность работников в решении проблем, индивидуальные стили руководства и др. Человеку работающему важно знать, какие социокультурные образцы поведения задает ему организация, решая альтернативу: «Человек для дела или дело для человека?» В первом случае для организации важен исполнитель, во втором — инициатор. От этого зависит и осмысление своего собственного поведения, которое для человека работающего вырастает в личную проблему: «Я работаю, чтобы жить, или живу, чтобы работать, вообще, для чего я работаю и для кого?»[3]
В истории развития организаций сложились четыре типичных представления (стереотипа) о том, что есть человек работающий: «экономический человек» (начало XX в.), «психологический человек» (середина XX в.), «технологический человек», воспроизводящий тейлоровское и фордовское отношения к нему на новой компьютерно-инжиниринговой основе (последняя треть XX в.), «этический человек», «выросший» из потребности взаимных обязательств в бизнесе и в организационном управлении (последняя четверть XX в.). Эти стереотипы оказываются ориентирами поведения как управляющего, так и управляемого персонала. Они различным образом преломляются в сознании и руководителей, и специалистов, и вспомогательных работников, определяя линию их поведения в конкретных ситуациях.
Как они расшифровываются?
Стереотип «экономический человек». В основе этого стереотипа лежит принцип денежного расчета. Согласно ему любой человек может за деньги сделать все, что захочет босс. Человек работает хорошо, так как ему хорошо платят. Поэтому тот, кто платит, вправе требовать отработки в полную силу. Но «боссу» может казаться, что «его» работник, которого он купил, работает недостаточно интенсивно, и он высказывает претензии: «А за что я ему плачу?» Босс убежден, что только повышение или понижение оплаты труда является самым главным стимулом для работника. Стереотип «деньги решают все!» оказывается ведущим в его сознании. Если нужен специалист, он считает, что его можно перекупить. Этот стереотип «живет» в сознаний главы фирмы, то затухая, то вспыхивая вновь, особенно в условиях, когда возникает дефицит специалистов или их избыток. В зависимости от этого он и играет на повышение или понижение. Этот стереотип особенно характерен для современной российской традиции. Стереотип «психологический человек». Он базируется на умелом использовании психологии для достижения определенной выгоды, т.е. человек может добиться успеха, владея теми или иными методами психологического воздействия как на интуитивном уровне, так и на уровне методик, которым его научили в процессе тренинга. Этот стереотип сформировался в результате самостоятельного чтения специальной психологической и психолого-управленческой литературы (начиная с Д. Карнеги), на основе обучения и в силу личного опыта работы в организациях, особенно в сфере управления поведением работников, в области делового общения на переговорных процессах, при формировании имиджа фирмы и «раскрутки» торговой марки, в ходе непосредственных продаж товаров и услуг покупателям. Идейная основа стереотипа выражена достаточно емко: «Без психологии нельзя!»
Стереотип «технологический человек. В его основе лежит принцип организационного подчинения человека рабочим операциям в условиях, когда он все более и более становится жертвой научного и технико-технологического прогресса. «Боссами» работников становятся электронно-машинные системы, которые конструируются так, чтобы контролировать «живой труд» работающих по всей технологической цепочке. Жесткая включенность в технологические и компьютерные процессы с детальным пооперационным контролем ставит работников в положение придаточных звеньев, которые обслуживают технико-технологические системы в нарастающем временном темпе. Работники оказываются «привязанными» к этим системам настолько, что постоянно испытывают «технострессы», которые являются показателями «дегуманизации» их труда. Данный стереотип «технократирует» мышление руководителей, ориентирует их на жесткий пооперационный контроль поведения работникой. Он выражен очень сильно: «Без технологической дисциплины нельзя!» и «Новая техника — залог успеха!»[4]
Стереотип «этический человек. В его основе лежит принцип подчинения человека работающего требованиям профессиональной, деловой и управленческой этики. Этические требования формируются на базе различных договоров, соглашений, специально разработанных кодексов, хартий, деклараций, а также в результате существующих правил поведения в организации, где сотрудники оценивают друг друга в соответствии с житейскими представлениями о морали. Регулятивная функция морали проявляется прежде всего в биполярных оценках актов поведения, которые фиксируют, что хорошо, а что плохо для людей, для дела. Разброс этих оценок может быть очень большим и индивидуальным для каждого. Так, акты поведения могут оцениваться по критериям: «допустимо — недопустимо», «полезно — вредно», «искренне — неискренне», «честно — бесчестно», «достойно — недостойно», «благородно — подло», «тактично — грубо» и др., а качества личности определяются как «доверие — предательство», «душевность — бездушие», «уважение — цинизм», «добросовестность — недобросовестность», «жертвенность — эгоизм», «обещание — невыполнение», «правота — виновность» и т.д. Люди в организации оценивают друг друга в меру своей воспитанности. Несовпадение этих оценок может приводить к конфликтам ожиданий и реальностей. Но так они выражают этическое понимание добра и зла, одобряя или осуждая поведение друг друга, особенно когда работают вместе. В организации постепенно складываются более или менее приемлемые для всех нормы поведения, которые «требуют» от каждого ответственности за свои слова и дела перед коллегами, партнерами, клиентами, поставщиками, заказчиками, руководителями, подразделениями, службами.[5]
Эти четыре стереотипа, совмещаясь в сознании и поведении персонала создают четыре сегмента организационного поведения (рис. 1.1), которые и определяют состояние человека работающего: ригористический (подчинение служебному долгу): автономный (свобода организационного маневра); мобилизационный (психологическая готовность к работе); прессинговый (подчиненность рабочим операциям во времени и в пространстве).

Рис 1.1 Организационное поведение.
Вывод: В этой главе мы рассмотрели сущность и понятие личности, и мы пришли к выводу, что организация труда тесно связано с психологией и социологией. Разрабатывая организационную систему нужно обращать внимание на знания полученные по социологии и психологии так как зная сущность человека можно научиться управлять им.
Глава 2. Исследование межличностных отношений в фирме “Вольт”.
2.1 Характеристика исследуемого объекта.
Компания “Медиком” занимается реализацией медицинского оборудования и реализацией лекарственных препаратов, компания имеет сеть аптек, через которые идет сбыт продукции, так же компания принимает заказы от клиник на приобретение медицинского оборудования. Поставщиками компании являются различные отечественные и иностранные компании производящие лекарства.
В компании трудятся 145 человек, среди которых продавцы, водители, охранники, заведующий складом и т.д. Компания уделяет большое внимание на социальную обеспеченность своих работников, для этой цели у работников более высокая заработная плата по отношению с конкурентами, так же все работники имеют социальный пакет, средняя заработная плата составляет 6 тыс.руб.
2.2 Исследование ценностно-мировозренческой сферы персонала организации.
Руководитель – ключевой фактор производства и успешность деятельности, поведение работников в организации зависит от руководителя организации. Поэтому компания провела исследование руководителей на ценностные ориентации.
Руководителям фирмы раздали шесть карточек, где были записаны ценностные ориентации, которые они должны ранжировать при разработке управленческой программы «Персонал»: перспектива, инициатива, стимул, сотрудничество, эффект, резерв. Им предлагалось ранжировать предложенные ценностные ориентации за себя и за своих работников, чтобы потом сопоставить результаты. После сопоставления выяснилось, кто из них лучше всего сумел учесть эти ценностные ориентации работников в своей управленческой программе (табл. 2.1).
