Содержание
Введение. 3
1. Исходные данные. 4
2. Определение состава имущества предприятия и источников его образования 5
3. Определение потребности в имуществе предприятия. 7
4. Определение уставного (акционерного капитала) 13
5. Составление первоначального прогнозного баланса предприятия. 15
6. Определение численности работающих на предприятии. 16
7. Определение сметы затрат на производство и реализацию продукции. 18
8. Сводная смета затрат на производство продукции. 26
9. Калькулирование себестоимости продукции. 30
10. Определение минимально допустимого уровня цены.. 32
11. Определение минимального объема продаж.. 38
12. Исследование точки безубыточности. 43
Заключение. 48
Список использованной литературы.. 49
Введение
Темой курсовой работы является «Экономическое обоснование создания малого предприятия акционерного типа». Работа выполняется на основе исходных данных, задаваемых руководителем.
Целью работы является овладение студентами навыками экономических расчетов, закрепление теоретических знаний по основным разделам курса. В процессе выполнения курсовой работы необходимо выявить условия, при достижении которых создание предприятия является экономически оправданным. К таким условиям, прежде всего, относятся минимальный уровень цены, обеспечивающий получение прибыли, достаточный для выплаты заданного уровня дивидендов и минимальный объем производства.
Оборудование и материальные оборотные средства - за счет акционерного капитала;
Здание берется в аренду;
Денежные оборотные средства формируются за счет краткосрочного кредита.
Деловые люди в большинстве своем настроены действовать, а не выступать с предложениями. Они предпочитают находиться на поле боя, "на острие бизнеса", а не сидеть в тылу, разрабатывая план наступления. И многие из них испытывают затруднения, когда нужно внятно изложить свое понимание бизнеса, который зачастую является для них "второй натурой".
Поэтому подготовка и составление бизнес-плана превращается для них в тяжкую обязанность, которую, однако, приходится выполнять. И каким бы трудным ни представлялось это дело, все же Бизнес-план абсолютно необходим для любого предприятия.
1. Исходные данные
Курсовая работа выполняется на основе исходных данных, задаваемых студенту по соответствующему варианту задания.
Задание на курсовую работу включает в себя следующие исходные данные:
|
|
|
1 |
2 |
3 |
4 |
5 |
6 |
итого |
|
1 |
Вес изделия, кг\ед. |
240 |
|
|
|
|
|
|
|
2 |
Коэффициент использования материалов |
0,65 |
|
|
|
|
|
|
|
3 |
Цена материала, руб\кг |
18 |
|
|
|
|
|
|
|
4 |
Трудоемкость изготовления изделия по операциям, мин\ед |
35 |
85 |
55 |
40 |
30 |
70 |
315 |
|
5 |
Годовой фонд времени работы оборудования, час\год |
3750 |
|
|
|
|
|
|
|
6 |
Годовой фонд времени работы производственных рабочих, час\год |
1850 |
1850 |
1850 |
1850 |
1850 |
1850 |
|
|
7 |
Цена за единицу оборудования, занятого выполнением соответствующих операций, рубЛед оборудования_ |
54 |
60 |
84 |
96 |
48 |
42 |
|
|
8 |
Разряд работы по операциям |
7 |
6 |
7 |
6 |
7 |
6 |
|
|
9 |
Габариты; оборудования, занятого выполнением соответствующих операций, м \ед. оборудования |
2 |
3 |
4 |
2 |
3 |
3 |
|
|
10 |
Оборачиваемость запаса материалов, дни |
15 |
|
|
|
|
|
|
|
11 |
Оборачиваемость запаса готовой продукции, дни |
7 |
|
|
|
|
|
|
|
12 |
Продолжительность дебиторской задолженности, дни |
25 |
|
|
|
|
|
|
|
13 |
Продолжительность кредиторской задолженности, дни |
20 |
|
|
|
|
|
|
|
14 |
Предельный уровень дивидендной ставки, % |
25 |
|
|
|
|
|
|
Наряду с исходными данными, к выполнению работы должна привлекаться соответствующая информация, содержащаяся в литературных источниках (законодательные акты, учебники и пр.)
2. Определение состава имущества предприятия и источников его образования
В данном разделе необходимо привести перечень имущества, необходимого для создания предприятия.
В первом приближении этот перечень включает в себя:
- оборудование;
- здание;
- материальные оборотные средства;
- денежные оборотные средства.
Каждый из перечисленных видов имущества может иметь различные источники образования. К таким источникам могут быть отнесены:
- акционерный капитал;
- аренда;
- краткосрочный кредит;
- кредиторская задолженность.
В последующем, в процессе функционирования предприятия, к этим источникам добавляются амортизационные отчисления и нераспределенная прибыль предприятия.
В курсовой работе необходимо обосновать выбор источников финансирования имущества в момент создания предприятия. Возможные варианты формирования имущества для наглядности можно представить в виде таблицы.
Таблица
Варианты источников формирования имущества предприятии
|
№ |
Имущество предприятия |
Варианты |
|||||
|
1 |
2 |
3 |
4 |
5 |
6 |
||
|
1. |
Оборудование |
X |
X |
Х |
А |
X |
X |
|
2. |
Здание |
X |
А |
A_ |
А |
X |
А |
|
3. |
Материальные оборотные средства |
X |
X |
К |
К |
к |
X |
|
4. |
Денежные оборотные средства |
X |
К |
К |
К |
к |
X |
|
Примечание |
|||||||
|
X - акционерный капитал А - аренда К - краткосрочный кредит банка |
В работе должны быть рассмотрены достоинства и недостатки каждого из рассматриваемых вариантов и выбран один из них.
В дальнейшем методика выполнения курсовой работы будет излагаться применительно ко второму варианту формирования имущества, создаваемого предприятия. Этим вариантом предусматривается приобретение имущества за счет следующих источников:
- оборудование и материальные оборотные средства - за счет акционерного капитала;
- здание берется в аренду;
- денежные оборотные средства формируются за счет краткосрочного кредита.
3. Определение потребности в имуществе предприятия
Для создания предприятия необходимо следующее имущество:
- технологическое оборудование;
- вспомогательное оборудование;
- производственный и хозяйственный инвентарь;
- производственное помещение;
- складское помещение;
- помещение, занятое под офис;
- нематериальные активы;
- оборотные средства в производственные запасы;
- оборотные средства в незавершенное производство;
- оборотные средства в запасы готовой продукции;
- дебиторская задолженность;
- денежные оборотные средства.
3.1. Стоимость технологического оборудования
3.1.1. Стоимость технологического оборудования представляет собой сумму произведения количества оборудования и его цены по всем операциям технологического процесса:
Кmo = ∑Oi*Цi
где m- количество операций технологического процесса изготовления изделий; Oj - принятое количество единиц оборудования, занятого выполняемой i- ой операции;
Цi - цена единицы оборудования, занятого выполнением i- ой операции
(дается в исходных данных).
Кmo = 1*54+2*60+3*84+4*96+48*5+42*6 = 1302
3.1.2. Расчетное количество единиц оборудования по каждой операции в общем случае может быть установлено из следующего выражения:
Opi = ∑Qi*tнij/Fдо*60
где n - номенклатура изготавливаемых изделий;
Qi - годовой объем производимой продукции, ед\год;
tнjj - норма времени на изготовление j-ro изделия по i-ой операции;
Fдо - годовой фонд времени работы оборудования, час\год (задается в исходных данных).
