Содержание
Введение. 3
1. Стратегия и структура организации. 5
2. Типы организационных структур. 9
3. Построение организационных структур и проектирование работы.. 15
Заключение. 29
Список литературы.. 32
Введение
Менеджмент (англ . management - управление, заведование, организация) – это управление производством или коммерцией; совокупность принципов, методов, средств и форм управления, разрабатываемых и применяемых с целью повышения эффективности производства и увеличения прибыли.
Современный менеджмент включает две неотъемлемые части: теорию руководства ; практические способы эффективного управления, или искусство управления.
Русское слово “управление “ и английское слово “менеджмент“ считаются синонимами, однако в действительности их истинное содержание весьма различается. Употребляя термин “менеджмент“, мы следуем установившейся в международной практике традиции, согласно которой под ним подразумевается вполне определенный круг явлений и процессов. На самом деле термин “управление“ не является удовлетворительным заместителем термина “менеджмент“ потому, что в последнем случае речь идет лишь об одной из форм управления, а именно об управлении социально - экономическими процессами посредством и в рамках предпринимательской структуры, акционерной компании. Причем адекватной экономической основой менеджмента является рыночный тип хозяйствования, осуществляемый на базе индустриальной организации производства или коммерции. Таким образом, термин “менеджмент “ употребляется применительно к управлению хозяйственной деятельностью, тогда как у других целей используются иные термины.
В наших условиях следует употреблять термины “организация“, “управление“ и “ администрирование”. Тем не менее, государственные, общественные и иные организации также должны использовать принципы и методы менеджмента, если хотят достичь своих целей при минимуме затрат.
Задачами менеджмента как науки являются разработка, экспериментальная проверка и применение на практике научных подходов, принципов и методов, обеспечивающих устойчивую, надежную, перспективную и эффективную работу коллектива (индивидуума) путем выпуска конкурентоспособного товара. В то же время конечной целью менеджмента как практики эффективного управления является обеспечение прибыльности предприятия путем рациональной организации производственного (торгового) процесса, включая управление производством (коммерцией) и развитие технико-технологической базы.
Исходя из этого важнейшей задачей менеджмента является организация производства товаров и услуг с учетом спроса потребителей на основе имеющихся ресурсов.
Целью данной работы является изучение структуры, стратегии организации, рассмотрение построения организационных структур и проектирования работы, изучение типов организационных структур.
1. Стратегия и структура организации
Организация- пространственно-временная структура производственных факторов и их взаимодействие с целью получения максимальных качественных и количественных результатов в самое короткое время и при минимальных затратах факторов производства.
Есть, к примеру, следующее определение сущности организации как процесса: это составная часть менеджмента, которая заключается в решении вопросов формирования структуры, касающихся: ответственности, посредством которой поставленные перед предприятием задачи распределяются между отдельными руководителями (менеджерами) - инспекторами-контролерами и другими служащими; формальных внутренних взаимоотношений между служащими предприятия по поводу распределения ответственности.
Организация состоит из лиц, которые имеют перед собой некую цель; работают в одной команде, группе; используют определенные знания и технические приемы; выступают как единый и целостный организм.
Организационная структура — это целостная система, специально разработанная таким образом, чтобы работающие в ее рамках люди могли наиболее эффективно добиться поставленной перед ними цели.
Организацией часто также называют отдельную фирму как производственную единицу, представляющую собой единый целостный организм.
Организация обладает следующими общими признаками: определение ее характера кадрами и менеджером; объединение процессов, которые без этого взаимодействуют нецеленаправленно или неэффективно; сохранение как предварительно запланированного порядка процесса, так и оперативного, зависящего от ситуации реагирования работника и менеджера.
Незапланированные действия предполагают установление ответственности в менеджменте: определенная, зависящая от процесса гибкость, что обеспечивает функционирование системы в изменяющихся условиях; единство рабочих процессов и процессов управления, как результата разумного разделения труда.
Организация - единство состояния и процесса, так как она обеспечивает стабильные организационные решения, но является сама лишь относительно стабильной вследствие постоянного развития внешней и внутренней сред фирмы.
Структура управления обеспечивает выполнение общих и конкретных функций управления, сохраняет целесообразные вертикальные и горизонтальные связи и разделение элементов управления.
Вертикальное разделение определяется числом уровней управления, а также их подчиненностью и директивными отношениями. Горизонтальное разделение осуществляется по отраслевым признакам. Оно может быть ориентировано: на подпроцессы промышленного производства; изготавливаемые изделия; пространственные производственные условия.
Организационная структура регулирует: разделение задач по отделениям и подразделениям; их компетентность в решении определенных проблем; общее взаимодействие этих элементов.
Тем самым фирма создается как иерархическая структура. Основные законы рациональной организации: упорядочение задач в соответствии с важнейшими точками процесса; приведение управленческих задач в соответствии с принципами компетентности и ответственности (согласование компетентности и ответственности, согласование "поля решения" и доступной информации, способность компетентных функциональных единиц принять к решению новые задачи); обязательное распределение ответственности (не за сферу, а за "процесс"); короткие пути управления; баланс стабильности и гибкости; способность к целеориентированной самоорганизации и активности; желательность стабильности циклически повторяемых действий.
На организационную структуру влияют следующие факторы: размеры предприятия; применяемая технология; окружающая среда[1].