Таблица 2.1. Ранжировка ценностных ориентации
|
Первый |
Второй |
||
|
За себя |
За подчиненных |
За себя |
За подчиненных |
|
Инициатива Перспектива Стимул Сотрудничество Эффект Резерв |
Стимул Перспектива Инициатива Сотрудничество Эффект Резерв |
Перспектива Стимул Инициатива Эффект Сотрудничество Резерв |
Стимул Перспектива Резерв Эффект Инициатива Сотрудничество |
|
Третий |
Четвертый |
||
|
За себя |
За подчиненных |
За себя |
За подчиненных |
|
Перспектива Стимул Инициатива Сотрудничество Эффект Резерв |
Стимул Инициатива Эффект Перспектива Резерв Сотрудничество |
Стимул Эффект Перспектива Инициатива Сотрудничество Резерв |
Стимул Эффект Перспектива Инициатива Сотрудничество Резерв |
|
Пятый |
Шестой |
||
|
За себя |
За подчиненных |
За себя |
За подчиненных |
|
Перспектива Стимул Сотрудничество Резерв Эффект Инициатива |
Стимул Сотрудничество Перспектива Инициатива Эффект Резерв |
Перспектива Эффект Стимул Инициатива Сотрудничество Резерв |
Стимул Инициатива Перспектива Сотрудничество Резерв Эффект |
Такие двойные ранжировки дают полное представление об индивидуальном видении управленческой программы в соответствии с осознанием своей управленческой позиции каждым из руководителей-Менеджеров. Во-первых, у них разные позиции относительно ценностных ориентации и для себя, и по отношению к подчиненным (кроме четвертого менеджера, у которого они совпадают полностью). Во-вторых, ранжируя управленческие ценности за себя, они на первое место ставят, как правило, карточку «Перспектива», а делая это за подчиненных, — как правило, карточку «Стимул» (кстати, подобное повторялось и в других экспериментах). Но если обе ранжировки совпадают, то это означает, что менеджер прекрасно чувствует себя в «обратных связях» с подчиненными: они оказываются для него решающими.[6]
Как видно на примере шестого менеджера, он, находясь в своей управленческой позиции, естественно, ориентируется на перспективу, которая в конечном счете и должна бы дать необходимый эффект в выправлении работы фирмы. Но оказываясь в позиции подчиненного работника, он ориентируется прежде всего на стимулы, которые ранжированы с большим отрывом oт других ценностных ориентацией. Но для менеджеров здесь главное — не поддаться на такое стимулирование, которое сулю большие деньги. Опыт доказывает, что, во-первых, не все люди работают только за деньги, а во-вторых, большие деньги ж всегда стимулируют отличную работу: к ним привыкают. В сознании работников возникает предел ощущения стимулов, который мешает им работать в полной мере.
Отработка первого «блока» управленческой программы прел полагает выявление таких показателей, которые удовлетворил бы глубинную потребность работников в их признании. При этом имеется в виду единство материальных и моральных стимулов при доминировании первых. От того, как будет отработан этот «блок», зависит успех всей управленческий программы фирмы, ибо потребность в признании осознается личностью как высшая ценность.
Важно, чтобы была разработана такая схема материального вознаграждения, которая, с одной стороны, комбинировала бы оплату индивидуального труда, а с другой — при распределении процента от прибыли между всеми работниками в определенных долях направляла бы их индивидуальные усилия на достижение общезначимых результатов, заинтересовывая работников в успехе общего дела. Такое сочетание закладывает материальные основы идентификации целей всех работников с целями фирмы, постепенно вырабатывая единое отношение к формирующимся ценностям. С этого начинается организационная культура управления в фирме. Если такая база уже есть, то руководство дает работникам почувствовать перспективу, чтобы они увязывали свои личные планы с перспективами работы в фирме. Личная карьера может быть хорошо увязана с оценкой эффективности их работы, где главным показателем становится инициативность выполнения заданий при самостоятельном поиске лучших вариантов. Это позволит создать целевые проблемные группы для решения «стыковых» проблем на основе делового сотрудничества специалистов разного профиля. В результате такой подход помогает не только находить новые поведенческие ресурсы, но и создавать резервы творческого роста сотрудников в процессе развитии фирмы, а заделы на будущее дадут им возможность работать на обеспечение гарантии занятости. Это может стать внутренней целью работы персонала, и если она принимается работниками, то можно предположить, что в фирме формируется такая организационная культура, главными показателями которой являются единые ценностные регуляторы поведения.
|
Управленческие ценности |
Руководители |
|||||
|
1 |
2 |
3 |
4 |
5 |
6 |
|
|
Работать с верой в невозмлжное |
10 |
7 |
9 |
- |
8 |
5 |
|
Идти на решение сверх-задач |
9 |
8 |
10 |
- |
8 |
10 |
|
Бросать энтузиастов на борьбу |
8 |
3 |
6 |
8 |
10 |
8 |
|
Сделать время своим союзником |
7 |
9 |
4 |
9 |
10 |
7 |
|
Постоянно искать себя в новом |
9 |
1 |
8 |
7 |
8 |
3 |
|
Учиться на собственных экспериментов |
5 |
6 |
5 |
10 |
8 |
2 |
|
Доказывать свою правоту делом |
4 |
5 |
1 |
- |
9 |
9 |
|
В каждом видеть новатора |
3 |
2 |
7 |
- |
3 |
6 |
|
Открывать сильные стороны друг друга |
2 |
1 |
2 |
- |
3 |
1 |
|
Вдохновлять работников успехом |
1 |
4 |
3 |
- |
6 |
4 |
Данные, представленные в таблице, показывают, что руководители очень индивидуальны в оценке своих предпочтений. Четвертый руководитель оценил свои предпочтения только как отбор (а не выбор!) тех ценностей, которые и составляют суть его управленческой позиции. Первый, второй, третий и шестой руководители применили ранжировочный подход к их оценке, тогда как четвертый и пятый — балльный подход, затруднившись выбрать их строго по рангу. Все три подхода могут использоваться в консультационной практике изучения ценностей управленческой позиции руководителя.
Эти ценности классифицируются следующим образом. Пять из них являются смыслообразующими и занимают первые места в каждом «блоке», например: «Не щадить себя для дела» «Иметь право на ошибку»; «Готовить простор для инициатив»; «Быть в команде первопроходцев»; «Работать с верой в невозможное». Последующие 15 можно назвать эгоцентрическими, ориентирующими руководителя на самого себя, например: «Доверять только себе»; «Ставить в пример самого себя»; «Вкладывать себя в работу»; «Искать собственный путь»; «Ставить себя на место работников»; «Совмещать в себе противоположные роли»; «Подтверждать свою компетентность в новом»; «Находить себя в обратных связях»; «Постоянно искать себя в новом»; «Доказывать свою правоту делом» и т. п. Следующие 15 — это инструментальные ценности, ориентирующие руководителя на решение задач, например: «Добиваться успеха любой ценой»; «Формировать деловые «связки»; «Находить «точки» приложения усилий»; «Искать новыйимпульс при неудачах»; «Идти на решение сверхзадач» и т. п. Оставшиеся 15 являются типичными социальными ценностями, ориентирующими руководителя на работников. При жесткой ориентации он видит в них подчиненных: «Всех подчинять делу»; «Держать всех в напряжении»; «Никому не прощать ошибок»; «Искать виновных» и т. п. При мягкой ориентации он видит в них личности: «Учиться на проблемах энтузиастов»; «Вглядываться в «средних» работников»; «Вовлекать людей в свои инициативы»; «Окрылять работников верой в людей»; «Высвечивать лучшее в человеке»; «Дать каждому шанс быть в чем-то первым»; «В каждом видеть новатора» и т. п.[7]
В отборе всех этих ценностей руководитель определяет прежде всего собственную управленческую позицию. Это ценностное самоопределение руководителя важно для него самого, чтобы осмыслить свою уникальность.