В данной формуле отправным моментом является величина n и Qj, которые должны устанавливаться на основе спроса рынка или возможности предприятия.
Однако, поскольку, в задании спрос рынка не представляется возможным установить, в работе все расчеты будут выполняться по условному изделию исходя из возможностей предприятия. Эта возможность определяется исходя из 100-% загрузки оборудования на самой трудоемкой операции, т.е. по самому узкому месту.
Qmax = Fдо*Ом*60/tнmax
Qmax = 3750*1*60/85 = 2647
где Ом - принятое количество оборудования, занятое выполнением самой
трудоемкой операции;
tнmax - норма время по самой трудоемкой операции (устанавливается на основе исходных данных).
Принятое количество единиц оборудования на самой трудоемкой операции (Ом в работе принимается равным 1,0 либо 2,0). Если Ом = 1,0, то на всех остальных операциях расчетное количество единиц оборудования будет меньше 1,0. Коэффициент загрузки оборудования по каждой операции будет равен рассчитанному количеству оборудования. При Ом = 2,0 расчетное количество оборудования на
остальных операциях может быть больше единицы. В этом случае, чтобы получить принятое количество оборудования, необходимо расчетное количество оборудования округлить до целого большего числа. Тогда коэффициент загрузки по каждой операции рассчитывается как частное от деления расчетного количества оборудования на принятое.
В данном случае расчетное количество оборудования по каждой операции устанавливается по выражению:
Qpi = Qmax tнi/Fдо*60
Opi = 0,83+2,03+1,31+0,95+0,42+1,7 = 7,5
Величина Qmax, соответствующая количеству продукции, производимой на самой трудоемкий операции, представляет собой производственную мощность создаваемого предприятия. Все последующие расчеты будут выполняться на объем производства, соответствующий производственной мощности, которую в дальнейшем будем обозначать буквой Qr.
По результатам расчета коэффициента загрузки строится столбиковая диаграмма загрузки оборудования, которая дает наглядное представление о степени использования оборудования. По оси абцис откладываются номера операции, на которых занято оборудование, а по оси ординат - численное значение коэффициента загрузки. Высота столбика соответствует коэффициенту загрузки оборудования но каждой операции.
3.2. Стоимость вспомогательного оборудования
Стоимость вспомогательного оборудования определяется приближенно - 30% от стоимости технологического оборудования.
Стоимость вспомогательного оборудования = 1302*30/100 = 390,6
3.3. Стоимость производственного и хозяйственного инвентаря
Стоимость инвентаря по предприятию может быть установлена приближенно в размере 10 - 15% от стоимости технологического оборудования.
Стоимость инвентаря по предприятию = 1302*10/100 = 130,2
3.4. Определение потребности в помещении
Потребность в помещении необходимо рассчитать для установления арендной платы, поскольку здание предлагается не приобретать, а арендовать.
Общая потребность в помещениях складывается из потребности помещения для производства, склада и офиса.
Общая потребность в помещениях = 122+36,6+20 = 176,6
3.4.1. Потребность в производственном помещении (Snp) определяется по
формуле:
Sпр = ∑Si*Oi*Kf
Sпр = 2*1*2+3*2*2+4*2*3+2*2*4+3*2*5+3*2+6 = 122
где m - количество операций технического процесса изготовления изделий;
Si - габариты оборудования, занятого выполнением i-ой операции (приводятся в
задании), м2/ед. оборудования; 4
Oj - количество оборудования, занятого выполнением i-ой операции;
kf - коэффициент, учитывающий дополнительную площадь (kj- = 2,0н-3,0).
3.4.2. Потребность в складском помещении может быть приближенно принята в размере 30-50% от площади производственного помещения.
Потребность в складском помещении = 122*30/100 =36.6
3.4.3.Потребность в помещении для офиса равна 20 м.
3.5. Стоимость нематериальных активов
Эта стоимость включает организационные расходы по созданию предприятия. Данные расходы в курсовой работе можно принять на уровне 10-15 тыс. руб. либо более точных данных, которыми располагает студент.
Стоимость нематериальных активов = 10
3.6. Оборотные средства в производственные запасы, сырья и материалов Кпзм)
Данные средства рассчитываются по формуле:
Кпзм = gн*Qг*Цм/360*Тобм
где gH - норма расхода материала, кг/ед.;
Qr- годовой объем производства продукции (принимается равным
производственной мощности предприятия);
Цм - цена материала (приводится в исходных данных к курсовой работе);
Тобм - продолжительность оборота запаса материалов в днях (приводится в исходных данных).
Норма расхода материала определяется как частное от деления веса изделия (g
на коэффициент использования материала kHlvl, который приводится в исходных данных:
qн = qг/Ким
qн =240/0,65 = 369,23
3.7. Оборотные средства в незавершенном производстве
Стоимость незавершенного производства (Кнзп) может быть установлена из следующего выражения:
Кнзп = Qг*Тц*С*Кг/360
Кнзп = 2647*1.02*8861.54*0.875/360 = 58246.3
где Тц - длительность производственного цикла, дни;
С - себестоимость единицы готовой продукции; kr- коэффициент готовности.
Величины Тц, С, kr устанавливаются расчетным путем.
Тц= ∑tнi/60*Тсм*S*Кпер
Тц=315/60*5,13*2*2 = 1,02
где Тем - продолжительность рабочей смены, час./смена; S - количество смен (S = 2); knep - коэффициент, учитывающий перерывы в производственном процессе (kneR=2 или 3).
3.7.2. Себестоимость единицы готовой продукции на стадии предварительных расчетов определяется приближенно по формуле:
С = qн*Цм/Км
С = 369.23*18/0.75 = 8861.54
где gH - норма расхода основных материалов, кг/ед.; Цм - цена материала, руб/кг; kM - коэффициент, учитывающий удельный вес стоимости основных материалов в себестоимости изделия (kM = 0,75-^0,80).
3.7.3 Коэффициент готовности:
kr=(kM+l)-0,5,
kr= 0.75+1-0.5 = 0.875
3.8. Оборотные средства в запасы готовой продукции (Кгп)
Стоимость запаса готовой продукции определяется по формуле:
Кгп = С*Qг /360* Тзгп
Кгп = 8861,54*2647/360*7 = 456108,6
где С- себестоимость единицы продукции (см п.3.7.2.); Qr - годовой объем производства;
Тзгп - продолжительность оборота готовой продукции на складе (приводится в исходных данных).
3.9. Оборотные средства в дебиторскую задолженность
Кдбз = Qрл/360*Тдбз
Кдбз = 26506425/360*25 = 1840724
где QpJI - выручка от реализации продукции (руб./год);
Тдбз ~ продолжительность дебиторской задолженности (приводится в
исходных данных).
3.9.1. Выручка от реализации продукции на данном этапе расчета устанавливается приближенным путем:
Qрл = С*Qг(1+р/100)
Qрл = 8861,54*2647(1+0,13/100)
где С -себестоимость единицы продукции, рассчитанная приближенно по формуле (10); р - рентабельность продукции (р= 13 - 15 %).
3.10. Денежные оборотные средства
Для нормального функционирования предприятия в начальный момент необходимо иметь минимум денежных средств на текущие расходы. В курсовой работе сумма денежных средств приближенно может быть принята « 10% от суммы материальных оборотных средств (п.3.6.т-3.8.)