Стратегия представляет собой детальный всесторонний комплексный план, предназначенный для того, чтобы обеспечить осуществление миссии организации и достижение ее целей.
Слово «стратегия» произошло от греческого strategos, «искусство генерала». Военное происхождение этого термина не должно вызывать удивления. Именно strategos позволило Александру Македонскому завоевать мир.
Несколько основных тезисов, относящихся к стратегии, должны быть поняты и, что более важно, приняты высшим руководством. Прежде всего, стратегия большей частью формулируется и разрабатывается высшим руководством, но ее реализация предусматривает участие всех уровней управления. Стратегический план должен обосновываться обширными исследованиями и фактическими данными. Чтобы эффективно конкурировать в сегодняшнем мире бизнеса предприятие должно постоянно заниматься сбором и анализом огромного количества информации об отрасли, конкуренции и других факторах.
Стратегический план придает предприятию определенность, индивидуальность, что позволяет ему привлекать определенные типы работников, и, в то же время, не привлекать работников других типов. Этот план открывает перспективу для предприятия, которое направляет его сотрудников, привлекает новых работников и помогает продавать изделия или услуги.
Наконец, стратегические планы должны быть разработаны так, чтобы не только оставаться целостными в течение длительных периодов времени, но и быть достаточно гибкими, чтобы при необходимости можно было осуществить их модификацию и переориентацию. Общий стратегический план следует рассматривать как программу, которая направляет деятельность фирмы в течение продолжительного периода времени, давая себе отчет о том, что конфликтная и постоянно меняющаяся деловая и социальная обстановка делает постоянные корректировки неизбежными.
Можно выделить несколько отличительных особенностей стратегии:
Процесс выработки стратегии не завершается каким-либо немедленным действием. Обычно он заканчивается установлением общих направлений, продвижение по которым обеспечит рост и укрепление позиций фирмы.
Сформулированная стратегия должна быть использована для разработки стратегических проектов, методов поиска. Роль стратегии в поиске состоит в том, чтобы, во-первых, сосредоточить внимание на определённых участках или возможностях, во-вторых, отбросить все остальные возможности как несовместимые со стратегией.
Необходимость в данной стратегии отпадает, как только реальный ход событий выведет организацию на желаемое развитие.
В ходе формулирования стратегий нельзя предвидеть все возможности, которые откроются при составлении проекта конкретных мероприятий. Поэтому приходится пользоваться сильно обобщённой, неполной и неточной информацией о различных альтернативах.
При появлении более точной информации может быть поставлена под сомнение обоснованность первоначальной стратегии. Поэтому необходима обратная связь, позволяющая обеспечить своевременное переформулирование стратегии.
Процесс реализации стратегии может быть разделён на два больших этапа:
а) процесс стратегического планирования - выработка набора стратегий, начиная от базовой стратегии предприятия и заканчивая функциональными стратегиями и отдельными проектами;
б) процесс стратегического управления - реализация определённой стратегии во времени, переформулирование стратегии в свете новых обстоятельств.
Стратегическое планирование есть систематизированный и логический процесс, основанный на рациональном мышлении. В то же время оно есть искусство прогнозирования, исследования, расчёта и выбора альтернатив. Процесс выбора стратегии состоит из этапов разработки, доводки и анализа (оценки). На первом этапе создаются стратегии, позволяющие достичь поставленных целей. Здесь важно разработать возможно большее число альтернативных стратегий. На втором — стратегии дорабатываются до уровня адекватности целям развития организации во всем их многообразии и формируется общая стратегия. На третьем — анализируются альтернативы в рамках общей выбранной общей стратегии фирмы и оцениваются по степени пригодности для достижения ее главных целей. На этом этапе происходит наполнение общей стратегии конкретным содержанием[2].
2. Типы организационных структур
Организационная структура аппарата управления - форма разделения труда по управлению производством. Каждое подразделение и должность создаются для выполнения определенного набора функций управления или работ. Для выполнения функций подразделения их должностные лица наделяются определенными правами на распоряжения ресурсами и несут ответственность за выполнение закрепленных за ним функций.
Схема организационной структуры управления отражает статическое положение подразделений и должностей и характер связи между ними.
Различают связи: линейные (административное подчинение), функциональные (по сфере деятельности без прямого административного подчинения), межфункциональные, или кооперационные (между подразделениями одного и того же уровня).
В зависимости от характера связей выделяются несколько основных типов организационных структур управления: линейная; функциональная; линейно-функциональная; матричная; дивизиональная; множественная.
В линейной структуре управления каждый руководитель обеспечивает руководство нижестоящими подразделениями по всем видам деятельности. Достоинство - простота, экономичность, предельное единоначалие. Основной недостаток - высокие требования к квалификации руководителей. Сейчас практически не используется.
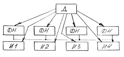
Функциональная организационная структура реализует тесную связь административного управления с осуществлением функционального управления (рис.1)[3].

Д- директор; ФН - функциональные начальники; И - исполнители
Рисунок 1 – Функциональная система управления
На рис. 1 административные связи функциональных начальников с исполнителями (И1 – И3) такие же, как и для исполнителя И4 (они не показаны в целях обеспечения ясности рисунка).
В этой структуре нарушен принцип единоначалия и затруднена кооперация. Практически она не используется.