2.3 Анализ межличностных отношений организации.
Анализ организационных отношений компании Медиком выявил несколько групп. Группа - это два и более индивидов, поведение которых взаимозависимо и находится под взаимным влиянием. В организации существует две группы по размеру на малые (до 30 участников) и большие (свыше 30 участников). Так же эти группы подразделяются на формальную и не формальную группы. Группы являются субъектами организационных процессов, выступая в них либо как организационные единицы (элементы структуры организации), либо как элементы организационной среды (конкуренты, потребители, население территории и т.п.).
Как элементы социальной среды организации, группы по их отношению к организации могут занимать различные поведенческие позиции. По этому признаку они делятся на группы интереса, группы давления, группы потребления и индифферентные группы.
Первичные отношения складываются между участниками, находящимися в частом фактическом контакте, когда имеется возможность наблюдать за поведением друг друга в различных ситуациях, это отношения характеризуются специфическими идентичностями индивидов (наличием общих секретов, знанием интимных подробностей личностей участников). В организациях такие отношения бывают в относительно постоянных рабочих коллективах.
Вторичные отношения - это отношения участников первичных групп со знакомыми им людьми, не являющимися членами первичных групп. Таковыми могут быть люди из других подразделений организации, те, с кем установлены деловые или другие отношения, но постоянное общение отсутствует.
Первичные отношения имеют больше шансов реализоваться в малых группах, нежели в больших (исключение могут составить большие группы, обладающие признаками толпы). В этой главе мы будем более подробно рассматривать первичные группы, считая, что основная работа менеджера внутри организации сосредоточивается именно в них и с ними. Это связано еще и с тем, что диапазон контроля в таких группах либо близок к оптимальному, либо его реально можно приблизить к оптимальной величине, чего нельзя сказать о больших вторичных группах.
Группы, действующие непосредственно в организации, - это формальные группы, неформальные группы, группы на задании, команды, группы по интересам, дружеские компании, референтные группы. Основными категориями в этом списке являются формальные и неформальные группы.
Формальная группа - это группа, обладающая формальным статусом в организации. Состав, цели, обязанности, права, привилегии, дисциплинарные нормы, относящиеся к формальной группе и ее участникам, учреждаются руководстлом и документально фиксируются (в письменном приказе или «Положении о подразделении»). Однако существуют и другие способы такой фиксации (традиционалистские). Нормы поведения в группе реально могут существовать как стандарты, закрепленные в устойчивых привычках или в поддерживаемой всеми традиции (группа, работающая на семейной ферме, или рабочие сельской кузницы).
Неформальная группа - группа, имеющая признаки неформального статуса. Она никем не учреждается, а ее состав и нормы формируются естественным путем (но не без внешнего влияния) на основе межличностных отношений индивидов (членов группы, или участников).
Для менеджмента разделение групп на формальные и неформальные важно потому, что требуется принимать в расчет одновременное действие формальных и неформальных регуляторов поведения. Это создает определенные трудности, которые усиливаются тем обстоятельством, что одна и та же совокупность индивидов может представлять собой одновременно формальную и неформальную группу.
Группа на задании создается для решения отдельной задачи и может быть переформирована в другую, в зависимости от характера задачи (проектная группа или группа оперативников для задержания опасного преступника).[8]
Команда - это группа, которая рассчитана на выполнение нескольких категорий задач (команда менеджеров и экспертов консалтинговой фирмы, выполняющая заказы по антикризисному управлению и санации предприятий). Задания, выполняемые командой, технологически взаимосвязаны и требуют совсем другого уровня сплоченности и самоуправления, чем те, которые могут выполняться группами на задании, даже если они целиком состоят из высоких профессионалов. Характерным признаком команды является повышенный уровень автономности поведения и коллективной ответственности за конечный результат. По своим поведенческим характеристикам группа на задании ближе к «чистой» формальной труппе, тогда как команда к «чистой» неформальной группе.
Проведем социометрическое исследование для общего представления состоянии группы, после составляется социоматрица:
|
|
Кого выбирают |
Количество сделанных выборов |
|||||||
|
|
А (Андреева) |
Б (Алексеева) |
В (Никифоров) |
Г (Борисов) |
Д (Лебедев) |
Е (Николаев) |
∑+ |
∑- |
∑ |
|
А (Андреева) |
|
+ |
+ |
|
+ |
|
3 |
0 |
3 |
|
Б (Алексеева) |
+ |
|
+ |
|
|
|
2 |
0 |
2 |
|
В (Никифоров) |
|
|
|
|
|
|
2 |
0 |
2 |
|
Г (Борисов) |
|
+ |
|
|
|
|
1 |
0 |
1 |
|
Д (Лебедев) |
- |
|
|
|
|
+ |
1 |
1 |
2 |
|
Е |
|
|
|
|
|
|
0 |
0 |
0 |
|
Количество сделанных выборов |
∑+ |
2 |
3 |
2 |
0 |
1 |
1 |
|
|
|
∑- |
1 |
0 |
0 |
0 |
0 |
0 |
|
||
|
∑ |
3 |
3 |
2 |
0 |
1 |
1 |
|
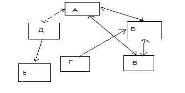
Социограмма представляет собой графическое изображение структуры межличностных отношений в коллективе, для отдела маркетинга фирмы “Вольт”, будет выглядит следующим образом:

Рис. 1. Социограмма коллектива компании Вольт
Вывод: Лидером группы как мы видим из социограммы – Алексеева ей симпатизируют большая часть опрошенных. Группы на задании и команды ставят менеджера перед следующим выбором. Одни и те же задачи можно решать по-разному. Например, силами рабочих групп, формируя из них отдельные группы на задании. Но можно, затратив некоторые организационные усилия и время, применив знания и технологии организационного поведения, сформировать команду и поставить перед ней соответствующие задачи.
Группы по интересам также можно отнести к смешанным формально-неформальным группам в организации. Связи и взаимодействия в них определяются наличием общих интересов и целей. Например, члены рабочих союзов, ассоциаций, клубов и секций, группы болельщиков и др.
Дружеские компании отличаются от групп по интересам отсутствием формальных признаков, меньшей определенностью общих интересов, меньшей регулярностью и большей спонтанностью взаимодействия участников.