Денежные оборотные средства = 124738,66
4. Определение уставного (акционерного капитала)
Уставный (акционерный) капитал (AR) представляет собой сумму средств, направляемых на приобретение внеоборотных активов (п. п. 3.1. ,3-2. ,3-3. ,3.5.) и собственных оборотных средств (активов).
Ак = (Кто+Кво+Кинв+Кнма+Кобсоб)
Ак = 1302+390,6+130,2+10+ 2360212,3 = 2362045,1
где Куо - стоимость технологического оборудования; kbq - стоимость вспомогательного оборудования; Кинв - стоимость производственного и хозяйственного инвентаря; Кнма — стоимость нематериальных активов; Кобсоб - собственные оборотные средства (активы).
В свою очередь собственные оборотные средства представляют собой разность между общей суммой оборотных средств (п.п.3.6. -3.10.), кредиторской задолженностью (Ккрз) и величиной краткосрочных кредитов (К)
Кобсоб = Коб- (Ккрз+Кр)
Кобсоб = 2360212,3
где KQg - итоговая сумма оборотных средств.
4.1. Кредиторская задолженность включает обязательства предприятия поставщикам материалов, энергии, перед бюджетом по налогам, по заработной плате и пр.
В курсовой работе можно ограничится определением кредиторской задолженности перед поставщиками основных материалов:
Ккрз =qн * Qг *Цм/360*Ткрз
Ккрз = 369,23*2647*852636,91*124738,66/360*20
где Ткрз - продолжительность кредиторской задолженности (приводится в задании).
4.2. Краткосрочный кредит (сроком на месяц) принимается приблизительно на уровне денежных оборотных средств.
4.3. Определение количества выпускаемых акций
Количество акций (Na) устанавливается из соотношения акционерного капитала и номинала акции:
Na = Ак/На
Na = 2362045,1/10 = 23620,5ы1
где На - номинал акции.
В курсовой работе номинал акции может быть принят в интервале от 10 до 50 руб.
5. Составление первоначального прогнозного баланса предприятия
Таблица
Первоначальный баланс предприятия
|
КТИВ |
Сумма млн.руб |
ПАССИВ |
Сумма, млн.руб |
|
I. Внеоборотные активы 1.1. Нематериальные активы |
10 |
IV. Капитал и резервы 4.1. Уставной (акционерный капитал) |
2362045 |
|
1 .2. Основные средства |
|
Количество обыкновенных акт- |
236204,5 |
|
в т.ч. l.2 Оборудование : технологическое |
1302 |
|
|
|
вспомогательное |
390,6 |
|
|
|
производственный и хозяйственный инвентарь |
130,2 |
|
|
|
Итого по разделу I |
1832,8 |
Итого по разделу IV |
2362045 |
|
II. Оборотные активы (средства) 2. 1 . Запасы сырья и материалов |
733031,674 |
V. Долгосрочные пассивы |
|
|
2.2. Незавершенное производство |
58246,3006 |
VI. Краткосрочные пассивы 6.1. Кредиты банка |
|
|
2.3. Запасы готовой продукции |
456108,597 |
кредиторская задолженность |
852636,9 |
|
2.4. Дебиторская задолженность |
1840723,98 |
|
|
|
2.5. Денежные средства |
124738,657 |
|
|
|
Итого по разделу II |
3216504,81 |
|
|
|
III. Убытки |
-3655,6 |
Итого по разделу VI |
852636,9 |
|
БАЛАНС |
3214682 |
БАЛАНС |
3214682 |
6. Определение численности работающих на предприятии
Расчет численности работников предприятия используется в курсовой работе для определения затрат по заработной плате и производительности пруда.
В зависимости от способа установления численности работники предприятия условно подразделяются на три категории:
- основные рабочие; •
- вспомогательные рабочие;
- административно-управленческий персонал.
6.1. Численность основных рабочих по каждой операции определяется на основ трудоемкости выполняемых работ:
Чi = tнi*Qг/Fдр*60
Чi = 0,83+2,03+1,31+0,95+0,42+1,7 = 7,5
где Чj - списочная численность основных рабочих, занятых выполнением i-ой
операции; tHj - норма времени на выполнение i-ой операции (приводится в задании);
Рдр - годовой фонд времени работы рабочих (приводится в задании); Qr - годовой объем производимой продукции, ед./год (см. п. 3.1).
6.2. Численность вспомогательных рабочих устанавливается по рабочим местал и нормам обслуживания.
В курсовой работе к такой категории рабочих можно отнести слесарей кладовщиков, грузчиков и пр. Состав вспомогательных рабочих и их численное устанавливается с учетом их возможной загрузки и совмещения профессии.
6.3. Численность инженерно-технических работников устанавливается на основ штатного расписания, разрабатываемого студентом. Штатное расписание представляе собой документ, содержащий информацию о составе инженерно-технически: работников, и их окладе по каждой должности.
6.4. В качестве ориентира в штатном расписании можно предусмотрев' следующие должности: директор малого предприятия, зам. по коммерческие вопросам, бухгалтер-экономист, секретарь-референт.
7. Определение сметы затрат на производство и реализацию продукции
7.1. Смета затрат является важным документом, определяющим эффективное работы предприятия. Она разрабатывается для определения суммарных расходов и производство и реализацию продукции. По размеру затрат, отражаемых в смет определяют прибыль предприятия и размер накладных расходов.
Смета затрат может быть рассчитана в двух разрезах:
- по экономическим элементам;
- по статьям расходов.
В курсовой работе смета затрат сначала разрабатывается по статьям расходов, затем сводится по элементам.
7.2. Смета затрат включает следующие статьи:
- основные материалы;
- реализуемые отходы;
- основные материалы за вычетом отходов;
- основная заработная плата производственных рабочих;
- дополнительная заработная плата производственных рабочих;
- отчисления на социальные цели производственных рабочих;
- накладные расходы. 7.2.1. Основные материалы:
Эти затраты рассчитываются на весь объем cmq и на единицу производимо
продукции См:
а) Смq = qн *Цм*Qг
б) Смq = qн *Цм
а) Смq = 17592760
б) Смq = 6646,1538
где gH — норма расхода материала, кг/изд. (см. формулу 7); Цм — цена материала, руб/кг (исходные данные); Qr — годовой объем производства (ед/год).
7.2.2. Реализуемые отходы:
а) на весь объем:
СмQ = (qн-qг) * Цотх * Qг = 615746,61
б) на единицу продукции:
СмQ = (qн-qг) * Цотх = 232,61538
где gr — чистый вес изделия, кг/изд. (исходные данные)
Цотх — цена реализуемых отходов, руб/ кг (принимается приблизительно 10% от цены основных материалов).
7.3. Стоимость материалов за вычетом отходов:
СмQ = Смq-Cомq = 16977014
СмQ = См-Cом = 6413.54
7.4. Основная заработная плата производственных рабочих:
Основная заработная плата предусматривает оплату труда за проработанное врем* Рассчитывается она в зависимости от формы и системы оплаты труда. В курсовой работе предусматривается сдельно-премиальная оплата труда. В соответствии с это] системой основная заработная плата рассчитывается по формуле:
Сзо = ∑tнi*счас*Ктк/60*Kn*Kp = 78,6825
где tHj - норма времени на выполнение i-ой операции, мин/ед;
Счас1* ~ часовая ставка 1 -го разряда, руб/час;
kTK - тарифный коэффициент соответствующего разряда;
kn - коэффициент, учитывающий премии и доплаты (kn « 1,5);
k_ - районный коэффициент (k_ = 1,3).