Линейно-функциональная структура - ступенчатая иерархическая. При ней линейные руководители являются единоначальниками, а им оказывают помощь функциональные органы. Линейные руководители низших ступеней административно не подчинены функциональным руководителям высших ступеней управления. Она применялась наиболее широко (рис. 2).

Д- директор; ФН - функциональный начальники; ФП – функциональные подразделения; ОП - подразделения основного производства.
Рисунок 2 - Линейно-функциональная структура управления
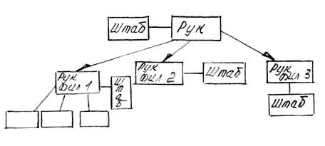
Иногда такую систему называют штабной, так как функциональные руководители соответствующего уровня составляют штаб линейного руководителя (на рис. 3 функциональные начальники составляют штаб директора).
Дивизиональная (филиальная структура) изображена на рис.3. Дивизионы (филиалы) выделяются или по области деятельности или географически.

Рисунок 3 - Дивизиональная структура управления
Матричная структура (рис. 4,5) характерна тем, что исполнитель может иметь двух и более руководителей (один - линейный, другой - руководитель программы или направления). Такая схема давно применялась в управлении НИОКР, а сейчас широко применяется в фирмах, ведущих работу по многим направлениям. Она все более вытесняет из применения линейно-функциональную.

Рисунок 4 - Матричная структура управления, ориентированная на продукт
Множественная структура объединяет различные структуры на разных ступенях управления. Например, филиальная структура управления может применяться для всей фирмы, а в филиалах - линейно-функциональная или матричная.
Анализ достоинств и недостатков структур управления позволяет найти критерии их оптимального использования.
Линейно-функциональная система обеспечивает, начиная со второго уровня иерархии, деление задачи управления "по функциям". Штабы могут создаваться в центральных и других органах управления, образовывая штабную иерархию.
Эта структура управления характеризуется: высокой централизацией стратегических решений и децентрализацией оперативных, организацией директивных связей по однолинейному принципу, преобладающим применением инструментов координации с технической поддержкой.
По идее штабы должны давать консультации и участвовать в подготовке решений, но не давать конкретных директив. Однако вследствие своей профессиональной компетентности их сотрудники часто оказывают сильное неформальное влияние на линейных руководителей. Если же они выполняют только рекомендательную функцию, то возникает риск, что их работа слабо влияет на ход производственных процессов.
Структура имеет следующие преимущества: обеспечивает высокую профессиональную специализацию сотрудников, позволяет точно определить места принятия решений и необходимые ресурсы (кадровые), способствует стандартизации, формализации и программированию процессов управления.
Недостатки: образование специфических для функциональных подразделений целей затрудняет горизонтальное согласование, структура жестка и с трудом реагирует на изменения.
Дивизиональные структуры управления ориентируются на изделия, рынки сбыта, регионы. При этом обеспечивается: относительно большая самостоятельность руководителей дивизионов, организация директивных связей по линейному принципу, относительно мощное использование инструмента координации с технической поддержкой, быстрая реакция на изменения рынка, освобождение высших руководителей фирмы от оперативных и рутинных решений, снижение конфликтных ситуаций вследствие гомогенности целей в дивизионе.
К числу недостатков этой структуры относят: относительно высокие затраты на координацию ввиду децентрализации вплоть до отдельного финансирования из бюджета и системы расчетных цен; при децентрализации теряются преимущества кооперации, что часто требует централизации выполнения отдельных функций (НИОКР, снабжение и т.д.).
Многомерные формы организации и управления характеризуются применением двух (матричная) или нескольких (тензорная) критериев разделения задач.
Общими признаками этой организационной формы являются: лимитированное пространство принятия решений инстанциями менеджмента, организация директивных связей по многолинейному принципу, большие затраты на координацию между инстанциями[4].
Можно различить структуры, ориентированные на производство и на проект. Структура, направленная на производство, не ограничена временными рамками. Здесь имеется функциональная область менеджмента (где находятся многие стабильные организационные решения) и менеджмент по изделию (горизонтальный срез, охватывающий все предприятия).
Проблемы такой организации состоят: в регулировании задач, компетентности и ответственности менеджеров по изделиям, больших затратах на координацию, возможных директивных конфликтах.
Структуры, направленные на проект, как правило, ограничены по срокам и характерны для сложных и рисковых проектов.
Их проблемы состоят: в конфликтах между инстанциями и менеджерами проектов (противоречивые указания, ресурсные конфликты), неуверенности менеджеров в реальности сроков выполнения задач по проектам.
Для предприятий (фирм), действующих на международном рынке, может применяться трехмерная (тензорная) структура управления: изделие - регион - функция.
Проблемы такой структуры управления: конфликт из-за власти между представителями нескольких инстанций; преобладающая работа в группах и, следовательно, возможная задержка в принятии решений и коллективная ответственность (безответственность)[5].
Поэтому требуется однозначное регулирование компетентности и нормальные рабочие отношения между партнерами[6].
3. Построение организационных структур и проектирование работы
Существуют три главных этапа в построении любой организации: определение характера выполняемой работы; распределение работы между отдельными позициями менеджмента; классификация позиций менеджмента, построение на этой основе логических групп управления.