Для более полного понимания необходимо учитывать не только внешние обстоятельства группообразования в организации, но и то, каким образом и насколько индивиды осознают себя как участники той или иной группы. Не так уж редки ситуации, когда индивид не осознает себя членом группы, к которой он принадлежит по всем явным признакам, но причисляет себя к группе, членом которой он не является. Например, сменный мастер может воспринимать себя членом команды менеджеров среднего звена, соблюдая соответствующие нормы и правила этой группы, и требовать от подчиненных соответствующего этому рангу поведения. Это означает, что команда менеджеров среднего звена является для сменного мастера референтной группой. Референтные регуляторы поведения создают определенные проблемы для управления реальными группами, но для их решения может быть применен метод модификации поведения.
Глава 3. Совершенствование организационных отношений.
Эффективность управления и избежание организационных дисфункций, связанных с «человеческим фактором» - это то, на что, в конечном счете, направлено совершенствование организационного поведения. Поскольку организационное поведение является составной частью большинства процессов в организации, остановимся на вопросах эффективности организации более подробно. Выясним основные направления, по которым организационное поведение влияет на эффективность организации.
Как было показано ранее, представления о доминирующих факторах, приводящих к эффективности организации, прошли несколько этапов: от «производительности» (способности работника или организации производить требуемое количество и качество продукта) к «продуктивности и развитию» и затем к «качеству».
Эффективность измеряется или оценивается по определенным показателям (критериям), которые могут быть определены и сгруппированы например, так как, предлагают авторы.
1. Производительность. Способность работника или организации производить требуемое количество и качество продукта. Измеряется «прибылью», «продажами», «долей на рынке», «количеством выпущенных студентов», «количеством вылеченных пациентов», «количеством прошедших документов» и т.п.
2. Продуктивность. Отношение «выхода» организации к ее «входу». Измеряется «процентом или объемом возврата капитала и имущества», «единицами затрат», «отходами и потерями», «простоями», «пациенто-затратами» и т.п.
3. Удовлетворенность. Этот критерий является результатом рассмотрения организации как социальной системы с точки зрения тех выгод и благ, которые получает участник. «Удовлетворенность» - это общее название критерия, включающего в себя информацию об аттитюдах, текучести кадров, абсентеизме, опоздать як, жалобах и т.п.
4. Адаптивность. Это степень, в которой организация может отвечать и на самом деле отвечает внешним и внутренним изменениям. Для измерения адаптивности составляются сложные вопросники.
5.Развитие. Организация должна «вкладывать в себя», самосовершенствоваться. Цель развития - увеличить способность к выживанию на долгий период. «Развитие» в контексте организационного поведения определяется количеством и качеством программ тренинга для менеджеров, другого персонала и т.п.
Проблема выбора критериев эффективности тесно связана с учетом различий между функциональной и целевой деятельностью. Как уже говорилось, в общесистемном смысле функции непрерывны и не имеют четко выраженного начала и конца, тогда как цели дискретны и имеют вполне определенные начало и конец. Применительно к долгосрочным и стратегическим целям организаций различия этих понятий достаточно относительны.
Поскольку организации являются многофункциональными и многоцелевыми системами, существует множество классификаций организационных целей. В частности, цели делятся на официальные и оперативные.
Официальные цели - это цели-декларации о намерениях, направлениях, тенденциях и т.п. Кроме всего прочего, они предназначены для информирования членов организации и публики. С одной стороны, учитывая большие временные масштабы таких целей, их можно считать аналогами главных функций организации. С другой стороны, официальные цели организации, - это скорее совместные цели акционеров и высших руководителей, заявляющих о намерениях проводить ту или иную политику. Примером таких целей могут служить цели General Electric.
1.Осуществлять диверсифицированный, развивающийся, прибыльный, распространяющийся по всему миру промышленный бизнес в области электроприборов, оборудования и т.п., оказания услуг промышленности, торговле, сельскому. Хозяйству, государству, населению, дому и семье.
2.Быть лидерами в исследованиях в области науки и бизнеса, чтобы обеспечить постоянный приток нового знания и воплотить в реальность девиз компании: «Наш наиболее важный продукт - прогресс».
3.Задействовать каждый децентрализованный венчурный участок бизнеса, чтобы он смог получить для себя свое собственное признание потребителя и прибыль, посредством необходимого в этих случаях риска.
4.Проектировать, производить и продавать все продукты и услуги компании, обладающие хорошим качеством и потребительской ценностью, .до справедливой, конкурентной цене.
5.Устанавливать доверительные отношения с общественностью и формировать чувство симпатии по отношению к продуктам и услугам, которые несут на себе название или торговую марку компании.
6.Создавать хорошо оборудованные рабочие места, устанавливать достойные оплату и условия труда, поддерживать удовлетворенность работой, стабильную занятость и возможности для продвижения работников в ответ на их лояльность, инициативу, мастерство, бережливость, старание, участие и коллективизм.
7.Управлять человеческими и материальными ресурсами предприятия дня обеспечения непрерывного прогресса, роста, прибыльности и социальных услуг в соответствии с принципами децентрализации, здоровой организационной структуры и профессионального менеджмента.
8.Привлекать и размещать инвестиции, используя заманчивые предложения и долгосрочное стимулирование участия инвесторов и их поддержку.
9.Сотрудничать со снабжающими, распределяющими, продающими организациями (контрагентами) и всеми, кто способствует производству, распределению, установке и обслуживанию продукции и систем компании.
10.Нести социальную, гражданскую и экономическую ответственность компании с инициативами и добровольными акциями, что заслужит понимание и поддержку всей заинтересованной публики.[9]
Оперативные цеди (итоговые показатели) — это конечные результаты, которые должны быть получены по истечении какого-то срока. Такие цели лежат в основе режимов, графиков, расписаний. В отличие от официальных, оперативные цели не предназначены для широкого круга потому, что могут часто изменяться по ходу работы. С другой стороны, более «постоянные» официальные цели изменяются или выполняются полностью гораздо реже, чем оперативные.
В соответствии с вышеуказанными ^различиями, критерии эффективности (иногда их называют индексами успешности) организации можно разбить на две категории: целевые и системные (функциональные). В первом случае об эффективности судят по степени достижения целей (целевой подход). Во втором, - по тому, как реализованы функции (системный подход). В нашем примере производительность и продуктивность выступают целевыми показателями, а удовлетворенность, адаптивность и развитие - функциональными.
Вывод: Мне кажется необходимо ввести в компанию делегирование полномочий на определенный срок. Переходя к методу делегирования полномочий, руководитель не только определяет сроки исполнения, качество и объемы работы, но и конечные результаты, наделяя работников ответственностью за полную реализацию управленческого решения. Они договариваются о том, как оформить и представить результаты, а также о том, как эти результаты будут вознаграждаться. Работнику предоставляется право на риск и на ошибку, т.е. право самому выбирать наилучший способ достижения результата. Он только оговаривает, какой денежный фонд можно тратить, советуется, с кем вступать в контакт, проясняет для себя право подписи необходимой документации, процедуру согласований, подготовки документов, ведения переговоров, выхода к вышестоящему руководителю с инициативами или за разрешениями. Если все эти полномочия ему так или иначе делегируются, то работник (или низовой менеджер) получает свободу организационного, финансового, юридического и психологического маневра, освобождая руководителя от детального «досмотра» этого управленческого цикла. Руководитель также получает свободу маневра в решении перспективных и стратегических проблем. Но наибольшую свободу получает тот руководитель, который может точно таким же образом организовать реализацию решений и в других управленческих циклах. Именно тогда он и достигает наибольшего эффекта в управлении.