Часовая ставка 1-го разряда (cqacj ориентировочно может быть принята в интервале от 3,0-=-4,0 руб/час). Тарифный коэффициент соответствующего разряда берется из таблицы 3:
Таблица 3
Тарифные коэффициенты
|
Разряд |
4 |
5 |
6 |
7 |
8 |
|
ktk |
1,91 |
2,16 |
2,44 |
2,76 |
3,12 |
Основная заработная плата производственных рабочих на годовой объем производства csqq определяется путем умножения величины csq, рассчитываемой по формуле (26) на Qr
Сз0Q =Cзо*Qг = 78,6825*2647 = 208277,21
7.5. Дополнительная заработная плата производственных рабочих рассчитывается на единицу и весь объем производимой продукции:
Сдоп = Сз0*Кдоп = 78,68 *0,1 = 7,8
Сдоп = Сз0*Кдоп * Qг = 7,8*2647 = 20827,721
где Кдоп - коэффициент, учитывающий выплаты по дополнительной заработной плате(Кдоп=0,10-0,15)
7.6. Отчисления на социальные цели:
Отчисления на социальные цели включают в себя отчисления в следующие фонды:
- пенсионный;
- обязательного медицинского страхования;
- социального страхования;
- занятости населения.
В общей сумме эти отчисления определяются в размере 35,6% от основной и дополнительной заработной платы:
СотчQ = (Сз0Q+CдопQ) *35,6 = 30,81
Сотч = (Сз0+Cдоп) *35,6 = 815461,35
7.7. Итак, первые шесть статей относятся к прямым затратам. Отличительная их черта, что они могут быть непосредственно отнесены на изготовляемую продукцию и потому рассчитываются как на весь объем производимой продукции, гак и на единицу отдельных видов продукции.
Остальные расходы (неучтенные в прямых затратах) образуют косвенные расходы. Эти расходы относятся на весь объем производимой продукции. Отнесение их на конкретную продукцию может быть осуществлено лишь косвенным путем (способ отнесения рассматривается ниже). Как известно к косвенным расходам относятся общепроизводственные, общехозяйственные и коммерческие расходы. На малых предприятиях эти расходы могут быть объединены под названием накладные расходы.
7.8. Накладные расходы
Накладные расходы включают расходы по содержанию и эксплуатации оборудования, управлению предприятием, по реализации продукции и пр., которые не могут быть непосредственно отнесены на ту или иную продукцию, изготовляемую на предприятии.
В первом приближении накладные расходы включают в себя следующие затраты:
- амортизация основных фондов предприятия;
- амортизация нематериальных активов;
- арендная плата за помещение;
- отчисления в ремонтный фонд;
- вспомогательные материалы на содержание оборудование;
- затраты на силовую электроэнергию;
- износ инструмента;
- заработная плата вспомогательных рабочих;
- отчисления на социальные цели вспомогательных рабочих;
- заработная плата административно-управленческого персонала
- отчисления на социальные цели административно-упраленческого персонала;
- командировочные расходы;
- представительские расходы;
- на рекламу;
- налоги на пользование автомобильными дорогами;
- плата за кредит;
- прочие расходы.
7.8.1. Амортизация основных средств (Саос):
Саос = Косн *ан / 100 = 54,684
где Косн - суммарная стоимость основных средств (технологическое и
вспомогательное оборудование, производственный и хозяйственный инвентарь;;
ан — норма амортизационных отчислений. 7.8.2. Амортизация нематериальных активов (Сана)
Сана = Кна/Тп = 10/5 = 2
где Кна - стоимость нематериальных активов (п.3.5.)
Тп - срок списания нематериальных активов (Тп«5 лет). 7.8.3. Арендная плата (Сап):
Сап = Sзд * Цап * 12= 214320
где S3д — суммарная арендуемая площадь здания, включая производственную и
под офис; Цап- арендная плата за 1м2, руб/м2 (100 -ь 400 руб/м2 замесяц).
7.8.4. Отчисления в ремонтный фонд (С_м):
Cрм = Ко * Крем = 26,04
где kq- стоимость оборудования (технологического и вспомогательного); kpe|VI- коэффициент, учитывающий отчисления в ремонтный фонд
7.8.5. Вспомогательные материалы на содержание оборудования (CRVI )
Свм = Ко * Квм = 10,416
где kB]v|- коэффициент, учитывающий затраты на вспомогательные материалы (kBM« 0.02-0,03).
7.8.6. Затраты на силовую электроэнергию (Сэс) Эти затраты приближенно можно рассчитать по следующей формуле:
Сэс = ∑Ni*Fдо*Кзi*К0*КN*Цэл = 1104816
где m - количество операций технологического процесса;
Ni установленная мощность электродвигателей оборудования, занятого выполнением i-ой операции (в курсовой работе принимается соответственно по операция: 5; 7; 6; 8; 4; 7 квт);
Fдо - годовой фонд времени работы оборудования, час/год (дается в задании);
kзi - коэффициент, учитывающий загрузку оборудования по соответствующей
операции (принимается по результатам расчета, выполненного в п.3.1.); k0- коэффициент, учитывающий удельный вес основного времени в норме
времени на выполнение операции
(в среднем по каждой операции - k0 « 0,5);
kj^ - коэффициент, учитывающий использование электродвигателей по
мощности (по каждой операции - kjy « 0,6); Цэл - цена электроэнергии за 1 квт/час (53 руб/квт-ч). 7.8.7. Износ инструмента (Си„):
Cин = ∑tнi * Ко*Qг*Цинн/Тcт= 27794,12
где tH. - норма времени на выполнение i-ой операции;
Тст- средняя стойкость инструмента, мин./срок службы (Тст « 300 мин.); Цин- средняя цена единицы инструмента (Цин«20-30 руб./ед.); Qr- годовой объем производства, ед./год.
7.8.10. Заработная плата административно-управленческого персонала_служащих
Сзауп = ∑Сзаупj*Чврj*12 *kp = 62400
где Сч - месячный оклад работника административно-управленческого персонала; Чavn - численность работников административно-управленческого персонала }
по соответствующей должности (в курсовой работе по каждой должности принимается по одному человеку).
7.8.11. Отчисления на социальные цели административно-управленческого персонала
Сотчауп = Сзауп * 0,356 = 62400*0,356 = 22214,4
7.8.12. Командировочные расходы (Ском ):
Эти расходы можно принять приблизительно 10% от заработной платы административно-управленческого персонала.
Ском = 0,1* Сзауп
7.8.13. Представительские расходы (Споед)
Эти расходы ориентировочно можно принять на уровне не более 0,2% от стоимости реализованной продукции.
Спред = 0,2/100*Qрл = 53012,851
где Qpj,- выручка от реализации продукции (см. формулу 14). 7.8.14. Затраты на рекламу (С„екл), не более
Cрекл = 0,01* Qрл = 265064,25
7.8.15. Плата за краткосрочный кредит (Скр)
В себестоимости продукции отражается плата за кредит в пределах ставки ЦБ (центрального банка) умножить на коэффициент 1,1- Общая плата за кредит принимается на 3% больше указанного предела, действующего на момент выполнения курсовой работы. Таким образом, в себестоимости продукции должно быть отражено:
Скр = Кр*iкр * Ткр/12*100 = 21884,347
где Ккр- сумма кредита (п.4.2.);
i - годовая ставка процент за кредит (в пределах ставки ЦБ умноженная на 1,1);
Тк_- срок взятия кредита (Ткр= 2 месяц).