Определение характера выполняемой работы. Для выполнения этой задачи данную стадию создания организации полезно также разбить на подпункты, предусматривающие определенные этапы и виды работ. Например, постановка задач, расчет необходимого объема работ для решения поставленных задач, устранение бесполезной работы и дублирования, разработка самого процесса, проверка (чтобы не опустить важную составляющую часть работы). Автор известных книг по вопросам предпринимательства профессор Друкер выделяет три этапа и направления анализа, который необходимо провести на рассматриваемом нами этапе построения организации.
Они включают анализ: деятельности, определение той работы, которая должна осуществляться, и способов координации взаимодействия; решений, какого вида решения будут приниматься и какое участие в этом будет принимать тот или иной менеджер; отношений, то есть определение того вклада в общее дело, который должен внести менеджер; лиц, с которыми менеджер должен взаимодействовать; влияния, оказываемого на менеджера другими лицами, принимающими решения.
Распределение работ между отдельными элементами менеджмента. Этот этап включает в себя: установление норм, стандартов (например, расчет допустимого объема должностных обязанностей для каждого руководителя любого уровня); технические приемы в рамках научных методов управления (например, анализ рабочего времени, изучение методов и организации труда и т. п.); установление полного сотрудничества всех лиц, работающих в рамках организации.
Классификация элементов менеджмента, построение логических групп. В данном вопросе важно, чтобы элементы управления были сгруппированы согласно виду выполняемой работы, а не по другим критериям (например, вокруг пользующихся авторитетом руководителей). Этот способ известен как «принцип ориентации». Распределение производственных обязанностей и формирование логических групп должны неизбежно привести к созданию отделов (подразделений), то есть коллективов людей, выполняющих некоторую аналогичную работу, как правило, под единым руководством начальника.
Создание отделов (подразделений) путем группирования аналогичных производственных функций и служащих позволяет добиться более эффективного управления, необходимой гибкости руководства компанией в период расширения ее хозяйственной деятельности.
Методы распределения обязанностей по отделам зависят от положенных в основу признаков.
Во-первых, по принципу деления на равные по размеру группы. Этот метод применяется, когда профессиональные работники одинаковы, а для достижения какой-либо цели необходимо определенное число людей.
Во-вторых, по функциональному признаку. Это наиболее распространенный способ создания отделов по производству, маркетингу, кадрам, финансовым вопросам и т.д. Их число зависит от потребностей самой организации
В-третьих, по территориальному признаку. Этот способ наиболее распространен в случаях, когда предприятие осуществляет свою деятельность на территории разных районов. Все виды операций компании на данной территории могут быть поручены региональному управляющему по сбыту.
В-четвертых, на основе выпускаемой продукции. Этот способ в настоящее время получает все большее распространение на крупных предприятиях, расширяющих ассортимент производимой продукции, где другой метод привел бы лишь к усложнению структуры организации.
В-пятых, на основе интересов потребителя. В тех отраслях, где покупатель является ключевым фактором, его интересы оказывают решающее влияние на структуру организации. Это особенно характерно для службы сервиса.
В крупных по масштабам деятельности компаниях используются все или некоторые из вышеприведенных способов.
При формировании структур управления во внимание принимаются следующие вопросы: стратификация, то есть сколько может потребоваться уровней управления; формализация, то есть насколько формальным должно быть взаимодействие. Чем более бюрократичен стиль, тем более формальной и системной должна быть внутренняя структура; централизация, то есть иерархия доведения принятых решений, все ли вопросы должно решать высшее руководство; сложность организационной структуры, то есть насколько сложным должно быть управление с организационной точки зрения.
Для эффективной работы организации важно четко и ясно определить функциональные обязанности и полномочия, а также их взаимоотношение.
Существуют три метода определения обязанностей и полномочий и их передачи в рамках организации. Каждый сотрудник компании должен понимать, что ожидается от него, какими полномочиями он обладает, какими должны быть его взаимоотношения с другими служащими.
Это достигается с помощью схемы организации, дополненной соответствующими справочниками (инструкциями), и распределения обязанностей.
При построении таких схем структур организации необходимо учитывать следующее: схема дает лишь общие контуры структуры организации; она должна быть доступна для понимания, содержать минимальное количество деталей; не существует стандартных построений организационной структуры, каждая фирма имеет свои особенности. Схема должна отражать реальную структуру фирмы и не являться своего рода теоретическим стандартом. Если схему структуры трудно составить, то причина может заключаться в том, что сама организация дефектна, то есть с течением времени ее структура стала неэффективной, громоздкой, а линии взаимоотношений стали искаженными.
Позитивная сторона использования схематичных построений. На подготовительном этапе построения схемы организации последняя должна быть подвергнута тщательному анализу. Такое исследование само по себе принесет большую пользу, поскольку оно обнаруживает «слабые места», накладки полномочий, недостаточно управляемые звенья производственного процесса и т. п[7].
Схема позволяет выделить линии взаимозависимости и отношений внутри организации. Как источник получения информации схема может быть использована в рамках ознакомления с деятельностью и структурой управления предприятием (в частности, вновь принятых на работу), а также в качестве дополнительного наглядного материала при изучении должностных инструкций. Ею можно воспользоваться в качестве основы для возможной реорганизации или модификации структуры организации.
Наконец, схема используется в качестве справочного материала, позволяет служащим предприятия быстро ознакомиться с происшедшими в рамках организации изменениями. Для этой цели структурная схема организации может быть помещена на доске объявлений.