Однако это происходит не со всеми, не всегда и не сразу. Требуется определенное время для того, чтобы наладить такое управленческое взаимодействие. Это значит, что руководителю приходится преодолеть противоречие, которое можно сформулировать так: принимая управленческие решения за подчиненных, он должен принимать его вместе с ними, чтобы творчески вовлечь их в реализацию еще одного замысла.
Заключение
Кризис российских рыночных реформ поставил перед менеджерами крупных, средних и мелких предприятий дилемму: либо перестроить свою управленческую деятельность, либо уйти с рынка. Новый этап реформ требует серьезного поворота к реальному сектору экономики, основой которого является производство товаров и услуг для потребителя. Это, в свою очередь, вызывает необходимость разработки маркетинговой концепции управления, т.е. целостной системы развития предприятий. Такой подход предполагает новое видение управленческих отношений руководителей. Их основой становится организационная психология управления, ориентированная на раскрытие человеческих ресурсов. В связи с этим введение поведенческих дисциплин в учебные программы по менеджменту поможет и действующим, и будущим руководителям более глубоко осмыслить профессиональные методы руководства поведением работников в бюджетных и коммерческих организациях. К сожалению, годы реформ (1992—1998) породили такую административную систему управления, которая выстроилась на «трех китах»: оголтелый бюрократизм, жесткий автократизм и «крутой» технократизм. Управленческие кадры в госучреждениях, а также в коммерческих фирмах и банках видели в этом образец организационного поведения в управлении персоналом. Отслеживание своего собственного поведения через систему обратных связей с работниками, как правило, блокировалось.[10]
Список литературы
1. Веснин Р.В. Практический «менеджмент персонала пособие по кадровой работе - М.: Юрист, 1998 - 496 с,
2. Виханский О.С. Наумов А.И. Менеджмент, человек, стратегия, организация, процесс Учебник. - М.: Изд. МГУ, 2002 - 418 с.
3. Гупзлов В.К. Управление рабочим временем. - М.. Финансы и статистика, 1998 г.
4. Егоршин А. П. Управление персоналом. - Н,. 2002 г.
5. Карташова П.В. Никонова ТВ. Поведение в организации. Учебник, М; ИНФРА-М. 1999.
6. Красовский Ю.Д. Организационное поведение Учебное пособие для вузов. - М.:ЮНИТИ. 1999.-472 с.
7. Молл Е.Г. Менеджмент. Организационное поведение. Учебное пособие - М.: Финансы и статистика, 1999
8. Охотский Е.В. Анисимов ЕШ. Книга кадрового работника кадровой службы - М.: ОАО изд. «Экономика», 1998 -494 с
9. Ромашов 0,8. Социология труда. Учебное пособие – М.: Гардарика, 1999,
10. Самыгин С.И., Стопяренко П. Д. Психология управления: Учебное пособие - Ростов н/Д- изд-во «Феникс», 2002 - 512 с.
ПРИЛОЖЕНИЕ А
|
Качества |
Ответы респондентов |
|||||
|
1Андреева А.Н. |
2Алексеева Н.В. |
3Никифоров А.Н. |
4Борисов М.С. |
5Лебедев Н.С. |
6Николаев М.Е. |
|
|
Постоянство |
+ |
|
|
+ |
|
+ |
|
Выдержка |
|
+ |
|
|
|
|
|
Свобода действий |
|
+ |
|
|
+ |
|
|
Общительность |
|
|
+ |
|
|
|
|
Исполнительность |
+ |
|
+ |
|
|
+ |
|
Переменчивость |
|
|
|
+ |
|
|
|
Чувствительность |
|
+ |
|
|
+ |
|
|
Знание своих возможностей |
+ |
|
|
+ |
|
+ |
|
Соблюдение семейных традиций |
|
+ |
+ |
|
|
|
|
Склонность к воображению |
+ |
|
|
|
|
+ |
|
Самомнение |
|
+ |
|
+ |
|
|
|
Мастерство |
|
|
|
+ |
+ |
|
|
Бережливость |
|
|
|
|
|
|
|
Организованность |
+ |
|
|
+ |
|
+ |
|
Изворотливость |
|
+ |
+ |
|
|
|
|
Инициативность |
|
|
|
|
+ |
|
|
Целеустремленность |
|
+ |
|
|
|
|
|
Настойчивость |
+ |
|
|
+ |
|
+ |
|
Умение слушать собеседника |
|
+ |
|
|
|
|
|
Искренность |
+ |
|
|
|
+ |
|
|
Самостоятельность |
|
+ |
+ |
|
|
|
|
Эрудированность |
|
|
|
+ |
|
+ |
|
Стремление к успеху |
+ |
+ |
|
+ |
|
|
|
Деловитость |
+ |
+ |
|
|
+ |
|
ПРИЛОЖЕНИЕ Б
1. Кто по вашему мнению, из членов бригады является авторитетом и примером:
а) Как специалист, - Алексеева Н.В.
б) по отношению к работе, - Борисов М.С.
в) по отношению к товарищам по работе, - Лебедев Н.С.
г) по поведению в быту, - Андреева А.Н.
2. С кем из члена коллектива вы наиболее охотно работаете:
а) на одной операции, - Лебедев Н.С.
б) на один наряд в бригаде, - Борисов М.С.
в) в коллективе, - Андреева А.Н.
3. К какому из товарищей вы предпочитаете обратиться с вопросами по работе: Алексеева Н.В.
4. С кем из товарищей вы могли бы поделиться своими переживаниями, - Лебедев Н.С.
5. С кем из членов коллектива вы хотели бы проводить свое свободное время, - Лебедев Н.С.
6. С кем из членов коллектива вы не хотели бы иметь ничего общего, - Никифоров А.Н.
Укажите, пожалуйста, номер, под которым в списке значится ваше фамилия, - 6.
1. Кто по вашему мнению, из членов бригады является авторитетом и примером:
а) Как специалист, - Борисов М.С.
б) по отношению к работе, - Андреева А.Н.
в) по отношению к товарищам по работе, - Николаев М.Е.
г) по поведению в быту, - Никифоров А.Н.
2. С кем из члена коллектива вы наиболее охотно работаете:
а) на одной операции, - Николаев М.Е.
б) на один наряд в бригаде, - Андреева А.Н.
в) в коллективе, - Борисов М.С.
3. К какому из товарищей вы предпочитаете обратиться с вопросами по работе: Алексеева Н.В.
4. С кем из товарищей вы могли бы поделиться своими переживаниями, - Борисов М.С.
5. С кем из членов коллектива вы хотели бы проводить свое свободное время, - Никифоров А.Н.
6. С кем из членов коллектива вы не хотели бы иметь ничего общего, - Николаев М.Е.
Укажите, пожалуйста, номер, под которым в списке значится ваше фамилия, - 5.
1. Кто по вашему мнению, из членов бригады является авторитетом и примером:
а) Как специалист, - Андреева А.Н.
б) по отношению к работе, - Николаев М.Е.
в) по отношению к товарищам по работе, - Никифоров А.Н.
г) по поведению в быту, - Лебедев Н.С,
2. С кем из члена коллектива вы наиболее охотно работаете:
а) на одной операции, - Николаев М.Е.