7.8.16. Прочие расходы (Спр)
Прочие расходы включают в себя услуги сторонних организаций, оплату услуг связи, банка, канцелярские расходы и т.д. В курсовой работе эти расходы можно принять в размере 10-20% от суммы накладных расходов, рассчитанных выше.
7.8.18. На основе выполненных расчетов составляется сводная смета накладных расходов, с подразделением затрат на переменные и постоянные и отнесением их к соответствующему элементу.
Форма таблицы приводится ниже.
Таблица 4 Смета накладных расходов
|
№ п/п |
Наименование затрат |
Сумма тыс.руб. |
В том числе |
Группировка затрат по элементам |
|
|
постоянные расходы |
переменны е расходы |
||||
|
1. |
Амортизация основных средств |
54,684 |
X |
54,684 |
амортизация |
|
2 |
Амортизация нематериальных активов |
2 |
X |
2 |
прочие расходы |
|
3. |
Арендная плата |
214320 |
X |
214320 |
прочие расходы |
|
4. |
Отчисления в ремонтный фонд |
26,04 |
X |
26,04 |
прочие расходы |
|
5. |
Вспомогательные материалы |
10,416 |
X |
10,416 |
материальные затраты |
|
6. |
Затраты на силовую энергию |
122757,353 |
122757,353 |
X |
материальные затраты |
|
7. |
Износ инструмента |
3088,23529 |
3088,23529 |
X |
материальные затраты |
|
8. |
Заработная рабочих админ-управ |
62400 |
X |
62400 |
оплата труда |
|
9. |
Отчисления на соц. цели АУР. рабочих |
22214,4 |
X |
22214,4 |
отчисления на соц. цели |
|
10 |
командировочные расходы |
6240 |
|
6240 |
|
|
11 |
представительские расходы |
53012,8507 |
|
53012,8507 |
|
|
12 |
затраты на рекламу |
265064,253 |
|
265064,253 |
|
|
13 |
плата за краткосрочный кредит |
21884,3473 |
|
21884,3473 |
|
|
14 |
прочие |
79393,088 |
|
79393,088 |
|
|
|
Итого |
850467,668 |
125845,588 |
724622,079 |
|
8. Сводная смета затрат на производство продукции
Сводная смета затрат на производство составляется на годовой выпуск продукции по статьям расходов и элементам затрат. В начале рассчитывается смета затрат по статьям расходов, затем осуществляется увязка статей расходов с соответствующими элементами затрат и на основе этой увязки устанавливается сводная смета затрат на производство продукции по экономическим элементам.
8.1. Смета затрат на производство продукции по статьям расходов
аблица 5
|
№ п/п |
Статьи затрат |
Сумма, тыс.руб./год |
Уд. вес затрат, % |
|
1. |
Основные материалы |
17592760,2 |
96,9931475 |
|
2. |
Реализуемые отходы |
615746,606 |
3,39476016 |
|
3. |
Основные материалы за вычетом отходов |
16977013,6 |
X |
|
4. |
Основная заработная плата производственных рабочих |
208277,206 |
X |
|
5. |
Дополнительная заработная плата производственных рабочих |
20827,7206 |
X |
|
6. |
Отчисления на социальные цели |
81561,3538 |
X |
|
7. |
Накладные расходы |
850467,668 |
X |
|
|
Итого: (п.3+п.4+п.5+п.6+п.7) |
18138147,5 |
100 |
8.2. Классификация затрат по степени их зависимости от объема производства

Рис.1. Классификация затрат
*
8.3. Увязка сметы затрат на производство продукции по статьям расходов и элементам затрат
|
№ п/п |
Статьи затрат |
Элементы затрат |
|
||||
|
Материальные затраты |
Оплата труда |
Отчисление на соц нужды |
амортизация |
Прочие расходы |
Сумма затрат |
||
|
I. Прямые переменные затраты |
|
||||||
|
1. |
Основные материалы за вычетом отходов |
16977013,6 |
|
|
|
|
16977013,57 |
|
7 |
Основная заработная плата производственных рабочих |
|
208277,2059 |
|
|
|
208277,2059 |
|
3. |
Дополнительная заработная плата |
|
20827,72059 |
|
|
|
20827,72059 |
|
4. |
Отчисления на социальные цели |
|
|
81561,3538 |
|
|
81561,35382 |
|
II. Накладные расходы |
|||||||
|
5 |
Амортизация основных фондов |
|
|
|
54,684 |
|
59,684 |
|
6. |
Амортизация нематериальных активов |
|
|
|
|
2 |
2 |
|
7. |
Арендная плата |
|
|
|
|
214320 |
214320 |
|
8. |
Отчисления в ремонтный фонд |
|
|
|
|
26,04 |
26,04 |
|
9. |
Вспомогательные материалы |
10,416 |
|
|
|
|
10,416 |
|
10. |
Электроэнергия |
122757,353 |
|
|
|
|
122757,3529 |
|
11. |
Износ инструмента |
3088,23529 |
|
|
|
|
3088,235294 |
|
12 |
Отчисления на соц. цели АУР. рабочих |
|
62400 |
|
|
|
62412 |
|
|
Отчисления на соц. цели АУР. рабочих |
|
|
22214,4 |
|
|
22214,4 |
|
|
командировочные расходы |
|
|
|
|
6240 |
6240 |
|
|
представительские расходы |
|
|
|
|
53012,8507 |
53012,85068 |
|
|
затраты на рекламу |
|
|
|
|
265064,253 |
265064,2534 |
|
|
плата за краткосрочный кредит |
|
|
|
|
21884,35 |
21884,34732 |
|
|
прочие |
|
|
|
|
79393,088 |
79393,088 |
|
|
Итого |
17102870 |
291504,9265 |
103775,75 |
54,684 |
639942,58 |
18138164,52 |
8.4. Сводная смета затрат на производство продукции по экономически|
элементам
На основании данных, представленных в табл. 6 составляется смета затрат экономическим элементам
Таблица 7
Смета затрат на производство продукции по экономическим элементам
|
№ п/п |
Элементы затрат |
Сумма, тыс.руб./год |
Удельный вес затрат, % |
|
1. |
Материальные затраты |
17102869,58 |
94,29 |
|
2. |
Оплата труда |
291504,9265 |
1,61 |
|
3. |
Отчисления на социальные нужды |
103775,7538 |
0,57 |
|
4. |
Амортизация |
54,684 |
0,00 |
|
5. |
Прочие расходы |
639942,5794 |
3,53 |
|
|
Итого затрат |
18138147,52 |
100 |
9. Калькулирование себестоимости продукции
Калькулирование означает расчет себестоимости единицы продукции. Основное назначение калькуляции - определение нижнего предела цены. Калькулирование себестоимости продукции осуществляется по статьям расходов, представленным в табл. 5.
Первые 6 статей рассчитываются на единицу продукции прямым путем по методике, рассмотренной выше (п.7.2.-^-7.6.).