Недостатки использования схематичных построений. Это, во-первых, статичность. Схема строения организации быстро устаревает. Она отражает организацию в определенный момент времени, в этом смысле она статична. Но так как бизнес динамичен, то, несмотря на то, что основная структура организации остается неизменной в течение длительного времени, в рамках этой структуры возникает много изменений (например, кадровых), что, естественно, требует внесения определенных замен и дополнений. Во-вторых, в схеме не отражаются неформальные отношения, что снижает ее практическую значимость.
Традиционными типы организационных структур являются
1. Департаментизация
Рост специализации отдельных работ в организации ограничивается возможностями по их координации. Разрешить эту проблему можно, если начать группировать схожие работы и их исполнителей, т. е. начать осуществлять их определенное организационное обособление исполнителей схожих работ. Данный процесс организационного обособления называется департаментизацией. Посредством департаментизации организация может расширяться практически беспредельно.
Примером тому являются корпорации-гиганты типа «Экссон», «Дженерал моторс», ИБМ и др. Существует много подходов к группированию специализированных работ в организациях. Двумя основными направлениями, по которым может осуществляться департаментизация, являются группирование работ вокруг ресурсов и группирование работ вокруг результата деятельности. В зависимости от степени ориентации на то или другое направление осуществляется соответствующий тип департаментизации[8].
а) Линейная организация
Линейная организация предполагает относительную автономность в работе. Такой автономностью, например, обладает солдат на поле боя, учащийся в классе, землекоп при рытье котлована и заводской рабочий в бригаде. Данный тип департаментизации характеризуется в целом простотой, одномерностью связей (только вертикальные связи) и возможностью самоуправления (относительная автономность). Поэтому он широко используется при организации работ в низовых производственных звеньях семейного или мелкого бизнеса. Такой простой подход к группированию работ и людей осуществляется обычно когда выполняемые работы очень однотипны, а люди - не дифференцируются. В среднего и большого размера организациях линейное деление на части дает эффект, как правило, на нижних уровнях иерархии (в группах, бригадах, звеньях и т. п.). Как только работы в организации начинают специализироваться, возникает необходимость перехода к другим типам департаментизации.
б) Функциональная организация.
С развитием специализации работы, связанной с получением и распределением ресурсов в организации, возникла функциональная департаментизация. В производстве этот тип департаментизации получил развитие в период промышленной революции при создании крупных фабрик и заводов. По сей день значительная часть предприятий и организаций использует данный подход. При функциональном делении организации на части специализированные работы группируются преимущественно, как это было отмечено выше, вокруг ресурсов. Так, отдел планирования управляет таким ресурсом, как время, отдел кадров - это люди, отдел финансов - деньги, отдел информационных систем - данные и т.д. Для производственной организации это означает, что нередко наряду с линейным делением работ в ее основном звене к этому добавляется функциональное деление высокоспециализированных работ, обслуживающих процесс производства.
Разновидностями функциональной департаментизации являются группирование работ по процессу (штучное, массовое и опытное производство), т. е. по типу производства, и по технологии (механизация, автоматизация и роботизация), т. е. по типу оборудования. В обоих случаях работы группируются по принципу их схожести (бригада сборки в массовом производстве или бригада, обслуживающая ЧПУ). Широкое использование функциональной департаментизации и ее разновидностей в проектировании организаций связано с некоторыми явными преимуществами, которые имеют данный подход. Основным из них является возможность осуществления той или иной работы наиболее эффективным способом. Это достигается благодаря развитию функциональной специализации, которая экономит время, упрощает подготовку работника и, главное, позволяет квалифицированно обслужить любую другую часть организации в области специализированной функции. Так, появление в бухгалтерии работника по расчету заработной платы производственного персонала безусловно способствует повышению качества этой процедуры. Тот факт, что обособление функциональных служб следует в организационной схеме сразу же за уровнем высшего руководства, придает силу и престиж важнейшим функциям. Следствием этого является укрепление вертикальных связей и коммуникаций в организации и усиление контроля за деятельностью нижестоящих уровней в организации.
Функциональная департаментизация открывает, таким образом, путь к количественному росту организации, сохраняя до определенной степени также качественные характеристики работы. Практически все индустриальные гиганты выросли на основе непосредственно этого типа департаментизации или же его разновидностей. Человечество обязано этому способу группирования работ в организации тем, что он позволил выйти на массовое производство, механизацию и автоматизацию производства. Однако широко известна и другая сторона данного процесса. Так, опасная организационная болезнь - функционализм, обязана своим появлением именно этому способу группирования работ. Функционализм вырастает из сверхспециализации, создающею непроницаемые организационные перегородки между сгруппированными работами и ослабляющей таким образом горизонтальные связи. В результате происходит размывание общем организационной цели и ее растаскивание по функциональным «квартирам». Создается замкнутость в рамках отделов и становится меньше людей, думающих об организации в целом. В подразделениях организации начинает развиваться инстинкт самосохранения, ведущих к консерватизму, складывается ситуация, при которой ненужную работу невозможно удалить из организации. Все это приводит к возникновению противоречий, конфликтов между функциональными участками. Еще одним серьезным недостатком функциональной организации является порождаемый ею так называемый «эффект бутылочного горла». Суть его состоит в том, что развитие преимущественно вертикальных связей в рамках функционального подхода поднимает решение проблем, возникающих на различных уровнях организации, до ее главного руководителя. В результате попытки руководителей сконцентрироваться на решении стратегических задач тонут в оперативной работе, в текучке. И это не является виной руководителя, а виной используемой организационной системы.