б) на один наряд в бригаде, - Андреева А.Н.
в) в коллективе, - Борисов М.С.
3. К какому из товарищей вы предпочитаете обратиться с вопросами по работе: Андреева А.Н..
4. С кем из товарищей вы могли бы поделиться своими переживаниями, - Андреева А.Н.
5. С кем из членов коллектива вы хотели бы проводить свое свободное время, - Никифоров А.Н.
6. С кем из членов коллектива вы не хотели бы иметь ничего общего, - Николаев М.Е.
Укажите, пожалуйста, номер, под которым в списке значится ваше фамилия, - 4.
1. Кто по вашему мнению, из членов бригады является авторитетом и примером:
а) Как специалист, - Николаев М.Е.
б) по отношению к работе, - Николаев М.Е.
в) по отношению к товарищам по работе, - Лебедев Н.С.
г) по поведению в быту, - Алексеева Н.В.
2. С кем из члена коллектива вы наиболее охотно работаете:
а) на одной операции, - Андреева А.Н.
б) на один наряд в бригаде, - Андреева А.Н.
в) в коллективе, - Борисов М.С.
3. К какому из товарищей вы предпочитаете обратиться с вопросами по работе: Алексеева Н.В.
4. С кем из товарищей вы могли бы поделиться своими переживаниями, - Андреева А.Н.
5. С кем из членов коллектива вы хотели бы проводить свое свободное время, - Андреева А.Н.
6. С кем из членов коллектива вы не хотели бы иметь ничего общего, - Николаев М.Е.
Укажите, пожалуйста, номер, под которым в списке значится ваше фамилия, - 3.
1. Кто по вашему мнению, из членов бригады является авторитетом и примером:
а) Как специалист, - Андреева А.Н.
б) по отношению к работе, - Николаев М.Е.
в) по отношению к товарищам по работе, - Лебедев Н.С.
г) по поведению в быту, - Алексеева Н.В.
2. С кем из члена коллектива вы наиболее охотно работаете:
а) на одной операции, - Андреева А.Н.
б) на один наряд в бригаде, - Николаев М.Е
в) в коллективе, - Борисов М.С.
3. К какому из товарищей вы предпочитаете обратиться с вопросами по работе: Никифоров А.Н.
4. С кем из товарищей вы могли бы поделиться своими переживаниями, - Андреева А.Н.
5. С кем из членов коллектива вы хотели бы проводить свое свободное время, - Андреева А.Н.
6. С кем из членов коллектива вы не хотели бы иметь ничего общего, - Николаев М.Е.
Укажите, пожалуйста, номер, под которым в списке значится ваше фамилия, - 2.
1. Кто по вашему мнению, из членов бригады является авторитетом и примером:
а) Как специалист, - Борисов М.С.
б) по отношению к работе, - Николаев М.Е.
в) по отношению к товарищам по работе, - Лебедев Н.С.
г) по поведению в быту, - Борисов М.С.
2. С кем из члена коллектива вы наиболее охотно работаете:
а) на одной операции, - Борисов М.С.
б) на один наряд в бригаде, - Николаев М.Е
в) в коллективе, - Николаев М.Е
3. К какому из товарищей вы предпочитаете обратиться с вопросами по работе: Никифоров А.Н.
4. С кем из товарищей вы могли бы поделиться своими переживаниями, - Андреева А.Н.
5. С кем из членов коллектива вы хотели бы проводить свое свободное время, - Андреева А.Н.
6. С кем из членов коллектива вы не хотели бы иметь ничего общего, - Николаев М.Е.
Укажите, пожалуйста, номер, под которым в списке значится ваше фамилия, - 1.
ПРИЛОЖЕНИЕ В
Ответы Андреевой А.Н.
|
Свойства психологического климата |
Оценка |
Свойства психологического климата |
|
1. Преобладает добрый жизнерадостный тон настроения |
213213 |
Преобладает подавленное настроение |
|
2. Доброжелательность в отношениях, взаимные симпатии |
123123 |
Конфликтность в отношениях |
|
3. В отношениях между группировками внутри вашего коллектива существует взаимное расположение, понимание |
213210 |
Группировки конфликтуют между собой |
|
4. Членам группы нравится вместе проводить время, участвовать в совместной деятельности |
1123221 |
Проявляют к более тесному общению безразличие |
|
5. Успехи или неудачи товарищей вызывает сопереживание |
1120320 |
Успехи или неудачи товарищей оставляют равнодушными |
|
6. С уважением относитесь к мнениям других |
1230213 |
Каждый считает свое мнение главным |
|
7. Достижения и неудача группы переживают как собственные |
2100312 |
Достижения и неудачи группы не находят отклика у ее членов |
|
8. В трудные дни для группы происходит эмоциональное единение |
2132103 |
В трудные минуты группа раскисает |
|
9. Чувство гордости за группу, если ее отмечает руководство |
2103210 |
К похвалам и поощрениям группа относится равнодушно |
|
10. Группа активна, полна энергии |
1232102 |
Группа инертна, пассивна |
|
11. Участливо и доброжелательно относятся к новичкам |
1230123 |
Новички чувствуют себя чужими |
|
12. В группе существует справедливое отношение |
1203121 |
Группа заметно разделяется |
|
13. Совместные дела увлекают всех |
1212321 |
Группу не возможно поднять |
Ответы Алексеевой Н.В.
|
Свойства психологического климата |
Оценка |
Свойства психологического климата |
|
1. Преобладает добрый жизнерадостный тон настроения |
1023120 |
Преобладает подавленное настроение |
|
2. Доброжелательность в отношениях, взаимные симпатии |
321023 |
Конфликтность в отношениях |
|
3. В отношениях между группировками внутри вашего коллектива существует взаимное расположение, понимание |
1123221 |
Группировки конфликтуют между собой |
|
4. Членам группы нравится вместе проводить время, участвовать в совместной деятельности |
1232213 |
Проявляют к более тесному общению безразличие |
|
5. Успехи или неудачи товарищей вызывает сопереживание |
1232012 |
Успехи или неудачи товарищей оставляют равнодушными |
|
6. С уважением относитесь к мнениям других |
1200321 |
Каждый считает свое мнение главным |
|
7. Достижения и неудача группы переживают как собственные |
1232102 |
Достижения и неудачи группы не находят отклика у ее членов |
|
8. В трудные дни для группы происходит эмоциональное единение |
1232103 |
В трудные минуты группа раскисает |
|
9. Чувство гордости за группу, если ее отмечает руководство |
1203123 |
К похвалам и поощрениям группа относится равнодушно |
|
10. Группа активна, полна энергии |
1203212 |
Группа инертна, пассивна |
|
11. Участливо и доброжелательно относятся к новичкам |
1230231 |
Новички чувствуют себя чужими |
|
12. В группе существует справедливое отношение |
1321320 |
Группа заметно разделяется |
|
13. Совместные дела увлекают всех |
1212321 |
Группу не возможно поднять |
Ответы Никифорова А.Н.