Расчет накладных расходов осуществляется в трёх вариантах:
1. В первом - для условий однономенклатурного производства, эти расходы на единицу продукции (СНр) определяются делением их общей суммы на объем производства:
Снр = Снр / Qг = 321,28779
где Снр- общая сумма накладных расходов на годовой объем производства, тыс.руб. /год.
2. Во втором варианте - накладные расходы на единицу продукции рассчитываются для условий многономенклатурного производства по формуле:
Снр = Кнр*Сзо = 321,28779
где kнр-коэффициент накладных расходов;
С3о ~ основная заработная плата производственных рабочих на единицу продукции.
Коэффициент накладных расходов представляет собой отношение общей суммь накладных расходов к сумме основной заработной платы производственных рабочих занятых изготовлением различных изделий.
Кнр = Снр/∑СзоQ = 4,0833449
3. Третий вариант расчета накладных расходов на единицу продукции предполагает их разделение на переменные (СНр ) и постоянные расходы
Cнр пер = Кнрпер * Сзо = 273,74612
Снрпост = Кнрпост * Сзо = 47,541667
где kH_ и kH_ - соответственно коэффициенты переменных и "Рпер "Рпост - постоянных накладных расходов.
В свою очередь коэффициенты соответствующих накладных расходов определяются по формулам:
Кнр = Снрпер/∑СзоQ = 3,48
Кнр = Снрпост/∑СзоQ = 0,6
где СзоQ и СзоQ - соответственно переменные и постоянные накладные "Kпер "Rпост
расходы предприятия за год, руб./год (см. табл.4). По всем трем вариантам расчет себестоимости продукции следует свести в таблицу 8.
Таблица 8
Калькуляция себестоимости продукции
|
Статьи расходов руб./ед. |
Варианты калькуляции |
|||
|
1 |
2 |
3 |
||
|
Основные материалы |
6646,153846 |
6646,153846 |
6646,153846 |
|
|
Реализуемые отходы |
232,6153846 |
232,6153846 |
232,6153846 |
|
|
Основные материалы за вычетом отходов |
6413,538462 |
6413,538462 |
6413,538462 |
|
|
Основная заработная плата |
78,6825 |
78,6825 |
78,6825 |
|
|
Дополнительная заработная плата |
7,86825 |
7,86825 |
7,86825 |
|
|
Отчисления на социальные цели |
30,812067 |
30,812067 |
30,812067 |
|
|
Накладные расходы |
|
|
|
|
|
в т.ч. переменные накладные |
— |
— |
273,7461189 |
|
|
Итого переменные прямые и переменные накладные расходы |
321,2877855 |
321,2877855 |
X |
|
|
Постоянные накладные расходы |
— |
— |
47,54166667 |
|
|
Себестоимость единицы продукции |
13730,95829 |
13730,95829 |
13730,95829 |
10. Определение минимально допустимого уровня цены
10.1. Как было отмечено ранее, целью курсовой работы является определение минимального уровня цены, т.е. такого её значения, которое обеспечивает получение прибыли достаточной для выплаты заданного уровня дивидендной ставки. Этот уровень численно можно представить в виде следующего выражения:
Цmin = С*(1+Pmin/100) = 15515,98
где С- себестоимость единицы продукции, руб./ед.;
Pmin - минимальныи уровень рентабельности продукции, %. 10.2. Минимальный уровень рентабельности позволяет установить прибыль, необходимую для выплаты дивидендов. Установить этот уровень можно графическим путем. Для этого необходимо выявить зависимость дивидендной ставки от уровня рентабельности продукции и соответствующей ему цены:
HCT=f(p)

Рис. 2. Зависимость дивидендной ставки от уровня рентабельности
Минимальный уровень рентабельности и соответствующая ему минимальная цена получается графически на пересечении двух прямых:
1 - прямой, выражающей зависимость дивидендной ставки от уровня рентабельности;
2 - прямой, выражающей задаваемый уровень дивидендной ставки (Нстф). 10.3. Для получения зависимости дивидендной ставки от уровня рентабельности продукции задаются произвольно двумя значениями уровня рентабельности (например, 20% и 40 % или 10% и 30%) и для этих значений определяются два уровня цен:
Ц = С * (1+р/100) = 16477,15
Ц = С * (1+р/100) = 19223,34
где р - задаваемый уровень рентабельности, %
10.4. Для выбранных двух значений рентабельности и соответствующих им цеп определяются выручка Qpjl и прибыль от реализации продукции П
Qрл = Цед*Q = 43615985
Qрл = Цед*Q = 50885316
Прл = (Ц-С) *Q = 7269331
Прл = (Ц-С) *Q = 14538662
10.5. Определение налогооблагаемой прибыли
Налогооблагаемая прибыль (Прн) представляет собой разность между прибылью от реализации и уплачиваемыми налогами на имущество (Ним) и содержание объектов соцкультбыта (Нсоц):
Прн = Прл – (Ним+Нсоц) = 7205037
Прн = Прл – (Ним+Нсоц) = 14538662
Налог на имущество уплачивается в размере 2% от актива баланса. 10.6. Прибыль после налогообложения (Прч)
Прч = Прн –Нпр = 5475828
Прч = Прн –Нпр = 11049383
где Нп_- налог на прибыль (24% от налогооблагаемой прибыли). 10.7. Отчисления в резервный фонд
Крф = Крф*Прч = 273791,4
Крф = Крф*Прч = 552469,1
где kpjj- коэффициент, учитывающий отчисления в резервный фонд (k ф= 0,05).
10.8. Погашение кредита и уплата процента за кредит
Плата за кредит принимается во внимание лишь в части, которая осуществляется и прибыли.
Скр = Кр * (Ркр-рб) * Ткр/12*100 = 1421,062
Скр = Кр * (Ркр-рб) * Ткр/12*100 = 1421,062
где Кр-размер кредита;
ркр- общая ставка процента за кредит, %; - процент за кредит в пределах ставки центрального банка плюс три процента; Т™- срок взятия кредита.
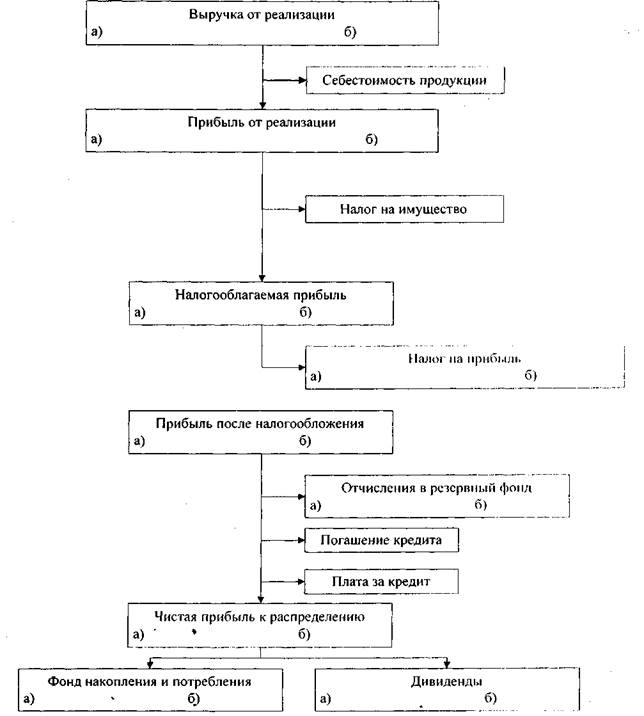
Погашение кредита осуществляется в полной сумме из чистой прибыли. 10.9. Прибыль к распределению:
Прч = Фн + Фпотр +Дв
где Фн - фонд накопления;
Фпот_- фонд потребления;
Дв - прибыль, предназначенная для выплаты дивидендов.