в) Дивизиональная организация
Проблемы функциональной департаментизации отчасти были решены сменой приоритета в направлении при проектировании организации, т. е. путем группирования работ вокруг результата. Новый тип группирования работ в организации получил название дивизиональной организации. При этом выделяется департаментизация по продукту, по потребителю и по рынку. Принцип схожести как и в предыдущем функциональном варианте остался, но теперь он стал относиться не к работе с ресурсом, а к работе над получением результата. Развитие продуктовой департаментизации в проектировании организаций на практике было связано с появлением многопродуктовых диверсифицированных производств или многонациональных компаний, что явилось естественной реакцией бизнеса на изменение внешней среды. Определенное влияние на развитие продуктового подхода оказала проводимая в США после второй мировой войны политика конверсии военного производства с целью выделения в его составе производства потребительских товаров. При департаментизации по потребителю группирование работ осуществляется вокруг конечного пользователя продукции (например, армия и гражданские отрасли или товары для дома и товары для промышленности и т.д.). Рыночная департаментизация строится в отношении географических и отраслевых рынков производства и продаж. В научной и опытно-конструкторской деятельности, а также в области государственного управления этот тип департаментизации получил название проектного или программного (управление по проекту, программно-целевое управление). Особенностью данного подхода является создание относительно автономных частей в организации, ориентированных на продукт, программу или проект, потребителя или рынок. В рамках подхода широко используется складывающаяся взаимозависимость между частями организации. Переход к продуктовому варианту в проектировании организации обычно начинается после того, как высшему руководству становится очевидной невозможность осуществления одновременно роста и адекватного реагирования на изменения внешней среды в рамках функциональной департаментизации. В этом случае в производственном звене выделяются автономные части, связанные технологически с различными продуктами, и на эти участки назначаются руководители, наделяемые полной ответственностью за производство того или иного продукта и получение прибыли. Участкам придается необходимое для обеспечения поставленных задач функциональное обслуживание. У высшего руководства остается небольшое количество централизованных функциональных служб (обычно 4-6), концентрирующихся на выполнении действий, носящих стратегический характер и обслуживающих принятие решений на высшем уровне. Группирование работ вокруг результата разрешило ряд проблем, возникших при ресурсном подходе. При рассматриваемом подходе наконец-то удалось исключить текучку из работы руководства организации путем отделения оперативного уровня управления, концентрирующегося на производстве конкретного продукта, от стратегического - отвечающего за рост и развитие организации в целом. Этому также способствовало перенесение ответственности за прибыль на «продуктовый» уровень, что несомненно высвободило время верхнего руководства для обдумывания и решения стратегических задач. Другим важным преимуществом департаментизации по продукту является то, что она приводит к значительному повышению внимания в процессе работы к конечному результату (продукту, потребителю, рынку). Перенос центра внимания в оперативном управлении на продукт облегчает интеграцию внутри ответственного за его производство подразделения и сплачивает людей. Повышение ответственности «продуктового» руководителя способствует развитию децентрализации, инициативы и автономии. Появление большего числа управленцев с общими обязанностями переводит «эффект бутылочного горла» с верхнего уровня управленческой иерархии вниз и ослабляет его негативное действие. В результате в рамках продуктовой организации растет эффективность. Вместе с тем очевидны и недостатки продуктовой департаментизации. Вместо функционализма появляется другая болезнь - «продуктивизм», или противопоставление целей продукта общим организационным целям. Развитие продуктовой иерархии ведет к дублированию в работе и соответствующему увеличению численности персонала, а также к неэффективному использованию ресурсов. В результате этого растут расходы на содержание дополнительных служб. Рост организации и автоматизация ее частей затрудняют проведение контроля сверху. Развитие диверсификации увеличивает множественность ролей, выполняемых работником в организации, а, следовательно, может приводить к увеличению стресса, вызываемого работой[9].
г) Матричная организация
Если проблема адаптации к внешней среде эффективно не разрешается в рамках отдельных направлений, то естественным выходом из положения становится одновременное усиление в группировании работ как ресурсного подхода, так и подхода, ориентированного на результат. Наиболее наглядным конкретным типом решения такого рода является матричный подход. Матричная департаментизация явилась отражением попыток одновременно максимизировать преимущества и минимизировать слабые стороны как функционального, так и продуктового подходов. Она представляет собой сбалансированный компромисс между делением и группированием работ вокруг ресурсов и вокруг результата.
Департаментизация на основе матричного подхода из всех имеющихся в практике является наиболее сложной для практической реализации. Однако при определенных обстоятельствах она может быть очень эффективной. Так, например, к матричной департаментизации обращаются тогда, когда требуется сложная система реакций на воздействие факторов внешней среды. Переход к матричному подходу в построении организации явился реакцией на изменение глубины и силы воздействия ряда факторов внешней среды, выразившееся в первую очередь в интенсификации потоков информации. Этот подход связывают также с решением проблем управления организациями в ситуациях, когда они испытывают сильное ограничение в ресурсах, особенно финансовых и людских, а также когда одновременно предъявляются очень высокие требования по функциональному и продуктовому направлениям. Отличительной чертой матричного подхода к департаментизации является формальное наличие у работника одновременно двух начальников, обладающих равными правами. Эта система двойного подчинения базируется на комбинации двух начал - функционального и продуктового. Каждая матрица отношений включает в себя три типа ролей в организации: главный руководитель, поддерживающий баланс в системе двойного подчинения; руководители функциональных и продуктовых подразделений, «делящие» подчиненного в ячейке матрицы между собой; руководители ячеек матрицы, равно отчитывающиеся и перед функциональным, и перед продуктовым руководителем.