|
Свойства психологического климата |
Оценка |
Свойства психологического климата |
|
1. Преобладает добрый жизнерадостный тон настроения |
1023120 |
Преобладает подавленное настроение |
|
2. Доброжелательность в отношениях, взаимные симпатии |
321023 |
Конфликтность в отношениях |
|
3. В отношениях между группировками внутри вашего коллектива существует взаимное расположение, понимание |
1232102 |
Группировки конфликтуют между собой |
|
4. Членам группы нравится вместе проводить время, участвовать в совместной деятельности |
1230123 |
Проявляют к более тесному общению безразличие |
|
5. Успехи или неудачи товарищей вызывает сопереживание |
2312301 |
Успехи или неудачи товарищей оставляют равнодушными |
|
6. С уважением относитесь к мнениям других |
1232123 |
Каждый считает свое мнение главным |
|
7. Достижения и неудача группы переживают как собственные |
1203210 |
Достижения и неудачи группы не находят отклика у ее членов |
|
8. В трудные дни для группы происходит эмоциональное единение |
1032103 |
В трудные минуты группа раскисает |
|
9. Чувство гордости за группу, если ее отмечает руководство |
1023120 |
К похвалам и поощрениям группа относится равнодушно |
|
10. Группа активна, полна энергии |
1232012 |
Группа инертна, пассивна |
|
11. Участливо и доброжелательно относятся к новичкам |
1023120 |
Новички чувствуют себя чужими |
|
12. В группе существует справедливое отношение |
1232010 |
Группа заметно разделяется |
|
13. Совместные дела увлекают всех |
1230213 |
Группу не возможно поднять |
Ответы Борисова М.С.
|
Свойства психологического климата |
Оценка |
Свойства психологического климата |
|
1. Преобладает добрый жизнерадостный тон настроения |
1232102 |
Преобладает подавленное настроение |
|
2. Доброжелательность в отношениях, взаимные симпатии |
213210 |
Конфликтность в отношениях |
|
3. В отношениях между группировками внутри вашего коллектива существует взаимное расположение, понимание |
1203210 |
Группировки конфликтуют между собой |
|
4. Членам группы нравится вместе проводить время, участвовать в совместной деятельности |
123021 |
Проявляют к более тесному общению безразличие |
|
5. Успехи или неудачи товарищей вызывает сопереживание |
1203210 |
Успехи или неудачи товарищей оставляют равнодушными |
|
6. С уважением относитесь к мнениям других |
120123 |
Каждый считает свое мнение главным |
|
7. Достижения и неудача группы переживают как собственные |
2103210 |
Достижения и неудачи группы не находят отклика у ее членов |
|
8. В трудные дни для группы происходит эмоциональное единение |
3202102 |
В трудные минуты группа раскисает |
|
9. Чувство гордости за группу, если ее отмечает руководство |
1023102 |
К похвалам и поощрениям группа относится равнодушно |
|
10. Группа активна, полна энергии |
1032102 |
Группа инертна, пассивна |
|
11. Участливо и доброжелательно относятся к новичкам |
1023120 |
Новички чувствуют себя чужими |
|
12. В группе существует справедливое отношение |
1232010 |
Группа заметно разделяется |
|
13. Совместные дела увлекают всех |
1230213 |
Группу не возможно поднять |
Ответы Лебедева Н.С.
|
Свойства психологического климата |
Оценка |
Свойства психологического климата |
|
1. Преобладает добрый жизнерадостный тон настроения |
1232102 |
Преобладает подавленное настроение |
|
2. Доброжелательность в отношениях, взаимные симпатии |
1230213 |
Конфликтность в отношениях |
|
3. В отношениях между группировками внутри вашего коллектива существует взаимное расположение, понимание |
1203210 |
Группировки конфликтуют между собой |
|
4. Членам группы нравится вместе проводить время, участвовать в совместной деятельности |
1232103 |
Проявляют к более тесному общению безразличие |
|
5. Успехи или неудачи товарищей вызывает сопереживание |
1203210 |
Успехи или неудачи товарищей оставляют равнодушными |
|
6. С уважением относитесь к мнениям других |
1230123 |
Каждый считает свое мнение главным |
|
7. Достижения и неудача группы переживают как собственные |
23122 |
Достижения и неудачи группы не находят отклика у ее членов |
|
8. В трудные дни для группы происходит эмоциональное единение |
3210321 |
В трудные минуты группа раскисает |
|
9. Чувство гордости за группу, если ее отмечает руководство |
3210320 |
К похвалам и поощрениям группа относится равнодушно |
|
10. Группа активна, полна энергии |
1032102 |
Группа инертна, пассивна |
|
11. Участливо и доброжелательно относятся к новичкам |
1023120 |
Новички чувствуют себя чужими |
|
12. В группе существует справедливое отношение |
1232010 |
Группа заметно разделяется |
|
13. Совместные дела увлекают всех |
1230213 |
Группу не возможно поднять |
Ответы Николаева М.Е.
|
Свойства психологического климата |
Оценка |
Свойства психологического климата |
|
1. Преобладает добрый жизнерадостный тон настроения |
1232102 |
Преобладает подавленное настроение |
|
2. Доброжелательность в отношениях, взаимные симпатии |
1230213 |
Конфликтность в отношениях |
|
3. В отношениях между группировками внутри вашего коллектива существует взаимное расположение, понимание |
12302132 |
Группировки конфликтуют между собой |
|
4. Членам группы нравится вместе проводить время, участвовать в совместной деятельности |
1321303 |
Проявляют к более тесному общению безразличие |
|
5. Успехи или неудачи товарищей вызывает сопереживание |
2131323 |
Успехи или неудачи товарищей оставляют равнодушными |
|
6. С уважением относитесь к мнениям других |
1230123 |
Каждый считает свое мнение главным |
|
7. Достижения и неудача группы переживают как собственные |
23122 |
Достижения и неудачи группы не находят отклика у ее членов |
|
8. В трудные дни для группы происходит эмоциональное единение |
3210321 |
В трудные минуты группа раскисает |
|
9. Чувство гордости за группу, если ее отмечает руководство |
3210320 |
К похвалам и поощрениям группа относится равнодушно |
|
10. Группа активна, полна энергии |
1032102 |
Группа инертна, пассивна |
|
11. Участливо и доброжелательно относятся к новичкам |
1023120 |
Новички чувствуют себя чужими |
|
12. В группе существует справедливое отношение |
2132102 |
Группа заметно разделяется |
|
13. Совместные дела увлекают всех |
12320123 |
Группу не возможно поднять |
ПРИЛОЖЕНИЕ Г.
|
Вопрос/роли |
1 |
2 |
3 |
4 |
5 |
|
1 |
Г |
Е |
В |
З |
Ж |
|
2 |
Б |
Д |
Ж |
Г |
А |
|
3 |
А |
В |
Г |
Ж |
З |
|
4 |
З |
Б |
Д |
В |
Г |
|
5 |
Е |
Г |
З |
А |
Б |
|
6 |
В |
Ж |
А |
Д |
Г |
|
7 |
Ж |
А |
Е |
Б |
Д |
|
Сумма |
2 |
1 |
1 |
1 |
1 |
Тест “групповые роли”.
Ответы Андреевой А.Н.