10.10. Расчеты, выполняемые в пунктах 10.4-Т-10.9. осуществляются в двух вариантах, цен, содержащих различный уровень рентабельности (например, 20% и 40% или 10% и 30%).
10.11. Для большей наглядности механизм распределения прибыли необходимо представить в виде схемы с указанием соответствующих цифр для двух вариантов цен (рис.3).
10.12. Определение дивидендной ставки
Определение дивидендной ставки осуществляется по схеме, представленной в таблице 9.
Таблица 9
|
1. |
Процент чистой прибыли, направляемой на выплату дивидендов |
50% |
|
2. |
Сумма прибыли на выплату дивидендов Пр |
2737914,14 |
|
3 |
Количество акций (No,.,, ) |
236204,51 |
|
4. |
Номинал акций (Накц.) |
10 |
|
5 |
Величина дивиденда на одну акцию |
11,5912865 |
|
6 |
Ставка дивиденда |
0,00490731 |
Расчет дивидендной ставки осуществляется для двух значений цены (с различной рентабельностью) и на основе этих расчетов выводится зависимость дивидендной ставки от двух факторов:
- от уровня цены;
- от процента чистой прибыли, направляемой на выплату дивидендов.
Данная зависимость представляется в виде графика, аналогичный тому, который представлен на рис.2.
На пересечении прямых, характеризующих зависимость ставки дивиденда от рентабельности продукции, процента прибыли, направляемого на выплату дивидендов и прямой, характеризующей задаваемый уровень приемлемой дивидендной ставки, получим минимальный уровень- рентабельности и соответствующий ему уровень цены.
При выборе минимального уровня рентабельности в курсовой работе можно ограничиться вариантом распределения чистой прибыли, направляемой на выплату дивидендов, равной 50%.

Рис. 3. Схема распределения прибыли (а) и б) - значения соответствующих показателей для рассматриваемых
вариантов цен)
10.13. Установленный уровень минимальной рентабельности сравнивается со средними значениями рентабельности продукции, равной приблизительно 13-Н5 %. Производство продукции следует признать целесообразным если расчетный уровень минимальной рентабельности будет меньше среднего:
Pmin<Pep
На основе полученного значения минимальной рентабельности определяется минимальный уровень цены (ф.55).
11. Определение минимального объема продаж
11.1. Одним из решающих факторов, определяющим целесообразность производства продукции является объем продаж. Для обеспечения прибыльной работы предприятие должно обеспечить объем производства не ниже определенного уровня. Объем продаж, при превышении которого обеспечивается безубыточная работа, носит название точки безубыточности. В основе её определения лежит деление затрат на переменные и постоянные затраты.
Эту точку можно установить в условиях одно-производства аналитическим и графическим способами. и многономенклатурного
11.2. В условиях однономенклатурного производства расчет точки безубыточности выполняется по следующей формуле:
Qкр = Спост / Ц-Спер = 2308,422
где: QKр — критический объем производства продаж в натуральных единицах;
Спост - постоянные затраты руб./год;
Ц - цена единицы продукции руб./ед.; (устанавливается исходя из рентабельности 13-4-15) Спер - переменные затраты (прямые и накладные), руб./ед.
Зависимость
затрат и выручки от объема продаж можно представить графически несколькими способами:

Рис.4. Зависимость затрат и выручки от объема продаж.

Рис.5. Зависимость затрат и цены от объема
продаж 
Рис.6. Зависимость прибыли от объема продаж
11.3. В условиях многономенклатурного производства расчет точки безубыточности выполняется по следующему выражению:
Qкр = Спост / Ц-Спер = 2308,422
где: kne_- удельный вес переменных расходов в выручке от реализации продукции.
В курсовой работе величину kne_ можно принять как отношение удельных переменных расходов к цене продукции.
Выражение (1 - kngD) представляет собой маржинальный доход, выраженный в относительных единицах (коэффициент маржинального дохода).
Получаемое по (ф. 66) выражение представляет собой точку безубыточности в стоимостной форме, т.е. минимальную выручку от реализации, при превышении которой предприятие начнет получать прибыль.
*
Эту точку можно получить графическим путем: 
Рис.7. Зависимость маржинального дохода (Мд) от объема реализованной
продукции (в денежном выражении).

Рис. 8. Зависимость прибыли от объема реализованной продукции
(в денежном выражении).
11.4. Точка безубыточности характеризует запас финансовой устойчивости предприятия. Чем больше планируемый или фактический объем продаж превышает точку безубыточности, тем устойчивее финансовое положение предприятия и тем меньше риск убытков от возможного падения производства. Запас финансовой прочности можно представить как в абсолютном, так и в относительном выражениях. В абсолютном выражении запас финансовой устойчивости определяется по разности планируемого (фактического) объекта продаж и точки безубыточности.
В относительном выражении рассчитывается коэффициент финансовой устойчивости
Кфу = Qпл – Qкр/Qпл
Кфу = 0,127929
где QnJ1 - соответственно планируемый объем продаж (в физическом либо в денежном выражении); QKp- точка безубыточности (в соответствующих единицах).
Чем больше значение коэффициента kjjy, тем устойчивее финансовое положение предприятия.
12. Исследование точки безубыточности
12.1. Точка безубыточности, установленная ранее, получена при определенных фиксированных переменных и постоянных затратах и минимальной цене. В процессе реализации проекта могут возникнуть отклонения от указанных параметров в ту или иную сторону, что естественно отразится на точке безубыточности. Например: чтобы обеспечить безубыточную деятельность предприятия необходимо компенсировать снижение цен или увеличение затрат ростом объема продаж. Поэтому важно знать реакцию точки безубыточности на изменение переменных параметров (затрат, цены). Эту реакцию можно отразить как в форме таблицы, так графически. В качестве исходной формулы можно принять выражение:
Qкр = Спост / Ц-Спер = 2308,422
Последовательно корректируя каждую составляющую формулы на коэффициент изменения параметра, получим соответствующее значение QKp :
Qкр = Спост / Ц*Кц-Спер = 3323,326
Qкр = Спост / Ц-Спер*Кпер = 2300,16
Qкр = Спост *Кпост / Ц-Спер = 2077,58
где иц, kne_ и knoCT - соответственно коэффициенты, учитывающие
изменение цены, переменных и постоянных затрат.
Интервал изменения перечисленных коэффициентов в курсовой работе можно принять от 0,7 до 1,3.
За точку отсчета (k = 1,0) принимаются те значения цены, переменных и постоянных затрат, которые были получены ранее.
Выполнив соответствующие расчеты точки безубыточности при различных значениях коэффициентов (ky,kne и knQCT), результаты заносят в таблицу 10.
Таблица 10)
Зависимость точки безубыточности от изменения цены, переменных и постоянных затрат
12.2. На основе данных представленных в табл. 10 строится график зависимости точки безубыточности от изменения цены, переменных и постоянных затрат.
Примерная форма графика представлена на рис.9.
12.3. Из графика следует, что изменяя цену, переменные и постоянные затраты, можно смещать точку безубыточности и получить желаемое ее знамение.