Поддержание этих отношений на должном уровне предъявляет очень высокие во всех отношениях требования к персоналу. Функциональная, или техническая, часть матрицы ответственна за обеспечение работы спецификациями, техническим руководством, квалифицированным персоналом и его развитие. Продуктовая или административная часть матрицы отвечает за планирование работы, управление и оценку результатов, выполнение рабочих операций, достижение поставленных целей. Эффект от комбинации этих двух начал заключается в поддержании баланса между техническими (насколько хорошо работа выполнена) и административными (какая работа сделана и во сколько обошлось ее выполнение) целями.
Указанный баланс достигается путем «переплетения» вертикальных (административная часть) и горизонтальных (техническая часть) связей и коммуникаций. Работник в каждой ячейке матрицы подчиняется одновременно двум властям. Специалисты функциональных отделов закрепляются на формальной основе за определенным продуктом и поэтому должны подчиняться двум руководителям.
Технология перехода к использованию матричного подхода в проектировании организации состоит из трех стадий. На первой стадии создаются временные целевые группы по продукту, проекту или территории. Эти группы формируются из представителей различных частей организации. Формально эти представители остаются в подразделениях, их делегировавших, но они уже должны также подчиняться руководителю целевой группы. На второй стадии такие группы получают статус постоянных подразделений в организации. Но их участники по-прежнему еще представляют интересы направивших их служб. На третьей стадии в этой постоянной группе назначается формальный руководитель, ответственный за интеграцию всех работ в группе от начала до конца. Он уже вступает в деловые отношения с руководителями функциональной и продуктовой частей.
Матричная департаментизация привлекает руководителей рядом своих явных преимуществ, которые могут проявиться только, если для этого имеются необходимые предпосылки. Основным преимуществом матричной департаментизации является заключенный в ней высокий потенциал адаптации к изменениям внешней среды путем простого изменения баланса между ресурсами и результатами, функциями и продуктом, техническими и административными целями.
Более высокая эффективность матричной департаментизации по сравнению с другими подходами базируется на том, что функциональные знания пронизывают каждую работу. Этому же способствует наличие возможности гибкого использования кадров, имеющих, как правило, и функциональную, и продуктовую подготовку. Большие возможности матричный подход открывает в деле принятия решений. Еще одним наглядным преимуществом матричной департаментизации выступает то, что она является единственным вариантом проектирования организации, при котором горизонтальные связи формируются и даже изображаются на схеме. Тесное и постоянное сочетание вертикальных и горизонтальных связей развивает механизмы множественности власти и принятия решений на местах, в группах. Такое положение дел развивает способности работников и делает их участниками процесса принятия решения
Использование матричного подхода к департаментизации порождает ряд негативных последствий для организации. В основе трудностей, с которыми в случае использования данного подхода сталкивается организация, лежит система двойного подчинения. При отсутствии баланса, который не так легко установить, двойное подчинение может стать источником многих конфликтов в организации. В частности, матричная система порождает двусмысленность роли работника и его руководителей. Это создает напряжение в отношениях между членами организации, увеличивает их стресс.
С организационной точки зрения, матричная департаментизация очень трудна во внедрении. Требуется длительная подготовка работников и соответствующая организационная культура. Матричная схема множественных связей и властей сложна, громоздка и дорога не только во внедрении, но и в эксплуатации. Как показала практика, она абсолютно не эффективна в кризисные периоды. Отдельные специалисты считают, что матричную схему можно причислить скорее к достижениям управленческой мысли, нежели практики. Являя собой управленческий «идеал», она с трудом поддается реализации и многие известные компании к ней относятся скептически. А главное - это то, что она является, по существу, пределом, т. к. дальнейшее ее развитие невозможно[10].
Заключение
Одной из ключевых составляющих стратегического управления является стратегия. В общем смысле стратегия – это план управления фирмой, направленный на укрепление ее позиций, удовлетворение потребителей и достижение поставленных целей. Управляющие разрабатывают стратегии, чтобы определить, в каком направлении будет развиваться компания, и принимать обоснованные решения при выборе способа действия. Выбор менеджерами конкретной стратегии означает, что из всех возможных путей развития и способов действия, открывавшихся перед компанией, решено выбрать одно направление, в котором она и будет развиваться. Без стратегии у менеджера нет продуманного плана действий, нет путеводителя в мире бизнеса, нет единой программы достижения желаемых результатов.
Хорошо продуманное стратегическое видение готовит компанию к будущему, устанавливает досрочные направления развития и определяет намерение компании занять конкретные деловые позиции. Разработка стратегии является одной из основных функций менеджмента. Среди всего, что делает менеджер, мало найдется того, что в такой значительной степени влияет на благополучие компании, как разработка долгосрочной стратегии, развитие конкурентоспособных и эффективных стратегических действий и бизнес-подходов и выполнение стратегии таким образом, чтобы достичь намеченных результатов. Действительно, удачная стратегия и ее умелая реализация – именно те признаки совершенного управления, которым стоит доверять.