1. Что, по моему мнению, я могу привнести в групповую работу:
а) я быстро нахожу новые возможности:
2. У меня есть недостатки в групповой работе, возможно, это го, что:
ж) я сильно увлекаюсь собственными идеями и теряю нить происходящего и группе;
3. Когда я включен в работу с другими:
в) я готов настаивать на каких-то действиях, чтобы не потерять время и не упустить из виду главную цель;
4. В групповой работе для меня характерно, что:
г) я думаю, что у меня есть дар выполнить работу, как только ее план нужно приводить в действие;
5. Я получаю удовольствие от своей работы, потому что:
а) мне нравится анализировать ситуаций и искать правильный выбор;
6. Если я неожиданно получил трудовое задание, которое надо выполнить в ограниченное время и с незнакомыми людьми:
д) я верю, что буду спокойно, на пределе своих способностей, идти прямо к цели,
7. Что касается проблем, которые у меня возникают, когда я работаю в группе;
а) я всегда показываю нетерпение, если кто-то тормозит процесс;
Ответы Алексеевой Н.В.
1. Что, по моему мнению, я могу привнести в групповую работу:
з) у меня нет предубеждений, поэтому я всегда даю возможность альтернативного действия.
2. У меня есть недостатки в групповой работе, возможно, это го, что:
б) я даю слишком большую свободу людям, точку зрения я считаю обоснованной;
3. Когда я включен в работу с другими:
а) и влияю на людей, не подавляя их;
4. В групповой работе для меня характерно, что:
д) у меня есть склонность избегать очевидного, а предлагать что-то неожиданное;
5. Я получаю удовольствие от своей работы, потому что:
г) мне приятно оказывать сильное влияние при принятии решений;
6. Если я неожиданно получил трудовое задание, которое надо выполнить в ограниченное время и с незнакомыми людьми:
д) я верю, что буду спокойно, на пределе своих способностей, идти прямо к цели,
7. Что касается проблем, которые у меня возникают, когда я работаю в группе;
е) иногда мне бывает трудно объяснить другим какие-либо сложные вещи, которые приходят мне на ум;
Ответы Никифорова А.Н.
1. Что, по моему мнению, я могу привнести в групповую работу:
в) я согласен быть непопулярным, если в итоге это приведет к результатам;
2. У меня есть недостатки в групповой работе, возможно, это го, что:
а) я очень напряжен, пока мероприятие не продумано, не проконтролирована, не проведено;
3. Когда я включен в работу с другими:
е) я очень внимательно отношусь к новым идеям и предложениям;
4. В групповой работе для меня характерно, что:
в) у меня всегда найдутся хорошие аргументы, чтобы опровергнуть ошибочные предложения;
5. Я получаю удовольствие от своей работы, потому что:
а) мне нравится анализировать ситуаций и искать правильный выбор;
6. Если я неожиданно получил трудовое задание, которое надо выполнить в ограниченное время и с незнакомыми людьми:
з) я устрою обсуждение, чтобы стимулировать людей высказывать новые идеи и искать возможности продвижения к цели.
7. Что касается проблем, которые у меня возникают, когда я работаю в группе;
а) я всегда показываю нетерпение, если кто-то тормозит процесс;
Ответы Борисова М.С.
1. Что, по моему мнению, я могу привнести в групповую работу:
а) я быстро нахожу новые возможности:
2. У меня есть недостатки в групповой работе, возможно, это го, что:
з) мои коллеги считают, что я слишком беспокоюсь о несущественных деталях и переживаю, что ничего не получится.
3. Когда я включен в работу с другими:
г) у меня всегда есть оригинальные идеи;
4. В групповой работе для меня характерно, что:
г) я думаю, что у меня есть дар выполнить работу, как только ее план нужно приводить в действие;
5. Я получаю удовольствие от своей работы, потому что:
д) у меня есть возможность встречаться с людьми, которые могут предложить что-то новое;
6. Если я неожиданно получил трудовое задание, которое надо выполнить в ограниченное время и с незнакомыми людьми:
а) я буду чувствовать себя загнанным в угол, пока не найду выход из тупика и не выработаю свою линию поведения;
7. Что касается проблем, которые у меня возникают, когда я работаю в группе;
а) я всегда показываю нетерпение, если кто-то тормозит процесс;
Ответы Лебедева М.Е.
1. Что, по моему мнению, я могу привнести в групповую работу:
а) я быстро нахожу новые возможности:
2. У меня есть недостатки в групповой работе, возможно, это го, что:
з) мои коллеги считают, что я слишком беспокоюсь о несущественных деталях и переживаю, что ничего не получится.
3. Когда я включен в работу с другими:
д) я всегда готов поддерживать хорошее предложение в .общих интересах;
4. В групповой работе для меня характерно, что:
а) я очень заинтересован хорошо знать своих коллег?
5. Я получаю удовольствие от своей работы, потому что:
а) мне нравится чувствовать, что я влияю на установление хороших взаимоотношений;
6. Если я неожиданно получил трудовое задание, которое надо выполнить в ограниченное время и с незнакомыми людьми:
а) я буду чувствовать себя загнанным в угол, пока не найду выход из тупика и не выработаю свою линию поведения;
7. Что касается проблем, которые у меня возникают, когда я работаю в группе;
д) мне трудно начать работу, если я четко не представляю своей цели;
Ответы Николаева М.Е.
1. Что, по моему мнению, я могу привнести в групповую работу:
в) у меня хорошо получается выдвигать новые идеи;
2. У меня есть недостатки в групповой работе, возможно, это го, что:
ж) я сильно увлекаюсь собственными идеями и теряю нить происходящего и группе;
3. Когда я включен в работу с другими:
з) мне можно доверить проследить, чтобы вей основная работа была выполнена.
4. В групповой работе для меня характерно, что:
г) я думаю, что у меня есть дар выполнить работу, как только ее план нужно приводить в действие;
5. Я получаю удовольствие от своей работы, потому что:
е) я могу добиться согласия людей по поводу кода выполнения работы;
6. Если я неожиданно получил трудовое задание, которое надо выполнить в ограниченное время и с незнакомыми людьми:
г) мое врожденное чувство времени не позволит мне отстать от графика;
7. Что касается проблем, которые у меня возникают, когда я работаю в группе;
д) мне трудно начать работу, если я четко не представляю своей цели;
[1] Веснин Р.В. Практический «менеджмент персонала пособие по кадровой работе - М.: Юрист, 1998 - 496 с,
[2] Веснин Р.В. Практический «менеджмент персонала пособие по кадровой работе - М.: Юрист, 1998 - 496 с,
[3] Виханский О.С. Наумов А.И. Менеджмент, человек, стратегия, организация, процесс Учебник. - М.: Изд. МГУ, 2002 - 418 с.
[4] Виханский О.С. Наумов А.И. Менеджмент, человек, стратегия, организация, процесс Учебник. - М.: Изд. МГУ, 2002 - 418 с.
[5] Егоршин А. П. Управление персоналом. - Н,. 1993 г.
[6] Карташова П.В. Никонова ТВ. Поведение в организации. Учебник, М; ИНФРА-М. 1999.
[7] Карташова П.В. Никонова ТВ. Поведение в организации. Учебник, М; ИНФРА-М. 1999.
[8] Красовский Ю.Д. Организационное поведение Учебное пособие для вузов. - М.:ЮНИТИ. 1999.-472 с.
[9] Охотский Е.В. Анисимов ЕШ. Книга кадрового работника кадровой службы - М.: ОАО изд. «Экономика», 1998 -494 с
[10] Ромашов 0,8. Социология труда. Учебное пособие – М.: Гардарика, 1999,