В курсовой работе необходимо сделать основные выводы, вытекающие из графика.
Что необходимо сделать для того, чтобы компенсировать потери от снижения цены и увеличения затрат на определенную величину?
Насколько можно сократить объем продаж, чтобы сохранить безубыточную работу, если ожидается *рост цен и снижение издержек на определенную величину? На основе графика необходимо оценить чувствительность точки безубыточности к изменению цены, переменных и постоянных затрат, т.е. на сколько процентов изменится точка безубыточности при изменении на 10% перечисленных факторов.
Можно проследить комплексное влияние цены, переменных и постоянных затрат на изменение точки безубыточности при разнонаправленности изменении перечисленных факторов. Одновременно из графика можно установить пороговое значение переменных, при превышении которых точка безубыточности лишается смысла, поскольку стремится к бесконечности.
Так, например, из графика следует, что снижение цены, более чем на 18-20 % невозможно компенсировать ни каким увеличением объема продаж.

Рис.9. Зависимость точки безубыточности от изменения цены, переменных и постоянных затрат
13. Экономические показатели предприятия
Таблица
|
№ п/п |
Абсолютные показатели |
Единица измерения |
Величина |
|
1. |
Производственная мощность |
ед./год |
2647,058824 |
|
2. |
Минимальная цена |
руб./ед. |
15515,98287 |
|
2.а |
Цена реализации |
руб./ед. |
16477,14995 |
|
3. |
Объем продаж |
тыс. руб. /год |
43615985,17 |
|
4. |
Себестоимость единицы продукции |
руб./ед. |
13730,95829 |
|
5. |
Прибыль от реализации |
тыс.руб./год |
7269330,862 |
|
6. |
Чистая прибыль |
тыс.руб./год |
5475828,289 |
|
7. |
Количество работающих |
чел. |
11,51192369 |
|
8. |
Активы баланса |
тыс. руб. |
3214682,011 |
|
8.1. |
Основные средства |
тыс. руб. |
1822,8 |
|
8.2. |
Нематериальные активы |
тыс. руб. |
10 |
|
8.3. |
Оборотные активы |
тыс. руб. |
733031,6742 |
|
9. |
Акционерный капитал |
тыс. руб. |
2362045,103 |
|
10. |
Привлеченные средства (краткосрочная задолженность) |
ты с. руб. |
852636,9084 |
|
11. |
Номинал акции |
руб./акция |
10 |
|
12. |
Количество акций |
ед. |
236204,5103 |
|
13. |
Ставка дивиденда |
% |
0,00490731 |
|
№ п/п |
Абсолютные показатели |
Единица измерения |
Величина |
||
|
1. |
Производственная мощность |
ед./год |
2647,058824 |
||
|
2. |
Минимальная цена |
руб./ед. |
15515,98287 |
||
|
2.а |
Цена реализации |
руб./ед. |
16477,14995 |
||
|
3. |
Объем продаж |
тыс. руб. /год |
43615985,17 |
||
|
4. |
Себестоимость единицы продукции |
руб./ед. |
13730,95829 |
||
|
5. |
Прибыль от реализации |
тыс.руб./год |
7269330,862 |
||
|
6. |
Чистая прибыль |
тыс.руб./год |
5475828,289 |
||
|
7. |
Количество работающих |
чел. |
11,51192369 |
||
|
8. |
Активы баланса |
тыс. руб. |
3214682,011 |
||
|
8.1. |
Основные средства |
тыс. руб. |
1822,8 |
||
|
8.2. |
Нематериальные активы |
тыс. руб. |
10 |
||
|
8.3. |
Оборотные активы |
тыс. руб. |
733031,6742 |
||
|
9. |
Акционерный капитал |
тыс. руб. |
2362045,103 |
||
|
10. |
Привлеченные средства (краткосрочная задолженность) |
ты с. руб. |
852636,9084 |
||
|
11. |
Номинал акции |
руб./акция |
10 |
||
|
12. |
Количество акций |
ед. |
236204,5103 |
||
|
13. |
Ставка дивиденда |
% |
0,00490731 |
||
Таблица 12
|
№ п/п |
Относительные показатели |
Формула |
Единица |
Величина |
|
измерения |
||||
|
1 |
Объем продаж на 1 руб активов |
Qрл/А |
руб. /год |
13,5677448 |
|
2 |
Объем продаж на 1 руб. оборотных средств (количество оборотов) |
Qрл/Аоб |
руб. /год |
4,38546126 |
|
3 |
Продолжительность одного оборота |
360/Аоб/Qрл |
дни |
6,05033686 |
|
4 |
Объем продаж на одного работающего |
Qрл/Ч |
тыс.руб./чел. |
3788766,01 |
|
5 |
Прибыль от реализации на 1 руб. выручки от реализации |
Прл/Qрл *100 |
% |
0,16666667 |
|
6 |
Прибыль от реализации на 1 руб. активов |
Прл/А *100 |
% |
2,2612908 |
|
7 |
Чистая прибыл на 1 руб. акционерного капитала |
Прч/Какц*100 |
% |
2,31825729 |
|
8 |
Чистая прибыль на 1 руб активов |
Прч/А*100 |
% |
1,70338101 |
Примечание: для использования показателя чистой прибыли необходимо предварительно привести схему распределения прибыли, рассчитанной на основе цена реализации. В заключение необходимо сделать вывод о допустимых условиях -эффективной работы предприятия и приемлемости полученных относительных показателей работы предприятия по сравнению со средними их значениями.
Заключение
В представленном расчете рассмотрена идея создания такого предприятии которое производит дешевый и качественный продукт, которого жители и предприятия города и других областей могли бы потребить.
В проведенных расчетах были представлены пути создания организации, которое производит продукт. Определена её организационно-правовая форма это Акционерное общество, определено предполагаемое место положения создаваемой организации на рынке (рыночная ниша), представлено описание предлагаемого товара, которые организация будет продавать потребителям, проанализирована целесообразности создания подобной организации с точки зрения рентабельности и прибыльности.
Объем продаж на 1 руб активов 13,5677448 Объем продаж на 1 руб. оборотных средств (количество оборотов) 4,38546126 Продолжительность одного оборота 6,05033686. Объем продаж на одного работающего 3788766,01 Прибыль от реализации на 1 руб. выручки от реализации 0,16666667 Прибыль от реализации на 1 руб. активов 2,2612908 Чистая прибыл на 1 руб. акционерного капитала 2,31825729 Чистая прибыль на 1 руб активов 1,70338101
Список использованной литературы
1. Гражданский кодекс Российской Федерации. Части первая и вторая. -М.: Норма. 555с.
2. Налоги: Учебное пособие/ Под ред. Д.Г. Черняка - М.: Финансы и статистика, 1995-400с.
3. Закон Российской Федерации «Об акционерных обществах» от 26 декабря 1995г. №208 - ФЗ.
4. Грузинов В.П. и др. Экономика предприятия. Учебник для вузов. М.Ф: Банки и биржи, ЮНИТИ, 1998. - 535с.
5. Экономика предприятия: Учебник /Под ред. проф. Н.А. Сафонова. -- М.: «Юристь», 1998 - 584с.
6. Экономика предприятия: Учебник для вузов /Под ред. проф. В.Я. Горфинкеля. М.: Банки и биржи, ЮНИТИ, 1998. - 742с.
7.