Сущность выработки и реализации стратегии состоит в том, чтобы выбрать нужное направление развития из многочисленных альтернатив и направить производственно-хозяйственную деятельность по избранному пути.
Организационная структура аппарата управления - форма разделения труда по управлению производством. Каждое подразделение и должность создаются для выполнения определенного набора функций управления или работ. Для выполнения функций подразделения их должностные лица наделяются определенными правами на распоряжения ресурсами и несут ответственность за выполнение закрепленных за ним функций.
Схема организационной структуры управления отражает статическое положение подразделений и должностей и характер связи между ними.
Различают связи: линейные (административное подчинение), функциональные (по сфере деятельности без прямого административного подчинения), межфункциональные, или кооперационные (между подразделениями одного и того же уровня).
В зависимости от характера связей выделяются несколько основных типов организационных структур управления: линейная; функциональная; линейно-функциональная; матричная; дивизиональная; множественная.
В линейной структуре управления каждый руководитель обеспечивает руководство нижестоящими подразделениями по всем видам деятельности. Достоинство - простота, экономичность, предельное единоначалие. Основной недостаток - высокие требования к квалификации руководителей. Сейчас практически не используется.
Линейно-функциональная структура - ступенчатая иерархическая. При ней линейные руководители являются единоначальниками, а им оказывают помощь функциональные органы. Линейные руководители низших ступеней административно не подчинены функциональным руководителям высших ступеней управления.
Дивизиональные структуры управления ориентируются на изделия, рынки сбыта, регионы. При этом обеспечивается: относительно большая самостоятельность руководителей дивизионов, организация директивных связей по линейному принципу, относительно мощное использование инструмента координации с технической поддержкой, быстрая реакция на изменения рынка, освобождение высших руководителей фирмы от оперативных и рутинных решений, снижение конфликтных ситуаций вследствие гомогенности целей в дивизионе. К числу недостатков этой структуры относят: относительно высокие затраты на координацию ввиду децентрализации вплоть до отдельного финансирования из бюджета и системы расчетных цен; при децентрализации теряются преимущества кооперации, что часто требует централизации выполнения отдельных функций (НИОКР, снабжение и т.д.).
Матричная структура характерна тем, что исполнитель может иметь двух и более руководителей (один - линейный, другой - руководитель программы или направления). Такая схема давно применялась в управлении НИОКР, а сейчас широко применяется в фирмах, ведущих работу по многим направлениям. Она все более вытесняет из применения линейно-функциональную.
Список литературы
1. Карминский А.М., Оленев Н.И., Примак А.Г., Фалько С.Г. Контроллинг в бизнесе. Методологические и практические основы построения контроллинга в организациях. - М.: Финансы и статистика, 1999. - 256 с.
2. Шмален Г. Основы и проблемы экономики предприятия. - М.: Финансы и статистика, 2000. - 512 с.
3. Хан Д. Планирование и контроль: концепция контроллинга / Пер. с нем. - М.: Финансы и статистика, 1999. - 800 с.
4. Маниловский Р.Г. Бизнес-план. - М.: Финансы и статистика, 2002. - 160 с.
5. Курач Л.А., Лепе Л.Н., Семенов П.М. Разработка бизнес-плана предприятия. - М.: Республиканский исследовательский научно-консультационный центр экспертизы, 2000. - 90 с.
6. Деловое планирование: Методы. Организация. Современная практика. - М.: Финансы и статистика, 2001. - 368 с.
7. Стратегическое планирование и управление. Учебное пособие. - СПб., 1999.
8. Артамонов Б.В. Стратегический менеджмент. - М.: Финансы и статистика, 1999.
9. Буров В.Н. и др. Стратегическое управление фирмами. Моделирование. Практикум. Деловые игры. - М.: Наука, 2000.
10. Фатхутдинов Р.А. Стратегический менеджмент. - М.: Экономика, 2001.
[1] Шмален Г. Основы и проблемы экономики предприятия. - М.: Финансы и статистика, 2000. - 512 с.
[2] Буров В.Н. и др. Стратегическое управление фирмами. Моделирование. Практикум. Деловые игры. - М.: Наука, 2000.
[3] Артамонов Б.В. Стратегический менеджмент. - М.: Финансы и статистика, 1999.
[4] Деловое планирование: Методы. Организация. Современная практика. - М.: Финансы и статистика, 2001. - 368 с.
[5] Стратегическое планирование и управление. Учебное пособие. - СПб., 1999.
[6] Хан Д. Планирование и контроль: концепция контроллинга / Пер. с нем. - М.: Финансы и статистика, 1999. - 800 с.
[7] Маниловский Р.Г. Бизнес-план. - М.: Финансы и статистика, 2002. - 160 с.
[8] Фатхутдинов Р.А. Стратегический менеджмент. - М.: Экономика, 2001.
[9] Карминский А.М., Оленев Н.И., Примак А.Г., Фалько С.Г. Контроллинг в бизнесе. Методологические и практические основы построения контроллинга в организациях. - М.: Финансы и статистика, 1999. - 256 с.
[10] Курач Л.А., Лепе Л.Н., Семенов П.М. Разработка бизнес-плана предприятия. - М.: Республиканский исследовательский научно-консультационный центр экспертизы, 2000. - 90 с.